高等数学(下)练习题和答案
- 格式:doc
- 大小:294.30 KB
- 文档页数:4
p p 122222-+--y x y x )11)1)1¶¶4,p y z2222p nA.x -11B.x -22C.x -12D.x-21 10.微分方程0ln =-¢y y y x 的通解为(的通解为( ). A.x ce y =B.x e y =C.x cxe y =D.cxe y =二.填空题(4分´5)1.一平面过点()3,0,0A 且垂直于直线AB ,其中点()1,1,2-B ,则此平面方程为______________________. 2.函数()xy z sin =的全微分是______________________________. 3.设13323+--=xy xy y x z ,则=¶¶¶yx z 2_____________________________. 4.x +21的麦克劳林级数是___________________________. 5.微分方程044=+¢+¢¢y y y 的通解为_________________________________. 三.计算题(5分´6)1.设v e z u sin =,而y x v xy u +==,,求.,yz x z ¶¶¶¶ 2.已知隐函数()y x z z ,=由方程05242222=-+-+-z x z y x 确定,求.,y z x z ¶¶¶¶ 3.计算s d y x D òò+22sin ,其中22224:p p £+£y x D . 4.如图,求两个半径相等的直交圆柱面所围成的立体的体积(R为半径). 5.求微分方程x e y y 23=-¢在00==x y 条件下的特解. 四.应用题(10分´2)1.要用铁板做一个体积为23m 的有盖长方体水箱,的有盖长方体水箱,问长、问长、宽、高各取怎样的尺寸时,高各取怎样的尺寸时,才能使用料最省?才能使用料最省?才能使用料最省?2..曲线()x f y =上任何一点的切线斜率等于自原点到该切点的连线斜率的2倍,且曲线过点÷øöçèæ31,1,求此曲线方程求此曲线方程. 试卷1参考答案一.选择题选择题 CBCAD ACCBD 二.填空题填空题1.0622=+--z y x . 2.()()xdy ydx xy +cos . 3.19622--y y x . 4. ()n n n nx å¥=+-0121. 5.()x ex C C y 221-+= . 三.计算题计算题1.()()[]y x y x y e xz xy +++=¶¶cos sin ,()()[]y x y x x e y z xy +++=¶¶cos sin . 2.12,12+=¶¶+-=¶¶z y y z z x x z . 3.òò=×p p p p r r r j 202sin d d 26p -. 4.3316R . 5.xx e e y 23-=. 四.应用题应用题1.长、宽、高均为m 32时,用料最省. 2..312x y =M 12131415p p p p ))0)0p)0p1¶¶xzr4nA.cx e y =B.x ce y =C.x e y =D.xcxe y =二填空题(4分´5) 1.直线l 过点()1,2,2-A 且与直线ïîïíì-==+=tz t y t x 213平行,则直线l 的方程为__________________________. 2.函数xye z =的全微分为___________________________. 3.曲面2242y x z -=在点()4,1,2处的切平面方程为_____________________________________. 4.211x +的麦克劳林级数是______________________. 5.微分方程03=-ydx xdy 在11==x y 条件下的特解为______________________________. 三.计算题(5分´6)1.设k j b k j i a 32,2+=-+=,求.b a ´2.设22uv v u z -=,而y x v y x u sin ,cos ==,求.,yz x z ¶¶¶¶ 3.已知隐函数()y x z z ,=由233=+xyz x 确定,求.,y z x z ¶¶¶¶ 4.如图,求球面22224a z y x =++与圆柱面ax y x 222=+(0>a)所围的几何体的体积. 5.求微分方程023=+¢+¢¢y y y 的通解. 四.应用题(10分´2)1.试用二重积分计算由x y x y 2,==和4=x 所围图形的面积. 2.如图,以初速度0v 将质点铅直上抛,不计阻力,求质点的运动规律().t x x =(提示:g dt x d -=22.当0=tdt yx ¶¶,、二阶行列式 2 -3 4 4p 22,22222222222222y x z z z z z z z zA 、å¥=-0)1(n n)!2(2n x n B 、å¥=-1)1(n n )!2(2n x n C 、å¥=-0)1(n n )!2(2n x n D 、å¥=-0)1(n n )!12(12--n x n 9、微分方程(y``)4+(y`)5+y`+2=0的阶数是(的阶数是( )A 、一阶、一阶B 、二阶、二阶C 、三阶、三阶D 、四阶、四阶10、微分方程y``+3y`+2y=0的特征根为(的特征根为( )A 、-2,-1 B 、2,1 C 、-2,1 D 、1,-2 二、填空题(本题共5小题,每题4分,共20分)分)1、直线L 1:x=y=z 与直线L 2:的夹角为z y x =-+=-1321___________。
精品文档n 02《高等数学》试卷1 (下)•选择题(3分10)n 1n A. p 1B. p 1C. p 1D. p 18.幕级数n x的收敛域为().n 1nA. 1,1 B1,1C.1,1 D. 1,1A. a b 0B. a b 0C. a b 0D. a b 05屈数z 33x y3xy 的极小值是().A.2B. 2C.1D. 1z =( ).6.设zxsin y ,贝U —y1, 4昴A. 一B. ——C. <2D.42.2 2a 与b 垂直的充要条件是( 4.两个向量 17.若p 级数—收敛,则( )1.点 M 1 2,3,1 到点 M 2 2,7,4 的距离M 1M 2A.3B.4C.5D.62.向量a i 2j k,b2ij ,则有(A. a // bB. a 丄 bC. a 4 -D. : a,b3屈数y1 x2 y 2 1的定义域是A. x, y 1 x 2B. x,y 1 x 2C. x, y 1x 2D x, y 1x 29.幕级数x n在收敛域内的和函数是()n 0 21 A.1 x2 2C ・-1 x1D.-2 xB・2 x10・微分方程xy yin y0的通解为()•xB・ xxD. y eA. y cey e C. y cxe填空题(4分5)2•函数 z sin xy 的全微分是 ____________________________________1 4.^^的麦克劳林级数是 ___________________________________2 x5.微分方程y 4y 4y 0的通解为三.计算题(5分6)1.设 z e u sin v ,而 u xy, v xy ,求-^,x zy2.已知隐函数z z x, y由方程x C222y z4x 2z 50确定,求,x y/ 2 23.计算 sin 、x y d ,其中D2 2x 2 2y 4 .D 四•应用题(10分2)1•一平面过点A 0,0,3且垂直于直线 AB ,其中点B 2, 1,1,则此平面方程为 _________________________ 532^33•设 z x y 3xy2/ 小 zxy 1,贝U ------x y4•如图,求两个半径相等的直交圆柱面所围成的立体的体积( R 为半径)2x5•求微分方程y 3y e 在y xo 0条件下的特解1•要用铁板做一个体积为2 m3的有盖长方体水箱,问长、宽、高各取怎样的尺寸时,才能使用料最省?2..曲线y f x上任何一点的切线斜率等于自原点到该切点的连线斜率的求此曲线方程2倍,且曲线过点1,3一.选择题 CBCAD ACCBD 二填空题1.2x y2z 6 0.2. cos xy ydx xdy .3.6x 2y9y 2 1 .三.计算题Z xy, e xsin x y cos x y yz2.— X 2 X J 1 zy2y z 1 .z 2 23.dsind 6 216 34.- R 3 . 33x 2x5. y e e四.应用题1. 长、宽、高均为3 2m 时,用料最省1 2 2. y x .3《高数》试卷2 (下)一.选择题(3分10)1.点 M 1 4,3,1,M 2 7,1,2 的距离 M 1M 2 ( ).2.设两平面方程分别为 x 2y 2z 1 0和 x y 5 0,则两平面的夹角为(试卷1参考答案4.1n2n5. yC i C 2X e2x.z xy .1. e ysin x xcos x y A. 12B. 13C. 14D. 15A. 6B.4C. 3D.?3.函数 z arcs in x 2 y 2的定义域为( A. x, y 0B. x,y 0 y 2 1C. x, y 0 x 2D. x,y 0 x 2 4•点P 1, 2,1 到平面 x 2y 2z 0的距离为( A.3 B.4 C.5 D.6 5屈数z 2xy 3x 2 2y 2的极大值为( ) A.0 B.1 C. 1 1 D.- 26.设z2 小 x 3xy y 2,则—1 x 1,2 ( ).A.6B.7C.8D.9 7.若几何级数 ar n 是收敛的,则( ).n 0A. r 1B. r 1C. ” 1D. r8.幕级数 n 1 x n 的收敛域为 ( )n 0A. 1,1B. 1,1C. 1,1D.1,1sin na 9.级数 4 疋( ). n 1 nA.条件收敛B.绝对收敛 c.发散 10.微分方程xy yl ny 0的通解为 ( A. y e cx B. x — y ceC. y x e 二填空题(4分 5) x 3 1.直线l 过点A 2,2, 1且与直线y t)•D. D.不能确定 xy cxe平行,则直线I 的方程为2t2.函数z e xy 的全微分为3•曲面z 2x2 4y2在点2,1,4 处的切平面方程为 _______________________________________________ 14. 12的麦克劳林级数是__________________________ •1 x25•微分方程xdy 3ydx 0在y x11条件下的特解为________________________________ •三•计算题(5分6)1. 设a i 2j k,b2j 3k ,求a b.四.应用题(10分2)2.设z u2v uv2,而u xcosy,v xsin y,求—z3.已知隐函数z z x,y3由x 3xyz 2确定,求5.求微分方程y 3y2ax(a 0)所围的几何体的体积4a2与圆柱面x2 2 y2y 0的通解.1.试用二重积分计算由y x,y 2 x和x 4所围图形的面积.2.如图,以初速度v。
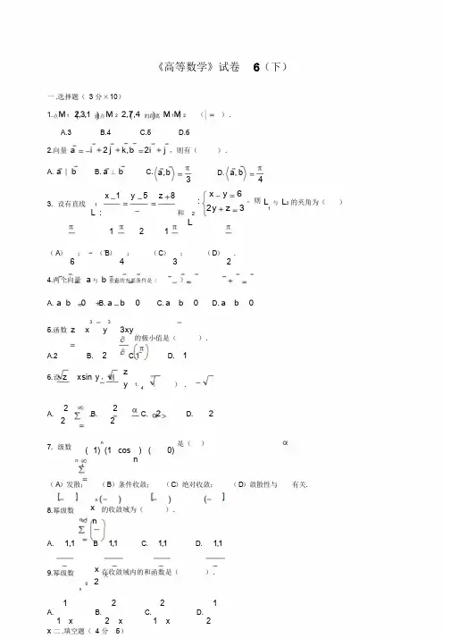
《高等数学》试卷6(下)一.选择题(3 分10)1.点M1 2,3,1 到点M 2 2, 7,4 的距离M1M 2 ().A.3B.4C.5D.62.向量a i 2 j k,b 2i j ,则有().A. a ∥bB. a ⊥bC. a,bD.3 a, b4x 1 y 5 z 83. 设有直线 1L : 和 2L1 2 1 :x y 62y z 3,则L 与L2 的夹角为()1(A);(B);(C);(D).6 4 3 24.两个向量 a 与b 垂直的充要条件是().A. a b 0B. a b 0C. a b 0D. a b 03 35.函数z x y 3xy的极小值是().A.2B. 2C.1D. 16.设z x s in y ,则zy 1,4=() .A.22B.22C. 2D. 27. 级数n( 1) (1 cos ) ( 0)n n1是()(A)发散;(B)条件收敛;(C)绝对收敛;(D)敛散性与有关.8.幂级数n 1nxn的收敛域为().A. 1,1 B 1,1 C. 1,1 D. 1,19.幂级数nx0 2n在收敛域内的和函数是().1 2 2 1A. B. C. D.1 x2 x 1 x 2 x 二.填空题(4 分5)10.一平面过点 A 0, 0,3 且垂直于直线AB ,其中点 B 2, 1,1 ,则此平面方程为______________________.11.函数z sin xy 的全微分是______________________________.3 y xy3 xy212.设z x 3 1,则2zx y_____________________________.13. 设L 为取正向的圆周: 2 2 1x y ,则曲线积分2? (2 xy 2 y)dx (x 4 x)dy ____________.L14. . 级数n 1n( x 2)n的收敛区间为____________.三.计算题(5 分6)z z1.设z e vu sin ,而u xy, v x y ,求, .x yz z2 y z x z2 22.已知隐函数z z x,y 由方程x 2 4 2 5 0确定,求, .x y2 23.计算sin x y d ,其中D2 42 2 2D : x y .4. .计算1y sin x dy dxyx.试卷6参考答案一.选择题CBCAD ACCBD二.填空题1. 2x y 2z 6 0.2.cos xy ydx xdy .3.6x 9 1 .2 y y 24.n 0n1n 12nx .5. y2 xC C x e1 .2三.计算题z xy z xy1. e y sin x y cos x y , e x sin x y cos x y .x y15.z x2 z x 1 ,z y2 z y 1. 16.2 02d sin d26.17.16 33 R .18.y 3xe 2x .e四.应用题 5.长、宽、高均为m3 2 时,用料最省 .126. yx . 3《高数》试卷 7(下)一.选择题( 3 分 10) 6.点 M 1 4, 3,1,M 2 7,1, 2 的距离 M 1M 2( ) .A.12B.13C.14 D.157.设两平面方程分别为 x 2y 2z 1 0和 x y 5 0 ,则两平面的夹角为().A.B.C.D.64 3 28.点 P 1, 2,1 到平面 x 2y 2z 5 0的距离为().A.3B.4C.5D.6 9.若几何级数nar 是收敛的,则().n 0A. r 1B. r 1C. r 1D. r 12.幂级数n n1x 的收敛域为().n 0A.1,1B.1,1C.1,1D.1,13.级数sinna4n n1是( ).A. 条件收敛B.绝对收敛C.发散D.不能确定19. .考虑二元函数 f (x, y) 的下列四条性质:(1) f (x, y) 在点(x , y ) 连续;(2)f x( x, y), f y (x, y) 在点(x0 ,y0 ) 连续0 0(3) f (x, y) 在点(x , y ) 可微分;(4)f x (x0, y0), f y (x0 , y0 ) 存在.0 0若用“P Q ”表示有性质P 推出性质Q,则有()(A)(2) (3) (1);(B)(3) (2) (1)(C)(3) (4) (1);(D)(3) (1) (4)二.填空题(4 分5)7. 级数n 1n(x 3)n的收敛区间为____________.8.函数xyz e 的全微分为___________________________.9.曲面 2 4 2z 2x y 在点2,1, 4处的切平面方程为_____________________________________.10. 1 12x的麦克劳林级数是______________________.三.计算题(5 分6)10.设a i 2j k,b 2j3k ,求a b.11.设z z 2z u ,而u x cos y,v x sin y ,求, .2v uvx yz z3 xyz12.已知隐函数z z x,y 由x 3 2确定,求, .x y13. 设是锥面 2 2 (0 1)z x y z 下侧,计算xdy d z 2 ydzdx 3(z 1)dxd y 四.应用题(10 分2)试用二重积分计算由y x,y 2 x 和x 4 所围图形的面积.试卷7参考答案一.选择题CBABA CCDBA.二.填空题20.x 2 y 2 z 1121. xy. 2.eydx xdy11.8x 8y z 4 .12.1n 0nx .2n13.3y x .三.计算题 14.8i3j 2k .z2z 3 3 3 315.3x sin ycos y cosy sin y , 2x sin ycos y sin y cos y x sin y cos y .xy16.z xxy yz 2 , zz y xy xz 2 z. 17.32 3 2 a.32318.2 xxC ey C e21.四.应用题4. 16 3.125.0 0xgt v t x .2《高等数学》试卷 3(下)一、选择题(本题共 10 小题,每题 3 分,共 30 分) 1、二阶行列式 2-3 的值为( )45 A 、10B 、20C 、24D 、222、设 a=i+2j-k,b=2j+3k ,则 a 与 b 的向量积为()A 、i-j+2kB 、8i-j+2kC 、8i-3j+2kD 、8i-3i+k3、点P(-1、-2、1)到平面x+2y-2z-5=0 的距离为()A 、2 B、3 C、4 D、54、函数z=xsiny 在点(1,)处的两个偏导数分别为()42 A 、,222,2B、,222C、2222D、2222,5、设x2+y2+z2=2Rx,则2+y2+z2=2Rx,则zxz, 分别为()yA 、x Rzy x, B、zzR y, C、zx R y, D、z zxzR,yz6、设圆心在原点,半径为R,面密度为 2 y2x 的薄板的质量为()(面积A=2 R )1A 、R2A B、2R2A C、3R2A D、R A22nx n7、级数( 1)的收敛半径为()n n 1A 、2 B、12C、1D、38、cosx 的麦克劳林级数为()A 、( 1)n 0 n(2nx2n)!B、( 1)n 1n2nx(2n)!C、n 0( 1) n2nx(2n)!D、n 0( 1)n(2nx2n11)!9、微分方程(y``) 4+(y`) 5+y`+2=0 的阶数是()A 、一阶B、二阶C、三阶D、四阶10、微分方程y``+3y`+2y=0 的特征根为()A 、-2,-1 B、2,1 C、-2,1 D、1,-2二、填空题(本题共 5 小题,每题 4 分,共20 分)x 1 y 31、直线L1:x=y=z 与直线L 2:z的夹角为2 1___________。
