高考数学专项练习小题专练
- 格式:doc
- 大小:140.50 KB
- 文档页数:9
高考数学选择填空小题训练60套(上)(1-20)高三数学小题训练(1)1.在三角形ABC 中,5,3,7AB AC BC ===,则BAC ∠的大小为( )A .23π B .56πC .34π D .3π3. ABC △的内角A B C ,,的对边分别为a b c ,,,若120c b B =,则a =________4.在ABC △中,内角A B C ,,对边的边长分别是a b c ,,,已知2=a ,3C π=,ABC △的面积等于,._____________,==c b5.高三数学小题训练(2)1.sin 330︒等于( )A .B .12-C .12D 2.若sin 0α<且tan 0α>是,则α是( ) A . 第一象限角 B . 第二象限角 C . 第三象限角 D . 第四象限角3.若角α的终边经过点(12)P -,,则tan 2α的值为______________.4.已知函数()2sincos 442x x xf x =,则函数()f x 的最小正周期是______,最大值为_________。
5.已知函数f (x )=A sin(x +ϕ)(A >0,0<ϕ<π),x ∈R 的最大值是1,其图像经过点M 132π⎛⎫⎪⎝⎭,,则f (x )的解析式为___________________;高三数学小题训练(3)1.若3sin()25πθ+=,则cos 2θ=_________。
2.)6cos()(πω-=x x f 最小正周期为5π,其中0>ω,则=ω 3.已知α,β∈02π⎛⎫⎪⎝⎭,,且cos α=35,cos β=1213,则cos(α-β)=__________。
4.把函数sin ()y x x =∈R 的图象上所有的点向左平行移动3π个单位长度,再把所得图象上所有点的横坐标缩短到原来的12倍(纵坐标不变),得到的图象所表示的函数是( ) A .sin 23y x x π⎛⎫=-∈ ⎪⎝⎭R , B .sin 26x y x π⎛⎫=+∈⎪⎝⎭R , C .sin 23y x x π⎛⎫=+∈ ⎪⎝⎭R , D .sin 23y x x 2π⎛⎫=+∈ ⎪⎝⎭R , 5.高三数学小题训练(4)1.已知平面向量a =(1,2),b =(-2,m ),且a ∥b ,则2a +3b = ( ) A . (-2,-4) B .(-3,-6) C .(-4,-8) D .(-5,-10)2.已知四边形ABCD 的三个顶点(02)A ,,(12)B --,,(31)C ,,且2BC AD =,则顶点D 的坐标为( )A .722⎛⎫ ⎪⎝⎭, B .122⎛⎫-⎪⎝⎭, C .(32),D .(13),3.5.已知向量(sin ,cos ),(1,2)m A A n ==-,且0.m n ⋅=则tan A =______。
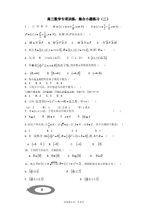
高三数学专项训练:集合小题练习(二),,) A .N M =P B .M P N C . M P N = D . N P M 2.集合{}{}(,)|3,(,)|1,A x y y x B x y y x ==-+==+则A B = ( )A .{1,2} B. {1,2x y ==} C. {( 1, 2)} D.{}(,)|(1,2)x y3.若{}2,x x a a R Φ≤∈是的真子集,则实数a 的取值范围是( )A . ()0,+∞ B. [)0,+∞ C. (],0-∞ D. (),0-∞ 4.集合{1,2,3}的所有真子集的个数为( )A .3B .6C .7D .85.下列五个写法,其中错误..写法的个数为( ) ①{0}∈{0,2,3};②Ø⊆{0};③{0,1,2}⊆{1,2,0};④0∈Ø;⑤0∩Ø=ØA .1B .2C .3D .46.已知 2{1,2}{1,46}{1,2,3}x x x +-+= ,则x =( )(A ) 2 (B) 1 (C )2或 1 (D )1或37.{|1}X x x =>-,下列关系式中成立的为 ( )A .0X ⊆B .{}0X ∈ C .X φ∈ D .{}0X ⊆8.给出下列关系: ③ *3N ∈;④0Z ∈. 其中正确的个数是( ) A. 1 B. 2 C. 3 D. 49( )A .}{33-,B .{}3-C . {}1-D . {}310.下列四个结论中,正确的是( )A .{}00=B .{}00∈ C .{}00⊆ D .0=∅11) A B CBA12.设⊕是R 上的一个运算,A 是R 的一个非空子集,若对任意a 、b ∈A ,有a b A ⊕∈,则称A 对运算⊕封闭。
下列数集对加法、减法、乘法和除法(除数不等于零)四则运算都封闭的是A. 自然数集B. 整数集C. 有理数集D.无理数集13.下面有四个命题:(1)集合N 中最小的数是1;(2)若a -不属于N ,则a 属于N ;(3)若,,N b N a ∈∈则b a +的最小值为2;(4)x x 212=+的解可表示为{}1,1; 其中正确命题的个数为( ) A .0个 B .1个 C .2个 D .3个14,则M N ⋂等于( ) B. {(1,2),(1,2)}- C. ∅ D. R 15.设集合,,若A B ⊆,则a 的取值范围为( ) A. B. C. D. 16.若,则满足集合的个数为( ) A.1个 B.2个 C.3个 D.4个17.若集合{},,M a b c =中的元素是△ABC 的三边长,则△ABC 一定不是( )A .锐角三角形B .直角三角形C .钝角三角形D .等腰三角形18.设集合}541{)},3ln({2x x y x B x y x A -+-==-==则A ∩B= ( ) A. ø B.(3.4) C.(-2.1) D.(4.+∞) 19.设,a b R ∈,集合,则b a -=( ) A .1 B .1- C .2 D .2-20.若集合{}|15A x N x =∈≤≤,则( )A.5A ∉B.5A ⊆C.A ⊇5D.5A ∈ 21.若集合()(){}1,2,3,4A =,则集合A 中元素的个数是( )A.1个B.2个C.3个D.4个 22.设集合A={x|1<x <4},集合B ={x|2x -2x-3≤0}, 则A∩(C R B )=( )A .(1,4)B .(3,4)C .(1,3)D .(1,2)∪(3,4)23 那么()()I I C M C N ⋂等于 ( ) A. ∅ B.{(2,3)} C. (2,3) D.24 ( )A. 9B. 8C. 7D. 625.若集合}1,1{-=A ,}1|{==mx x B ,且A B A =⋃,则m 的值为( )A .1B .1-C .1或1-D .1或1-或026.下列说法中,正确的是( )A.任何一个集合必有两个子集;B.若,A B φ= 则,A B 中至少有一个为φC.任何集合必有一个真子集;D.若S 为全集,且,A B S = 则,A B S ==27.下列表述正确的有 ( )①空集没有子集 ②任何集合都有至少两个子集③空集是任何集合的真子集 ④若Ø ⊂≠A ,则A≠ØA .0个B .1个C .2个D .3个 28. 若集合}8,7,6{=A ,则满足A B A ⋃=的集合B 的个数是( )A. 1B. 2C. 7D. 829.设Z 是整数集,{}2|40P x x x =-≥,则集合P Z 中元素个数是 ( ) (A) 3 (B ) 4 (C ) 5 (D ) 630.已知集合{|A x x =是平行四边形},{|B x x =是矩形},{|C x x =是正方形}, {|D x x =是菱形},则( )A. A B ⊆B. C B ⊆C. D C ⊆D. A D ⊆31.设全集Z U =,集合}211{,,-=A ,}11{,-=B ,则集合)(B C A u为( ) A.{1,2} B.{1} C.{2} D.{-1,1}32.设全集U R =,}1,2{<==x y y A x ,})1ln({-==x y x B ,则)(B C A U 是( )A 、(0,1]B 、(0,1)C 、)2,(-∞D 、]1,(-∞33.已知{}Z n n x x P ∈+==,12|,{}Z n n x x Q ∈-==,12|,下列结论正确的是( )A.P Q ;B. Q P ;C. Q P =;D. Q P ≠.34.下列相互关系表示正确的是A .Q ∈RB .}{Φ∈ΦC .≠⊂ΦMD .N ≠⊂N*35.已知集合{|06,},{1,3,6},{1,4U x x x Z A B =≤≤∈==,则()U A C B ⋂=( )A .{1}B .{3,6}C .{4,5}D .{1,3,4,5,6} 36.如果22{|0,},{|0,}A x x x x R B x x x x R =-=∈=+=∈,那么A B = ( )A. 0B. ∅C. {0}D. {1,0,1}-37 ( )A 、P ⊆0B 、{}P ∈0C 、P ∈∅D 、{}P ⊆038.集合{|12},{|13}A x x B x x =-<<=<<,那么A B = ( )A 、∅B 、{|11}x x -<<C 、{|12}x x <<D 、{|23}x x <<39. 如果A ={}1->x x ,那么正确的结论是A 、 0⊆AB 、 {0}∈AC 、{0}⊂≠A D 、φ∈A40.已知集合{}{}2|1,|0M x x N x x =≤=<,则M N = ( )A 、∅B 、{}|10x x -≤<C 、{}|10x x -≤≤D 、{}|11x x -≤≤41则B A 中元素个数为 A 、0 B 、1 C 、2 D 、342. 设P ={y | y =-x 2+1,x ∈R},Q ={y | y =2x ,x ∈R},则A 、 P ⊆QB 、 Q ⊆PC 、R C P ⊆QD 、 Q ⊆R C P43.已知集合2{|30}A x R x x a =∈-+>,且2A ∉,则实数a 的取值范围是( )A .(,2]-∞B .[2,)+∞C .(,2]-∞-D .[2,)-+∞ 44.集合{}03,A x x x N =≤<∈的真子集...的个数是( ) A .16 B .8C .7D .4 45.已知集合2{|0,}A x x x x R =-≤∈,集合2{|log 0}B x x =≤,则A 、B 满足( ) A .A B ⊆ B .B A ⊆ C .A B = D .A B ⊆/且B A ⊆/46.{}4,5M =,{}2N a=,“2a =±”是“M N ⊇”的( ) A .充分非必要条件B .必要非充分条件C .充分必要条件D .非分非必要条件47.已知集合∈=y A {Z ∈=x x y ,sin R },则集合A 的子集的个数为( )A .5个B .6个C .7个D .8个48.设{}M =正四棱柱,=N {直四棱柱},=P {长方体},=Q {直平行六面体},则四个集合的关系为 ( )A .M P N QB .M P Q NC . P M N QD .P M Q N49.已知集合{}{}3,,6,A x x k k Z B x x k k Z ==∈==∈, A 与B 之间的关系是( )A AB ⊆ B A B ⊇C A=BD A ∩B=φ50.已知集合{}{}等于则N M ,R x x y y N R x y y M x ∈==∈==,|,,2|2(A )()∞+,0(B )[)∞+,0 (C ){}42, (D )()(){}16442,,,高三数学专项训练:集合小题练习(二)参考答案1.B【解析】13(2)1{|,}{|,}66m M x x m m N x x m N +==+∈==∈, 3(1)1{|,}6n N x x n N -+==∈,131{|,}{|,}266p p P x x p N x x p N +==+∈==∈,所以M P N .2.C 【解析】3{(,)|}{(1,2)}1y x A B x y y x =-+⎧==⎨=+⎩ . 3.B【解析】因为根据题意空集是任何非空集合的真子集,因此可知集合是非空集合,因此可以a 0≥,选B 。
小题专练11计数原理、概率与统计(A)一、单项选择题:本题共8小题,每小题5分,共40分.在每小题给出的四个选项中,只有一项是符合题目要求的.1..(考点:古典概型的应用,★)有编号分别为1,2,3的三个盒子和编号分别为1,2,3的三个小球,每个盒子放入一个小球,则小球的编号与盒子编号全不相同的概率为().A.1 3B.56C.23D.8272.(考点:随机数表的应用,★)福利彩票“双色球”中红色球由编号为01,02,…,33的33个球组成,某彩民利用下面的随机数表选取6组数作为6个红色球的编号,选取方法是从随机数表第1行的第6列数字开始由左到右依次选取两个数字,则选出来的第6个红色球的编号为().A.21B.09C.02D.173(考点:二项分布的期望与方差,★)已知随机变量ξ~B(n,p),且E(ξ)=6,D(ξ)=3,则n的值为().A.10B.8C.16D.124.(考点:组合和计数原理的应用,★★)若从1,2,3,…,9这9个整数中同时取4个不同的数,其和为偶数,则不同的取法共有().A.60种B.64种C.65种D.66种5.(考点:二项式定理的应用,★★)设(1-2x)n=a0+a1x+a2x2+…+a n x n,若a3+a4=0,则a5=().A.256B.-128C.64D.-326.(考点:排列组合的应用,★★)某食品厂为了促销,制作了3种不同的精美卡片,每袋食品中随机装入一张卡片,集齐3种卡片可获奖,现购买4袋该食品,能获奖的概率为().A.4 27B.827C.49D.897.(考点:条件概率的应用,★★)若全体Ω={1,2,3,4,5,6},令事件A={2,3,5},B={1,2,4,5,6},则P(B|A)的值为().A.2 3B.13C.12D.358.(考点:线性回归方程,★★)具有相关关系的两个量x 、y 的一组数据如下表,回归方程是y ^=0.67x+54.9,则m=( ).x 10 20 30 40 50 y62m758189A.65B.67C.68D.70二、多项选择题:本题共4小题,每小题5分,共20分.在每小题给出的选项中,有多项符合题目要求.全部选对的得5分,部分选对的得3分,有选错的得0分.9.(考点:正态分布与线性回归,★★)下列说法中正确的是( ).A .已知随机变量ξ服从正态分布N (2,σ2),P (ξ<4)=0.84,则P (2<ξ<4)=0.16B .以模型y=c e kx去拟合一组数据时,为了求出回归方程,设z=ln y ,将其变换后得到线性回归方程z ^=0.3x+4,则c ,k 的值分别是e 4和0.3C .已知两个变量具有线性相关关系,其回归直线方程为y ^=a+bx ,若b=2,x −=1,y −=3,则a=1 D .若样本数据x 1,x 2,…,x 10的方差为2,则数据2x 1-1,2x 2-1,…,2x 10-1的方差为1610.(考点:扇形统计图,★★)某地区经过一年的新农村建设,农村的经济收入增加了一倍,实现翻番.为更好地了解该地区农村的经济收入变化情况,统计了该地区新农村建设前后农村的经济收入构成比例,得到如下饼图:则下面结论中正确的是( ). A .新农村建设后,种植收入减少B .新农村建设后,其他收入增加了一倍以上C .新农村建设后,养殖收入增加了一倍D .新农村建设后,养殖收入与第三产业收入的总和超过了经济收入的一半11.