2018年6月西南大学网教大作业答案-1127有机化学(一)
- 格式:doc
- 大小:58.00 KB
- 文档页数:1
西南大学网络与继续教育学院
课程名称:《有机化学(一)》课程代码: 1127 学年学季: 20201
单项选择题
1、下列化合物命名正确的是()
A.2, 2, 7, 7-四甲基-3-辛炔【√】
B.3, 3, 4, 7-四甲基-4-辛炔
C.2, 2, 7, 7-四甲基-2-庚炔
D.3, 3, 7, 7-四甲基-3-辛炔
2、SN2 反应的特征是:(ⅰ) 生成正碳离子中间体;(ⅱ) 立体化学发生构型翻转;(ⅲ) 反应速率受反应物浓度影响,与亲核试剂浓度无关;(ⅳ)在亲核试剂的
亲核性强时容易发生。
( )
A.ⅰ;ⅲ
B.ⅱ;ⅳ【√】
C.ⅲ;ⅳ
D.ⅰ;ⅱ
3、马尔科夫经验规律应用于( )
A.游离基的取代反应
B.离子型反应
C.游离基的稳定性
D.不对称烯烃的亲电加成反应【√】
4、下列化合物进行硝化反应时,最活泼的是( )
A.对二甲苯
B.苯
C.间二甲苯【√】
D.甲苯
5、下列化合物的酸性次序是( )
A.iv > i > iii > ii 【√】
B.ii > iii> i > iv
C.i > ii > iii > iv
D.i > iii> ii > iv
6、下列酚类化合物中,Pka 值最大的是( )。
1127 20182
单项选择题
1、下列化合物命名正确的是()
.2, 2, 7, 7-四甲基-3-辛炔
.3, 3, 4, 7-四甲基-4-辛炔
.2, 2, 7, 7-四甲基-2-庚炔
.3, 3, 7, 7-四甲基-3-辛炔
2、
下列化合物命名正确的是()
.3-氯-2, 4-二甲基己烷
.3-氯-2, 3, 4-三甲基戊烷
.4-甲基-2-氯戊烷
.2-氯-2, 2, 4-三甲基戊烷
3、下列化合物中酸性较强的为 ( )
.乙炔
.乙醇
.H2
.乙烯
4、
下列化合物命名正确的是()
.甲基苯基醚
.甲氧基苯
.甲基苯基酮
.苯乙醚
5、
下列化合物命名正确的是()
.丁二酸
.2, 3-二羟基乙二酸
.2, 3-二羟基丁二酸
. 2 -羟基丁二酸
6、
下列化合物命名正确的是()
.苯乙酰胺
.乙酰苯胺
.苯乙酰基乙酰胺
.苯甲酰胺
7、
下列化合物命名正确的是()
.2, 3-二甲基丁烷
.2, 2, 3-三甲基己烷
.2, 3, 3-三甲基己烷
.2, 2, 5-三甲基己烷
8、下列烷烃沸点最低的是 ( )
.正己烷
.2,3-二甲基丁烷
.3-甲基戊烷
.2,3-二甲基戊烷
9、
下列化合物命名正确的是()。
西南大学网络与继续教育学院课程考试一、 单项选择题(本大题共10小题,每道题 3.0分,共30.0分) 1.命名下列化合物( )A.噻唑B.噁唑C.吡唑D.咪唑 2.Sanger 方法是利用氨基和______发生芳香亲核取代反应。
A.碘B.茚三酮C.2,4-二硝基氟苯D.异硫氰酸苯酯3.A.B.C.D.4.A.B.C.D.5.Hofmann消除反应是在碱作用下的()反应,主要得到双键碳上取代基较少的烯烃。
A.E3消除B.E2消除C.E1消除D.E1cb消除6.下列氨基酸中,()属于必需氨基酸。
A.脯氨酸B.半胱氨酸C.甘氨酸D.亮氨酸7.()和亚硝酸或亚硝酸盐及过量的酸在低温下反应可生成芳香重氮盐。
A.芳香铵盐B.芳香三级胺C.芳香一级胺D.芳香二级胺8.A.B.C.D.9.A.B.C.D.10.糖的残基与配基所连接的键称为()。
