2019高数(下)试题及答案
- 格式:doc
- 大小:498.00 KB
- 文档页数:9
2019最新高等数学(下册)期末考试试题(含答案)一、解答题1.判断下列函数在原点O (0,0)处是否连续:33222222sin(),0,(1)0,0;x y x y z x y x y ⎧++≠⎪=+⎨⎪+=⎩33333333sin(),0,(2)0,0;x y x y z x y x y ⎧++≠⎪=+⎨⎪+=⎩(3) 222222222,0,(2)()0,0;x y x y z x y x y x y ⎧+≠⎪=+-⎨⎪+=⎩解:(1)由于3333333322223333sin()sin()sin()0()x y x y x y x y y x x y x y x y x y++++≤=≤+⋅++++ 又00lim()0x y y x →→+=,且3333000sin()sin lim lim 1x u y x y ux y u →→→+==+, 故0lim 0(0,0)x y z z →→==.故函数在O (0,0)处连续. (2)000sin lim lim1(0,0)0x u y uz z u→→→==≠=故O (0,0)是z 的间断点.(3)若P (x ,y ) 沿直线y =x 趋于(0,0)点,则2222000lim lim 10x x y x x x z x x →→=→⋅==⋅+, 若点P (x ,y ) 沿直线y =-x 趋于(0,0)点,则22222220000()lim lim lim 0()44x x x y x x x x z x x x x →→→=-→-===⋅-++ 故00lim x y z →→不存在.故函数z 在O (0,0)处不连续.2.指出下列各微分方程的阶数:(1) 2()20;x y'yy'x -+=一阶 (2) 20;x y''xy'y -+=二阶 (3) 220;xy'''y''x y ++=三阶 (4) (76)d ()d 0.x y x x y y -++=一阶3.把对坐标的曲面积分()()()d d d d d d ,,,,,,P y z Q z x R x y x y z x y z x y z ∑++⎰⎰化成对面积的曲面积分,其中:(1) Σ是平面326x y ++=在第Ⅰ封限的部分的上侧; (2) Σ是抛物面z = 8-(x 2+y 2)在xOy 面上方的部分的上侧.解:(1)平面Σ:326x y ++=上侧的法向量为n ={3,2,},单位向量为n 0={35,25},即方向余弦为3cos 5α=,2cos 5β=,cos γ=.因此:()()()()d d d d d d ,,,,,,d cos cos cos 32d 555P y z Q z x R x y x y z x y z x y z sP Q R sP Q R ∑∑∑αβγ++=++⎛⎫=++ ⎪⎝⎭⎰⎰⎰⎰⎰⎰(2)Σ:F (x ,y ,z )=z +x 2+y 2-8=0,Σ上侧的法向量n ={ F x ,F y ,F z }={ 2x ,2y ,1} 其方向余弦:cos α=,cos β=,cos γ=故()()()()d d d d d d ,,,,,,d cos cos cos P y z Q z x R x y x y z x y z x y z sP Q R s∑∑∑αβγ++=++=⎰⎰⎰⎰⎰⎰4.计算下列对面积的曲面积分: (1)4d 23s z x y ∑⎛⎫++ ⎪⎝⎭⎰⎰,其中∑为平面1234x y z ++=在第I 卦限中的部分; (2)()2d 22s xy xx z ∑--+⎰⎰,其中∑为平面2x +2y +z =6在第I 卦限中的部分;(3)()d s x y z ∑++⎰⎰,其中∑为球面x 2+y 2+z 2=a 2上z ≥h (0<h <a )的部分;(4)()d s xy yz zx ∑++⎰⎰,其中∑为锥面z =被柱面x 2+y 2=2ax 所截得的有限部分; (5)()222d s Rx y ∑--⎰⎰,其中∑为上半球面z =解:(1)4:423z x y ∑=--(如图10-69所示)图10-69d d d s x y x y ==故4d 4d d d d 23331232xy xy D D s x y x y z x y ∑⎛⎫=⋅=++ ⎪⎝⎭=⨯⨯=⎰⎰⎰⎰⎰⎰(2)∑:z =6-2x -2y (如图10-70所示)。
2019最新高等数学(下册)期末考试试题(含答案)一、解答题1.设f (x ,y ) = x +(yf x (x ,1) .解:1(,)1(x f x y y y =+- 则(,1)101x f x =+=.2.利用曲线积分,求下列曲线所围成的图形的面积:(1)星形线x = a cos 3t ,y = a sin 3t ;(2)双纽线r 2 = a 2cos2θ;(3)圆x 2+y 2 = 2ax .解:(1)()()()()()2π3202π2π242222002π202π202π202d sin 3cos d sin 33sin cos d sin 2sin d 43d 1cos 41cos 2163d 1cos 2cos 4cos 2cos 416312π+d cos 2cos 61623π8L A y x a t a t t t a t t t a t t t a t t t a t t t t t a t t t a =-=-⋅-==⋅=--=--+⎡⎤=+⎢⎥⎣⎦=⎰⎰⎰⎰⎰⎰⎰ (2)利用极坐标与直角坐标的关系x =r cos θ,y =r sin θ得cos x a =sin y a =从而x d y -y d x =a 2cos2θd θ.于是面积为:[]π24π4π24π4212d d 2cos 2d sin 22L A x y y x a a a θθθ--=⋅-===⎰⎰(3)圆x 2+y 2=2ax 的参数方程为cos 02πsin x a a y a θθθ=+⎧≤≤⎨=⎩ 故()()[]()2π022π021d d 21d a+acos sin 2d 1cos 2πcos sin LA x y y x a a a a a θθθθθθθ=-=-=+=⋅-⎰⎰⎰3.若流体流速()222,,x y z =A ,求单位时间内穿过18球面,22210,0,0x y z x y z ++=>>>的流量. 解:38π4.指出下列各微分方程的阶数:(1) 2()20;x y'yy'x -+=一阶(2) 20;x y''xy'y -+=二阶(3) 220;xy'''y''x y ++=三阶(4) (76)d ()d 0.x y x x y y -++=一阶5.已知均匀矩形板(面密度为常量ρ)的长和宽分别为b 和h ,计算此矩形板对于通过其形心且分别与一边平行的两轴的转动惯量。
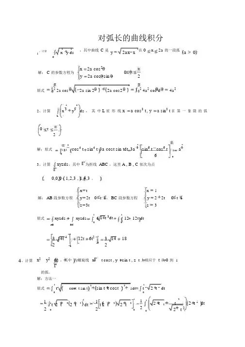
对弧长的曲线积分22,其中曲线C 是y2ax x 2在 0x2a 的一段弧a0、计算x y ds。
1C解: C 的参数方程为x2a cos2y2a cos sin202 2a cos222 4a2 cos4a2原式2a sin 22a cos2d442、计算x 3y3ds ,其中 L 星形线x a cos3 t, y a sin3 t 在第一象限的弧L0t。
24cos4 t sin4 t 7sin6 t cos6 t27解:原式 2 a33a cost sin tdt3a 3a3 063、计算xyzds,其中为折线 ABC ,这里 A , B , C 依次为点0,0,0 , 1,2,3 , 1,4,3 。
x t x1解: AB 段参数方程y2t0t 1, BC 段参数方程y22t0t 1z3t z3xyzds xyzds 1614t 3dt112t dt原式012AB BC311314t 412t6t214182024、计算x2y2 ds ,其中为螺旋线x t cost , y t sin t , z t 上相应于t从 0 到1的弧。