(考点:独立性检验的应用,★★)针对时下的“抖音热”,某校团委对“学生性别和喜欢抖音是否有关”做了一次调查,其中被调查的男女生人数相同,男生喜欢抖音的人数占男生人数的45,女生喜欢抖音的人数占女生人数的35,若有95%的把握认为是否喜欢抖音和性别有关,则调查人数中男生可能有( )人. 附:P (K 2≥k 0) 0.050 0.010 k 03.8416.635K 2=n (ad -bc )2(a+b )(c+d )(a+c )(b+d ). A .25 B .45C .60D .7512.(考点:概率的求解公式,★★)下列对各事件发生的概率判断正确的是( ).A .某学生在上学的路上要经过4个路口,假设在各路口是否遇到红灯是相互独立的,遇到红灯的概率都是13,那么该学生在上学路上到第3个路口首次遇到红灯的概率为427B .三人独立破译一份密码,他们能单独译出的概率分别为15,13,14,假设他们破译密码是彼此独立的,则此密码被破译的概率为25C .甲袋中有8个白球,4个红球,乙袋中有6个白球,6个红球,从每袋中各任取一个球,则取到同色球的概率为12D .设两个独立事件A 和B 都不发生的概率为19,A 发生B 不发生的概率与B 发生A 不发生的概率相同,则事件A 发生的概率是29三、填空题:本题共4小题,每小题5分,共20分.13.(考点:分层抽样的应用,★★)某公司的老年人、中年人、青年人的比例为2∶6∶4,用分层抽样的方法抽取了一个容量为n 的样本进行调查,其中青年人人数为100,则n= . 14.(考点:二项式定理的应用,★★)若二项式(√x +m x 2)n 的展开式的二项式系数之和为32,常数项为10,则实数n 的值为 ,实数m 的值为 .15.(考点:正态分布的应用,★★)已知在某市的高二期末考试中,该市学生的数学成绩X~N (90,σ2),若P (70≤X≤90)=0.4,则从该市学生中任选一名学生,该学生的数学成绩小于110分的概率为 .16.(考点:离散型随机变量的数学期望,★★★)某袋中装有5个除编号外完全相同的小球,编号为1,2,3,4,5.现从该袋内随机取出3个小球,记被取出的小球的最大号码数为ξ,则E (ξ)= .答案解析:1.(考点:二项分布的期望与方差,★)已知随机变量ξ~B (n ,p ),且E (ξ)=6,D (ξ)=3,则n 的值为( ). A .10 B .8 C .16 D .12【解析】依题意,由二项分布的期望和方差公式得{E (ξ)=np =6,D (ξ)=np (1-p )=3,解得{n =12,p =12. 【答案】D2.(考点:随机数表的应用,★)福利彩票“双色球”中红色球由编号为01,02,…,33的33个球组成,某彩民利用下面的随机数表选取6组数作为6个红色球的编号,选取方法是从随机数表第1行的第6列数字开始由左到右依次选取两个数字,则选出来的第6个红色球的编号为( ).A .21B .09C .02D .17【解析】从随机数表第1行的第6列数字开始由左到右依次选取两个数字,除去大于33的数字以及重复数字,则选出的6个红色球的编号依次为21,32,09,16,17,02,故选出的第6个红色球的编号为02. 【答案】C3.(考点:古典概型的应用,★)有编号分别为1,2,3的三个盒子和编号分别为1,2,3的三个小球,每个盒子放入一个小球,则小球的编号与盒子编号全不相同的概率为( ). A .13 B .56 C .23 D .827【解析】以(a ,b ,c )表示编号为1,2,3的盒子分别放编号为a ,b ,c 的小球,则所有的基本事件有(1,2,3),(1,3,2),(2,1,3),(2,3,1),(3,1,2),(3,2,1),共6种,其中,事件“小球的编号与盒子编号全不相同”所包含的基本事件有(2,3,1),(3,1,2),共2个,因此“小球的编号与盒子编号全不相同”的概率为26=13. 【答案】A4.(考点:组合和计数原理的应用,★★)若从1,2,3,…,9这9个整数中同时取4个不同的数,其和为偶数,则不同的取法共有( ).A .60种B .64种C .65种D .66种【解析】从1,2,3,…,9这9个整数中同时取4个不同的数,其和为偶数,有3种情况:4个偶数,2个偶数2个奇数,4个奇数.所以不同的取法共有C 44+C 42C 52+C 54=66(种).【答案】D5.(考点:二项式定理的应用,★★)设(1-2x )n =a 0+a 1x+a 2x 2+…+a n x n ,若a 3+a 4=0,则a 5=( ). A .256B .-128C .64D .-32【解析】∵a 3+a 4=C n 3·(-2)3+C n 4·(-2)4=0,∴n=5,则a 5=C 55·(-2)5=-32.【答案】D6.(考点:排列组合的应用,★★)某食品厂为了促销,制作了3种不同的精美卡片,每袋食品中随机装入一张卡片,集齐3种卡片可获奖,现购买4袋该食品,能获奖的概率为( ). A .427 B .827 C .49 D .89【解析】由分步乘法计数原理可知,3种不同的精美卡片随机放进4袋食品中共有34=81种不同放法,4袋食品中有3种不同的卡片的放法有C 42·A 33=36种,根据等可能事件的概率公式得能获奖的概率为3681=49,故选C . 【答案】C7.(考点:条件概率的应用,★★)若全体Ω={1,2,3,4,5,6},令事件A={2,3,5},B={1,2,4,5,6},则P (B|A )的值为( ). A .23 B .13 C .12 D .35【解析】由题意可得P (A )=36=12,事件AB={2,5},则P (AB )=26=13,由条件概率公式得P (B|A )=1312=23. 【答案】A8.(考点:线性回归方程,★★)具有相关关系的两个量x 、y 的一组数据如下表,回归方程是y ^=0.67x+54.9,则m=( ).A.65B.67C.68D.70 【解析】∵x −=10+20+30+40+505=30,y −=62+m+75+81+895=307+m5,将点(30,307+m 5)代入回归直线方程得0.67×30+54.9=307+m 5,解得m=68.故选C. 【答案】C二、多项选择题:本题共4小题,每小题5分,共20分.在每小题给出的选项中,有多项符合题目要求.全部选对的得5分,部分选对的得3分,有选错的得0分.9.(考点:正态分布与线性回归,★★)下列说法中正确的是( ).A .已知随机变量ξ服从正态分布N (2,σ2),P (ξ<4)=0.84,则P (2<ξ<4)=0.16B .以模型y=c e kx去拟合一组数据时,为了求出回归方程,设z=ln y ,将其变换后得到线性回归方程z ^=0.3x+4,则c ,k 的值分别是e 4和0.3C .已知两个变量具有线性相关关系,其回归直线方程为y ^=a+bx ,若b=2,x −=1,y −=3,则a=1 D .若样本数据x 1,x 2,…,x 10的方差为2,则数据2x 1-1,2x 2-1,…,2x 10-1的方差为16 【解析】∵随机变量ξ服从正态分布N (2,σ2),P (ξ<4)=0.84,∴P (2<ξ<4)=P (ξ<4)-0.5=0.84-0.5=0.34,故A 错误; ∵y=c e kx ,∴ln y=ln(c e kx )=kx+ln c ,∵z ^=0.3x+4,∴ln y=0.3x+4,从而k=0.3,ln c=4,∴k=0.3,c=e 4,故B 正确; ∵直线y ^=a+bx 过点(x −,y −),∴3=a+b ,∵b=2,∴a=1,故C 正确;∵样本数据x 1,x 2,…,x 10的方差为2,∴数据2x 1-1,2x 2-1,…,2x 10-1的方差为2×22=8,故D 错误.【答案】BC10.(考点:扇形统计图,★★)某地区经过一年的新农村建设,农村的经济收入增加了一倍,实现翻番.为更好地了解该地区农村的经济收入变化情况,统计了该地区新农村建设前后农村的经济收入构成比例,得到如下饼图:则下面结论中正确的是( ). A .新农村建设后,种植收入减少B .新农村建设后,其他收入增加了一倍以上C .新农村建设后,养殖收入增加了一倍D .新农村建设后,养殖收入与第三产业收入的总和超过了经济收入的一半【解析】设新农村建设前,农村的经济收入为a ,则新农村建设后,农村经济收入为2a.新农村建设前后,各项收入的对比如下表:故选BCD.【答案】BCD11.(考点:独立性检验的应用,★★)针对时下的“抖音热”,某校团委对“学生性别和喜欢抖音是否有关”做,女生喜欢抖音的人数占了一次调查,其中被调查的男女生人数相同,男生喜欢抖音的人数占男生人数的45,若有95%的把握认为是否喜欢抖音和性别有关,则调查人数中男生可能有()人.女生人数的35附:K 2=n (ad -bc )2(a+b )(c+d )(a+c )(b+d ). A .25 B .45 C .60 D .75【解析】设男生的人数为5n (n ∈N *),根据题意列出2×2列联表如下:则K 2的观测值k=10n×(4n×2n -3n×n )25n×5n×7n×3n=10n 21,由于有95%的把握认为是否喜欢抖音和性别有关,则3.841≤k<6.635,即3.841≤10n21<6.635,解得8.0661≤n<13.9335.因为n ∈N *,则n 的可能取值有9,10,11,12,13,所以调查人数中男生人数的可能值为45,50,55,60,65,故选BC . 【答案】BC12.(考点:概率的求解公式,★★)下列对各事件发生的概率判断正确的是( ).A .某学生在上学的路上要经过4个路口,假设在各路口是否遇到红灯是相互独立的,遇到红灯的概率都是13,那么该学生在上学路上到第3个路口首次遇到红灯的概率为427B .三人独立破译一份密码,他们能单独译出的概率分别为15,13,14,假设他们破译密码是彼此独立的,则此密码被破译的概率为25C .甲袋中有8个白球,4个红球,乙袋中有6个白球,6个红球,从每袋中各任取一个球,则取到同色球的概率为12D .设两个独立事件A 和B 都不发生的概率为19,A 发生B 不发生的概率与B 发生A 不发生的概率相同,则事件A 发生的概率是29【解析】对于A 选项,该学生在第3个路口首次遇到红灯的情况为前2个路口不是红灯,第3个路口是红灯,所以概率为(1-13)2×13=427,故A 正确;对于B 选项,用A ,B ,C 分別表示甲、乙、丙三人能破译出密码,则P (A )=15,P (B )=13,P (C )=14,“三个人都不能破译出密码”发生的概率为45×23×34=25,所以此密码被破译的概率为1-25=35,故B 错误;对于C 选项,设“从甲袋中取到白球”为事件A ,则P (A )=812=23,设“从乙袋中取到白球”为事件B ,则P (B )=612=12,故取到同色球的概率为23×12+13×12=12,故C 正确;对于D 选项,易得P (A ∩B −)=P (B ∩A −),即P (A )·P (B −)=P (B )·P (A −),即P (A )[1-P (B )]=P (B )·[1-P (A )],所以P (A )=P (B ).又P (A −∩B −)=19,所以P (A −)=P (B −)=13,所以P (A )=23,故D 错误.【答案】AC三、填空题:本题共4小题,每小题5分,共20分.13.(考点:分层抽样的应用,★★)某公司的老年人、中年人、青年人的比例为2∶6∶4,用分层抽样的方法抽取了一个容量为n 的样本进行调查,其中青年人人数为100,则n= .【解析】用分层抽样的方法抽取了一个容量为n 的样本进行调查,其中青年人人数为100,则100n=42+6+4,解得n=300. 【答案】30014.(考点:二项式定理的应用,★★)若二项式(√x +m x 2)n的展开式的二项式系数之和为32,常数项为10,则实数n 的值为 ,实数m 的值为 . 【解析】由题意得2n =32,即n=5, 则(√x +m x 2)n 的展开式的通项公式为T r+1=C 5r ·(√x )5-r ·(m x2)r =m r ·C 5r ·x 5-5r2. 令5-5r 2=0,可得r=1,则(√x +m x 2)n展开式中的常数项为T 2=m ·C 51=5m ,故5m=10,解得m=2. 【答案】5 215.(考点:正态分布的应用,★★)已知在某市的高二期末考试中,该市学生的数学成绩X~N (90,σ2),若P (70≤X≤90)=0.4,则从该市学生中任选一名学生,该学生的数学成绩小于110分的概率为 . 【解析】∵X~N (90,σ2),∴μ=90,又P (70≤X ≤90)=0.4,∴P (90≤x ≤110)=0.4,∴P (X ≥110)=1-0.4×22=0.1,则P (X<110)=1-0.1=0.9.∴该学生的数学成绩小于110分的概率为0.9.【答案】0.916.(考点:离散型随机变量的数学期望,★★★)某袋中装有5个除编号外完全相同的小球,编号为1,2,3,4,5.现从该袋内随机取出3个小球,记被取出的小球的最大号码数为ξ,则E (ξ)= . 【解析】由题意可知ξ的可能取值为3,4,5, 则P (ξ=3)=C 33C 53=0.1,P (ξ=4)=C 32C 53=0.3,P (ξ=5)=C 42C 53=0.6,所以E (ξ)=0.1×3+0.3×4+0.6×5=4.5. 【答案】4.5。
一、选择题:本题共8小题,每小题5分,共40分.在每小题给出的四个选项中,只有一项是符合题目要求的.1.已知集合A={x|x<2},B={x|3﹣2x>0},则()A.A∩B={x|x<} B.A∩B=∅C.A∪B={x|x<} D.AUB=R2.下列各式的运算结果为纯虚数的是()A.i(1+i)2B.i2(1﹣i)C.(1+i)2D.i(1+i)3.如图,正方形ABCD内的图形来自中国古代的太极图,正方形内切圆中的黑色部分和白色部分关于正方形的中心成中心对称.在正方形内随机取一点,则此点取自黑色部分的概率是()A.B.C.D.4.已知F是双曲线C:x2﹣=1的右焦点,P是C上一点,且PF与x轴垂直,点A的坐标是(1,3).则△APF的面积为()A.B.C.D.5.函数f(x)在(﹣∞,+∞)单调递减,且为奇函数.若f(1)=﹣1,则满足﹣1≤f(x ﹣2)≤1的x的取值范围是()A.[﹣2,2] B.[﹣1,1] C.[0,4] D.[1,3]6.如图,己知正方体1111ABCD A B C D -,M ,N 分别是1A D ,1D B 的中点,则( )A .直线1A D 与直线1DB 垂直,直线//MN 平面ABCD B .直线1A D 与直线1D B 平行,直线MN ⊥平面11BDD BC .直线AD 与直线1D B 相交,直线//MN 平面ABCD D .直线1A D 与直线1D B 异面,直线MN ⊥平面11BDD B7.△ABC 的内角A ,B ,C 的对边分别为a ,b ,c ,已知sinB+sinA (sinC ﹣cosC )=0,a=2,c=,则C=( ) A . B .C .D .8.已知数列{}n a 满足11a =,1*)n a n N +=∈.记数列{}n a 的前n 项和为n S ,则() A .100132S << B .10034S << C .100942S <<D .100952S <<二、选择题:本题共4小题,每小题5分,共20分.在每小题给出的选项中,有多项符合题目要求.全部选对的得5分,有选错的得0分,部分选对的得3分.9.十六世纪中叶,英国数学家雷科德在《砺智石》一书中首先把“=”作为等号使用,后来英国数学家哈利奥特首次使用“<”和“>”符号,并逐渐被数学界接受,不等号的引入对不等式的发展影响深远.若a b <,则下列结论错误的是( ) A .11a b> B .22a b < C .1122ab⎛⎫⎛⎫> ⎪ ⎪⎝⎭⎝⎭D .ln()0b a ->10.已知某物体作简谐运动,位移函数为()2sin()(0,)2f t t t πϕϕ=+≥<,且4()23f π=-,则下列说法正确的是( ) A .该简谐运动的初相为6πB .函数f t 在区间0,2π⎛⎫⎪⎝⎭上单调递增C .若[0,]2t π∈,则()[1,2]f t ∈D .若对于任意12,0t t >,12t t ≠,有12()()f t f t =,则12()2f t t +=11.已知函数2()1xf x x =+,则下列说法中正确的有( ) A .函数f (x )的值域为11,22⎡⎤-⎢⎥⎣⎦B .当0,2x π⎛⎫∈ ⎪⎝⎭时,y =f (x )与y =tan x 的图象有交点C .函数3423()59x xg x x x -=-+的最大值为12 D .当x ≥0时,()1x f x e ≤-恒成立12.信息熵是信息论中的一个重要概念.设随机变量X 所有可能的取值为1,2,,n ,且1()0(1,2,,),1ni i i P X i p i n p ===>==∑,定义X 的信息熵21()log ni i i H X p p ==-∑.( )A. 若n =1,则H (X )=0B. 若n =2,则H (X )随着1p 的增大而增大C. 若1(1,2,,)i p i n n==,则H (X )随着n 的增大而增大D. 若n =2m ,随机变量Y 所有可能的取值为1,2,,m ,且21()(1,2,,)j m j P Y j p p j m +-==+=,则H (X )≤H (Y )三、填空题:本题共4小题,每小题5分,共20分.13.已知向量,的夹角为60°,||=2,||=1,则|+2|= .14.曲线y=x2+在点(1,2)处的切线方程为15.已知双曲线C:﹣=1(a>0,b>0)的右顶点为A,以A为圆心,b为半径作圆A,圆A与双曲线C的一条渐近线交于M、N两点.若∠MAN=60°,则C的离心率为.16.已知三棱锥S﹣ABC的所有顶点都在球O的球面上,SC是球O的直径,若平面SCA⊥平面SCB,SA=AC,SB=BC,三棱锥S﹣ABC的体积为9,则球O的表面积为.。
