重庆大学《高数》下重修试题
- 格式:pdf
- 大小:475.21 KB
- 文档页数:4
⾼数重修试题⼀(1)设k j i b k j i a 42,253++=-+=,问λ和µ有什么的关系,能使得b aµλ+与z 轴垂直?(2)已知k i OA 3+=,k j OB 3+=,求OAB ?的⾯积。
(3)已知23,3,2,1,,3A a bB a b a b a b π=+=-===求,BA B prj A ?(4)设向经,522k j i M O ++=从点)1,2,1(P 出发,向M O 作垂线PQ ,求向量Q P和长度。
(5)分别画出223yx z +-=,2211y x z ---=⽅程所表⽰的曲⾯。
(6)求上半球2220yx a z --≤≤与圆柱体)0(22>≤+a axy x 的公共部分在xoy 坐标⾯上的投影。
(7)求两平⾯012=+-+z y x 和012=-++-z y x ⾓平分⾯的⽅程。
42012=--+=--+z y x z y x 的直(8)求过点)1,2,1(-,并且平⾏直线线⽅程。
(9)求直线211232-+=-=+z y x 与平⾯08332=-++z y x 的交点和夹⾓。
(10)求点)0,2,1(-在平⾯012=+-+z y x 上的投影。
(11)求点)1,3,2(在直线322217+=+=+z y x 上的投影。
4201=-+-=+-+z y x z y x 的距离。
(12)求点)2,1,3(-P 到直线(13)求直线22x y z=??=?绕z 轴旋转⼀周的曲⾯⽅程并画出它的⼤致图形。
(14)求过直线026x y x y z +=??-+=?且切于球⾯2229x y z ++=的平⾯⽅程。
(15)设122112:,:112211x y z x y z L L -++-====--(1)判断12,L L 是否相交,若相交求出交点P 和相交平⾯π;(2)在平⾯π上求⼀过P 点直线L ,且L 与1L 和2L 的夹⾓相同。
⼆:(1)求1)sin(1lim)0,0(),(--→xy xy y x 。
第五章不定积分1(直接积分法、换元积分法)一、单选题1.设)(x f 是可导函数,则⎰'))((dx x f 为(A ).A.)(x fB.C x f +)(C.)(x f 'D.C x f +')(2.函数)(x f 的(B )原函数,称为)(x f 的不定积分.A.任意一个B.所有C.唯一D.某一个3.⎰=+=)(,2cos )(x f C x e dx x f x则(A ).A.)2sin 22(cos x x e x -B.C x x e x +-)2sin 22(cosC.x e x 2cosD.x e x2sin4.函数x e x f =)(的不定积分是(B ). A.x e B.c e x + C.x ln D.c x +ln5.函数x x f cos )(=的原函数是(A ). A.c x +sin B.x cos C.x sin - D.c x +-cos6.函数211)(x x f -=的原函数是(A ).A.c x x ++1 B.x x 1- C.32x D.c xx ++12 7.设x 2是)(x f 的一个原函数,则[]='⎰dx x f )((B )A.x 2B.2C.2x D.-28.若ce dx e xx +=⎰,则⎰xd e x22=(A )A.c ex+2 B.c e x + C.c e x +-2 D.c e x +-29.函数x x f sin )(=的原函数是(D ) A.c x +sin B.x cos C.x sin - D.c x +-cos10.若)()()()()(x G x F x f x G x F '-'的原函数,则均为、=(B )A.)(x fB.0C.)(x FD.)(x f ' 11.函数211)(xx f +=的原函数是(A ) A.c xx +-1B.x x 1-C.32xD.c x x ++1212.函数211)(x x f -=的原函数是(A ) A.c xx ++1 B.x x 1- C.32x D.c x x ++1213.若函数)(x f 、)(x g 在区间),(b a 内可导,且)()(x g x f '=',则(B ) A.)()(x g x f = B.C x g x f +=)()(C.)()(x g x f ≠D.不能确定)(x f 与)(x g 之间的关系 14.若)()(x f x F =',则下列等式成立的是(B ). A.C x f dx x F +='⎰)()( B.⎰+=C x F dx x f )()(C.⎰+=C x f dx x F )()(D.C x F dx x f +='⎰)()(15.经过点)1,0(-,且切线斜率为x 2的曲线方程是(D ). A.2x y = B.2x y -= C.12+=x y D.12-=x y 二.填空题 1.)25ln(2125x d x dx --=-.2.)1(212x d xdx --=.3.C aa dx a xx +=⎰ln .4.设)(x f 是连续函数,则dxx f dx x f d )()(=⎰.5.xx cos 2+的原函数是x x sin 2+.6.]4)3[(21)3(2---=-x d dx x .7.C x xdx +=⎰7sin 717cos .8.)1(ln 3133-=x x a d adx a .9.)3(cos 313sin x d xdx -=.10.C x dx x x +=⎰2ln 21ln .11.C x dx x +=⎰4341.12.)C 41(2222+-=--x x e ddx xe .13.C x xdx x +=⋅⎰2sin 21sin cos .14.C x dx x +=+⎰3arctan 319112. 15.C x x dx x +-=⎰)sin (212sin 2.16.⎰+='C x f dx x f )2(21)2(.17.设⎰+=.)()(C x F dx x f ,若积分曲线通过原点,则常数)0(F C -=.18.)3(arctan 31912x d x dx=+. 19.)(2122x x e d dx xe =.20.已知xx f C x dx x f 2sin )(,sin )(2=+=⎰则.21.设)()()(21x f x F x F 是、的两个不同的原函数,且=-≠)()(,0)(21x F x F x f 则有 C.22.C x x dx x x +-=+-⎰222111 23.Ce dx e xxx +-=⎰1121.24.)1ln(21122-=-x d dx x x .25.若x x f sin )(的导函数是,则)(x f 的原函数为Cx +-sin .26.设)(3x f x 为的一个原函数,则dxx x df 23)(=.27.)2cos 41(812sin x d xdx -=28.x x sin 2+的一个原函数是x x cos 313-.29.)3(cos 33sin x d dx x -=.30.Cx xdx +-=⎰cos ln tan .31.()C x dx x +--=-⎰)21sin(2121cos .32.Cx xdx +=⎰tan sec 2. 33.C x x dx +-=⎰3cot 313sin 2.34.设x 2是)(x f 的一个原函数,则⎰='])([dx x f 2.三.判断题 1.⎰+=cx xdx cos sin (×)2.x x e dx e =⎰(×)3.⎰-=.cos sin x xdx (×)4.⎰+-=cx xdx cos sin (√)5.)21sin()]21[sin(x dx x -=-⎰(×)6.⎰+-=c x xdx sin cos (×)四.计算题1.求不定积分dx x x ⎰+21.解:原式=C x x d x ++=++⎰23222)1(31)1(1212.求不定积分dx x ⎰-31.解:原式=C x +--3ln3.求不定积分⎰+dx e e xx 1.解:原式=C e e d e x x x ++=++⎰)1ln()1(11 4.求不定积分⎰+-dx x x x )3sin 21(.解:原式=C x x x +++ln 3cos 225.求不定积分⎰-dx xe x 2.解:原式=C e x +--221 6.求不定积分dx x x⎰+12.解:原式=C x ++)1ln(2127.求不定积分dx x x ⎰+2)72(.解:原式=C xx x ++⋅+7ln 24914ln 1422ln 24 8.求不定积分⎰+dx x 10)12(.解:原式=C x ++11)12(2219.求不定积分⎰+-dx xx x )1)(1(.解:原式=C x x x x x +-+-221522210.求不定积分⎰xdx 2sin .解:原式=C x x +-2sin 4121 11.求不定积分⎰dx xx 22cos sin1.解:原式=C x x +-cot tan 12.求不定积分dx x ⎰+321.解:原式=C x ++32ln 2113.求不定积分xdx x arctan 112⎰+.解:原式=C x +2)(arctan 21 14.求不定积分⎰-dx x x 4313.解:原式=C x +--41ln 43 15.求不定积分⎰+dx x 2411.解:原式=C x +2arctan 21 16.求不定积分⎰+dx x x)5(3.解:原式=C x x++5ln 5414 17.求不定积分⎰-dx e x5.解:原式=C e x +--551五.应用题1.