2018年硕士拟录取名单公示(3)增补
- 格式:docx
- 大小:16.95 KB
- 文档页数:1
新疆大学2018年攻读硕士学位研究生拟录取名单公示(递补考生)我校2018年硕士研究生拟录取名单已于2018年4月26日公示,公示期间,因考生玛丽达·马合木提江的户口所在地不在国务
院公布的民族区域自治地方且在规定时间内未完成户口迁移事项,不符合享受少数民族照顾政策,本人放弃录取。
现递补考生张文
祯,信息公示如下,公示期2018年5月7日—5月18日,如对以下结果有异议请尽快反映,联系电话:0991—8581939(纪检委),0991-*******(研招办)。
最终录取名单以新疆教育考试院及教育部审定为准。
新疆大学研招办
2018年5月7日。
【完整版】2018年武汉大学硕士研究生考试拟录取名单2018年武汉大学统考硕士生拟录取名单于今日公布,以下是我们整理收集的完整版拟录取名单,考生在文章底部下载解压后打开。
考生可以通过拟录取名单的的成绩来确定复试目标,复试及录取名单,可以在“院系信息”栏目里找到,通过“复试及录取名单”可以进一步了解厦大复试竞争情况。
研究生录取通知书将于2018年6月20日之后陆续发出,请各位研究生新生注意查收,并做好入学前的各项准备。
有关事项通告如下,如果考生有其他疑问,可以联系东湖武大考研网右侧的咨询老师。
一、领取《录取通知书》的条件1、符合我校招生简章中规定的各项要求;2、进入拟录取名单已公示无异议,思想政治素质和品德考核、体检合格,完成录取手续;3、定向就业研究生须提供定向单位、考生及招生单位三方共同签订的定向协议书。
二、温馨提示1、2018级研究生拟录取结果已在武汉大学信息公开网、我校各研究生培养单位官网公示,请各位考生切勿轻信其他渠道信息,谨防招生诈骗。
2、新生报到期间,必须持《录取通知书》方能办理报到、注册或保留入学资格等手续。
3、请各位新生按学校有关要求和规定的期限到校办理入学手续。
报到时学校将对新生入学资格进行初步审查,审查合格的办理入学手续,予以注册学籍;如审查发现新生的录取通知、考生信息等证明材料与本人实际情况不符,或者有其他违反国家招生考试规定情形的,取消入学资格。
4、《2018级研究生新生入学注意事项》同时发布,请新生关注,同时关注我校各相关部门、各研究生培养单位官网有关信息。
5、我校专门设立“研究生优秀新生奖学金”,用于奖励来自高水平大学、全国重点大学或高水平学科,且学习成绩在生源学校本专业排名居前列的研究生新生(含直博生、推荐免试研究生及统考考生)。
符合评选条件的2018级非定向硕士研究生和直博生,可于入学后至9月30日前向所在培养单位提出申请。
具体条件及奖励标准可参见《2018级研究生新生入学注意事项》,或入学后详见各培养单位有关评选通知。
哲学系2018年硕士招生拟录取公示名单序号考生编号考生姓名拟录取专业初试成绩复试成绩总成绩备注1100018000230009韦世博马克思主义哲学388.0083.36全日制2100018000230004刘玉瑶马克思主义哲学380.0081.60全日制3100018000230186杨胜寓中国哲学407.0087.88全日制4100018000230064王若瑾外国哲学404.0086.16全日制5100018000230364程子超外国哲学372.0081.28全日制6100018000230282许运鸿外国哲学366.0078.96全日制7100018000230399李奕丞外国哲学367.0078.20全日制8100018000230393魏来逻辑学361.0078.36全日制9100018000230250王一廷逻辑学397.0077.56全日制10100018000230084秦云飞逻辑学357.0072.12全日制11100018000230372张义立伦理学385.0077.00全日制12100018000230101聂元竹美学383.0081.00全日制13100018000230122刘兰亭宗教学401.0084.52全日制14100018000230138赵宁宗教学384.0079.28全日制15100018000230128汪航宗教学355.0076.60全日制16100018000230146祁梦媛科学技术哲学402.0083.31全日制17100018000230144刘宏彦科学技术哲学392.0080.84全日制18100018000230143杜少凯科学技术哲学387.0079.64全日制19100018000230363左宁宇科学技术哲学373.0076.83全日制20100018000230331余珂科学技术哲学364.0072.61全日制21100018000230153李宸科学技术史374.0077.28全日制22100018000230152陈敬星科学技术史378.0076.89全日制23100018000237002赵洛仪伦理学85.0085.00全日制,港澳台24100018000236001农德正中国哲学93.0093.00全日制,留学生25100018000236004崔善宗教学79.0079.00全日制,留学生。
一、第一批次拟录取(一)法学。
第一批次复试合格40人,按照计划拟全部录取。
(二)公安学。
第一批次复试合格142人,按照计划拟录取122人(93男29女)。
(三)公安技术。
第一批次复试合格59人,按照计划拟录取49人(37男12女)。
(四)法律。
第一批次复试合格考生27人,按照计划拟全部录取。
(五)警务。
第一批次复试合格考生124人,按照计划拟录取120人。
(六)安全工程。
第一批次复试合格考生2人,按照计划拟全部录取。
(七)少数民族骨干计划。
复试合格考生49人,按照计划及少干分省计划,拟录取考生42人。
(八)大学生退役士兵计划。
复试合格考生5人,按照计划拟全部录取。
(九)双少生。
复试合格考生13人,按照计划拟全部录取为非全日制学习方式。
二、学科内调剂录取(一)公安学一级学科空余名额13人(8男5女)。
拟从学科内调剂复试合格考生(含第一批次复试合格考生20人和学科内调剂考生16人)中按照缺额等额调剂录取考生13人(8男5女)。
调剂复试将于4月20日下午14时在木樨地校区研究生院(五栋平房518)进行。
考研一对一辅导(二)根据法学院要求,法学一级学科将对各研究方向招生名额进行分配。
拟从原报考“刑法学”、“诉讼法学”研究方向调出12名考生(研究方向为“待定”)至其他方向。
调剂复试相关事宜另行通知。
三、跨专业调剂录取(一)警务(公安学)跨专业调剂复试合格考生89人(61男28女;含学科内调剂未被录取考生23人和跨专业调剂复试合格考生66人),拟调剂录取考生78人(59男19女)。