一、选择题(每题5分,共20分)1. 已知函数f(x) = x^3 - 3x + 2,若f(x)在x=1处的切线斜率为0,则f(1)的值为:A. 0B. 1C. 2D. 32. 在直角坐标系中,点P(2,3)关于直线y=x的对称点为:A. (2,3)B. (3,2)C. (3,-2)D. (-2,3)3. 已知等差数列{an}的前n项和为Sn,若a1=1,S3=9,则公差d为:A. 2B. 3C. 4D. 54. 下列函数中,在定义域内单调递增的是:A. y = -x^2B. y = 2x + 1C. y = x^3D. y = 1/x5. 若复数z满足|z-1|=|z+1|,则复数z对应的点在:A. 虚轴上B. 实轴上C. 第一象限D. 第二象限二、填空题(每题5分,共25分)6. 若等比数列{an}的第一项为a1,公比为q,且a1+a2+a3=9,a1a2a3=27,则q的值为______。
7. 已知函数f(x) = |x-2| + |x+3|,则f(x)的最小值为______。
8. 直线y=2x+1与圆x^2+y^2=4相交于A、B两点,则线段AB的中点坐标为______。
9. 若复数z满足z^2 - 2z + 5 = 0,则|z-1|的值为______。
10. 已知等差数列{an}的前n项和为Sn,若a1=3,S5=45,则公差d的值为______。
三、解答题(每题10分,共20分)11. 已知函数f(x) = x^2 - 4x + 3,求f(x)的图像的对称轴和顶点坐标。
12. 已知等差数列{an}的前n项和为Sn,若a1=1,公差d=2,求第10项an。
四、应用题(10分)13. 某工厂生产一批产品,每件产品成本为100元,售价为150元。
为了促销,每销售10件产品,工厂给予消费者10元的优惠。
假设销售x件产品,求工厂的利润函数,并求出工厂的利润最大时的销售数量。
答案一、选择题:1. B2. B3. B4. B5. A二、填空题:6. 37. 58. (1,3)9. 2 10. 4三、解答题:11. 对称轴:x=2,顶点坐标:(2,-1)12. 第10项an = 1 + (10-1)2 = 19四、应用题:设销售x件产品,则利润函数为L(x) = (150-100-10)x = 40x。
2024届高考数学复习:精选历年真题、好题专项(直线与方程)练习一. 基础小题练透篇1.过点P (3 ,-23 )且倾斜角为135°的直线方程为( ) A .3x -y -43 =0 B .x -y -3 =0 C .x +y -3 =0 D .x +y +3 =02.直线l :x +3 y +1=0的倾斜角的大小为( ) A .30° B .60° C .120° D .150°3.[2023ꞏ河北示范性高中开学考]“λ=3”是“直线(2λ-3)x +(λ+1)y +3=0与直线(λ+1)x -λy +3=0互相垂直”的( )A .充分不必要条件B .充要条件C .必要不充分条件D .既不充分也不必要条件 4.[2023ꞏ广东韶关月考]过点M ()-1,-2 ,在两坐标轴上截距相等的直线方程为( ) A .x +y +3=0B .2x -y =0或x +y +3=0C .y =x -1D .x +y +3=0或y =x -15.[2023ꞏ湖北省质量检测]在平面直角坐标系中,某菱形的一组对边所在的直线方程分别为x +2y +1=0和x +2y +3=0,另一组对边所在的直线方程分别为3x -4y +c 1=0和3x -4y +c 2=0,则|c 1-c 2|=( )A .23B .25C .2D .46.[2023ꞏ杭州市长河高级中学期中]已知直线l 过点P ()2,4 ,且在y 轴上的截距是在x 轴上的截距的两倍,则直线l 的方程为( )A .2x -y =0B .2x +y -8=0C .2x -y =0或x +2y -10=0D .2x -y =0或2x +y -8=07.经过两条直线2x +3y +1=0和x -3y +4=0的交点,并且垂直于直线3x +4y -7=0的直线方程为________.8.[2023ꞏ宁夏银川月考]已知直线3x +4y +3=0与直线6x +my -14=0平行,则它们之间的距离是________.二. 能力小题提升篇1.[2023ꞏ江苏泰州调研]已知直线l :x +()a -1 y +2=0,l 2:3 bx +y =0,且l 1⊥l 2,则a 2+b 2的最小值为( )A .14B .12C .22 D .13162.[2023ꞏ河北邢台市月考]下列四个命题中,正确的是( ) A .直线3x +y +2=0在y 轴上的截距为2 B .直线y =0的倾斜角和斜率均存在C .若两直线的斜率k 1,k 2满足k 1=k 2,则两直线互相平行D .若两直线的倾斜角相等,则它们的斜率也一定相等3.[2023ꞏ福建宁德质量检测]已知点A (-2,1)和点B 关于直线l :x +y -1=0对称,斜率为k 的直线m 过点A 交l 于点C .若△ABC 的面积为2,则实数k 的值为( )A .3或13 B .0C .13 D .34.[2023ꞏ云南大理检测]设m ∈R ,过定点A 的动直线x +my =0和过定点B 的动直线mx -y -m +3=0交于点P (x ,y )(点P 与点A ,B 不重合),则△P AB 面积的最大值是( )A .25B .5C .52 D .55.[2023ꞏ重庆黔江检测]在平面直角坐标系中,△ABC 的一个顶点是A (-3,1),∠B ,∠C 的平分线所在直线的方程分别为x =0,y =x ,则直线BC 的方程为________.6.[2023ꞏ云南楚雄期中]已知平面上一点M (5,0),若直线l 上存在点P ,使|PM |=4,则称该直线为点M 的“相关直线”,下列直线中是点M 的“相关直线”的是________.(填序号)①y =x +1;②y =2;③4x -3y =0;④2x -y +1=0.三. 高考小题重现篇1.[2020ꞏ全国卷Ⅱ]若过点(2,1)的圆与两坐标轴都相切,则圆心到直线2x -y -3=0的距离为( )A .55 B .255 C .355 D .4552.[2020ꞏ全国卷Ⅲ]点(0,-1)到直线y =k (x +1)距离的最大值为( ) A .1 B .2 C .3 D .2 3.[北京卷]在平面直角坐标系中,记d 为点P (cos θ,sin θ)到直线x -my -2=0的距离.当θ,m 变化时,d 的最大值为( )A .1B .2C .3D .44.[2019ꞏ江苏卷]在平面直角坐标系xOy 中,P 是曲线y =x +4x (x >0)上的一个动点,则点P 到直线x +y =0的距离的最小值是________.四. 经典大题强化篇1.[2023ꞏ武汉调研]已知直线l 经过直线2x +y -5=0与x -2y =0的交点. (1)若点A (5,0)到l 的距离为3,求l 的方程;(2)求点A (5,0)到l 的距离的最大值.2.在△ABC 中,BC 边上的高所在直线的方程为x -2y +1=0,∠A 的平分线所在直线的方程为y =0,若点B 的坐标为(1,2),求:(1)点A 和点C 的坐标; (2)△ABC 的面积.参考答案一 基础小题练透篇1.答案:D答案解析:因为直线的倾斜角为135°,所以直线的斜率为k =tan 135°=-1, 所以直线方程为y +23 =-(x -3 ),即x +y +3 =0. 2.答案:D答案解析:由l :x +3 y +1=0可得y =-33 x -33 ,所以直线l 的斜率为k =-33 ,设直线l 的倾斜角为α,则tan α=-33,因为0°≤α<180°,所以α=150°. 3.答案:A答案解析:∵直线(2λ-3)x +(λ+1)y +3=0与直线(λ+1)x -λy +3=0互相垂直,∴(2λ-3)(λ+1)-λ(λ+1)=0,∴λ=3或-1, 而“λ=3”是“λ=3或-1”的充分不必要条件,∴“λ=3”是“直线(2λ-3)x +(λ+1)y +3=0与直线(λ+1)x -λy +3=0互相垂直”的充分不必要条件,故选A. 4.答案:B答案解析:当所求直线不过原点时,设所求直线的方程为x +y =a , 因为直线过点M ()-1,-2 ,代入可得a =-3,即x +y +3=0; 当所求直线过原点时,设直线方程为y =kx ,因为直线过点M ()-1,-2 ,代入可得k =2,即2x -y =0, 综上可得,所求直线的方程为2x -y =0或x +y +3=0. 故选B. 5.答案:B答案解析:设直线x +2y +1=0与直线3x -4y +c 2=0的交点为A ,则⎩⎪⎨⎪⎧x +2y +1=03x -4y +c 2=0 ,解得⎩⎪⎨⎪⎧x =-c 2+25y =c 2-310,故A (-c 2+25 ,c 2-310 ),同理设直线x +2y +1=0与直线3x -4y +c 1=0的交点为B ,则B (-c 1+25 ,c 1-310),设直线x +2y +3=0与直线3x -4y +c 1=0的交点为C ,则C (-c 1+65 ,c 1-910),设直线x +2y +3=0与直线3x -4y +c 2=0的交点为D ,则D (-c 2+65 ,c 2-910),由菱形的性质可知BD ⊥AC ,且BD ,AC 的斜率均存在,所以k BD ·k AC =-1,则c 1-310-c 2-910-c 1+25-⎝ ⎛⎭⎪⎫-c 2+65 ·c 2-310-c 1-910-c 2+25-⎝ ⎛⎭⎪⎫-c 1+65 =-1,即36-(c 2-c 1)24[]16-(c 2-c 1)2 =-1,解得|c 1-c 2|=25 .6.答案:D答案解析:若直线l 经过原点,满足条件,可得直线l 的方程为y =2x ,即2x -y =0;若直线l 不经过原点,可设直线l 的方程为x a +y2a=1()a ≠0 ,把点P ()2,4 代入可得2a +42a =1,解得a =4,∴直线l 的方程为x 4 +y8=1,即2x +y -8=0,综上可得直线l 的方程为2x -y =0或2x +y -8=0. 故选D.7.答案:4x -3y +9=0答案解析:方法一 由方程组⎩⎪⎨⎪⎧2x +3y +1=0,x -3y +4=0, 解得⎩⎪⎨⎪⎧x =-53,y =79即交点为(-53 ,79),∵所求直线与直线3x +4y -7=0垂直,∴所求直线的斜率为k =43.由点斜式得所求直线方程为y -79 =43 (x +53),即4x -3y +9=0.方法二 由垂直关系可设所求直线方程为4x -3y +m =0,由方程组⎩⎪⎨⎪⎧2x +3y +1=0,x -3y +4=0, 可解得交点为(-53 ,79 ),代入4x -3y +m =0,得m =9,故所求直线方程为4x -3y +9=0. 方法三 由题意可设所求直线方程为(2x +3y +1)+λ(x -3y +4)=0,即(2+λ)x +(3-3λ)y +1+4λ=0 ① 又∵所求直线与直线3x +4y -7=0垂直,∴3(2+λ)+4(3-3λ)=0,∴λ=2,代入①式得所求直线方程为4x -3y +9=0.8.答案:2答案解析:∵直线3x +4y +3=0与直线6x +my -14=0平行,∴m =8,6x +8y -14=0可化为3x +4y -7=0.∴它们之间的距离为|3-(-7)|32+42=2.二 能力小题提升篇1.答案:A答案解析:l 1⊥l 2,则3 b +a -1=0,∴a =1-3 b , 所以a 2+b 2=()1-3b 2+b 2=4b 2-23 b +1,二次函数的抛物线的对称轴为b =--232×4 =34,当b =34 时,a 2+b 2取最小值14. 故选A. 2.答案:B答案解析:对于直线3x +y +2=0,令x =0得y =-2,所以直线3x +y +2=0在y 轴上的截距为-2,故A 错误;直线y =0的倾斜角为0,斜率为0,存在,故B 正确;若两直线的斜率k 1,k 2满足k 1=k 2,则两直线互相平行或重合,所以C 错误;若两直线的倾斜角为90°,则它们的斜率不存在,所以D 错误.故选B. 3.答案:B答案解析:设点B (x ,y ),则⎩⎪⎨⎪⎧y -1x +2=1,x -22+y +12-1=0,解得⎩⎪⎨⎪⎧x =0,y =3, 则B (0,3).由已知可得直线m 的方程为y -1=k (x +2),与方程x +y -1=0联立, 解得x =-2k k +1,y =3k +1k +1 ,则C ⎝ ⎛⎭⎪⎫-2k k +1,3k +1k +1 . 由已知可得直线AB 的方程为y -1=x +2,即y =x +3,且|AB |=22 , 则点C 到直线AB 的距离d =⎪⎪⎪⎪⎪⎪-2k k +1-3k +1k +1+32 =|2-2k |2|k +1|, 所以S △ABC =12 ×22 ·|2-2k |2|k +1|=2,即|1-k |=|k +1|(k ≠-1),解得k =0. 4.答案:C答案解析:动直线x +my =0,令y =0,解得x =0,因此此直线过定点A (0,0). 动直线mx -y -m +3=0,即m (x -1)+3-y =0,令x -1=0,3-y =0,解得x =1,y =3,因此此直线过定点B (1,3).当m =0时,两条直线分别为x =0,y =3,交点P (0,3),S △PAB =12 ×1×3=32.