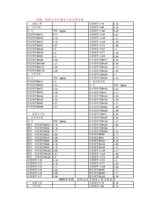
空调工程焊接钢管的分类
- 格式:doc
- 大小:64.00 KB
- 文档页数:3
镀锌板镀锌板的常用材料是普通碳素结构钢,如Q195、Q215、Q235等。
这些钢材具有良好的可加工性和焊接性能,适用于镀锌处理。
镀锌板的标准主要包括以下几个方面:1.镀锌层厚度标准:镀锌板的镀锌层厚度通常按照国家标准GB/T13912-2002《金属覆盖层镀锌和镀锌合金镀层技术要求和试验方法》进行规定。
常见的镀锌层厚度有20μnκ40μm x60μm等。
2.镀锌层质量标准:镀锌板的镀锌层质量通常按照国家标准GB/T5267.3-2008《钢铁产品锌层质量试验方法第3部分镀锌层质量评定》进行评定。
镀锌层的质量主要包括镀层的均匀性、附着力、外观质量等指标。
3.钢板质量标准:镀锌板的钢板质量通常按照国家标准GB/T700-2006《碳素结构钢》进行规定。
钢板的质量主要包括化学成分、力学性能、尺寸偏差等指标。
此外,镀锌板的生产和质量控制还需符合相关行业标准和客户要求。
常见的行业标准有钢铁行业标准、建筑行业标准等。
无缝管无建钢管的常用材料包括碳素钢、合金钢和不锈钢等。
具体常用材料及其标准如下:1.碳素钢无缝钢管常用材料:-ASTMA106/A53:常用的碳素钢无缝管材料,适用于高温和高压环境。
-GB/T8162:中国国家标准,规定了碳素钢无缝钢管的材料和尺寸。
-DIN1629:德国标准,规定了非合金钢无缝钢管的材料和尺寸。
2.合金钢无缝钢管常用材料:-ASTMA335:常用的合金钢无建管材料,适用于高温和高压环境。
-GB/T5310:中国国家标准,规定了合金钢无缝钢管的材料和尺寸。
-DIN17175:德国标准,规定了热力学合金钢无绛钢管的材料和尺寸。
3.不锈钢无缝钢管常用材料:-ASTMA312/A213:常用的不锈钢无缝管材料,适用于耐腐蚀和高温环境。
-GB/T14976:中国国家标准,规定了不锈钢无缝钢管的材料和尺寸。
-DIN17456/17458:德国标准,规定了不锈钢无缝钢管的材料和尺寸。
以上是常用的无缝钢管材料及其标准,具体选择材料和标准应根据使用环境、要求和应用领域来确定。
通风空调工程安装方案一、概述博物馆通风空调主要包括排烟系统、排风系统、送风机、空调系统、恒温恒湿空调系统,其风管采用镀锌钢制作,风管和配件的板材连接采用咬口连接。
空调水管管径DN≤100mm采用镀锌钢管丝扣连接;DN>100mm时采用焊接钢管焊接。
二、主要施工程序2.1通风工程2.2空调水工程2.3空调设备安装工程三、主要施工方法3.1通风工程3.1.1施工准备3.1.1.1人员进场后,组织主要施工技术人员熟悉图纸,对建筑、结构和电气、暖卫施工图中的管路走向、坐标、标高与通风管道之间跨越交叉在图纸上出现的问题进行解决。
3.1.1.2组织施工人员学习有关规范和规程,对施工人员进行技术交底,对风管的制作尺寸,采用的技术标准、咬口及风管的连接方法进行明确。
3.1.1.3按照总图对预制加工场的进行布置,根据风管制作的工序合理布置风管加工设备。
3.1.1.4风管预制场垫好橡胶板,以减少风管在下料、拼接等过程中的划痕。
3.1.2材料准备3.1.2.1所使用板材、型钢材料(包括附材)应具有出厂合格证书或质量鉴定文件。