高等数学(下)习题七1. 在空间直角坐标系中,定出下列各点的位置:A(1,2,3); B(-2,3,4); C(2,-3,-4);D(3,4,0); E(0,4,3); F(3,0,0).解:点A在第Ⅰ卦限;点B在第Ⅱ卦限;点C在第Ⅷ卦限;点D在xOy面上;点E在yOz面上;点F在x轴上.2. xOy坐标面上的点的坐标有什么特点?yOz面上的呢?zOx面上的呢?答: 在xOy面上的点,z=0;在yOz面上的点,x=0;在zOx面上的点,y=0.3. x轴上的点的坐标有什么特点?y轴上的点呢?z轴上的点呢?答:x轴上的点,y=z=0;y轴上的点,x=z=0;z轴上的点,x=y=0.4. 求下列各对点之间的距离:(1)(0,0,0),(2,3,4);(2)(0,0,0),(2,-3,-4);(3)(-2,3,-4),(1,0,3);(4)(4,-2,3),(-2,1,3).解:(1)s=(2) s==(3) s=(4) s==.5. 求点(4,-3,5)到坐标原点和各坐标轴间的距离.解:点(4,-3,5)到x轴,y轴,z轴的垂足分别为(4,0,0),(0,-3,0),(0,0,5).s==故s==xs==ys==.5z6. 在z轴上,求与两点A(-4,1,7)和B(3,5,-2)等距离的点.解:设此点为M(0,0,z),则222222-++-=++--(4)1(7)35(2)z z解得149z=即所求点为M(0,0,149).7. 试证:以三点A(4,1,9),B(10,-1,6),C(2,4,3)为顶点的三角形是等腰直角三角形.证明:因为|AB|=|AC|=7.且有|AC|2+|AB|2=49+49=98=|BC|2.故△ABC为等腰直角三角形.8. 验证:()()++=++a b c a b c.证明:利用三角形法则得证.见图7-1图7-19. 设2,3.u v=-+=-+-a b c a b c 试用a, b, c表示23.u v-解:232(2)3(3)2243935117u v-=-+--+-=-++-+=-+a b c a b ca b c a b ca b c10. 把△ABC的BC边分成五等份,设分点依次为D1,D2,D3,D4,再把各分点与A 连接,试以AB=c,BC=a表示向量1D A,2D A,3D A和4D A.解:1115D A BA BD=-=--c a2225D A BA BD=-=--c a3335D A BA BD=-=--c a444.5D A BA BD=-=--c a11. 设向量OM的模是4,它与投影轴的夹角是60°,求这向量在该轴上的投影.解:设M的投影为M',则1Pr j cos604 2.2uOM OM=︒=⨯=12. 一向量的终点为点B(2,-1,7),它在三坐标轴上的投影依次是4,-4和7,求这向量的起点A的坐标.解:设此向量的起点A的坐标A(x, y, z),则{4,4,7}{2,1,7}AB x y z =-=----解得x =-2, y =3, z =0故A 的坐标为A (-2, 3, 0).13. 一向量的起点是P 1(4,0,5),终点是P 2(7,1,3),试求:(1) 12PP 在各坐标轴上的投影; (2) 12PP 的模;(3) 12PP 的方向余弦; (4) 12PP 方向的单位向量.解:(1)12Pr j 3,x x a PP ==12Pr j 1,y y a PP == 12Pr j 2.z z a PP ==-(2) 12(7PP == (3) 12cos 14xa PP α== 12cos 14ya PP β==12cos 14za PP γ==(4) 12012{14PPPP ===-e j . 14. 三个力F 1=(1,2,3), F 2=(-2,3,-4), F 3=(3,-4,5)同时作用于一点. 求合力R 的大小和方向余弦.解:R =(1-2+3,2+3-4,3-4+5)=(2,1,4)||==Rcos coscos αβγ=== 15. 求出向量a = i +j +k , b =2i -3j +5k 和c =-2i -j +2k 的模,并分别用单位向量,,a b c e e e 来表达向量a , b , c .解:||==a||==b||3==c, , 3. a b c ==a b c e16. 设m =3i +5j +8k , n =2i -4j -7k , p =5i +j -4k ,求向量a =4m +3n -p 在x 轴上的投影及在y 轴上的分向量.解:a =4(3i +5j +8k )+3(2i -4j -7k )-(5i +j -4k )=13i +7j +15k在x 轴上的投影a x =13,在y 轴上分向量为7j .17. 向量r 与三坐标轴交成相等的锐角,求这向量的单位向量e r .解:因αβγ==,故23cos 1 α=,cos αα==则{cos ,cos ,cos })r αβγ===++e i j k . 18. 已知两点M 1(2,5,-3),M 2(3,-2,5),点M 在线段M 1M 2上,且123M M MM =,求向径OM 的坐标.解:设向径OM ={x , y , z }12{2,5,3}{3,2,5}M M x y z MM x y z =--+=----因为,123M M MM = 所以,11423(3)153(2) 433(5)3x x x y y y z z z ⎧=⎪-=-⎧⎪⎪⎪-=--⇒=-⎨⎨⎪⎪+=-⎩=⎪⎪⎩故OM ={111,,344-}. 19. 已知点P 到点A (0,0,12)的距离是7,OP 的方向余弦是236,,777,求点P 的坐标. 解:设P 的坐标为(x , y , z ),2222||(12)49PA x y z =++-=得2229524x y z z ++=-+126570cos 6, 749z z γ==⇒==又122190cos 2, 749x x α==⇒==123285cos 3, 749y y β==⇒== 故点P 的坐标为P (2,3,6)或P (190285570,,494949). 20. 已知a , b 的夹角2π3ϕ=,且3,4a b ==,计算: (1) a ·b ; (2) (3a -2b )·(a + 2b ). 解:(1)a ·b =2π1cos ||||cos3434632ϕ⋅⋅=⨯⨯=-⨯⨯=-a b (2) (32)(2)3624-⋅+=⋅+⋅-⋅-⋅a b a b a a a b b a b b2223||44||334(6)41661.=+⋅-=⨯+⨯--⨯=-a a b b21. 已知a =(4,-2, 4), b =(6,-3, 2),计算:(1)a ·b ; (2) (2a -3b )·(a + b ); (3)2||-a b解:(1)46(2)(3)4238⋅=⨯+-⨯-+⨯=a b(2) (23)()2233-⋅+=⋅+⋅-⋅-⋅a b a b a a a b a b b b 222222222||3||2[4(2)4]383[6(3)2]23638349113=-⋅-=⨯+-+--+-+=⨯--⨯=-a a b b(3) 222||()()2||2||-=-⋅-=⋅-⋅+⋅=-⋅+a b a b a b a a a b b b a a b b 36238499=-⨯+=22. 已知四点A (1,-2,3),B (4,-4,-3),C (2,4,3),D (8,6,6),求向量AB 在向量CD 上的投影.解:AB ={3,-2,-6},CD ={6,2,3}Pr j CD AB CD AB CD ⋅=4.7==- 23. 设重量为100kg 的物体从点M 1(3, 1, 8)沿直线移动到点M 2(1,4,2),计算重力所作的功(长度单位为m ).解:取重力方向为z 轴负方向,依题意有f ={0,0, -100×9.8}s = 12M M ={-2, 3,-6}故W = f ·s ={0,0,-980}·{-2,3,-6}=5880 (J)24. 若向量a +3b 垂直于向量7a -5b ,向量a -4b 垂直于向量7a -2b ,求a 和b 的夹角. 解: (a +3b )·(7a -5b )=227||1615||0+⋅-=a a b b ①(a -4b )·(7a -2b ) = 227||308||0-⋅+=a a b b ② 由①及②可得:222221()1||||2||||4⋅⋅⋅==⇒=a b a b a b a b a b 又21||02⋅=>a b b ,所以1cos ||||2θ⋅==a b a b , 故1πarccos 23θ==. 25. 一动点与M 0(1,1,1)连成的向量与向量n =(2,3,-4)垂直,求动点的轨迹方程. 解:设动点为M (x , y , z )0{1,1,1}M M x y z =---因0M M n ⊥,故00M M n ⋅=.即2(x -1)+3(y-1)-4(z-1)=0整理得:2x +3y-4z-1=0即为动点M 的轨迹方程.26. 设a =(-2,7,6),b =(4, -3, -8),证明:以a 与b 为邻边的平行四边形的两条对角线互相垂直.证明:以a ,b 为邻边的平行四边形的两条对角线分别为a +b ,a -b ,且a +b ={2,4, -2}a-b ={-6,10,14}又(a +b )·(a-b )= 2×(-6)+4×10+(-2)×14=0故(a +b )⊥(a-b ).27. 已知a =3i +2j -k , b =i -j +2k ,求:(1) a ×b ;(2) 2a ×7b ;(3) 7b ×2a ; (4) a ×a .解:(1) 211332375122111--⨯=++=----a b i j k i j k(2) 2714()429870⨯=⨯=--a b a b i j k(3) 7214()14()429870⨯=⨯=-⨯=-++b a b a a b i j k(4) 0⨯=a a .28. 已知向量a 和b 互相垂直,且||3, ||4==a b .计算:(1) |(a +b )×(a -b )|;(2) |(3a +b )×(a -2b )|.(1)|()()|||2()|+⨯-=⨯-⨯+⨯-⨯=-⨯a b a b a a a b b a b b a bπ2||||sin 242=⋅⋅=a b (2) |(3)(2)||362||7()|+⨯-=⨯-⨯+⨯-⨯=⨯a b a b a a a b b a b b b aπ734sin 842=⨯⨯⨯= 29. 求垂直于向量3i-4j-k 和2i-j +k 的单位向量,并求上述两向量夹角的正弦. 解:411334555111221----⨯=++=--+--a b i j k i j k与⨯a b平行的单位向量)||⨯==--+⨯a b e i j k a b||sin ||||θ⨯===⨯a b a b . 30. 一平行四边形以向量a =(2,1,-1)和b =(1,-2,1)为邻边,求其对角线夹角的正弦. 解:两对角线向量为13=+=-l a b i j ,232=-=+-l a b i j k因为12|||2610|⨯=++l l i j k12||||==l l 所以1212||sin 1||||θ⨯===l l l l . 即为所求对角线间夹角的正弦.31. 已知三点A (2,-1,5), B (0,3,-2), C (-2,3,1),点M ,N ,P 分别是AB ,BC ,CA 的中点,证明:1()4MN MP AC BC ⨯=⨯. 证明:中点M ,N ,P 的坐标分别为31(1,1,), (1,3,), (0,1,3)22M N P -- {2,2,2}MN =--3{1,0,}2MP =- {4,4,4}AC =--{2,0,3}BC =- 22222235233100122MN MP ----⨯=++=++--i j k i j k 44444412208033220AC BC ---⨯=++=++--i j k i j k 故 1()4MN MP AC BC ⨯=⨯. 32. 求同时垂直于向量a =(2,3,4)和横轴的单位向量.解:设横轴向量为b =(x ,0,0)则同时垂直于a ,b 的向量为3442230000x x ⨯=++a b i j k =4x j -3x k故同时垂直于a ,b 的单位向量为1(43)||5⨯=±=±-⨯a b e j k a b . 33. 四面体的顶点在(1,1,1),(1,2,3),(1,1,2)和(3,-1,2)求四面体的表面积. 解:设四顶点依次取为A , B , C , D .{0,1,2}, {2,2,1}AB AD ==-则由A ,B ,D 三点所确定三角形的面积为111|||542|222S AB AD =⨯=+-=i j k .同理可求其他三个三角形的面积依次为12故四面体的表面积122S =+. 34. 已知三点A (2,4,1), B (3,7,5), C (4,10,9),证:此三点共线.证明:{1,3,4}AB =,{2,6,8}AC =显然2AC AB =则22()0AB AC AB AB AB AB ⨯=⨯=⨯=故A ,B ,C 三点共线.35. 求过点(4,1,-2)且与平面3x -2y +6z =11平行的平面方程.解:所求平面与平面3x -2y +6z =11平行故n ={3,-2,6},又过点(4,1,-2)故所求平面方程为:3(x -4)-2(y -1)+6(z +2)=0即3x -2y +6z +2=0.36. 求过点M 0(1,7,-3),且与连接坐标原点到点M 0的线段OM 0垂直的平面方程. 解:所求平面的法向量可取为0{1,7,3}OM ==-n故平面方程为:x -1+7(y -7)-3(z +3)=0即x +7y -3z -59=037. 设平面过点(1,2,-1),而在x 轴和z 轴上的截距都等于在y 轴上的截距的两倍,求此平面方程.解:设平面在y 轴上的截距为b 则平面方程可定为122x y z b b b++= 又(1,2,-1)在平面上,则有121122b b b-++= 得b =2. 故所求平面方程为1424x y z ++= 38. 求过(1,1,-1),(-2,-2,2)和(1,-1,2)三点的平面方程.解:由平面的三点式方程知1112121213131310x x y y z z x x y y z z x x y y z z ------=--- 代入三已知点,有1112121*********x y z --+----+=---+ 化简得x -3y -2z =0即为所求平面方程.39. 指出下列各平面的特殊位置,并画出其图形:(1) y =0; (2) 3x -1=0;(3) 2x -3y -6=0; (4) x –y =0;(5) 2x -3y +4z =0.解:(1) y =0表示xOz 坐标面(如图7-2)(2) 3x -1=0表示垂直于x 轴的平面.(如图7-3)图7-2 图7-3(3) 2x-3y-6=0表示平行于z轴且在x轴及y轴上的截距分别为x=3和y =-2的平面.(如图7-4)(4) x–y=0表示过z轴的平面(如图7-5)(5) 2x-3y+4z=0表示过原点的平面(如图7-6).图7-4 图7-5 图7-6 40. 通过两点(1,1,1,)和(2,2,2)作垂直于平面x+y-z=0的平面. 解:设平面方程为Ax+By+Cz+D=0则其法向量为n={A,B,C}已知平面法向量为n1={1,1,-1}过已知两点的向量l={1,1,1}由题知n·n1=0, n·l=0即0,.A B CC A BA B C+-=⎧⇒==-⎨++=⎩所求平面方程变为Ax-Ay+D=0又点(1,1,1)在平面上,所以有D=0故平面方程为x-y=0.41. 决定参数k的值,使平面x+ky-2z=9适合下列条件:(1)经过点(5,-4,6);(2)与平面2x-3y+z=0成π4的角. 解:(1)因平面过点(5,-4,6)故有 5-4k-2×6=9得k=-4.(2)两平面的法向量分别为n1={1,k,-2} n2={2,-3,1}且122123π2cos cos||||42514kkθ⋅-====+⋅n nn n解得2k =±42. 确定下列方程中的l 和m :(1) 平面2x +ly +3z -5=0和平面mx -6y -z +2=0平行; (2) 平面3x -5y +lz -3=0和平面x +3y +2z +5=0垂直. 解:(1)n 1={2,l ,3}, n 2={m ,-6,-1}12232,18613l m l m ⇒==⇒=-=--n n (2) n 1={3, -5, l }, n 2={1,3,2}12315320 6.l l ⊥⇒⨯-⨯+⨯=⇒=n n43. 通过点(1,-1,1)作垂直于两平面x -y +z -1=0和2x +y +z +1=0的平面.解:设所求平面方程为Ax +By +Cz +D =0 其法向量n ={A ,B ,C }n 1={1,-1,1}, n 2={2,1,1}12203203A C A B C A B C CB ⎧=-⎪⊥⇒-+=⎪⇒⎨⊥⇒++=⎪=⎪⎩n n n n 又(1,-1,1)在所求平面上,故A -B +C +D =0,得D =0故所求平面方程为2033CCx y Cz -++= 即2x -y -3z =044. 求平行于平面3x -y +7z =5,且垂直于向量i -j +2k 的单位向量. 解:n 1={3,-1,7}, n 2={1,-1,2}.12,⊥⊥n n n n故1217733152122111--=⨯=++=+---n n n i j k i j k则2).n =+-e i j k 45. 求通过下列两已知点的直线方程: (1) (1,-2,1), (3,1,-1); (2) (3,-1,0),(1,0,-3). 解:(1)两点所确立的一个向量为s ={3-1,1+2,-1-1}={2,3,-2}故直线的标准方程为:121232x y z -+-==- 或 311232x y z --+==- (2)直线方向向量可取为s ={1-3,0+1,-3-0}={-2,1,-3}故直线的标准方程为:31213x y z -+==-- 或 13213x y z -+==-- 46. 求直线234035210x y z x y z +--=⎧⎨-++=⎩的标准式方程和参数方程.解:所给直线的方向向量为12311223719522335--=⨯=++=----s n n i j k i j k另取x 0=0代入直线一般方程可解得y 0=7,z 0=17于是直线过点(0,7,17),因此直线的标准方程为:7171719x y z --==-- 且直线的参数方程为:771719x t y t z t =⎧⎪=-⎨⎪=-⎩47. 求下列直线与平面的交点:(1)11126x y z-+==-, 2x +3y +z -1=0; (2) 213232x y z +--==, x +2y -2z +6=0. 解:(1)直线参数方程为1126x ty t z t =+⎧⎪=--⎨⎪=⎩代入平面方程得t =1 故交点为(2,-3,6).(2) 直线参数方程为221332x t y t z t =-+⎧⎪=+⎨⎪=+⎩代入平面方程解得t =0. 故交点为(-2,1,3). 48. 求下列直线的夹角:(1)533903210x y z x y z -+-=⎧⎨-+-=⎩ 和 2223038180x y z x y z +-+=⎧⎨++-=⎩;(2)2314123x y z ---==- 和 38121y z x --⎧=⎪--⎨⎪=⎩解:(1)两直线的方向向量分别为:s 1={5, -3,3}×{3, -2,1}=533321ij k--={3,4, -1}s 2={2,2, -1}×{3,8,1}=221381i j k-={10, -5,10}由s 1·s 2=3×10+4×(-5)+( -1) ×10=0知s 1⊥s 2 从而两直线垂直,夹角为π2. (2) 直线2314123x y z ---==-的方向向量为s 1={4, -12,3},直线38121y z x --⎧=⎪--⎨⎪=⎩的方程可变为22010y z x -+=⎧⎨-=⎩,可求得其方向向量s 2={0,2, -1}×{1,0,0}={0, -1, -2},于是1212cos 0.2064785θθ⋅==≈⋅'≈︒s s s s 49. 求满足下列各组条件的直线方程:(1)经过点(2,-3,4),且与平面3x -y +2z -4=0垂直; (2)过点(0,2,4),且与两平面x +2z =1和y -3z =2平行; (3)过点(-1,2,1),且与直线31213x y z --==-平行. 解:(1)可取直线的方向向量为s ={3,-1,2}故过点(2,-3,4)的直线方程为234312x y z -+-==- (2)所求直线平行两已知平面,且两平面的法向量n 1与n 2不平行,故所求直线平行于两平面的交线,于是直线方向向量12102{2,3,1}013=⨯==--i j ks n n故过点(0,2,4)的直线方程为24231x y z --==- (3)所求直线与已知直线平行,故其方向向量可取为 s ={2,-1,3}故过点(-1,2,1)的直线方程为121213x y z +--==-. 50. 试定出下列各题中直线与平面间的位置关系:(1)34273x y z++==--和4x -2y -2z =3; (2)327x y z ==-和3x -2y +7z =8;(3)223314x y z -+-==-和x +y +z =3. 解:平行而不包含. 因为直线的方向向量为s ={-2,-7,3}平面的法向量n ={4,-2,-2},所以(2)4(7)(2)3(2)0⋅=-⨯+-⨯-+⨯-=s n于是直线与平面平行.又因为直线上的点M 0(-3,-4,0)代入平面方程有4(3)2(4)2043⨯--⨯--⨯=-≠.故直线不在平面上.(2) 因直线方向向量s 等于平面的法向量,故直线垂直于平面.(3) 直线在平面上,因为3111(4)10⨯+⨯+-⨯=,而直线上的点(2,-2,3)在平面上. 51. 求过点(1,-2,1),且垂直于直线23030x y z x y z -+-=⎧⎨+-+=⎩ 的平面方程.解:直线的方向向量为12123111-=++-i j ki j k , 取平面法向量为{1,2,3},故所求平面方程为1(1)2(2)3(1)0x y z ⨯-+++-=即x +2y +3z =0.52. 求过点(1,-2,3)和两平面2x -3y +z =3, x +3y +2z +1=0的交线的平面方程. 解:设过两平面的交线的平面束方程为233(321)0x y z x y z λ-+-++++= 其中λ为待定常数,又因为所求平面过点(1,-2,3) 故213(2)33(13(2)231)0λ⨯-⨯-+-++⨯-+⨯+= 解得λ=-4.故所求平面方程为2x +15y +7z +7=053. 求点(-1,2,0)在平面x +2y -z +1=0上的投影.解:过点(-1,2,0)作垂直于已知平面的直线,则该直线的方向向量即为已知平面的法向量,即s =n ={1,2,-1}所以垂线的参数方程为122x t y t z t =-+⎧⎪=+⎨⎪=-⎩将其代入平面方程可得(-1+t )+2(2+2t )-(-t )+1=0 得23t =-于是所求点(-1,2,0)到平面的投影就是此平面与垂线的交点522(,,)333- 54. 求点(1,2,1)到平面x +2y +2z -10=0距离.解:过点(1,2,1)作垂直于已知平面的直线,直线的方向向量为s =n ={1,2,2}所以垂线的参数方程为12212x t y t z t =+⎧⎪=+⎨⎪=+⎩将其代入平面方程得13t =. 