当m ≠0时,两条直线的斜率分别为-1m ,m ,则-1m·m =-1,因此两条直线相互垂直.设|PA |=a ,|PB |=b ,∵|AB |=12+32 =10 ,∴a 2+b 2=10.又a 2+b 2≥2ab ,∴ab ≤5,当且仅当a =b =5 时等号成立.∴S △PAB =12 |PA |·|PB |=12 ab ≤52.综上,△PAB 的面积最大值是52.5.答案:2x -y -5=0答案解析:因为∠B ,∠C 的平分线所在直线的方程分别为x =0,y =x ,所以直线AB 与直线BC 关于直线x =0对称,直线AC 与直线BC 关于直线y =x 对称.则点A (-3,1)关于直线x =0对称的点A ′(3,1)在直线BC 上,点A (-3,1)关于直线y =x 对称的点A″(1,-3)也在直线BC上,所以由两点式得直线BC的方程为y+31+3=x-13-1,即y=2x-5.6.答案:②③答案解析:①点M到直线y=x+1的距离d=|5-0+1|12+(-1)2=32>4,即点M与该直线上的点的距离的最小值大于4,所以该直线上不存在点P,使|PM|=4成立,故①不是点M 的“相关直线”.②点M到直线y=2的距离d=|0-2|=2<4,即点M与该直线上的点的距离的最小值小于4,所以该直线上存在点P,使|PM|=4成立,故②是点M的“相关直线”.③点M到直线4x-3y=0的距离d=|4×5-3×0|42+(-3)2=4,即点M与该直线上的点的距离的最小值等于4,所以该直线上存在点P,使|PM|=4成立,故③是点M的“相关直线”.④点M到直线2x-y+1=0的距离d=|2×5-0+1|22+(-1)2=1155>4,即点M与该直线上的点的距离的最小值大于4,所以该直线上不存在点P,使|PM|=4成立,故④不是点M的“相关直线”.三 高考小题重现篇1.答案:B答案解析:设圆心为P(x0,y0),半径为r,∵圆与x轴,y轴都相切,∴|x0|=|y0|=r,又圆经过点(2,1),∴x0=y0=r且(2-x0)2+(1-y0)2=r2,∴(r-2)2+(r-1)2=r2,解得r=1或r=5.①r=1时,圆心P(1,1),则圆心到直线2x-y-3=0的距离d=|2-1-3|22+(-1)2=255;②r=5时,圆心P(5,5),则圆心到直线2x-y-3=0的距离d=|10-5-3|22+(-1)2=255.2.答案:B答案解析:方法一 点(0,-1)到直线y=k(x+1)的距离为d=|k·0-(-1)+k|k2+1=|k+1|k2+1,注意到k2+1≥2k,于是2(k2+1)≥k2+2k+1=|k+1|2,当且仅当k=1时取等号.即|k+1|≤k2+1·2,所以d=|k+1|k2+1≤2,故点(0,-1)到直线y=k(x+1)距离的最大值为2.方法二 由题意知,直线l:y=k(x+1)是过点P(-1,0)且斜率存在的直线,点Q(0,-1)到直线l的最大距离在直线l与直线PQ垂直时取得,此时k=1,最大距离为|PQ|=2.3.答案:C答案解析:由题意可得d=|cos θ-m sin θ-2|m2+1=|m sin θ-cos θ+2|m2+1=⎪⎪⎪⎪⎪⎪m2+1(mm2+1sin θ-1m2+1cos θ)+2m2+1=|m2+1sin (θ-φ)+2|m2+1(其中cos φ=mm2+1,sin φ=1m2+1),∵-1≤sin (θ-φ)≤1,∴|2-m 2+1|m 2+1 ≤d ≤m 2+1+2m 2+1 ,m 2+1+2m 2+1 =1+2m 2+1,∴当m =0时,d 取最大值3.4.答案:4答案解析:通解 设P ⎝ ⎛⎭⎪⎫x ,x +4x ,x >0,则点P 到直线x +y =0的距离d =|x +x +4x |2=2x +4x 2 ≥22x ·4x 2=4,当且仅当2x =4x,即x =2 时取等号,故点P 到直线x +y =0的距离的最小值是4.优解 由y =x +4x (x >0)得y ′=1-4x 2 ,令1-4x2 =-1,得x =2 ,则当点P 的坐标为(2 ,32 )时,点P 到直线x +y =0的距离最小,最小值为|2+32|2=4. 四 经典大题强化篇1.答案解析:(1)易知点A 到直线x -2y =0的距离不等于3,可设经过两已知直线交点的直线系方程为(2x +y -5)+λ(x -2y )=0,即(2+λ)x +(1-2λ)y -5=0.由题意得|10+5λ-5|(2+λ)2+(1-2λ)2 =3,即2λ2-5λ+2=0,∴λ=2或12.∴l 的方程为4x -3y -5=0或x =2.(2)由⎩⎪⎨⎪⎧2x +y -5=0,x -2y =0,解得交点为P (2,1),如图,过P 作任一直线l ,设d 为点A到l 的距离,则d ≤|PA |(当l ⊥PA 时等号成立).∴d max =|PA |=10 .2.答案解析:(1)由方程组⎩⎪⎨⎪⎧x -2y +1=0,y =0,解得点A (-1,0).又直线AB 的斜率为k AB =1,且x 轴是∠A 的平分线,故直线AC 的斜率为-1,所以AC 所在的直线方程为y =-(x +1). 已知BC 边上的高所在的直线方程为x -2y +1=0,故直线BC 的斜率为-2,故BC 所在的直线方程为y -2=-2(x -1).解方程组⎩⎪⎨⎪⎧y =-(x +1),y -2=-2(x -1), 得点C 的坐标为(5,-6).(2)因为B (1,2),C (5,-6),所以|BC |=(1-5)2+(2+6)2=45 ,点A(-1,0)到直线BC:y-2=-2(x-1)的距离为d=|2×(-1)-4|5=65,所以△ABC的面积为12×45×65=12.。
高考数学小题专项训练一、选择题1.设集合M ={}0≤-m x x ,}12|{R ,xy y N x ∈-==,若M ∩N =φ,则实数m 的取值范围是 ( ) A .1-≥m B .1->mC .1-≤mD .1-<m 2.若函数)(x g 的图象与函数)2()2()(2≤-=x x x f 的图象关于直线0=-y x 对称,则=)(x g ( ) A .)0(2≥-x x B .)0(2≥+x xC .)2(2≤-x xD .)2(2-≥+x x3.若n xx )2(-二项展开式的第5项是常数项,则自然数n 的值为( ) A .6 B .10 C .12 D .154.已知等差数列{a n }的前n 项和为n s ,若4518a a =-,则8s 等于( )A .72B .54C .36D .185.给定两个向量)2,1(=a ,)1,(x b =,若)2(b a +与)22(b a 平行,则x 的值等于( )A .1B .2C .31 D .21 6.不等式02)1(≥+-x x 的解集为( )A .),1[∞+B .}2{),1[-∞+C .)1,2[-D .),2[∞+-7.已知函数y = 2sin(ωx )在[3π-,4π]上单调递增,则实数ω的取值范围是( ) A .(0,23] B .(0,2]C .(0,1]D .]43,0( 8.若直线1+=kx y 与圆0422=-+++my kx y x 交于M 、N 两点,并且M 、N 关于直线0=+y x 对称,则不等式组⎪⎩⎪⎨⎧≥≤-≥+-0001y my kx y kx 表示的平面区域的面积是( )A .41B .21C .1D .29.椭圆的焦点为F 1、F 2,过点F 1作直线与椭圆相交,被椭圆截得的最短的线段MN 长为532,N MF 2∆的周长为20,则椭圆的离心率为( )A .522B .53C .54 (D )517 10.已知二次函数f (x ) = x 2 + x + a (a >0),若f (m ) < 0,则f (m + 1)的值是( )A .正数B .负数C .零D .符号与a 有关11.已知函数f (x )(0 ≤ x ≤1)的图象的一段圆弧(如图所示)若1201x x <<<,则( )A .2211)()(x x f x x f <B .2211)()(x x f x x f = C .2211)()(x x f x x f > D .前三个判断都不正确 12.点P 在直径为6的球面上,过P 作两两垂直的3条弦,若其中一条弦长是另一条弦长的2倍,则这3条弦长之和的最大值是( D ) A .B .6C .534D .5212 二、填空题 13.对甲乙两学生的成绩进行抽样分析,各抽取5门功课,得到的观测值如下:甲:70 80 60 70 90乙:80 60 70 84 76那么,两人中各门功课发展较平稳的是 .14.当∈k 时,23)(kx x x f +=在]2,0[上是减函数.15.“渐减数”是指每个数字比其左边数字小的正整数(如98765),若把所有五位渐减数按从小到大的顺序排列,则第55个数为 .16.)AB 垂直于BCD ∆所在的平面,4:3:,17,10===BD BC AD AC ,当BCD ∆的面积最大时,点A 到直线CD 的距离为 .。
教案及讲义课题:比较大小专练一.选择题(共60小题)1.设a=log54,则,c=0.5﹣0.2,则a,b,c的大小关系是()A.a<b<c B.b<a<c C.c<b<a D.c<a<b2.设a=log5,b=20.1,c=log32,则()A.a<c<b B.a<b<c C.b<c<a D.c<a<b3.设a=log32,b=ln2,,则a,b,c的大小关系为()A.a<b<c B.c<a<b C.b<a<c D.c<b<a4.若a=ln(ln)2,b=2ln(ln2),c=ln2,则a,b,c的大小关系为()A.b<a<c B.c<a<b C.b<c<a D.a<b<c5.已知3a=2b=log2c=6,则3a,2b,的大小关系为()A.B.C.D.6.设a=log23,b=log34,c=log48,则()A.b<c<a B.c<b<a C.a<c<b D.a<b<c7.已知a=21.2,b=log54,,则a,b,c的大小关系为()A.c<a<b B.c<b<a C.b<a<c D.b<c<a8.设a=,b=ln2,c=,则a,b,c的大小关系为()A.a<b<c B.b<c<a C.c<a<b D.c<b<a9.已知a=log0.92,b=log0.90.7,c=0.70.9,则a,b,c的大小关系是()A.a<b<c B.b<a<c C.a<c<b D.c<a<b10.已知a=log30.3,b=30.3,c=0.31.3,则a,b,c的大小关系是()A.a<b<c B.a<c<b C.c<a<b D.b<c<a11.已知,b=log32,c=log2,则a,b,c的大小关系为()A.a<b<c B.b<a<c C.a<c<b D.c<b<a12.令a=60.7,b=0.76,c=log0.76,则a,b,c的大小顺序是()A.b<c<a B.c<b<a C.b<a<c D.c<a<b13.已知a=log20.3,b=30.2,c=0.32,则()A.a<b<c B.a<c<b C.c<a<b D.b<c<a14.已知a=log27,b=log38,c=0.30.2,则a,b,c的大小关系为()A.a<b<c B.c<b<a C.b<c<a D.c<a<b15.设a=logπ3,b=+log23,c=(),则()A.b<a<c B.b<c<a C.c<a<b D.c<b<a16.设a=log35,b=log49,c=log57,则()A.c<b<a B.b<a<c C.a<c<b D.c<a<b17.若x=log50.3,y=30.3,z=0.32,则x,y,z的大小关系是()A.y>z>x B.z>y>x C.z>x>y D.y>x>z18.已知a=0.80.9,b=ln,c=1.20.8,则a,b,c的大小关系是()A.a>b>c B.c>a>b C.a>c>b D.c>b>a19.设a=log34,b=,c=,则()A.a<b<c B.b<c<a C.c<a<b D.c<b<a20.若a=0.54,b=30.5,c=ln0.5,则下列结论正确的是()A.b>c>a B.b>a>c C.a>b>c D.c>a>b21.已知,则a,b,c的大小关系为()A.a<b<c B.b<a<c C.a<c<b D.c<b<a22.已知a=ln3,b=3﹣0.4,c=3﹣0.5,则()A.a>b>c B.c>a>b C.a>c>b D.c>b>a23.已知实数a,b,c满足1.5a=3.1,5b=0.1,c=,则()A.c>a>b B.a>c>b C.b>a>c D.c>b>a24.已知a=log35,b=π,c=2﹣0.1,则()A.a<b<c B.c<a<b C.b<c<a D.a<c<b25.已知a=e﹣0.5,b=ln5,c=log0.5e,则()A.c<a<b B.c<b<a C.b<a<c D.a<b<c26.已知a=log0.20.02,b=log660,c=ln6,则()A.c<b<a B.b<a<c C.c<a<b D.a<c<b27.已知a=log0.20.05,b=0.51.002,c=4cos1,则下列判断正确的是()A.a<b<c B.b<c<a C.c<b<a D.b<a<c28.下列不等式成立的是()A.log3<log23<log25B.log3<log25<log23C.log23<log3<log25D.log23<log25<log329.已知a=2,b=log2,c=π0,则()A.a>c>b B.b>c>a C.c>a>b D.c>b>a30.已知,b=log32,c=cos3,则a、b、c的大小关系为()A.a>b>c B.a>c>b C.b>a>c D.c>a>b31.a=sin1,b=lg sin1,c=10sin1,则()A.a<b<c B.b<a<c C.b<c<a D.c<b<a32.设a=30.3,,c=log0.60.8,则a,b,c的大小关系为()A.a<b<c B.b<a<c C.c<b<a D.c<a<b33.已知,,c=sin1,则()A.a<b<c B.b<c<a C.c<b<a D.c<a<b34.已知a=ln2,,,则()A.b<c<a B.c<a<b C.a<b<c D.b<a<c35.已知a=log2π,b=ln,c=π﹣2,则()A.b<c<a B.b<a<c C.c<a<b D.a<c<b36.已知a=log52,b=log83,c=2﹣1,则下列判断正确的是()A.c<b<a B.b<a<c C.a<c<b D.a<b<c37.若,,,则a,b,c的大小关系为()A.a>b>c B.b>a>c C.c>a>b D.b>c>a38.若,则()A.a>c>b B.a>b>c C.c>a>b D.b>c>a39.已知a=ln3,b=sin,c=3,则a,b,c的大小关系是()A.a>b>c B.a>c>b C.c>b>a D.c>a>b40.以下四组数中大小比较正确的是()A.log3.1π<logπ3.1B.π﹣0.2<π﹣0.1C.0.50.3<0.40.3D.0.40.3<0.10.741.设a=30.2,b=log0.23,c=sin(﹣2021°),则()A.c<b<a B.b<c<a C.a<b<c D.b<a<c42.已知a,b,c均为正实数,且b≠1,若,则下列关系中可能成立的是()A.a=b<c B.a=c<b C.a<c<b D.b<c<a43.三个数的大小关系是()A.B.C.D.44.已知,b=log92,,则a,b,c的大小关系为()A.a>b>c B.c>b>a C.b>a>c D.a>c>b45.已知a=log0.30.5,b=30.5,c=cos3,则a,b,c的大小关系为()A.c<b<a B.b<c<a C.c<a<b D.b<a<c46.