设一质点作直线运动,已知其加速度为t t a sin 3122-=,如果0=t 时3,500-==s v , 求(1)t v 与的函数关系;(2)t s 与的函数关系.解:32sin 3)(2sin 3)2cos 34()(2cos 34)(cos 34)sin 312()(43,04335,032-++=−−−→−+++=++=++=−−→−++=-=-====⎰⎰t t t t s c t t t dt t t t s t t t v C t t dt t t t v s t v t2.求经过点(0,0),且切线斜率为x 2的曲线方程. 解:20,022x y C x xdx y y x =−−−→−+====⎰3.一物体由静止开始运动,t 秒末的速度是23t (米/秒),问(1)在3秒末物体与出发点之间的距离是多少?(2)物体走完360米需多长时间? 解:设运动方程为:30,032)(3)(t t S C t dt t t S S s t =−−→−+=====⎰(1)当3=t时,27)3(=S (米)(2)当.360360)(33秒=⇒==t t t S4.一曲线过原点且在曲线上每一点),(y x 处的切线斜率等于3x ,求这曲线的方程. 解:40,0434141x y C x dx x y y x =−−−→−+====⎰ 5.已知物体由静止开始作直线运动,经过t 秒时的速度为180360-t (米/秒),求3秒末物体离开出发点的距离. 解:t t t S C t tdt t S s t 180180)(180180180)-60t 3()(20,02-=−−→−+-====⎰.当3=t时,1080)3(=S (米).6.求经过点)1,(e ,且切线斜率为x 1的曲线方程.解:x y C x dx xy y e x ln ln 11,=−−→−+====⎰.7.求经过点(0,0),且切线斜率为211x+的曲线方程.解:x y C x dx x y y x arctan arctan 110,02=−−−→−+=+===⎰.第五章不定积分2一.单选题1.下列分部积分法中,dv u ,选择正确的是(A ).A.⎰==xdxdv x u xdx x 2sin 2sin ,, B.xdxdv u xdx ln ,1,ln ==⎰C.dxx dv e u dx e x x x22,,==--⎰D.xdx dv e u dx xe xx==⎰,,2.⎰⎰-=)(2arctan d 2arctan Axd x x x x .A.x arctan2B.x arctan4C.x arctan2-D.x arctan4-3.=⎰2-4d x x (A).A.C x +2arcsinB.C x +arcsinC.Cx +2arccos D.C x +arccos二.判断题1.分部积分法u v uv v u d d ⎰-=⎰的关键是恰当的选择u 和v d ,使u v d ⎰应比v u d ⎰容易积分.(√)2.若被积函数中含有22a x ±,则可利用三角函数代换法化原积分为三角函数的积分.(√)三.填空题 1.Cx dx x ++=+⎰1211.2.设)(x f 有一原函数⎰+-='Cx dx x f x x x cos )(,sin 则.3.C x x x xdx x +-=⎰2241ln 21ln .4.)3(arcsin 31912x d xdx =-.5.Cx x e dx e x x x ++-=⎰)22(22.6.⎰++-=C x x x xdx x 3sin 913cos 313sin .四.计算题1.求不定积分⎰-dx x x232.解:原式=Cx x d x +--=---⎰2223231)32(321612.求不定积分⎰dxx ex22.解:原式=C x x e x ++-)21(2122 3.求不定积分⎰++dxx x 11.解:C x x C t t dt t t t x +--+=+-=-=+⎰1)1(3232)22(132232原式4.求不定积分⎰+)1(x x dx.解:cx C t dt t t x +=+=+=⎰arctan 2arctan 21222原式5.求不定积分⎰xdxx 2sin .解:原式=C x x x ++-2sin 412cos 21 6.求不定积分⎰+dx e x x 5)2(.解:原式=C x e x ++)59(515 7.求不定积分dxxex⎰-4.解:原式C x e x ++-=-)16141(48.求不定积分⎰++dxx 111.解:原式[]C x x +++-+=)11ln(129.求不定积分⎰+-dxx 1211.解:原式[]C x x +-+++=112ln12-10.求不定积分dxex⎰+11.解:原式=C e e xx +++-+1111ln11.求不定积分⎰xdxxln 2.解:原式C x x +-=)31(ln 313 12.求不定积分dx x x ⎰-1.解:原式C x x +---=)1arctan 1(213.求不定积分⎰---dxx x 22112.解:原式C x x +-=)(arcsin 214.求不定积分⎰dx a x x 2)1,0(≠>a a .解:原式C aa x a x a x++-=)ln 2ln 2ln (32215.求不定积分dxx⎰-2941.解:原式C x +=23arcsin 31 16.求不定积分dxx ⎰sin .解:原式C x x x ++=sin 2cos -217.求不定积分⎰xdx x 3cos .解:原式C x x x ++=3cos 913sin 31 18.求不定积分dxx x ⎰+2.解:原式C x x ++-+=2123)2(4)2(32五.应用题(增加题)第六章定积分一.单选题 1.)(240Ddx x =-⎰A.⎰⎰-+-4220)2()2(dxx dx x B.⎰⎰-+-422)2()2(dxx dx x C.⎰⎰-+-422)2()2(dxx dx x D.⎰⎰-+-422)2()2(dxx dx x2.=⎰a adx x f )((C)A.大于0B.小于0C.等于0D.不能确定 3.⎰⎰--=+1111)()(dx x f dx x f (C)A.大于0B.小于0C.等于0D.不能确定 4.定积分⎰badxx f )(是(D )A.一个原函数B.()x f 的一个原函数C.一个函数族D.一个常数 5.定积分⎰badxx f )(的值的大小取决于(C)A.)(x fB.区间[]b a ,C.)(x f 和[]b a ,D.都不正确 6.定积分⎰badxx f )(的值的大小取决于(C)A.)(x fB.区间[]b a ,C.)(x f 和[]b a , D.无法确定 7.⎰⎰=-3234)()(dx x f dx x f (A)A.⎰42)(dxx f B.⎰24)(dxx f C.⎰43)(dxx f D.⎰32)(dxx f8.下列命题中正确的是(C )(其中)(),(x g x f 均为连续函数) A.在[]b a ,上若)()(x g x f ≠则dxx g dx x f ba ba⎰⎰≠)()( B.⎰⎰≠babadtt f dx x f )()(C.若)()(x g x f ≠,则⎰⎰≠dxx g dx x f )()( D.⎰=badxx f dx x f d )()(9.=⎰dx x f dxd ba )((B) A.)(x f B.0 C.)(x f ' D.)(x F 10.若1)(=x f ,则⎰=badx x f )((C)A.1B.b a -C.a b -D.0 11.定积分⎰badxx f )(是(B )A.任意的常数B.确定的常数C.)(x f 的一个原函数D.)(x f 的全体原函数 12.若⎰=+12)2(dx k x ,则=k (B)A.-1B.1C.1/2D.0 13.=-⎰dx x 5042(C)A.11B.12C.13D.14 二.判断题1.函数在某区间上连续是该函数在该区间上可定积分的必要条件.(×)2.a b dx ba -=⎰0.(×)3.⎰='badx x f 0))((.(×)4.x xdx dx d ba sin sin ⎰=.(×)三.填空题1.设)(x f '在[]b a ,上连续,则)()()(a f b f dx x f b a-='⎰.2.C dx xxx +=⋅⎰6ln 6321. 3.4111022π-=+⎰dx x x .4.ee dx x e x-=⎰2121.5.设⎰⎰==52515)(,3)(dx x f dx x f ,则2)(21-=⎰dx x f .6..0113=⎰-dx x .7.若)(x f 在[]b a ,上连续,且⎰=ba dx x f 0)(,则[]a b dx x f ba-=+⎰1)(.8.由曲线22+=x y ,直线3,1=-=x x 及x 轴围成曲边梯形的面积352)2(312=+=⎰-dx x A . 9..0sin 12=⎰dx x dx d .10.11ln4141=+-⎰-dx xx.11.1)1sin(212=⎰dx xx ππ. 12.32112=⎰-dx x .13.0cos 11⎰-=xdx x .14.利用定积分的几何意义填写定积分的值π41112=-⎰dx x . 15.22sin sin x dt t dx d x⎰=.16..0sin 222=⎰-xdx x .17..0113=⎰-dx x .18. 的值为积分.21ln 1⎰edx x x 19.2)253(22224⎰⎰=++-dx dx x x .20.11-=⎰e dx e x . 21.431=⎰-dx .22.⎰1212ln xdxx 的值的符号为负.四.计算题 1.求定积分.