微积分初步形成性考核册答案
- 格式:doc
- 大小:1.27 MB
- 文档页数:15
《微积分初步》形成性考核册题修改正式版一、填空题(每小题2分,共20分)1.函数)2ln(1)(-=x x f 的定义域是 . 答案:),3()3,2[+∞Y 提示:关于)2ln(1-x ,要求分母不能为0,即0)2ln(≠-x ,也确实是3≠x ; 关于)2ln(-x ,要求02>-x ,即2>x ;因此函数)2ln(1)(-=x x f 的定义域是),3()3,2[+∞Y 2.函数xx f -=51)(的定义域是 . 答案:)5,(-∞ 提示:关于x-51,要求分母不能为0,即05≠-x ,也确实是5≠x ; 关于x -5,要求05≥-x ,即5≤x ;因此函数xx f -=51)(的定义域是)5,(-∞3.函数24)2ln(1)(x x x f -++=的定义域是 . 答案:]2,1()1,2(---Y 提示:关于)2ln(1+x ,要求分母不能为0,即0)2ln(≠+x ,也确实是1-≠x ; 关于)2ln(+x ,要求02>+x ,即2->x ; 关于24x -,要求042≥-x ,即2≤x 且2-≥x ;因此函数24)2ln(1)(x x x f -++=的定义域是]2,1()1,2(---Y4.函数72)1(2+-=-x x x f ,则=)(x f. 答案:62+x 提示:因为6)1(72)1(22+-=+-=-x x x x f ,因此6)(2+=x x f5.函数⎩⎨⎧>≤+=0e02)(2x x x x f x,则=)0(f . 答案:2 提示:因为当0=x 是在0≤x 区间,应选择22+x 进行运算,即220)0(2=+=f6.函数x x x f 2)1(2-=-,则=)(x f . 答案: 12-x 提示:因为1)1(2)1(22--=-=-x x x x f ,因此1)(2-=x x f7.函数1322+--=x x x y 的间断点是 . 答案: 1-=x提示:若)(x f 在0x 有下列三种情形之一,则)(x f 在0x 间断:①在0x 无定义;②在0x 极限不存在;③在0x 处有定义,且)(lim 0x f xx → 存在,但)()(lim 00x f x f x x ≠→。
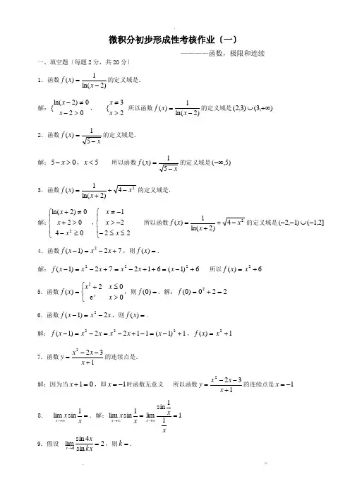
微积分初步形成性考核作业(一)解答————函数,极限和连续一、填空题(每小题2分,共20分) 1.函数)2-ln(1)(x x f =的定义域是)∞,3(∪)3,2(+2.函数xx f -51)(=的定义域是)5,-3.函数2-4)2ln(1)(x x x f ++=的定义域是]2,1-(∪)1-,2-(4.函数72-)1-(+=x x x f ,则=)(x f 62+x5.函数>+=e 0≤2)(2x x x x f x,则=)0(f 2 . 6.函数x x x f 2-)1-(2=,则=)(x f 1-2x7.函数13-2-2+=x x x y 的间断点是1-=x8.=xx x 1sinlim ∞→ 1 . 9.若2sin 4sin lim0→=kxxx ,则=k 2 .10.若23sin lim0→=kxxx ,则=k 23二、单项选择题(每小题2分,共24分) 1.设函数2e exxy +=,则该函数是(B ). A .奇函数 B .偶函数 C .非奇非偶函数 D .既奇又偶函数 2.设函数x x y sin 2=,则该函数是(A ).A .奇函数B .偶函数C .非奇非偶函数D .既奇又偶函数3.函数222)(xx xx f +=的图形是关于(D )对称.A .x y =B .x 轴C .y 轴D .坐标原点4.下列函数中为奇函数是(C).A .x x sinB .x lnC .)1ln(2x x ++D .2x x +5.函数)5ln(41+++=x x y 的定义域为( D ). A .5->x B .4-≠x C .5->x 且0≠x D .5->x 且4-≠x6.函数)1-ln(1)(x x f =的定义域是(D ).A . )∞,1(+B .)∞,1(∪)1,0(+C .)∞,2(∪)2,0(+D .)∞,2(∪)2,1(+ 7.设1-)1(2x x f =+,则=)(x f ( C )A .)1(+x xB .2x C .)2-(x x D .)1-)(2(x x + 8.下列各函数对中,(D)中的两个函数相等.A .2)()(x x f =,x x g =)(B .2)(x x f =,x x g =)(C .2ln )(x x f =,9.当0→x 时,下列变量中为无穷小量的是( C ). A .x 1 B .x x sin C .)1ln(x + D .2xx10.当=k ( B )时,函数=+=,≠,1)(2x k x x x f ,在0=x 处连续. A .0 B .1 C .2 D .111.当=k ( D )时,函数=+=,≠,2)(x k x e x f x 在0=x 处连续. A .0 B .1 C .2 D .3 12.函数23-3-)(2+=x x x x f 的间断点是( A ) A .2,1==x xB .3=xC .3,2,1===x x xD .无间断点三、解答题(每小题7分,共56分)⒈计算极限4-23-lim 222→x x x x +.解:4-23-lim 222→x x x x +4121-lim )2-)(2()2-)(1-(lim 2→2→=+=+=x x x x x x x x2.计算极限1-6-5lim 221→x x x x + 解:1-6-5lim 221→x x x x +2716lim )1-)(1()6)(1-(lim 1→1→=++=++=x x x x x x x x3.3-2-9-lim 223→x x x x解:3-2-9-lim 223→x x x x 234613lim )3-)(1()3-)(3(lim 3→3→==++=++=x x x x x x x x4.计算极限45-86-lim 224→++x x x x x解:45-86-lim 224→++x x x x x 321-2-lim )4-)(1-()4-)(2-(lim 4→4→===x x x x x x x x5.计算极限65-86-lim 222→++x x x x x .解:65-86-lim 222→++x x x x x 23-4-lim )3-)(2-()4-)(2-(lim 2→2→===x x x x x x x x6.计算极限xx x 1--1lim→. 解:x x x 1--1lim→)1-1(lim )1-1()1-1)(1--1(lim 0→0→+=++=x x xx x x x x x 21-1-11lim→=+=x x7.计算极限xx x 4sin 1--1lim→。
