班级人数登记表
- 格式:doc
- 大小:71.00 KB
- 文档页数:1
学生体育活动安全情况排查登记表(样表)1. 学校基本信息:- 学校名称: [填写学校名称]- 所在地区: [填写学校所在地区]- 联系电话: [填写学校联系电话]2. 排查日期: [填写排查日期]3. 参与活动班级:- 班级名称: [填写班级名称]- 班级人数: [填写班级人数]- 班主任姓名: [填写班主任姓名]- 班主任联系电话: [填写班主任联系电话]4. 参与活动学生名单:| 学生姓名 | 学号 | 性别 | 家长姓名 | 家长联系电话 |5. 活动安全情况排查:- 活动场地是否符合安全要求? [是/否]- 活动器材是否安全可靠? [是/否]- 活动过程中是否有安全事故发生? [是/否]- 活动指导员是否具备相关培训证书? [是/否]6. 安全隐患情况:- 存在的安全隐患: [填写存在的安全隐患]- 相关处理措施: [填写针对安全隐患的处理措施]7. 可能影响活动安全的因素:- 天气: [填写可能影响的天气因素]- 地面状况: [填写可能影响的地面状况]- 设备条件: [填写可能影响的设备条件]- 个人因素: [填写可能影响的个人因素]8. 班主任签字: _____________________(签字表示以上信息属实,学校对活动的安全负有监督和责任)9. 学校教育行政部门意见: _____________________(签字表示对学生体育活动安全情况排查登记表进行审核,并对相关安全问题提出处理要求)注意事项:- 本登记表的目的是为了排查学生体育活动的安全情况,确保学生在活动中的安全,采取相应的安全措施和防范措施。
- 班主任应认真填写本登记表,并保证所填信息的真实性和准确性。
- 学校教育行政部门应审核本登记表,提出处理要求,并保留相应的备份材料以备查阅。
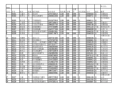
辅导班学生基本情况登记表(可以直接使用,可编辑实用优秀文档,欢迎下载)
学生基本情况登记表 ______ 学校______ 年级______ 班级
课程一:冲刺班(面向初三、小学六年级处于关键期的学生)
课程二:课后辅导班(具体时间可视学生具体情况和需要而定,可延长至额外加课)
课程三:名师一对一
课程四:寒、暑假班(数学、英语、物理、化学、生物,报三门送一门)
【邦德学吧】作业登记表
姓名年级
到校时间值班主管
语文(1)
(2)
(3)
责任教师
签名确认:
数学(1)
(2)
(3)
责任教师
签名确认:
英语(1)
(2)
(3)
责任教师
签名确认:
其他(1)
(2)
教师签名:
离校时间(学生填写)到家时间(家长填
写)
完成作业时间是否独立完成?□是□否用时能否做到检查?□能□否
学生表现作业完成情况学生表现评价:优秀良好一般改进老师有话说:。
班级管理常用表格
班级管理中常用的表格主要包括以下几个方面:
1. 学生信息登记表:记录学生的个人信息,如姓名、性别、出生年月、家庭住址、联系电话、家长信息等。
2. 座位表:清晰显示班级内每位学生的座位安排情况。
3. 值日表/卫生轮值表:标明每天或每周负责打扫教室卫生的学生名单,包括扫地、擦黑板、倒垃圾、整理桌椅等任务的分配。
4. 班级积分考核表:用于对学生日常行为规范、学习成绩、出勤情况、作业完成质量等方面进行量化考核,根据分数给予相应的奖励或惩罚。
5. 班级日志记录表:由值日班长填写,记录每天的班级动态、课堂纪律、活动情况、好人好事及需要改进的地方等。
6. 常规检查记录表:如执勤班长巡视检查记录表,详细记录各个时间段(清晨、正午、放学、课间等)的班级秩序和存在的问题。
7. 请假条存根:收集学生请假的相关信息,便于跟踪学生出勤情况。
8. 家校联系记录表:记录与家长沟通的情况,包括电话访问、家访、家长会等内容。
9. 学业成绩统计表:汇总各科考试、测验的成绩,分析班级整体学习状况。
10. 班级活动策划与总结表:对班级组织的各项活动进行前期策划与后期总结。
以上这些表格是班级管理中常见的几种,具体设计和使用时可以根据实际需要进行调整和增删。
中小学学生晨检午检情况记录表登记表(样表)适合春秋季中小学校安全检查中小学学生晨检记录表晨检日期登记人年级班班级人数因病缺勤人数缺勤人数晨检时发现的传染病早期症状和疑似传染病的人数因病缺勤学生登记表排查结姓名性别年龄主要症状体温是否就诊就诊医院果传染病早期症状、疑似传染病人登记表主要症状性年是否排查姓名别龄就诊结果发热体温皮疹腹泻呕吐黄疸其他症状中小学学生午检记录表午检日期登记人年级班班级人数缺勤人数因病缺勤人数午检时发现的传染病早期症状和疑似传染病的人数因病缺勤学生登记表排查姓名性别年龄主要症状体温是否就诊就诊医院结果传染病早期症状、疑似传染病人登记表主要症状性年是否排查姓名别龄就诊结果发热体温皮疹腹泻呕吐黄疸其他症状说明:1、“登记人”由各班班主任担任。