(二)警务(公安技术)及安全工程跨专业调剂复试合格考生23人(14男9女;含第一批次复试合格且符合调剂条件考生5人和跨专业调剂复试合格考生18人),拟调剂录取考生21人(14男7女)。
考研班四、补录(一)全日制补录。
经上述各批次录取后,我校全日制专业硕士空余名额10人(警务<公安技术>8人、法律1人、安全工程1人)。
上述名额补录跨专业调剂为警务(公安技术)的女生2人,跨专业调剂为警务(公安学)的男生2人,跨专业调剂为警务(公安学)的女生6人。
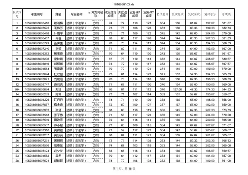
001文学院050101文艺学103198320803566王文颖001文学院050101文艺学103198321508358黄明曦001文学院050101文艺学103198320803570柏红果001文学院050101文艺学103198370615376于汇001文学院050101文艺学104868111015390龚文豪调剂生001文学院050101文艺学103198131500646李心001文学院050101文艺学102698101010032赵蕊调剂生001文学院050101文艺学103198321207678邱亚男001文学院050101文艺学103198520119608许君怡001文学院050101文艺学103198330711411叶梦婷001文学院050101文艺学103198431418495孙成龙001文学院050101文艺学103198415917792曹光耀001文学院050101文艺学103198442018882邬树丽001文学院050101文艺学103198410616504王雪凝001文学院050101文艺学103198370615291岳凯月001文学院050101文艺学103198103190169王雯杰推免生001文学院050101文艺学103198103190170秦烺推免生001文学院050101文艺学103198103190171闫紫晴推免生001文学院050101文艺学103198103570440韦妙推免生001文学院050101文艺学103198103700465刘闫推免生001文学院050101文艺学103198104460588荣敏敏推免生001文学院050101文艺学103198104760638任威威推免生001文学院050101文艺学103198107360794赵学敏推免生001文学院050101文艺学103198111170839沈玉洁推免生001文学院050101文艺学103198111170840吴春雨推免生001文学院050102语言学及应用语言学103198421418036刘寒蕊001文学院050102语言学及应用语言学103198345713536汪怡波001文学院050102语言学及应用语言学103198351113890黄彤001文学院050102语言学及应用语言学103198321808829杭明丽001文学院050102语言学及应用语言学103198340512450戴玉玲001文学院050102语言学及应用语言学103198345713535张杨001文学院050102语言学及应用语言学103198120400123陈奕竹001文学院050102语言学及应用语言学102698101020008钱佳璐调剂生001文学院050102语言学及应用语言学103198360114046林燕001文学院050102语言学及应用语言学103198320803696郝星月001文学院050102语言学及应用语言学103198620520139王伟东001文学院050102语言学及应用语言学103198430918410李玉洁001文学院050102语言学及应用语言学103198140600884王蓉001文学院050102语言学及应用语言学103198101840093柳明烨推免生001文学院050102语言学及应用语言学103198103200394谈倩推免生001文学院050102语言学及应用语言学103198103700466杨晨推免生001文学院050102语言学及应用语言学103198103940510黄蔚雯推免生001文学院050102语言学及应用语言学103198104760639闫培艺推免生001文学院050102语言学及应用语言学103198105300664周思佳推免生001文学院050102语言学及应用语言学103198105300665姜营推免生001文学院050103汉语言文字学103198370214891朱咏梅001文学院050103汉语言文字学103198431018426胡丹001文学院050103汉语言文字学103198511119346欧阳佳丽001文学院050103汉语言文字学103198422518234吴晓悦001文学院050103汉语言文字学103198131100600张慧001文学院050103汉语言文字学103198321808830马思奇001文学院050103汉语言文字学103198460419090朱轶群001文学院050103汉语言文字学103198340412298孙伟芳001文学院050103汉语言文字学103198322109972王悦001文学院050103汉语言文字学103198322210173张敏001文学院050103汉语言文字学105588111105618张莹调剂生001文学院050103汉语言文字学103198340712720许紫筠001文学院050103汉语言文字学103198414217358程慧001文学院050103汉语言文字学103198370915743刘妍妍001文学院050103汉语言文字学103198321408145陈晨001文学院050103汉语言文字学103198500419178李金花001文学院050103汉语言文字学103198322009626赖子含001文学院050103汉语言文字学103198100750029武松静推免生001文学院050103汉语言文字学103198101650078王玉娇推免生001文学院050103汉语言文字学103198103700467黄萍推免生001文学院050103汉语言文字学103198103850505吴清颖推免生001文学院050103汉语言文字学103198104760640杨梅推免生001文学院050103汉语言文字学103198107180782李红红推免生001文学院050103汉语言文字学103198107240785王怡推免生001文学院050103汉语言文字学103198111170841钱添艳推免生001文学院050103汉语言文字学103198116460853