故垂足为485(,,)333,且与点(1,2,1)的距离为1d == 即为点到平面的距离. 55. 求点(3,-1,2)到直线10240x y z x y z +-+=⎧⎨-+-=⎩的距离.解:过点(3,-1,2)作垂直于已知直线的平面,平面的法向量可取为直线的方向向量即11133211==-=---ij kn s j k 故过已知点的平面方程为y +z =1.联立方程组102401x y z x y z y z +-+=⎧⎪-+-=⎨⎪+=⎩解得131,,.22x y z ==-= 即13(1,,)22-为平面与直线的垂足于是点到直线的距离为2d ==56. 建立以点(1,3,-2)为中心,且通过坐标原点的球面方程. 解:球的半径为22213(2)14.R =++-=设(x ,y ,z )为球面上任一点,则(x -1)2+(y -3)2+(z +2)2=14即x 2+y 2+z 2-2x -6y +4z =0为所求球面方程.57. 一动点离点(2,0,-3)的距离与离点(4,-6,6)的距离之比为3,求此动点的轨迹方程.解:设该动点为M (x ,y ,z ),由题意知222222(2)(0)(3) 3.(4)(6)(6)x y z x y z -+-++=-+++-化简得:8x 2+8y 2+8z 2-68x +108y -114z +779=0 即为动点的轨迹方程.58. 指出下列方程所表示的是什么曲面,并画出其图形:(1)22()()22a a x y -+=; (2)22149x y -+=; (3)22194x z +=; (4)20y z -=; (5)220x y -=; (6)220x y +=. 解:(1)母线平行于z 轴的抛物柱面,如图7-7. (2)母线平行于z 轴的双曲柱面,如图7-8.图7-7 图7-8 (3)母线平行于y 轴的椭圆柱面,如图7-9. (4)母线平行于x 轴的抛物柱面,如图7-10.图7-9 图7-10(5)母线平行于z 轴的两平面,如图7-11. (6)z 轴,如图7-12.图7-11 图7-12 59. 指出下列方程表示怎样的曲面,并作出图形:(1)222149y z x ++=; (2)22369436x y z +-=; (3)222149y z x --=; (4)2221149y z x +-=; (5)22220x y z -+=; (6)22209z x y +-=. 解:(1)半轴分别为1,2,3的椭球面,如图7-13. (2) 顶点在(0,0,-9)的椭圆抛物面,如图7-14.图7-13 图7-14(3) 以x 轴为中心轴的双叶双曲面,如图7-15. (4) 单叶双曲面,如图7-16.图7-15 图7-16(5) 顶点在坐标原点的椭圆锥面,其中心轴是y 轴,如图7-17. (6) 顶点在坐标原点的圆锥面,其中心轴是z 轴,如图7-18.图7-17 图7-1860. 作出下列曲面所围成的立体的图形: (1) x 2+y 2+z 2=a 2与z =0,z =2a(a >0); (2) x +y +z =4,x =0,x =1,y =0,y =2及z =0; (3) z =4-x 2, x =0, y =0, z =0及2x +y =4; (4) z =6-(x 2+y 2),x =0, y =0, z =0及x +y =1. 解:(1)(2)(3)(4)分别如图7-19,7-20,7-21,7-22所示.图7-19 图7-20图7-21 图7-22 61. 求下列曲面和直线的交点:(1) 222181369x y z ++=与342364x y z --+==-; (2) 22211694x y z +-=与2434x y z +==-. 解:(1)直线的参数方程为334624x t y t z t =+⎧⎪=-⎨⎪=-+⎩代入曲面方程解得t =0,t =1. 得交点坐标为(3,4,-2),(6,-2,2). (2) 直线的参数方程为4324x t y tz t =⎧⎪=-⎨⎪=-+⎩代入曲面方程可解得t =1, 得交点坐标为(4,-3,2).62. 设有一圆,它的中心在z 轴上,半径为3,且位于距离xOy 平面5个单位的平面上,试建立这个圆的方程.解:设(x ,y ,z )为圆上任一点,依题意有2295x y z ⎧+=⎨=±⎩ 即为所求圆的方程.63. 建立曲线x 2+y 2=z , z =x +1在xOy 平面上的投影方程. 解:以曲线为准线,母线平行于z 轴的柱面方程为x 2+y 2=x +1即2215()24x y -+=. 故曲线在xOy 平面上的投影方程为2215()240x y z ⎧-+=⎪⎨⎪=⎩64. 求曲线x 2+y 2+z 2=a 2, x 2+y 2=z 2在xOy 面上的投影曲线.解:以曲线为准线,母线平行于z 轴的柱面方程为2222a x y +=故曲线在xOy 面上的投影曲线方程为22220a x y z ⎧+=⎪⎨⎪=⎩65. 试考察曲面22219254x y z -+=在下列各平面上的截痕的形状,并写出其方程. (1) 平面x =2; (2) 平面y =0; (3) 平面y =5; (4) 平面z =2.解:(1)截线方程为2212x ⎧=⎪⎪⎨⎪⎪=⎩ 其形状为x =2平面上的双曲线.(2)截线方程为221940x z y ⎧+=⎪⎨⎪=⎩为xOz 面上的一个椭圆.(3)截线方程为2215y ⎧==⎩为平面y =5上的一个椭圆.(4) 截线方程为2209252x y z ⎧-=⎪⎨⎪=⎩为平面z =2上的两条直线.66. 求单叶双曲面22211645x y z +-=与平面x -2z +3=0的交线在xOy 平面,yOz 平面及xOz 平面上的投影曲线. 解:以32x z +=代入曲面方程得 x 2+20y 2-24x -116=0.故交线在xOy 平面上的投影为2220241160x y x z ⎧+--=⎨=⎩ 以x =2z -3代入曲面方程,得 20y 2+4z 2-60z -35=0.故交线在yOz 平面上的投影为2220460350y z z x ⎧+--=⎨=⎩ 交线在xOz 平面上的投影为230,0.x z y -+=⎧⎨=⎩习题八1. 判断下列平面点集哪些是开集、闭集、区域、有界集、无界集?并分别指出它们的聚点集和边界:(1) {(x ,y )|x ≠0};(2) {(x ,y )|1≤x 2+y 2<4};(3) {(x ,y )|y <x 2};(4) {(x ,y )|(x -1)2+y 2≤1}∪{(x ,y )|(x +1)2+y 2≤1}.解:(1)开集、无界集,聚点集:R 2,边界:{(x ,y )|x =0}. (2)既非开集又非闭集,有界集,聚点集:{(x ,y )|1≤x 2+y 2≤4},边界:{(x ,y )|x 2+y 2=1}∪{(x ,y )| x 2+y 2=4}. (3)开集、区域、无界集,聚点集:{(x ,y )|y ≤x 2},边界:{(x ,y )| y =x 2}.(4)闭集、有界集,聚点集即是其本身,边界:{(x ,y )|(x -1)2+y 2=1}∪{(x ,y )|(x +1)2+y 2=1}. 2. 已知f (x ,y )=x 2+y 2-xy tanxy,试求(,)f tx ty . 解:222(,)()()tan(,).tx f tx ty tx ty tx ty t f x y ty=+-⋅= 3. 已知(,,)w u vf u v w u w+=+,试求(,,).f x y x y xy +-解:f (x +y , x -y , xy ) =(x +y )xy+(xy )x +y +x -y=(x +y )xy +(xy )2x.4. 求下列各函数的定义域:2(1)ln(21);z y x =-+(2)z=+(3)z =(4)u =+(5)z =(6)ln()z y x =-+(7)u =解:2(1){(,)|210}.D x y y x =-+>(2){(,)|0,0}.D x y x y x y =+>->22222(3){(,)|40,10,0}.D x y x y x y x y =-≥-->+≠(4){(,,)|0,0,0}.D x y z x y z =>>> 2(5){(,)|0,0,}.D x y x y x y =≥≥≥ 22(6){(,)|0,0,1}.D x y y x x x y =->≥+< 22222(7){(,,)|0,0}.D x y z x y x y z =+≠+-≥5. 求下列各极限:10y x y →→22001(2)lim;x y x y →→+00x y →→0x y →→00sin (5)lim ;x y xyx →→222222001cos()(6)lim .()e x y x y x y x y +→→-++ 解:(1)原式0ln 2.=(2)原式=+∞. (3)原式=001.4x y →→=-(4)原式=002.x y →→=(5)原式=00sin lim100.x y xyy xy →→⋅=⨯=(6)原式=22222222222()00001()2lim lim 0.()e 2ex y x y x x y y x y x y x y ++→→→→++==+6. 判断下列函数在原点O (0,0)处是否连续:33222222sin(),0,(1)0,0;x y x y z x y x y ⎧++≠⎪=+⎨⎪+=⎩33333333sin(),0,(2)0,0;x y x y z x y x y ⎧++≠⎪=+⎨⎪+=⎩(3) 222222222,0,(2)()0,0;x y x y z x y x y x y ⎧+≠⎪=+-⎨⎪+=⎩解:(1)由于3333333322223333sin()sin()sin()0()x y x y x y x y y x x y x y x y x y++++≤=≤+⋅++++ 又00lim()0x y y x →→+=,且3333000sin()sin lim lim 1x u y x y ux y u →→→+==+, 故0lim 0(0,0)x y z z →→==.故函数在O (0,0)处连续. (2)000sin lim lim1(0,0)0x u y uz z u→→→==≠=故O (0,0)是z 的间断点.(3)若P (x ,y ) 沿直线y =x 趋于(0,0)点,则2222000lim lim 10x x y x x x z x x →→=→⋅==⋅+, 若点P (x ,y ) 沿直线y =-x 趋于(0,0)点,则22222220000()lim lim lim 0()44x x x y x x x x z x x x x →→→=-→-===⋅-++ 故00lim x y z →→不存在.故函数z 在O (0,0)处不连续.7. 指出下列函数在向外间断:(1) f (x ,y )=233x y x y -+;(2) f (x ,y )=2222y xy x +-;(3) f (x ,y )=ln(1-x 2-y 2);(4)f (x ,y )=222e ,0,0,0.x y x y yy -⎧⎪≠⎨⎪=⎩解:(1)因为当y =-x 时,函数无定义,所以函数在直线y =-x 上的所有点处间断,而在其余点处均连续.(2)因为当y 2=2x 时,函数无定义,所以函数在抛物线y 2=2x 上的所有点处间断.而在其余各点处均连续.(3)因为当x 2+y 2=1时,函数无定义,所以函数在圆周x 2+y 2=1上所有点处间断.而在其余各点处均连续.(4)因为点P (x ,y )沿直线y =x 趋于O (0,0)时.1200lim (,)lime x x y x xf x y x-→→=→==∞. 故(0,0)是函数的间断点,而在其余各点处均连续. 8. 求下列函数的偏导数:(1)z =x 2y +2xy;(2)s =22u v uv+;(3)z =x(4)z =lntan x y; (5)z =(1+xy )y; (6)u =z xy;(7)u =arctan(x -y )z; (8)y zu x =.解:(1)223122,.z z x xy x x y y y∂∂=+=-∂∂ (2)u v s v u =+2211,.s v s u u v u v v u∂∂=-=-+∂∂(3)2222212ln(),2z x x x x y x x y ∂==++∂+222.z xy x y y x y ∂==∂+ (4)21122sec csc ,tan z x x x x y y y yy∂=⋅⋅=∂ 222122sec ()csc .tan z x x x x x y y y y yy∂=⋅⋅-=-∂ (5)两边取对数得ln ln(1)z y xy =+故[]221(1)(1)(1).ln(1)1y y y x z y xy xy y xy y xy x xy-∂'=+⋅=+⋅=++∂+[]ln(1)(1)(1)ln(1)1ln(1)(1).1y y y y x z xy yxy xy y xy xy y xy xy xy xy ∂⎡⎤'++=+⋅=++⎢⎥+∂⎣⎦⎡⎤++=+⎢⎥+⎣⎦(6)1ln ln xy xy xy u u uz z y z z x xy z x y z-∂∂∂=⋅⋅=⋅⋅=⋅∂∂∂ (7)11221()().1[()]1()z z z z u z x y z x y x x y x y --∂-=⋅-=∂+-+- 112222()(1)().1[()]1()()ln()()ln().1[()]1()z z z z z zz z u z x y z x y y x y x y u x y x y x y x y z x y x y --∂-⋅--==-∂+-+-∂----==∂+-+-(8)1.yzu y x x z-∂=∂ 2211ln ln .ln ln .y yzzyy z zu x x x x y z zu y y x x x x z z z ∂=⋅=∂∂⎛⎫=⋅=-- ⎪∂⎝⎭9.已知22x y u x y=+,求证:3u u x y u x y ∂∂+=∂∂. 证明: 222223222()2()()u xy x y x y x y xy x x y x y ∂+-+==∂++. 由对称性知 22322()u x y yx y x y ∂+=∂+. 于是 2223()3()u u x y x y x y u x y x y ∂∂++==∂∂+. 10.设11ex y z ⎛⎫+- ⎪⎝⎭=,求证:222z z xy z x y∂∂+=∂∂. 证明: 11112211e e x y x y z x xx ⎛⎫⎛⎫++-- ⎪ ⎪⎝⎭⎝⎭∂⎡⎤⎛⎫=-=- ⎪⎢⎥∂⎝⎭⎣⎦, 由z 关于x ,y 的对称性得1121ex y z y y⎛⎫+- ⎪⎝⎭∂=∂ 故 11111122222211e e 2e 2.x y x y x y z z x y x y z x y x y⎛⎫⎛⎫⎛⎫+++--- ⎪ ⎪ ⎪⎝⎭⎝⎭⎝⎭∂∂+⋅=⋅+⋅==∂∂11.设f (x ,y )=x +(yf x (x ,1) .解:1(,)1(x f x y y y =+- 则(,1)101x f x =+=.12.求曲线2244x y z y ⎧+=⎪⎨⎪=⎩在点(2,4,5)处的切线与正向x 轴所成的倾角.解:(2,4,5)1,1,2z z x x x ∂∂==∂∂ 设切线与正向x 轴的倾角为α, 则tan α=1. 故α=π4. 13.求下列函数的二阶偏导数: (1)z =x 4+ y 4-4x 2y 2; (2)z=arctan y x; (3)z =y x ;(4)z =2ex y+.解:(1)2322224812816z z z x xy x y xy x x x y∂∂∂=-=-=-∂∂∂∂ ,, 由x ,y 的对称性知22222128.16.z z y x xy y y x∂∂=-=-∂∂∂ (2)222211zy y xx y x y x ∂⎛⎫=⋅=-- ⎪∂+⎝⎭⎛⎫+ ⎪⎝⎭,2222222222222222222222222222222222222222()022,()()11,12,()()2,()()2.()()z x y y x xyx x y x y z x y x x y y x z xyy x y z x y y y y x x y x y x y z x y x x y x y x x y x y ∂+⋅-⋅=-=∂++∂=⋅=∂+⎛⎫+ ⎪⎝⎭∂=-∂+∂+-⋅-=-=∂∂++∂+-⋅-=-=∂∂++ (3)222ln ,ln ,xx z z y y y y x x∂∂==∂∂ 21222112111,(1),1ln (1ln ),ln (1ln ).x x x x x x x x z z xy x x y y y z y xy y y x y x y y zy x y y y x y y x-------∂∂==-∂∂∂=⋅+=+∂∂∂=+⋅⋅=+∂∂ (4)22e 2,e ,x y x y z zx x y++∂∂=⋅=∂∂ 222222222e 22e 22e (21),e ,2e ,2e .x y x y x y x y x y x y z x x x xz z z x x y x y y x++++++∂=⋅⋅+⋅=+∂∂∂∂===∂∂∂∂∂14.设f (x ,y ,z )=xy 2+yz 2+zx 2,求(0,0,1),(0,1,0),(2,0,1).xx yz zzx f f f -解:2(,,)2x f x y z y zx =+22(,,)2,(0,0,1)2,(,,)2(,,)2,(0,1,0)0,(,,)2(,,)2(,,)0,(2,0,1)0.xx xx y yz yz z zz zzx zzx f x y z z f f x y z xy z f x y z z f f x y z yz x f x y z yf x y z f ===+=-==+===15.设z =x ln(xy ),求32z x y ∂∂∂及32zx y ∂∂∂.解:ln()1ln(),z yx xy xy x xy∂=⋅+=+∂ 232223221,0,11,.z y zx xy x x y z x z x y xy y x y y∂∂===∂∂∂∂∂===-∂∂∂∂16.求下列函数的全微分: (1)22ex y z +=;(2)z =(3)zy u x =; (4)yzu x =.解:(1)∵2222e 2,e 2x y x y z zx y x y++∂∂=⋅=⋅∂∂ ∴222222d 2e d 2e d 2e (d d )x y xy xy z x x y y x x y y +++=+=+(2)∵22223/21()z xy y x y x x y ∂⎛⎫-=⋅=- ⎪+∂+⎝⎭2223/2()z x yx y ∂==∂+ ∴223/2d (d d ).()xz y x x y x y =--+(3)∵11,ln z z z y y z u u y x x x zy x y--∂∂==⋅⋅∂∂ 2ln ln y z ux x y y z∂=⋅⋅⋅∂ ∴211d d ln d ln ln d .z z zy y z y z u y x x x x zy y x x y y z --=+⋅+⋅⋅⋅(4)∵1yz u y x x z-∂=∂ 1ln yz u x x y z∂=⋅⋅∂ln yz u y x x z z 2∂⎛⎫=⋅⋅- ⎪∂⎝⎭∴121d d ln d ln d .y y yz z z y y u x x x x y x x z z z z -⎛⎫=+⋅⋅+⋅⋅- ⎪⎝⎭17. 求下列函数在给定点和自变量增量的条件下的全增量和全微分: (1)222,2,1,0.2,0.1;z x xy y x y x y =-+==-∆=∆=- (2)e ,1,1,0.15,0.1.xy z x y x y ===∆=∆=解:(1)22()()()2()9.688 1.68z x x x x y y y y z ∆=+∆-+∆+∆++∆-=-=d (2)(4) 1.6z x y x x y y =-∆+-+∆=(2)()()0.265ee e(e 1)0.30e.x x y y xy z +∆+∆∆=-=-=d e e e ()0.25e xy xy xy z y x x y y x x y =∆+∆=∆+∆=18.利用全微分代替全增量,近似计算: (1) (1.02)3·(0.97)2;(3)(1.97)1.05.解:(1)设f (x ,y )=x 3·y 2,则223(,)3,(,)2,x y f x y x y f x y x y ==故d f (x ,y )=3x 2y 2d x +2x 3y d y =xy (3xy d x +2x 2d y ) 取x =1,y =1,d x =0.02,d y =-0.03,则(1.02)3·(0.97)2=f (1.02,0.97)≈f (1,1)+d f (1,1)d 0.02d 0.03x y ==-=13×12+1×1[3×1×1×0.02+2×12×(-0.03)]=1.