2、学校值周员将各班上报情况如实认真汇总登记;此表注意保存、备查。
3、晨午检情况分别于当日9:00前、15:00前两次报学校值周员。
特殊情况应及时于第一时间报告。
小学学生晨午检记录表年级_____ 晨检日期________ 登记人___________班主任班级人数________因病缺勤人数_________;晨检时发现的传染病早期症状和疑似传染病的人数_________主要症状年是否姓名性别备注龄就诊发热皮疹腹泻呕吐黄疸1、登记人将班级上报情况如实认真填写,此表注意保存、备查。
2、此表于当日上午8:00前报张老师。
小学学生晨午检记录表年级_____ 晨检日期________ 登记人____________班主任班级人数________因病缺勤人数_________;晨检时发现的传染病早期症状和疑似传染病的人数_________主要症状年是否姓名性别备注龄就诊发热皮疹腹泻呕吐黄疸1、记人将班级上报情况如实认真填写,此表注意保存、备查。
2、此表于当日上午8:00前报张老师。
小学学生因病缺勤学生登记表年级_____ 日期________ 登记人____________班主任性性年年是是否否姓名姓名主要症状主要症状排查结果排查结果别别龄龄就诊就诊小学学生因病缺勤学生登记表年级_____ 晨检日期________ 登记人____________班主任性年是否姓名主要症状排查结果别龄就诊中小学晨检记录表(样表) 晨检日期登记人年级班班级人数因病缺勤人数缺勤人数晨午检时发现的传染病早期症状和疑似传染病的人数因病缺勤学生登记表排查结姓名性别年龄主要症状体温是否就诊就诊医院果传染病早期症状、疑似传染病人登记表主要症状性年是否排查姓名别龄就诊结果发热体温皮疹腹泻呕吐黄疸其他症状中小学午检记录表(样表) 晨检日期登记人年级班班级人数缺勤人数因病缺勤人数晨午检时发现的传染病早期症状和疑似传染病的人数因病缺勤学生登记表排查结姓名性别年龄主要症状体温是否就诊就诊医院果传染病早期症状、疑似传染病人登记表主要症状性年是否排查姓名别龄就诊结果发热体温皮疹腹泻呕吐黄疸其他症状说明:1、“登记人”由各班班主任担任。
前台咨询记录表前台电话使用记录表学员停课记录表学员退费记录表学生出勤登记表注:正常上课:丁请假:’旷课:X迟到、早退:)分校招生情况周报表时间:年月日年月日周一周二周三周四周五周六周日人数人数人数人数人数人数人数咨询统计来电来访老生续费新生报名)))))))))))分校年___月份招生情况表序号本月开课的班级人数任课教师课程起止日期本月结课的班级人数保持率续班率任课教师备注12信息渠道统计:78911112131415合计人;新生人,老生人班级本月退费人任课教师学员姓名信息渠道百分比.退费原因车体广告亲友介绍信息栏其它注:1、保持率为课程结束前三次的平均出勤率;2、此表必须如实填写,经主管、填表人签字后于次月2日前交由总部。
制表日期:制表人:主管学员档案表新生匚老生匚插插班生□教师:学生姓性别年龄★出生时间联系电话^ 家庭住址^所在学校^ 所在年级^学生爱好、特长父母姓名年龄学历工作单位联系电话或手机^ 父母请您认真阅读学员须知,当您填写学员档案并交费完毕后,视为已与我们签订了协议,请自觉遵守。
月份教师签到表课程:教师:开课日期:上课时间:教务部班级档案班级名称:_开课时间教师___班级人数:开课时__人(年__月__日统计);其中两周时__人(___年_月__日统计);其中期中时__人(___年_月__日统计);其中结课时__人(___年_月__日统计);其中结课续班率:__/=__%上课地点该班开课后发生事宜:月份课程表(办公室用)升期奖金申请表③C类表格各班交费登记表各班交费登记表分校月份教师预提费用表序姓名工作基本职务级别年功奖金应发金额应扣数实发金额签字第页/共页部门:专职教师及外教月份教师工资表序教师课程开、结课时间总课本月课累计课所余课课时费12345678合计应得工资奖金罚款本月课时实发工资教师签名少儿中学生成制表人:主管:校长:核准:复核:分校月份教材销售明细表教材销售情况月报表统计人:主管签字:学费名称数量金额备注教材名称数量金额备注分校教学收入表学员姓名学员学号任课教师签字学习课程教务主管签字收费金额已学课时财务主管签字退费金额上课地址校长签字退费原因家长签字备注:联系方式学员签到表交款人:主管:收款人退费证明单。