王恬推免生001文学院050104中国古典文献学103198322310493王天骄001文学院050104中国古典文献学103198320803733王悦001文学院050104中国古典文献学103198321408146莫培001文学院050104中国古典文献学103198331011514叶静燕001文学院050104中国古典文献学103198320803728刘佳怡001文学院050104中国古典文献学103198320804825尤崇玲001文学院050104中国古典文献学103198370415170顾晗001文学院050104中国古典文献学103198371115882金子杨001文学院050104中国古典文献学103198360314258段玉燕001文学院050104中国古典文献学103198612219955胡钰001文学院050104中国古典文献学103198320803732戴林举001文学院050104中国古典文献学103198330411284黄雪001文学院050104中国古典文献学103198320803722王子伟001文学院050104中国古典文献学103198421818086严乙峰001文学院050104中国古典文献学100278218100770宋雨濛调剂生001文学院050104中国古典文献学103198340812783张冉冉001文学院050104中国古典文献学103198442118898蓝雨001文学院050104中国古典文献学103198102280110李洁推免生001文学院050105中国古代文学103198130500381陈鸿喆001文学院050105中国古代文学103198320803577郭昕001文学院050105中国古代文学102848210809273廖雯调剂生001文学院050105中国古代文学103198320803612丁晓宇001文学院050105中国古代文学103198360314253赵时龙001文学院050105中国古代文学103198320803621华雨虹001文学院050105中国古代文学103198611319897李泽群001文学院050105中国古代文学103198321808813王子秋001文学院050105中国古代文学103198370214873夏苏皖001文学院050105中国古代文学103198330110981李超001文学院050105中国古代文学103198131500649王冠通001文学院050105中国古代文学103198130300307马思雨001文学院050105中国古代文学103198322310481徐新娣001文学院050105中国古代文学103198320803623陈微001文学院050105中国古代文学103198321207684李志明001文学院050105中国古代文学103198340612568朱家琦001文学院050105中国古代文学103198370214872白珊珊001文学院050105中国古代文学103198321608542胡大力001文学院050105中国古代文学103198420617935张珂001文学院050105中国古代文学103198345713533严瑶001文学院050105中国古代文学103198351113886陈舒昕001文学院050105中国古代文学103198321608540侍光浩001文学院050105中国古代文学103198100280002韩明亮推免生001文学院050105中国古代文学103198102950139王文意推免生001文学院050105中国古代文学103198102980142孙秀雯推免生001文学院050105中国古代文学103198103190172巴吟月推免生001文学院050105中国古代文学103198103190173邱晔推免生001文学院050105中国古代文学103198103190174王晨韵推免生001文学院050105中国古代文学103198103190175陈灿推免生001文学院050105中国古代文学103198103190176李江才推免生001文学院050105中国古代文学103198103190177潘敏推免生001文学院050105中国古代文学103198103190178何振推免生001文学院050105中国古代文学103198104030533高圣怡推免生001文学院050105中国古代文学103198106730765潘昊明推免生001文学院050105中国古代文学103198106730766丁思棋推免生001文学院050105中国古代文学103198107180783王蒙推免生001文学院050105中国古代文学103198107360795雷晓萌推免生001文学院050106中国现当代文学103198320804822王雨001文学院050106中国现当代文学103198320803666王一典001文学院050106中国现当代文学103198320803663王玥001文学院050106中国现当代文学103198320803632胡锦超001文学院050106中国现当代文学103198321408137邹宜笑001文学院050106中国现当代文学103198130400349闫少婧001文学院050106中国现当代文学103198371015844姚雨璇001文学院050106中国现当代文学103198441518836张腾威001文学院050106中国现当代文学103198320803631黄明姝001文学院050106中国现当代文学103198431218443王玥001文学院050106中国现当代文学103198320803645包丽芬001文学院050106中国现当代文学106108050100466席思宇调剂生001文学院050106中国现当代文学103198330110988王钰001文学院050106中国现当代文学103198340111644何沁雨001文学院050106中国现当代文学103198371416087张淑婧001文学院050106中国现当代文学103198115300027姜溪海001文学院050106中国现当代文学103198320803639周颖001文学院050106中国现当代文学103198321909230曹萱001文学院050106中国现当代文学103198103190179施文芹推免生001文学院050106中国现当代文学103198103190180徐书艳推免生001文学院050106中国现当代文学103198103190181卜昆玉推免生001文学院050106中国现当代文学103198103190182侯悦推