A.酯键B.肽键C.酰胺键D.苷键二、判断题(本大题共10小题,每道题3.0分,共30.0分)1.由于蒎烯中有一个不稳定的四元环,所以它们很容易发生碳正离子的重排,使碳架发生改变。
对错2.苯炔可以通过多种方法制成,但最经济、简便的方法是用邻氨基苯甲酸制成重氮盐,该重氮盐受热分解成二氧化碳、氮气和苯炔。
对错3.苯环侧链α-H比2,4,6位烷基吡啶的侧链α-H活泼。
对错4.阿托品是吲哚环系生物碱。
对错5.Hinsberg反应可用于分离鉴别一级胺、二级胺和三级胺。
对错6.芳香族硝基化合物最重要的性质是能发生各种各样的还原反应。
在催化氢化或较强的化学还原剂的作用下,硝基可以直接被还原为氨基。
对错7.营养上必须的维生素(vitamin)A1,是一个油性的物质,在蛋黄及鱼肝油内都存有这个物质,它是一个倍半萜醇。
对错8.多肽酰胺键中的C―N键,由于氮原子孤电子对的离域,使得羰基碳、氮及与它们直接相连的原子共处于一个平面即酰胺平面中。
对错9.D-果糖存在于果品中,是蔗糖的组成之一,D-果糖是一切糖类甜味剂中甜味最大的,游离的D-果糖存在于蜂蜜中。
[0080]《高等有机化学》2[论述题]请列举根据反应中原料和产物之间的关系进行的有机反应分类类型参考答案:有机反应也有按照原料和产物之间的关系进行分类,把几乎所有的有机反应分成六类,分别是取代反应、消去反应、加成反应、重排反应、氧化还原反应及几种反应类型的结合[论述题]请列举典型的反应中间体,并说明其特点。
参考答案:请参考教材74-90页。
[论述题]请简述根据反应中键断裂及其形成方式不同的反应分类及其特点参考答案:有机反应的数目和范围十分庞大,根据反应中键的断裂及形成方式可将有机反应分为:自由基反应、离子反应和分子反应。
任何反应都有键的断裂和/或键的形成,若化学键断裂的方式是每个碎片各有一个电子,则形成自由基(或称游离基),称之为均裂。
自由基性质非常活泼,能继续引起一系列反应。
自由基反应一般在光、热或引发剂的作用下进行。
若化学键断裂的方式是一个碎片上有两个电子,另一碎片上没有电子,称之为异裂。
有机化合物由碳-碳键异裂可产生碳正离子、碳负离子。
碳正离子、碳负离子都是有机反应过程中产生的活泼中间体,其化学性质非常活泼,往往在生成的瞬间就参加反应。
由共价键异裂产生离子而进行的反应称为离子型反应。
离子型反应一般在酸或极性物质催化下进行。
近几十年来,人们在有机反应中又发现某些反应,不受溶剂极性的影响,不被酸或碱所催化,亦不受引发剂的影响。
反应时共价键的断裂和生成是经过多中心环状过渡态协同地进行。
这类反应属于分子反应,又称为周环反应或称协同反应。
[论述题]比较下列各组化合物的酸性强弱,并予以解释。
(1) HOCH2CH2COOH和CH3CH(OH)COOH(2) 对硝基苯甲酸和对羟基苯甲酸(3) a. ClCH2COOH b. CH3COOHc. FCH2COOHd CH2ClCH2COOH e. CH3CHClCOOH(4) CH3COCH2COCH3和CH3COCH2CO2C2H5参考答案:(1)α-羟基丙酸的酸性比β-羟基酸的强;羟基的吸电子效应随着距离的增长而作用迅速减弱;(2)对羟基苯甲酸的酸性比对硝基苯甲酸的弱;硝基是强吸电子基,其诱导效应和共轭效应方向一致,羟基有-I和+C效应,一般取代基诱导效应和共轭效应方向不一致的时候,往往以共轭效应为主,羟基总的来看是供电子的;(3)(c)>(a)>(e)>(d)>(b);(4)后者酸性较弱。
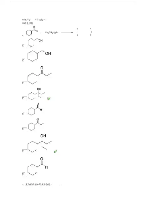
西南大学(有机化学)第一篇:西南大学(有机化学)西南大学(有机化学)单项选择题1、2、蛋白质的基本组成单位是()。