(2)设f (x ,y,则(,)(,)x y f x y f x y ===故d (,)d d )f x y x x y y =+取4,3,d 0.05,d 0.07x y x y ====-,则d0.05d0.07(4.05,2.93)(4,3)d(4,3)0.053(0.07)]15(0.01)54.998xyf f f==-=≈+=⨯+⨯-=+⨯-=(3)设f(x,y)=x y,则d f(x,y)=yx y-1d x+x y ln x d y,取x=2,y=1,d x=-0.03,d y=0.05,则1.05d0.03d0.05(1.97)(1.97,1.05)(2,1)d(2,1)20.0393 2.0393.xyf f f=-==≈+=+=19.矩型一边长a=10cm,另一边长b=24cm,当a边增加4mm,而b边缩小1mm时,求对角线长的变化.解:设矩形对角线长为l,则d d).l l x x y y==+当x=10,y=24,d x=0.4,d y=-0.1时,d0.4240.1)0.062l=⨯-⨯=(cm)故矩形的对角线长约增加0.062cm.20. 1mol理想气体在温度0℃和1个大气压的标准状态下,体积是22.4L,从这标准状态下将温度升高3℃,压强升高0.015个大气压,问体积大约改变多少?解:由PV=RT得V=RTP,且在标准状态下,R=8.20568×10-2,ΔV≈d v=-2d dRT Rp TP P+=d dV RP TP P-+222.48.20568100.01530.0911-⨯=-⨯+⨯≈-故体积改变量大约为0.09.21. 测得一物体的体积V=4.45cm3,其绝对误差限是0.01cm3,质量m=30.80g,其绝对误差限是0.01g,求由公式mvρ=算出密度ρ的绝对误差与相对误差.解:当V=4.45,m=30.80,d v=0.01,d m=0.01时,22130.801d d d0.010.014.45 4.450.01330.0133mv mv vρ==-+-⨯+⨯≈=-当v=4.45, m=30.80时30.806.92134.45ρ=≈d 0.00192160.19216%ρρ≈=.22. 求下列复合函数的偏导数或全导数:(1)22,cos ,sin ,z x y xy x u v y u v =-==求z u ∂∂,z v∂∂; (2) z =arc tanx y ,x =u +v ,y =u -v ,求z u ∂∂,z v∂∂; (3) ln(e e )xyu =+,y =x 3,求d d ux; (4) u =x 2+y 2+z 2,x =e cos tt ,y =e sin tt ,z =e t,求d d ut. 解:(1)222(2)cos (2)sin 3sin cos (cos sin )z z x z y xy y v x xy v u x u y u u v v v v ∂∂∂∂∂=⋅+⋅=-⋅+-∂∂∂∂∂=-223333(2)sin (2)cos 2sin cos (sin cos )(sin cos ).z z x z yxy y u v x xy u v v x v y v u v v v v u v v ∂∂∂∂∂=⋅+⋅=--⋅+-⋅∂∂∂∂∂=-+++ (2)222222211111x z z x z y y x v y u x u y uyx yu v x x y y ∂∂∂∂∂--⎛⎫-=⋅+⋅=⋅+⋅== ⎪∂∂∂∂∂++⎝⎭⎛⎫⎛⎫++ ⎪ ⎪⎝⎭⎝⎭2222222111(1)11.x z z x z y y v x v y vyx x y y y x ux y u v -∂∂∂∂∂⎛⎫=⋅+⋅=⋅+⋅⋅- ⎪∂∂∂∂∂⎝⎭⎛⎫⎛⎫++ ⎪ ⎪⎝⎭⎝⎭+==++ (3)33222d d d 11e 3e e 3e e e 3.d d d e e e e e e e ex y x x x y x y x y x yx x u u x u y x x x x x x y x ∂∂++=⋅+⋅=⋅+⋅⋅==∂∂++++ (4)d d d d d d d d u u x u y u z t x t y t z t∂∂∂=⋅+⋅+⋅∂∂∂ 22(e cos e sin )2(e sin e cos )2e 4e t t t t t t x t t y t t z =-+++⋅=.23. 设f 具有一阶连续偏导数,试求下列函数的一阶偏导数: (1)22(,e );xyu f x y =-(2),;x y u f y z ⎛⎫= ⎪⎝⎭(3)().,,u f x xy xyz = 解:(1)12122e 2e .xy xy uf x f y xf y f x∂''''=⋅+⋅⋅=+∂ 1212(2)e 2e .xy xy uf y f x yf x f y∂''''=⋅-+⋅⋅=-+∂ (2)1111u f f x y y∂''=⋅=∂ 121222222211..x u x f f f f y y z y z u y y f f z z z ∂⎛⎫''''-=⋅+⋅=-+ ⎪∂⎝⎭∂⎛⎫''=⋅=-- ⎪∂⎝⎭(3)1231231,uf f y f yz f yf yzf x∂''''''=⋅+⋅+⋅=++∂ 12323330,.uf f x f xz xf xzf yuf xy xyf z∂'''''=⋅+⋅+⋅=+∂∂''=⋅=∂24.设(),,()yz xy xF u u F u x=+=为可导函数,证明: .z z xy z xy x y∂∂+=+∂∂ 证明:2()()()()z y y y xF u F u F u y F u x x x ∂⎛⎫''=+⋅+=+-- ⎪∂⎝⎭1()().z x xF u x F u y x∂''=+⋅=+∂ 故[]()()()()()()().z z F u y xy x y x F u F u y x y x xF u xy yF u xy yF u xy xF u xyz xy '∂∂⎡⎤'+=+++-⎢⎥∂∂⎣⎦''=+-++=++=+ 25. 设22()yz f x y =-,其中f (u )为可导函数,验证:211z z zx x y y y∂∂+=∂∂. 证明:∵2222z yf x xyf x f f ''∂⋅=-=-∂, 222(2)2z f y f y f y f y f f ''∂-⋅⋅-+==∂, ∴22222112211z z yf f y f y zx x y y f yf yf f y y ''∂∂++=-+==⋅=∂∂⋅ 26. 22()z f x y =+,其中f 具有二阶导数,求22222,,.z z zx x y y ∂∂∂∂∂∂∂ 解:2,2,z zxf yf x y∂∂''==∂∂ 222222224,224,z f x xf f x f xzxf y xyf x y∂''''''=+⋅=+∂∂''''=⋅=∂∂由对称性知,22224.z f y f y∂'''=+∂27. 设f 是c 2类函数,求下列函数的二阶偏导数: (1),;x x z f y ⎛⎫= ⎪⎝⎭(2)()22;,z f xy x y =(3)().sin ,cos ,e x y z f x y += 解:(1)1212111,z f f f f x y y∂''''=⋅+⋅=+∂ 2212211121112222221222122222222222222222223211121,1111,,2z f f f f f f f y x y y y yx x z x f f f f f f y y y x y y y y yx z x f f y y y z x x f f y y y ∂⎛⎫''''''''''''''+⋅=+⋅+=+⋅+ ⎪∂⎝⎭∂⎛⎫⎛⎫⎛⎫''''''''''--+=⋅-+⋅=-- ⎪ ⎪ ⎪∂∂⎝⎭⎝⎭⎝⎭∂⎛⎫''-==- ⎪∂⎝⎭∂''=-∂22222342.x x x f f y yy ⎛⎫''''-⋅=+ ⎪⎝⎭,。
高等数学II 试题一、填空题每小题3分,共计15分1.设(,)z f x y =由方程xzxy yz e -+=确定,则 zx ∂=∂ ;2.函数232u xy z xyz =-+在点0(0,1,2)P --沿方向l = 的方向导数最大;3.L 为圆周224x y +=,计算对弧长的曲线积分⎰+L dsy x 22= ;4.已知曲线23,,x t y t z t ===上点P 处的切线平行于平面22x y z ++=,则点P 的坐标为 或 ;5.设()f x 是周期为2的周期函数,它在区间(1, 1]-的定义为210()01x f x x x -<≤⎧=⎨<≤⎩,则()f x 的傅里叶级数在1x =收敛于 ;二、解答下列各题每小题7分,共35分1.设) ,(y x f 连续,交换二次积分1201(,)x I dx f x y dy-=⎰⎰的积分顺序;2.计算二重积分D,其中D 是由y 轴及圆周22(1)1x y +-=所围成的在第一象限内的区域;3.设Ω是由球面z =与锥面z =围成的区域,试将三重积分222()I f x y z dxdydzΩ=++⎰⎰⎰化为球坐标系下的三次积分;4.设曲线积分[()]()xLf x e ydx f x dy--⎰与路径无关,其中()f x 具有一阶连续导数,且(0)1f =,求()f x ;5.求微分方程2xy y y e -'''-+=的通解;三、10分计算曲面积分2y dzdx zdxdy∑+⎰⎰,其中∑是球面2224(0)x y z z ++=≥的上侧;四、10分计算三重积分()x y z dxdydzΩ++⎰⎰⎰,其中Ω由22z x y =+与1z =围成的区域;五、10分求221z x y =++在1y x =-下的极值; 六、10分求有抛物面221z x y =--与平面0z =所围立体的表面积;七、10分求幂级数113n nn x n -∞=∑的收敛区间与和函数;高等数学II 试题解答一、填空题每小题3分,共计15分1.设(,)z f x y =由方程xzxy yz e -+=确定,则 z x∂=∂xz xzxe y zey --++-; 2.函数232u xy z xyz =-+在点0(0,1,2)P --沿方向l =4,0,-12 的方向导数最大; 3.L 为圆周224x y +=,计算对弧长的曲线积分⎰+L ds y x 22=8π;4.已知曲线23,,x t y t z t ===上点P 处的切线平行于平面22x y z ++=,则点P 的坐标为(1,1,1)--或111(,,)3927--;5.设()f x 是周期为2的周期函数,它在区间(1, 1]-的定义为210()01x f x x x -<≤⎧=⎨<≤⎩,则()f x 的傅里叶级数在1x =收敛于32;二、解答下列各题每小题7分,共35分6.设) ,(y x f 连续,交换二次积分1201(,)xI dx f x y dy-=⎰⎰的积分顺序;解:1201122010(,)(,)(,)x y I dx f x y dy dy f x y dx dy f x y dx--==+⎰⎰⎰⎰⎰7.计算二重积分D,其中D 是由y 轴及圆周22(1)1x y +-=所围成的在第一象限内的区域;解:2sin 220169Dd r dr πθθ==⎰⎰8.设Ω是由球面z =与锥面z =围成的区域,试将三重积分222()I f x y z dxdydzΩ=++⎰⎰⎰化为球坐标系下的三次积分;解:9.设曲线积分[()]()xLf x e ydx f x dy--⎰与路径无关,其中()f x 具有一阶连续导数,且(0)1f =,求()f x ;解:[()]x P f x e y =-,()Q f x =-;由[()]()x L f x e ydx f x dy --⎰与路径无关,得x y Q P ''=,即()()0xf x f x e '+-=;解微分方程xy y e '+=,得其通解12x xy ce e -=+;又(0)1f =,得21=c ;故xx e e x f 2121)(+=-10. 求微分方程2xy y y e -'''-+=的通解;解:20y y y '''-+=的通解为12()xy c c x e =+; 设原方程的一个特解*xy ce -=,代入原方程,得14c =;其通解为三、10分计算曲面积分2y dzdx zdxdy∑+⎰⎰,其中∑是球面2224(0)x y z z ++=≥的上侧;解:补上221:0 (4)z x y ∑=+≤下侧; 四、10分计算三重积分()x y z dxdydzΩ++⎰⎰⎰,其中Ω由22z x y =+与1z =围成的区域;解:五、10分求221z x y =++在1y x =-下的极值; 解:222(1)1222z x x x x =+-+=-+令420z x '=-=,得12x =;40z ''=>,12x =为极小值点;故221z x y =++在1y x =-下的极小值点为11(,)22,极小值为32;六、10分求有抛物面221z x y =--与平面0z =所围立体的表面积; 解:221 (0)z x y z =-->的面积为平面0z =部分的面积为π;故立体的表面积为π+;七、10分求幂级数113n nn x n -∞=∑的收敛区间与和函数;解:收敛区间为[3,3)-;设11()3n n n x s x n -∞==∑,1111(())()333n n n nn n x x xs x n x -∞∞==''===-∑∑;故⎪⎩⎪⎨⎧=≠--=0310)3ln(13ln )(x x x x x x s ;。
高等数学下册试题库一、选择题(每题4分,共20分)1. 已知A (1,0,2), B (1,2,1)是空间两点,向量 的模是:( A ) A )5 B ) 3 C ) 6 D )9解 AB ={1-1,2-0,1-2}={0,2,-1},||=5)1(20222=-++. 2. 设a ={1,-1,3}, b ={2,-1,2},求c =3a -2b 是:( B )A ){-1,1,5}.B ) {-1,-1,5}.C ) {1,-1,5}.D ){-1,-1,6}.解 (1) c =3a -2b =3{1,-1,3}-2{2,-1,2}={3-4,-3+2,9-4}={-1,-1,5}.3. 设a ={1,-1,3}, b ={2, 1, -2},求用标准基i , j , k 表示向量c=a-b ; ( A ) A )-i -2j +5k B )-i -j +3k C )-i -j +5k D )-2i -j +5k解c ={-1,-2,5}=-i -2j +5k .4. 求两平面032=--+z y x 和052=+++z y x 的夹角是:(C )A )2πB )4πC )3π D )π 解 由公式(6-21)有21112)1(211)1(1221cos 2222222121=++⋅-++⨯-+⨯+⨯=⋅⋅=n n n n α,因此,所求夹角321arccos πα==.5. 求平行于z 轴,且过点)1,0,1(1M 和)1,1,2(2-M 的平面方程.是:(D ) A )2x+3y=5=0 B )x-y+1=0 C )x+y+1=0 D )01=-+y x .解 由于平面平行于z 轴,因此可设这平面的方程为因为平面过1M 、2M 两点,所以有解得D B D A -=-=,,以此代入所设方程并约去)0(≠D D ,便得到所求的平面方程6.微分方程()043='-'+''y y y x y xy 的阶数是( D )。
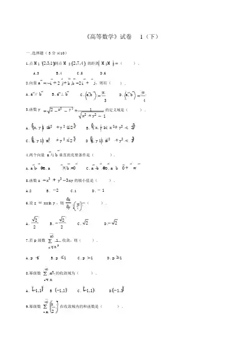
《高等数学》试卷1(下)一 .选择题( 3 分10)1.点M12,3,1到点 M 2 2,7,4的距离 M1M 2() .A.3B.4C.5D.62.向量a i 2 j k ,b2i j ,则有() .A. a∥bB. a⊥bC. a,b3D. a, b43.函数y2x2y 21的定义域是() .x2y21A.x, y 1 x2y 22B.x, y 1 x 2y22C. x, y 1 x2y 22 D x, y 1 x2y224.两个向量a与b垂直的充要条件是().A. a b 0B. a b 0C. a b 0D. a b 05.函数z x3y33xy的极小值是() .A.2B.2C.1D.16.设z xsin y ,则z=() . y 1,4A.2B.2C.2D.2 227.若p级数1收敛,则() .n 1 n pA. p 1B. p1C. p1D. p18.幂级数x n的收敛域为() .n 1 nA.1,1B1,1 C.1,1 D.1,1x n9.幂级数在收敛域内的和函数是() .n 021 B.2 C.2 D.1A.1212x x x x10.微分方程 xy y ln y0 的通解为().A.y ce xB. y e xC. y cxe xD. y e cx二 .填空题( 4 分5)1.一平面过点A 0,0,3且垂直于直线AB ,其中点B 2, 1,1,则此平面方程为______________________.2.函数z sin xy的全微分是 ______________________________.3.设z x3 y 23xy3xy 1 ,则 2 z_____________________________.x y1的麦克劳林级数是 ___________________________.4.2x5.微分方程y 4 y 4 y 0 的通解为_________________________________.三 .计算题( 5 分6)1.设z e u sin v ,而 u xy, v x y ,求z , z.x y2.已知隐函数z z x, y由方程 x 2 2 y2z24x2z 5 0 确定,求z ,z .x y3.计算sin x2y 2 d,其中 D:2x 2y242.D4.如图,求两个半径相等的直交圆柱面所围成的立体的体积(R 为半径).5.求微分方程y 3 y e2 x在 y x 00 条件下的特解.四 .应用题( 10 分2)1.要用铁板做一个体积为 2 m3的有盖长方体水箱,问长、宽、高各取怎样的尺寸时,才能使用料最省?1 2..曲线y f x 上任何一点的切线斜率等于自原点到该切点的连线斜率的2 倍,且曲线过点1,,3求此曲线方程.试卷 1 参考答案一 .选择题 CBCAD ACCBD 二 .填空题 1. 2xy 2 z 6 0.2. cos xy ydx xdy .3. 6x2y 9 y 2 1 .4.1 nxn.n 1n 025. y C 1 C 2 x e 2 x.三 .计算题1.z e xyy sin xycos x y ,z e xy x sin x y cos x y .xy2.z 2 x , z 2 y . xz 1 yz 122sind 6 2.3.d4. 16R 3 .35. y e 3 x e 2x .四 .应用题1.长、宽、高均为 3 2m 时,用料最省 .2. y1 x2 .3《高数》试卷 2(下)一 .选择题( 3 分 10)1.点 M 1 4,3,1 , M 2 7,1,2 的距离 M 1 M 2 ( ) .A. 12B. 13C. 14D. 152.设两平面方程分别为x 2y 2z 1 0和 x y 5 0 ,则两平面的夹角为().A. B. C.3D.6423.函数z arcsin x 2y 2的定义域为() .A.x, y 0 x 2y21B.x, y 0 x 2y21C. x, y 0 x2y 2D. x, y 0 x2y2224.点P1,2,1 到平面x 2 y2z50 的距离为().A.3B.4C.5D.65.函数z2xy3x2 2 y 2的极大值为() .A.0B.1C.11 D. 26.设z x23xy y 2,则z1,2() .xA.6B.7C.8D.97.若几何级数ar n是收敛的,则() .n 0A. r1B. r1C. r1D. r18.幂级数n 1 x n的收敛域为().n0A.1,1B.1,1C.1,1D.1,19.级数sin na是() .n 1n4A. 条件收敛B.绝对收敛C.发散D.不能确定10.微分方程xy y ln y0的通解为().A. y e cxB.y ce xC. y e xD. y cxe x二 .填空题( 4 分5)x3t1.直线l过点A 2,2, 1 且与直线y t平行,则直线 l的方程为 __________________________.z12t2.函数z e xy的全微分为___________________________.3.曲面z2x 2 4 y 2在点 2,1,4 处的切平面方程为_____________________________________.1的麦克劳林级数是 ______________________.4.1 x25.微分方程xdy 3 ydx0 在y x 11条件下的特解为 ______________________________.三 .计算题( 5 分6)1.设a i 2 j k , b 2 j 3k ,求 a b.2.设z u2 v uv2,而 u x cos y,v x sin y ,求z ,z .x y3.已知隐函数z z x, y由 x33xyz 2 确定,求z ,z .x y4.如图,求球面x 2y 2z24a 2与圆柱面 x 2y 22ax (a0 )所围的几何体的体积.5.求微分方程y3y 2y 0 的通解.四 .应用题( 10 分2)1.试用二重积分计算由yx , y 2 x 和x 4 所围图形的面积.2.如图,以初速度v0将质点铅直上抛,不计阻力,求质点的运动规律x x t .d 2 xg .(提示:当 t 0dt 2时,有 x x0,dxv0)dt试卷 2 参考答案一.选择题 CBABA CCDBA.二 .填空题x 2y 2 z11..1122.e xy ydx xdy .3. 8x8 y z 4 .4. 1 n x2n.n 05.y x3.三 .计算题1. 8i 3 j2k .2.z3x2sin ycos y cosy sin y ,z2x3sin ycosy sin y cosy x3sin3y cos3y.x yz yz z xz3.x xy z2,y xy z2.4.32 a32.3 2 35.y C1 e 2 x C2 e x.四 .应用题161..31 gt22. x v0t x0.2《高等数学》试卷3(下)一、选择题(本题共10 小题,每题 3 分,共 30 分)1、二阶行列式2-3的值为()45A 、10B、20C、 24D、222、设 a=i+2j-k,b=2j+3k,则 a 与 b 的向量积为()A 、i-j+2k B、8i-j+2k C、8i-3j+2k D、8i-3i+k3、点 P( -1、 -2、 1)到平面x+2y-2z-5=0 的距离为()A 、2B、 3C、 4D、 54、函数 z=xsiny 在点( 1,)处的两个偏导数分别为()4A 、 2 ,2,B、 2 ,2C、22225、设 x2+y 2+z2 =2Rx ,则z ,z分别为()x y 22 D 、2 2 , 2222A 、x R,y B 、x R ,y C、x R , y D、x R,y z z z z z z z z6、设圆心在原点,半径为R,面密度为x2y2的薄板的质量为()(面积 A=R 2)2B、2212A、R A2R A C、3R A D、R A27、级数(1)n x n)n的收敛半径为(n 1A 、2B、1C、 1D、 3 28、 cosx 的麦克劳林级数为()A 、( 1)nx 2nB、( 1)n x 2n C、( 1)n x 2 n D、( 1)nx2n 1 ( 2n)!(2n)!(2n)!( 2n 1)!n0n1n 0n 09、微分方程 (y``) 4+(y`) 5+y`+2=0 的阶数是()A 、一阶B 、二阶C、三阶D、四阶10、微分方程 y``+3y`+2y=0的特征根为()A 、-2, -1B、 2,1C、-2, 1 D 、 1,-2二、填空题(本题共 5 小题,每题 4 分,共 20 分)1、直线 L1: x=y=z 与直线 L :x1y3z的夹角为___________。