⎰+411xdx 解:原式)32ln 1(2+=2.求定积分⎰-124x dx.解:原式6arcsin 10π==x3.求定积分⎰-+-01)32)(1(dxx x .解:原式21-=4.求定积分dxx⎰--2121211解:原式3arcsin 2121π==-x5.求定积分⎰-+12511x dx 解:原式=2ln 54)511ln(5112=⎥⎦⎤⎢⎣⎡+-x6.求定积分dx x ⎰+9411解:原式[])2ln 1(2)1ln(232+-=-+-=t t7.求定积分dxex⎰-1.解:原式eex1101-=-=- 8.求定积分dxx ⎰212解:原式3712313==x 9.求定积分θθπd ⎰402tan 解:原式[]4104tan ππθθ-=-=10.求定积分.dx xx ⎰+402sin 12sin π解:原式232ln 04)sin 1ln(=+=πx 11.求定积分dxx x ⎰-ππ23sin .解:原式=012.求定积分()dxxx ⎰--2121221arcsin .解:原式=324)(arcsin 31321213π=-x 13.求定积分dxx x ⎰+911.解:原式2ln 213)1ln(2=+=x14.求定积分dxex x⎰12.解:原式201)22(2-=+-=e x x ex15.求定积分⎰+104)1(x dx 解:原式24701)1(31-3=+=-x 16.求定积分dxxe x ⎰2.解:原式102)1(2+=-=e x ex17.求定积分⎰-1dxxe x .解:原式e x ex2101)1(--=+=-18.求定积分dx x ⎰⎪⎭⎫⎝⎛+πππ33sin .解:原式0)3cos(3=+-=πππx19.已知⎩⎨⎧≤<-≤≤=31,210,)(2x x x x x f ,计算⎰20)(dx x f .解:原式⎰⎰-=-+=2110261)2(dx x dx x 20.求定积分()dx x x +⎰194.解:原式627149)2132(223=+=x x21.求定积分⎰1arctan xdxx .解:原式=214)arctan arctan (21102-=⎥⎦⎤⎢⎣⎡+-πx x x x22.求定积分⎰1arcsin xdx .解:原式1201)1arcsin (2-=-+=πx x x23.求定积分⎰262cos ππudu.解:原式836)2sin 21(2162-=+=πππu u 24.求定积分()dx x x x ⎰+2sin π.解:原式18sin cos 2122+=⎥⎦⎤⎢⎣⎡+-=ππx x x x25.求定积分dx x x ⎰-121221.解:原式[]41cot sin 24πππ-=--=t t t x26.求定积分dx x x 1sin 1212⎰ππ.解:原式11cos12==ππx27.求定积分dx x ⎰+11210.解:原式10ln 4950110ln 21012==+x 28.求定积分xdxx ⎰23cos sin π解:原式410cos 41-24==πx29.求定积分⎰124dx x x .解:原式10ln 710ln 810=⎥⎦⎤⎢⎣⎡=x 30.求定积分dx x x e⎰-1ln 1.解:原式21ln 21ln 12=⎥⎦⎤⎢⎣⎡-=ex x31.求定积分dxx x ⎰+31)1(1.解:原式[]6arctan 2312π==t t x32.求定积分xdxx cos sin 23⎰π.解:原式410sin 4124==πx33.求定积分⎰--1321dx x .解:原式[]5ln 2ln -13=-=-x34.求定积分dx x x x ⎰++21222)1(12解:原式4212arctan 1arctan 21π-+=⎥⎦⎤⎢⎣⎡-=x x 35.求定积分⎰+21ln 1e x x dx.解:原式[])13(2ln 1221-=+=e x36.求定积分dxe x x ⎰22.解:原式)1(21214202-=⎥⎦⎤⎢⎣⎡=e e x37.求定积分dxx ⎰20sin π.解:原式10cos 2=-=πx38.求定积分⎰++10)32)(1(dx x x .解:原式2112521032=⎥⎦⎤⎢⎣⎡++=x x x39.求定积分dttet ⎰-1022.解:原式212112---=⎥⎥⎦⎤⎢⎢⎣⎡-=e e t 40.求定积分dx x x ⎰+102212.解:原式[]22)arctan (210π-=-=x x41.求定积分⎰πsin xdxx .解:原式[]ππ=+-=0sin cos xx x42.求定积分dx x xe⎰12ln .解:原式311ln 313==e x43.求定积分⎰2cos sin 3πxdxx .解:原式230sin 2322==πx44.求定积分()⎰ωπωω20sin 为常数tdt t 解:原式2022sin 1cos 12ωπωωωωωω-=⎥⎦⎤⎢⎣⎡+-=t t t45.求定积分dxx ⎰230cos π.解:原式[][]3sin sin 23220=-=πππx x46.求定积分dxx ⎰--2221.解:原式43131231213113123=⎥⎦⎤⎢⎣⎡-+⎥⎦⎤⎢⎣⎡-+⎥⎦⎤⎢⎣⎡-=---x x x x x x47.求定积分⎰+331211dx x .解:原式[]6arctan 331π==x48.求定积分⎰+161 4x x dx .解:原式23ln 2)1ln(2142124+=⎥⎦⎤⎢⎣⎡++-=t t t t x五.应用题1.已知生产某产品x (百台)时,总收入R 的变化率x R -='8(万元/百台),求产量从从1(百台)增加到3(百台)时,总收入的增加量.解:由已知x R -='8得总收入的增加量为:12218)8(R3131312=⎥⎦⎤⎢⎣⎡-=-='=⎰⎰x x dx x dx R2.试描画出定积分⎰ππ2cos xdx所表示的图形面积,并计算其面积.解:[]1sin cos 22=-=-=⎰ππππx xdx S .(图形略)3.试描画出定积分⎰ππ2sin xdx 所表示的面积图形,并计算其面积.解:[]1cos sin 22=-==⎰ππππx xdx S .(图形略)4.计算曲线3x y =,直线3,2=-=x x 及x 轴所围成的曲边梯形面积.解:49741413402433023=⎥⎦⎤⎢⎣⎡+⎥⎦⎤⎢⎣⎡-=+-=--⎰⎰x x dx x dx x S.(图形略) 5.计算抛物线24x y -=与x 轴所围成的图形面积. 解:24x y -=与x 轴的交点为(-2,0),(2,0)6.已知生产某产品x (百台)时,总成本C 的变化率为x C +='2(万元/百台),求产量从1(百台)增加到3(百台)时总成本的增加量.解:.8212)2(31312=⎥⎦⎤⎢⎣⎡+=+=⎰x x dx x C7.计算函数x y sin 2=在⎥⎦⎤⎢⎣⎡2,0π上的平均值.解:[]πππππ4cos 222sin 22020=-==⎰x xdxy8.计算函数x y cos 2=在⎥⎦⎤⎢⎣⎡2,0π上的平均值.解:[]πππππ4sin 222cos 2202===⎰x xdxy第七章定积分的应用一.单选题1.变力使)(x f 物体由],[b a 内的任一闭区间]d ,[x x x +的左端点x 到右端点x x d +所做功的近似值为(C).A.)(x df -B.)(dx fC.dx x f )(D.dx x f )(- 2.一物体受连续的变力)(x F 作用,沿力的方向作直线运动,则物体从a x =运动到b x =,变力所做的功为(A).A.⎰b a x x F d )( B.⎰ab x x F d )( C.⎰-ab x x F d )( D.⎰-ba x x F d )(3.将曲线2x y =与x 轴和直线2=x 所围成的平面图形绕y 轴旋转所得的旋转体的体积可表示为=y V (C ).A.dxx ⎰24π B.⎰4ydyπ C.()dyy ⎰-44π D.()dyy ⎰+44π二.判断题 1.定积分⎰badxx f )(反映在几何意义上是一块[a,b]上的面积.(╳)2.已知边际利润求总利润函数可用定积分方法.(√) 三.填空题 1.计算曲线x y sin =与曲线2π=x 及0=y 所围成的平面图形的面积可用定积分表示为⎰=2sin πdxA .2.抛物线3x y =与x 轴和直线2=x 围成的图形面积为⎰23dxx .3.由曲线2x y =与直线1=x 及x 轴所围成的平面图形,绕x 轴旋转所的旋转体的体积可用定积分表示为⎰=14dxx V x π.四.计算题1.求抛物线3x y =与x 轴和直线3=x 围成的图形面积.2.把抛物线ax y 42=及直线)0(>=b b x 所围成的图形绕x 轴旋转,计算所得旋转体的体积.3.一边长为a m 的正方形薄板垂直放入水中,使该薄板的上边距水面1m ,试求该薄板的一侧所受的水的压力(水的密度为33kg/m 10,g 取2m/s 10).4.计算抛物线2x y =与直线轴和x x x 3,1=-=所围成的平面图形绕x 轴旋转所得到的旋转体体积.5.由22x y x y ==和所围成的图形绕x 轴旋转而成的旋转体体积.6.求由曲线x y 1=与直线x y =及2=x 所围成的图形的面积.7.用定积分求由0,1,0,12===+=x x y x y 所围平面图形绕x 轴旋转一周所得旋转体的体积.8.求曲线22)2(,-==x y x y 与x 轴围成的平面图形的面积.9.用定积分求底圆半径为r ,高为h 的圆锥体的体积.10.计算曲线3x y =和x y =所围成的图形面积.11.计算抛物线24x y -=与x 轴所围成的图形面积.12.求曲线2x y =与x y =所围成的图形的面积。