解:方法一1221原式t2sin t t cost t 2 2 t 2 dtcost t sin t1dt001122121 t 2 t 2 t dt t 2 t 2 t2 2020121t222 t 2 dt2 t2t 233 1 2 2 t 2dt1 2 t 2dt2t3 3113 31 11原式2 t2 dt2ln t2 t2 4242 t 2 t231ln 1 2 32 2方法二、原式1 2 cost 2sin t t cost21 2 2 t 2dttt sin t 1dtt11t2 2 t 211 122t dtu 2 u du2 021u 211 120 2duu1112u1 1du11u 12u 112121 21u 11du21 01du2u 111 121213 u 1du ln u 1u 1 112 02 03 1 1u 21du1ln 2312 02原式 31232ln4方法三、1221原式t2sin t1dtt 2 2 t 2dtcost t sin tt cost因为t 32 t 23 t 2 2 t 2 t4 4 2t 2 2t 2t 2 2 t 2 1 t 244 2 t 22 2 t 2 t 2 t 2t 2 t 22 t 22t 2 t 22 t 2222ln t2 t 2t1 t2 1 2 t1 t 22t 22所以t 3 2 t 21 21ln t2 t 2t2 2 t24t 2 t24t 31t 2 t 21ln t13 1ln 11ln 2原式2 t 22 t 2344 22 225、计算x2y 2 ds ,其中 L : x 2 y 2 ax aL解: x 2y 2 axra cos ,曲线 L 的参数方程为x a cos 2 cos 22y a sin原式2a cosa 2 sin 2 2a 2 cos 2 2 d2a 2 2 cos d2a 226ey 2ds ,xy a,直线y x , y 0在第一象限内所围成的、计算x 2其中 L 为圆周2 2 2L扇形的边界。
2019年高三数学下期末试卷附答案(2)一、选择题1.已知在ABC V 中,::3:2:4sinA sinB sinC =,那么cosC 的值为( ) A .14- B .14 C .23- D .232.命题“对任意x ∈R ,都有x 2≥0”的否定为( )A .对任意x ∈R ,都有x 2<0B .不存在x ∈R ,都有x 2<0C .存在x 0∈R ,使得x 02≥0D .存在x 0∈R ,使得x 02<0 3.右边程序框图的算法思路源于我国古代数学名著《九章算术》中的“更相减损术”.执行该程序框图,若输入,a b 分别为14,18,则输出的a =( )A .0B .2C .4D .144.在△ABC 中,AD 为BC 边上的中线,E 为AD 的中点,则EB =u u u v A .3144AB AC -u u u v u u u v B .1344AB AC -u u u v u u u v C .3144+AB AC u u u v u u u v D .1344+AB AC u u u v u u u v 5.若设a 、b 为实数,且3a b +=,则22a b +的最小值是( )A .6B .8C .26D .426.已知()3sin 30,601505αα︒+=︒<<︒,则cos α为( ) A 310 B .310C 433- D 343-7.已知向量)3,1a =r ,b r 是不平行于x 轴的单位向量,且3a b ⋅=r r b =r ( )A .31,22⎛⎫ ⎪ ⎪⎝⎭B .13,22⎛⎫ ⎪ ⎪⎝⎭C .133,44⎛⎫ ⎪ ⎪⎝⎭D .()1,08.已知函数()25,1,,1,x ax x f x a x x⎧---≤⎪=⎨>⎪⎩是R 上的增函数,则a 的取值范围是( )A .30a -≤<B .0a <C .2a ≤-D .32a --≤≤ 9.下列各组函数是同一函数的是( ) ①()32f x x =-与()2f x x x =-;()3f x 2x y x 2x 与=-=-②()f x x =与()2g x x =;③()0f x x =与()01g x x=;④()221f x x x =--与()221g t t t =--. A .① ② B .① ③ C .③ ④ D .① ④10.甲、乙、丙、丁四名同学组成一个4100米接力队,老师要安排他们四人的出场顺序,以下是他们四人的要求:甲:我不跑第一棒和第二棒;乙:我不跑第一棒和第四棒;丙:我也不跑第一棒和第四棒;丁:如果乙不跑第二棒,我就不跑第一棒.老师听了他们四人的对话,安排了一种合理的出场顺序,满足了他们的所有要求,据此我们可以断定在老师安排的出场顺序中跑第三棒的人是( )A .甲B .乙C .丙D .丁11.渐近线方程为0x y ±=的双曲线的离心率是( )A .22B .1C 2D .2 12.把红、黄、蓝、白4张纸牌随机分给甲、乙、丙、丁4个人,每人分得一张,事件“甲分得红牌”与事件“乙分得红牌”是A .对立事件B .互斥但不对立事件C .不可能事件D .以上都不对二、填空题13.已知复数z=(1+i )(1+2i ),其中i 是虚数单位,则z 的模是__________14.已知(13)n x + 的展开式中含有2x 项的系数是54,则n=_____________.15.一个算法的伪代码如图所示,执行此算法,最后输出的S 的值为________.16.已知函数()(ln )f x x x ax =-有两个极值点,则实数a 的取值范围是__________.17.已知直线:与圆交于两点,过分别作的垂线与轴交于两点.则_________. 18.记n S 为数列{}n a 的前n 项和,若21n n S a =+,则6S =_____________. 19.设等比数列{}n a 满足a 1+a 3=10,a 2+a 4=5,则a 1a 2…a n 的最大值为 .20.若x ,y 满足约束条件220100x y x y y --≤⎧⎪-+≥⎨⎪≤⎩,则32z x y =+的最大值为_____________.三、解答题 21.已知向量()2sin ,1a x =+r ,()2,2b =-r ,()sin 3,1c x =-r ,()1,d k =u r (),x R k R ∈∈(1)若,22x ππ⎡⎤∈-⎢⎥⎣⎦,且()//a b c +r r r ,求x 的值. (2)若函数()f x a b =⋅r r ,求()f x 的最小值.(3)是否存在实数k ,使得()()a dbc +⊥+r u r r r ?若存在,求出k 的取值范围;若不存在,请说明理由.22.已知复数12i z m =-,复数21i z n =-,其中i 是虚数单位,m ,n 为实数. (1)若1m =,1n =-,求12z z +的值;(2)若212z z =,求m ,n 的值.23.已知矩形ABCD 的两条对角线相交于点20M (,),AB 边所在直线的方程为360x y --=,点11T -(,)在AD 边所在直线上. (1)求AD 边所在直线的方程;(2)求矩形ABCD 外接圆的方程.24.如图,在四面体ABCD 中,△ABC 是等边三角形,平面ABC ⊥平面ABD ,点M 为棱AB 的中点,AB =2,AD =3BAD =90°.(Ⅰ)求证:AD ⊥BC ;(Ⅱ)求异面直线BC 与MD 所成角的余弦值;(Ⅲ)求直线CD 与平面ABD 所成角的正弦值.25.已知曲线C :(t 为参数), C :(为参数). (1)化C ,C 的方程为普通方程,并说明它们分别表示什么曲线;(2)若C 上的点P 对应的参数为,Q 为C 上的动点,求中点到直线(t 为参数)距离的最小值.26.一个盒子里装有三张卡片,分别标记有数字1,2,3,这三张卡片除标记的数字外完全相同.随机有放回地抽取3次,每次抽取1张,将抽取的卡片上的数字依次记为a ,b ,c .(Ⅰ)求“抽取的卡片上的数字满足a b c +=”的概率;(Ⅱ)求“抽取的卡片上的数字a ,b ,c 不完全相同”的概率.【参考答案】***试卷处理标记,请不要删除一、选择题1.A解析:A【解析】【分析】【详解】::sin :sin :sin 3:2:4a b c A B C == ,不妨设3,2,4a k b k c k ===,,则()()()2223241cos 2324k k k C k k+-==-⨯⨯ ,选A. 2.D解析:D【解析】 因为全称命题的否定是特称命题,所以命题“对任意x ∈R ,都有x 2≥0”的否定为.存在x 0∈R ,使得x 02<0.故选D .3.B解析:B【解析】【分析】【详解】由a=14,b=18,a <b ,则b 变为18﹣14=4,由a >b ,则a 变为14﹣4=10,由a >b ,则a 变为10﹣4=6,由a >b ,则a 变为6﹣4=2,由a <b ,则b 变为4﹣2=2,由a=b=2,则输出的a=2.故选B .4.A解析:A【解析】 分析:首先将图画出来,接着应用三角形中线向量的特征,求得1122BE BA BC =+u u u v u u u v u u u v ,之后应用向量的加法运算法则-------三角形法则,得到BC BA AC =+u u u v u u u v u u u v ,之后将其合并,得到3144BE BA AC =+u u u v u u u v u u u v ,下一步应用相反向量,求得3144EB AB AC =-u u u v u u u v u u u v ,从而求得结果. 详解:根据向量的运算法则,可得()111111222424BE BA BD BA BC BA BA AC =+=+=++u u u v u u u v u u u v u u u v u u u v u u u v u u u v u u u v1113124444BA BA AC BA AC u u u v u u u v u u u v u u u v u u u v =++=+, 所以3144EB AB AC =-u u u v u u u v u u u v ,故选A. 点睛:该题考查的是有关平面向量基本定理的有关问题,涉及到的知识点有三角形的中线向量、向量加法的三角形法则、共线向量的表示以及相反向量的问题,在解题的过程中,需要认真对待每一步运算.5.D解析:D【解析】【分析】2a b +≤转化为指数运算即可求解。