免生001文学院050106中国现当代文学103198103190183刘宇推免生001文学院050106中国现当代文学103198103190184邵钰婷推免生001文学院050106中国现当代文学103198103190185杨柯倪推免生001文学院050106中国现当代文学103198103190186周嘉怡推免生001文学院050106中国现当代文学103198103200395张淼推免生001文学院050106中国现当代文学103198103570441王可柯推免生001文学院050106中国现当代文学103198104450570董馨月推免生001文学院050106中国现当代文学103198105420676喻赛琼推免生001文学院050108比较文学与世界文学103358000919129戴筱筱调剂生001文学院050108比较文学与世界文学103198612519967李雯露001文学院050108比较文学与世界文学103198321307874钱佳逸001文学院050108比较文学与世界文学103198330711421张思远001文学院050108比较文学与世界文学103198370114544张妍妍001文学院050108比较文学与世界文学103198120400118金辉001文学院050108比较文学与世界文学103198320803673陈慕华001文学院050108比较文学与世界文学103198321307873王晓文001文学院050108比较文学与世界文学103198330311225高晨雨001文学院050108比较文学与世界文学103198511019308谭丹丹001文学院050108比较文学与世界文学103198120400121张冉001文学院050108比较文学与世界文学103198100650009朱亚星推免生001文学院050108比较文学与世界文学103198102950140吴雪蓉推免生001文学院050108比较文学与世界文学103198103190187杨炘婷推免生001文学院050108比较文学与世界文学103198103700468张艺馨推免生001文学院050108比较文学与世界文学103198105300666盛盈袖推免生001文学院050108比较文学与世界文学103198106020691刘一祯推免生001文学院050108比较文学与世界文学103198107240786吕小侠推免生001文学院050108比较文学与世界文学103198107360796何香凝推免生001文学院0501Z1应用文体学103198372516208赵鑫001文学院0501Z1应用文体学103198321909232朱佳美001文学院0501Z1应用文体学103198422518233沈杰001文学院0501Z1应用文体学103198321408138张瑞娜001文学院0501Z1应用文体学103198103190188陈艺璇推免生001文学院0501Z1应用文体学103198111170842陈玥推免生001文学院130300戏剧与影视学01戏剧戏曲学103198320803738平范凡001文学院130300戏剧与影视学01戏剧戏曲学103198330411285侯丹宁001文学院130300戏剧与影视学01戏剧戏曲学103198422618280黎景001文学院130300戏剧与影视学01戏剧戏曲学103198140600887王琳001文学院130300戏剧与影视学01戏剧戏曲学102848210810458周之辰调剂生001文学院130300戏剧与影视学01戏剧戏曲学103198370615310马佩玲001文学院130300戏剧与影视学02电影电视学103198351113892曾霞001文学院130300戏剧与影视学02电影电视学103198320803755侯文煜榕001文学院130300戏剧与影视学02电影电视学103198321307882陆娟001文学院130300戏剧与影视学02电影电视学103198450919030陈可馨001文学院130300戏剧与影视学02电影电视学103198432618682闫慧丽001文学院130300戏剧与影视学02电影电视学103198214201863许彤彤001文学院130300戏剧与影视学02电影电视学103198320803754黄雨楠001文学院130300戏剧与影视学02电影电视学103198141301153贾颛颛001文学院130300戏剧与影视学02电影电视学103198141301152肖志平001文学院130300戏剧与影视学02电影电视学103198150101490崔国琪001文学院130300戏剧与影视学02电影电视学103198370315092张晓铭001文学院130300戏剧与影视学02电影电视学103198321808840任志鑫001文学院130300戏剧与影视学02电影电视学103198372516212李超001文学院130300戏剧与影视学02电影电视学103198414017217鲁嘉茜001文学院130300戏剧与影视学02电影电视学100278218290082胡斐斗调剂生001文学院130300戏剧与影视学02电影电视学103198100650010罗雅文推免生001文学院130300戏剧与影视学02电影电视学103198101650079赵力坤推免生001文学院130300戏剧与影视学02电影电视学103198103190189程诗涵推免生001文学院130300戏剧与影视学02电影电视学103198103190190任俪濒推免生001文学院130300戏剧与影视学02电影电视学103198103190355张端推免生001文学院130300戏剧与影视学02电影电视学103198104450571李鑫推免生001文学院130300戏剧与影视学02电影电视学103198104450572王倩推免生001文学院130300戏剧与影视学02电影电视学103198104750612王胜男推免生001文学院130300戏剧与影视学02电影电视学103198104760641赵婧慧推免生001文学院130300戏剧与影视学02电影电视学103198105420677朱璐瑶推免生002新闻与传播学院050300新闻传播学103198350513796詹怡002新闻与传播学院050300新闻传播学103198320803785曹亚群002新闻与传播学院050300新闻传播学100018000180681张丽颖调剂生002新闻与传播学院050300新闻传播学103198322009636韦璐002新闻与传播学院050300新闻传播学100338013145018孟亮亮调剂生002