《高等数学》试卷1(下)(一)一.选择题(3分⨯10)1.点1M ()1,3,2到点()4,7,22M 的距离=21M M ( ).A.3B.4C.5D.62.向量j i b k j i a+=++-=2,2,则有( ).A.a ∥bB.a ⊥bC.3,π=b aD.4,π=b a3.函数1122222-++--=y x y x y 的定义域是( ).A.(){}21,22≤+≤y x y x B.(){}21,22<+<y x y xC.(){}21,22≤+<y xy x D (){}21,22<+≤y x y x4.两个向量a 与b垂直的充要条件是( ).A.0=⋅b aB.0 =⨯b aC.0 =-b aD.0 =+b a5.函数xy y x z 333-+=的极小值是( ). A.2 B.2- C.1 D.1- 6.设y x z sin =,则⎪⎭⎫ ⎝⎛∂∂4,1πyz =( ).A.22B.22-C.2D.2-7.若p 级数∑∞=11n p n 收敛,则( ). A.p 1< B.1≤p C.1>p D.1≥p8.幂级数∑∞=1n nnx 的收敛域为( ).A.[]1,1- B ()1,1- C.[)1,1- D.(]1,1-9.幂级数nn x ∑∞=⎪⎭⎫⎝⎛02在收敛域内的和函数是( ).A.x -11 B.x -22 C.x -12 D.x-21 10.微分方程0ln =-'y y y x 的通解为( ).A.xce y = B.xe y = C.xcxe y = D.cxe y =二.填空题(4分⨯5)1.一平面过点()3,0,0A 且垂直于直线AB ,其中点()1,1,2-B ,则此平面方程为______________________.2.函数()xy z sin =的全微分是______________________________.3.设13323+--=xy xy y x z ,则=∂∂∂yx z2_____________________________. 4.x+21的麦克劳林级数是___________________________. 三.计算题(5分⨯6)1.设v e z usin =,而y x v xy u +==,,求.,yz x z ∂∂∂∂ 2.已知隐函数()y x z z ,=由方程05242222=-+-+-z x z y x 确定,求.,yz x z ∂∂∂∂ 3.计算σd y x D⎰⎰+22sin ,其中22224:ππ≤+≤y x D . 4.求两个半径相等的直交圆柱面所围成的立体的体积(R 为半径).四.应用题(10分⨯2)1.要用铁板做一个体积为23m 的有盖长方体水箱,问长、宽、高各取怎样的尺寸时,才能使用料最省? .试卷1参考答案一.选择题 CBCAD ACCBD 二.填空题1.0622=+--z y x .2.()()xdy ydx xy +cos .3.19622--y y x .4.()n n n n x ∑∞=+-0121.5.()xex C C y 221-+= .三.计算题 1.()()[]y x y x y e xzxy +++=∂∂cos sin ,()()[]y x y x x e y z xy +++=∂∂cos sin . 2.12,12+=∂∂+-=∂∂z yy z z x x z . 3.⎰⎰=⋅πππρρρϕ202sin d d 26π-.4.3316R . 5.x xe ey 23-=.四.应用题1.长、宽、高均为m 32时,用料最省.2..312x y =《高数》试卷2(下)一.选择题(3分⨯10)1.点()1,3,41M ,()2,1,72M 的距离=21M M ( ). A.12 B.13 C.14 D.152.设两平面方程分别为0122=++-z y x 和05=++-y x ,则两平面的夹角为( ). A.6π B.4π C.3π D.2π 3.函数()22arcsin yx z +=的定义域为( ).A.(){}10,22≤+≤y x y xB.(){}10,22<+<y x y x C.()⎭⎬⎫⎩⎨⎧≤+≤20,22πy x y x D.()⎭⎬⎫⎩⎨⎧<+<20,22πy x y x 4.点()1,2,1--P 到平面0522=--+z y x 的距离为( ). A.3 B.4 C.5 D.6 5.函数22232y x xy z --=的极大值为( ). A.0 B.1 C.1- D.216.设223y xy x z ++=,则()=∂∂2,1xz ( ).A.6B.7C.8D.9 7.若几何级数∑∞=0n nar是收敛的,则( ).A.1≤rB.1≥rC.1<rD.1≤r8.幂级数()nn x n ∑∞=+01的收敛域为( ). A.[]1,1- B.[)1,1- C.(]1,1- D. ()1,1- 9.级数∑∞=14sin n n na是( ). A.条件收敛 B.绝对收敛 C.发散 D.不能确定二.填空题(4分⨯5)1.直线l 过点()1,2,2-A 且与直线⎪⎩⎪⎨⎧-==+=t z t y t x 213平行,则直线l 的方程为__________________________.2.函数xye z =的全微分为___________________________.3.曲面2242y x z -=在点()4,1,2处的切平面方程为_____________________________________.三.计算题(5分⨯6)1.设k j b k j i a32,2+=-+=,求.b a ⨯2.设22uv v u z -=,而y x v y x u sin ,cos ==,求.,y z x z ∂∂∂∂ 3.已知隐函数()y x z z ,=由233=+xyz x 确定,求.,yz x z ∂∂∂∂ 4.如图,求球面22224a z y x =++与圆柱面ax y x 222=+(0>a )所围的几何体的体积.四.应用题(10分⨯2) 1.试用二重积分计算由x y x y 2,==和4=x 所围图形的面积.试卷2参考答案一.选择题 CBABA CCDBA. 二.填空题 1.211212+=-=-z y x . 2.()xdy ydx exy+.3.488=--z y x .4.()∑∞=-021n n n x . 5.3x y =. 三.计算题1.k j i238+-.2.()()()y y x y y y y x yz y y y y x x z 3333223cos sin cos sin cos sin ,sin cos cos sin +++-=∂∂-=∂∂ . 3.22,z xy xz y z z xy yz x z +-=∂∂+-=∂∂. 4.⎪⎭⎫ ⎝⎛-3223323πa . 5.x xe C eC y --+=221.四.应用题 1.316. 2. 00221x t v gt x ++-=. 《高等数学》试卷3(下)一、选择题(本题共10小题,每题3分,共30分) 2、设a=i+2j-k,b=2j+3k ,则a 与b 的向量积为( ) A 、i-j+2k B 、8i-j+2k C 、8i-3j+2k D 、8i-3i+k 3、点P (-1、-2、1)到平面x+2y-2z-5=0的距离为( ) A 、2 B 、3 C 、4 D 、54、函数z=xsiny 在点(1,4π)处的两个偏导数分别为( ) A 、,22,22 B 、,2222- C 、22-22- D 、22-,22 5、设x2+y2+z2=2Rx ,则yzx z ∂∂∂∂,分别为( ) A 、z y z R x --, B 、z y z R x ---, C 、zyz R x ,-- D 、zyz R x ,- 6、设圆心在原点,半径为R ,面密度为22y x +=μ的薄板的质量为( )(面积A=2R π)A 、R2AB 、2R2AC 、3R2AD 、A R 221 7、级数∑∞=-1)1(n nnn x 的收敛半径为( )A 、2B 、21C 、1D 、3 8、cosx 的麦克劳林级数为( )A 、∑∞=-0)1(n n)!2(2n x n B 、∑∞=-1)1(n n )!2(2n x n C 、∑∞=-0)1(n n )!2(2n x n D 、∑∞=-0)1(n n)!12(12--n x n二、填空题(本题共5小题,每题4分,共20分) 1、直线L1:x=y=z 与直线L2:的夹角为z y x =-+=-1321___________。
高等数学同济第七版下册习题与答案完整版引言《高等数学同济第七版下册》是同济大学数学系编写的一本面向高等数学教育的教材。
本书作为高等数学的下册,涵盖了积分学、无穷级数、多元函数微分学等重要内容。
为了帮助学生更好地理解和学习这些知识点,本文档整理了该教材下册的所有习题及其答案,以供学生参考和练习。
目录•第一章积分学•第二章无穷级数•第三章多元函数微分学第一章积分学积分学是高等数学的重要分支,它研究函数的积分与定积分等相关概念和性质。
本章的习题主要围绕定积分、不定积分和定积分的应用展开。
习题11.计算定积分 $\\int_0^1 (3x^2 - 2x + 1) dx$。
答案:$\\frac{2}{3}$2.计算不定积分 $\\int (x^3 - 2x^2 + x - 1) dx$。
答案:$\\frac{1}{4}x^4 - \\frac{2}{3}x^3 + \\frac{1}{2}x^2 - x + C$习题21.计算定积分 $\\int_1^e \\frac{dx}{x}$。
答案:12.计算不定积分 $\\int \\frac{1}{x} dx$。
答案:$\\ln|x| + C$…第二章无穷级数无穷级数是数列求和的一种常见方法,它在数学和物理等领域中有广泛的应用。
本章的习题主要涉及级数的概念、级数的性质和级数的求和等内容。
习题11.判断级数$\\sum_{n=1}^{\\infty} \\frac{1}{n^2}$ 的敛散性。
答案:该级数收敛。
2.计算级数 $\\sum_{n=0}^{\\infty} \\frac{1}{2^n}$ 的和。
答案:该级数的和为2。
…习题21.判断级数$\\sum_{n=1}^{\\infty} \\frac{n!}{n^n}$ 的敛散性。
答案:该级数收敛。
2.计算级数 $\\sum_{n=1}^{\\infty} (-1)^{n+1} \\frac{1}{n}$ 的和。
高等数学下册试题及答案解析一、填空题(每小题3 分,共计 24 分)1、 z=log a ( x 2y 2) (a0)的定义域为 D=.ln( x 2 y 2 )dxdy2、二重积分 |x| | y| 1的符号为.3、由曲线y ln x及直线xy e 1, y1所围图形的面积用二重积分表示为,其值为.x (t ) (x ),y(t)4、设曲线 L 的参数方程表示为则弧长元素 ds.5、设曲面∑为 x2y29介于 z0 及 z3间的部分的外侧,则(x 2 y 2 1)ds.dyyy6、微分方程 dxtanx 的通解为.x7、方程 y(4 )4 y 0的通解为.18、级数 n 1 n( n1)的和为.二、选择题(每小题2 分,共计 16 分)1、二元函数zf ( x, y) 在 (x 0 , y 0 ) 处可微的充分条件是()(A ) f ( x, y) 在 ( x 0, y 0) 处连续;( B) f x( x, y), f y( x, y)在( x 0, y 0 )的某邻域内存在;zf x ( x 0 , y 0 ) x f y ( x 0 , y 0 ) y当( x)2( C )limz f x (x 0 , y 0 ) xf y ( x 0 , y 0 ) y 0x 0 ( x)2( y)2( D )y 0.u yf ( x)xf ( y),f2、设y x 其中 具有二阶连续导数,则( A )xy ; ( B ) x; (C) y;(D)0 .2 ( y)时,是无穷小;2u2ux2y2x y 等于(): x2y2z2IzdV3、设1, z0,则三重积分等于()2d 2d13sin cos dr(A )4r0 0;2dd12sin dr(B ) 0 r;22d1r 3sin cosdrd(C ) 0;2d1r 3sin cos drd(D ) 0.4、球面 x2y 2z 24a 2 与柱面 x 2y 22ax所围成的立体体积 V= ()42d2a cos4a2r 2dr( A );42 d2a cos 4a 2 r 2 drr ( B );82 d2 a cos 4a 2r2drr( C );2d2 a cos4a 2 r 2 drr( D )2.5、设有界闭区域 D 由分段光滑曲线 L 所围成, L 取正向,函数 P( x, y), Q (x, y) 在 D 上具有一阶连续偏导数,则Pdx Qdy( )L( P Q) dxdy(A ) Dyx ;( B ) ( P Q)dxdy(C ) Dxy ; (D )6、下列说法中错误的是()DDQ P()dxdyyx;(QP)dxdyxy.( A ) 方程xy2 y x 2 y 0是三阶微分方程;y dy x dyy sin x(B ) 方程 dxdx是一阶微分方程;( C ) 方程 ( x22xy 3 ) dx ( y 2 3x 2 y 2)dy 0 是全微分方程;dy 1 2y( D ) 方程 dx xx2 是伯努利方程 .7、已知曲线 y y( x)经过原点,且在原点处的切线与直线2xy 6平行,而y(x)满足微分方程y 2 y 5y,则曲线的方程为y ()( A ) e xsin 2x ;( B ) e x(sin 2xcos 2x) ;( C ) e x(cos 2 xsin 2 x) ;( D ) e xsin 2x .lim nu n 0, 则 n 1 u n8、设 n ( )( A )收敛; ( B )发散; ( C )不一定;( D )绝对收敛 .三、求解下列问题(共计 15 分)1、( 7 分)设f , g均为连续可微函数 .uu , uf ( x , xy ), vg ( xxy ) ,求 xy .u( x,t )x tu ,ux f (z)dzt四、求解下列问题(共计 15分).22y 2 dy1、计算Idx ex.( 7 分)I(x 2 y 2 )dV是由x2y22z, z 1及 z2所围成的空间闭区域( 8分).2、计算,其中Ixdy ydxL22五、 ( 13 分)计算 xy,其中 L 是xoy面上的任一条无重点且分段光滑不经过原点O (0,0)的封闭曲线的逆时针方向 .f ( x) f ( y)x, y, f ( x) 满足方程f (x y)六、 ( 9 分)设对任意 1 f ( x) f ( y) ,且 f (0) 存在,求 f ( x) .( 1)n ( x2) 2n1七、( 8 分)求级数 n 12n 1 的收敛区间 .高等数学(下册)试卷(二)一、填空题(每小题 3 分,共计 24 分)zz1、设 2sin( x2y 3z)x 2 y 3z ,则 xy.39 xylimxy x 02、y.I2 2 x f ( x, y)dydxxI3、设,交换积分次序后,.lim 1 3f ( x 2 y 2 )d4、设 f (u) 为可微函数,且f (0)tt.0, 则x 2 y 2 t 25、设 L 为取正向的圆周x 2y24,则曲线积分y( ye x1)dx (2 ye x x)dyL.6、设A( x2yz) i ( y2xz) j (z2xy) k,则 div A.7、通解为yc 1e xc 2e2 x的微分方程是.f ( x)1,x0 xa n8、设1, ,则它的 Fourier 展开式中的 .二、选择题(每小题 2 分,共计16分).f ( x, y)xy 2 , x 2 y 2 0x 2 y 41、设函数0,x 2y 2),则在点( 0, 0)处( ( A )连续且偏导数存在;( C )不连续但偏导数存在;2、设u(x, y)在平面有界区域2u2ux y及 x2则()( B )连续但偏导数不存在; (D )不连续且偏导数不存在 .D 上具有二阶连续偏导数,且满足2uy 2,( A )最大值点和最小值点必定都在 D 的内部;( B )最大值点和最小值点必定都在 D 的边界上; ( C )最大值点在 D 的内部,最小值点在 D 的边界上; ( D )最小值点在 D 的内部,最大值点在 D 的边界上 .D : ( x 2) 2 ( y 1) 21,若 I 1( x y) 2 dI 2( x y)3 d3、设平面区域D,D则有( )(A )I 1I2; (B ) I 1 I 2 ;(C ) I 1I 2 ; (D )不能比较 .是由曲面zxy, y x, x 1及 z所围成的空间区域,则xy 2 z 3 dxdydz4、设=()1111(A )361; (B )362; (C )363; (D )364.x (t)5、设f ( x, y)在曲线弧 L 上有定义且连续, L 的参数方程为y(t) (t),其中(t ), (t ) 在 [ ,]上具有一阶连续导数,且2(t )2(t ), 则曲线积分f ( x, y)dsL()f ( (t), (t))dt(B)f ( (t ), (t))2(t )2(t) dt(A);; (C)f ( (t ), (t ))2(t ) 2(t )dt; (D)f ( (t ), (t ))dt.6、设是取外侧的单位球面 x 2 y 2 z 21, 则曲面积分xdydz ydzdx zdxdy=()(A)0 ; (B)2; (C); (D)4.7、下列方程中,设y 1, y2是它的解,可以推知(A) y p(x) y q( x) 0 ;(B)y(C) yp(x) y q( x) y f (x) ; (D)a ny 1y2 也是它的解的方程是( )p(x) y q(x) y 0 ;yp( x) y q(x) 0 .8、设级数 n 1 为一交错级数,则( ) (A) 该级数必收敛; (B) 该级数必发散;(C) 该级数可能收敛也可能发散;(D) 若a n0 ( n0),则必收敛.三、求解下列问题(共计 15 分)1、( 8 分)求函数uln( xy2z 2 )在点 A ( 0, 1,0)沿 A 指向点 B ( 3, -2, 2)的方向的方向导数 .2、( 7 分)求函数f ( x, y)x 2 y(4 x y) 在由直线 x y6, y 0, x 0 所围成的闭区域D 上的最大值和最小值 .四、求解下列问题(共计15 分)dvI31、( 7 分)计算(1 x y z),其中是由x0, y 0, z 0 及 xy z 1所围成的立体域 .2、( 8 分)设f (x)为连续函数,定义 F (t )[ z 2f ( x 2 y 2 )]dv,( x, y, z) | 0 z h, x2y2t2dF其中,求dt.