2019年高三数学下期末试题附答案一、选择题1.已知二面角l αβ--的大小为60°,b 和c 是两条异面直线,且,b c αβ⊥⊥,则b 与c 所成的角的大小为( )A .120°B .90°C .60°D .30°2.右边程序框图的算法思路源于我国古代数学名著《九章算术》中的“更相减损术”.执行该程序框图,若输入,a b 分别为14,18,则输出的a =( )A .0B .2C .4D .143.若满足sin cos cos A B Ca b c==,则ABC ∆为( ) A .等边三角形 B .有一个内角为30°的直角三角形 C .等腰直角三角形 D .有一个内角为30°的等腰三角形4.若设a 、b 为实数,且3a b +=,则22a b +的最小值是( )A .6B .8C .26D .425.已知()3sin 30,601505αα︒+=︒<<︒,则cos α为( ) A 310 B .31010-C 433- D 343-6.两个实习生每人加工一个零件.加工为一等品的概率分别为23和34,两个零件是否加工为一等品相互独立,则这两个零件中恰有一个一等品的概率为A .12B .512C .14D .167.已知函数()(3)(2ln 1)xf x x e a x x =-+-+在(1,)+∞上有两个极值点,且()f x 在(1,2)上单调递增,则实数a 的取值范围是( )A .(,)e +∞B .2(,2)e eC .2(2,)e +∞D .22(,2)(2,)e e e +∞U8.已知函数()3sin 2cos 2[0,]2f xx x m π=+-在上有两个零点,则m 的取值范围是A .(1,2)B .[1,2)C .(1,2]D .[l,2]9.设A (3,3,1),B (1,0,5),C (0,1,0),AB 的中点M ,则CM = A .534B .532C .53 D .13 10.由a 2,2﹣a ,4组成一个集合A ,A 中含有3个元素,则实数a 的取值可以是( ) A .1B .﹣2C .6D .211.在等比数列{}n a 中,44a =,则26a a ⋅=( ) A .4B .16C .8D .3212.一个样本a,3,4,5,6的平均数是b ,且不等式x 2-6x +c <0的解集为(a ,b ),则这个样本的标准差是( ) A .1 B .2 C .3D .2二、填空题13.某工厂生产甲、乙、丙、丁四种不同型号的产品,产量分别为200,400,300,100件,为检验产品的质量,现用分层抽样的方法从以上所有的产品中抽取60件进行检验,则应从丙种型号的产品中抽取________ 件.14.一个算法的伪代码如图所示,执行此算法,最后输出的S 的值为________.15.在平行四边形ABCD 中,3A π∠=,边AB ,AD 的长分别为2和1,若M ,N 分别是边BC ,CD 上的点,且满足CN CDBM BC =u u u u v u u u v u u u v u u u v ,则AM AN ⋅u u u u v u u u v 的取值范围是_________. 16.某大学为了解在校本科生对参加某项社会实践活动的意向,拟采用分层抽样的方法,从该校四个年级的本科生中抽取一个容量为300的样本进行调查.已知该校一年级、二年级、三年级、四年级的本科生人数之比为4:5:5:6,则应从一年级本科生中抽取_______名学生.17.若,满足约束条件则的最大值 .18.计算:1726cos()sin 43ππ-+=_____. 19.有三张卡片,分别写有1和2,1和3,2和3.甲,乙,丙三人各取走一张卡片,甲看了乙的卡片后说:“我与乙的卡片上相同的数字不是2”,乙看了丙的卡片后说:“我与丙的卡片上相同的数字不是1”,丙说:“我的卡片上的数字之和不是5”,则甲的卡片上的数字是________.20.ABC △的内角,,A B C 的对边分别为,,a b c .若π6,2,3b ac B ===,则ABC △的面积为__________.三、解答题21.在平面直角坐标系中,直线l 的参数方程为cos sin x t y t αα=⎧⎨=⎩(t 为参数,0≤α<π).以坐标原点为极点,x 轴正半轴为极轴建立极坐标系,曲线C 的极坐标方程为244cos 2sin ρρθρθ-=-.(Ⅰ)写出曲线C 的直角坐标方程;(Ⅱ)若直线l 与曲线C 交于A ,B 两点,且AB 的长度为25,求直线l 的普通方程. 22.已知曲线C :(t 为参数), C :(为参数).(1)化C ,C 的方程为普通方程,并说明它们分别表示什么曲线; (2)若C 上的点P 对应的参数为,Q 为C 上的动点,求中点到直线(t 为参数)距离的最小值.23.为评估设备生产某种零件的性能,从设备生产该零件的流水线上随机抽取100个零件为样本,测量其直径后,整理得到下表:经计算,样本的平均值,标准差,以频率值作为概率的估计值.(I )为评判一台设备的性能,从该设备加工的零件中任意抽取一件,记其直径为,并根据以下不等式进行判定(表示相应事件的概率): ①;②; ③.判定规则为:若同时满足上述三个式子,则设备等级为甲;若仅满足其中两个,则等级为乙,若仅满足其中一个,则等级为丙;若全部都不满足,则等级为了.试判断设备的性能等级.(Ⅱ)将直径尺寸在之外的零件认定为是“次品”.①从设备的生产流水线上随机抽取2个零件,求其中次品个数的数学期望;②从样本中随意抽取2个零件,求其中次品个数的数学期望.24.已知椭圆()2222:10x y C a b a b+=>>的一个焦点为()5,0,离心率为5.(1)求椭圆C 的标准方程;(2)若动点()00,P x y 为椭圆外一点,且点P 到椭圆C 的两条切线相互垂直,求点P 的轨迹方程.25.已知函数()32f x x ax bx c =+++,过曲线()y f x =上的点()()1,1P f 处的切线方程为31y x =+.(1)若函数()f x 在2x =-处有极值,求()f x 的解析式; (2)在(1)的条件下,求函数()y f x =在区间[]3,1-上的最大值. 26.四棱锥P ABCD -中,底面ABCD 是边长为2的菱形,3BAD π∠=,PAD ∆是等边三角形,F 为AD 的中点,PD BF ⊥.(1)求证:AD PB ⊥; (2)若E 在线段BC 上,且14EC BC =,能否在棱PC 上找到一点G ,使平面DEG ⊥平面ABCD ?若存在,求四面体D CEG -的体积.【参考答案】***试卷处理标记,请不要删除一、选择题 1.C解析:C 【解析】 【分析】,b c αβ⊥⊥,直线,b c 的方向向量,b c r r分别是平面,αβ的法向量,根据二面角与法向量的关系,即可求解. 【详解】设直线,b c 的方向向量,b c r r,,b c αβ⊥⊥,所以,b c r r分别是平面,αβ的法向量,二面角l αβ--的大小为60°,,b c r r的夹角为060或0120,因为异面直线所的角为锐角或直角, 所以b 与c 所成的角为060. 故选:C. 【点睛】本题考查二面角与二面角平面的法向量的关系,属于基础题.2.B解析:B 【解析】 【分析】 【详解】由a=14,b=18,a <b , 则b 变为18﹣14=4, 由a >b ,则a 变为14﹣4=10, 由a >b ,则a 变为10﹣4=6, 由a >b ,则a 变为6﹣4=2, 由a <b ,则b 变为4﹣2=2, 由a=b=2, 则输出的a=2. 故选B .3.C解析:C 【解析】 【分析】由正弦定理结合条件可得tan tan 1B C ==,从而得三角形的三个内角,进而得三角形的形状. 【详解】 由正弦定理可知sin sin sin A B Ca b c ==,又sin cos cos A B C a b c==,所以cos sin ,cos sin B B C C ==,有tan tan 1B C ==. 所以45B C ==o .所以180454590A =--=o o o o . 所以ABC ∆为等腰直角三角形. 故选C. 【点睛】本题主要考查了正弦定理解三角形,属于基础题.4.D解析:D 【解析】 【分析】2a b+≤转化为指数运算即可求解。