成绩:微积分基础形成性考核册(参考答案:daixiezuoye1)专业:学号:姓名:(请按照顺序打印,并左侧装订)微积分基础形成性考核作业(一)————函数,极限和连续一、填空题(每小题2分,共20分)1.函数)2ln(1)(-=x x f 的定义域是 .2.函数x x f -=51)(的定义域是 .3.函数24)2ln(1)(x x x f -++=的定义域是.4.函数72)1(2+-=-x x x f ,则=)(x f .5.函数⎩⎨⎧>≤+=0e 02)(2x x x x f x,则=)0(f 2 . 6.函数x x x f 2)1(2-=-,则=)(x f .7.函数1322+--=x x x y 的间断点是 .8.=∞→x x x 1sinlim 1 .9.若2sin 4sin lim0=→kx xx ,则=k 2 .10.若23sin lim0=→kx xx ,则=k .二、单项选择题(每小题2分,共24分)1.设函数2e e xx y +=-,则该函数是(B ).A .奇函数B .偶函数C .非奇非偶函数D .既奇又偶函数 2.设函数x x y sin 2=,则该函数是(A ).A .奇函数B .偶函数C .非奇非偶函数D .既奇又偶函数3.函数222)(xx xx f -+=的图形是关于(D )对称.A .x y =B .x 轴C .y 轴D .坐标原点 4.下列函数中为奇函数是(C).A .x x sinB .x lnC .)1ln(2x x ++D .2x x +5.函数)5ln(41+++=x x y 的定义域为( D ).A .5->xB .4-≠xC .5->x 且0≠xD .5->x 且4-≠x6.函数)1ln(1)(-=x x f 的定义域是( D ).A . ),1(+∞B .),1()1,0(+∞⋃C .),2()2,0(+∞⋃D .),2()2,1(+∞⋃7.设1)1(2-=+x x f ,则=)(x f ( C ) A .)1(+x x B .2xC .)2(-x xD .)1)(2(-+x x 8.下列各函数对中,(D)中的两个函数相等.A .2)()(x x f =,x x g =)(B .2)(x x f =,x x g =)(C .2ln )(x x f =,x x g ln 2)(=D .3ln )(x x f =,x x g ln 3)(=9.当0→x 时,下列变量中为无穷小量的是( C ).A .x 1B .x x sinC .)1ln(x +D .2x x10.当=k ( B )时,函数⎩⎨⎧=≠+=0,0,1)(2x k x x x f ,在0=x 处连续。
微积分初步形成性考核作业【原体+答案】一、填空题(每小题2分,共20分) 1.函数)2ln(1)(-=x x f 的定义域是.解:020)2ln({>-≠-x x , 23{>≠x x所以函数)2ln(1)(-=x x f 的定义域是),3()3,2(+∞⋃2.函数xx f -=51)(的定义域是.解:05>-x ,5<x所以函数xx f -=51)(的定义域是)5,(-∞3.函数24)2ln(1)(x x x f -++=的定义域是.解:⎪⎩⎪⎨⎧≥->+≠+04020)2ln(2x x x ,⎪⎩⎪⎨⎧≤≤-->-≠2221x x x 所以函数24)2ln(1)(x x x f -++=的定义域是]2,1()1,2(-⋃-- 4.函数72)1(2+-=-x x x f ,则=)(x f .解:72)1(2+-=-x x x f 6)1(61222+-=++-=x x x所以=)(x f 62+x5.函数⎩⎨⎧>≤+=0e02)(2x x x x f x ,则=)0(f .解:=)0(f 2202=+6.函数x x x f 2)1(2-=-,则=)(x f .解:x x x f 2)1(2-=-1)1(11222+-=-+-=x x x ,=)(x f 12+x7.函数1322+--=x x x y 的间断点是.解:因为当01=+x ,即1-=x 时函数无意义 所以函数1322+--=x x x y 的间断点是1-=x8.=∞→xx x 1sinlim . 解:=∞→x x x 1sinlim 111sinlim =∞→xx x9.若2sin 4sin lim0=→kxxx ,则=k .解: 因为24sin 44sin lim 4sin 4sin lim 00===→→kkxkx x xk kx x x x所以2=k10.若23sin lim0=→kxxx ,则=k . 解:因为2333lim 33lim00===→→kx x sim k kx x sim x x 所以23=k 二、单项选择题(每小题2分,共24分)1.设函数2e e xx y +=-,则该函数是( ).A .奇函数B .偶函数C .非奇非偶函数D .既奇又偶函数解:因为y e e e e x y x x x x =+=+=-----22)()( 所以函数2e e xx y +=-是偶函数。
微积分初步形成性考核作业题解作业(一)————函数,极限和连续一、填空题(每小题2分,共20分) 1.函数)2ln(1)(-=x x f 的定义域是.答案:),3()3,2[+∞提示:对于)2ln(1-x ,要求分母不能为0,即0)2ln(≠-x ,也就是3≠x ;对于)2ln(-x ,要求02>-x ,即2>x ; 所以函数)2ln(1)(-=x x f 的定义域是),3()3,2[+∞2.函数xx f -=51)(的定义域是.答案:)5,(-∞提示:对于x-51,要求分母不能为0,即05≠-x ,也就是5≠x ;对于x -5,要求05≥-x ,即5≤x ; 所以函数xx f -=51)(的定义域是)5,(-∞3.函数24)2ln(1)(x x x f -++=的定义域是.答案:]2,1()1,2(---提示:对于)2ln(1+x ,要求分母不能为0,即0)2ln(≠+x ,也就是1-≠x ;对于)2ln(+x ,要求02>+x ,即2->x ; 对于24x -,要求042≥-x ,即2≤x 且2-≥x ;所以函数24)2ln(1)(x x x f -++=的定义域是]2,1()1,2(---4.函数72)1(2+-=-x x x f ,则=)(x f . 答案:62+x提示:因为6)1(72)1(22+-=+-=-x x x x f ,所以6)(2+=x x f5.函数⎩⎨⎧>≤+=0e2)(2x x x x f x ,则=)0(f .答案:2提示:因为当0=x 是在0≤x 区间,应选择22+x 进行计算,即220)0(2=+=f6.函数x x x f 2)1(2-=-,则=)(x f . 答案:12-x提示:因为1)1(2)1(22--=-=-x x x x f ,所以1)(2-=x x f7.函数1322+--=x x x y 的间断点是.答案:1-=x提示:若)(x f 在0x 有下列三种情况之一,则)(x f 在0x 间断:①在0x 无定义;②在0x 极限不存在;③在0x 处有定义,且)(lim 0x f x x →存在,但)()(lim 00x f x f x x ≠→。