3.1.2.2制作风管及配件的钢板厚度应符合设计规范要求。
3.1.2.3镀锌钢板表面不得有划伤、结疤、水印及锌层脱落等缺陷,应有镀锌层结晶花纹。
3.1.2.4所有材料进场后要堆放整齐,并作好相应的标识。
3.1.3风管及部件的制作风管制作工艺流程:3.1.3.1本工程风管制作以机械加工为主,手工操作为辅。
3.1.3.2本工程所有风管采用咬口连接,风管板材的拼接咬口和园形风管的闭合咬口采用单咬口,矩形风管或配件四角组合采用联合角咬口,园形风管组合采用立咬口。
咬口宽度和留量根据板材厚度定,具体尺寸见图3-4-1及表3-4-1:图3-4-1表3-4-1咬口宽度表(mm)3.1.3.3风管咬口缝结合要紧密,咬缝宽度要均匀,操作时,用力要均匀,不宜过重,不得出现有半咬口或胀裂现象。
3.1.3.4本工程矩形风管弯头尽量采用内外弧形弯头,以减少风系统的局部阻力。
通风与空调工程施工技术一、通风与空调的分部分项工程及施工程序1.通风与空调的分部分项工程通风与空调的分部分项工程见表1。
表1 通风与空调的分部分项工程2.通风与空调的施工程序1)风管及部件制作与安装程序(1)金属风管制作程序:板材、型材选用及复检→风管预制→角钢法兰预制→板材拼接及轧制、薄钢板法兰风管轧制→防腐→风管加固→风管组合→加固、成型→质量检查。
(2)金属风管安装程序:测量放线→支吊架制作→支吊架定位安装→风管检查→组合连接→风管调整→漏风量测试→质量检查。
(3)风管系统阀部件安装程序:风阀及部件检查→支吊架安装→风阀及部件安装→质量检查。
(4)风管漏风景测试程序:风管漏风量测试抽样方案确定→风管检查→测试仪器仪表检查校准→现场测试→现场数据记录→质量检查。
2)空调水系统管道施工程序(1)空调冷热水管道安装施工程序:管道预制→管道支吊架制作与安装→管道与附件安装→水压试验→冲洗→质量检查。
(2)水系统阀部件、仪表安装施工程序:阀门及部件检查→强度严密性试验→阀门及部件安装→仪器仪表安装→质量检查。
3)设备安装程序(1)制冷机组安装程序:基础验收→机组运输吊装→机组减振装置安装→机组就位安装→机组配管→质量检查。
(2)冷却塔安装程序:基础验收→冷却塔运输吊装→冷却塔减振安装一冷却塔就位安装→冷却塔配管安装→质量检查。
(3)水泵安装程序:基础验收→减振装置安装→水泵就位→找正找平→配管及附件安装→质量检查。
(4)组合式空调机组、新风机组安装程序:设备检查试验→基础验收→减振装置安装→设备安装→找正找平→管道安装→质量检查。
(5)风机盘管、空调末端装置安装程序:设备检查试验→支吊架安装→减振装置安装→设备安装及配管→质量检查。
(6)风机(箱)安装程序:风机检查试验→基础验收→支吊架(底座)安装→减振安装→风机就位→找正找平→管道安装→质量检查。
(7)太阳能供暖空调系统安装施工程序:基础验收→设备运输吊装→设备安装→太阳能集热器安装→管道安装→管道试验及冲洗→管道保温→质量检查→系统运行。
钢管的分类及应用领域随着科技的不断发展和城市化进程的加速,钢管作为一种重要的建筑材料,应用范围越来越广泛。
钢管可以根据不同的用途分类,下面我们一起来看看钢管的分类及其应用领域。
一、按照制作方式分类1. 焊接钢管焊接钢管是将钢板加工成形后用焊接方法连接成管道的一种钢管。