新闻与传播学院050300新闻传播学103198321909248李建勋002新闻与传播学院050300新闻传播学103198347013597罗凡002新闻与传播学院050300新闻传播学103198350213737蔡文玲002新闻与传播学院050300新闻传播学103198322410836刘言002新闻与传播学院050300新闻传播学103198120400127周粟伊002新闻与传播学院050300新闻传播学100028113321171龙彦儒调剂生002新闻与传播学院050300新闻传播学103198342213303李辰002新闻与传播学院050300新闻传播学105328430307176聂思佳调剂生002新闻与传播学院050300新闻传播学103198370114551朱彬彬002新闻与传播学院050300新闻传播学103198372516214崔琳002新闻与传播学院050300新闻传播学103198370615315张雅倩002新闻与传播学院050300新闻传播学103198142201478李燕燕002新闻与传播学院050300新闻传播学103198370815586冯硕002新闻与传播学院050300新闻传播学103198340111665董邦露002新闻与传播学院050300新闻传播学103198340111672汪华嫱002新闻与传播学院050300新闻传播学103198100110001张茹雪推免生002新闻与传播学院050300新闻传播学103198100650011付娜娜推免生002新闻与传播学院050300新闻传播学103198100680023程静推免生002新闻与传播学院050300新闻传播学103198101470075宋玉生推免生002新闻与传播学院050300新闻传播学103198101650080王姗姗推免生002新闻与传播学院050300新闻传播学103198101650081韩翼帆推免生002新闻与传播学院050300新闻传播学103198102850125刘雨涵推免生002新闻与传播学院050300新闻传播学103198102870127陈嘉莹推免生002新闻与传播学院050300新闻传播学103198102930135甄智推免生002新闻与传播学院050300新闻传播学103198102980143金亦儒推免生002新闻与传播学院050300新闻传播学103198103070165张寒推免生002新闻与传播学院050300新闻传播学103198103190191高灵萱推免生002新闻与传播学院050300新闻传播学103198103190192黄琳舒推免生002新闻与传播学院050300新闻传播学103198103190193宋亦涵推免生002新闻与传播学院050300新闻传播学103198103190194吴雨晴推免生002新闻与传播学院050300新闻传播学103198103190195袁伟航推免生002新闻与传播学院050300新闻传播学103198103370406万思蔚推免生002新闻与传播学院050300新闻传播学103198103570442宋慧玲推免生002新闻与传播学院050300新闻传播学103198103700469何修豪推免生002新闻与传播学院050300新闻传播学103198103700470胡施颖推免生002新闻与传播学院050300新闻传播学103198104450573杨丹推免生002新闻与传播学院050300新闻传播学103198104450574赵晓彤推免生002新闻与传播学院050300新闻传播学103198104750613管舒婷推免生002新闻与传播学院050300新闻传播学103198106380744张郑武文推免生002新闻与传播学院050300新闻传播学103198106380745李佳佳推免生002新闻与传播学院050300新闻传播学103198107240787刘梦琦推免生002新闻与传播学院055200新闻与传播103198110800012陆子健002新闻与传播学院055200新闻与传播103198320805912王韵清002新闻与传播学院055200新闻与传播103198320806004纪文婷002新闻与传播学院055200新闻与传播103198322009830田晨002新闻与传播学院055200新闻与传播103198420917959汪婧002新闻与传播学院055200新闻与传播103198320805929江嘉涵002新闻与传播学院055200新闻与传播103198340312235蒋烨002新闻与传播学院055200新闻与传播103198322310700陆子娇002新闻与传播学院055200新闻与传播103198411916784王思宇002新闻与传播学院055200新闻与传播103198320805979徐霖晨002新闻与传播学院055200新闻与传播103198130400369胡劭斐002新闻与传播学院055200新闻与传播103198370114786王芸芸002新闻与传播学院055200新闻与传播103198440418752蔡瑞002新闻与传播学院055200新闻与传播103198370715525周晓晨002新闻与传播学院055200新闻与传播103198320806007霍蓓002新闻与传播学院055200新闻与传播103198460419114盛淑淑002新闻与传播学院055200新闻与传播103198130600465陈珺璐002新闻与传播学院055200新闻与传播103198350313783陈艳娇002新闻与传播学院055200新闻与传播102698124030488陈仪凌调剂生002新闻与传播学院055200新闻与传播104868103011821史炎荣调剂生002新闻与传播学院055200新闻与传播103198340111890时斌杰002新闻与传播学院055200新闻与传播103198140100802林倩梅002新闻与传播学院055200新闻与传播103198320805995张肖梦002新闻与传播学院055200新闻与传播103198370615426柏丽娟002新闻与传播学院055200新闻与传播103198422818342王晓琳002新闻与传播学院055200新闻与传播103198322410904康袁璐002新闻与传播学院055200新闻与传播103198322009834任婷002新闻与传播学院055200新闻与传播103198421017968王婧婧002新闻与传播学院055200新闻与传播103198100650012张晓雅推免生002新闻与传播学院055200新闻与传播103198100700028刘凤双推免生002新闻与传播学院055