微积分初步形成性考核作业(一)————函数,极限和连续一、填空题(每小题2分,共20分) 1.函数)2ln(1)(-=x x f 的定义域是 .解:020)2ln({>-≠-x x , 23{>≠x x所以函数)2ln(1)(-=x x f 的定义域是),3()3,2(+∞⋃2.函数xx f -=51)(的定义域是 .解:05>-x ,5<x 所以函数xx f -=51)(的定义域是)5,(-∞3.函数24)2ln(1)(x x x f -++=的定义域是 .解:⎪⎩⎪⎨⎧≥->+≠+04020)2ln(2x x x ,⎪⎩⎪⎨⎧≤≤-->-≠2221x x x 所以函数24)2ln(1)(x x x f -++=的定义域是]2,1()1,2(-⋃-- 4.函数72)1(2+-=-x x x f ,则=)(x f.解:72)1(2+-=-x x x f 6)1(61222+-=++-=x x x 所以=)(x f 62+x5.函数⎩⎨⎧>≤+=0e02)(2x x x x f x ,则=)0(f .解:=)0(f 2202=+6.函数x x x f 2)1(2-=-,则=)(x f .解:x x x f 2)1(2-=-1)1(11222+-=-+-=x x x ,=)(x f 12+x7.函数1322+--=x x x y 的间断点是 .解:因为当01=+x ,即1-=x 时函数无意义所以函数1322+--=x x x y 的间断点是1-=x8.=∞→xx x 1sinlim .解:=∞→x x x 1sinlim 111sinlim =∞→xx x9.若2sin 4sin lim0=→kxxx ,则=k .解: 因为24sin 44sin lim 4sin 4sin lim 00===→→kkxkx x xk kx x x x所以2=k10.若23sin lim 0=→kxxx ,则=k .解:因为2333lim 33lim 00===→→kx x sim k kx x sim x x所以23=k 二、单项选择题(每小题2分,共24分)1.设函数2e e xx y +=-,则该函数是( ).A .奇函数B .偶函数C .非奇非偶函数D .既奇又偶函数解:因为y e e e e x y xx x x =+=+=-----22)()( 所以函数2e e xx y +=-是偶函数。
微积分初步形成性考核作业(一)解答————函数,极限和连续一、填空题(每小题2分,共20分) 1.函数)2-ln(1)(x x f =的定义域是)∞,3(∪)3,2(+2.函数xx f -51)(=的定义域是)5,-3.函数2-4)2ln(1)(x x x f ++=的定义域是]2,1-(∪)1-,2-(4.函数72-)1-(+=x x x f ,则=)(x f 62+x5.函数>+=e 0≤2)(2x x x x f x,则=)0(f 2 . 6.函数x x x f 2-)1-(2=,则=)(x f 1-2x7.函数13-2-2+=x x x y 的间断点是1-=x8.=xx x 1sinlim ∞→ 1 . 9.若2sin 4sin lim0→=kxxx ,则=k 2 .10.若23sin lim0→=kxxx ,则=k 23二、单项选择题(每小题2分,共24分) 1.设函数2e exxy +=,则该函数是(B ). A .奇函数 B .偶函数 C .非奇非偶函数 D .既奇又偶函数 2.设函数x x y sin 2=,则该函数是(A ).A .奇函数B .偶函数C .非奇非偶函数D .既奇又偶函数3.函数222)(xx xx f +=的图形是关于(D )对称.A .x y =B .x 轴C .y 轴D .坐标原点4.下列函数中为奇函数是(C).A .x x sinB .x lnC .)1ln(2x x ++D .2x x +5.函数)5ln(41+++=x x y 的定义域为( D ). A .5->x B .4-≠x C .5->x 且0≠x D .5->x 且4-≠x6.函数)1-ln(1)(x x f =的定义域是(D ).A . )∞,1(+B .)∞,1(∪)1,0(+C .)∞,2(∪)2,0(+D .)∞,2(∪)2,1(+ 7.设1-)1(2x x f =+,则=)(x f ( C )A .)1(+x xB .2x C .)2-(x x D .)1-)(2(x x + 8.下列各函数对中,(D)中的两个函数相等.A .2)()(x x f =,x x g =)(B .2)(x x f =,x x g =)(C .2ln )(x x f =,9.当0→x 时,下列变量中为无穷小量的是( C ). A .x 1 B .x x sin C .)1ln(x + D .2xx10.当=k ( B )时,函数=+=,≠,1)(2x k x x x f ,在0=x 处连续. A .0 B .1 C .2 D .111.当=k ( D )时,函数=+=,≠,2)(x k x e x f x 在0=x 处连续. A .0 B .1 C .2 D .3 12.函数23-3-)(2+=x x x x f 的间断点是( A ) A .2,1==x xB .3=xC .3,2,1===x x xD .无间断点三、解答题(每小题7分,共56分)⒈计算极限4-23-lim 222→x x x x +.解:4-23-lim 222→x x x x +4121-lim )2-)(2()2-)(1-(lim 2→2→=+=+=x x x x x x x x2.计算极限1-6-5lim 221→x x x x + 解:1-6-5lim 221→x x x x +2716lim )1-)(1()6)(1-(lim 1→1→=++=++=x x x x x x x x3.3-2-9-lim 223→x x x x解:3-2-9-lim 223→x x x x 234613lim )3-)(1()3-)(3(lim 3→3→==++=++=x x x x x x x x4.计算极限45-86-lim 224→++x x x x x解:45-86-lim 224→++x x x x x 321-2-lim )4-)(1-()4-)(2-(lim 4→4→===x x x x x x x x5.计算极限65-86-lim 222→++x x x x x .解:65-86-lim 222→++x x x x x 23-4-lim )3-)(2-()4-)(2-(lim 2→2→===x x x x x x x x6.计算极限xx x 1--1lim→. 解:x x x 1--1lim→)1-1(lim )1-1()1-1)(1--1(lim 0→0→+=++=x x xx x x x x x 21-1-11lim→=+=x x7.计算极限xx x 4sin 1--1lim→。