重庆大学《高等数学(工学类)》课程试卷 第1页 共1页重庆大学《高等数学(工学类)》课程试卷20 — 20 学年 第 学期开课学院: 数统学院 课程号: 考试日期:考试方式:考试时间: 120 分一、选择题(每小题3分,共18分)1. 设函数),(y x f 在曲线弧L上有定义且连续,L 的参数方程为⎩⎨⎧==)()(t y t x ψϕ (),t αβ≤≤其中)(),(t t ψϕ在],[βα上具有一阶连续导数,且22()()0,t t ϕψ''+≠则曲线积分(,)().L f x y ds =⎰(A)⎰βαψϕdt t t f ))(),(( (B)⎰'+'αβψϕψϕdt t t t t f )()())(),((22(C) ⎰αβψϕdt t t f ))(),(( (D) ⎰'+'βαψϕψϕdt t t t t f )()())(),((22知识点:对弧长曲线积分公式;难度等级:1 答案: D2. 设级数∑∞=1n n a 为一交错级数,则().(A)该级数必收敛 (B)该级数必发散(C)该级数可能收敛,也可能发散(D)若0(),n a n →→∞则必收敛知识点:级数收敛的判断;难度等级:1 答案: C3. 下列方程中,设21,y y 是它的解,可以推知21y y +也是它的解的方程是().(A)0)()(=++'x q y x p y (B) 0)()(=+'+''y x q y x p y(C) ()()()y p x y q x y f x '''++= (D) ()()0y p x y q x '''++=知识点:线性微分方程的解的性质;难度等级:1答案 答案: B微答4. 设函数(,)F x y 可微,如果曲线积分(,)()C F x y xdx ydy +⎰与路径无关,则(,)F x y 应满足().(A)(,)(,)y x yF x y xF x y ''= (B)(,)(,)y x F x y F x y ''=命题人:组题人:审题人:命题时间:教务处制学院 专业、班 年级 学号 姓名 考试教室公平竞争、诚实守信、严肃考纪、拒绝作弊封线密(C)(,)(,)yy xx yF x y xF x y ''''= (D)(,)(,)y x xF x y yF x y ''= 知识点:曲线积分与路径无关;难度等级:1;答案: D 分析: 由曲线积分与路径无关的条件,计算可得. 5. 设2222:,x y z R Ω++≤则⎰⎰⎰Ω+dxdydz y x )(22().=(A) 538R π (B) 534R π (C)5158R π (D) 51516R π 知识点:三重积分计算;难度等级:2;答案: C 6. 已知曲线)(x y y =经过原点且在原点处的切线与直线062=++y x平 行,而)(x y 满足微分方程250,y y y '''-+=则曲线的方程为=y().(A)x e x 2sin - (B) )2cos 2(sin x x e x -(C) )2sin 2(cos x x e x - (D)x e x 2sin知识点:二阶线性齐次微分方程的通解;难度等级:1;答案: A二、填空题(每小题3分,共18分)7. 设2,yzt xz u e dt =⎰则__________.uz ∂=∂知识点:多元函数的偏导数,变限函数求导;难度等级:1。
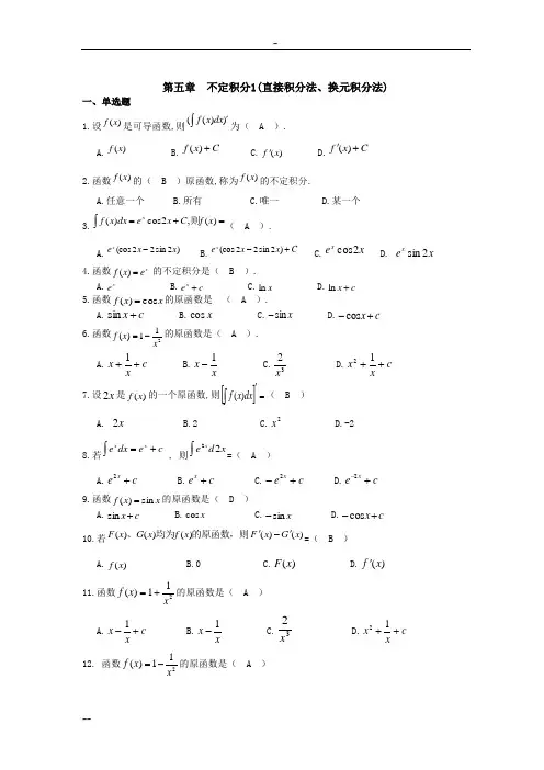
第五章 不定积分1(直接积分法、换元积分法)一、单选题1.设)(x f 是可导函数,则⎰'))((dx x f 为( A ).A.)(x fB.C x f +)(C.)(x f 'D.C x f +')(2.函数)(x f 的( B )原函数,称为)(x f 的不定积分.A.任意一个B.所有C.唯一D.某一个 3.⎰=+=)(,2cos )(x f C x e dx x f x 则( A ).A.)2sin 22(cos x x e x -B.C x x e x +-)2sin 22(cosC.x e x 2cosD. x e x2sin4.函数x e x f =)(的不定积分是( B ).A.x eB.c e x +C.x lnD.c x +ln 5.函数x x f cos )(=的原函数是 ( A ).A.c x +sinB.x cosC.x sin -D.c x +-cos 6.函数211)(xx f -=的原函数是( A ).A.c x x ++1 B.x x 1- C.32xD.c x x ++12 7.设x 2是)(x f 的一个原函数,则[]='⎰dx x f )(( B )A. x 2B.2C.2x D.-28.若ce dx e x x+=⎰, 则⎰xd ex22=( A )A.c ex+2 B.c e x + C.c e x +-2 D.c e x +-29.函数x x f sin )(=的原函数是( D )A.c x +sinB.x cosC.x sin -D.c x +-cos10.若)()()()()(x G x F x f x G x F '-'的原函数,则均为、=( B ) A.)(x f B.0 C.)(x F D.)(x f ' 11.函数211)(x x f +=的原函数是( A ) A.c xx +-1B.x x 1-C.32xD.c x x ++1212. 函数211)(xx f -=的原函数是( A )A.c xx ++1B.x x 1-C.32xD.c x x ++1213.若函数)(x f 、)(x g 在区间),(b a 内可导,且)()(x g x f '=',则( B ) A.)()(x g x f = B.C x g x f +=)()(C.)()(x g x f ≠D. 不能确定)(x f 与)(x g 之间的关系 14.若)()(x f x F =',则下列等式成立的是( B ). A.C x f dx x F +='⎰)()( B.⎰+=C x F dx x f )()( C.⎰+=C x f dx x F )()( D.C x F dx x f +='⎰)()( 15.经过点)1,0(-,且切线斜率为x 2的曲线方程是( D ).A.2x y =B. 2x y -=C. 12+=x yD. 12-=x y 二.填空题1.)25ln(2125x d x dx --=-.2.)1(212x d xdx --=.3.C aa dx a xx +=⎰ln .4.设)(x f 是连续函数,则dx x f dx x f d )()(=⎰.5.xx cos 2+的原函数是x x sin 2+.6.]4)3[(21)3(2---=-x d dx x .7.C x xdx +=⎰7sin 717cos .8.)1(ln 3133-=x x a d adx a .9.)3(cos 313sin x d xdx -=.10.C x dx x x +=⎰2ln 21ln .11.C x dx x +=⎰4341.12.)C 41(2222+-=--x x e ddx xe .13.C x xdx x +=⋅⎰2sin 21sin cos . 14.C x dx x +=+⎰3arctan 319112. 15.C x x dx x +-=⎰)sin (212sin 2.16.⎰+='C x f dx x f )2(21)2(.17.设⎰+=.)()(C x F dx x f ,若积分曲线通过原点,则常数)0(F C -=.18.)3(arctan 31912x d x dx=+. 19.)(2122x x e d dx xe =.20.已知xx f C x dx x f 2sin )(,sin )(2=+=⎰则.21.设)()()(21x f x F x F 是、的两个不同的原函数,且=-≠)()(,0)(21x F x F x f 则有 C .22.C x x dx x x +-=+-⎰222111 23.Ce dx e x xx +-=⎰1121.24.)1ln(21122-=-x d dx x x .25.若x x f sin )(的导函数是,则)(x f 的原函数为Cx +-sin .26.设)(3x f x 为的一个原函数,则dx x x df 23)(=.27.)2cos 41(812sin x d xdx -=28.x x sin 2+的一个原函数是x x cos 313-.29.)3(cos 33sin x d dx x -=.30.Cx xdx +-=⎰cos ln tan .31.()C x dx x +--=-⎰)21sin(2121cos .32.Cx xdx +=⎰tan sec 2. 33.C x xdx+-=⎰3cot 313sin2.34.设x 2是)(x f 的一个原函数,则⎰='])([dx x f 2 .三.判断题1.⎰+=cx xdx cos sin ( × ) 2.xxe dx e =⎰( × )3.⎰-=.cos sin x xdx ( × ) 4.⎰+-=cx xdx cos sin ( √ ) 5.)21sin()]21[sin(x dx x -=-⎰( × ) 6.⎰+-=cx xdx sin cos ( × )四.计算题1.求不定积分dx x x ⎰+21. 解:原式=C x x d x ++=++⎰23222)1(31)1(1212.求不定积分dx x ⎰-31. 解: 原式=C x +--3ln3.求不定积分⎰+dx e e x x 1. 解:原式=C e e d ex x x ++=++⎰)1ln()1(11 4.求不定积分⎰+-dx x x x )3sin 21(. 解: 原式=C x x x +++ln 3cos 22 5.