焊接钢管具有高比强度、冲击韧性和矫直度,广泛应用于石油、化工、电力工业的传输管道和机械制造领域。
2. 精密钢管精密钢管是一种经过精细加工后的高精度钢管,其直径和壁厚误差极小,表面光洁度高,应用于汽车制造、航空航天、电子仪器等高精度领域。
3. 冷拔钢管冷拔钢管是用低碳钢、合金钢制成,经过多道展压工艺制成的一种钢管。
冷拔钢管表面质量好,内外径精度高,应用于机械加工、汽车零部件制造等领域。
4. 热轧钢管热轧钢管是将钢坯加热至高温状态后通过多道轧制来制成的一种钢管。
热轧钢管具有优异的机械性能和高耐热性,广泛应用于石油、化工、电力等高温高压领域。
二、按照用途分类1. 石油钢管石油钢管是传输石油和天然气的重要管道材料,具有承受高压、耐腐蚀等特点。
石油钢管应用领域涉及石油、天然气、化工等行业。
2. 建筑钢管建筑钢管用于建筑领域,主要包括大口径结构钢管、中厚壁无缝钢管、锅炉管等。
建筑钢管应用于高层建筑、桥梁、隧道、水利工程等领域。
3. 机械钢管机械钢管用于制造机械零部件,如汽车零部件、汽车底盘、空调制冷系统、机床、工程机械等。
机械钢管应用领域广泛,是机械制造行业的重要材料。
4. 液压钢管液压钢管是传输液压油或气体的管道,主要应用于工程机械、冶金机械、矿山机械等领域。
液压钢管具有高压、耐腐蚀性好、密封性强等特点。
5. 其他钢管除了以上几种常见的钢管,还有许多其他应用领域的钢管,如航空航天领域的钛合金管、医疗领域的不锈钢管等。
总之,钢管作为一种重要的建筑材料,其应用范围广泛,涉及石油、化工、机械加工等众多领域。
通过对钢管的分类了解,可以更好地选择合适的钢管材料,满足不同领域的需求。
空调专业常用管材的国家标准一、焊接钢管1. 低压流体输送用焊接钢管,国标编号:GB/T 3092-1993。
工程直径6~150mm,使用温度0~200°C,普通管道用于PN≤1.0MPa,加厚管用于PN≤1.6MPa。
2. 低压流体输送用镀锌焊接钢管,国标编号:GB/T 3091-1993。
工程直径6~150mm,使用温度0~200°C,普通管道用于PN≤1.0MPa,加厚管用于PN≤1.6MPa。
3. 直缝电焊钢管,国标编号:GB/T 13793-1992。
工程直径200~2000mm,使用温度-15~3 00°C,管道压力用于PN≤1.6MPa。
4. 螺旋缝焊接钢管,国标编号:SYS5036~5039-93。
工程直径200~2000mm,使用温度-1 5~300°C,管道压力用于PN≤1.6MPa。
5. 流体输送用不锈钢焊接钢管,国标编号:GB 12771-1991。
二、无缝钢管1. 无缝钢管尺寸、外形、重量及允许偏差,国标编号:GB/T 17395-1998。
2. 结构用无缝钢管,国标编号:GB 8162-1999。
工程直径5~6000mm,使用温度-40~475°C,管道压力用于PN≤10MPa。
何谓焊接钢管?焊接钢管也称焊管,是用钢板或钢带经过卷曲成型后焊接制成的钢管。
焊接钢管生产工艺简单,生产效率高,品种规格多,设备资少,但一般强度低于无缝钢管。
20世纪30年代以来,随着优质带钢连轧生产的迅速发展以及焊接和检验技术的进步,焊缝质量不断提高,焊接钢管的品种规格日益增多,并在越来越多的领域代替了无缝钢管。