《微积分初步》形成性考核作业(一)参考答案——函数,极限和连续一、填空题(每小题2分,共20分) 1.()()3,+∞2,3 或填{}23x x x >≠且; 2.(),5-∞或填{}5x x <;3.()(]2,11,2--⋃-或填{}121x x x -<≤≠-且; 4.26x +; 5.2; 6.21x -;7.1x =-; 8.1; 9.2; 10.32二、单项选择题(每小题2分,共24分)1.B2.A3.D4.C5.D6.D7.C8.D9.C 10.B 11.D 12.A 三、解答题(每小题7分,共56分)1、1/4;2、7/2;3、3/2;4、2/3;5、2;6、-1/2;7、-1/8; 8/16《微积分初步》形成性考核作业(二)参考答案——导数、微分及应用一、填空题(每小题2分,共20分)1.12; 2.10x y -+=; 3.230x y +-=; 41; 5.6-; 6.()271ln3+;7.21x -;8.2-; 9.()1,+∞; 10. 0a >.二、单项选择题(每小题2分,共24分)1.D2.C3.C4.B5.D6.C7.C8.C9.A 10.B 11.B 12.A三、解答题(每小题7分,共56分)1.解:()111221221xxxy xe x e x e x⎛⎫'=+-=- ⎪⎝⎭. 2.解:24cos 43sin cos y x x x '=-. 3.解:21y x'=-. 4.解:sin tan cos x y x x '==. 5.解:方程两边同时对x 求微分,得()()2202222xdx ydy xdy ydx x y dx x y dyx ydy dxx y+--=-=--∴=-6. 解: 原方程可化为()21x y +=1,1x y y x ∴+=±=-±1,y dy dx '∴=-=- 7. 解:方程两边同时对x 求微分,得20x y y e dx e dy xe dx xdx +++=()2y x y xe dy e e x dx =-++2x y ye e xdy dx xe++∴=-. 8. 解:方程两边同时对x 求微分,得()()sin 0y x y dx dy e dy -+++=()()sin sin yx y dy dx e x y +∴=-+ 微积分初步》形成性考核作业(三)参考答案——不定积分、极值应用问题一、填空题(每小题2分,共20分)1.2ln 2x x x c -+; 2.24x e --; 3.()1x x e +; 4.2cos2x ; 5.1x; 6.4cos2x -;7.2x e dx -; 8.sin x c +; 9.()1232F x c -+; 10. ()2112F x c --+.二、单项选择题(每小题2分,共16分) 1.A 3.A 4.A 5.A 6.A 7.C 8.B 三、解答题(每小题7分,共35分)1.解:原式=32sin 3ln cos 3x dx x x c x⎛⎫=-+ ⎪⎝⎭⎰.2.解:原式=()()()()101111111121212121221122x d x x c x c --=⨯-+=-+⎰.3.解:原式=111sin cos d c x x x⎛⎫-=+ ⎪⎝⎭⎰.4.解:原式=11111cos 2cos 2cos 2cos 2sin 222224xd x x x xdx x x x c -=-+=-++⎰⎰. 5.解:原式=()1x x x x x x xde xe e dx xe e c x e c -------=-+=--+=-++⎰⎰. 四、极值应用题(每小题12分,共24分)1.解: 设矩形ABCD 的一边AB x =厘米,则60BC x =-厘米, 当它沿直线AB 旋转一周后,得到圆柱的体积()()260,060V x x x π=-<<令()()2602600V x x x π⎡⎤'=---=⎣⎦得20x = 当()0,20x ∈时,0V '>;当()20,60x ∈时,0V '<.20x ∴=是函数V 的极大值点,也是最大值点.此时6040x -=答:当矩形的边长分别为20厘米和40厘米时,才能使圆柱体的体积最大. 2. 解:设成矩形有土地的宽为x 米,则长为216x米, 于是围墙的长度为()4323,0L x x x=+> 令243230L x '=-=得()12x =取正易知,当12x =时,L 取得唯一的极小值即最小值,此时21618x= 答:这块土地的长和宽分别为18米和12米时,才能使所用的建筑材料最省. 五、证明题(本题5分)《微积分初步》形成性考核作业(四)参考答案——定积分及应用、微分方程一、填空题(每小题2分,共20分)1.23-; 2.2; 3.3221633y x =-; 4.4; 5.24a π; 6.0;7.12; 8.x y e =;9.3x y ce -=; 10. 4.二、单项选择题(每小题2分,共20分)1.A2.A3.A4.D5.D6.B7.B8.D9.C 10.B 三、计算题(每小题7分,共56分)1.解:原式=()()()2ln 23ln 20011911133x xx e d e e ++=+=-⎰.2.解:原式=()()()21111715ln 15ln 15ln 5102e ex d x x ++=+=⎰.3.解:原式=()111100011x x x xxde xe e dx e e e e =-=-=--=⎰⎰.4.解:原式=02cos 2cos 4sin 4222x x x xd x ππ⎡⎤-=-+=⎢⎥⎣⎦⎰.5.解:原式=22220000cos cos cos 0sin 1xd x x x xdx x ππππ-=-+=+=⎰⎰.6. 解:()()21,1P x Q x x x==+()()()()()()112ln 2ln 342 1 11111 42P x dx P x dx dx dx x x x x y e Q x e dx c e x e dx c e x e dx c x x dx c x x x c x ---⎡⎤⎰⎰=+⎢⎥⎣⎦⎡⎤⎰⎰=++⎢⎥⎣⎦⎡⎤=++⎣⎦⎡⎤=++⎣⎦⎡⎤=++⎢⎥⎣⎦⎰⎰⎰⎰通解 即通解31142c y x x x=++ 7. 解:()()1,2sin 2P x Q x x x x=-=()()()()11ln ln 2sin 2 2sin 21 2sin 2 cos 2P x dx P x dx dx dx x xx x y e Q x e dx c e x xe dx c e x xe dx c x x x dx c x x x c ---⎡⎤⎰⎰∴=+⎢⎥⎣⎦⎡⎤⎰⎰=+⎢⎥⎣⎦⎡⎤=+⎣⎦⎡⎤=⋅+⎢⎥⎣⎦=-+⎰⎰⎰⎰通解即通解为()cos2y x x c =-+.四、证明题(本题4分)()()()()()()()()()()()0000000 aaaaaaaa af x dx f x dxf x dx f x dxf x d x f x dx f x dx f x dxf x f x dx ----+=-+=---+=-+=-+=⎡⎤⎣⎦⎰⎰⎰⎰⎰⎰⎰⎰⎰证:左边=右边()()()()1 0, 01 0, 0,0.x x x f x e x e x f x f x x e '=-<<<'∴<>=--∞证:当时当时从而函数在区间是单调增加的。