2019最新高等数学(下册)期末考试试题(含答案)一、解答题1.将函数(,)x f x y y =在(1,1)点展到泰勒公式的二次项.解:(1,1)1,f =(1,1)(1,1)1(1,1)(1,1)ln 0,1,x x x y f y y f xy-====2(1,1)(1,1)1(1,1)(1,1)2(1,1)(1,1)2(ln )0,1ln 1,(1)0,(,)1(1)(1)(1)0().xxx x x xy x yyx f y y xy y y f y f xy x f x y y y x y ρ--==⎛⎫+⋅== ⎪⎝⎭=-===+-+--+2.求下列欧拉方程的通解:2(1)0x y xy y '''+-=解:作变换e t x =,即t =ln x ,原方程变为 (1)0D D y Dy y -+-=即 22d 0d yy t-=特征方程为 210r -=121,1r r =-=故 12121e e t ty c c c c x x-=+=+. 23(2)4x y xy y x '''+-=.解:设e tx =,则原方程化为3(1)4e t D D y Dy y -+-=232d 4e d ty y t-= ① 特征方程为 240r -=122,2r r =-=故①所对应齐次方程的通解为2212e e t t y c c -=+又设*3e t y A =为①的特解,代入①化简得941A A -= 15A =, *31e 5t y = 故 223223121211ee e .55tt t y c c c x c x x --=++=++3.求下列线性微分方程满足所给初始条件的特解:πd 11(1)sin ,1d x y y x y x x x=+== ; 解: 11d d 11sin e sin d [cos ]e d x x x x x y x x c c x x c x x x -⎡⎤⎰⎰⎡⎤==+=-+⎢⎥⎣⎦⎣⎦⎰⎰ 以π,1x y ==代入上式得π1c =-, 故所求特解为 1(π1cos )y x x=--. 2311(2)(23)1,0x y x y y x='+-== . 解:22323d 3ln x x x x c x--=--+⎰ 22223323d 23+3ln d 3ln ee e d e d x xx x x x x xxxy x c x c -------⎰⎡⎤⎰⎡⎤∴==++⎢⎥⎣⎦⎣⎦⎰⎰ 2223311e .e e 22x x x x x c c ----⎛⎫⎛⎫=⋅=++ ⎪ ⎪⎝⎭⎝⎭以x =1,y =0代入上式,得12ec =-. 故所求特解为 2311e 22e x y x -⎛⎫=-⎪⎝⎭.4.计算下列对坐标的曲面积分:(1)22d d x y z x y ∑⎰⎰,其中Σ是球面x 2+y 2+z 2=R 2的下半部分的下侧;(2)d d d d d d z x y x y z y z x ∑++⎰⎰,其中Σ是柱面x 2+y 2=1被平面z =0及z =3所截得的在第Ⅰ封限内的部分的前侧;(3)()()()d d 2d d d d ,,,,,,f x y z f y z x f z x y x y z x y z x y z ∑+++++⎡⎤⎡⎤⎡⎤⎣⎦⎣⎦⎣⎦⎰⎰,其中f (x , y , z )为连续函数,Σ是平面x -y +z =1在第Ⅳ封限部分的上侧; (4)d d d d d d xz x y xy y z yz z x ∑++⎰⎰,其中Σ是平面x =0, y =0, z =0, x +y +z =1所围成的空间区域的整个边界曲面的外侧;(5)()()()d d d d d d y z z x x y y z x y z x ∑++---⎰⎰,其中Σ为曲面z =z = h (h >0)所围成的立体的整个边界曲面,取外侧为正向;(6)()()22d d d d d d +++-⎰⎰y y z x z x x y y xz x z ∑,其中Σ为x =y =z =0,x =y =z =a 所围成的正方体表面,取外侧为正向;解:(1)Σ:z =Σ在xOy 面上的投影区域D xy 为:x 2+y 2≤R 2.((()()()()()()22222π422002π2222222002π2200354*******d d d d d cos sin d 1sin 2d 81d d 1cos421612422π1635xyD RR R xy z x y x y x yr r rR R r r R R R R r R R R r R r ∑θθθθθθθ=-=-=-⎡⎤+--⎣⎦⎡=---⎣=-⋅-+--⎰⎰⎰⎰⎰⎰⎰⎰⎰⎰()72220772π105RR r R ⎡⎤-⎢⎥⎣⎦=(2)Σ如图11-8所示,Σ在xOy 面的投影为一段弧,图11-8故d d 0z x y ∑=⎰⎰,Σ在yOz 面上的投影D yz ={(y ,z )|0≤y ≤1,0≤z ≤3},此时Σ可表示为:x =(y ,z )∈D yz,故30d d d d 3yzD x y z y z z y y∑===⎰⎰⎰⎰⎰⎰⎰Σ在xOz 面上的投影为D xz ={(x ,z )|0≤x ≤1,0≤z ≤3},此时Σ可表示为: y =(x ,z )∈D xz,故3d d d d 3xzD y z x z x z x x∑===⎰⎰⎰⎰⎰⎰⎰因此:d d d d d d 236π643π2z x y x y z y z x x x∑++⎡⎤=⎢⎥⎣⎦==⋅=⎰⎰⎰⎰(3)Σ如图11-9所示,平面x -y +z =1上侧的法向量为 n ={1,-1,1},n 的方向余弦为cos α=,cos β=cos γ=图11-9由两类曲面积分之间的联系可得:()()()()()()()()()d d 2d d d d ,,,,,,cos d (2)cos d ()d d cos cos d d (2)d d ()d d cos cos (2)()d d d d 1d d xyD f x y z f y z x f z x y x y z x y z x y z s f y s f z x yf x x y f y x y f z x y f x f y f z x y f x x yx y z x yx y x y ∑∑∑∑∑αβαβγγ+++++⎡⎤⎡⎤⎡⎤⎣⎦⎣⎦⎣⎦=+++++=+++++=-+++⎡⎤+⎣⎦=-+=+-⎡⎤--⎣⎦⎰⎰⎰⎰⎰⎰⎰⎰⎰⎰d d 111212xyD x y==⨯⨯=⎰⎰⎰⎰(4)如图11-10所示:图11-10Σ=Σ1+Σ2+Σ3+Σ4.其方程分别为Σ1:z =0,Σ2:x =0,Σ3:y =0,Σ4:x +y +z =1, 故()()12344110d d 000d d d d 11d d 124xyD xxz x yxz x yx x yx y x x y x y ∑∑∑∑∑∑-=+++=+++=--==--⎰⎰⎰⎰⎰⎰⎰⎰⎰⎰⎰⎰⎰⎰⎰⎰由积分变元的轮换对称性可知.1d d dzd 24xy y z yz x ∑∑==⎰⎰⎰⎰ 因此.d d dyd d d 113248xz x y xy z yz z x ∑++=⨯=⎰⎰(5)记Σ所围成的立体为Ω,由高斯公式有:()()()()()()d d d d d d d d d 0d d d 0y z z x x yy z x y z x y z x y z x x y z x y z x y z ∑ΩΩ++---∂∂⎛⎫--∂-=++ ⎪∂∂∂⎝⎭==⎰⎰⎰⎰⎰⎰⎰⎰(6)记Σ所围的立方体为Ω, P =y (x -z ),Q =x 2,R =y 2+xz . 由高斯公式有()()()()()220200204d d d d d d d d d d d d d d d d d d 2d 2a aaaaaaay y z x z x x yy xz x z P Q R x y z x y z x y zx y x y z x y x a yx y y a x xy a a x ax a ∑ΩΩ+++-∂∂∂⎛⎫++= ⎪∂∂∂⎝⎭=+=+=+⎡⎤=+⎢⎥⎣⎦⎡⎤=+⎢⎥⎣⎦=⎰⎰⎰⎰⎰⎰⎰⎰⎰⎰⎰⎰⎰⎰⎰5.求下列齐次方程的通解:(1)0xy y'-=;解:d d y y x x =令 d d d d y y u u u x x x x=⇒=+ 原方程变为d xx=两端积分得ln(ln ln u x c =+u cxy cx x +==即通解为:2y cx =d (2)ln d y yxy x x =; 解:d ln d y y y x x x= 令y u x =, 则d d d d y uu x x x=+原方程变为d d (ln 1)u xu u x=-积分得 ln(ln 1)ln ln u x c -=+ln 1ln 1u cxycx x-=-= 即方程通解为 1ecx y x +=22(3)()d d 0x y x xy x +-=解:2221d d y y x y x y x xyx⎛⎫+ ⎪+⎝⎭==令y u x =, 则d d d d y uu x x x=+原方程变为 2d 1d u u u x x u++= 即 d 1d ,d d u x xu u x u x == 积分得211ln ln 2u x c =+ 2122ln 2ln y x c x=+故方程通解为 22221ln()()y x cx c c ==332(4)()d 3d 0x y x xy y +-=; 解: 333221d d 33y y x y x x xy y x ⎛⎫+ ⎪+⎝⎭==⎛⎫ ⎪⎝⎭令y u x =, 则d d d d y uu x x x=+原方程变为 32d 1d 3u u u x x u ++= 即 233d d 12u x u u x=- 积分得 311ln(21)ln ln 2u x c --=+ 以yx代替u ,并整理得方程通解为 332y x cx -=. d (5)d y x y x x y+=-; 解:1d d 1yy x yx x +=- 令y u x =, 则d d d d y uu x x x=+原方程变为 d 1d 1u uu x x u++=- 分离变量,得211d d 1u u x u x-=+ 积分得 211arctan ln(1)ln ln 2u u x c -+=+ 以y x 代替u ,并整理得方程通解为到 2arctan 22211e .