已知,,b=(sinα)α,c=(cosα)α,则()A.c>a>b B.b>c>a C.a>c>b D.c>b>a47.设a=log20.3,b=0.4,c=0.40.3,则三者大小关系为()A.a<b<c B.c<a<b C.b<c<a D.a<c<b48.已知a=log52,b=log83,c=,则下列判断正确的是()A.c<b<a B.b<a<c C.a<c<b D.a<b<c49.已知a=log1.10.9,b=0.91.1,c=1.10.9,则a,b,c的大小关系为()A.a<b<c B.a<c<b C.b<a<c D.b<c<a50.已知a=log65,b=60.1,c=log56,则a,b,c的大小关系为()A.b>a>c B.c>a>b C.b>c>a D.c>b>a51.已知a=log32,b=ln2,c=0.5﹣0.2,则a,b,c的大小关系为()A.a<c<b B.a<b<c C.b<c<a D.c<a<b52.已知函数f(x)=e﹣|x|,,,,则下述关系式正确的是()A.b>a>c B.b>c>a C.c>a>b D.a>b>c53.设a=,b=log0.30.4,c=3ln2,则a,b,c的大小关系为()A.b<a<c B.a<c<b C.b<c<a D.a<b<c54.已知a=log0.22,b=30.3,c=log32,则()A.a<b<c B.a<c<b C.c<a<b D.b<c<a55.已知函数f(x)=2|x|,a=f(()),b=f(log3),c=f(log5),则a、b、c的大小关系为()A.c>b>a B.b>a>c C.a>b>c D.c>a>b56.已知a=()﹣0.8,b=,c=40.3,则a,b,c的大小关系是()A.a<b<c B.a<c<b C.c<b<a D.b<c<a57.已知2020a=2021,2021b=2020,c=ln2,则()A.log a c>log b c B.log c a>log c bC.a c<b c D.c a<c b58.已知a=4ln3π,b=3ln4π,c=4lnπ3,则a,b,c的大小关系是()A.c<b<a B.b<c<a C.b<a<c D.a<b<c59.已知a=,b=,c=2ln,则()A.a>b>c B.a>c>b C.c>b>a D.c>a>b60.已知a=log3,b=2cosθ,c=πe,则a,b,c的大小关系是()A.a>b>c B.a>c>b C.c>b>a D.c>a>b。
小题专练17一、单项选择题:本题共8小题,每小题5分,共40分.在每小题给出的四个选项中,只有一项是符合题目要求的.1.(考点:复数,★)已知复数z 满足(z+i)i =1+i(i 为虚数单位),则复数z 在复平面内对应的点位于( ). A .第一象限 B .第二象限 C .第三象限 D .第四象限2.(考点:集合,★)设M={x|y=log 2(x+1)},N={y |y =(12)x,x >0},则( ).A .M ⊆NB .N ⊆MC .R M ⊆ND .N ⊆R M3.(考点:等差数列,★)已知等差数列{a n }的前n 项和为S n ,若S 5=15,则a 3等于( ). A .1B .2C .3D .44.(考点:双曲线,★)已知双曲线x 2a2-y 2b2=1(a>0,b>0)的实半轴长为4,离心率为54,则双曲线C 的渐近线方程为( ). A .4x±3y=0 B .3x±4y=0 C .4x±5y=0D .5x±4y=05.(考点:函数图象的判断,★★)已知函数f (x )=ax 2-x-c ,且f (x )<0的解集为(-1,2),则函数y=f (|-x |)的图象大致为( ).6.(考点:三角函数的图象与性质,★★)已知函数f (x )=sin(ωx+φ)(ω>0,0<φ<2π3)的图象的相邻两条对称轴之间的距离为π2,若f (x )的图象过点(π6,√32),则f (x )的单调递减区间为( ).A .[kπ+π12,kπ+7π12],k ∈ZB .[kπ-5π12,kπ-π12],k ∈Z C .[2kπ+π12,2kπ+7π12],k ∈ZD .[kπ+π6,kπ+2π3],k ∈Z7.(考点:排列组合,★★)某中学举行文艺晚会,已知该晚会有1个曲艺节目、4个语言节目和2个歌唱节目,若要求2个歌唱节目不连排,则不同演出顺序的种数为( ). A .2700 B .3600C .4500D .54008.(考点:函数与导数的综合,★★★)已知函数f (x )=|ln x|-ax (0<x<4)有三个零点,则实数a 的取值范围为( ). A .(ln 2,e) B .(ln22,1e)C .(0,ln2e) D .(ln 2,1)二、多项选择题:本题共4小题,每小题5分,共20分.在每小题给出的选项中,有多项符合题目要求.全部选对的得5分,部分选对的得3分,有选错的得0分.9.(考点:独立性检验,★)下列有关独立性检验说法正确的是( ). A .独立性检验中的统计假设就是假设相关事件A ,B 互斥 B .独立性检验得到的结论不一定正确C .独立性检验的基本思想是带有概率性质的反证法D .独立性检验是判断两事物之间是否相关的唯一方法 10.(考点:基本初等函数,★★)如图,西部某沙漠的风化面积y (单位:m 2)与时间t (单位:月)的关系式为y=ka t (k ∈R,且k ≠0,a>0,且a ≠1),则下列说法正确的是( ). A .风化面积每月增加的面积都相等 B .第8个月时,风化面积会超过120 m 2C .风化面积从2 m 2蔓延到64 m 2只需经过5个月D.若风化面积蔓延到4 m2,6m2,9 m2所经过的时间分别为t1,t2,t3,则t1+t2>t311.(考点:椭圆,★★)在椭圆x2a2+y2b2=1(a>b>0)上存在点P,使得|PF2|=|3PF1|,其中F1,F2分别为椭圆的左、右焦点,则该椭圆的离心率可能为().A.1 4B.12C.23D.3412.(考点:与球有关的计算,★★★)已知在矩形ABCD中,AB=4,BC=3,将矩形ABCD沿对角线AC折成大小为θ的二面角B-AC-D,若折成的四面体ABCD内接于球O,则下列说法正确的是().A.四面体ABCD的体积的最大值是24B.球心O为线段AC的中点C.球O的表面积为定值D.球O的体积为定值三、填空题:本题共4小题,每小题5分,共20分.13.(考点:平面向量,★)已知向量a=(k,2),b=(1,3),c=(-2,1),且(2a-3b)∥c,则实数k= .14.(考点:二项式定理,★★)(x2+1x +y)5的展开式中x2y的系数为.15.(考点:均值不等式,★★★)若直线ax+2by-2=0(a>0,b>0)平分圆x2+y2-2x-2y-2=0,则3a+9b的最小值是.16.(考点:数列的综合,★★★)已知各项均为正数的等差数列{a n}的前n项和为S n,S2n-1=a n2,n∈N*,则数列{a n}的通项公式为;若不等式a n≥λnn+8对于任意的n∈N*恒成立,则实数λ的最大值为.答案解析:1.(考点:集合,★)设M={x|y=log 2(x+1)},N={y |y =(12)x,x >0},则( ).A .M ⊆NB .N ⊆MC .R M ⊆ND .N ⊆R M【解析】因为M={x|y=log 2(x+1)}={x|x>-1},N={y |y =(12)x,x >0}={y|0<y<1},所以N ⊆M.【答案】B2.(考点:复数,★)已知复数z 满足(z+i)i =1+i(i 为虚数单位),则复数z 在复平面内对应的点位于( ). A .第一象限 B .第二象限 C .第三象限 D .第四象限 【解析】由题意可得z=1+i i-i =1-2i,故复数z 在复平面内对应的点位于第四象限.【答案】D3.(考点:等差数列,★)已知等差数列{a n }的前n 项和为S n ,若S 5=15,则a 3等于( ). A .1B .2C .3D .4【解析】由S 5=5(a 1+a 5)2=15,可得a 1+a 5=2a 3=6,所以a 3=3,故选C .【答案】C4.(考点:双曲线,★)已知双曲线x 2a2-y 2b2=1(a>0,b>0)的实半轴长为4,离心率为54,则双曲线C 的渐近线方程为( ). A .4x±3y=0 B .3x±4y=0 C .4x±5y=0D .5x±4y=【解析】因为双曲线x 2a 2-y 2b 2=1(a>0,b>0)的实半轴长为4,所以a=4.由离心率为54,可得ca =54,c=5,所以b=√c 2-a 2=√25-16=3,所以双曲线C 的渐近线方程为3x±4y=0.故选B . 【答案】B5.(考点:函数图象的判断,★★)已知函数f (x )=ax 2-x-c ,且f (x )<0的解集为(-1,2),则函数y=f (|-x |)的图象大致为( ).【解析】因为函数f (x )=ax 2-x-c ,且f (x )<0的解集为(-1,2),所以-1,2是方程ax 2-x-c=0的两个根,由根与系数的关系可得-1+2=1a ,-1×2=-ca ,所以a=1,c=2,所以f (x )=x 2-x-2.又由f (|-x |)=f (|x|),可知y=f (|-x |)的图象为C . 【答案】C6.(考点:三角函数的图象与性质,★★)已知函数f (x )=sin(ωx+φ)(ω>0,0<φ<2π3)的图象的相邻两条对称轴之间的距离为π2,若f (x )的图象过点(π6,√32),则f (x )的单调递减区间为( ).A .[kπ+π12,kπ+7π12],k ∈Z B .[kπ-5π12,kπ-π12],k ∈ZC .[2kπ+π12,2kπ+7π12],k ∈Z D .[kπ+π6,kπ+2π3],k ∈Z【解析】由题意得T 2=π2,T=π,则ω=2.由f (x )的图象过点(π6,√32),得sin (2×π6+φ)=√32,即sinπ3+φ=√32.又因为0<φ<2π3,所以π3<π3+φ<π,所以π3+φ=2π3,则φ=π3,所以f (x )=sin (2x +π3).令2k π+π2≤2x+π3≤2k π+3π2,k ∈Z,得k π+π12≤x ≤k π+7π12,k ∈Z,所以f (x )的单调递减区间为[kπ+π12,kπ+7π12],k ∈Z .【答案】A7.(考点:排列组合,★★)某中学举行文艺晚会,已知该晚会有1个曲艺节目、4个语言节目和2个歌唱节目,若要求2个歌唱节目不连排,则不同演出顺序的种数为( ). A .2700 B .3600 C .4500 D .5400【解析】先对除歌唱节目以外的5个节目全排列,共A 55种方式,再把2个歌唱节目插在6个空位中,有A 62种方式,所以不同的演出顺序共有A 55A 62=3600(种).【答案】B8.(考点:函数与导数的综合,★★★)已知函数f (x )=|ln x|-ax (0<x<4)有三个零点,则实数a 的取值范围为( ). A .(ln 2,e) B .(ln22,1e)C .(0,ln2e) D .(ln 2,1)【解析】令y 1=|ln x|,y 2=ax ,若函数f (x )在区间(0,4)上有三个零点,则y 1=|ln x|与y 2=ax 的图象在区间(0,4)上有三个交点.由图象易知,当a ≤0时,不符合题意;当a>0时,易知y 1=|ln x|与y 2=ax 的图象在区间(0,1)上有一个交点,所以只需要y 1=|ln x|与y 2=ax 的图象在区间(1,4)上有两个交点即可,此时|ln x|=ln x ,由ln x=ax ,得a=lnx x.令h (x )=lnx x,x ∈(1,4),则h'(x )=1-lnx x 2,故函数h (x )在(1,e)上单调递增,在(e,4)上单调递减,h (e)=ln e e=1e,h (1)=0,h (4)=ln44=ln22,所以ln22<a<1e.故选B .【答案】B二、多项选择题:本题共4小题,每小题5分,共20分.在每小题给出的选项中,有多项符合题目要求.全部选对的得5分,部分选对的得3分,有选错的得0分.9.(考点:独立性检验,★)下列有关独立性检验说法正确的是( ). A .独立性检验中的统计假设就是假设相关事件A ,B 互斥 B .独立性检验得到的结论不一定正确C .独立性检验的基本思想是带有概率性质的反证法D .独立性检验是判断两事物之间是否相关的唯一方法【解析】独立性检验中的假设是H 0:A ,B 独立,当我们拒绝H 0时,A ,B 就相关了,所以A 错误;独立性检验只是在一定的可信度下进行判断,不一定正确,所以B 正确;假设检验的基本思想是“在一次试验中,小概率事件不可能发生”,若小概率事件发生了,则有理由认为原假设不成立,所以C 正确;独立性检验不是判断两事物之间是否相关的唯一方法,所以D 错误.故选BC . 【答案】BC 10.(考点:基本初等函数,★★)如图,西部某沙漠的风化面积y (单位:m 2)与时间t (单位:月)的关系式为y=ka t (k ∈R,且k ≠0,a>0,且a ≠1),则下列说法正确的是( ). A .风化面积每月增加的面积都相等 B .第8个月时,风化面积会超过120 m 2C .风化面积从2 m 2蔓延到64 m 2只需经过5个月D .若风化面积蔓延到4 m 2,6m 2,9 m 2所经过的时间分别为t 1,t 2,t 3,则t 1+t 2>t 3【解析】由题意可知,函数图象过点(1,1)和点(3,4),代入函数关系式y=ka t (k ∈R,且k ≠0,a>0,且a ≠1),得{ka =1,ka 3=4,解得{k =12,a =2, 所以函数关系式为y=12×2t =2t-1.对于A 项,因为函数是曲线型函数,所以风化面积每月增加的面积不相等,故A 错误. 对于B 项,当x=8时,y=27=128,风化的面积超过了120 m 2,故B 正确.对于C 项,令y=2,得t=2;令y=64,得t=7,所以风化面积从2 m 2蔓延到64 m 2需要5个月,故C 正确.对于D 项,令y=4,得t 1=3;令y=6,得t 2=log 212;令y=9,得t 3=log 218.所以t 1+t 2=3+log 212=log 296>log 218=t 3,故D 正确. 【答案】BCD11.(考点:椭圆,★★)在椭圆x 2a 2+y 2b 2=1(a>b>0)上存在点P ,使得|PF 2|=|3PF 1|,其中F 1,F 2分别为椭圆的左、右焦点,则该椭圆的离心率可能为( ). A .14 B .12 C .23 D .34【解析】设椭圆的焦距为2c (c>0),由椭圆的定义可得{|PF 2|=3|PF 1|,|PF 1|+|PF 2|=2a ,解得|PF 2|=3a 2,|PF 1|=a 2,由题意可得{a2≥a -c ,3a2≤a +c ,解得c a ≥12,又0<c a<1,所以12≤ca<1,所以该椭圆离心率的取值范围是[12,1). 故选BCD . 【答案】BCD12.(考点:与球有关的计算,★★★)已知在矩形ABCD 中,AB=4,BC=3,将矩形ABCD 沿对角线AC 折成大小为θ的二面角B-AC-D ,若折成的四面体ABCD 内接于球O ,则下列说法正确的是( ). A .四面体ABCD 的体积的最大值是24 B .球心O 为线段AC 的中点 C .球O 的表面积为定值D .球O 的体积为定值 【解析】如图所示,当平面ACD ⊥平面ABC 时,四面体ABCD 的体积最大,最大值为13×12×3×4×3×45=245,故A 错误;由题意得,在四面体ABCD 内,AC 的中点O 到点A ,B ,C ,D 的距离相等,且大小为AC 2=52,所以点O 为外接球的球心,且球的半径R=AC 2=52,为定值,所以球的表面积和体积都为定值.