氨基酸脱氧核糖核酸核糖核酸葡萄糖3、E.、5、6、下列方法中,()可以使糖的碳链增长。
佛尔递降法芦福递降法克利安尼氰化增碳法碳二亚胺法7、请对下列分子进行合理的切断,并写出其合成子()8、9、写出对氨基苯乙酮的结构()10、胡萝卜素类化合物广泛地存在于植物和动物的脂肪内,属于___萜化合物。
二单三四11、下列氨基酸中,()不属于必需氨基酸。
蛋氨酸异亮氨酸精氨酸赖氨酸12、下列基团中____不能用来保护羟基THP(四氢吡喃基)对甲氧基苄氧基甲基p-MeOC6H4CH2OCH2―简写为PMBM硅保护基,例如三乙基硅基(TES)苄基13、下列反应中,(Aldol缩合反应)不属于周环反应。
14、判断题15、芳香胺的碱性比氨强。
A.√B.×16、乳糖用酸水解,得一分子D一半乳糖和一分子D一葡萄糖酸。
A.√B.×17、氨基酸的熔点很高,多数氨基酸受热分解而不熔融。
A.√B.×18、胺很容易氧化,特別是芳香胺,大多数氧化剂使胺氧化成焦油状的复杂物质,但是过氧化氢、过酸能使三级胺氧化为氧化胺。
A.√B.×19、羧酸比酰卤、混合酸酐或活泼酯都活泼,因为一X,一OR(R 中有吸电子基),一OCOOR,都是比一OH较好的离去基团。
A.√B.×20、Hinsberg反应可用于分离鉴别一级胺、二级胺和三级胺。
A.√B.×21、喹啉、异喹啉是三级胺,具有碱性。
A.√B.×22、Fehling试剂或Benedict试剂常与醛糖及酮糖反应产生氧化亚铜红色沉淀,这类糖称为还原糖。
A.√B.×23、氨具有棱锥形的结构,氮用sp3杂化轨道与三个氢的s轨道重叠,形成三个sp3-s σ键,成棱锥体。
A.√B.×24、A.√ B.×25、吡咯的α-C、β-C和N上均能发生质子化反应。
西南大学(有机化学)单项选择题1、2、蛋白质的基本组成单位是()。
氨基酸脱氧核糖核酸核糖核酸葡萄糖3、4、E.5、6、下列方法中,()可以使糖的碳链增长。
佛尔递降法芦福递降法克利安尼氰化增碳法碳二亚胺法7、请对下列分子进行合理的切断,并写出其合成子()8、9、写出对氨基苯乙酮的结构()10、胡萝卜素类化合物广泛地存在于植物和动物的脂肪内,属于___萜化合物。
二单三四11、下列氨基酸中,()不属于必需氨基酸。
蛋氨酸异亮氨酸精氨酸赖氨酸12、下列基团中____不能用来保护羟基THP(四氢吡喃基)对甲氧基苄氧基甲基p-MeOC6H4CH2OCH2―简写为 PMBM硅保护基,例如三乙基硅基(TES)苄基13、下列反应中,(Aldol 缩合反应)不属于周环反应。
14、判断题15、芳香胺的碱性比氨强。
A.√B.×16、乳糖用酸水解,得一分子 D 一半乳糖和一分子 D 一葡萄糖酸。
A.√B.×17、氨基酸的熔点很高,多数氨基酸受热分解而不熔融。
A.√B.×18、胺很容易氧化,特別是芳香胺,大多数氧化剂使胺氧化成焦油状的复杂物质,但是过氧化氢、过酸能使三级胺氧化为氧化胺。
A. √B. ×19、羧酸比酰卤、混合酸酐或活泼酯都活泼,因为一X,一 OR(R中有吸电子基),一OCOOR,都是比一OH 较好的离去基团。
A. √B. ×20、 Hinsberg 反应可用于分离鉴别一级胺、二级胺和三级胺。
A.√B.×21、喹啉、异喹啉是三级胺,具有碱性。
A.√B.×22、 Fehling 试剂或 Benedict 试剂常与醛糖及酮糖反应产生氧化亚铜红色沉淀,这类糖称为还原糖。
A.√B.×23、氨具有棱锥形的结构,氮用sp3 杂化轨道与三个氢的s 轨道重叠,形成三个sp3-s σ键,成棱锥体。