求不定积分⎰-dx xe x 2. 解: 原式=C e x +--221 6.求不定积分dx x x⎰+12. 解: 原式=C x ++)1ln(212 7.求不定积分dx x x⎰+2)72(. 解: 原式=C xx x ++⋅+7ln 24914ln 1422ln 24 8.求不定积分⎰+dx x 10)12(. 解: 原式=C x ++11)12(2219.求不定积分⎰+-dx xx x )1)(1(. 解: 原式=C x x x x x +-+-221522210.求不定积分⎰xdx 2sin . 解: 原式=C x x +-2sin 4121 11.求不定积分⎰dx x x 22cos sin 1. 解: 原式=C x x +-cot tan12.求不定积分dx x ⎰+321. 解: 原式=C x ++32ln 2113.求不定积分xdx xarctan 112⎰+. 解: 原式=C x +2)(arctan 21 14.求不定积分⎰-dx xx 4313. 解: 原式=C x +--41ln 43 15.求不定积分⎰+dx x 2411. 解: 原式=C x +2arctan 2116.求不定积分⎰+dx x x)5(3. 解: 原式=C x x++5ln 5414 17.求不定积分⎰-dx e x5. 解: 原式=C e x+--551五.应用题1.设一质点作直线运动,已知其加速度为t t a sin 3122-=,如果0=t 时3,500-==s v , 求(1)t v 与的函数关系; (2)t s 与的函数关系. 解:32sin 3)(2sin 3)2cos 34()(2cos 34)(cos 34)sin 312()(43,04335,032-++=−−−→−+++=++=++=−−→−++=-=-====⎰⎰t t t t s c t t t dt t t t s t t t v C t t dt t t t v s t v t2.求经过点(0,0),且切线斜率为x 2的曲线方程.解:20,022x y C x xdx y y x =−−−→−+====⎰3.一物体由静止开始运动,t 秒末的速度是23t (米/秒),问(1)在3秒末物体与出发点之间的距离是多少? (2)物体走完360米需多长时间?解:设运动方程为:3,032)(3)(t t S C t dt t t S S s t =−−→−+=====⎰(1)当3=t 时,27)3(=S (米) (2)当.360360)(33秒=⇒==t t t S4.一曲线过原点且在曲线上每一点),(y x 处的切线斜率等于3x ,求这曲线的方程. 解:40,0434141x y C x dx x y y x =−−−→−+====⎰ 5.已知物体由静止开始作直线运动,经过t 秒时的速度为180360-t (米/秒),求3秒末物体离开出发点的距离.解: t t t S C t t dt t S s t 180180)(180180180)-60t 3()(2,02-=−−→−+-====⎰.当3=t 时,1080)3(=S (米).6.求经过点)1,(e ,且切线斜率为x 1的曲线方程.解:x y C x dx xy y e x ln ln 11,=−−→−+====⎰. 7.求经过点(0,0),且切线斜率为211x+的曲线方程.解:x y C x dx x y y x arctan arctan 110,02=−−−→−+=+===⎰.第五章 不定积分2一.单选题1.下列分部积分法中, dv u ,选择正确的是( A ). A.⎰==xdxdv x u xdx x 2sin 2sin ,, B.xdxdv u xdx ln ,1,ln ==⎰C.dxx dv e u dx e x x x22,,==--⎰D.xdxdv e u dx xe xx==⎰,,2.⎰⎰-=)(2arctan d 2arctan Axd x x x x .A.x arctan2B.x arctan4C.x arctan2-D.x arctan4- 3.=⎰2-4d xx ( A ).A.C x +2arcsinB.C x +arcsinC.C x+2arccos D.C x +arccos二.判断题1.分部积分法u v uv v u d d ⎰-=⎰的关键是恰当的选择u 和v d ,使u v d ⎰应比v u d ⎰容易积分.( √ )2.若被积函数中含有22a x ±,则可利用三角函数代换法化原积分为三角函数的积分.( √ )三.填空题1.Cx dx x ++=+⎰1211.2.设)(x f 有一原函数⎰+-='Cx dx x f x xx cos )(,sin 则.3.C x x x xdx x +-=⎰2241ln 21ln .4.)3(arcsin 31912x d xdx =-.5.Cx x e dx e x x x ++-=⎰)22(22.6.⎰++-=C x x x xdx x 3sin 913cos 313sin .四.计算题1.求不定积分⎰-dx x x232. 解:原式=Cx x d x +--=---⎰2223231)32(321612.求不定积分⎰dxxe x22. 解:原式=Cxxe x++-)21(21223.求不定积分⎰++dxxx11. 解:CxxCttdttttx+--+=+-=-=+⎰1)1(3232)22(132232原式4.求不定积分⎰+)1(xxdx. 解:cxCtdtttx+=+=+=⎰arctan2arctan21222原式5.求不定积分⎰xdxx2sin. 解:原式=Cxxx++-2sin412cos216.求不定积分⎰+dxex x5)2(. 解:原式=Cxe x++)59(5157.求不定积分dxxe x⎰-4. 解:原式Cxe x++-=-)16141(48. 求不定积分⎰++dxx111. 解:原式[]Cxx+++-+=)11ln(129.求不定积分⎰+-dxx1211. 解:原式[]Cxx+-+++=112ln12-10.求不定积分dxe x⎰+11. 解:原式=Ceexx+++-+1111ln11.求不定积分⎰xdxx ln2. 解:原式Cxx+-=)31(ln31312.求不定积分dxxx⎰-1. 解:原式Cxx+---=)1arctan1(213.求不定积分⎰---dxxx22112. 解:原式Cxx+-=)(arcsin214.求不定积分⎰dxax x2)1,0(≠>aa. 解:原式Caaxaxa x++-=)ln2ln2ln(32215.求不定积分dxx⎰-2941. 解:原式Cx+=23arcsin3116.求不定积分dxx⎰sin. 解:原式Cxxx++=sin2cos-217.求不定积分⎰xdxx 3cos . 解:原式C x x x ++=3cos 913sin 31 18.求不定积分dxx x ⎰+2. 解:原式C x x ++-+=2123)2(4)2(32五.应用题 (增加题)第六章 定积分一.单选题 1.)(240Ddx x =-⎰A.⎰⎰-+-4220)2()2(dxx dx x B.⎰⎰-+-422)2()2(dxx dx x C.⎰⎰-+-422)2()2(dxx dx x D.⎰⎰-+-422)2()2(dxx dx x2.=⎰a adx x f )(( C ) A.大于0 B.小于0 C.等于0 D.不能确定 3.⎰⎰--=+1111)()(dx x f dx x f ( C )A.大于0B.小于0C.等于0D.不能确定 4.定积分⎰badxx f )(是( D )A.一个原函数B.()x f 的一个原函数C.一个函数族D.一个常数 5.定积分⎰badxx f )(的值的大小取决于( C )A.)(x fB.区间 []b a ,C.)(x f 和[]b a ,D.都不正确 6.定积分⎰badxx f )(的值的大小取决于( C )A.)(x fB.区间 []b a ,C.)(x f 和[]b a , D.无法确定 7.⎰⎰=-3234)()(dx x f dx x f ( A )A.⎰42)(dxx f B.⎰24)(dxx f C.⎰43)(dxx f D.⎰32)(dxx f8.下列命题中正确的是( C )(其中)(),(x g x f 均为连续函数) A.在[]b a ,上若)()(x g x f ≠则dxx g dx x f ba ba⎰⎰≠)()( B.⎰⎰≠babadtt f dx x f )()( C.若)()(x g x f ≠,则⎰⎰≠dxx g dx x f )()( D.⎰=b adxx f dx x f d )()(9.=⎰dx x f dx dba)(( B )A.)(x fB.0C.)(x f 'D.)(x F 10. 若1)(=x f ,则⎰=ba dx x f )(( C )A.1B.b a -C. a b -D.0 11.定积分⎰badxx f )(是( B )A.任意的常数B.确定的常数C.)(x f 的一个原函数D.)(x f 的全体原函数 12.若⎰=+12)2(dx k x ,则=k ( B )A.-1B.1C.1/2D.0 13.=-⎰dx x 5042( C )A.11B.12C.13D.14二.判断题1.函数在某区间上连续是该函数在该区间上可定积分的必要条件. ( × )2.a b dx ba -=⎰0 . ( × )3.⎰='badx x f 0))(( . ( × )4.x xdx dx d ba sin sin ⎰=. ( × )三.填空题1.设)(x f '在[]b a ,上连续,则)()()(a f b f dx x f b a-='⎰.2.C dx xxx +=⋅⎰6ln 6321. 