()yxx y c c c +==(6)y '=解:d d y yx=即d d x x y y =令x v y =, 则d d ,d d x v x yv v y y y ==+, 原方程可变为d d vv yv y+=+即d d vyy=分离变量,得d y y= 积分得ln(ln ln v y c +=-.即y v c+=2222121y v v c y yv c c⎛⎫=+- ⎪⎝⎭-= 以yv x =代入上式,得 222c y c x ⎛⎫=+ ⎪⎝⎭即方程通解为 222y cx c =+.6.从下列各题中的曲线族里,找出满足所给的初始条件的曲线:220(1),5;x x y C y =-==解:当0x =时,y =5.故C =-25 故所求曲线为:2225y x -=21200(2)()e ,0, 1.x x x y C C x y y =='=+==解: 2212(22)e x y C C C x '=++ 当x =0时,y =0故有10C =. 又当x =0时,1y '=.故有21C =. 故所求曲线为:2e xy x =.7.利用斯托克斯公式,计算下列曲线积分: (1)d d d y x z y x z Γ++⎰,其中Γ为圆周x 2+y 2+z 2= a 2,x +y +z = 0,若从x 轴的正向看去,这圆周是取逆时针的方向;(2)()()()222222d d d x y z y z x y z x Γ++---⎰,其中Γ是用平面32x y z ++=截立方体:0≤x ≤1,0≤y ≤1,0≤z ≤1的表面所得的截痕,若从Ox 轴的正向看去,取逆时针方向; (3)23d d d y x xz y yz z Γ++⎰,其中Γ是圆周x 2+y 2 = 2z ,z =2,若从z 轴正向看去,这圆周是取逆时针方向; (4)22d 3d d +-⎰y x x y z z Γ,其中Γ是圆周x 2+y 2+z 2 = 9,z =0,若从z 轴正向看去,这圆周是取逆时针方向.解:(1)取Σ为平面x +y +z =0被Γ所围成部分的上侧,Σ的面积为πa 2(大圆面积),Σ的单位法向量为{}cos ,cos ,cos n αβγ==. 由斯托克斯公式22d d d cos cos cos d d πy x z y x zR Q Q P P R s y z x y z x ss a a Γ∑∑∑αβγ++⎡∂∂∂∂⎤⎛⎫⎛⎫∂∂⎛⎫--=++- ⎪⎢⎥ ⎪ ⎪∂∂∂∂∂∂⎝⎭⎝⎭⎝⎭⎣⎦====⎰⎰⎰⎰⎰⎰⎰ (2)记为Σ为平面32x y z ++=被Γ所围成部分的上侧,可求得Σ(是一个边长为2的正六边形); Σ的单位法向量为{}cos ,cos ,cos αβγ==n . 由斯托克斯公式()()()(((()222222d d d2222d22d3d232492x y zy z x yz xy z x y sz xsx y zsΓ∑∑∑++---⎡++----=--⎢⎣=++==⋅=-⎰⎰⎰⎰⎰(3)取Σ:z=2,D xy:x2+y2≤4的上侧,由斯托克斯公式得:()()()2223d d dd d0d d d d3d d35d d5π220π-+=++--+=-+=-=-⨯⨯=-⎰⎰⎰⎰⎰⎰⎰xyDy x xz y yz zy z z x x yzz xx yzx yΓ∑∑(4)圆周x2+y2+z2=9,z=0实际就是xOy面上的圆x2+y2=9,z=0,取Σ:z=0,D xy:x2+y2≤9由斯托克斯公式得:()()()222d3d dd d d d d d000032d dd dπ39π+-=++---===⋅=⎰⎰⎰⎰⎰⎰⎰xyDy x x y z zy z z x x yx yx yΓ∑∑8.设均匀薄片(面密度为常数1)所占闭区域D如下,求指定的转动惯量:(1)D:22221x ya b+≤,求I y;(2)D由抛物线292y x=与直线x=2所围成,求I x和I y;(3)D为矩形闭区域:0≤x≤a, 0≤y≤b,求I x和I y.解:(1)令x=arcosθ ,y=br sinθ,则在此变换下D :22221x y a b+≤变化为D ':r ≤1,即 0≤r ≤1, 0≤θ≤2π, 且(,)(,)x y abr r θ∂=∂, 所以2π12222323032π30d d cos d d cos d d 1(1cos 2)d π.84y DD I x x y a r abr r a b r ra b a b θθθθθθ'====+=⎰⎰⎰⎰⎰⎰⎰(2) 闭区域D 如图10-35所示图10-353222220005222220272d d 2d d d ;3596d d 2d d .7x Dy DI y x y x y y x x I x x y x x y x x ========⎰⎰⎰⎰⎰⎰⎰⎰⎰(3)32220d d d d d ,3a bbx Dab I y x y x y y a y y ====⎰⎰⎰⎰⎰322200d d d d d .3abay Da bI x x y x x y bx x ====⎰⎰⎰⎰⎰9.求锥面z被柱面z 2 = 2x 所割下部分的曲面面积。
2019最新高等数学(下册)期末考试试题(含答案)一、解答题1.(0 < t < 2π)为何值时,曲线L :x = t -sin t , y =1-cos t , z = 4sin2t在相应点的切线垂直于平面0x y +=,并求相应的切线和法平面方程。
解:1cos ,sin ,2cos2t x t y t z '''=-==, 在t 处切向量为{}1cos ,sin ,2cos 2t T t t =-, 已知平面的法向量为{1,1,2n =.且T ∥n ,故2cos 1cos sin 11tt t-==解得π2t=,相应点的坐标为π2⎛- ⎝.且{1T = 故切线方程为π11211x y -+-==法平面方程为π1102x y z -++--=即 π042x y ⎛⎫+-=+⎪⎝⎭.2.当Σ为xOy 面内的一个闭区域时,曲面积分()d d ,,R x y x y z ∑⎰⎰与二重积分有什么关系?解:因为Σ:z =0,在xOy 面上的投影区域就是Σ故()()d d d d ,,,,0R x y R x y x y z x y ∑∑=±⎰⎰⎰⎰当Σ取的是上侧时为正号,Σ取的是下侧时为负号.3.证明:22d d x x y yx y ++在整个xOy 平面内除y 轴的负半轴及原点外的开区域G 内是某个二元函数的全微分,并求出这样的一个二元函数.证:22x P x y =+,22yQ x y =+,显然G 是单连通的,P 和Q 在G 内具有一阶连续偏导数,并且.()2222∂∂-==∂∂+P Q xy y x x y ,(x ,y )∈G 因此22d d x x y yx y ++在开区域G 内是某个二元函数u (x ,y )的全微分.由()()22222222d d 11ln 22d x y x x y y d x y x y x y ++⎡⎤==+⎢⎥++⎣⎦知()()221ln ,2u x y x y =+.4.验证下列P (x , y )d x +Q (x , y )d y 在整个xOy 面内是某一函数u (x , y )的全微分,并求这样的一个函数u (x , y ): (1)(x +2y )d x +(2x +y )d y ; (2)2xy d x +x 2d y ;(3)(3x 2y +8xy 2)d x +(x 3+8x 2y +12y e y )d y ; (4)(2x cos y +y 2cos x )d x +(2y sin x -x 2sin y )d y . 