200新闻与传播103198101470076翟星渊推免生002新闻与传播学院055200新闻与传播103198102980144朱霜推免生002新闻与传播学院055200新闻与传播103198103190196沙雪昊推免生002新闻与传播学院055200新闻与传播103198103300404曹滋宇推免生002新闻与传播学院055200新闻与传播103198103370407张若禺推免生002新闻与传播学院055200新闻与传播103198103370408章琳帆推免生002新闻与传播学院055200新闻与传播103198103450421金苏美推免生002新闻与传播学院055200新闻与传播103198103570443春茹推免生002新闻与传播学院055200新闻与传播103198103700471宗祺推免生002新闻与传播学院055200新闻与传播103198104590605张洪芹推免生002新闻与传播学院055200新闻与传播103198104750614葛宏蔚推免生002新闻与传播学院055200新闻与传播103198104750615王晓晴推免生002新闻与传播学院055200新闻与传播103198105300667周婕推免生002新闻与传播学院055200新闻与传播103198105300668朱美滟推免生002新闻与传播学院055200新闻与传播103198105890687葛佳铭推免生002新闻与传播学院055200新闻与传播103198106190712俞全威推免生002新闻与传播学院055200新闻与传播103198106190713张译允推免生002新闻与传播学院055200新闻与传播103198107490815程欣推免生002新闻与传播学院055200新闻与传播103198110650829李雪菲推免生002新闻与传播学院055200新闻与传播103198110780838陈颖莹推免生002新闻与传播学院130300戏剧与影视学103198414117308翟邵琪002新闻与传播学院130300戏剧与影视学103198340111676汪汉002新闻与传播学院130300戏剧与影视学103198320803863冯笑002新闻与传播学院130300戏剧与影视学103198321808851张悦002新闻与传播学院130300戏剧与影视学103198321307890徐雁翎002新闻与传播学院130300戏剧与影视学103198320803850胡颖002新闻与传播学院130300戏剧与影视学103198100750030常宇琪推免生002新闻与传播学院130300戏剧与影视学103198103190197乔莹推免生002新闻与传播学院130300戏剧与影视学103198103190356周维炜推免生002新闻与传播学院130300戏剧与影视学103198103370409郤鼎昌推免生002新闻与传播学院130300戏剧与影视学103198105200658李欣推免生002新闻与传播学院130300戏剧与影视学103198106380746施品推免生002新闻与传播学院130300戏剧与影视学103198111170843李智推免生002新闻与传播学院135105广播电视103198430518379佘晓琴002新闻与传播学院135105广播电视103198320806781赵琳002新闻与传播学院135105广播电视103198330111132王安琪002新闻与传播学院135105广播电视103198320806758宗久悦002新闻与传播学院135105广播电视103198370715536李雯002新闻与传播学院135105广播电视103198320806764吴坚韧002新闻与传播学院135105广播电视103198320806779吴瑱辉002新闻与传播学院135105广播电视103198320806796徐仁飞002新闻与传播学院135105广播电视103198322009859罗宇婷002新闻与传播学院135105广播电视103198320806813潘希佳002新闻与传播学院135105广播电视103198410216424黄月002新闻与传播学院135105广播电视103198422518275段慧欣002新闻与传播学院135105广播电视103198320806790杜雅倩002新闻与传播学院135105广播电视103198531119797赵江南002新闻与传播学院135105广播电视103198320806810戴颖姝002新闻与传播学院135105广播电视103198320806751唐蓝薇002新闻与传播学院135105广播电视103198152101547杨丰卉002新闻与传播学院135105广播电视103198611419915何婷002新闻与传播学院135105广播电视103198320806778郑毅002新闻与传播学院135105广播电视103198130600478杜嘉明002新闻与传播学院135105广播电视103198322009855王一帆002新闻与传播学院135105广播电视103198340111926李鑫磊002新闻与传播学院135105广播电视103198321809084李宁002新闻与传播学院135105广播电视103198320806786俞惠康002新闻与传播学院135105广播电视103198320806811牛宇002新闻与传播学院135105广播电视103198320806804刘思彤002新闻与传播学院135105广播电视103198370315145安坤002新闻与传播学院135105广播电视103198320806807张朝晖002新闻与传播学院135105广播电视103198320806791李宜儒002新闻与传播学院135105广播电视103198320806798陆美言002新闻与传播学院135105广播电视103198341012938陈爱玲002新闻与传播学院135105广播电视103198421618083王倩002新闻与传播学院135105广播电视103198320806788胡泽立002新闻与传播学院135105广播电视103198370615443高皓璇002新闻与传播学院135105广播电视103198322210320顾添梦002新闻与传播学院135105广播电视103198370114825辛晓莹002新闻与传播学院135105广播电视103198153101594吕鑫002新闻与传播学院135105广播电视103198320806801于岱妹002新闻与传播学院135105广播电视103198341012939吴浚豪002新闻与传播学院135105广播电视103198321608675