五、求解下列问题( 15 分) 1、( 8 分)求I(e x sin y my)dx (e x cos y m)dy,其中 L 是从 A ( a , 0)经yax x2L到O (0, 0)的弧 .Ix 2 dydz y 2 dzdx z 2 dxdy是 x2y2z 2 (0 z a) 的外侧 .2、( 7 分)计算,其中六、( 15 分)设函数( x)具有连续的二阶导数,并使曲线积分[ 3 (x) 2(x) xe 2x ] ydx( x)dyL与路径无关,求函数( x).高等数学(下册)试卷(三)一、填空题(每小题3 分,共计 24 分)uyz t2dtue1、设xz, 则z.2、函数 f (x, y)xy sin( x 2y) 在点( 0, 0)处沿 l(1,2) 的方向导数f (0,0)l=.x2y 2, zIf ( x, y, z) dv3、设为曲面z1 0所围成的立体,如果将三重积分化为先对 z再对 y最后对 x三次积分,则 I=.lim1f (x, y)d22224、设f ( x, y)为连续函数,则It 0 tD,其中D : xyt .( x 2y 2 )dsL : x 2y 2a25、 L,其中.6、设是一空间有界区域,其边界曲面是由有限块分片光滑的曲面所组成,如果函数P(x, y, z) , Q ( x, y, z) , R(x, y, z) 在上具有一阶连续偏导数,则三重积分与第二型曲面积分之间有关系式:, 该关系式称为 公式 .7、微分方程y6 y 9 yx26x9 的特解可设为 y *.( 1) n 18、若级数 n 1np发散,则 p.二、选择题(每小题 2 分,共计 16 分)f ( x a, b)f (a x, b)lim1、设 f x (a, b) 存在,则 x 0x=( )1(A ) f x(a,b);( B ) 0;( C ) 2 f x(a,b);( D )2f x(a,b).2、设zx y 2 ,结论正确的是()2z2z2z 2z( A )x yy x; ( B )x yy x;2 z2 z( C )x yy x; ( D )3、若f ( x, y)为关于 x的奇函数,积分域2z2zx y y x.D 关于 y轴对称,对称部分记为D 1, D2 ,f ( x, y)在D 上连f ( x, y)d续,则D()f (x, y) df ( x, y)df ( x, y)d(A )0;( B )2 D 1;( C )4 D 1; (D)2 D 2.: x2y2z2R 2 ,则( x 2 y 2 )dxdydz4、设=( )8 R 54 R5 8 R516 R 5(A )3; (B )3; (C ) 15 ; (D ) 15 .5、设在xoy面内有一分布着质量的曲线L ,在点( x, y)处的线密度为( x, y) ,则曲线弧 L 的重心的 x坐标 x为()1 x ( x, y)ds1x ( x, y)dx(A) x =M; (B ) x =MLL;x ( x, y)ds1xds( C ) x= L;( D ) x =ML, 其中 M 为曲线弧 L的质量 .6、设为柱面 x2y 21和 x0, y 0, z1在第一卦限所围成部分的外侧,则曲面积分y 2 zdxdy xzdydz x 2 ydxdz=( )5( A ) 0; (B ) 4; (C )24; (D ) 4.7、方程y2 yf ( x)的特解可设为( )( A ) A ,若 f ( x) 1; ( B ) Ae x,若f (x)e x ; ( C ) Ax4Bx3Cx 2DxE ,若 f ( x) x 22x ;( D ) x( Asin 5x B cos5x) ,若 f (x)sin 5x .f (x)1,x 010 x,则它的 Fourier 展开式中的a n等于(8、设)2 [1 ( 1) n ]14( A )n; ( B )0; ( C ) n ; ( D ) n.y f (x, t),t确定的 x, y的函数,其中f , F具有一阶连续偏三、 (12分)设为由方程 F (x, y, t) 0 dydx .导数,求四、 (8分)在椭圆x 24y 24上求一点,使其到直线2x 3y 6 0的距离最短 .五、 (8分)求圆柱面x 2 y 22y被锥面zx 2y 2和平面z 0 割下部分的面积A .Ixyzdxdy为球面 x2y 2 z 2 1 的 x 0, y部分六、(12分)计算,其中的外侧 .df (cos x) 1 sin 2 x七、 ( 10 分)设d (cos x),求 f (x) .八、( 10 分)将函数f ( x) ln(1 xx 2x 3 )展开成x 的幂级数 .高等数学(下册)试卷(四)一、填空题(每小题 3 分,共计 24 分)1、由方程xyzx2y2z22所确定的隐函数z z(x, y)在点( 1, 0,-1)处的全微分dz.2、椭球面 x22 y23z26在点( 1,1, 1 )处的切平面方程是.x 2, yI(1 x 2 )dxdy3、设 D 是由曲线 yx2所围成,则二重积分D.4、设是由 x2y24, z 0, z4所围成的立体域,则三重积分I( x 2y 2 )dv=.5、设是曲面zx 2 y 2 介于z 0, z 1之间的部分,则曲面积分I(x 2y 2 )ds.x 2 dsx2y 2z 2a 26、 xy z 0.7、已知曲线 yy( x) 上点 M(0,4) 处的切线垂直于直线 x 2 y 5 0 ,且 y( x)满足微分方程 y 2yy,则此曲线的方程是 .8、设f (x)是周期 T= 2的函数,则f ( x)的 Fourier 系数为.二、选择题(每小题 2 分,共计 16 分)zarcsinyxy1、函数x的定义域是( )( A ) (x, y) | x y , x 0 ; (B ) ( x, y) | x y , x 0 ;( C )(x, y) | xy 0, x 0(x, y) | x y0, x 0 ;( D ) (x, y) | x 0, y 0( x, y) | x 0, y 0 .2、已知曲面 z4 x 2y 2 在点 P 处的切平面平行于平面2x 2 y z 1 0,则点 P 的坐标是( )( A )( 1,-1, 2); ( B )( -1, 1, 2);( C )( 1, 1,2); (D )( -1, -1, 2) .3、若积分域 D 是由曲线yx 2 及y2 x 2f (x, y)d所围成,则 D=()12 x21x2(A ) 1dx x21yf ( x, y)dy( B ) 1dx 2 x 2 ;2 x 21f (x, y)dy;( C )dy2 yf ( x, y) dx;( D ) x 2dy1 f ( x, y)dx .4、设1: x2y 2z 2R 2, z 0;2: x2 y2z 2R 2, x 0, y 0, z 0,则有()( A )xdv 4 xdv( B )ydv4ydv12;12;( C )xyzdv4 xyzdv( D )zdv4zdv12;12.5、设 为由曲面zx2y 2及平面 z 1所围成的立体的表面,则曲面积分( x2y 2 )ds =( )122( A )2; (B ) 2; (C )2; (D )0 .6、设是球面 x2y 2z 2a 2 表面外侧,则曲面积分x 3 dydz y 3 dzdx z 3 dxdy=( )12a 312a 54 a 5(A )5;(B )5;(C )5; (D )k7、一曲线过点 (e,1),且在此曲线上任一点 M ( x, y) 的法线斜率()12a 55.x ln x xy ln x ,则此曲线方程为yx x ln(ln x)yx x ln xee( A );(B );yx ln(ln x)( C )yex x ln(ln x) ;e( D ).( n 1) x n8、幂级数 n 1的收敛区间为()( A )( -1, 1); (B )(,); ( C )( -1, 1); ( D ) [-1 , 1].uyf ( x) xg( y)三、(10分)已知函数yx ,其中f , g具有二阶连续导数,求2u 2 ux yx 2x y的值 .四、(10分)证明:曲面xyzc 3 (c0)上任意点处的切平面与三坐标面所围成立体的体积为一定值 .五、(14分)求抛物面z 4 x 2y 2 的切平面,使得与该抛物面间并介于柱面( x 1)2y21内部的部分的体积为最小 .I(e x sin y y)dx (e x cos y x)dy2六、(10分)计算 L,其中L为y4 x由A(2,0)至B(-2,0)的那一弧段.y2 y y 2 七、(8分)求解微分方程1 =0 .x n八、(8分)求幂级数n 1n的和函数S( x).高等数学(下册)试卷(五)一、填空题(每小题 3 分,共计 24 分)1、设zf (x, y) 是由方程 zy x xez y x所确定的二元函数,则dz.x 2 y 2z 2 3x 02、曲线2x 3y 5z 4 0在点(1,1,1)处的切线方程是 .是由 x2y2z21,则三重积分e z dv3、设=.a y4、设f ( x)为连续函数,a, m是常数且 a 0 ,将二次积分dye m(a x)f ( x)dx化为定积分为.Pdx Qdy与积分路径L( AB)无关的充要条件为5、曲线积分 L(AB).6、设 为 za 2 x 2 y 2 ,则 ( x 2 y 2z 2 ) ds.7、方程y3y e 2 x 的通解为.a nb n(a n b n ).8、设级数 n 1 收敛, n 1 发散,则级数 n 1必是二、选择题(每小题 2 分,共计 16 分)x 2 y ,(x, y) (0,0)f ( x, y)x 2 y 21、设0,( x, y)(0,0),在点(0,0)处,下列结论()成立 .(A)有极限,且极限不为 0;(B)不连续; (C)f x(0,0)f y (0,0) 0 ;(D)可微 .2、设函数(A)2f2zf ( x, y) 有 y 2,且 f ( x,0) 1, f y( x,0) x,则 f ( x, y) =()1 xy y 2; (B)1xy y 2; (C) 1 x 2yy2 ;(D)1x 2 y y 2 .3、设D: 1 x2y 24, f在 D 上连续,则f ( x 2 y 2 ) dD在极坐标系中等于()22rf (r )dr2 22)dr1rf (r(A);(B)1;2 [2r 2f (r )dr1r 2f ( r )dr ]2 [2rf (r 2 )dr1rf (r 2 )dr ](C); (D).4、设是由x0, y 0, z 0 及 x 2y z1所围成,则三重积分xf ( x, y, z)dv ( )1 1 yx 2 ydx12 dz(A)111 x2 yxf ( x, y, z)dy;dxdyxf ( x, y, z)dz(B);11 x1 x2 ydx2dyxf ( x, y, z)dz(C);11 dy1dx xf (x, y, z)dz(D) 0.5、设是由x0, y 0, z 0, x 1y1, z 1所围立体表面的外侧,则曲面积分xdydz ydzdxzdxdy ( )(A) 0;(B) 1; (C) 3;(D) 2.6、以下四结论正确的是()(x2 y2 z2 ) dv 4 a 5 (A)x2 y 2 z2 a23 ;x2 y 2 z2 ds 4 a 4 ;(B) x2 y2 z2 a2( x2 y2 z2 )dxdy 4 a 4 (C)x2 y 2 z2 a2外侧;(D)以上三结论均错误 .7、设g ( x)具有一阶连续导数,g(0)1.并设曲线积分yg ( x) tan xdx g( x)dyL与积分路径( , )g( x) dy ( )4 4 yg( x) tan xdx无关,则(0,0 )2 2 2 2(A) 2 ;(B) 2 ;(C)8 ;(D)8 .( 1) n 18、级数n 1 2n 1 的和等于()(A) 2/3;(B) 1/3;(C) 1;(D) 3/2.三、求解下列问题(共计15分)u u u1、(8分)设ux yz ,, 求x y z .u f ( x,y)(7分)设y z,f具有连续偏导数,求du.四、求解下列问题(共计15分)I af (x) bf ( y) d2 y 2 R 21、(8分)计算D f (x) f ( y),其中D : x .I ( x y z 1) dv(7分)计算,其中 : x2 y 2 z2 R 2 .五、(15分)确定常数,使得在右半平面x0 上,2 xy( x 4 y 2 ) dx x 2 ( x 4y 2 ) dyu( x, y) .L与积分路径无关,并求其一个原函数1 xf ( x)x)3六、 (8分)将函数(1 展开为 x的幂级数 .七、 (7分)求解方程y6y9y.高等数学(下册)试卷(六)一、单选题(共 15 分,每小题 3 分)1.设函数 f ( x, y) 在 P( x 0 , y 0 )的两个偏导 f x ( x 0 , y 0 ) , f y( x 0, y 0)都存在,则( )A .f ( x, y)在 P 连续B .f (x, y)在 P 可微lim f ( x, y 0 ) lim f ( x 0 , y) C . x x 0及 y y 02.若zy ln x ,则dz等于( y ln x ln y y ln x ln yA. x yC . y ln x ln ydxy ln x ln y dyxlim f ( x, y)都存在D . ( x, y ) ( x 0 , y 0 ) 存在).B.y ln xln yxy ln x ln yy ln x ln xD.dxdyxy是圆柱面 x2y 22x 及平面 z 0, z1所围成的区域,则f (x, y, z) dxdydz (3.设).A.2d2 cos1f (r cos , r sin , z)dzB.2d2cos rdr 1f (r cos , r sin , z)dz0 dr0 02d2 cos12cos x rdr1C.rdrf (r cos , r sin , z)dzD . df (r cos , r sin , z)dz2a n (x 1)n1 处收敛,则此级数在 x2 处( 4. 4.若 n 1 在 x).A . 条件收敛B . 绝对收敛C . 发散D . 敛散性不能确定x y z 25.曲线 z x 2y 2在点( 1,1, 2)处的一个切线方向向量为( ) .A. ( -1, 3, 4)B. ( 3, -1, 4)C. ( -1, 0, 3)D. ( 3, 0,-1)二、填空题(共 15 分,每小题 3 分)edxln xIf ( x, y)dyI2.交 换 1的积分次序后, _____________________ .z23.设u2xy,则 u 在点M ( 2, 1,1)处的梯度为.e xx nn! ,则 xe x4. 已知 n 0. 5. 函数zx 3y 3 3x 2 3y 2 的极小值点是.三、解答题(共 54 分,每小题 6--7 分)z y arctanyzzy .1.(本小题满分 6 分)设x , 求 x,2.(本小题满分 6 分)求椭球面2x 23y2z29 的平行于平面 2x 3y 2z 1的切平面方程,并求切点处的法线方程r1 r 3 r3. (本小题满分 7 分)求函数z x 2y 2 在点 (1,2) 处沿向量l 2i2 j方向的方向导数 .1f ( x)3的幂级数,并求收敛域 .4. (本小题满分 7 分)将x展开成x5.(本小题满分 7 分)求由方程2x 2 2y 2 z 2 8yz z 8 0 所确定的隐函数 z z(x, y)的极值 .(x 2y 2 )d , D 由曲线 x1 y2 , y1, y 16.(本小题满分 7 分)计算二重积分 D及 x2 围成 .xy 2 dy x 2 ydx22 2Lxa向) .xydxdydz是由柱面 x2y21 及平面 z 1, x 0, y所围成8. (本小题满分 7 分)计算 ,其中且在第一卦限内的区域 ..四、综合题(共 16 分,每小题 8 分)u n ,v n(u n v n )21.(本小题满分 8 分)设级数 n 1n 1都收敛,证明级数 n 1收敛 .f2xf ( x, y) 在 R 2内具有一阶连续偏导数,且x2.(本小题满分 8 分)设函数,证明曲线积分2xydx f ( x, y)dyt 恒有L与路径无关.若对任意的( t ,1)f ( x, y) dy(1, t )f ( x, y)dy2xydx2xydx(0,0)(0,0),求f ( x, y)的表达式.高等数学(下册)试卷(一)参考答案一、 1、当 0 a 1时,x 2y 21;当a 1 时, x 2 y 2 1 ;1 e 1 yddye ydx;3222、负号;3、 D24、(t )(t )dt ;y;Cxsin5、 180 ;6、 x;7、yC 1 cos 2x C 2 sin 2x C 3 e 2 x C 4 e2 x ;8、 1;二、 1、 D ; 2、 D ; 3、C ; 4、B ; 5、D ; 6、 B ; 7、 A ; 8、C ;uf 1 yf 2uxg (xxy )三、 1、xy;;uf (x t)f (x t )uf (xt) f (x t )2、xt;;22e y2dy 2 y y 2dx2y2dy 1 (1 e 4)dxdyeye2四、1、 0x; 柱面坐标22 23dz 22 dr 23dz 14I0 ddrrd 2 1 2 r1r32、2;五、令Py ,QxPy 2 x 2Qx 2y 2 x 2y 2 则 y ( x 2y 2 )2x , ( x, y) (0,0) ;P , Q于是①当 L 所围成的区域 D 中不含 O ( 0, 0)时,yx在 D 内连续 .所以由 Green 公式得:P , QI=0 ;②当 L 所围成的区域 D 中含 O ( 0,0)时, yx在 D 内除 O ( 0,0)外都连续,此时作曲线l为 x2y22( 01),逆时针方向,并假设D * 为 L 及 l 所围成区域,则ILl l L l Green 公式 (QP) dxdy 2lD *xy x 2 y 22六、由所给条件易得:f (0)2 f (0) f (0)1f 2( 0)f (x)lim f ( xx) f ( x) 又x 0xlim1 f2 ( x)f ( x)f ( x) f (x)x x 01f ( x) f (0)即1f 2 ( x)arctan f ( x) f ( 0) xc 即 又 f (0) 0 即 c k , k Zf (x) f ( x)f ( x)lim 1 f ( x) f ( x)= x 0 xf ( 0)f (0)[1 f 2 ( x)]f ( x) tan[ f (0) x c] f ( x) tan( f (0)x)( 1) nt 2n1七、令x 2 t,考虑级数n 12n 1t 2 n3lim 2n 3 t 2t 2 n 1n2n 1当 t 21即t1时,亦即 1x3时所给级数绝对收敛;当t 1即 x3 或 x 1 时,原级数发散;当t1即 x1时,级数n( 1) n 11 12n 1 收敛;(1) n 11收敛;当 t 1 即 x 3 时,级数 n 12n级数的半径为 R=1,收敛区间为 [1, 3].高等数学(下册)试卷(二)参考答案2y42dyf ( x, y)dxdy一、 1、 1; 2、-1/6 ; 3、y / 22 y / 2f ( x, y)dx2 f (0);4、3;5、 8; 6、2(x y z); 7、yy2 y;8、 0;二、 1、C ; 2、B ; 3、A ; 4、D ; 5、C ; 6、 D ; 7、B ; 8、C ;三、 1、函数uln( xux AxuAyxuz Ax而 l ABuul Axy 2 z 2 )在点 A ( 1,0, 1)处可微,且1 (1,0,1)y 2z 21/ 2;1y (1,0 ,1)y 2z 2y 2z 2;1z(1,0 ,1)1/ 2y 2z 2 y 2z 2l 2 2 1(2, 2,1), ( ,, ),故在 A 点沿 l AB方向导数为:所以33 3uA cosuAcosAcos + y+ z1 2 0 ( 2 1 1 1/ 2.2 3 ) 2 33 f x 2xy(4 x y) xy( 1) 0f y x 2 (4 x 2 y)得 D 内的驻点为M 0 (2,1),且 f (2,1)4,2、由又 f (0, y) 0, f (x,0) 0而当xy 6, x 0, y0 时, f ( x, y) 2x 312 x 2(0 x 6)令(2 x 312x 2 ) 0 得 x 10, x 2 4于是相应y 16, y 2 且 f (0,6) 0, f (4,2)64.17/180 x 1: 0y x 1四、 1、的联立不等式组为0 z 1 x ydz11 x1 x yIdxdy 0(1x yz)3所以11 1 x [112dxxy) 2]dy0 0(1 41 1 13 x )dx 1ln 252(4 216x 12、在柱面坐标系中2t ht21 32[hf ( r ) rr ] drF (t )ddr [ z 2f ( r 2)] rdzh3所以dF 2 [hf (t 2)t 1h 3t ] 2 ht[ f (t 2 ) 1 h 2 ]dt3 3五、 1、连接 OA ,由 Green 公式得:。