焊接钢管按焊缝的形式分为直缝焊管和螺旋焊管。
直缝焊管生产工艺简单,生产效率高,成本低,发展较快。
螺旋焊管的强度一般比直缝焊管高,能用较窄的坯料生产管径较大的焊管,还可以用同样宽度的坯料生产管径不同的焊管。
但是与相同长度的直缝管相比,焊缝长度增加30~100%,而且生产速度较低。
1、一般通用规定1.1本工程的空调水管道焊接工艺参照:《现场设备、工业管道焊接工程施工及验收规范》GB50236-98标准及本公司《焊接工艺评定管理制度》和《焊接工艺评定》的规定及现场要求编制相应的焊接工艺说明书,并贯彻执行。
1.2焊工应持有相应的资格证书。
1.3焊接设备应具有参数稳定、调节灵活、安全可靠并能满足焊接工艺要求的综合性能。
1.4焊条应具有出厂合格证明书。
药皮不得脱落或有明显裂纹。
焊条应按说明书的要求进行使用,并在使用中保持干燥。
1.5焊接材料应贮存在清洁干燥的库房内,其相对湿度不得大于60%,它们的贮存、保管、发放等应有专人负责。
1.6管道的施焊环境如出现下列情况之一时,应采取防护措施,否则不得施工:⑴风速大于或等于8m/s;⑵相对湿度大于90%;⑶下雨、下雪中露天作业。
1.7焊接碳素钢时,当环境温度低于-20℃时,应在施焊区采取搭棚及采暖措施,否则不得施焊。
1.8严禁在焊件表面引弧或试验电流。
2、管子接头型式及坡口加工要求2.1焊缝的坡口形式及尺寸应符合设计文件或焊接工艺说明书的规定。
2.2坡口的型式和尺寸,应本着能保证焊接质量,填充金属少,减少焊接应力和变形,改善劳动条件,便于操作等原则选用。
2.3本工程焊接连接的无缝钢管的切断和坡口的加工可采用砂轮切割或气割,坡口表面用砂轮修磨;2.4本工程手工电弧焊焊缝坡口的形式如下图所示:3、管道对口质量要求3.1管道对口局部间隙过大,要修正规定尺寸,严禁在间隙内填充异物。
管子内壁应平齐,防止错口,造成根部未焊透。
3.2焊口的位置应避开应力集中区且便于施焊,一般应符合下列要求:(1)管道对接焊口,其中心线距离管子弯曲起点不小于管子外径、且不小于100mm(焊接、锻制、铸造成型管件除外),距支吊架边缘至少50mm,两个对接焊口间距不得小于管子直径,且不得少于150mm;(2)管接头和仪表插座一般不可设置在焊缝和热影响区内;(3)焊接管的管孔应尽量避免开在焊缝上,并避免管孔与相邻焊缝热影响区相重合。
暖通人的基本素质暖通工程中的常用管材1、焊接钢管:焊接钢管是由成品卷成管形的碳素钢板以对缝焊接加工的机械设备,用于低压流体输送管道,主要用于采暖、消防、雨水、空调水系统、工艺管道。
钻孔钢管图示标注为:DN**、如DN20、DN100,称为公称直径,表示近似管道内经。
2、镀锌焊接钢管:镀锌焊接钢管,是由碳素钢制造,以前有热镀锌和两种,冷镀锌钢管以被安托万淘汰图示标注同焊接钢管,主要用于给水、空调水系统管道。
图示标注同焊接钢管。
3、无缝钢管:基本原理无缝钢管按制造方法共分热轧管和冷拔(轧)管。
冷拔(轧)管的最大公称直径为200mm,热轧管最大公称直径为600mm。
在工艺管道工程中所,管径超过57mm时,常选用热轧无缝钢管,管径小于57mm时常用冷拔(轧)管。
管道工程常用的无缝钢管有下列以下三种:(1)一般无缝钢管,用普通碳素钢制造,有热轧、冷轧(拔)之分。