故选BCD . 【答案】BCD三、填空题:本题共4小题,每小题5分,共20分.13.(考点:平面向量,★)已知向量a=(k ,2),b=(1,3),c=(-2,1),且(2a-3b )∥c ,则实数k= .【解析】因为a=(k ,2),b=(1,3),c=(-2,1),所以2a-3b=(2k-3,-5).又因为(2a-3b )∥c ,所以(2k-3)×1-(-5)×(-2)=0,解得k=132. 【答案】13214.(考点:二项式定理,★★)(x 2+1x +y)5的展开式中x 2y 的系数为 . 【解析】(x 2+1x+y)5的展开式的通项公式为T r+1=C 5r(x 2+1x)5-r·y r ,令r=1,则T 2=C 51x 2+1x 4y.又(x 2+1x )4的展开式的通项公式为T k+1=C 4k (x 2)4-k ·(1x )k=C 4k x8-3k ,令8-3k=2,则k=2,所以(x 2+1x+y)5的展开式中x 2y 的系数为C 51C 42=30.【答案】3015.(考点:均值不等式,★★★)若直线ax+2by-2=0(a>0,b>0)平分圆x 2+y 2-2x-2y-2=0,则3a +9b 的最小值是 .【解析】由题意可知直线过圆心,因为圆x 2+y 2-2x-2y-2=0的标准方程为(x-1)2+(y-1)2=4,所以a+2b=2,利用均值不等式可得3a +9b =3a +32b ≥2√3a ·32b =2√3a+2b .因为a+2b=2,所以3a +9b ≥2√32=6,当且仅当3a =32b ,即a=1,b=12时取等号. 【答案】616.(考点:数列的综合,★★★)已知各项均为正数的等差数列{a n }的前n 项和为S n ,S 2n-1=a n 2,n ∈N *,则数列{a n }的通项公式为 ;若不等式a n ≥λnn+8对于任意的n ∈N *恒成立,则实数λ的最大值为 .【解析】因为S 2n-1=a n 2,所以a n 2=(2n -1)(a 1+a 2n -1)2=(2n-1)a n ,所以a n =2n-1,n ∈N *.因为不等式a n ≥λnn+8对于任意的n ∈N *恒成立,所以λ≤[(n+8)(2n -1)n]min,即λ≤(2n -8n +15)min,当n ≥1时,f (n )=2n-8n +15单调递增,其最小值为f (1)=9,所以λ≤9,故实数λ的最大值为9. 【答案】a n =2n-1,n ∈N * 9。
小题专练03三角函数、平面向量与解三角形(A)一、单项选择题:本题共8小题,每小题5分,共40分.在每小题给出的四个选项中,只有一项是符合题目要求的.1.(考点:正弦定理,★)已知在△ABC 中,A=30°,a=7,则a+b+csinA+sinB+sinC =( ). A .16B .15C .14D .132.(考点:两向量垂直的性质,★)已知a=(2,-1),b=(1,λ),若(3a-2b )⊥b ,则实数λ的值为( ). A .-3+√414或-3-√414B .-3-√414C .-3+√414D .23.(考点:平面向量的坐标运算,★★)已知向量OM ⃗⃗⃗⃗⃗⃗ =(3,0),ON ⃗⃗⃗⃗⃗⃗ =(0,1),MP ⃗⃗⃗⃗⃗⃗ =t MN⃗⃗⃗⃗⃗⃗⃗ ,则当|OP ⃗⃗⃗⃗⃗ |取最小值时,实数t=( ). A .15B .12C .910D .14.(考点:三角恒等变换,★★)已知cos (π10-α)=25,则cos (9π5+2α)的值为( ). A .19 B .1725 C .-19 D .-17255.(考点:三角函数的图象与性质,★★)将函数f (x )=sin (2x -π3)的图象向右平移φ(φ>0)个单位长度,得到函数g (x )的图象,且g (-x )=g (x ),则φ的一个可能值为( ). A .π6B .π4C .π3D .π126.(考点:平面向量的数量积,★★)已知在△ABC 中,AB=3,AC=1,∠BAC=30°,D ,E 分别为AB ,BC 的中点,则AE ⃗⃗⃗⃗⃗ ·CD ⃗⃗⃗⃗⃗ =( ). A .14-3√38B .3√38C .2D .17.(考点:三角恒等变换及函数的性质,★★★)已知函数f (x )=cos (2x -π6)-2√3sin (x +π4)cos x+π4,x ∈R,给出下列四个结论:①函数f (x )的最小正周期为4π; ②函数f (x )的最大值为1; ③函数f (x )在[-π4,π4]上单调递增;④将函数f (x )的图象向左平移π12个单位长度,所得图象对应的函数解析式为g (x )=sin 2x.其中正确结论的个数是( ).A .1B .2C .3D .48.(考点:解三角形的实际应用,★★★)一个大型喷水池的中央有一个强力喷水柱,为了测量喷水柱喷出的水柱的高度,某人在喷水柱正西方向的点A 处测得水柱顶端的仰角为30°,沿点A 向北偏东60°方向前进10 m 到达点B ,在点B 处测得水柱顶端的仰角为45°,则水柱的高度是( ). A .5 mB .10 mC .10 m 或5 mD .15 m二、多项选择题:本题共4小题,每小题5分,共20分.在每小题给出的选项中,有多项符合题目要求.全部选对的得5分,部分选对的得3分,有选错的得0分. 9.(考点:三角恒等变换,★★)下列各式中,值为12的有( ).A .2√33sin 30°cos 30° B .cos 230°-sin 230° C .1-2cos 230° D .sin 230°+cos 230°10.(考点:平面向量的坐标运算,★★)已知向量a+b=(5,3),a-b=(-3,1),c=(-2,1),设a ,b 的夹角为θ,则( ). A .|a|=|b| B .a ⊥cC .b ∥cD .cos θ=6√858511.(考点:三角函数的基本性质,★★)已知函数f (x )=sin x+|cos x|,则下列命题正确的是( ). A .该函数为奇函数B .该函数的最小正周期为2πC .该函数的图象关于直线x=π2对称D .该函数的单调递增区间为[-π2+2kπ,π2+2kπ],k ∈Z12.(考点:解三角形,★★★)已知△ABC 的内角A ,B ,C 的对边分别为a ,b ,c ,则下列四个命题中正确的是( ). A .若a 2+b 2-c 2<0,则△ABC 一定是钝角三角形 B .若acosA =bcosB =ccosC ,则△ABC 一定是等边三角形 C .若a cos A=b cos B ,则△ABC 一定是等腰三角形 D .若b cos C=c cos B ,则△ABC 一定是等腰三角形 三、填空题:本题共4小题,每小题5分,共20分.13.(考点:向量共线的条件,★★)已知a=(3,2),b=(k ,5),若(a+2b )∥(4a-3b ),则k= .14.(考点:两角和与差的正、余弦公式,★★)已知α,β为锐角,cos α=35,sin(α+β)=1213,则cos β= .15.(考点:平面向量的数量积,★★)已知等边△ABC 的边长为6,平面内一点P 满足CP ⃗⃗⃗⃗⃗ =12CB ⃗⃗⃗⃗⃗ +13CA ⃗⃗⃗⃗⃗ ,则PA⃗⃗⃗⃗⃗ ·PB ⃗⃗⃗⃗⃗ = . 16.(考点:三角恒等变换及函数的性质,★★★)已知函数f (x )=sin 2x-sin 2(x -π6),x ∈R,则f (x )的最小值为 ;单调递增区间为 .答案解析:一、单项选择题:本题共8小题,每小题5分,共40分.在每小题给出的四个选项中,只有一项是符合题目要求的.1.(考点:三角函数的定义,★)若角α的终边过点(-sin 45°,cos 30°),则sin α=( ). A .√32B .√155C .-√155D .-√32【解析】由题意可知角α的终边过点(-√22,√32), 故sin α=√32√(-√22)+(√32)=√155. 【答案】B2.(考点:三角恒等变换,★)已知tan α=-4,则cos(π-2α)=( ). A .35 B .310 C .1517 D .3√1010【解析】由题意得,cos(π-2α)=-cos 2α=-cos 2α+sin 2α=-cos 2α+sin 2αsin 2α+cos 2α=-1+tan 2αtan 2α+1=-1+1616+1=1517.【答案】C3.(考点:平面向量与三角函数的综合,★★)已知向量a=(sin α,3),b=(-1,cos α),且a ⊥b ,则sin2αsinαcosα+cos 2α=( ).A .23 B .32 C .1 D .52【解析】因为a ⊥b ,所以a ·b=-sin α+3cos α=0,即sin α=3cos α,所以tan α=3, 故sin2αsinαcosα+cos 2α=2tanαtanα+1=32. 【答案】B4.(考点:三角函数的图象与性质,★★)若函数y=3sin(3x+φ)的图象关于点(5π4,0)中心对称,则|φ|的最小值为( ). A .π3 B .π6 C .π4 D .π12【解析】由题意可得3sin (3×5π4+φ)=0,故3×5π4+φ=k π,k ∈Z,解得φ=k π-15π4,k ∈Z,令k=4,可得|φ|的最小值为π4. 【答案】C5.(考点:平面向量的数量积,★★)设向量a ,b 满足|a+b|=3,|a-b|=2,则a ·b=( ). A .1 B .54C .32D .74【解析】由题意可得,a 2+2a ·b+b 2=9,a 2-2a ·b+b 2=4, 两式相减,得4a ·b=9-4=5, 即a ·b=54. 【答案】B6.(考点:三角函数的图象变换,★★)函数f (x )=A sin(ωx+φ)(A >0,ω>0,|φ|<π2)的部分图象如图所示,为了得到y=sin (2x -π3)的图象,只需将f (x )的图象上( ).A .各点的横坐标变为原来的2倍,再向右平移π6个单位长度B .各点的横坐标变为原来的12,再向右平移π3个单位长度C .各点的横坐标变为原来的2倍,再向左平移π6个单位长度D .各点的横坐标变为原来的12,再向左平移π3个单位长度【解析】根据函数f (x )=A sin(ωx+φ)(A >0,ω>0,φ<π2)的部分图象,可得A=1,34T=7π6-(-π3)=3π2,解得T=2π, 所以ω=2πT =1.再根据五点作图法可得7π6+φ=3π2,则φ=π3,故f (x )=sin (x +π3).则将函数y=f (x )的图象上各点的横坐标变为原来的12,得到y=sin (2x +π3)的图象,再向右平移π3个单位长度,得到y=sin (2x -π3)的图象.故选B.【答案】B7.(考点:正、余弦定理的综合应用,★★★)已知在△ABC 中,a ,b ,c 分别为内角A ,B ,C 所对的边,且a=2,c cosA+a cos C=-2√33b cos B ,△ABC 的面积S=√3,则b=( ). A .√13B .√14C .2√7D .√21【解析】由正弦定理可得sin C cos A+sin A cos C=-2√33sin B cos B ,即sin(A+C )=-2√33sin B cos B , 所以sin B=-2√33sin B cos B , 又sin B ≠0,所以cos B=-√32,则B=150°. 因为a=2,△ABC 的面积S=√3, 所以S=12ac sin B=12×2×c ×12=√3,解得c=2√3,所以b=√a 2+c 2-2accosB =2√7. 【答案】C8.(考点:三角恒等变换及函数的性质,★★★)已知函数f (x )=√3sin 2(2π-ωx )+sin ωx cos ωx+√32,且f (α)=√3+1,f (β)=√3,若|α-β|的最小值是π,则下列结论正确的是( ). A .ω=1,函数f (x )的最大值为1 B .ω=12,函数f (x )的最大值为√3+1 C .ω=14,函数f (x )的最大值为√3+1D .ω=12,函数f (x )的最大值为1【解析】f (x )=√3sin 2(2π-ωx )+sin ωx cos ωx+√32=√3sin 2ωx+12sin 2ωx+√32=12sin 2ωx-√32cos 2ωx+√3=sin (2ωx -π3)+√3,由题意可得该函数的周期为π×4=4π,则2π2ω=4π,所以ω=14,则f (x )=sin (12x -π3)+√3,故f (x )的最大值为√3+1. 【答案】C二、多项选择题:本题共4小题,每小题5分,共20分.在每小题给出的选项中,有多项符合题目要求.全部选对的得5分,部分选对的得3分,有选错的得0分. 9.(考点:三角恒等变换,★★)下列各式中,值为12的有( ). A .2√33sin 30°cos 30° B .cos 230°-sin 230° C .1-2cos 230° D .sin 230°+cos 230° 【解析】A 符合,2√33sin 30°cos 30°=√33sin 60°=12; B 符合,cos 230°-sin 230°=cos 60°=12; C 不符合,1-2cos 230°=-cos 60°=-12; D 不符合,sin 230°+cos 230°=1. 故选AB . 【答案】AB10.(考点:平面向量的坐标运算,★★)已知向量a+b=(5,3),a-b=(-3,1),c=(-2,1),设a ,b 的夹角为θ,则( ). A .|a|=|b| B .a ⊥cC .b ∥cD .cos θ=6√8585【解析】根据题意,a+b=(5,3),a-b=(-3,1),则a=(1,2),b=(4,1), 对于A 项,|a|=√5,|b|=√17,则|a|=|b|不成立,A 错误; 对于B 项,a=(1,2),c=(-2,1),则a ·c=0,即a ⊥c ,B 正确; 对于C 项,b=(4,1),c=(-2,1),b ∥c 不成立,C 错误;对于D 项,a=(1,2),b=(4,1),则a ·b=6,|a|=√5,|b|=√17,则cos θ=a ·b|a ||b |=6√8585,D 正确.故选BD . 【答案】BD11.(考点:三角函数的基本性质,★★)已知函数f (x )=sin x+|cos x|,则下列命题正确的是( ). A .该函数为奇函数B .该函数的最小正周期为2πC .该函数的图象关于直线x=π2对称D .该函数的单调递增区间为[-π2+2kπ,π2+2kπ],k ∈Z【解析】当cos x ≥0时,f (x )=sin x+cos x=√2sin (x +π4), 当cos x<0时,f (x )=sin x-cos x=√2sin (x -π4),画出函数图象,如图所示.根据图象知,函数不是奇函数,A 错误;f (x+2π)=sin(x+2π)+|cos(x+2π)|=sin x+|cos x|=f (x ),故该函数的最小正周期为2π,B 正确; f (π-x )=sin(π-x )+|cos(π-x )|=sin x+|cos x|=f (x ),故该函数的图象关于直线x=π2对称,C 正确;由图象可知,在[-π2,π2]上,函数f (x )不单调,所以f (x )的单调递增区间不为[-π2+2kπ,π2+2kπ],k ∈Z,D 错误. 故选BC . 【答案】BC12.(考点:解三角形,★★★)已知△ABC 的内角A ,B ,C 的对边分别为a ,b ,c ,则下列四个命题中正确的是( ). A .若a 2+b 2-c 2<0,则△ABC 一定是钝角三角形 B .