李婵002新闻与传播学院135105广播电视103198320804828陈登峰002新闻与传播学院135105广播电视103198321909449崔赛君002新闻与传播学院135105广播电视103198613920014李思002新闻与传播学院135105广播电视103198214701900刘一丁002新闻与传播学院135105广播电视103198613920013王茹002新闻与传播学院135105广播电视103198211301773王玲003公共管理学院010100哲学103198340812786郭新冉003公共管理学院010100哲学103198450819010钟嘉莉003公共管理学院010100哲学103198320803882杨筱莜003公共管理学院010100哲学103198211301767徐超003公共管理学院010100哲学103198130600445王丽莎003公共管理学院010100哲学103198320803884倪萍003公共管理学院010100哲学103198371416094李文欣003公共管理学院010100哲学103198360114057王兆达003公共管理学院010100哲学103198320803880易书凡003公共管理学院010100哲学103198130900522牛佳明003公共管理学院010100哲学103198116600037杨丽巧003公共管理学院010100哲学103198321307894雍坦003公共管理学院010100哲学103198320803883杨菊鑫003公共管理学院010100哲学103198371115892张梦雨003公共管理学院010100哲学103198321307892周瑞003公共管理学院010100哲学103198411416652邝妍彬003公共管理学院010100哲学100018000230192吴钦萍调剂生003公共管理学院010100哲学103198360714312潘鹏003公共管理学院010100哲学103198331011516张芳芳003公共管理学院010100哲学103198531119783任会林003公共管理学院010100哲学103198414017222张晨003公共管理学院010100哲学103198370114564桂彦003公共管理学院010100哲学103198320803881蒋卓宸003公共管理学院010100哲学103198432718696郑倩倩003公共管理学院010100哲学103198370114563金志烨003公共管理学院010100哲学102848210116340黄宇驰调剂生003公共管理学院010100哲学103198530119709丰宇003公共管理学院010100哲学103198141601283王袆003公共管理学院010100哲学103198100690027王紫娟推免生003公共管理学院010100哲学103198101080041卫鹤雯推免生003公共管理学院010100哲学103198101180060史文娟推免生003公共管理学院010100哲学103198102400119唐爽推免生003公共管理学院010100哲学103198103190198吴青云推免生003公共管理学院010100哲学103198103570444马腾飞推免生003公共管理学院010100哲学103198116580856邓思杨推免生003公共管理学院030200政治学103198321808853徐雯003公共管理学院030200政治学103198120500165郑雅晴003公共管理学院030200政治学103198321808854张亚兰003公共管理学院030200政治学103198650620385秦莹003公共管理学院030200政治学103198130200264公莉003公共管理学院030200政治学103198322109977夏佳凯003公共管理学院030200政治学103198414017223贾赛男003公共管理学院030200政治学103198370315095部彦君003公共管理学院030200政治学103198321608558张一凡003公共管理学院030200政治学103198320803890林娟003公共管理学院030200政治学103198370915754梁丹丹003公共管理学院030200政治学103198372516218卢鑫003公共管理学院030200政治学103198340412301潘思婷003公共管理学院030200政治学103198320803897吕恒乾003公共管理学院030200政治学103198620620151王蕾003公共管理学院030200政治学100558000003009刘逸韬调剂生003公共管理学院030200政治学103198101080042阎红霞推免生003公共管理学院030200政治学103198101130058张丁月推免生003公共管理学院030200政治学103198102550123李伟清推免生003公共管理学院030200政治学103198103190199陈翔推免生003公共管理学院030200政治学103198103700472王昆推免生003公共管理学院030200政治学103198103780496陶婷推免生003公共管理学院030200政治学103198103780497张珍贤推免生003公共管理学院030200政治学103198104140540徐晗推免生003公共管理学院030200政治学103198104210551周孝丹推免生003公共管理学院030200政治学103198104270557张迎雪推免生003公共管理学院030200政治学103198104340562赵馨雨推免生003公共管理学院030200政治学103198105240661从荣莉推免生003公共管理学院030200政治学103198106630759杨琴推免生003公共管理学院030200政治学103198107190784柯艺伟推免生003公共管理学院120401行政管理103198320803940夏诗集003公共管理学院120401行政管理103198320803929张春燕003公共管理学院120401行政管理103198141301163武浩杰003公共管理学院120401行政管理103198320803951张佳平003公共管理学院120401行政管理103198321508367黄烨003公共管理学院120401行政管理103198321808855闫珊珊003公共管理学院120401行政管理103198370815590孔迪003公共管理学院120401行政管理103