应用范围较大,站类管道、室外管网、工艺及采暖管道。
(2)低中压锅炉用无缝钢管:无缝钢管用优质型钢或合金钢制成,有热轧、冷轧(拔)之分。
用于低压锅炉制造的连接管。
(3)轧制无缝钢管制成:主要用做特殊工艺管道。
图示标注为:DN**×**、如DN57*4、DN159*6,表示外径和壁厚,主要用于采暖、消防、空调水系统、工艺管道。
4、卷焊钢管:有两种(1)螺旋缝焊接钢管:螺旋缝采用碳素钢板锻造自动埋弧焊接制造,按输送介质的压力高低分为甲类管和博戈达维日尼察区管两类。
甲类管一般用普通碳素钢Q235、Q235F及普通低合金结构钢16Mn焊制,乙类管采用Q235、Q235F、Q195等钢材焊制,用作低压力的流体输送管材。
(2)直缝卷制电焊切割机:螺旋缝焊接钢管分为自动埋弧焊接钢管和高频焊接钢管两种。
直缝卷制电焊钢管,可分为电焊钢管和现场用钢板分块卷制焊成的直缝卷焊钢管。
图示标注为:DN**×**、如DN57*4、DN159*6,表示外径和壁厚,典型用于管径大于250的大型管道,图示标注如驼绒,用于室外的采暖、供水、工艺管道。
一、适用范围适用于空调工程水系统的管道与设备(包括冷热水、冷却水、凝结水系统)的安装.二、施工准备2.1 技术准备参见”22.2通风与空调设备安装”第22.2.2.1条。
2.2 材料设备要求1.空调水系统的管道、管配件及阀门的型号、规格、材质及连接形式应符合设计规定。
2.焊接钢管、无缝钢管的规格应符合产品标准要求,管材不得弯曲、锈蚀,无飞刺、重皮及凹凸不平等缺陷,且应有出厂合格证或其他质量证明文件.3.镀锌钢管及管件的规格、种类应符合产品标准要求,管壁内外镀锌均匀,无锈蚀、飞刺。
管件无偏扣、乱扣、丝扣不全或角度不准等现象。
管材及管件均应有出厂合格证或其他相应质量证明材料。
4.钢塑和铝塑管道及管件的规格、种类应符合产品标准要求,管壁、粘胶层及内衬(涂)塑层薄厚均匀,无锈蚀、飞刺,内衬无破损。
管材及管件应有出厂合格证或其他相应质量证明材料。
5.塑料管及管件的规格、种类应符合产品标准要求,管材和管件内外壁应光滑、平整,无气泡、裂纹、脱皮和严重的冷斑及明显的痕纹、凹陷,并附有产品说明书和质量合格证.6.胶粘剂应标有生产厂名称、生产日期和使用年限,并应有出厂合格证和说明书。
胶粘剂,应呈自由流动状态,不得为凝胶体,应无异味.在未搅拌情况下不得有分层现象和析出物出现胶粘剂内不得含有团块、不溶颗粒和其他杂质.2.3 主要机具1.机具:砂轮切割机、手砂轮、压力工作台、倒链、台钻、电锤、坡口机、套丝机、手锯、套丝板、管钳、套筒扳手、梅花扳手、活扳手、铁锤、电气焊设备、专用热熔焊接工具等。
2.测量工具:钢直尺、水平尺、钢卷尺、角尺、压力表等。
2.4 作业条件1.设计图纸、技术文件齐全,已编制施工方案,完成安全、技术交底。
2.明装托、吊干管安装必须在结构顶板完成后进行。
沿管线安装位置的模板及杂物清理干净,托吊卡件均已安装牢固,位置正确。
3.立管安装应在主体结构完成后进行。
高层建筑在主体结构达到安装条件后,适当插入进行.每层均应有明确的标高线.应把竖井管道内的模板及杂物清除干净,并有防坠落措施。
医院采暖及通风空调工程施工方法10.19.1 采暖及通风空调工程特点及施工流程本工程通风空调工程包括:工程包括空调系统、采暖系统、通风系统及防火排烟系统。