若acosA =bcosB =ccosC,则△ABC 一定是等边三角形C .若a cos A=b cos B ,则△ABC 一定是等腰三角形D .若b cos C=c cos B ,则△ABC 一定是等腰三角形 【解析】对于A,若a 2+b 2-c 2<0,由余弦定理可知cos C=a 2+b 2-c 22ab<0,角C 为钝角,故A 正确;对于B,因为acosA =bcosB =ccosC ,由正弦定理得a=2R sin A ,b=2R sin B ,c=2R sin C ,所以tan A=tan B=tan C ,所以A=B=C ,所以△ABC 一定是等边三角形,故B 正确;对于C,若a cos A=b cos B ,由正弦定理得sin 2A=sin 2B ,所以A=B 或A+B=π2,所以△ABC 是等腰三角形或直角三角形,故C 错误;对于D,若b cos C=c cos B ,由正弦定理得sin B cos C=sin C cos B ,则sin B cos C-sin C cos B=0,所以sin(B-C )=0,得B=C ,所以△ABC 一定是等腰三角形,故D 正确. 故选ABD .【答案】ABD三、填空题:本题共4小题,每小题5分,共20分.13.(考点:向量共线的条件,★★)已知a=(3,2),b=(k ,5),若(a+2b )∥(4a-3b ),则k= . 【解析】由题意得a+2b=(3+2k ,12),4a-3b=(12-3k ,-7), 因为(a+2b )∥(4a-3b ), 所以(3+2k )·(-7)=12·(12-3k ), 解得k=152. 【答案】15214.(考点:两角和与差的正、余弦公式,★★)已知α,β为锐角,cos α=35,sin(α+β)=1213,则cos β= .【解析】由题意得sin α=√1-cos 2α=45,cos(α+β)=±√1-sin 2(α+β)=±513.当cos(α+β)=513时,cos β=cos[(α+β)-α]=cos(α+β)cos α+sin(α+β)sin α=513×35+1213×45=6365; 当cos(α+β)=-513时,cos β=cos[(α+β)-α]=cos(α+β)cos α+sin(α+β)sin α=-513×35+1213×45=3365. 综上所述,cos β的值为6365或3365. 【答案】6365或336515.(考点:平面向量的数量积,★★)已知等边△ABC 的边长为6,平面内一点P 满足CP ⃗⃗⃗⃗⃗ =12CB ⃗⃗⃗⃗⃗ +13CA ⃗⃗⃗⃗⃗ ,则PA⃗⃗⃗⃗⃗ ·PB ⃗⃗⃗⃗⃗ = . 【解析】由CP⃗⃗⃗⃗⃗ =12CB ⃗⃗⃗⃗⃗ +13CA ⃗⃗⃗⃗⃗ ,可得PA ⃗⃗⃗⃗⃗ =PC ⃗⃗⃗⃗⃗ +CA ⃗⃗⃗⃗⃗ =23CA ⃗⃗⃗⃗⃗ -12CB ⃗⃗⃗⃗⃗ ,PB ⃗⃗⃗⃗⃗ =CB ⃗⃗⃗⃗⃗ -CP ⃗⃗⃗⃗⃗ =12CB ⃗⃗⃗⃗⃗ -13CA ⃗⃗⃗⃗⃗ , 故PA ⃗⃗⃗⃗⃗ ·PB ⃗⃗⃗⃗⃗ =(23CA ⃗⃗⃗⃗⃗ -12CB ⃗⃗⃗⃗⃗ )·(12CB ⃗⃗⃗⃗⃗ -13CA ⃗⃗⃗⃗⃗ ) =12CA ⃗⃗⃗⃗⃗ ·CB ⃗⃗⃗⃗⃗ -29CA ⃗⃗⃗⃗⃗ 2-14CB ⃗⃗⃗⃗⃗ 2 =12×18-29×36-14×36 =-8. 【答案】-816.(考点:三角恒等变换及函数的性质,★★★)已知函数f (x )=sin 2x-sin 2(x -π6),x ∈R,则f (x )的最小值为 ;单调递增区间为 .【解析】由题意,f (x )=sin 2 x-sin 2(x -π6)=12(1-cos 2x )-12[1-cos (2x -π3)]=-14cos 2x+√34sin 2x=12sin (2x -π6), 所以函数f (x )的最小值为-12;令-π2+2k π≤2x-π6≤π2+2k π,k ∈Z,则-π6+k π≤x ≤π3+k π,k ∈Z,即f (x )的单调递增区间为[-π6+kπ,π3+kπ],k ∈Z .【答案】-12 [-π6+kπ,π3+kπ],k ∈Z。
一、选择题(每题5分,共50分)1. 若函数f(x) = x^3 - 3x + 2在区间[1,2]上的最大值为M,最小值为m,则M+m等于:A. 0B. 1C. 2D. 32. 已知等差数列{an}的前n项和为Sn,若a1 + a5 = 10,a3 + a7 = 18,则S10等于:A. 45B. 50C. 55D. 603. 函数y = log2(x + 1)的图像在以下哪个象限?A. 第一象限B. 第二象限C. 第三象限D. 第四象限4. 在三角形ABC中,角A、B、C的对边分别为a、b、c,若a^2 + b^2 - c^2 = 0,则三角形ABC是:A. 直角三角形B. 锐角三角形C. 钝角三角形D. 等腰三角形5. 已知复数z = 2 + 3i,则|z|的值为:A. 5B. 6C. 7D. 86. 下列函数中,定义域为实数集R的是:A. y = 1/xB. y = √(x^2 - 4)C. y = x^2 - 2x + 1D. y = |x|7. 已知函数f(x) = ax^2 + bx + c(a≠0),若f(1) = 0,f(-1) = 0,则f(0)等于:A. 0B. 1C. -1D. 无法确定8. 下列命题中,正确的是:A. 函数y = x^3是增函数B. 等差数列{an}的公差d等于第二项a2减去第一项a1C. 复数z的模|z|等于z的实部与虚部的乘积D. 三角形的外接圆半径R等于边长a、b、c的乘积的平方根9. 已知函数f(x) = x^2 - 4x + 4,若存在实数k,使得f(x) + k = 0有两个不同的实数解,则k的取值范围是:A. k < 0B. k = 0C. k > 0D. k∈R10. 下列不等式中,正确的是:A. x^2 + y^2 > 0B. x^2 + y^2 ≥ 0C. x^2 + y^2 = 0D. x^2 + y^2 ≠ 0二、填空题(每题5分,共25分)11. 若等差数列{an}的第一项a1 = 2,公差d = 3,则第10项an等于______。
高考小题训练集 三基小题训练一一、选择题(本大题共12小题,每小题5分,共60分.在每小题给出的四个选项中,只有一项是符合题目要求的)1.函数y =2x +1的图象是 ( )2.△ABC中,cos A =135,sin B =53,则cos C 的值为 ( ) A.6556 B.-6556 C.-6516 D. 65163.过点(1,3)作直线l ,若l 经过点(a ,0)和(0,b ),且a ,b ∈N *,则可作出的l 的条数为( )A.1B.2C.3D.多于34.函数f (x )=log a x (a >0且a ≠1)对任意正实数x ,y 都有 ( )A.f (x ·y )=f (x )·f (y )B.f (x ·y )=f (x )+f (y )C.f (x +y )=f (x )·f (y )D.f (x +y )=f (x )+f (y )5.已知二面角α—l —β的大小为60°,b 和c 是两条异面直线,则在下列四个条件中,能使b 和c 所成的角为60°的是( )A.b ∥α,c ∥βB.b ∥α,c ⊥βC.b ⊥α,c ⊥βD.b ⊥α,c ∥β6.一个等差数列共n 项,其和为90,这个数列的前10项的和为25,后10项的和为75,则项数n 为 ( )A.14B.16C.18D.207.某城市的街道如图,某人要从A 地前往B 地,则路程最短的走法有 ( )A.8种B.10种C.12种D.32种8.若a ,b 是异面直线,a ⊂α,b ⊂β,α∩β=l ,则下列命题中是真命题的为( )A.l 与a 、b 分别相交B.l 与a 、b 都不相交C.l 至多与a 、b 中的一条相交D.l 至少与a 、b 中的一条相交9.设F 1,F 2是双曲线42x -y 2=1的两个焦点,点P 在双曲线上,且1PF ·2PF =0,则|1PF |·|2PF |的值等于( )A.2B.22C.4D.810.f (x )=(1+2x )m +(1+3x )n (m ,n ∈N *)的展开式中x 的系数为13,则x 2的系数为( )A.31B.40C.31或40D.71或8011.从装有4粒大小、形状相同,颜色不同的玻璃球的瓶中,随意一次倒出若干粒玻璃球(至少一粒),则倒出奇数粒玻璃球的概率比倒出偶数粒玻璃球的概率( )A.小B.大C.相等D.大小不能确定12.如右图,A 、B 、C 、D 是某煤矿的四个采煤点,l 是公路,图中所标线段为道路,ABQP 、BCRQ 、CDSR 近似于正方形.已知A 、B 、C 、D 四个采煤点每天的采煤量之比约为5∶1∶2∶3,运煤的费用与运煤的路程、所运煤的重量都成正比.现要从P 、Q 、R 、S 中选出一处设立一个运煤中转站,使四个采煤点的煤运到中转站的费用最少,则地点应选在( )A.P 点B.Q 点C.R 点D.S 点二、填空题(本大题共4小题,每小题4分,共16分.把答案填在题中横线上)13.抛物线y 2=2x 上到直线x -y +3=0距离最短的点的坐标为_________.14.一个长方体共一顶点的三个面的面积分别是2,3,6,这个长方体对角线的长是_________.15.设定义在R 上的偶函数f (x )满足f (x +1)+f (x )=1,且当x ∈[1,2]时,f (x )=2-x ,则f (8.5)=_________.16.某校要从甲、乙两名优秀短跑选手中选一名选手参加全市中学生田径百米比赛,该校预先对这两名选手测试了8次,测试成绩如下:第1次 第2次 第3次 第4次 第5次 第6次 第7次 第8次 甲成绩(秒) 12.1 12.2 13 12.5 13.1 12.5 12.4 12.2 乙成绩(秒)1212.412.81312.212.812.312.5根据测试成绩,派_________(填甲或乙)选手参赛更好,理由是____________________. 答案:一、1.A 2.D 3.B 4.B 5.C 6.C 7.B 8.D 9.A 10.C 11.B 12.B二、13.(21,1) 14.6 15. 21 三基小题训练二一、选择题:本大题共12小题,每小题5分,共60分.在每小题给出的四个选项中,只有一项是符合题目要求的.1.如图,点O 是正六边形ABCDEF 的中心,则以图中点 A 、B 、C 、D 、E 、F 、O 中的任意一点为始点,与始点不 同的另一点为终点的所有向量中,除向量OA 外,与向量EF DOC BAOA 共线的向量共有( )A .2个B . 3个C .6个D . 7个2.已知曲线C :y 2=2px 上一点P 的横坐标为4,P 到焦点的距离为5,则曲线C 的焦点到准线的距离为 ( )A . 21B . 1C . 2D . 43.若(3a 2 -312a ) n 展开式中含有常数项,则正整数n 的最小值是 ( )A .4B .5C . 6D . 84. 从5名演员中选3人参加表演,其中甲在乙前表演的概率为 ( )A . 203B . 103C . 201D . 1015.抛物线y 2=a(x+1)的准线方程是x=-3,则这条抛物线的焦点坐标是( ) A.(3,0) B.(2,0) C.(1,0) D.(-1,0)6.已知向量m=(a ,b ),向量n⊥m,且|n|=|m|,则n的坐标可以为( ) A.(a ,-b ) B.(-a ,b ) C.(b ,-a ) D.(-b ,-a )7. 如果S ={x |x =2n +1,n ∈Z },T ={x |x =4n ±1,n ∈Z },那么A.S TB.T SC.S=TD.S ≠T8.有6个座位连成一排,现有3人就坐,则恰有两个空座位相邻的不同坐法有 ( )A .36种B .48种C .72种D .96种9.已知直线l 、m ,平面α、β,且l ⊥α,m ⊂β.给出四个命题:(1)若α∥β,则l ⊥m ; (2)若l ⊥m ,则α∥β;(3)若α⊥β,则l ∥m ;(4)若l ∥m ,则α⊥β,其中正确的命题个数是( )A.4B.1C.3D.210.已知函数f(x)=log 2(x 2-ax +3a)在区间[2,+∞)上递增,则实数a 的取值范围是( )A.(-∞,4)B.(-4,4]C.(-∞,-4)∪[2,+∞)D.[-4,2)11.4只笔与5本书的价格之和小于22元,而6只笔与3本书的价格之和大于24元,则2只笔与3本书的价格比较( )A .2只笔贵B .3本书贵C .二者相同D .无法确定12.若α是锐角,sin(α-6π)=31,则cos α的值等于A.6162- B. 6162+ C. 4132+ D. 3132-二、填空题:本大题共4小题,每小题4分,共16分.答案填在题中横线上. 13.在等差数列{a n }中,a 1=251,第10项开始比1大,则公差d 的取值范围是___________.14.已知正三棱柱ABC —A 1B 1C 1,底面边长与侧棱长的比为2∶1,则直线AB 1与CA 1所成的角为 。
小题专练19一、单项选择题:本题共8小题,每小题5分,共40分.在每小题给出的四个选项中,只有一项是符合题目要求的.1.(考点:复数,★)已知i为虚数单位,z1=2-3i-(1-2i),z·2z1=z1,则关于复数z的说法正确的是().A.z+z=2B.z在复平面内对应的点在第三象限C.z的虚部为-iD.|z|=12.(考点:集合,★)已知集合A={x|x-2x-1≥0},则R A=().A.{x|1<x<2}B.{x|1≤x<2}C.{x|x<1或x>2}D.{x|x≤1或x>2}3.(考点:直线和圆的综合,★)若直线y=√3x+b与圆x2+y2=1相交于P,Q两点,且∠POQ=120°(其中O为坐标原点),则b的值为().A.1B.√2C.±1D.±√24.(考点:样本分布与数字特征,★)国家统计局服务业调查中心和中国物流与采购联合会发布的2018年10月份至2019年9月份共12个月的中国制造业采购经理指数(PMI)如图所示.则下列结论中正确的是().A.12个月的PMI值不低于50%的频率为23B.12个月的PMI值的平均值低于50%C.12个月的PMI值的众数为49.5%D.12个月的PMI值的中位数为50.3%5.(考点:三角函数的图象与性质,★★)已知函数f(x)=sinπx6·cosπx6-√3sin2πx6+√32,x∈[-1,a],a∈N*,若函数f(x)的图象与直线y=1至少有2个交点,则a的最小值为().A.7B.9C.11D.126.(考点:概率,★★)现有甲、乙、丙、丁4名学生平均分成两个志愿者小组到校外参加两项活动,则乙、丙两人恰好参加同一项活动的概率为().A.1 2B.13C.16D.1127.(考点:函数图象的判断,★★)函数f(x)=2|x|·sin(π2+x)-12e|x|在[-32,32]上的图象大致为().8.(考点:解三角形,★★)已知△ABC的内角A,B,C对应的边长分别是a,b,c,且a=2,b=1,C=2A,则c的值为().A.√3B.√5C.√6D.2√3二、多项选择题:本题共4小题,每小题5分,共20分.在每小题给出的选项中,有多项符合题目要求.全部选对的得5分,部分选对的得3分,有选错的得0分.9.(考点:命题的真假,★)已知a,b,c,d均为实数,则下列命题中的真命题为().A.若a>b,c>d,则ac>bdB.若ab>0,bc-ad>0,则ca -db>0C.若a>b,c>d,则a-d>b-cD.若a>b,c>d>0,则ad >b c10.(考点:数列的综合运用,★★)已知数列{a n}的前n项和为S n,S n=2a n-2,若存在两项a m,a n,使得a m a n=64,则().A.