198371315985刘晓倩003公共管理学院120401行政管理103198141901348罗扶摇003公共管理学院120401行政管理102848210613276赵建浩调剂生003公共管理学院120401行政管理104868115016203王巍调剂生003公共管理学院120401行政管理103198102160104武炳璇推免生003公共管理学院120401行政管理103198103190200曹莹推免生003公共管理学院120401行政管理103198103190357徐子润推免生003公共管理学院120401行政管理103198104450575井湛推免生003公共管理学院120401行政管理103198105120654袁梦推免生003公共管理学院120401行政管理103198105240662丁燕杰推免生003公共管理学院120401行政管理103198107360797马秀娟推免生003公共管理学院125200公共管理103198320807235刘丽丽003公共管理学院125200公共管理103198320807277邓文缘003公共管理学院125200公共管理103198320807239李卓蓉003公共管理学院125200公共管理103198320807361史轩轩003公共管理学院125200公共管理103198321909468杨琦003公共管理学院125200公共管理103198320807366陈倩云003公共管理学院125200公共管理103198320807292刘雯003公共管理学院125200公共管理103198320807278顾馨003公共管理学院125200公共管理103198320807223张霄辉003公共管理学院125200公共管理103198320807233黄鑫003公共管理学院125200公共管理103128250701261孙莹调剂生003公共管理学院125200公共管理103198320807219冒贻宣003公共管理学院125200公共管理102848250604386柏艳调剂生003公共管理学院125200公共管理103198322210334娄婕003公共管理学院125200公共管理103198320807267焦健003公共管理学院125200公共管理103198321608686蒋谦益003公共管理学院125200公共管理103198320807257赵亮003公共管理学院125200公共管理103198320807311陈洁003公共管理学院125200公共管理103198320807317马晓蓉003公共管理学院125200公共管理103198320807325周海宁003公共管理学院125200公共管理103198321308061乔蓉蓉003公共管理学院125200公共管理103198320807376陈曲003公共管理学院125200公共管理103198320807378顾璇003公共管理学院125200公共管理103198322210337倪文娟003公共管理学院125200公共管理103198320807328侯梦诗003公共管理学院125200公共管理103198320807367姜菲菲003公共管理学院125200公共管理103198321909469李迎003公共管理学院125200公共管理103198320807265汪梦琪003公共管理学院125200公共管理103198320807243葛雨婷003公共管理学院125200公共管理102848250604503梁有星调剂生003公共管理学院125200公共管理103198320807289马悦003公共管理学院125200公共管理103198320807322吉仲翔003公共管理学院125200公共管理103198320807261陈紫恒003公共管理学院125200公共管理102848250604443顾文调剂生003公共管理学院125200公共管理103198322310736舒苏003公共管理学院125200公共管理103198322310748王月003公共管理学院125200公共管理103198320807316胡捷003公共管理学院125200公共管理103198322310738秦丽莉003公共管理学院125200公共管理103198320807251胡玥003公共管理学院125200公共管理103198322310742韩德辉003公共管理学院125200公共管理103198340512547肖琳003公共管理学院125200公共管理103198330511343王祎雯003公共管理学院125200公共管理103198320807246夏之雨003公共管理学院125200公共管理103198321508440严晗003公共管理学院125200公共管理103198321508439梅玲003公共管理学院125200公共管理103198320807391谭丹丹003公共管理学院125200公共管理103198320807258李欣003公共管理学院125200公共管理103198320807228邓敏。
2018年硕士研究生招生考试拟录取结果建议
招生单位(公章):市政与环境工程学院报考学科专业(领域)名称:市政工程学习形式:全日制
复试工作组组长:纪检员:研究生招生工作领导小组组长: 年 月 日
2018年硕士研究生招生考试拟录取结果建议
招生单位(公章):市政与环境工程学院报考学科专业(领域)名称:建筑与土木工程学习形式:全日制
复试工作组组长:纪检员:研究生招生工作领导小组组长: 年 月 日
2018年硕士研究生招生考试拟录取结果建议
招生单位(公章):市政与环境工程学院
报考学科专业(领域)名称:供热、供燃气、通风及空调工程
学习形式:全日制
复试工作组组长:
纪检员:
研究生招生工作领导小组组长:
年 月
2.学习形式是指全日制和非全日制;
3.按照一级学科或专业学位类别录取的,拟录取研究方向栏填写二级学科或专业领域名称,未区分研究方向的,不必填写;2018年硕士研究生招生考试拟录取结果建议
招生单位(公章):市政与环境工程学院
报考学科专业(领域)名称:环境科学与工程复试工作组组长:
纪检员:
研究生招生工作领导小组组长:
年 月
学习形式:全日制
2018年硕士研究生招生考试拟录取结果建议
招生单位(公章):市政与环境工程学院报考学科专业(领域)名称:环境工程学习形式:全日制复试工作组组长:纪检员:研究生招生工作领导小组组长: 年 月
2018年硕士研究生招生考试拟录取结果建议
招生单位(公章):市政与环境工程学院报考学科专业(领域)名称:建筑与土木工程学习形式:非全日制
复试工作组组长:纪检员:研究生招生工作领导小组组长: 年 月。