学生信息登记表模板姓名:____________________性别:____________________出生日期:_________________年级:____________________班级:____________________联系电话:_________________家庭住址:_________________家庭成员:_________________紧急联系人:_______________紧急联系电话:_____________一、个人信息1. 姓名:(填写学生的全名)2. 性别:(填写学生的性别,男/女)3. 出生日期:(填写学生的出生日期,年/月/日)4. 年级:(填写学生所在年级,如小学三年级、初中一年级、高中二年级等)5. 班级:(填写学生所在班级)6. 联系电话:(填写学生的联系电话,以便紧急情况下联系)7. 家庭住址:(填写学生的家庭住址,包括省、市、区、详细地址)8. 家庭成员:(填写学生的家庭成员,包括父母姓名、关系以及其他亲属)9. 紧急联系人:(填写在紧急情况下可以联系到的人的姓名)10. 紧急联系电话:(填写紧急联系人的电话号码)二、学习情况1. 学习成绩:(填写学生在各个学科的成绩情况)2. 学习进展:(填写学生的学习进度和目前的学习情况)3. 学习特长:(填写学生在学习上的特长,如科学、语言艺术等)4. 学习困难:(填写学生在学习上的困难和需要重点关注的问题)5. 学习目标:(填写学生在学习上的目标和期望)三、身体健康1. 身高:(填写学生的身高)2. 体重:(填写学生的体重)3. 视力:(填写学生的视力情况,如近视、远视等)4. 听力:(填写学生的听力情况,如正常、有听力问题等)5. 健康状况:(填写学生的健康状况,如有无长期病痛、过敏等)6. 饮食习惯:(填写学生的饮食习惯,如是否有忌口、是否吃素等)7. 运动锻炼:(填写学生的运动锻炼情况,如参加何种体育活动、运动频率等)8. 其他注意事项:(填写其他与学生身体健康相关的事项)四、家庭背景1. 家庭经济状况:(填写学生家庭的经济状况,如家庭收入、父母职业等)2. 家庭成员情况:(填写学生家庭的成员情况,包括兄弟姐妹的人数、父母婚姻状况等)3. 家庭环境:(填写学生家庭的居住环境和居住条件)4. 家庭成员期望:(填写家庭成员对学生的期望和要求)五、其他事项1. 请在此处填写其他需要注意或补充的事项。
教育培训表格目录教育培训表格 (1)前台使用记录表 (2)前台咨询记录表 (3)学员停课记录表 (4)学员退费记录表 (5)学生出勤登记表 (6)分校招生情况周报表 (7)分校年月份招生情况表 (8)学员档案表 (9)月份教师签到表 (10)教务部班级档案 (11)月份课程表(办公室用) (12)升期奖金申请表 (13)各班交费登记表 (14)各班交费登记表 (15)分校月份教师预提费用表 (16)月份行政人员工资表 (17)专职教师及外教月份教师工资表 (18)分校月份教材销售明细表 (19)教材销售情况月报表 (20)分校教学收入表 (21)退费证明单 (21)学员签到表 (22)前台使用记录表前台咨询记录表学员停课记录表学员退费记录表学生出勤登记表O 、注:正常上课:”请假:旷课:x 迟到、早退:”分校招生情况周报表信息渠道统计:A、报纸(B、传单 (C、电视 (D、条幅 (E、网络 (F、车体广告 (G、亲友介绍 (H、信息栏 (I、电台 (J、校报、( K、其它( ) ) ) ) ) ) ) ) )分校年―月份招生情况表学员档案表请您认真阅读学员须知,当您填写学员档案并交费完毕后,视为已与我们签订了协议,请自觉遵守。
月份教师签到表课程:教师:开课日期:上课时间:_________________________________________________教务部班级档案班级名称: _______ _开课时间___________________ ______ 教师_________上课地点 ____________班级人数:开课时_____人(____年_—月—_日统计);其中___ _______________________两周时______人(____年_―月―_日统计);其中___ _______________________期中时______人(____年_—月―_日统计);其中___ _______________________结课时______人(____年_―月―_日统计);其中___结课续班率:/=%月份课程表(办公室用)升期奖金申请表③C类表格各班交费登记表各班交费登记表______ 分校_____ 月份教师预提费用表第页/共页月份行政人员工资表专职教师及外教月份教师工资表部门:第页/共页制表人:主管:校长:核准:复核:分校____月份教材销售明细表教材销售情况月报表分校教学收入表退费证明单学员签到表。
所属部门:
姓 名
曾 用 名性 别
民 族出生年月
籍 贯政治面貌
身份证号婚姻状况
户口所在地工 号
职 务职 称
获取时间发证单位手机号码
QQ 号电子信箱第一学历
学 位毕业院校最高学历
学 位毕业院校参加工作
时 间
从事辅导员工作时间是否专职心理咨询师辅 导 员
类 型
辅 导 员证书号码个人特长个人简历
(大学
起)
注:辅导员类型为“一线专职”、“专职”、“兼职”、“外聘”和“其他”。
照片(一寸照片)
学院辅导员基本情况登记表
辅导员培训经历
时间培训机构培训地点培训成绩。