3.4111022π-=+⎰dx x x .4.ee dx xe x-=⎰2121.5.设⎰⎰==52515)(,3)(dx x f dx x f ,则2)(21-=⎰dx x f .6..0113=⎰-dx x .7.若)(x f 在[]b a ,上连续,且⎰=ba dx x f 0)(,则[]ab dx x f ba-=+⎰1)(.8.由曲线22+=x y ,直线3,1=-=x x 及x 轴围成曲边梯形的面积352)2(312=+=⎰-dx x A . 9..0sin 12=⎰dx x dx d .10.11ln4141=+-⎰-dx xx.11.1)1sin(212=⎰dx xx ππ. 12.32112=⎰-dx x .13.0cos 11⎰-=xdx x .14.利用定积分的几何意义填写定积分的值π41112=-⎰dx x .15.202sin sin x dt t dx dx⎰=.16..0sin 222=⎰-xdx x .17..0113=⎰-dx x .18. 的值为积分.21ln 1⎰edx x x 19.2)253(22224⎰⎰=++-dx dx x x .20.11-=⎰e dx e x . 21.431=⎰-dx .22.⎰1212ln xdxx 的值的符号为 负 .四.计算题 1.求定积分.⎰+411xdx解:原式)32ln 1(2+= 2.求定积分⎰-124x dx. 解:原式6arcsin 10π==x3.求定积分⎰-+-01)32)(1(dxx x . 解:原式21-=4.求定积分dxx⎰--2121211 解:原式3arcsin 2121π==-x5.求定积分⎰-+12511x dx 解:原式=2ln 54)511ln(5112=⎥⎦⎤⎢⎣⎡+-x6.求定积分dx x ⎰+9411解:原式[])2ln 1(2)1ln(232+-=-+-=t t 7.求定积分dxex⎰-1. 解:原式ee x1101-=-=- 8.求定积分dxx ⎰212 解:原式3712313==x9.求定积分θθπd ⎰402tan 解:原式[]4104tan ππθθ-=-=10.求定积分.dx xx ⎰+402sin 12sin π解:原式232ln 04)sin 1ln(=+=πx 11.求定积分dxx x ⎰-ππ23sin . 解:原式=012.求定积分()dxxx ⎰--2121221arcsin . 解:原式=324)(arcsin 3132113π=-x 13.求定积分dxx x ⎰+911. 解:原式2ln 213)1ln(2=+=x14.求定积分dx e x x⎰12. 解:原式201)22(2-=+-=e x x e x15.求定积分⎰+104)1(x dx 解:原式24701)1(31-3=+=-x 16.求定积分dxxe x ⎰2. 解:原式102)1(2+=-=e x e x17.求定积分⎰-1dxxe x . 解:原式ex e x2101)1(--=+=-18.求定积分dx x ⎰⎪⎭⎫ ⎝⎛+πππ33sin . 解:原式0)3cos(3=+-=πππx19.已知⎩⎨⎧≤<-≤≤=31,210,)(2x x x x x f ,计算⎰20)(dx x f . 解:原式⎰⎰-=-+=211261)2(dx x dx x 20.求定积分()d x x x +⎰194. 解:原式627149)2132(223=+=x x21.求定积分⎰1arctan xdxx . 解:原式=214)arctan arctan (21102-=⎥⎦⎤⎢⎣⎡+-πx x x x22.求定积分⎰10arcsin xdx . 解:原式1201)1arcsin (2-=-+=πx x x 23.求定积分⎰262cos ππudu . 解: 原式836)2sin 21(2162-=+=πππu u24.求定积分()dx x x x ⎰+2sin π. 解: 原式18sin cos 2122+=⎥⎦⎤⎢⎣⎡+-=ππx x x x25.求定积分dx x x ⎰-121221. 解: 原式[]41cot sin 24πππ-=--=t t t x26.求定积分dxx x 1sin 1212⎰ππ. 解: 原式11cos12==ππx27.求定积分dxx ⎰+11210. 解: 原式10ln 4950110ln 21012==+x 28.求定积分xdxx ⎰23cos sin π解: 原式410cos 41-24==πx29.求定积分⎰1024dx x x . 解: 原式10ln 710ln 81=⎥⎦⎤⎢⎣⎡=x 30.求定积分dx x x e⎰-1ln 1. 解: 原式21ln 21ln 12=⎥⎦⎤⎢⎣⎡-=ex x31.求定积分dxx x ⎰+31)1(1. 解: 原式[]6arctan 2312π==t t x32.求定积分xdxx cos sin 203⎰π. 解: 原式410sin 4124==πx33.求定积分⎰--1321dx x . 解: 原式[]5ln 2ln -13=-=-x34.求定积分dx x x x ⎰++21222)1(12 解: 原式4212arctan 1arctan 21π-+=⎥⎦⎤⎢⎣⎡-=x x 35.求定积分⎰+21ln 1e x x dx. 解: 原式[])13(2ln 1221-=+=ex36.求定积分dxe x x ⎰22. 解: 原式)1(21214202-=⎥⎦⎤⎢⎣⎡=e e x37.求定积分dxx ⎰2sin π. 解: 原式10cos 2=-=πx38.求定积分⎰++10)32)(1(dx x x . 解: 原式211252132=⎥⎦⎤⎢⎣⎡++=x x x39.求定积分dt tet ⎰-1022. 解: 原式212112---=⎥⎥⎦⎤⎢⎢⎣⎡-=e e t40.求定积分dx x x ⎰+102212. 解: 原式[]22)arctan (210π-=-=x x41.求定积分⎰πsin xdxx . 解: 原式[]ππ=+-=0sin cos x x x42.求定积分dx x xe⎰12ln . 解: 原式311ln 313==e x43.求定积分⎰2cos sin 3πxdxx . 解: 原式230sin 2322==πx44.求定积分()⎰ωπωω20sin 为常数tdt t 解: 原式2022sin 1cos 12ωπωωωωωω-=⎥⎦⎤⎢⎣⎡+-=t t t45.求定积分dxx ⎰230cos π. 解: 原式[][]3sin sin 23220=-=πππx x46.求定积分dxx ⎰--2221. 解:原式43131231213113123=⎥⎦⎤⎢⎣⎡-+⎥⎦⎤⎢⎣⎡-+⎥⎦⎤⎢⎣⎡-=---x x x x x x47.求定积分⎰+331211dx x . 解:原式[]6arctan 331π==x48.求定积分⎰+161 4xx dx . 解:原式23ln 2)1ln(2142124+=⎥⎦⎤⎢⎣⎡++-=t t t t x五.应用题1.已知生产某产品x (百台)时,总收入R 的变化率x R -='8 (万元/百台),求产量从从1(百台)增加到3(百台)时,总收入的增加量. 解:由已知x R -='8得总收入的增加量为:12218)8(R 3131312=⎥⎦⎤⎢⎣⎡-=-='=⎰⎰x x dx x dx R2.试描画出定积分⎰ππ2cos xdx所表示的图形面积,并计算其面积.解:[]1sin cos 22=-=-=⎰ππππx xdx S . (图形略)3.试描画出定积分⎰ππ2sin xdx 所表示的面积图形,并计算其面积.解:[]1cos sin 22=-==⎰ππππx xdx S . (图形略)4.计算曲线3x y =,直线3,2=-=x x 及x 轴所围成的曲边梯形面积.解:49741413402433023=⎥⎦⎤⎢⎣⎡+⎥⎦⎤⎢⎣⎡-=+-=--⎰⎰x x dx x dx x S .(图形略)5.计算抛物线24x y -=与x 轴所围成的图形面积. 解: 24x y -=与x 轴的交点为(-2,0),(2,0)3323142)4(23222=⎥⎦⎤⎢⎣⎡-=-=⎰-x x dx x S6.已知生产某产品x (百台)时,总成本C 的变化率为x C +='2(万元/百台),求产量从1(百台)增加到3(百台)时总成本的增加量. 解:.8212)2(31312=⎥⎦⎤⎢⎣⎡+=+=⎰x x dx x C7.计算函数x y sin 2=在⎥⎦⎤⎢⎣⎡2,0π上的平均值.解:[]πππππ4cos 222sin 22020=-==⎰x xdxy8.计算函数x y cos 2=在⎥⎦⎤⎢⎣⎡2,0π上的平均值.解:[]πππππ4sin 222cos 22020===⎰x xdxy第七章 定积分的应用一.单选题1.变力使)(x f 物体由],[b a 内的任一闭区间]d ,[x x x +的左端点x 到右端点x x d +所做功的近似值为( C ).A.)(x df -B.)(dx fC.dx x f )(D.dx x f )(-2.一物体受连续的变力)(x F 作用, 沿力的方向作直线运动,则物体从a x =运动到b x =, 变力所做的功为( A ). A.⎰b a x x F d )( B.⎰a b x x F d )( C.⎰-ab x x F d )( D.⎰-ba x x F d )(3.将曲线2x y =与x 轴和直线2=x 所围成的平面图形绕y 轴旋转所得的旋转体的体积可表示为=y V ( C ).A.dx x ⎰204π B.⎰4ydyπ C.()dyy ⎰-44π D.()dyy ⎰+44π二.判断题 1.