解:证:(1)P =x +2y ,Q =2x +y .2P Q y x ∂∂==∂∂,所以(x +2y )d x +(2x +y )d y 是某个定义在整个xOy 面内的函数u (x ,y )的全微分. ()()()()()(),0,0022022d d ,22d d 2222222x y xy yu x y x y x y x y x x yx y x y xy x y xy =+++=++⎡⎤=++⎢⎥⎣⎦=++⎰⎰⎰(2)P =2xy ,Q =x 2, 2P Qx y x∂∂==∂∂,故2xy d x +x 2d y 是某个定义在整个xOy 面内的函数u (x ,y )的全微分. ()()(),20,02022d d ,0d d x y xy u xy x x y x y x x yx y=+=+=⎰⎰⎰(3)P =3x 2y +8xy 2,Q =x 3+8x 2y +12y e y,2316∂∂=+=∂∂P Q x xy y x,故(3x 2y +8xy 2)d x +(x 3+8x 2y +12y e y )d y 是某个定义在整个xOy 面内函数u (x ,y )的全微分,()()()()()(),22320,03200322d ,38812e 0d d 812e 412e 12e 12x y y xyy y y u x x y x y x y x x y y x y x x y y x y x y y =++++=+++=++-+⎰⎰⎰(4)P =2x cos y +y 2cos x ,Q =2y sin x -x 2sin y ,2sin 2cos P x y y x y ∂=-+∂,2cos 2sin Qy x x y x∂=-∂, 有P Qy x∂∂=∂∂,故(2x cos y +y 2cos x )d x +(2y sin x -x 2sin y )d y 是某一个定义在整个xOy 面内的函数u (x ,y )的全微分, ()()()()()(),220,020022d d ,2cos cos 2sin sin 2d d 2sin sin sin cos x y xyu x y x y x y y x y x x y x x yy x x y y x x y=++-=+-=+⎰⎰⎰5.求下列线性微分方程的通解:(1)e x y y -'+=;解:由通解公式d de e e e d e ()e e d xx x x x x x y x c x c x c -----⎰⎡⎤⎰⎡⎤==⋅+=+⋅+⎢⎥⎣⎦⎣⎦⎰⎰ 2(2)32xy y x x '+=++;解:方程可化为 123y y x x x'+=++ 由通解公式得11d d 22e (3) e d 12(3)d 132.32x x x x y x x c x x x x c x x c x x x-⎡⎤⎰⎰=++⋅+⎢⎥⎣⎦⎡⎤=++⋅+⎢⎥⎣⎦=+++⎰⎰ sin (3)cos e ;x y y x -'+=解: cos d cos d sin sin e e ().e e d x xx x x x y x c x c ---⎰⎡⎤⎰==+⋅+⎢⎥⎣⎦⎰(4)44y xy x '=+;解: 22(4)d (4)d 22e e 4e d 4e d x xx x x x y x x c x x c ----⎰⎡⎤⎰⎡⎤==++⎢⎥⎣⎦⎣⎦⎰⎰ ()222222e e e 1x x x c c -=-+=-.3(5)(2)2(2)x y y x '-=+-;解:方程可化为2d 12()d 2y y x x x x -=-- 11d d 222ln(2)2ln(2)3e 2(2)e d e 2(2)e d (2)2(2)d (2)(2)x x x x x x y x x c x x c x x x c x c x --------⎰⎡⎤⎰=-+⎢⎥⎣⎦⎡⎤=-+⎣⎦⎡⎤=--+⎣⎦=-+-⎰⎰⎰22(6)(1)24.x y xy x '++=解:方程可化为 2222411x x y y x x '+=++ 222222d d 1123ln(1)224e ed 14e 4d 3(1)xxx x x x x x y x c x x c x x c x -++-+⎡⎤⎰⎰=+⎢⎥+⎣⎦+⎡⎤=+=⎣⎦+⎰⎰6.利用斯托克斯公式,计算下列曲线积分: (1)d d d y x z y x z Γ++⎰,其中Γ为圆周x 2+y 2+z 2= a 2,x +y +z = 0,若从x 轴的正向看去,这圆周是取逆时针的方向; (2)()()()222222d d d x y z y z x y z x Γ++---⎰,其中Γ是用平面32x y z ++=截立方体:0≤x ≤1,0≤y ≤1,0≤z ≤1的表面所得的截痕,若从Ox 轴的正向看去,取逆时针方向; (3)23d d d y x xz y yz z Γ++⎰,其中Γ是圆周x 2+y 2= 2z ,z =2,若从z 轴正向看去,这圆周是取逆时针方向; (4)22d 3d d +-⎰y x x y z z Γ,其中Γ是圆周x 2+y 2+z2= 9,z =0,若从z 轴正向看去,这圆周是取逆时针方向.解:(1)取Σ为平面x +y +z =0被Γ所围成部分的上侧,Σ的面积为πa 2(大圆面积),Σ的单位法向量为{}cos ,cos ,cos n αβγ==. 由斯托克斯公式22d d dcos cos cos ddπy x z y x zR Q Q PP Rsy z x yz xssaaΓ∑∑∑αβγ++⎡∂∂∂∂⎤⎛⎫⎛⎫∂∂⎛⎫--=++-⎪⎢⎥⎪ ⎪∂∂∂∂∂∂⎝⎭⎝⎭⎝⎭⎣⎦====⎰⎰⎰⎰⎰⎰⎰(2)记为Σ为平面32x y z++=被Γ所围成部分的上侧,可求得Σ(是一个边长为2的正六边形);Σ的单位法向量为{}cos,cos,cosαβγ==n.由斯托克斯公式()()()(((()222222d d d2222d22d3d232492x y zy z x yz xy z x y sz xsx y zsΓ∑∑∑++---⎡+----=--⎢⎣=++==⋅=-⎰⎰⎰⎰⎰(3)取Σ:z=2,D xy:x2+y2≤4的上侧,由斯托克斯公式得:()()()2223d d dd d0d d d d3d d35d d5π220π-+=++--+=-+=-=-⨯⨯=-⎰⎰⎰⎰⎰⎰⎰xyDy x xz y yz zy z z x x yzz xx yzx yΓ∑∑(4)圆周x 2+y 2+z 2=9,z =0实际就是xOy 面上的圆x 2+y 2=9,z =0,取Σ:z =0,D xy :x 2+y 2≤9由斯托克斯公式得:()()()222d 3d d d d d d d d 000032d d d d π39π+-=++---===⋅=⎰⎰⎰⎰⎰⎰⎰xyD y x x y z zy z z x x yx yx yΓ∑∑7.计算下列对面积的曲面积分: (1)4d 23s z x y ∑⎛⎫++ ⎪⎝⎭⎰⎰,其中∑为平面1234x y z ++=在第I 卦限中的部分; (2)()2d 22s xy xx z ∑--+⎰⎰,其中∑为平面2x +2y +z =6在第I 卦限中的部分;(3)()d s x y z ∑++⎰⎰,其中∑为球面x 2+y 2+z 2=a 2上z ≥h (0<h <a )的部分; (4)()d s xy yz zx ∑++⎰⎰,其中∑为锥面z =被柱面x 2+y 2=2ax 所截得的有限部分; (5)()222d s R x y ∑--⎰⎰,其中∑为上半球面z =解:(1)4:423z x y ∑=--(如图10-69所示)图10-69d d d s x y x y ==故4d 4d d d d 23331232xy xy D D s x y x y z x y ∑⎛⎫=⋅=++ ⎪⎝⎭=⨯⨯=⎰⎰⎰⎰⎰⎰(2)∑:z =6-2x -2y (如图10-70所示)。
2019最新高等数学(下册)期末考试试题(含答案)一、解答题1.求下列曲面在给定点的切平面和法线方程:(1)z = x 2+y 2,点M 0(1,2,5);(2)z = arctan y x ,点M 0(1,1,π4); 解:(1)00002, 4.22y x m m m m z z y x ==== 故曲面在点M 0(1,2,5)的切平面方程为z -5=2(x -1)+4(y -2).即 2x +4y -z =5.法线方程为125241x y z ---==- (2)0000222211,.22y x m m m m y x z z x y x y -==-==++ 故曲面在点M 0(1,1,π4)的切平面方程为 z -π4=-12 (x -1)+12(y -1). 法线方程为π11411122z x y ---==--.2.求下列微分方程满足所给初始条件的特解:00(1)430,6,10x x y y y y y ==''''-+===;解:特征方程为 2430r r -+=解得 121,3r r ==通解为 312e e x x y c c =+312e 3e x x y c c '=+由初始条件得 121122643102c c c c c c +==⎧⎧⇒⎨⎨+==⎩⎩ 故方程所求特解为 34e 2e x xy =+. 00(2)440,2,0;x x y y y y y ==''''++===解:特征方程为 24410r r ++= 解得 1212r r ==- 通解为 1212()e x y c c x -=+22121e 22x x y c c c -⎛⎫'=-- ⎪⎝⎭由初始条件得 11221221102c c c c c =⎧=⎧⎪⇒⎨⎨=-=⎩⎪⎩ 故方程所求特解为 12(2)e x y x -=+.00(3)4290,0,15;x x y y y y y ==''''++===解:特征方程为 24290r r ++= 解得 1,225r i =-±通解为 212e (cos5sin 5)x y c x c x -=+22112e [(52)cos5(52)sin 5]x y c c x c c x -'=-+--由初始条件得 112120052153c c c c c ==⎧⎧⇒⎨⎨-==⎩⎩ 故方程所求特解为 23e sin 5x y x -=.00(4)250,2,5x x y y y y =='''+===.解:特征方程为 2250r += 解得 1,25r i =±通解为 12cos5sin 5y c x c x =+125sin 55cos5y c x c x '=-+由初始条件得 112222551c c c c ==⎧⎧⇒⎨⎨==⎩⎩ 故方程所求特解为 2cos5sin 5y x x =+.3.求下列线性微分方程满足所给初始条件的特解:。