国家开放大学《微积分基础》形成性考核作业1-4参考答案形成性考核作业1一、填空题(每小题2分,共20分)1.函数的定义域是 (2,3)U (3,+∞) .2.函数的定义域是 (-∞,5) .3.函数的定义域是 (-2,-1)U (-1,2] .4.函数,则 f(x)=x 2+6 .5.函数,则 2 .6.函数,则 x 2―1 .7.函数的间断点是 x=-1 .8. 1 .9.若,则 2 .10.若,则 3/2 .二、单项选择题(每小题2分,共24分)1.设函数,则该函数是(B ).A .奇函数B .偶函数C .非奇非偶函数D .既奇又偶函数2.设函数,则该函数是(A ).)2ln(1)(-=x x f xx f -=51)(24)2ln(1)(x x x f -++=72)1(2+-=-x x x f =)(x f ⎩⎨⎧>≤+=0e 02)(2x x x x f x =)0(f x x x f 2)1(2-=-=)(x f 1322+--=x x x y =∞→xx x 1sinlim 2sin 4sin lim 0=→kxxx =k 23sin lim 0=→kxxx =k 2e e xx y +=-x x y sin 2=A .奇函数B .偶函数C .非奇非偶函数D .既奇又偶函数3.函数的图形是关于(D )对称.A .B .轴C .轴D .坐标原点4.下列函数中为奇函数是(C ).A .B .C .D . 5.函数的定义域为(D ). A . B . C .且 D .且 6.函数D ). A . B . C . D .222)(xx x x f -+=x y =x y x x sin x ln )1ln(2x x ++2x x +)5ln(41+++=x x y 5->x 4-≠x 5->x 0≠x 5->x 4-≠x 1()ln(1)f x x =-(1,225⋃)(,)(1,225]⋃)(,(5]-∞,),2()2,1(+∞⋃7.设,则(C )A .B .C .D .8.下列各函数对中,(D )中的两个函数相等.A .,B .,C .,D .,9.当时,下列变量中为无穷小量的是(C ).A .B .C .D .10.当(B )时,函数,在处连续.A .0B .1C .D .11.当(D )时,函数在处连续.A .0B .12(1)+21f x x x +=-=)(x f 21x -22x -2+1x 22x +2)()(x x f =x x g =)(2)(x x f =x x g =)(2ln )(x x f =x x g ln 2)(=3ln )(x x f =x x g ln 3)(=0→x x 1xx sin )1ln(x +2x x =k ⎩⎨⎧=≠+=0,,1)(2x k x x x f 0=x 21-=k e 2,0(),0x x f x k x ⎧+≠=⎨=⎩0=xC .D . 12.函数的间断点是(A ) A . B . C . D .无间断点三、解答题(每小题7分,共56分)⒈计算极限=(X ―1)(X ―2)(X +2)(X ―2)=x ―1x +2=142.计算极限=lim x→1(x +6)(x ―1)(x +1)(x ―1)=lim x→1(x +6)(x +1)=72 3.=lim x→3(x +3)(x ―3)(x ―3)(x +1)=lim x→3(x +3)(x +1)=324.计算极限=lim x→4(x ―2)(x ―4)(x ―1)(x ―4)=lim x→4(x ―2)(x ―1)=235.计算极限=lim x→2(x ―2)(x ―4)(x ―2)(x ―3)=lim x→2(x ―4)(x ―3)=26.计算极限=limx→0(1―x ―1)(1―x +1)x(1―x +1)=lim x→0―x x (1―x +1)=lim x→0―1(1―x +1)=―12 7.计算极限=limx→0(1―x ―1)(1―x +1)sin4x(1―x +1)=―188.计算极限=limx→0sin4x(x +4+2)x=16形成性考核作业2一、填空题(每小题2分,共20分)23233)(2+--=x x x x f 2,1==x x 3=x 3,2,1===x x x 42lim 222---→x x x x 165lim 221--+→x x x x 329lim 223---→x x x x 4586lim 224+-+-→x x x x x 6586lim 222+-+-→x x x x x x x x 11lim 0--→x x x 4sin 11lim 0--→244sin lim-+→x x x1.曲线在点的斜率是 1/2 . 2.曲线在点的切线方程是 y=x+1 . 3.曲线在点处的切线方程是 y =―12x +32 .4.2x ln22x.5.若y = x (x – 1)(x – 2)(x – 3),则(0) = -6 . 6.已知,则= 27+3x ln3 . 7.已知,则=―1x 2 8.若,则-2 .9.函数的单调增加区间是 [1,+∞) .10.函数在区间内的驻点为1 .二、单项选择题(每小题2分,共24分) 1.函数在区间是(D ) A .单调增加B .单调减少C .先增后减D .先减后增2.满足方程的点一定是函数的(C ).A .极值点B .最值点C .驻点D .间断点3.若,则=(C ).A . 2B . 1C . -11)(+=x x f )2,1(x x f e )(=)1,0(21-=x y )1,1(=')2(xy 'x x x f 3)(3+=)3(f 'x x f ln )(=)(x f ''()sin f x x x =()2f π''=2)1(3-=x y 31()3f x x x =-(0,2)x =2)1(+=x y )2,2(-0)(='x f )(x f y =x x f x cos e )(-=)0(f 'D . -24.设,则(B ). A . B .C .D .5.设是可微函数,则(D ).A .B .C .D .6.曲线在处切线的斜率是(C ).A .B .C .D .7.若,则(C ).A .B .C .D .8.若,其中是常数,则(C ).x y 2lg ==y dx xd 21x x d 10ln 1x xd 10ln x xd 1)(x f y ==)2(cos d x f x x f d )2(cos 2'x x x f d22sin )2(cos 'x x x f d 2sin )2(cos 2'x x x f d22sin )2(cos '-1e 2+=x y 2=x 4e 2e 42e 2x x x f cos )(=='')(x f x x x sin cos +x x x sin cos -x x x cos sin 2--x x x cos sin 2+3sin )(a x x f +=a ='')(x fA .B .C .D .9.下列结论中(A )不正确.A .在处连续,则一定在处可微.B .在处不连续,则一定在处不可导.C .可导函数的极值点一定发生在其驻点上.D .若在[a ,b ]内恒有,则在[a ,b ]内函数是单调下降的. 10.若函数f (x )在点x 0处可导,则(B )是错误的.A .函数f (x )在点x 0处有定义B .,但C .函数f (x )在点x 0处连续D .函数f (x )在点x 0处可微11.