定积分⎰badxx f )(反映在几何意义上是一块[a,b]上的面积. ( ╳ )2.已知边际利润求总利润函数可用定积分方法. ( √ )三.填空题1.计算曲线x y sin =与曲线2π=x 及0=y 所围成的平面图形的面积可用定积分表示为⎰=2sin πdxA .2.抛物线3x y =与x 轴和直线2=x 围成的图形面积为⎰23dxx .3.由曲线2x y =与直线1=x 及x 轴所围成的平面图形,绕x 轴旋转所的旋转体的体积可用定积分表示为⎰=14dxx V x π.四.计算题1.求抛物线3x y =与x 轴和直线3=x 围成的图形面积.2.把抛物线ax y 42=及直线)0(>=b b x 所围成的图形绕x 轴旋转,计算所得旋转体的体积. 3.一边长为a m 的正方形薄板垂直放入水中,使该薄板的上边距水面1m ,试求该薄板的一侧所受的水的压力(水的密度为33kg/m 10, g 取2m/s 10).4.计算抛物线2x y =与直线轴和x x x 3,1=-=所围成的平面图形绕x 轴旋转所得到的旋转体体积.5.由22x y x y ==和所围成的图形绕x 轴旋转而成的旋转体体积.6.求由曲线x y 1=与直线x y =及2=x 所围成的图形的面积.7.用定积分求由0,1,0,12===+=x x y x y 所围平面图形绕x 轴旋转一周所得旋转体的体积.8.求曲线22)2(,-==x y x y 与x 轴围成的平面图形的面积.9.用定积分求底圆半径为r ,高为h 的圆锥体的体积.10.计算曲线3x y =和x y =所围成的图形面积.11.计算抛物线24x y -=与x 轴所围成的图形面积.12.求曲线2x y =与x y =所围成的图形的面积。
重庆大学高等数学Ⅱ-2(重修)课程试卷2009 ~2010 学年 第一学期开课学院: 数理学院 课程号: 考试日期2009年12月考试方式:考试时间:120 分一、 填空题(每空3分,共15分)⒈过点M (2,4,-3)且平行于直线31215yx z --==的直线方程为。
2.已知22ln()z x y =+,则(1,1)dz= 。
⒊级数01!2n n n ∞=∑的和为 。
4.设积分区域D 是由曲线2,,1y x y x y ===围成的区域,则2Ddxdy =⎰⎰ 。
⒌已知二阶常系数线性齐次微分方程的两个解分别为312,x x y e y e -==,则该微分方程为 。
二、 计算题(共18分)⒈(9分)设sin u z e v =,而,u xy v x y ==+求z zx y∂∂∂∂和。
2.(9分)求函数u xyz =在点(1,1,2)处沿从点(1,1,2)到点(2,4,3)的方向导数。
命题人:组题人:审题人:命题时间:教务处制学院 专业、班 年级 学号 姓名公平竞争、诚实守信、严肃考纪、拒绝作弊封线密三、 计算题(共18分)1.(9分)求螺旋线cos ,sin ,a y a z b x θθθ===在点(,0,0)a 处的切线及法平面方程。
2.(9分)用格林公式计算积分:(sin )(cos )Lx x Ie y my dx e y m dy=-+-⎰,其中L 为由点(,0)A a 至点O(0,0)的上半圆周y =四、 计算题(共49分)1.(9分)求微分方程210y y '''++=的通解。
2.(9分),求过点)2,1,3(-且通过直线12354zy x =+=-的平面方程。
3.(9分)利用高斯公式计算曲面积分⎰⎰∑-+-xdydz z y dxdy y x )()(,其中Ω===+∑所围成的空间闭区域及平面为柱面3,0122z z y x 的整个边界曲面的外侧。
重庆大学《高等数学(工学类)》课程试卷第1页共1页重庆大学《高等数学(工学类)》课程试卷A卷B卷20 —20 学年第学期开课学院: 数统学院课程号: 考试日期:考试方式:开卷闭卷 其他考试时间: 120 分题号一二三四五六七八九十总分得分一、选择题(每小题3分,共18分)1. 设向量a与三轴正向夹角依次为,,,αβγ则当cos0β=时有().(A) a⊥xoy面(B) a//xoz面(C) a⊥yoz面(D) a xoz⊥面知识点:向量与坐标的位置关系,难度等级:1.答案: (B)分析:cos0,β=,2πβ=a垂直于y轴,a//xoz面.2. 若某个三阶常系数线性齐次微分方程的通解为212323,y C C x C x=++其中123,,C C C为独立的任意常数,则该方程为().(A)0y y'''+=(B) 30yy'''+'=(C)0y y'''-=(D) 0y'''=知识点:通过微分方程的通解求微分方程,难度等级:2.答案: (D)分析:由通解中的三个独立解21,,x x知,方程对应的特征方程的特征根为1230.λλλ===因此对应的特征方程是30.λ=于是对应的微分方程应是0.y'''=故应选(D).3. 设D由14122≤+≤yx确定.若1221,DI dx yσ=+⎰⎰222(),DI x y dσ=+⎰⎰223ln(),DI x y dσ=+⎰⎰则1,I2,I3I之间的大小顺序为().(A)321III<<(B)231III<<(C)132III<<(D)123III<<知识点:二重积分比较大小,难度等级:1.答案:(D)分析:积分区域D由22114x y≤+≤确定.在D内,2222221ln(),x y x yx y+<+<+故321.I I I<<只有D符合.4.设曲线L是由(,0)A a到(0,0)O的上半圆周22,x y ax+=则曲线积分命题人:组题人:审题人:命题时间:教务处制学院专业、班年级学号姓名考试教室公平竞争、诚实守信、严肃考纪、拒绝作弊封线密考试提示1.严禁随身携带通讯工具等电子设备参加考试;2.考试作弊,留校察看,毕业当年不授学位;请人代考、替他人考试、两次及以上作弊等,属严重作弊,开除学籍.(sin )(cos )().xx Ley my dx e y m dy -+-=⎰(A)0 (B)22m a π (C)28m a π (D)24m a π知识点:对坐标的曲线积分,格林公式,难度等级:2. 答案:(B)分析:补充直线段1:0(:0),L y x a =→则1L L +为封闭曲线在上使用格林公式可得12,2L L Dm mdxdy a π+==⎰⎰⎰而10.L =⎰选B.5. 已知向量23,a m n =+则垂直于a 且同时垂直于y 轴的单位向量().e =(A))i j k ++ (B))i j k -+ (C))2i k ±- (D)()2i k ±+知识点:向量垂直,单位向量,难度等级:1. 答案:(C) 分析:向量111010i j ki k =-+垂直于a 且同时垂直于y 轴,其模为6. 设∑为球面2222,x y z R ++=则22()().84x y I dS ∑=+=⎰⎰(A)24R π (B)545R π (C)24R π (D)R π4知识点:对面积的曲面积分,对称性,难度等级:2. 答案:(C)分析: 由于积分曲面关于三个坐标面对称,且满足轮换,故有2222224114()4.333x dS x y z dS R R R ππ∑∑=++=⋅=⎰⎰⎰⎰利用上述结论所求I 为23.8x dS ∑⎰⎰故选C.二、填空题(每小题3分,共18分)7. 幂级数21!n nn n x n ∞=∑的收敛半径为__________.知识点:幂级数收敛半径,难度等级:1. 答案分析:1`22222(1)(1)(1)!lim lim 1!n n n n n n n n n xn n x ex x n n x n ++→∞→∞+++==<⇒< 8. 由原点向平面引垂线,垂足的坐标是),,(c b a ,此平面的方程为__________.知识点:平面方程,难度等级:1.答案:23120.x y z -+-=分析:该平面的法向量为22350,x y z -+-=且过点22350,x y z -+-=则其平面的方程23120.x y z -+-=9. 设L 为椭圆221,34x y +=其周长记为,a 则求22(243)Lxy x y ds ++⎰__________.=知识点:对坐标的曲线积分,难度等级:1. 答案:12.a10. 设区域D 为222,x y R +≤则()DR y dxdy +⎰⎰__________.=知识点:二重积分的计算,对称性,难度等级:2. 答案:3.R π分析:所求几何体为一圆柱体被一平面劈开剩下部分,由几何形状知其为圆柱体体积一半,可得结果.或直接由被积函数奇偶分开,及积分区域对称立得. 11.3222(2cos )(12sin 3)__________,Lxy y x dx y x x y dy -+-+=⎰其中为抛物线22x y π=上由到的一段弧.知识点:对坐标的曲线积分,积分与路径无关,难度等级:2答案:2.4π解: 322cos ,P xy y x =-2212sin 3,Q y x x y =-+262cos .Q P xy y x x y∂∂⇒=-=∂∂ 3222(2cos )(12sin 3)L xy y x dx y x x y dy ⇒-+-+⎰与积分路径无关.⇒取L 为由(0,0),(,0),(,1)22ππ组成的折线,则2132222203(2cos )(12sin 3)0(12).44L xy y x dx y x x y dy y y dy ππ-+-+=+-+=⎰⎰12. 设∑为曲面2221x y z ++=的外侧,则333I x dydz y dzdx z dxdy∑=++⎰⎰__________.=知识点:对坐标的曲面积分,球坐标,难度等级:3. 