1. (8分)交换二次积分的次序2121310122(,)(,)(,)y y dy f x y dx dy f x y dx dy f x y dx -++⎰⎰⎰⎰⎰⎰.解 1、画出二重积分的积分区域------绘制每个小区域各1分,合计--------- 3分 2、交换二次积分12(,)(,)x Df x y dxdy dx f x y dy +==⎰⎰⎰原式------------------------------------------------------------8分评分说明没有绘图直接写答案至多只能给5分;第2步,交换二次积分,4个上下限,酌情给分2. (6分)求曲面22z x y =+被平面2z =所截部分的面积.解 1、所截部分在坐标面xOy的投影是一个圆盘:222x y +=;------------------------------------------------------------ 1分2、面积元:dS =;------------------------------------------------------------ 3分3、写出面积公式,并计算二重积分()()32202222200114812114268312133DS d rdrd r r d d ππππθθθθπ===+=+==⎰⎰⎰⎰------------------------------------------------------------ 6分3. (6分)求二重积分Drd σ⎰⎰,其中D 是心脏线(1cos )r a θ=+与圆周r a =()0a >所围的不包含原点的区域.解 1、画图;------------------------------------------------------------ 1分 2、确定极坐标下的积分区域(),,(1cos )22D r a r a ππθθθ⎧⎫=-≤≤≤≤+⎨⎬⎩⎭;------------------------------------------------------------ 2分3、计算d rdrd σθ=(1cos )22a aDrd d r rdr πθπσθ+-=⋅⎰⎰⎰⎰------------------------------------------------------------ 3分()()(1cos )3(1cos )(1cos )322222223332322223232031133(1cos )13cos 3cos cos 3323cos 3cos cos 32123131322322+92a a a a aDard d r rdr rd r d a ad d a d a θπππθθππππππππσθθθθθθθθθθθθθππ+++-----=⋅==⎡⎤=+-=++⎣⎦=++⎛⎫=⋅+⋅⋅+⋅ ⎪⎝⎭⎛=⎝⎰⎰⎰⎰⎰⎰⎰⎰⎰3a ⎫ ⎪⎭------------------------------------------------------------ 6分评分说明1、二次积分,前面的容易(1分),后面的复杂(2分)2、第二个定积分的计算,对称性、递推公式2cos n d πθθ⎰,都是给分点4. (10分)设Γ为柱面222x y y += 与平面y z =的交线,从z 轴正向看为顺时针,计算2I y dx xydy xzdz Γ=++⎰.解(方法一) 1、曲线的参数方程:cos 1sin ,:201sin x y z θθθπθ=⎧⎪=+→⎨⎪=+⎩---------xyz θ各1分-----------------------------4分2、将第二型曲线积分化为定积分计算()()()2022221sin sin cos 1sin cos 1sin I y dx xydy xzdzd πθθθθθθθΓ=++⎡⎤=-+++++⎣⎦⎰⎰--------------------------------------6分()()()()()()()()222022022022202220221sin sin 2cos 1sin 1sin 1sin sin 2cos 1sin 2sin 3sin 2sin 4sin3sin 2sin 4sin 3sin 44sin d d d d d d ππππππθθθθθθθθθθθθθθθθθθθθθθπθθ⎡⎤=+-+⎣⎦⎡⎤=++-⎣⎦=+-++=--++=--++=-+⎰⎰⎰⎰⎰⎰-------------------------------------8分220416sin 1416022d ππθθππ=-+=-+⋅⋅=⎰---------------------10分解(方法二) 圆柱体与平面的截面是一个椭圆,该椭圆记为S ,并取椭圆的下侧,法方向方向余弦为 ---------------------1分())cos ,cos ,cos 0,1,1αβγ=-。
2019最新高等数学(下册)期末考试试题(含答案)一、解答题1.(0 < t < 2π)为何值时,曲线L :x = t -sin t , y =1-cos t , z = 4sin 2t在相应点的切线垂直于平面0x y +=,并求相应的切线和法平面方程。
解:1cos ,sin ,2cos 2t x t y t z '''=-==, 在t 处切向量为{}1cos ,sin ,2cos2t T t t =-, 已知平面的法向量为{1,1,2n =. 且T ∥n ,故2cos 1cos sin 11t t t -==解得π2t =,相应点的坐标为π2⎛- ⎝.且{1T = 故切线方程为π11211x y -+-==法平面方程为π1102x y z -++--=即 π042x y ⎛⎫+-=+ ⎪⎝⎭.2.证明下列曲线积分与路径无关,并计算积分值:(1)()()()()1,10,0d d x y x y --⎰;(2)()()()()3,423221,2d d 663x y xy y x y xy +--⎰; (3)()()1,221,1d d x y x x y -⎰沿在右半平面的路径;(4)()()6,81,0⎰沿不通过原点的路径;证:(1)P =x -y ,Q =y -x .显然P ,Q 在xOy 面内有连续偏导数,且1P Q y x∂∂==-∂∂,故积分与路径无关.取L 为从(0,0)到(1,1)的直线段,则L 的方程为:y =x ,x :0→1.于是 ()()()()11,100,00d 0d d x x y x y ==--⎰⎰(2) P =6xy 2-y 3,Q =6x 2y -3xy 2.显然P ,Q 在xOy 面内有连续偏导数,且2123P xy y y ∂=-∂,2123Q xy y x ∂=-∂,有P Q y x ∂∂=∂∂,所以积分与路径无关. 取L 为从(1,2)→(1,4)→(3,4)的折线,则()()()()()()[]3,423221,2432214323212d d 663d d 63966434864236x y xy y x y xy y x y y x y y x x +--=+--=+⎡⎤--⎣⎦=⎰⎰⎰ (3)2y P x =,1Q x =-,P ,Q 在右半平面内有连续偏导数,且21P y x ∂=∂,21Q x x∂=∂,在右半平面内恒有P Q y x ∂∂=∂∂,故在右半平面内积分与路径无关. 取L 为从(1,1)到(1,2)的直线段,则()()()21,2211,1d d d 11x y x x y y -==--⎰⎰(4) P,Q =,且P Q y x ∂∂==∂∂在除原点外恒成立,故曲线积分在不含原点的区域内与路径无关,取L 为从(1,0)→(6,0)→(6,8)的折线,则()()686,8101,0801529x y =+⎡=+⎣=⎰⎰⎰3.设质点受力作用,力的反方向指向原点,大小与质点离原点的距离成正比,若质点由(a ,0)沿椭圆移动到B (0,b ),求力所做的功.解:依题意知 F =kxi +kyj ,且L :cos sin x a t y a t =⎧⎨=⎩,t :0→π2。