下列函数在指定区间上单调下降减少的是(B ). A .sin x B .e x C .x 2 D .3 - x12.下列结论正确的有(A ).A .x 0是f (x )的极值点,且(x 0)存在,则必有(x 0) = 0B .x 0是f (x )的极值点,则x 0必是f (x )的驻点C .若(x 0) = 0,则x 0必是f (x )的极值点D .使不存在的点x 0,一定是f (x )的极值点 三、解答题(每小题7分,共56分)⒈设,求. 23cos a x +a x 6sin +x sin -x cos )(x f 0x x =0x )(x f 0x x =0x )(x f 0)(<'x f A x f x x =→)(lim 0)(0x f A ≠),(+∞-∞f 'f 'f ')(x f '3223++=x x y y '2.设,求.3.设,求.4.设,求.5.设,求.6.设是由方程确定的隐函数,求.7.设是由方程确定的隐函数,求.8.设,求.x x y 2cos +=y'x y x2sin e 1+=yd x x x y cos ln +=yd xx x y -++=1)1sin(2yd )(x y y =422=-+xy y x y')(x y y =4e e 2=++x x y x yd 1e )cos(=++y y x y d形成性考核作业3一、填空题(每小题2分,共20分)1.若的一个原函数为,则 1/x 。
微积分初步形成性考核作业〔一〕————函数,极限和连续一、填空题〔每题2分,共20分〕 1.函数)2ln(1)(-=x x f 的定义域是.解:020)2ln({>-≠-x x , 23{>≠x x 所以函数)2ln(1)(-=x x f 的定义域是),3()3,2(+∞⋃2.函数xx f -=51)(的定义域是.解:05>-x ,5<x 所以函数xx f -=51)(的定义域是)5,(-∞3.函数24)2ln(1)(x x x f -++=的定义域是.解:⎪⎩⎪⎨⎧≥->+≠+04020)2ln(2x x x ,⎪⎩⎪⎨⎧≤≤-->-≠2221x x x 所以函数24)2ln(1)(x x x f -++=的定义域是]2,1()1,2(-⋃-- 4.函数72)1(2+-=-x x x f ,则=)(x f .解:72)1(2+-=-x x x f 6)1(61222+-=++-=x x x 所以=)(x f 62+x5.函数⎩⎨⎧>≤+=0e02)(2x x x x f x ,则=)0(f .解:=)0(f 2202=+6.函数x x x f 2)1(2-=-,则=)(x f .解:x x x f 2)1(2-=-1)1(11222+-=-+-=x x x ,=)(x f 12+x7.函数1322+--=x x x y 的连续点是.解:因为当01=+x ,即1-=x 时函数无意义 所以函数1322+--=x x x y 的连续点是1-=x8.=∞→x x x 1sinlim .解:=∞→x x x 1sin lim 111sinlim=∞→xx x9.假设2sin 4sin lim0=→kxxx ,则=k .解: 因为24sin 44sin lim 4sin 4sin lim 00===→→kkxkx x xk kx x x x 所以2=k10.假设23sin lim 0=→kxxx ,则=k .解:因为2333lim 33lim 00===→→k x x sim k kx x sim x x 所以23=k二、单项选择题〔每题2分,共24分〕1.设函数2e e xx y +=-,则该函数是〔 〕.A .奇函数B .偶函数C .非奇非偶函数D .既奇又偶函数解:因为y e e e e x y x x x x =+=+=-----22)()( 所以函数2e e xx y +=-是偶函数。
微积分初步形成性考核作业(一)————函数,极限和连续一、填空题(每小题2分,共20分) 1.函数)2ln(1)(-=x x f 的定义域是 .解:020)2ln({>-≠-x x , 23{>≠x x 所以函数)2ln(1)(-=x x f 的定义域是),3()3,2(+∞⋃2.函数xx f -=51)(的定义域是 .解:05>-x ,5<x所以函数xx f -=51)(的定义域是)5,(-∞3.函数24)2ln(1)(x x x f -++=的定义域是 .解:⎪⎩⎪⎨⎧≥->+≠+04020)2ln(2x x x ,⎪⎩⎪⎨⎧≤≤-->-≠2221x x x 所以函数24)2ln(1)(x x x f -++=的定义域是]2,1()1,2(-⋃-- 4.函数72)1(2+-=-x x x f ,则=)(x f.解:72)1(2+-=-x x x f 6)1(61222+-=++-=x x x所以=)(x f 62+x5.函数⎩⎨⎧>≤+=0e02)(2x x x x f x ,则=)0(f .解:=)0(f 2202=+6.函数x x x f 2)1(2-=-,则=)(x f .解:x x x f 2)1(2-=-1)1(11222+-=-+-=x x x ,=)(x f 12+x7.函数1322+--=x x x y 的间断点是 .解:因为当01=+x ,即1-=x 时函数无意义所以函数1322+--=x x x y 的间断点是1-=x8.=∞→xx x 1sinlim .解:=∞→x x x 1sinlim 111sinlim =∞→xx x9.若2sin 4sin lim0=→kxxx ,则=k .解: 因为24sin 44sin lim 4sin 4sin lim00===→→kkxkx x xk kx x x x 所以2=k10.若23sin lim 0=→kxxx ,则=k .解:因为2333lim 33lim 00===→→kx x sim k kx x sim x x所以23=k 二、单项选择题(每小题2分,共24分)1.设函数2e e xx y +=-,则该函数是( ).A .奇函数B .偶函数C .非奇非偶函数D .既奇又偶函数解:因为y e e e e x y xx x x =+=+=-----22)()( 所以函数2e e xx y +=-是偶函数。