A.√B.×24、A.√B.×25、吡咯的α -、C β -C和 N 上均能发生质子化反应。
简单题(共8题)1.比较下列化合物的酸性并加以解释?乙炔甲烷环戊二烯乙烯参考答案:酸性:环戊二烯> 乙炔> 乙烯> 甲烷;环戊二烯负离子具有芳香性,后三者杂化状态不同。
2. 比较下列化合物的酸性并加以解释?甲醇乙醇异丙醇叔丁醇在水中和在气相参考答案:水溶液中酸性:(水)> 甲醇> 乙醇> 异丙醇> 叔丁醇;醇ROH的共轭碱RO-在水中的溶剂化效应越大酸性越强,甲基的存在阻碍溶剂化作用。
在气相:叔丁醇> 异丙醇> 乙醇> 甲醇;甲基在气相为吸电子基团,具有-I 效应。
3. 比较下列各组的碱性强弱,并从结构上予以解释。
参考答案:(1)苯胺中,N上孤电子与苯环p-π共轭,电子分散,接受质子能力降低,碱性变弱。
(2)OH是好的供电子基,NO2是强的吸电子基(3)苯胺中,N上孤电子与苯环p-π共轭,电子分散,接受质子能力降低,碱性变弱。
(4)吡咯中,N上的孤对电子与二烯共轭,形成芳香体系,因此接受质子的能力降低。
4. 比较下列各组羰基化合物的活性?①3,3-二甲基丁酮,1,1,1-三氯丙酮;②乙酸乙酯,乙酰氯;③环丁酮,环戊酮,3-戊酮参考答案:①②Cl3CCOCH3 > (CH3)3CCOCH3;③CH3COCl > CH3COOC2H5;④环丁酮> 环戊酮> 3-戊酮5. 试解释亲核加成反应中,ArCH2COR的反应活性为何比ArCOR高?参考答案:Ar直接与羰基-CO-相连时,羰基和芳环共轭使羰基碳的正电荷离域分散,使羰基碳正电性减少,活性降低。
在ArCH2COR中,Ar与羰基无共轭效应,只有吸电子诱导作用,增加羰基碳正电性。
故加速亲核加成反应进行。
6. 下列羰基化合物分别与亚硫酸氢钠溶液加成,哪一个反应速率最快?哪一个最慢?为什么?①CH3COCH2CH3②HCHO ③CH3CH2CHO参考答案:反应速率:② >③ > ①羰基化合物的亲核加成反应,其速率主要由空间效应决定。
1、西南大学网络教育2018年春[0917]《高等数学》答案2、西南大学网络教育【0917】3、西南大学网络教育0917高等数学4、西南大学网络教育2016年6月〈高等数学〉[0917]试卷大作业A答案5、西南大学网络与继续教育学院0917大作业答案6、西南大学网络与继续教育学院0917高等数学大作业答案7、西南大学网络与继续教育学院高等数学【0917】大作业答案8、西南大学2016年6月[0917]《高等数学》大作业A 答案9、西南大学2016年6月网教《高等数学》【0917】大作业A 答案10、西南大学2016年6月网络教育学院《高等数学》[0917]大作业A标准答案11、西南大学2016年12月[0917]〈高等数学〉大作业A答案12、西南大学2016年12月网络教育学院西南大学(0917)《高等数学》大作业A答案13、西南大学2016年12月网络与继续教育【0917】《高等数学》大作业答案14、西南大学2016年12月网络与继续教育学院《高等数学》【0917】大作业答案15、西南大学2017年6月网络教育-[0917]《高等数学》16、西南大学2017年12月网教大作业答案-高等数学【0917】doc17、西南大学2017年12月网络教育大作业答案-091718、西南大学2017年12月网络教育大作业答案-0917高等数学19、西南大学2018年6月网络与继续教育学院大作业答案-0917高等数学20、西南大学网络继续教育学院2016年12月[091721、西南大学网络教育[0917]《高等数学》------------------------------------------------------------------------------------------------------------------------------------------------------------------------------------------------------------(一)计算题(本大题共9小题,每小题10分,共90分)1. 