其中通风空调系统采用全空气集中空调系统和风机盘管加新风机的半集中空调系统。
采暖系统:本建筑物采暖一部分通过空调系统末端设备进行冬季采暖。
通风系统:本工程通风系统包括地下室内排风系统、送风系统;楼梯间及前室正压送风系统,卫生间排气系统,手术室及病房内送排风系统。
防火排烟系统:本工程的排风系统平时进行排风,发生火灾时,设置于排风管道上的防火阀(70C)输出电信号给消防控制中心,启动风机,进行排烟;屋顶上设置楼梯间送风风机,平时不开启,发生火灾时启动风机,进行楼梯间及前室内送风。
通风空调工程总体施工流程图如下:10.19.2采暖及通风空调工程预留预埋10.1921通风系统预留预埋预埋于砼密闭墙的管件制作应按照FT—142执行;管道在打入墙里之前内外要清理,除锈后刷环氧改性漆。
对于楼层中剪力墙上的预留孔洞,根据深化图纸中标注的尺寸及标高,预制同墙体同厚度的木盒。
墙、板留设直径或宽高大于200mr的预留洞时,要协同结构施工,依据墙体配筋图、预留深化图进行钢筋放样、配料。
钢筋绑扎时预留出洞口大小的尺寸,在钢筋预留洞口安装提前预制好的木盒,核实标高位置尺寸无误后,交由下一道工序施工,在施工的过程中,绝对不允许随意切割钢筋的事件发生。
楼板预留洞口时,也需提前预制好要求尺寸大小的木盒,但木盒的高度要大于楼板浇筑的厚度100m以上,配合结构施工,根据钢筋配筋图、预留深化图进行钢筋放样、配料,钢筋绑扎时预留出洞口大小的尺寸,在钢筋预留洞口安装提前预制好的木盒,核实标高位置尺寸无误后,交由下一道工序施工。
在施工的过程中,绝对不允许随意切割钢筋的事件发生。
预埋、预留孔、洞口要及时封堵,特别是竖管井预留洞要做好安全防护措施。
10.19.2.2 采暖及空调水预留预埋1)预留孔洞本工程要求积极配合土建,及时准确进行预埋、预留,以保证工程质量和工程进度。
焊接钢管的知识介绍焊接钢管是一种常见的金属连接方法,它将两根或多根钢管通过熔化和固化金属材料的方法连接在一起。
焊接钢管可以在各种应用领域中使用,如建筑、机械制造、石油和天然气输送等。
下面是对焊接钢管的详细介绍。
一、焊接钢管的基本原理焊接钢管的基本原理是将两根或多根钢管通过热能和压力连接在一起。
焊接过程中,焊接接头的金属材料被加热至熔化点,形成一道熔池,然后冷却成为一根连续的钢管。
焊接过程中使用的加热源可以是火焰、电弧或激光等。
焊接钢管的连接强度通常与焊接过程中所使用的填充材料和技术有关。
二、焊接钢管的分类根据焊接材料的类型和焊接方法的不同,焊接钢管可以分为多种类型。
1.焊接材料的类型:-焊接钢管可以使用相同材料的填充材料进行焊接,这种方法被称为同种焊接。
-也可以使用不同材料的填充材料进行焊接,这种方法被称为异种焊接。
2.焊接方法的不同:-手工电弧焊接(SMAW):这种焊接方法使用手持电弧焊接机进行焊接。
-气体保护焊接(GMAW):这种焊接方法使用惰性气体(如氩气)保护焊接区域,以防止氧气进入焊接过程中。
-电弧焊接(SAW):这种焊接方法使用电弧在焊接区域产生熔池,同时使用焊接棒进行填充材料。
-高频电焊(HFW):这种焊接方法使用高频电流在焊接区域产生热能,然后使用焊接棒进行填充材料。
-炉内焊接(EFW):这种焊接方法将焊接材料放入炉内进行加热,然后使用焊接棒进行填充材料。