第二学期期末考试试卷一、 填空题(每空 3 分,共 15 分)1. 已知向量()1,1,4ra =-,()3,4,0rb =,则以r a ,r b为边的平行四边形的面积等于.2. 曲面sin cos z x y =在点1,,442ππ⎛⎫⎪⎝⎭处的切平面方程是.3. 交换积分次序()220,x dx f x y dy =⎰⎰.4. 对于级数11n n a∞=∑(a >0),当a 满足条件时收敛. 5. 函数12y x=-展开成x 的幂级数为.二、 单项选择题 (每小题3分,共15分)1. 平面20x z -=的位置是 ( ) (A )通过y 轴 (B )通过x 轴 (C )垂直于y 轴 (D )平行于xoz 平面2. 函数(),z f x y =在点()00,x y 处具有偏导数()00,x f x y ',()00,y f x y ',是函数在该点可微分的( )(A )充要条件 (B )充分但非必要条件 (C )必要但非充分条件 (D )既非充分又非必要条件3. 设()cos sin x z e y x y =+,则10x y dz ===( )(A )e (B )()e dx dy +(C )1()e dx dy -+ (D )()x e dx dy + 4. 若级数()11nn n a x ∞=-∑在1x =-处收敛,则此级数在2x =处( )(A )敛散性不确定 (B )发散 (C )条件收敛 (D )绝对收敛 5. 微分方程y xy x '-=的通解是( ) (A )2121x y e=- (B )2121x y e-=- (C )212x y Ce-= (D )2121x y Ce=-三、(本题满分8分)设平面通过点()3,1,2-,而且通过直线43521x y z-+==, 求该平面方程. 四、(本题满分8分)设(),z f xy x y =+,其中(),f u v 具有二阶连续偏导数, 试求z x ∂∂和2zx y∂∂∂.五、(本题满分8分)计算三重积分y zdxdydz Ω=⎰⎰⎰,其中(){},,01,11,12x y z x y z ≤≤-≤≤≤≤.六、(本题满分8分)计算对弧长的曲线积分L ⎰,其中L 是圆周222x y R +=在第一象限的部分.七、(本题满分9分)计算曲面积分3Òxdydz zdzdx dxdy ∑++⎰⎰,其中∑是柱面221x y +=与平面0z =和1z =所围成的边界曲面外侧.八、(本题满分9分)求幂级数11n n nx ∞-=∑的收敛域及和函数.九、(本题满分9分)求微分方程4x y y e ''-=的通解.十、(本题满分11分)设L 是上半平面()0y >的有向分段光滑曲线, 其起点为()1,2,终点为()2,3, 记2221L x I xy dx x y dy y y ⎛⎫⎛⎫=++- ⎪ ⎪⎝⎭⎝⎭⎰1.证明曲线积分I 与路径L 无关; 2.求I 的值.第二学期期末考试试卷及答案一、 填空题(每空 3 分,共 15 分)1. 已知向量()1,1,4ra =-,()3,4,0rb =,则以r a ,r b为边的平行四边形的面积等于.2. 曲面sin cos z x y =在点1,,442ππ⎛⎫⎪⎝⎭处的切平面方程是210x y z --+=.3. 交换积分次序()220,x dx f x y dy =⎰⎰()20,ydy f x y dx⎰⎰.4. 对于级数11n n a∞=∑(a >0),当a 满足条件1a >时收敛.5. 函数12y x=-展开成x 的幂级数为()10222n n n x x ∞+=-<<∑.二、 单项选择题 (每小题3分,共15分)1. 平面20x z -=的位置是 ( A ) (A )通过y 轴 (B )通过x 轴 (C )垂直于y 轴 (D )平行于xoz 平面2. 函数(),z f x y =在点()00,x y 处具有偏导数()00,x f x y ',()00,y f x y ',是函数在该点可微分的( C )(A )充要条件 (B )充分但非必要条件 (C )必要但非充分条件 (D )既非充分又非必要条件 3. 设()cos sin x z e y x y =+,则10x y dz ===( B )(A )e (B )()e dx dy + (C )1()e dx dy -+ (D )()x e dx dy + 4. 若级数()11nn n a x ∞=-∑在1x =-处收敛,则此级数在2x =处( D )(A )敛散性不确定 (B )发散(C )条件收敛 (D )绝对收敛 5. 微分方程y xy x '-=的通解是( D ) (A )2121x y e=- (B )2121x y e-=- (C )212x y Ce-= (D )2121x y Ce=-三、(本题满分8分)设平面通过点()3,1,2-,而且通过直线 43521x y z-+==,求该平面方程. 解: 由于平面通过点()3,1,2A -及直线上的点()4,3,0B -, 因而向量()1,4,2AB →=-平行于该平面。
该平面的法向量为: (5,2,1)(1,4,2)(8,9,22).rn =⨯-=--则平面方程为: 8(4)9(3)22(0)0.x y z --+--= 或: 8(3)9(1)22(2)0.x y z ----+= 即: 8922590.x y z ---= 四、(本题满分8分)设(),z f xy x y =+,其中(),f u v 具有二阶连续偏导数, 试求z x ∂∂和2z x y∂∂∂.解: 12zf y f x∂=+∂, ()212z f y f x y y∂∂=+=∂∂∂()111212122f x f y f f x f =++++=()1112122xyf x y f f f =++++ 五、(本题满分8分)计算三重积分y zdxdydz Ω=⎰⎰⎰,其中(){},,01,11,12x y z x y z ≤≤-≤≤≤≤.解:221121111232g gzzdxdydz dx dyzdz -Ω===⎰⎰⎰⎰⎰⎰六、(本题满分8分)计算对弧长的曲线积分L ⎰,其中L 是圆周222x y R +=在第一象限的部分. 解法一:L =⎰0Re arcsin Re 2RRRRR Rx eR π===⎰解法二:L =⎰g RRLe ds e L ==⎰(L 的弧长)Re 2R π=解法三: 令cos x R θ=,sin y R θ=,02πθ≤≤,L =⎰2Re 2RR e Rd ππθ==⎰七、(本题满分9分)计算曲面积分3Òxdydz zdzdx dxdy ∑++⎰⎰,其中∑是柱面221x y +=与平面0z =和1z =所围成的边界曲面外侧.解: P x =,Q z =,3R =,由高斯公式:3Òxdydz zdzdx dxdy ∑++=⎰⎰P Q R dv dv x y z πΩΩ⎛⎫∂∂∂=++== ⎪∂∂∂⎝⎭⎰⎰⎰⎰⎰⎰八、(本题满分9分)求幂级数11n n nx ∞-=∑的收敛域及和函数.解: 收敛半径:1lim1nn n a R a →∞+== 易判断当1x =±时,原级数发散。
于是收敛域为()1,1- ()()1211111n n n n x s x nxx x x ∞∞-==''⎛⎫⎛⎫==== ⎪ ⎪-⎝⎭⎝⎭-∑∑九、(本题满分9分)求微分方程4x y y e ''-=的通解. 解:特征方程为:240r -=特征根为:2r =,2r =-40y y ''-=的通解为:2212x x Y C e C e -=+设原方程的一个特解为:x y Ae *=,()4xxA A e e -= 31A -= 13A =-∴原方程的一个特解为:13xy e *=-故原方程的一个通解为:221213xxxy Y y C eC ee *-=+=+- 十、(本题满分11分)设L 是上半平面()0y >的有向分段光滑曲线, 其起点为()1,2,终点为()2,3, 记2221L x I xy dx x y dy y y ⎛⎫⎛⎫=++- ⎪ ⎪⎝⎭⎝⎭⎰1.证明曲线积分I 与路径L 无关; 2.求I 的值.证明1:因为上半平面G 是单连通域,在G : ()21,P x y xy y =+,()22,x Q x y x y y=- 有连续偏导数,且:212P xy y y ∂=-∂,212Q xy x y∂=-∂,P Q y x ∂∂=∂∂。
所以曲线积分I 与路径L 无关。
解2: 设()1,2A ,()2,3B ,()2,2C ,由于曲线积分I 与路径L 无关,故可取折线路径:A C B →→。
2221L x I xy dx x y dy y y ⎛⎫⎛⎫=++-= ⎪ ⎪⎝⎭⎝⎭⎰2221AC x xy dx x y dy y y ⎛⎫⎛⎫=++-+ ⎪ ⎪⎝⎭⎝⎭⎰2221CB x xy dx x y dy y y ⎛⎫⎛⎫+++-= ⎪ ⎪⎝⎭⎝⎭⎰2321212974426x dx y dy y ⎛⎫⎛⎫=++-= ⎪ ⎪⎝⎭⎝⎭⎰⎰。