求.解:本题考虑无穷多个无穷小之和.先变形再求极限2.求不定积分.解:3. 求定积分. 解: ⎰⎰---=1010x x xde dx xe ⎪⎭⎫ ⎝⎛--=⎰--1010dx e xe x x ()()⎥⎦⎤⎢⎣⎡-+--=⎰--1010x d e e x ⎪⎭⎫ ⎝⎛+-=--101xe e ()[]111-+-=--e e121--=e4. 求函数的微分. 解:5. 求函数的极值.6. 计算抛物线与直线所围图形的面积. 解:面积微元:所求面积:7.求函数的全微分.解:因为8. 求三元函数的偏导数.解:把和z 看作常数,对求导得把和看作常数,对求导得把和看作常数,对求导得9.求解微分方程解:原方程变形为(齐次方程)令则故原方程变为即分离变量得两边积分得或回代便得所给方程的通解为(二)证明题(本大题共1小题,每小题10分,共10分)1. 证明方程有且仅有一个小于1的正实根.------------------------------------------------------------------------------------------------------------------------0917高等数学------------------------------------------------------------------------------------------------------------------------西南大学网络与继续教育学院课程考试试题卷类别:网教 专业:机电一体化技术、车辆工程、电力系统自动化技术 2016年6月课程名称【编号】: 高等数学 【0917】 A 卷大作业 满分:100分(一)计算题(本大题共9小题,每小题10分,共90分)1. 求.解:2. 求不定积分.解:3. 求定积分.dx xdx x dxx x dx x x x x dx x x x x = + + = + + = + + + = + + + ⎰ ⎰ ⎰ ⎰ ⎰ …………………………………… 1 1 1 ) 11 1 ( ) 1 ( ) 1 ( ) 1 ( 12 2 2 2 2 2 x x x x x x x x x x x x 1 1 1 1 1 1 1 1 1 lim lim lim lim 1 = ⎪⎭⎫ ⎝ ⎛ - + = ⎥ ⎥ ⎦⎤ ⎢ ⎢ ⎣⎡ ⎪ ⎭ ⎫⎝ ⎛ - + = ⎪ ⎭ ⎫ ⎝ ⎛- + = ⎪ ⎭ ⎫ ⎝ ⎛ - - ∞ → - - ∞ → ∞ → ∞ →解:4. 求函数的导数.解:5. 求函数的极值.解:6. 求函数的二阶偏导数及.7. 计算函数的全微分.带做秋秋:334123452 32620794528. 求微分方程 的通解.