三、焊接钢管的优点和缺点焊接钢管具有许多优点,但也存在一些缺点。
1.优点:-焊接钢管具有良好的连接强度和密封性,能够承受较大的压力和负荷。
-焊接钢管的连接过程简单快捷,不需要额外的连接件。
-焊接钢管可以适应各种形状和尺寸的管道,适用范围广泛。
-焊接钢管的接头坚固耐用,不容易受到外力破坏。
2.缺点:-焊接钢管在焊接过程中需要高温,可能会对材料本身或周围的环境造成损坏。
-焊接钢管的焊接接头可能会出现焊缝缺陷,对强度和密封性产生影响。
空调工程技术交底一、工程概述本次空调工程涵盖了_____(具体建筑物名称)的中央空调系统安装,旨在为该建筑提供高效、舒适的室内环境调节。
该系统包括制冷主机、冷却塔、空调末端设备、通风管道等主要组成部分。
二、施工准备(一)技术准备施工人员应熟悉施工图纸和相关技术规范,了解空调系统的工作原理和设计要求。
制定详细的施工方案,并进行技术交底,确保施工过程中的技术措施得到有效落实。
(二)材料准备根据施工图纸和材料清单,准备好所需的各类管材、管件、阀门、保温材料、空调设备等。
材料应具备质量合格证明,并进行外观检查和必要的性能测试,确保符合设计要求。
(三)施工机具准备配备齐全的施工机具,如电焊机、切割机、套丝机、钻孔机、试压泵等,并保证其性能良好,能满足施工需求。
(四)现场准备清理施工现场,确保施工通道畅通,为材料堆放和设备安装提供足够的空间。
设置必要的临时设施,如临时水电供应、照明等。
三、空调设备安装(一)制冷主机安装1、主机应安装在坚实的基础上,基础应平整,并进行减震处理,以减少运行时的振动和噪音。
2、主机的安装位置应便于操作和维护,同时要考虑与周边管道和设备的连接便利性。
3、安装完成后,应进行调试和试运行,检查主机的运行参数是否符合设计要求。
(二)冷却塔安装1、冷却塔应安装在通风良好、无遮挡的位置,避免热回流对其冷却效果的影响。
2、冷却塔的基础应稳固,塔体应保持水平,进出水管应连接牢固,无渗漏现象。
3、安装完毕后,应进行注水试验和试运行,检查冷却塔的布水均匀性和冷却效果。
(三)空调末端设备安装1、风机盘管、空调器等末端设备的安装位置应符合设计要求,与室内装修协调一致。
2、设备的安装应牢固可靠,连接管道应严密,无漏风、漏水现象。
3、设备安装完成后,应进行单机试运行,检查其运行性能和控制功能是否正常。
四、管道安装(一)管材选用空调管道一般采用无缝钢管、镀锌钢管或 PPR 管等,应根据设计要求和工作压力选择合适的管材。
焊接钢管dn40外径
(最新版)
目录
1.焊接钢管简介
2.DN40 焊接钢管的外径尺寸
3.DN40 焊接钢管的应用领域
4.焊接钢管的优点
正文
一、焊接钢管简介
焊接钢管,顾名思义,是通过焊接工艺将钢管连接在一起的一种管道。
焊接钢管具有较高的强度、密封性能好、安装简便等优点,因此在各个领域被广泛应用。
二、DN40 焊接钢管的外径尺寸
DN40 焊接钢管是指管道的公称直径为 40 毫米。
在实际应用中,焊接钢管的外径尺寸会根据壁厚、管道材料等因素有所不同。
根据我国相关标准,DN40 焊接钢管的外径范围为 40.1~40.3 毫米。
三、DN40 焊接钢管的应用领域
DN40 焊接钢管作为常见的管道规格,其应用领域非常广泛。
以下是一些典型的应用场景:
1.城市燃气输送:DN40 焊接钢管可用于输送天然气、液化石油气等燃气,为城市居民提供燃料。
2.暖通空调系统:在建筑物的暖通空调系统中,DN40 焊接钢管可作为输送冷热水的管道,实现冷热交换。
3.工业管道:在工厂的生产过程中,DN40 焊接钢管可用于输送各种
流体、气体等物质,满足生产需要。
四、焊接钢管的优点
焊接钢管相较于其他类型的管道,具有以下优点:
1.强度高:焊接钢管采用焊接工艺连接,具有较高的强度,能够承受较高的压力。
2.密封性能好:焊接钢管接口采用焊缝密封,可有效防止流体、气体泄漏。
3.安装简便:焊接钢管可根据工程需要进行现场切割、焊接,安装过程较为简便。
4.适应性强:焊接钢管可根据不同工程需要,选择不同的材料、壁厚等参数,具有较强的适应性。
空调工程焊接钢管的分类
作为空调工程外行,您可能对焊接钢管分类常识较为陌生。
下面,就让我们和专家一道,来共同了解一下焊接钢管分类的具体内容。
1.低压流体输送用焊接钢管(GB/T3092-1993)也称一般焊管,俗称黑管。
是用于输送水、煤气、空气、油和取暖蒸汽等一般较低压力流体和其他用途的焊接钢管。
钢管接壁厚分为普通钢管和加厚钢管;接管端形式分为不带螺纹钢管(光管)和带螺纹钢管。
钢管的规格用公称口径(mm)表示,公称口径是内径的近似值。
习惯上常用英寸表示,如11/2 等。
低压流体输送用焊接钢管除直接用于输送流体外,还大量用作低压流体输送用镀锌焊接钢管的原管。
2.低压流体输送用镀锌焊接钢管(GB/T3091-1993)也称镀锌电焊钢管,俗称白管。
是用于输送水、煤气、空气油及取暖蒸汽、暖水等
一般较低压力流体或其他用途的热浸镀锌焊接(炉焊或电焊)钢管。
钢管接壁厚分为普通镀锌钢管和加厚镀锌钢管;接管端形式分为不带螺纹镀锌钢管和带螺纹镀锌钢管。
钢管的规格用公称口径(mm)表示,公称口径是内径的近似值。
习惯上常用英寸表示,如11/2 等。
3.普通碳素钢电线套管(GB3640-88)是工业与民用建筑、安装机器设备等电气安装工程中用于保护电线的钢管。
4.直缝电焊钢管(YB242-63)是焊缝与钢管纵向平行的钢管。
通常分为公制电焊钢管、电焊薄壁管、变压器冷却油管等等。
5.承压流体输送用螺旋缝埋弧焊钢管(SY5036-83)是以热轧钢带卷作管坯,经常温螺旋成型,用双面埋弧焊法焊接,用于承压流体输送的螺旋缝钢管。
钢管承压能力强,焊接性能好,经过各种严格的科学检验和测试,使用安全可靠。
钢管口径大,输送效率高,并可节约铺设管线的投资。
主要用于输送石油、天然气的管线。
6.承压流体输送用螺旋缝高频焊钢管(SY5038-83)是以热轧钢带卷作管坯,经常温螺旋成型,采用高频搭接焊法焊接。
7.一般低压流体输送用螺旋缝埋弧焊钢管(SY5037-83)是以热轧钢带卷作管坯,经常温螺旋成型,采用双面自动埋弧焊或单面焊法制成的用于水、煤气、空气和蒸汽等一般低压流体输送用埋弧焊钢管。
8.一般低压流体输送用螺旋缝高频焊钢管(SY5039-83)是以热轧钢带卷作管坯,经常温螺旋成型,采用高频搭接焊法焊接用于一般低压流体输送用螺旋缝高频焊钢管。
9.桩用螺旋焊缝钢管(SY5040-83)是以热轧钢带卷作管坯,经常温螺旋成型,采用双面埋弧焊接或高频焊接制成的,用于土木建筑结构、码头、桥梁等基础桩用钢管。