《高等数学》(下)习题参考答案第七章 空间解析几何与矢量代数习题一、 1.(,,),(,,),(,,)x y z x y z x y z ------; 2.k j i 573--;3.2y z +=或210x y z +-=; 4.圆, 圆柱面; 5.2340x y z --+=. 二、 1. 2. 3. 4. 5.B C B A C三、1.u =11232.cos cos cos 22343πππαβγαβγ=-=====;3.4-;4.32550x y z +-+=;5.3πθ=; 6.P r j βα=;7.2OABS ∆= 2228.9x y z ++=; 222289.0x x y z ⎧-+=⎨=⎩; 10.⎪⎭⎫ ⎝⎛--8343,8356,83273; 11.0x y z -+=. 第八章 多元函数微分学习题一 一、 1、yyx +-112; 2、},0,0|),{(2y x y x y x ≥≥≥; 3、1,2; 4、⎪⎪⎭⎫ ⎝⎛++++xy xy xy xy x 1)1ln()1(,12)1(-+x xy x ; 5、22812y x -,22812x y -,xy 16-. 二、1. 2. 3. 4. 5.D D B B A三、 111ln ln ln z z z z y y z y z uuuy x x y z x x y x y xyz--∂∂∂===∂∂∂、 2、)ln (1z x y z y x x u x z y +=∂∂-,)ln (1z x y z y x yux z y +=∂∂-,)ln (1y z x z y x z u x z y +=∂∂-2222222222222222223z xy z xy x x y y x y z y x x y x y ∂∂==-∂+∂+∂-=∂∂+、()()()4、xdz yx xdy zx dx yzx du yz yz yz ln ln 1++=-5、dy dx 3231+习题二 一、1、)()(y x f xy y x yf +'++,)()()()(y x f xy y x f y x y x f +''++'+++;2、2242232f y x f y x ''+'; 3、dy f f dx f f ⎪⎪⎭⎫ ⎝⎛+''-''-12121; 4、y x y x -+; 5、x y z z z -ln ln ,yyz xy z ln 2-二、1、C ;2、A ;3、C ;4、B ;5、C 三、 1、321f yz f y f x u '+'+'=∂∂,32f xz f x yu '+'=∂∂,3f xy z u '=∂∂ 3、212f x f y x z '+'=∂∂,22122211124)(2f xy f y x f xy f yx z''-''-+''+'=∂∂∂ 6、)()(1)](1)[(v g u f v g u f x z ''+'+'=∂∂,)()(1)](1)[(v g u f v g u f y z ''+'+'-=∂∂ 7、2222111133332sin cos 2cos x y x y x y zf x f x e f x f e e f x+++∂''''''''=-⋅+⋅+⋅+⋅+∂; 332232313122sin cos sin cos f e f y e f e f x e y x f y x zy x y x y x y x ''+''⋅-'+''⋅+''-=∂∂∂++++ 8、2222222222222222222221213394133u u u u u u u x x u u u u u u u y y u u u u x y ζηζζηηζηζζηηζζηη∂∂∂∂∂∂∂=+=++∂∂∂∂∂∂∂∂∂∂∂∂∂∂∂=--=++∂∂∂∂∂∂∂∂∂∂∂∂=---∂∂∂∂∂∂ 习题三 一、12121281610148x y z x y z ---==-+-=-2、042=-+y x ,2112zy x =-=-3.1+4.326i j k --5.(3,2)大 36二、1. 2. 3. 4. 5.B D A C C 三、(1,2)2zl∂=∂、13(,1)2-、极小值2e-2433p p 、22222222221212121251122022020x y zx y z x y z z x y x y z F x y z x y z z x y x y z F x x F y y F z x λλλλλλλλ=++=+++==+++--+++-=-+=⎧⎪=-+=⎨⎪=++=⎩2、设椭圆上点为(x,y,z),则原点到椭圆上这点的距离平方为d ,其中,,满足和令(,,)()()==11求解方程,最长距离为d d 6、在点)1,1(-处有极小值:-2;极大值:6.第九章 重积分 习题一一、1.()2aba b + 2、⎰⎰e ey dx y x f dy ),(10;3、)1(214--e ;4、1210cos sin (cos ,sin )d f d πθθθρθρθρρ+⎰⎰;5、⎰⎰-+--2211111),(x x dy y x f dx二、1. 2. 3. 4. 5.C A B D C三、1.[36,100]ππ; 62.55; 3.49; 4.e e 2183-; 5.2643π;6.38; 7.π6; 8.)0(32f 'π. 习题二 一、1、⎰⎰⎰+----111112222),,(y x x xdz z y x f dy dx ; 2、π32; 3、θϕϕd drd r dv sin 2=;4、⎰⎰⎰adr r f r d d 0224020)(sin ππϕϕθ; 5、dxdy y z x z dS 221⎪⎪⎭⎫⎝⎛∂∂+⎪⎭⎫ ⎝⎛∂∂+= 二、1. B ;2.B ;3.D ;4.C ;5.B三、1.)852(ln 21-; 2.481; 3.467a π; 4.6π; 5.)22(162-π; 3232001()6.()2[()],lim (0)33t t F t F t r h h f r dr h hf t πππ+→=+=+⎰; 27.2()a a π-.第十章 习题一 一、填空题 1、23202(2sin 2cos 2)sin 2ta t t t t dt π--+⎰; 2、2; 3、34/3;4、⎰; 5、π2二、选择题1、(B);2、(A);3、(C );4、(A );5、(A );6、(C )三、计算题1、242-⎪⎭⎫ ⎝⎛+a e a π; 2、9四(略)五1、π2-;2、1/2 六、⎰++Lds xxQP 2412七、⎰Γ++++ds yx yRxQ P 2294132习题二一、选择题 1、(B ); 2、(D ); 3、(B ); 4、(D ); 5、(C ) 二、8 三、1、42R π-;2、241π;3、281a m π四、3cos 42cos 9+ 五、y x y x u 2),(=六、283a π七、八(略) 习题三一、填空题1、π8;2、321; 3、π8-; 4、dS R Q P ⎰⎰∑++53223; 5、22a π 二、选择题1、(D );2、(B );3、(C );4、(C ) 三、计算题 1、427-; 2、π221+ 四、 1、π23; 2、81五、552a π六、π32第十一章 习题一 一、判断题1、√;2、×;3、√;4、×;5、√;6、× 二、填空题1、0;2、1>p 且.const p =;3、1>p ,10≤<p ,0≤p ;4、 ,2,1,1=≥+n u u n n 且0lim =∞→n n u三、选择题 1、(C ); 2、(A ); 3、(C ); 4、(A ); 5、(C ) 四(略) 五、1、发散;2、收敛 六、1、发散;2、收敛 七、1、发散;2、收敛八、当b a >时,收敛;当b a <时,发散;当b a =时,可能收敛,也可能发散. 九、1、收敛;2、收敛 十(略) 习题二一、判断题1、×;2、√;3、√;4、×;5、√ 二、填空题1、⎪⎭⎫⎢⎣⎡-21,21; 2、)5,1[-; 3、)1,1[-,)1ln(x --; 4、22,2)1(1)1(2ln 011≤<-⋅+-+∑∞=++x x n n n n n; 5、26,)4(3121011-<<-+⎪⎭⎫ ⎝⎛-∑∞=++x x n nn n三、选择题1、(D );2、(B );3、(B );4、(C );5、(C ) 四、1、)3,3[-;2、)3,1[;3、]1,1[- 五、 1、)1,1(,)1(1)(2-∈-=x x x s ;2、)1,1(,arctan 21)]1ln()1[ln(41)(-∈+--+=x x x x x s六、2(1)(),(1,1](1)n nn f x x x x n n ∞=-=+∈--∑七、)1,1(,)1(2131)(01-∈⎪⎭⎫⎝⎛-+=∑∞=+x x x f nn n n八、)1,1(,)1ln(arctan 21222-∈+-++x x x x xx 第十二章 习题一 一、判断题1、×;2、√;3、√;4、×;5、× 二、填空题1、2)(ln 21)(x x f =;2、x cxe y -=;3、x y 2=;4、x x x y 91ln 31-=;5、yP x Q ∂∂=∂∂ 三、1、C y x =⋅tan tan ;2、C e e y x =-⋅+)1()1( 四、22sec )1(=⋅+y e x 五、s cm /3.269 六、1、Cx y x =-332;2、223x y y -= 七、)ln 41(x x y -= 八、 1、)(sin C x ey x+=-; 2、322Cy y x +=; 3、)cos 1(1x y --=ππ 九、⎪⎪⎭⎫ ⎝⎛-+=-t m ke k m k t k k v 2122121 十、xx x f 3132)(+=十一、)1,1[,)1ln()(1-∈--=∑∞=x x e x f x n n习题二一、选择题 1、(C ); 2、(B ); 3、(D ); 4、(C ); 5、(B ); 6、(A ); 7、(D ) 二、填空题1、3221)3(C x C x C e x y x +++-=;2、22121C x x e C y x +--=; 3、)1ln(1+-=ax ay三、1、x x e C e C y 221-+=;2、x C x C y sin cos 21+=;3、x C x C e C e C y x x sin cos 4321+++=-;4、4x x y e e -=- 四、⎪⎭⎫ ⎝⎛-+=+-++-tk k tk k k eek k v x 1221222424122014五、)sin (cos 21)(x e x x x ++=ϕ 六、u u f ln )(= 七、1)(21)(++=-x xe e x s。
高等数学(下)答案1、如果平面a和平面β有公共点A,则这两个平面就相交()[单选题] *A、经过点A的一个平面B、经过点A的一个平面(正确答案)C、点AD、无法确定2、设函数在闭区间[0,1]上连续,在开区间(0,1)上可导,且(x)>0 则()[单选题] *A、f(0)<0B、f(0)<1C、f(1)>f(0)D、f(1)<f(0)(正确答案)3、9.已知关于x,y的二元一次方程组的解满足x+y=8,则k的值为( ) [单选题] *A.4B.5C.-6D.-8(正确答案)4、5. 下列对一元二次方程x2+x﹣3=0根的情况的判断,正确的是()[单选题] *A.有两个不相等实数根(正确答案)B.有且只有一个实数根C.有两个相等实数根D.没有实数根5、21.已知集合A={x|-2m},B={x|m+1≤x≤2m-1}≠?,若A∩B=B,则实数m的取值范围为___. [单选题] *A 2≤x≤3(正确答案)B 2<x≤3C 2≤x<3D 2<x<36、下列说法有几种是正确的()(1)空间三点确定一个平面(2)一条直线和直线外一点确定一个平面(3)两条直线确定一个平面(4)两条平行直线确定一个平面[单选题] *A、1B、2(正确答案)C、3D、47、f(x)=-2x+5在x=1处的函数值为()[单选题] *A、-3B、-4C、5D、3(正确答案)8、23.将x-y-6=0改写成用含x的式子表示y的形式为()[单选题] *A. x=y+6B. y=x-6(正确答案)C. x=6-yD. y=6=x9、-120°用弧度制表示为()[单选题] *-2π/3(正确答案)2π/3-π/3-2π/510、300°是第()象限角?[单选题] *第一象限第二象限第三象限第四象限(正确答案)11、15.已知命题p:“?x∈R,ex-x-1≤0”,则?p为()[单选题] * A.?x∈R,ex-x-1≥0B.?x∈R,ex-x-1>0C.?x∈R,ex-x-1>0(正确答案)D.?x∈R,ex-x-1≥012、下面哪个式子的计算结果是9﹣x2() [单选题] *A. (3﹣x)(3+x)(正确答案)B. (x﹣3)(x+3)C. (3﹣x)2D. (3+x)213、要使多项式不含的一次项,则与的关系是()[单选题] *A. 相等(正确答案)B. 互为相反数C. 互为倒数D. 乘积为114、25.从五边形的一个顶点出发,可以画出m条对角线,它们将五边形分成n个三角形.则m、n的值分别为()[单选题] *A.1,2B.2,3(正确答案)C.3,4D.4,415、45.下列运算正确的是()[单选题] *A.(5﹣m)(5+m)=m2﹣25B.(1﹣3m)(1+3m)=1﹣3m2C.(﹣4﹣3n)(﹣4+3n)=﹣9n2+16(正确答案)D.(2ab﹣n)(2ab+n)=4ab2﹣n216、24、在▲ABC中中, ∠A=∠C=55°, 形内一点使∠PAC=∠PCA, 则∠ABP为()[单选题] *A. 30°B. 35°(正确答案)C. 40°D. 45°17、4.小亮用天平称得牛奶和玻璃杯的总质量为0.3546㎏,用四舍五入法将0.3546精确到0.01的近似值为()[单选题] *A.0.35(正确答案)B.0.36C.0.354D.0.35518、21.在﹣5,﹣2,0,这四个数中最小的数是()[单选题] * A.﹣5(正确答案)B.﹣2C.0D.19、若m·23=2?,则m等于[单选题] *A. 2B. 4C. 6D. 8(正确答案)20、19.下列函数在(0,+?? )上为增函数的是(). [单选题] *A.?(x)=-xB.?(x)=-1/X(正确答案)C.?(x)=-x2D.?(x)=1/X21、k·360°-30°(k是整数)所表示的角是第()象限角。
一.选择题(3分⨯10)1.点1M ()1,3,2到点()4,7,22M 的距离=21M M ( ).A.3B.4C.5D.62.向量j i b k j i a+=++-=2,2.则有( ).A.a ∥bB.a ⊥bC.3,π=b aD.4,π=b a3.函数1122222-++--=y x y x y 的定义域是( ).A.(){}21,22≤+≤y x y x B.(){}21,22<+<y x y xC.(){}21,22≤+<y xy x D (){}21,22<+≤y x y x4.两个向量a 与b垂直的充要条件是( ).A.0=⋅b aB.0 =⨯b aC.0 =-b aD.0 =+b a5.函数xy y x z 333-+=的极小值是( ). A.2 B.2- C.1 D.1- 6.设y x z sin =.则⎪⎭⎫ ⎝⎛∂∂4,1πyz =( ).A.22 B.22- C.2 D.2- 7.若p 级数∑∞=11n pn收敛.则( ). A.p 1< B.1≤p C.1>p D.1≥p8.幂级数∑∞=1n nn x 的收敛域为( ).A.[]1,1- B ()1,1- C.[)1,1- D.(]1,1-9.幂级数nn x ∑∞=⎪⎭⎫⎝⎛02在收敛域内的和函数是( ).A.x -11 B.x -22 C.x -12 D.x-2110.微分方程0ln =-'y y y x 的通解为( ).A.xce y = B.xe y = C.xcxe y = D.cxe y =二.填空题(4分⨯5)1.一平面过点()3,0,0A 且垂直于直线AB .其中点()1,1,2-B .则此平面方程为______________________.2.函数()xy z sin =的全微分是______________________________.3.设13323+--=xy xy y x z .则=∂∂∂yx z2_____________________________. 4.x+21的麦克劳林级数是___________________________. 5.微分方程044=+'+''y y y 的通解为_________________________________. 三.计算题(5分⨯6)1.设v e z usin =.而y x v xy u +==,.求.,yz x z ∂∂∂∂ 2.已知隐函数()y x z z ,=由方程05242222=-+-+-z x z y x 确定.求.,yz x z ∂∂∂∂ 3.计算σd y x D⎰⎰+22sin .其中22224:ππ≤+≤y x D . 4.如图.求两个半径相等的直交圆柱面所围成的立体的体积(R 为半径).5.求微分方程xey y 23=-'在00==x y条件下的特解.四.应用题(10分⨯2)1.要用铁板做一个体积为23m 的有盖长方体水箱.问长、宽、高各取怎样的尺寸时.才能使用料最省?2..曲线()x f y =上任何一点的切线斜率等于自原点到该切点的连线斜率的2倍.且曲线过点⎪⎭⎫ ⎝⎛31,1.求此曲线方程试卷1参考答案一.选择题 CBCAD ACCBD 二.填空题1.0622=+--z y x .2.()()xdy ydx xy +cos .3.19622--y y x .4.()n n n n x ∑∞=+-0121.5.()xe x C C y 221-+= .三.计算题 1.()()[]y x y x y e xzxy +++=∂∂cos sin .()()[]y x y x x e y z xy +++=∂∂cos sin . 2.12,12+=∂∂+-=∂∂z yy z z x x z . 3.⎰⎰=⋅πππρρρϕ202sin d d 26π-.4.3316R . 5.x xe ey 23-=.四.应用题1.长、宽、高均为m 32时.用料最省.2..312x y =《高数》试卷2(下)一.选择题(3分⨯10)1.点()1,3,41M .()2,1,72M 的距离=21M M ( ). A.12 B.13 C.14 D.152.设两平面方程分别为0122=++-z y x 和05=++-y x .则两平面的夹角为( ). A.6π B.4π C.3π D.2π 3.函数()22arcsin yx z +=的定义域为( ).A.(){}10,22≤+≤y x y x B.(){}10,22<+<y x y x C.()⎭⎬⎫⎩⎨⎧≤+≤20,22πy x y x D.()⎭⎬⎫⎩⎨⎧<+<20,22πy x y x 4.点()1,2,1--P 到平面0522=--+z y x 的距离为( ). A.3 B.4 C.5 D.6 5.函数22232y x xy z --=的极大值为( ). A.0 B.1 C.1- D.21 6.设223y xy x z ++=.则()=∂∂2,1xz ( ).A.6B.7C.8D.9 7.若几何级数∑∞=0n nar是收敛的.则( ).A.1≤rB. 1≥rC.1<rD.1≤r8.幂级数()nn xn ∑∞=+01的收敛域为( ).A.[]1,1-B.[)1,1-C.(]1,1-D. ()1,1-9.级数∑∞=14sin n n na是( ). A.条件收敛 B.绝对收敛 C.发散 D.不能确定二.填空题(4分⨯5)1.直线l 过点()1,2,2-A 且与直线⎪⎩⎪⎨⎧-==+=t z t y t x 213平行.则直线l 的方程为__________________________.2.函数xye z =的全微分为___________________________.3.曲面2242y x z -=在点()4,1,2处的切平面方程为_____________________________________.4.211x+的麦克劳林级数是______________________. 三.计算题(5分⨯6)1.设k j b k j i a32,2+=-+=.求.b a ⨯2.设22uv v u z -=.而y x v y x u sin ,cos ==.求.,y z x z ∂∂∂∂ 3.已知隐函数()y x z z ,=由233=+xyz x 确定.求.,yz x z ∂∂∂∂ 4.如图.求球面22224a z y x =++与圆柱面ax y x 222=+(0>a )所围的几何体的体积.四.应用题(10分⨯2) 1.试用二重积分计算由x y x y 2,==和4=x 所围图形的面积.试卷2参考答案一.选择题 CBABA CCDBA. 二.填空题 1.211212+=-=-z y x . 2.()xdy ydx exy+.3.488=--z y x .4.()∑∞=-021n n nx .5.3x y =. 三.计算题1.k j i238+-.2.()()()y y x y y y y x yz y y y y x x z 3333223cos sin cos sin cos sin ,sin cos cos sin +++-=∂∂-=∂∂ . 3.22,z xy xz y z z xy yz x z +-=∂∂+-=∂∂. 4.⎪⎭⎫ ⎝⎛-3223323πa . 四.应用题 1.316.《高等数学》试卷3(下)一、选择题(本题共10小题.每题3分.共30分) 1、二阶行列式 2 -3 的值为( )4 5A 、10B 、20C 、24D 、222、设a=i+2j-k,b=2j+3k.则a 与b 的向量积为( ) A 、i-j+2k B 、8i-j+2k C 、8i-3j+2k D 、8i-3i+k3、点P (-1、-2、1)到平面x+2y-2z-5=0的距离为( ) A 、2 B 、3 C 、4 D 、54、函数z=xsiny 在点(1.4π)处的两个偏导数分别为( )A 、,22 ,22 B 、,2222- C 、22- 22- D 、22- ,22 5、设x 2+y 2+z 2=2Rx.则yzx z ∂∂∂∂,分别为( ) A 、z y z R x --, B 、z y z R x ---, C 、zyz R x ,-- D 、zyz R x ,- 6、设圆心在原点.半径为R.面密度为22y x +=μ的薄板的质量为( )(面积A=2R π)A 、R 2AB 、2R 2AC 、3R 2A D 、A R 221 7、级数∑∞=-1)1(n nnn x 的收敛半径为( )A 、2B 、21C 、1D 、3 8、cosx 的麦克劳林级数为( )A 、∑∞=-0)1(n n)!2(2n x n B 、∑∞=-1)1(n n )!2(2n x n C 、∑∞=-0)1(n n )!2(2n x n D 、∑∞=-0)1(n n)!12(12--n x n9、微分方程(y``)4+(y`)5+y`+2=0的阶数是( ) A 、一阶 B 、二阶 C 、三阶 D 、四阶 10、微分方程y``+3y`+2y=0的特征根为( ) A 、-2.-1 B 、2.1 C 、-2.1 D 、1.-2 二、填空题(本题共5小题.每题4分.共20分) 1、直线L 1:x=y=z 与直线L 2:的夹角为z y x =-+=-1321___________。