解:.,·ln 2221211212x C x C C x Ce y e C e e e y C x y xdx y dyxdx y dy =±=±=±=+=⇒==+⎰⎰解,则得到题设方程的通记从而两端积分得分离变量得( ) [ ] ( ) [ ]( ) (1)( sin 3 ) (sin sin 2 1 sin 3 ) sin ( ) sin (3 sin 2 2 ' 2 2 ' 2 2 2 3 2 ''x x x x x x x x x x x x y + + = + + = + + = + = . ) (sin 5 2 ) (sin 5 2sin ) (sin sin ) (sin ) (sin cos ) (sin cos ) (sin cos sin sin ) (sin cos sin sin 22 5 2 0 2 5 23 2 23 2 023 2232 023 05 3 35 3 = - = - =- ==- ∴= - ⎰ ⎰⎰ ⎰⎰ ⎰ xxx xx x xx x xxx x x d x x d x dxx x dx x x dx x x dx x x x x x x9. 计算,其中是抛物线及直线所围成的闭区域.解:D 既是X-型,也是Y-型,但选择前者计算比较麻烦,需将积分区域划分为两部门来计算,故选择后者。
2[论述题]下列羰基化合物分别与亚硫酸氢钠溶液加成,哪一个反应速度快?哪一个最慢?为什么?(1)CH3COCH2CH3(2) HCHO (3) CH3CH2CHO参考答案:(2)反应速率最快,(1)反应速率最慢。
羰基化合物的亲核加成反应,其速率主要由空间效应决定。
同时,与羰基相连的取代基的性质也将影响其加成速率。
烷基是供电子基,讲减少碳原子上的正电荷,不利于亲核加成反应。
甲醛中与羰基相连的两个氢原子,空间位阻最小,因此加成反应速率最快。
丁酮中供电的甲基和乙基与羰基相连,空间位阻大,因此加成反应速率最慢。
[论述题]下列各组化合物在KOH乙醇溶液中脱卤化氢反应哪个快?参考答案:(1) (b)>(a); (2) (a)>(b); (3) (a)>(b).[论述题]比较下列各组化合物的酸性强弱,并予以解释。
(1) HOCH2CH2COOH和CH3CH(OH)COOH(2) 对硝基苯甲酸和对羟基苯甲酸(3) a. ClCH2COOH b. CH3COOHc. FCH2COOHd CH2ClCH2COOH e. CH3CHClCOOH(4) CH3COCH2COCH3和CH3COCH2CO2C2H5参考答案:(1)-羟基丙酸的酸性比-羟基丙酸的强;羟基有-I效应,-I效应常随距离的增长而作用迅速减弱。
(2)对羟基苯甲酸的酸性比对硝基苯甲酸弱;NO2是强吸电子基,其诱导效应和共轭效应方向一致,OH有-I和+C效应,一般取代基诱导效应和共轭效应方向不一致时,往往以共轭效应为主,OH基总的来看是供电基。
(3)c>a>e>d>b。
(4)后者酸性较弱。
[论述题]请简述根据反应中键断裂及其形成方式不同的反应分类及其特点参考答案:有机反应的数目和范围十分庞大,根据反应中键的断裂及形成方式可将有机反应分为:自由基反应、离子反应和分子反应。
任何反应都有键的断裂和/或键的形成,若化学键断裂的方式是每个碎片各有一个电子,则形成自由基(或称游离基),称之为均裂。
16、完成下列反应式答案:17、完成下列反应式答案:18、完成下列反应式答案:19、完成下列反应式答案:20、完成下列反应式答案:21、完成下列反应式答案:22、完成下列反应式答案:23、完成下列反应式答案:24、完成下列反应式答案:25、完成下列反应式答案:26、完成下列反应式答案:27、完成下列反应式答案:28、完成下列反应式答案:29、完成下列反应式答案:30、完成下列反应式答案:31、完成下列反应式答案:32、完成下列反应式答案:33、完成下列反应式答案:34、完成下列反应式答案:35、完成下列反应式答案:36、完成下列反应式答案:37、完成下列反应式答案:38、完成下列反应式答案:39、完成下列反应式答案:40、完成下列反应式答案:41、完成下列反应式答案:42、完成下列反应式答案:43、完成下列反应式答案:44、完成下列反应式答案:45、完成下列反应式答案:46、完成下列反应式答案:47、为什么乙醚沸点(34℃)比正丁醇沸点(118℃)低得多?正丁醇分子存在分子间氢键,要使正丁醇变成蒸汽,不但要破坏分子间的范德华力,还要破坏氢键,因此正丁醇的沸点比乙醚的沸点高。