微积分初步形成性考核册答案标准化文件发布号:(9312-EUATWW-MWUB-WUNN-INNUL-DQQTY-微积分初步形成性考核作业(一)————函数,极限和连续一、填空题(每小题2分,共20分) 1.函数)2ln(1)(-=x x f 的定义域是 .解:020)2ln({>-≠-x x , 23{>≠x x所以函数)2ln(1)(-=x x f 的定义域是),3()3,2(+∞⋃2.函数xx f -=51)(的定义域是 .解:05>-x ,5<x 所以函数xx f -=51)(的定义域是)5,(-∞3.函数24)2ln(1)(x x x f -++=的定义域是 .解:⎪⎩⎪⎨⎧≥->+≠+04020)2ln(2x x x ,⎪⎩⎪⎨⎧≤≤-->-≠2221x x x 所以函数24)2ln(1)(x x x f -++=的定义域是]2,1()1,2(-⋃--4.函数72)1(2+-=-x x x f ,则=)(x f.解:72)1(2+-=-x x x f 6)1(61222+-=++-=x x x 所以=)(x f 62+x 5.函数⎩⎨⎧>≤+=0e 02)(2x x x x f x ,则=)0(f .解:=)0(f 2202=+6.函数x x x f 2)1(2-=-,则=)(x f .解:x x x f 2)1(2-=-1)1(11222+-=-+-=x x x ,=)(x f 12+x7.函数1322+--=x x x y 的间断点是 .解:因为当01=+x ,即1-=x 时函数无意义所以函数1322+--=x x x y 的间断点是1-=x8.=∞→xx x 1sinlim . 解:=∞→x x x 1sinlim 111sinlim =∞→xx x9.若2sin 4sin lim0=→kxxx ,则=k .解: 因为24sin 44sin lim 4sin 4sin lim00===→→kkxkx x xk kx x x x 所以2=k 10.若23sin lim 0=→kxxx ,则=k .解:因为2333lim 33lim 00===→→k x x sim k kx x sim x x所以23=k 二、单项选择题(每小题2分,共24分) 1.设函数2e e xx y +=-,则该函数是( ).A .奇函数B .偶函数C .非奇非偶函数D .既奇又偶函数解:因为y e e e e x y x x x x =+=+=-----22)()( 所以函数2e e xx y +=-是偶函数。
故应选B 2.设函数x x y sin 2=,则该函数是( ).A .奇函数B .偶函数C .非奇非偶函数D .既奇又偶函数 解:因为y x x x x x y -=-=--=-sin )sin()()(22 所以函数x x y sin 2=是奇函数。
故应选A3.函数222)(xx x x f -+=的图形是关于( )对称.A .x y =B .x 轴C .y 轴D .坐标原点解:因为)(222222)()()(x f x x x f x x x x -=+-=+⋅-=----- 所以函数222)(xx x x f -+=是奇函数从而函数222)(xx x x f -+=的图形是关于坐标原点对称的因此应选D4.下列函数中为奇函数是( ).A .x x sinB .x lnC .)1ln(2x x ++D .2x x +解:应选C5.函数)5ln(41+++=x x y 的定义域为( ). A .5->x B .4-≠x C .5->x 且0≠x D .5->x 且4-≠x 解:⎩⎨⎧>+≠+0504x x ,⎩⎨⎧->-≠54x x ,所以应选D6.函数)1ln(1)(-=x x f 的定义域是( ).A . ),1(+∞B .),1()1,0(+∞⋃C .),2()2,0(+∞⋃D .),2()2,1(+∞⋃解:⎩⎨⎧>-≠-010)1ln(x x ,⎩⎨⎧>≠12x x , 函数)1ln(1)(-=x x f 的定义域是),2()2,1(+∞⋃,故应选D7.设1)1(2-=+x x f ,则=)(x f ( )A .)1(+x xB .2xC .)2(-x xD .)1)(2(-+x x 解:1)1(2-=+x x f ]2)1)[(1()1)(1(-++=-+=x x x x)2()(-=x x x f ,故应选C8.下列各函数对中,()中的两个函数相等.A .2)()(x x f =,x x g =)(B .2)(x x f =,x x g =)(C .2ln )(x x f =,x x g ln 2)(=D .3ln )(x x f =,x x g ln 3)(= 解:两个函数相等必须满足①定义域相同②函数表达式相同,所以应选D9.当0→x 时,下列变量中为无穷小量的是( ). A .x 1 B .x x sin C .)1ln(x + D .2xx解:因为0)1ln(lim 0=+→x x ,所以当0→x 时,)1ln(x +为无穷小量,所以应选C10.当=k ( )时,函数⎩⎨⎧=≠+=0,0,1)(2x k x x x f ,在0=x 处连续.A .0B .1C .2D .1- 解:因为1)1(lim )(lim 20=+=→→x x f x x ,k f =)0(若函数⎩⎨⎧=≠+=0,0,1)(2x k x x x f ,在0=x 处连续,则)(lim )0(0x f f x →=,因此1=k 。
故应选B11.当=k ( )时,函数⎩⎨⎧=≠+=0,0,2)(x k x e x f x 在0=x 处连续.A .0B .1C .2D .3解:3)2(lim )(lim )0(0=+===→→x x x e x f f k ,所以应选D12.函数233)(2+--=x x x x f 的间断点是( ) A .2,1==x xB .3=xC .3,2,1===x x xD .无间断点解:当2,1==x x 时分母为零,因此2,1==x x 是间断点,故应选A三、解答题(每小题7分,共56分)⒈计算极限423lim 222-+-→x x x x .解:423lim 222-+-→x x x x 4121lim )2)(2()2)(1(lim 22=+-=-+--=→→x x x x x x x x 2.计算极限165lim 221--+→x x x x解:165lim 221--+→x x x x 2716lim )1)(1()6)(1(lim 11=++=-++-=→→x x x x x x x x 3.329lim 223---→x x x x解:329lim 223---→x x x x 234613lim )3)(1()3)(3(lim 33==++=-+-+=→→x x x x x x x x 4.计算极限4586lim 224+-+-→x x x x x解:4586lim 224+-+-→x x x x x 3212lim )4)(1()4)(2(lim 44=--=----=→→x x x x x x x x 5.计算极限6586lim 222+-+-→x x x x x .解:6586lim 222+-+-→x x x x x 234lim )3)(2()4)(2(lim 22=--=----=→→x x x x x x x x 6.计算极限xx x 11lim--→. 解:x x x 11lim--→)11(lim )11()11)(11(lim 00+--=+-+---=→→x x xx x x x x x 21111lim-=+--=→x x7.计算极限xx x 4sin 11lim--→解:x x x 4sin 11lim--→)11(4sin )11)(11(lim 0+-+---=→x x x x x81)11(44sin 1lim 41)11(4sin lim00-=+--=+--=→→x xx x x xx x8.计算极限244sin lim-+→x x x .