高等数学下册试卷及答案高等数学(下册)考试试卷(一)一、填空题(每小题3分,共计24分)1、z=loga(x+y)的定义域为D={(x,y)|x+y>0}。
2、二重积分∬|x|+|y|≤1 2ln(x+y)dxdy的符号为负。
3、由曲线y=lnx及直线x+y=e+1,y=1所围图形的面积用二重积分表示为∬(e+1-x)dx dy,其值为e-1.4、设曲线L的参数方程表示为{x=φ(t)。
y=ψ(t)} (α≤t≤β),则弧长元素ds=√[φ'(t)²+ψ'(t)²]dt。
5、设曲面∑为x+y=9介于z=0及z=3间的部分的外侧,则∫∫∑(x²+y²+1)ds=18√2.6、微分方程y'=x/(y²+1)的通解为y=1/2ln(y²+1)+1/2x²+C。
7、方程y''-4y=tanx的通解为y=C1e^(2x)+C2e^(-2x)-1/2cosxsinx。
8、级数∑n=1∞1/(n(n+1))的和为1.二、选择题(每小题2分,共计16分)1、二元函数z=f(x,y)在(x,y)处可微的充分条件是(B)f_x'(x,y),f_y'(x,y)在(x,y)的某邻域内存在。
2、设u=yf(x)+xf(y),其中f具有二阶连续导数,则x²+y²等于(A)x+y。
3、设Ω:x+y+z≤1.z≥0,则三重积分I=∭ΩzdV等于(D)∫0^1∫0^(1-z)∫0^(1-x-y)zdxdydz。
4、球面x²+y²+z²=16a²与柱面x²+y²=2ax所围成的立体体积V=(C)8∫0^π/2∫0^(2acosθ)∫0^√(16a²-r²)rdzdrdθ。
注:原文章中第一题的符号“>”应该是“≥”,已进行更正。
高等数学(同济第七版下)课后习题及解答高等数学(同济第七版下)课后习题及解答一、函数与极限1. 已知函数 f(x) = x^2 + 3x - 2, 求以下极限:(1) lim(x→2) f(x)(2) lim(x→-1) f(x)解答:(1) 当x → 2 时,f(x) = x^2 + 3x - 2 = 2^2 + 3(2) - 2 = 12所以,lim(x→2) f(x) = 12(2) 当x → -1 时,f(x) = (-1)^2 + 3(-1) - 2 = -2所以,lim(x→-1) f(x) = -22. 求以下极限:(1) lim(x→0) (sin3x)/(sin4x)(2) lim(x→∞) (x^2 - 2x)/(x - 1)解答:(1) 利用极限的性质,lim(x→0) (sin3x)/(sin4x)= lim(x→0) (3x)/(4x) = 3/4(2) 利用极限的性质,lim(x→∞) (x^2 - 2x)/(x - 1)= lim(x→∞) x(x - 2)/(x - 1) = ∞二、导数与微分1. 求以下函数的导数:(1) y = x^3 + 2x^2 - 3x + 1(2) y = sin(2x) + cos(3x)(3) y = e^x/(1 + e^x)解答:(1) y' = 3x^2 + 4x - 3(2) y' = 2cos(2x) - 3sin(3x)(3) 利用商链规则和指数函数的导数性质,y' = e^x/(1 + e^x) - e^x*e^x/(1 + e^x)^2= e^x/(1 + e^x) - (e^x)^2/(1 + e^x)^2= e^x(1 - e^x)/(1 + e^x)^22. 求以下函数的微分:(1) y = 3x^2 + 4x - 2(2) y = sin(3x) + cos(2x)(3) y = ln(x) + e^x解答:(1) dy = (6x + 4)dx(2) dy = 3cos(3x)dx - 2sin(2x)dx(3) 利用对数函数和指数函数的微分性质,dy = (1/x)dx + e^xdx三、定积分与不定积分1. 求以下定积分:(1) ∫[0,1] (x^2 + 2x)dx(2) ∫[π/4,π/2] sinx dx解答:(1) ∫[0,1] (x^2 + 2x)dx = (1/3)x^3 + x^2 |[0,1]= (1/3)(1)^3 + (1)^2 - (1/3)(0)^3 - (0)^2= 4/3(2) 利用不定积分的基本公式,∫ sinx dx = -cosx∫[π/4,π/2] sinx dx = [-cosx] |[π/4,π/2] = -cos(π/2) - (-cos(π/4)) = -1 + √2/2 = √2/2 - 12. 求以下不定积分:(1) ∫(x^2 + 2x)dx(2) ∫sinx dx解答:(1) ∫(x^2 + 2x)dx = (1/3)x^3 + x^2 + C(2) ∫sinx dx = -cosx + C四、级数1. 判断以下级数的敛散性:(1) ∑(n=1,∞) (1/n)(2) ∑(n=1,∞) (1/2)^n解答:(1) 这是调和级数,已知调和级数∑(n=1,∞) (1/n) 发散。
《高等数学》试卷1(下)一.选择题(3分10)1.点M12,3,1到点M22,7,4的距离M1M2().A.3B.4C.5D.62.向量ai2jk,b2ij,则有().A.a∥bB.a⊥bC. a,bD.3 a,b43.函数122y2xy的定义域是().22xy12y2y22A.x,y1x2B.x,y1x22y2y22C.x,y1x2Dx,y1x24.两个向量a与b垂直的充要条件是().A.ab0B.ab0C.ab0D.ab0335.函数zxy3xy 的极小值是().A.2B.2C.1D.16.设zxsiny,则zy 1, 4=().A.22B.22C.2D.27.若p级数n1 1 pn收敛,则().A.p1B.p1C.p1D.p18.幂级数n1nxn的收敛域为().A.1,1B1,1C.1,1D.1,19.幂级数nx02n在收敛域内的和函数是().1221A.B.C.D.1x2x1x2x 10.微分方程xyylny0的通解为().A. xyceB.xyeC.xycxeD. ycxe二.填空题(4分5)1.一平面过点A0,0,3且垂直于直线AB,其中点B2,1,1,则此平面方程为______________________.2.函数zsinxy的全微分是______________________________.3yxy3xy2 3.设zx31,则2zxy_____________________________.1的麦克劳林级数是___________________________.4.2x三.计算题(5分6)zzu sin,而uxy,vxy,求,.1.设zevxyzz2yzxz222.已知隐函数zzx,y由方程x24250确定,求,.xy22 3.计算sinxyd,其中24222 D:xy.D4.求两个半径相等的直交圆柱面所围成的立体的体积(R为半径).四.应用题(10分2)1.要用铁板做一个体积为23m的有盖长方体水箱,问长、宽、高各取怎样的尺寸时,才能使用料最省?.试卷1参考答案一.选择题CBCADACCBD二.填空题1.2xy2z60.2.cosxyydxxdy.2yy23.6x91.4.n0n1n12nx.11.y2x CCxe1.2三.计算题zxyzxy4.eysinxycosxy,exsinxycosxy.xy5.zx2zx1,zy2zy1.6.22dsind26.7.1633R.8.y3xe2ex.四.应用题5.长、宽、高均为m32时,用料最省.126.yx.3《高数》试卷2(下)一.选择题(3分10)2.点M14,3,1,M27,1,2的距离M1M2().A.12B.13C.14D.153.设两平面方程分别为x2y2z10和xy50,则两平面的夹角为().A.B.C.D.64324.函数22zarcsinxy的定义域为().2y2y22A.x,y0x1B.x,y0x1C. 2y2x,y0xD.2 x,y0x 2y225.点P1,2,1到平面x2y2z50的距离为().A.3B.4C.5D.66.函数222z2xy3xy的极大值为().A.0B.1C.1D. 1 212.设z 23xyy2zx,则1,2x().A.6B.7C.8D.913.若几何级数nar是收敛的,则(). n0A.r1B.r1C.r1D.r114.幂级数nn1x的收敛域为().n0A.1,1B.1,1C.1,1D.1,115.级数sinnn1n a4 是().A.条件收敛B.绝对收敛C.发散D.不能确定二.填空题(4分5)x3t9.直线l过点A2,2,1且与直线yt 平行,则直线l的方程为__________________________.z12t10.函数xyze的全微分为___________________________.11.曲面242z2xy在点2,1,4处的切平面方程为_____________________________________.三.计算题(5分6)7.设ai2jk,b2j3k,求ab.8.设zz 2zu,而uxcosy,vxsiny,求,.2vuvxyzz3xyz9.已知隐函数zzx,y由x32确定,求,.xy10.如图,求球面2y2z24a22 2x与圆柱面xy2ax(a0)所围的几何体的体积.四.应用题(10分2)16.试用二重积分计算由yx ,y2x 和x4所围图形的面积.试卷2参考答案一.选择题CBABACCDBA. 二.填空题 12.x 2y2z 112 1 . xy13.eydxxdy.14.8x8y z4.15.1n0nx 2n. 16.3 yx. 三.计算题11.8i3j2k.z 2z 333312.3xsinycosycosysiny,2xsinycosysinycosyxsinycosy .xy zyzzxz 13.2,2xxyzyxyz. 14. 3232 a.323 15. 2xxCeyCe21.四.应用题17. 16 3.12xgtvtx.2.002《高等数学》试卷3(下)一、选择题(本题共10小题,每题3分,共30分) 2、设a=i+2j-k,b=2j+3k ,则a 与b 的向量积为() A 、i-j+2k B 、8i-j+2k C 、8i-3j+2k D 、8i-3i+k3、点P (-1、-2、1)到平面x+2y-2z-5=0的距离为() A 、2B 、3C 、4D 、54、函数z=xsiny 在点(1,)处的两个偏导数分别为() 42A 、,22 2,2 B 、,22 2C 、2 22 2D 、2 22 2, 5、设x 2+y 2+z 2=2Rx ,则2+y 2+z 2=2Rx ,则z x z,分别为()yA 、x R z yx ,B 、 z z R yxRy ,C 、,D 、 zzzx z R , y z 6、设圆心在原点,半径为R ,面密度为2y 2 x 的薄板的质量为()(面积A= 2 R )1A 、R2AB 、2R 2AC 、3R 2AD 、RA22n xn7、级数(1)的收敛半径为()nn1A 、2B 、1 2C 、1D 、38、cosx 的麦克劳林级数为()A 、 ( n0 n 1) ( 2n x 2n)!B 、 (1) n1n 2n x (2n)! C 、 n 0 ( 1) n 2n x (2n)!D 、 n 0 ( 1) n ( 2n x 2n 1 1)!二、填空题(本题共5小题,每题4分,共20分)___________。
高等数学
一、填空 、选择题(每题3分,共30分)
1.曲面z xy =上点(1,2,2)处的法线方程为 . 2.已知D 是由直线1,1x y x y +=-=及0x =所围,则D
yd σ=⎰⎰ .
3.若曲线L 是2
2
1x y +=在第一象限的部分,则L
xds =⎰
.
4.设(,)ln()2y
f x y x x
=+
,则(1,0)xx f = . 5.若级数
1
(2)n
n u
∞
=+∑收敛,则lim n n u →∞
= .
6.函数3
2
2
(,)42f x y x x xy y =-+-,下列说法正确的是( ). (A)点(2,2)是(,)f x y 的极小值点; (B) 点(0,0)是(,)f x y 的极大值点; (C) 点(2,2)不是(,)f x y 的驻点; (D)(0,0)f 不是(,)f x y 的极值. 7.函数2
2
(,)f x y x y =+在点(1,1)处沿着那个方向的方向导数最大?( ) (A) (1,1); (B) (2,2); (C) (0,1); (D) (1,0). 8.曲线L 为沿2
24x y +=顺时针一周,则
1
2
L xdy ydx -=⎰Ñ( ). (A)2π- (B) 4π; (C) 4π-; (D)0. 9.
累次积分1
(,)y
dy f x y dx ⎰
改变积分次序后等于( ).
(A) 2
1
0(,)x x dx f x y dy ⎰
⎰ ; (B)
21
(,)x
x
dx f x y dy ⎰
⎰;
(C)
1
(,)x
dx f x y dy ⎰ ;
(D)
21
(,)x dx f x y dy ⎰.
10. 下列各级数中条件收敛的是( )
(A)
1
1
(1)
n n ∞
+=-∑; (B) 1
2
11
(1)n n n ∞
+=-∑; (C)
1
1
(1)
1
n n n
n ∞
+=-+∑; (D) 1
1
1
(1)(1)
n n n n ∞
+=-+∑;
二解答题(6*4)
1.设函数22
ln()y x
z x y e =++,求(1,0)
dz
.
2.设sin ,,2u
z e v u xy v x y ===-,求
,z z x y
∂∂∂∂.
3.
设()xy
z f e y =,求
,z z x y
∂∂∂∂. 4. 设方程sin y z
e
x z e +-=所确定的隐函数),(y x z z =求
(0,1)(0,1)
,
z z x
y
∂∂∂∂.
三 计算题(5*5) 1.
求(2D
dxdy -⎰⎰,其中D 4:22≤+y x . 2.求
⎰⎰⎰Ω
zdv ,其中Ω是曲面2
2z x
y =+及平面1z =所围成的闭区域.
3.
求
∑
,其中∑为曲面2
2y x z +=在10≤≤z 之间的部分.
4. 计算曲面积分
⎰⎰
∑
zdxdy ,其中∑为曲面2
2y x z +=在10≤≤z 之间部分的下侧。
5.求
()()L
x y dx x y dy +--⎰Ñ,其中L 为沿2
22x
y +=顺时针方向一周.
四解答题(5+5+6) 1.判别级数
1
1
(1)3
n n n n
∞
-=-∑是否收敛?如果收敛,是绝对收敛还是条件收敛? 2. 求幂级数
1
1
n n nx
∞
-=∑的收敛区间及和函数)(x s ,并求12
n
n n
∞
=∑
3. 将函数1
()f x x
=展成(x -2)的幂级数 五证明题(5)
设函数()f x 连续,证明: 21
1()()()()1
b
x
b n n a
a
a dx x y f y dy
b x f x dx n ---=
--⎰
⎰⎰ 参考答案
一 1.
122
211
x y z ---==
-. 2.0.[因为积分区域D 关于x 轴对称,被积函数y 是关于y 的奇函数] 3.1. 4.1
4
-. 5.-2. 6.B 7.选(A)或(B)都对. 8. (C)[利用格林公式,注意此题中
的方向是顺时针] 9. (B); 10. (A)
二 1. 因为22222221(),)y y
x x
z x y z y e e x x y x y x y x ∂∂=+-=+∂+∂+,则(1,0)
(1,0)
2,
1z z
x
y
∂∂==∂∂,所
以(1,0)
dz
2dx dy =+.
2. 由sin ,,2u
z e v u xy v x y ===-,得sin(2)xy
z e x y =-.于是
sin(2)cos(2),xy xy z
ye x y e x y x
∂=-+-∂. sin(2)2cos(2)xy xy z
xe x y e x y y
∂=---∂.
3.
xy z z u z v z ye x u x v x u ∂∂∂∂∂∂=+=∂∂∂∂∂∂
xy z z u z v z z xe y y u y v y u v
∂∂∂∂∂∂∂=+=∂∂∂∂∂∂∂. 4. 方程化为sin 0y z
e
x z e +--=,则(,,)sin y x F x y z e x z e +=--,
sin x F z =-,y z y F e +=,cos y z z F e x z +=-.且当0,1x y ==时,0z =所以
(0,1)
(0,1)
(0,1)
(0,1)
0,
1y x z
z
F F z z x
F y
F ∂∂=-
==-
=-∂∂.
三 1. 用极坐标计算
3
22
2
200
8(2(2)2()3
3
D
dxdy d d πρπ
θρρρπρ=-=-
=
⎰⎰⎰⎰. 2.用柱坐标计算
⎰⎰⎰Ω
zdv 2421
1
1
001223
d d zdz d π
ρρπ
θρρπρρ-===⎰⎰⎰⎰.
3.这是第一类曲面积分,先求
dS ===,
再明确∑在xOy 面上的投影区域2
2
:1xy D x y +≤.下面计算
∑
xy
D ==
⎰⎰3
21
1
3
3
d d π
ρθρρρ==
⎰
⎰. 4. 这是第二类曲面积分,先求明确∑在xOy 面上的投影区域2
2
:1xy D x y +≤.且∑取下侧,下面计算
zdxdy ∑
⎰⎰xy
D =-=⎰⎰3
21
10
00223
3
d d πρπθρρρπ
-=-=-
⎰⎰. 5.利用格林公式,注意方向是顺时针.
,P x y Q x y =+=-+;
1,1P Q y x
∂∂==-∂∂.
()()L
x y dx x y dy +--⎰Ñ(
)24xy
xy
D D Q P
dxdy dxdy x y π∂∂=--==∂∂⎰⎰⎰⎰. 四 1.先判别是否绝对收敛.
因为由比值法 11
1
113lim lim lim 1333n n n n n n
n n u n n u n +→∞→∞→∞-++===<,所以113n n n ∞-=∑收敛.
所以
1
1
(1)3
n n n n
∞
-=-∑绝对收敛. 2.
1
1
201
11
1
()()()1(1)x
n n n n n n x nx
nx dx x x x ∞
∞
∞
--==='''====--∑∑∑⎰,(-1,1). (注:其中收敛域为(-1,1))111
()22
22n n n S ∞
===∑
3. 1111
()2(2)2212
f x x x x =
==
--++.下面用到公式: 21
1(1),(11)1n n x x x x x
=-+-+-+-<<+L L 于是221112(2)22()[1(1)(),(11)2222222
12
n n
x x x x f x x ----=
=-+-+-+-<<-+L L 即收敛域为04x <<. 五证明 交换积分次序
22()()()()b
x b b
n n a
a
a
y
dx x y f y dy dy x y f y dx ---=-⎰
⎰⎰⎰
1
11
111()()()()()()111
b b b n b n n y
a
a a x y f y dy
b y f y dy b x f x dx n n n ---=
-=
-=----⎰⎰⎰。