数列{a n}为等差数列B.数列{a n}为等比数列C.a12+a22+…+a n2=4n-13D.m+n为定值11.(考点:新定义题型,★★★)若存在m ,使得f (x )≥m 对任意x ∈D 恒成立,则函数f (x )在D 上有下界,其中m 为函数f (x )的一个下界;若存在M ,使得f (x )≤M 对任意x ∈D 恒成立,则函数f (x )在D 上有上界,其中M 为函数f (x )的一个上界.如果一个函数既有上界又有下界,那么称该函数有界.则下列说法正确的是( ).A .1是函数f (x )=x+1x (x>0)的一个下界B .函数f (x )=x ln x 有下界,无上界C .函数f (x )=e x x 2有上界,无下界D .函数f (x )=sinxx 2+1有下界,无上界12.(考点:椭圆,★★★)椭圆C :x 24+y 2=1的左、右焦点分别为F 1,F 2,O 为坐标原点,以下说法正确的是( ). A .过点F 2的直线与椭圆C 交于A ,B 两点,则△ABF 1的周长为8B .椭圆C 上存在点P ,使得PF 1⃗⃗⃗⃗⃗⃗⃗ ·PF 2⃗⃗⃗⃗⃗⃗⃗ =0C .椭圆C 的离心率为12D .P 为椭圆C 上一点,Q 为圆x 2+y 2=1上一点,则点P ,Q 的最大距离为3三、填空题:本题共4小题,每小题5分,共20分.13.(考点:二项式定理,★★)在二项式(ax +1x)6的展开式中,常数项是-160,则a 的值为 . 14.(考点:平面向量,★★)若非零向量a ,b 满足|a|=1,a ·(2a-b )=2,则向量a 与b 的夹角为 .15.(考点:立体几何的综合,★★)如图,在矩形ABCD 中,AB=12BC=√2,E 为BC 的中点,将△DCE 沿直线DE 翻折成△DC 1E ,连接C 1A ,则当三棱锥C 1-ADE 的体积最大时,∠ADC 1= .16.(考点:函数性质的综合,★★★)已知定义在R 上的奇函数f (x )满足f (x+2)=-f (x ),且当x ∈[-1,1]时,f (x )=x ,现给出下列四个结论:①f (2020)=0;②函数f (x )的最小正周期为2;③当x ∈[-2020,2020]时,方程f (x )=12有2018个根;④方程f (x )=log 5|x|有5个根.其中正确结论的序号是 .答案解析:1.(考点:集合,★)已知集合A={x |x -2x -1≥0},则R A=( ). A .{x|1<x<2} B .{x|1≤x<2}C .{x|x<1或x>2}D .{x|x ≤1或x>2} 【解析】由x -2x -1≥0,得{x -2≥0,x -1>0或{x -2≤0,x -1<0,解得x ≥2或x<1,即A={x|x<1或x ≥2},故R A={x|1≤x<2},故选B . 【答案】B2.(考点:复数,★)已知i 为虚数单位,z 1=2-3i -(1-2i),z ·2z 1=z 1,则关于复数z 的说法正确的是( ).A .z+z =2B .z 在复平面内对应的点在第三象限C .z 的虚部为-iD .|z|=1【解析】因为z 1=2-3i -(1-2i)=1-i,所以z=(1-i )22=-i,所以|z|=1,故D 正确. 【答案】D3.(考点:直线和圆的综合,★)若直线y=√3x+b 与圆x 2+y 2=1相交于P ,Q 两点,且∠POQ=120°(其中O 为坐标原点),则b 的值为( ).A .1B .√2C .±1D .±√2【解析】∵∠POQ=120°,圆的半径为1,∴|PQ|=√12+12-2×1×1×cos120°=√3,圆心(0,0)到直线y=√3x+b 的距离d=√1+3=|b |2,∴(b 2)2+(√32)2=1,解得b=±1.【答案】C4.(考点:样本分布与数字特征,★)国家统计局服务业调查中心和中国物流与采购联合会发布的2018年10月份至2019年9月份共12个月的中国制造业采购经理指数(PMI)如图所示.则下列结论中正确的是( ).A .12个月的PMI 值不低于50%的频率为23B .12个月的PMI 值的平均值低于50%C .12个月的PMI 值的众数为49.5%D .12个月的PMI 值的中位数为50.3%【解析】A 错误,从图中数据变化看,PMI 值不低于50%的月份有4个,所以12个月的PMI 值不低于50%的频率为412=13;B 正确,由图可以看出,PMI 值的平均值低于50%;C 错误,12个月的PMI 值的众数为49.4%;D 错误,12个月的PMI 值的中位数为49.6%.【答案】B5.(考点:三角函数的图象与性质,★★)已知函数f (x )=sin πx 6·cos πx 6-√3sin 2πx 6+√32,x ∈[-1,a ],a ∈N *,若函数f (x )的图象与直线y=1至少有2个交点,则a 的最小值为( ).A .7B .9C .11D .12【解析】函数f (x )=sin πx 6cos πx 6-√3sin 2πx 6+√32=12sin πx 3+√32cos πx 3=sin (π3x +π3),所以函数f (x )的最小正周期T=6.又函数f (x )的图象与直线y=1至少有2个交点,即函数f (x )在[-1,a ]上至少存在两个最大值,结合图象可得a-(-1)≥T+T 4=7.5,解得a ≥6.5,所以正整数a 的最小值为7.【答案】A6.(考点:概率,★★)现有甲、乙、丙、丁4名学生平均分成两个志愿者小组到校外参加两项活动,则乙、丙两人恰好参加同一项活动的概率为( ).A .12B .13C .16D .112【解析】由题意,现有甲、乙、丙、丁4名学生平均分成两个志愿者小组到校外参加两项活动,基本事件的总数n=C 42C 22A 22×A 22=6,其中乙、丙两人恰好参加同一项活动的基本事件个数m=C 22C 22A 22=2,所以乙、丙两人恰好参加同一项活动的概率p=m n =13,故选B . 【答案】B7.(考点:函数图象的判断,★★)函数f (x )=2|x|·sin (π2+x)-12e |x|在[-32,32]上的图象大致为( ).【解析】由已知得f (x )=2|x|cos x-12e |x|,x ∈-32,32, 因为f (-x )=2|-x|cos(-x )-12e |-x|=f (x ),所以函数f (x )为偶函数,当x ∈[0,1]时,f (x )=2x cos x-12e x ,所以f'(x )=2cos x-2x sin x-12e x ,f'(0)=32>0,f'(1)=2cos 1-2sin 1-12e <0,即f (x )在[0,1]上有极值点,f (x )在x=1处的切线斜率小于0,且f (0)=-12<0,满足上述条件的选项为A . 【答案】A8.(考点:解三角形,★★)已知△ABC 的内角A ,B ,C 对应的边长分别是a ,b ,c ,且a=2,b=1,C=2A ,则c 的值为( ).A .√3B .√5C .√6D .2√3【解析】如图所示,作∠ACB 的角平分线与AB 交于点D.则AD BD =AC BC =12,设AD=m ,则BD=2m ,CD=m ,分别利用余弦定理得到cos ∠ADC=2m 2-12m 2,cos ∠BDC=5m 2-44m 2.由∠ADC+∠BDC=π,得2m 2-12m 2+5m 2-44m 2=0,解得m=√63,c=AB=3m=√6.【答案】C二、多项选择题:本题共4小题,每小题5分,共20分.在每小题给出的选项中,有多项符合题目要求.全部选对的得5分,部分选对的得3分,有选错的得0分.9.(考点:命题的真假,★)已知a ,b ,c ,d 均为实数,则下列命题中的真命题为( ).A .若a>b ,c>d ,则ac>bdB .若ab>0,bc-ad>0,则c a -d b >0C .若a>b ,c>d ,则a-d>b-cD .若a>b ,c>d>0,则a d >b c 【解析】若a>0>b ,0>c>d ,则ac<bd ,故A 错误;若ab>0,bc-ad>0,则bc -ad ab >0,化简得c a -d b >0,故B 正确; 若c>d ,则-d>-c ,又a>b ,则a-d>b-c ,故C 正确;若a=-1,b=-2,c=2,d=1,则a d =-1,b c =-1,a d =b c ,故D 错误. 【答案】BC10.(考点:数列的综合运用,★★)已知数列{a n }的前n 项和为S n ,S n =2a n -2,若存在两项a m ,a n ,使得a m a n =64,则( ).A .数列{a n }为等差数列B .数列{a n }为等比数列C .a 12+a 22+…+a n 2=4n -13D .m+n 为定值【解析】由题意,当n=1时,S 1=2a 1-2,解得a 1=2,当n ≥2时,S n-1=2a n-1-2,所以a n =S n -S n-1=2a n -2-(2a n-1-2)=2a n -2a n-1,所以an a n -1=2,数列{a n }是首项a 1=2,公比q=2的等比数列,其通项公式a n =2n ,故A 错误,B 正确; 数列{a n 2}是首项a 12=4,公比q 1=4的等比数列,所以a 12+a 22+…+a n 2=a 12(1-q 1n )1-q 1=4×(1-4n )1-4=4n+1-43,故C 错误;a m a n =2m 2n =2m+n =64=26,所以m+n=6,为定值,故D 正确.【答案】BD11.(考点:新定义题型,★★★)若存在m ,使得f (x )≥m 对任意x ∈D 恒成立,则函数f (x )在D 上有下界,其中m 为函数f (x )的一个下界;若存在M ,使得f (x )≤M 对任意x ∈D 恒成立,则函数f (x )在D 上有上界,其中M 为函数f (x )的一个上界.如果一个函数既有上界又有下界,那么称该函数有界.则下列说法正确的是( ).A .1是函数f (x )=x+1x (x>0)的一个下界B .函数f (x )=x ln x 有下界,无上界C .函数f (x )=e x x 2有上界,无下界D .函数f (x )=sinxx 2+1有下界,无上界【解析】A 正确,当x>0时,x+1x≥2(当且仅当x=1时取等号),∴f (x )>1恒成立,∴1是f (x )的一个下界. B 正确,f'(x )=ln x+1(x>0),∴当x ∈(0,1e )时,f'(x )<0,当x ∈(1e ,+∞)时,f'(x )>0,∴f (x )在(0,1e)上单调递减,在(1e ,+∞)上单调递增,∴f (x )≥f (1e )=-1e ,∴f (x )有下界.又当x →+∞时,f (x )→+∞,∴f (x )无上界.综上所述,f (x )=x ln x 有下界,无上界.C 错误,∵x 2>0,e x >0,∴e x x 2>0,∴f (x )有下界.D 错误,∵sin x ∈[-1,1],∴-1x 2+1≤sinx x 2+1≤1x 2+1.又-1x 2+1≥-1,1x 2+1≤1,∴-1<sinx x 2+1<1,∴f (x )既有上界又有下界.【答案】AB12.(考点:椭圆,★★★)椭圆C :x 24+y 2=1的左、右焦点分别为F 1,F 2,O 为坐标原点,以下说法正确的是( ). A .过点F 2的直线与椭圆C 交于A ,B 两点,则△ABF 1的周长为8B .椭圆C 上存在点P ,使得PF 1⃗⃗⃗⃗⃗⃗⃗ ·PF 2⃗⃗⃗⃗⃗⃗⃗ =0C .椭圆C 的离心率为12D .P 为椭圆C 上一点,Q 为圆x 2+y 2=1上一点,则点P ,Q 的最大距离为3【解析】对于A,依题意,由椭圆定义可得|AF 1|+|AF 2|=|BF 1|+|BF 2|=2a=4,因此△ABF 1的周长为|AF 1|+|BF 1|+|AB|=|AF 1|+|BF 1|+|AF 2|+|BF 2|=4a=8,故A 正确;对于B,设点P (x ,y )为椭圆C :x 24+y 2=1上任意一点,则点P 的坐标满足x 24+y 2=1,且-2≤x ≤2,又F 1(-√3,0),F 2(√3,0),所以PF 1⃗⃗⃗⃗⃗⃗⃗ =(-√3-x ,-y ),PF 2⃗⃗⃗⃗⃗⃗⃗ =(√3-x ,-y ),因此PF 1⃗⃗⃗⃗⃗⃗⃗ ·PF 2⃗⃗⃗⃗⃗⃗⃗ =(-√3-x )(√3-x )+y 2=x 2+1-x 24-3=3x 24-2,由PF 1⃗⃗⃗⃗⃗⃗⃗ ·PF 2⃗⃗⃗⃗⃗⃗⃗ =3x 24-2=0,可得x=±2√63∈[-2,2],故B 正确; 对于C,因为a 2=4,b 2=1,所以c 2=4-1=3,即c=√3,所以离心率e=c a =√32,故C 错误;对于D,点P (x ,y )到圆x 2+y 2=1的圆心的距离为|PO|=√x 2+y 2=√4-4y 2+y 2=√4-3y 2,因为-1≤y ≤1,所以|PQ|max =|PO|max +1=√4-0+1=3.故D 正确.故选ABD.【答案】ABD三、填空题:本题共4小题,每小题5分,共20分.13.(考点:二项式定理,★★)在二项式(ax+1x )6的展开式中,常数项是-160,则a的值为.【解析】展开式的通项公式为T r+1=C6r(ax)6-r·(1x )r=C6r a6-r x6-2r,令6-2r=0,得r=3,故C63·a3=-160,解得a=-2.【答案】-214.(考点:平面向量,★★)若非零向量a,b满足|a|=1,a·(2a-b)=2,则向量a与b的夹角为.【解析】因为a·(2a-b)=2|a|2-a·b=2,|a|=1,所以a·b=0,故两向量的夹角为90°.【答案】90°15.(考点:立体几何的综合,★★)如图,在矩形ABCD中,AB=12BC=√2,E为BC的中点,将△DCE沿直线DE翻折成△DC1E,连接C1A,则当三棱锥C1-ADE的体积最大时,∠ADC1= .【解析】当平面C1DE⊥平面ABCD时,三棱锥C1-ADE的体积最大.如图,取DE的中点F,AD的中点G,连接C1F,FG,C1G.∵C1D=C1E,∴C1F⊥DE,又平面C1DE∩平面ABCD=DE,∴C1F⊥平面ABCD,又FG⊂平面ABCD,∴C1F⊥FG.在Rt△C1FG中,C1G=√12+12=√2,在△C1DG中,C1D=DG=C1G=√2,∴△C1DG为正三角形,故∠ADC1=π3.【答案】π316.(考点:函数性质的综合,★★★)已知定义在R上的奇函数f(x)满足f(x+2)=-f(x),且当x∈[-1,1]时,f(x)=x,现给出下列四个结论:①f (2020)=0;②函数f (x )的最小正周期为2;③当x ∈[-2020,2020]时,方程f (x )=12有2018个根;④方程f (x )=log 5|x|有5个根.其中正确结论的序号是 .【解析】∵f (x+2)=-f (x ),∴f (x+4)=-f (x+2)=f (x ),∴函数f (x )的最小正周期为4,故②错误,∴f (2020)=f (4×505)=f (0). ∵当x ∈[-1,1]时,f (x )=x ,∴f (0)=0,即f (2020)=0,故①正确.∵函数f (x )在实数集R 上为奇函数,∴-f (x )=f (-x ),∴f (x+2)=f (-x ),即函数f (x )的图象关于直线x=1对称.画出函数f (x )的图象如图所示.由图象可得,当x ∈[-2,2]时,方程f (x )=12有2个根,故当x ∈[-2020,2020]时,方程f (x )=12有2×505×2=2020个根,故③错误.画出y=log 5|x|的图象如图所示,该图象与函数f (x )的图象有5个交点,故④正确.【答案】①④。