48、指出下列化合物的酸性次序:间溴苯酚、间甲苯酚、间硝基苯酚、苯酚。
答案:间硝基苯酚>间溴苯酚>苯酚>间甲苯酚(吸电子基使苯酚的酸性增强,推电子基使苯酚的酸性减弱)49、试写出戊烯的所有同分异构体及名称。
答案:1-戊烯 CH2=CHCH2CH2CH32-戊烯 CH3CH=CHCH2CH32-甲基-1-丁烯 CH2=C(CH3)CH2CH33-甲基-1-丁烯 CH2=CHCH(CH3)22-甲基-2-丁烯 (CH3)2C=CHCH2CH350、将下列烷烃按其沸点由高到低的顺序:正戊烷、异戊烷、正丁烷、正己烷答案:正己烷>正戊烷>异戊烷>正丁烷51、将下列化合物按沸点高低排列次序并说明理由?3-己醇、正己烷、2-甲基-2-戊醇、正辛醇、正己醇答案:正辛醇>正己醇>3-己醇>2-甲基-2-戊醇>正己烷理由:碳原子数数量越高,沸点就越高;碳原子相同的,支链越多,沸点越低;相同数量的碳,醇的沸点比烷烃沸点高。
第一章绪论 (1)第二章饱和烃 (3)第三章不饱和烃 (7)第四章环烃 (14)第五章旋光异构 (22)第六章卤代烃 (27)第七章波谱分析 (33)第八章醇酚醚 (34)第九章醛、酮、醌 (41)第十章羧酸及其衍生物 (50)第十一章取代酸 (58)第十二种含氮化合物 (65)第十三章含硫和含磷有机化合物 (72)第十四章碳水化合物 (74)第十五章氨基酸、多肽与蛋白质 (78)第十六章类脂化合物 (82)第十七章杂环化合物 (88)第一章绪论1.1 扼要归纳典型的以离子键形成的化合物与以共价键形成的化合物的物理性质。
1.2是否相同?如将CH4 及CCl4各1mol混在一起,与CHCl3及CH3Cl各1mol的混合物是否相同?为什么?答案:NaCl与KBr各1mol与NaBr及KCl各1mol溶于水中所得溶液相同。
因为两者溶液中均为Na+ , K+ , Br-, Cl-离子各1mol。
由于CH4 与CCl4及CHCl3与CH3Cl在水中是以分子状态存在,所以是两组不同的混合物。
1.3 碳原子核外及氢原子核外各有几个电子?它们是怎样分布的?画出它们的轨道形状。
当四个氢原子与一个碳原子结合成甲烷(CH4)时,碳原子核外有几个电子是用来与氢成键的?画出它们的轨道形状及甲烷分子的形状。
答案:C+624HCCH 4中C 中有4个电子与氢成键为SP 3杂化轨道,正四面体结构CH 4SP 3杂化2p y2p z2p x2sH1.4 写出下列化合物的Lewis 电子式。
a. C 2H 4b. CH 3Clc. NH 3d. H 2Se. HNO 3f. HCHOg. H 3PO 4h. C 2H 6i. C 2H 2j. H 2SO 4答案:a.C C H H H HCC HH HH或 b.H C H H c.H N HHd.H S He.H O NO f.O C H Hg.O P O O H H Hh.H C C HHH H HO P O O H HH或i.H C C Hj.O S O HH OO H H或1.5 下列各化合物哪个有偶极矩?画出其方向。