解:244sin lim-+→x x x )24)(24()24(4sin lim++-+++=→x x x x x16)24(44[lim 4)24(4sin lim 00=++=++=→→x xxsim x x x x x微积分初步形成性考核作业(二)————导数、微分及应用一、填空题(每小题2分,共20分)1.曲线1)(+=x x f 在)2,1(点的斜率是 . 解:xx f 21)(=',斜率21)1(='=f k 2.曲线x x f e )(=在)1,0(点的切线方程是 . 解:x e x f =')( ,斜率1)0(0=='=e f k所以曲线x x f e )(=在)1,0(点的切线方程是:1+=x y 3.曲线21-=xy 在点)1,1(处的切线方程是.解:2321--='x y ,斜率21211231-=-='==-=x x xy k所以曲线21-=xy 在点)1,1(处的切线方程是:)1(211--=-x y ,即:032=-+y x4.=')2(x. 解:=')2(xx x xx22ln 22ln 212=⋅5.若y = x (x – 1)(x – 2)(x – 3),则y '(0) =.解:6)3)(2)(1()0(-=---='y6.已知x x x f 3)(3+=,则)3(f '=.解:3ln 33)(2x x x f +=',)3(f '3ln 2727+=7.已知x x f ln )(=,则)(x f ''= .解:x x f 1)(=',21)(xx f -='' 8.若x x x f -=e )(,则='')0(f.解:x x xe e x f ---=')(,x x x x x xe e xe e e x f -----+-=---=''2)()(, ='')0(f 2- 9.函数y x =-312()的单调增加区间是 .解:0)1(6≥-='x y ,1≥x ,所以函数y x =-312()的单调增加区间是),1[+∞ 10.函数1)(2+=ax x f 在区间),0(∞+内单调增加,则a 应满足 .解:02)(≥='ax x f ,而0>x ,所以0≥a 二、单项选择题(每小题2分,共24分) 1.函数2)1(+=x y 在区间)2,2(-是( D ) A .单调增加 B .单调减少C .先增后减D .先减后增2.满足方程0)(='x f 的点一定是函数)(x f y =的( C ). A .极值点 B .最值点 C .驻点 D . 间断点 3.若x x f x cos e )(-=,则)0(f '=( C ). A. 2 B. 1 C. -1 D. -2 4.设y x =lg2,则d y =( B ). A .12d x x B .1d x x ln10 C .ln10x x d D .1d xx 5..设)(x f y =是可微函数,则=)2(cos d x f ( D ).A .x x f d )2(cos 2'B .x x x f d22sin )2(cos 'C .x x x f d 2sin )2(cos 2'D .x x x f d22sin )2(cos '-6.曲线1e 2+=x y 在2=x 处切线的斜率是( C ). A .4e B .2e C .42e D .2 7.若x x x f cos )(=,则='')(x f ( C ).A .x x x sin cos +B .x x x sin cos -C .x x x cos sin 2--D .x x x cos sin 2+ 8.若3sin )(a x x f +=,其中a 是常数,则='')(x f ( C ). A .23cos a x + B .a x 6sin + C .x sin - D .x cos9.下列结论中( B )不正确.A .)(x f 在0x x =处连续,则一定在0x 处可微.B .)(x f 在0x x =处不连续,则一定在0x 处不可导.C .可导函数的极值点一定发生在其驻点上.D .若)(x f 在[a ,b ]内恒有0)(<'x f ,则在[a ,b ]内函数是单调下降的. 10.若函数f (x )在点x 0处可导,则( B )是错误的.A .函数f (x )在点x 0处有定义B .A x f x x =→)(lim 0,但)(0x f A ≠C .函数f (x )在点x 0处连续D .函数f (x )在点x 0处可微11.下列函数在指定区间(,)-∞+∞上单调增加的是( B ). A .sin x B .e x C .x 2D .3 - x 12.下列结论正确的有( A).A .x 0是f (x )的极值点,且f '(x 0)存在,则必有f '(x 0) = 0B .x 0是f (x )的极值点,则x 0必是f (x )的驻点C .若f '(x 0) = 0,则x 0必是f (x )的极值点D .使)(x f '不存在的点x 0,一定是f (x )的极值点三、解答题(每小题7分,共56分) ⒈设xx y 12e =,求y '.解:x x xxe xe xe x xe y 1121212)1(2-=-+='x e x 1)12(-=2.设x x y 3cos 4sin +=,求y '. 解:x x x y sin cos 34cos 42-=' 3.设xy x 1e 1+=+,求y '. 解:211121xex y x -+='+ 4.设x x x y cos ln +=,求y '. 解:x x x x x y tan 23cos sin 23-=-+=' 5.设)(x y y =是由方程422=-+xy y x 确定的隐函数,求y d . 解:两边微分:0)(22=+-+xdy ydx ydy xdx xdx ydx xdy ydy 22-=- dx xy xy dy --=226.设)(x y y =是由方程1222=++xy y x 确定的隐函数,求y d . 解:两边对1222=++xy y x 求导,得:0)(222='++'+y x y y y x 0='++'+y x y y y x ,)()(y x y y x +-='+,1-='y dx dx y dy -='=7.设)(x y y =是由方程4e e 2=++x x y x 确定的隐函数,求y d . 解:两边微分,得:02=+++xdx dy xe dx e dx e y y xdx x e e dy xe yxy)2(++-=,dx xexe e dy yy x 2++-= 8.设1e )cos(=++y y x ,求y d . 解:两边对1e )cos(=++y y x 求导,得: 0)sin()1(='++'+-y e y y x y 0)sin()sin(='++'-+-y e y y x y y x )sin()]sin([y x y y x e y +='+- )sin()sin(y x e y x y y+-+=' dx y x e y x dx y dy y )sin()sin(+-+='=微积分初步形成性考核作业(三)———不定积分,极值应用问题一、填空题(每小题2分,共20分)1.若)(x f 的一个原函数为2ln x ,则=)(x f 2ln 2x x x c -+ 。