答案:12.5π分析: 由高斯公式,2122240123()3sin .5I x y z dV d d r dr ππθϕϕΩ=++==⎰⎰⎰⎰⎰⎰三、计算题(每小题6分,共24分)13. 求初值问题2(2)|1x ydy x y dxy ==+⎧⎨=⎩的解.知识点:齐次微分方程的初值问题,求解,难度等级:1. 分析:所给方程为齐次微分方程,作代换yu x=化为可分离变量的微分方程. 解:将方程改写为2.dy x y dx y+= 这是齐次方程.令,y xu =则.dy du u x dx dx=+ 代入上式得L (0,0))1,2(π21.du u xdx u+=+ 这是变量分离方程,且有(2)1(2).22y u ==积分得21ln |2|ln |1|0.33x u u C +-+++= 代入初值可解得32ln .2C =--故原方程的特解为213ln |2|ln |1|2ln 0.332y y x x x +-++--=14. 求级数11(4)!n n ∞=∑的和. 知识点:级数和,难度等级:3分析:利用级数之和,幂级数的逐项求导解: 0,.!nx n x e x R n ∞==∈∑(1),.!n nx n x e x R n ∞-=-⇒=∈∑20,.(2)!2n x xn x e e x R n -∞=+⇒=∈∑又 20(1)cos ,.(2)!n nn x x x R n ∞=-=∈∑ 40cos 2,.(4)!2x xn n e e x x x R n -∞=++⇒=∈∑ 111cos112.(4)!2n e e n -∞=++⇒=∑ 15. 计算222()L ydx xdy x y -+⎰,其中L 为圆周22(1)2,x y -+=L 的方向为逆时针方向.知识点:对坐标的曲线积分,积分与路径无关,取特殊路径;难度等级:3.分析:先注意积分与路径无关,后根据分母特点取特殊路径积分.解:当(,)(0,0)x y ≠时,22222.2()P x y Qy x y x∂-∂==∂+∂作小圆222:,C x y ε+=取逆时针方向,则222222222112.2()2()22L C Cx y ydx xdy ydx xdy ydx xdy dxdy x y x y επεε+≤--==-=-=-++⎰⎰⎰⎰⎰16. 求力(,,)F y z x =沿有向闭曲线L 所作的功,其中L 为平面1x y z ++=被三个坐标面所截成的三角形的整个边界,从z 轴正向看去,顺时针方向.知识点:变力没曲线作功,难度等级:2.分析: 曲线积分的边界已为闭,用斯克斯公式,或化为平面曲线积分用格林公式.解: 用斯托克斯公式,取∑为平面1x y z ++=的下侧被L 所围的部分,∑1,1,1).--- 力F 所做的功为LW ydx zdy xdz =++⎰x y y z ∑---=∂∂∂∂⎰⎰3.2===⎰⎰四、解答题(每小题6分,共12分)17.设(),u yxf z =其中()f z 二阶可导,(,)z z x y =由方程2ln 10x y z +-+=所确定,求22.ux∂∂知识点:方程组的二阶偏导数,难度等级:2. 分析:()u yxf z =对x 求二阶偏导数得22,ux ∂∂但其中会包含z 对x 的二阶偏导数22zx ∂∂.2ln 10x y z +-+=两边对x两次求偏导数,可求出22zx∂∂.解:()(),u z yf z xyf z x x∂∂'=+∂∂ 222222()()()(),u z z zyf z xyf z xyf z x x x x∂∂∂∂''''=++∂∂∂∂221,1,z z x zz zz x x∂==∂∂∂==∂∂2222()()().uyzf z xyz f z xyzf z x∂''''=++∂ 18. 计算曲面积分323232()()(),x az dydz y ax dzdx z ay dxdy ∑+++++⎰⎰其中∑为上半球面z =.知识点:高斯公式,球面坐标,极坐标,难度等级3. 分析: 补充辅助面用高斯公式,再用球面坐标.解: 设222:,0x y a S z ⎧+≤⎨=⎩取下侧,则∑与S 围成的区域为,ΩS 在xoy 面的投影区域为.D 于是323232()()()SI x az dydz y ax dzdx z ay dxdy ∑+=+++++⎰⎰323232()()()Sx az dydz y ax dzdx z ay dxdy -+++++⎰⎰22223()Dx y z dv ay dxdy Ω=+++⎰⎰⎰⎰⎰222222203sin sin a a d d r r dr a d r rdr πππθϕϕθθ=⋅+⋅⎰⎰⎰⎰⎰555615429.20a a a πππ=+=五、 证明题(每小题6分,共12分)19. 证明:()()0()()().ay am a x m a x dy e f x dx a x e f x dx --=-⎰⎰⎰知识点:二重积分交换积分次序,难度等级:1分析: 将二次积分化为定积分,注意到被积函数不含变量,y 先对y 积分,故将积分区域D 由y 型区域化为x 型区域计算可得证明结果证明: 积分区域为,0,{()0|},D x y y a x y =≤≤≤≤并且D 又可表示为,0,{(}.)|D x y x a x y a =≤≤≤≤ 所以()()()0()()()().ay a a am a x m a x m a x xdy e f x dx dx e f x dy a x e f x dx ---==-⎰⎰⎰⎰⎰20. 设在半平面0x >内有力3()kF xi yj ρ=-+构成力场,其中k 为常数,ρ=证明:在此力场中场力所作的功与所取路径无关. 知识点:变力沿曲线作功,难度等级:1 分析: 验证积分与路径无关. 证明 场力所作的功2232,()Lxdx ydyW k x y +=-+⎰其中L 为力场内任一闭曲线段.223222523;()()Q y xyx x x y x y ⎡⎤∂∂==-⎢⎥∂∂++⎣⎦ 223222523.()()P x xy y y x y x y ⎡⎤∂∂==-⎢⎥∂∂++⎣⎦ 可见,,P Qy x∂∂=∂∂且,P Q 在半平面0x >内有连续偏导数,所以0.W =即场力作用与路径无关.六、应用题 (每小题8分,共16分)21. 已知年复利为0.05,现存a 万元,第一年取出19万元,第二年取出28万元,…,第n 年取出109n +万元,问a 至少为多少时,可以一直取下去?知识点:幂级数的和函数,难度等级:2解:设n A 为用于第n 年提取(109)n +万元的贴现值,则(1)(109).n n A r n -=++ 故1111110919102009.(1)(1)(1)(1)n n n n nn n n n n n n nA A r r r r ∞∞∞∞∞=====+===+=+++++∑∑∑∑∑设1(),(1,1),n n S x nx x ∞==∈-∑ 则21()()(),(1,1).1(1)n n x x S x x x x x x x ∞=''===∈---∑所以11()()4201 1.05S S r ==+万元,故20094203980A =+⨯=万元,即至少应存入3980万元.22.按照牛顿冷却定律:物体在空气中冷却的速度与物体温度和空气温度之差成正比.已知空气温度为30,︒物体在15分钟内从100︒冷却到70︒时,求物体冷却到40︒时所需要的时间?知识点:微分方程数学模型,难度等级:2分析:根据冷却定律建立微分方程初值问题并求解. 解:设在时间t 时,物体的温度为.T C ︒ 根据冷却定律列出方程(30).dTk T dt=-- 分离变量,并积分得,30dTkdt T =-- ln(30)ln .T kt c -=-+故有0.3kt T ce -=+由初始条件:015|100,|70.t t T T ==== 代入可解得1770,ln ,154c k ==即有 17(ln )154.3070t T e-=+当40T =时,由上式可解得15ln 7527ln 4t ==(分).。
第1页 共2页《高等数学(下)》期末课程考试试卷A适用专业:工科专业 考试日期:试卷所需时间120分钟 闭卷 试卷总分100分一、填空题:(每小题2分,共16分)1、(,)limx y →= ;2(,)(0,0)1cos lim()xyx y xyxy e →-= .2、若,(0)x z y y =>,则偏导数x z = ;y z = .3、曲线22220x y z x y z ⎧++=⎨++=⎩在点(0,1,1)-的切线方程为 .4、改变积分次序:23132001(,)(,)xx dx f x y dy dx f x y dy -+=⎰⎰⎰⎰.5、L 为平面上任一不包含原点闭区域的边界,则曲线积分22Lxdy ydxx y -+⎰= .6、设()f x 是以2l 为周期的连续函数,且01()(cos sin )2n n n a n x n xf x a b l lππ∞==++∑,则n a = ,n b = .7、211x-在(1,1)-内展开成x 的幂级数为 . 8、微分方程20y y y '''++=的通解为 .二、选择题:(共6小题,每小题2分,共12分)1、函数(,)z f x xy =具有二阶连续偏导数,则22zx∂∂等于( )(A) 12222xf f xyf ++; (B) 112212(1)f f y f +++; (C) 21112222f yf y f ++; (D) 2111222f yf y f ++.2、积分(,)(,)LP x y dx Q x y dy +⎰与路径无关的充要条件是( )(A)P Q y x ∂∂=∂∂; (B) P Q y x ∂∂=-∂∂; (C) P Q x y ∂∂=∂∂; (D) P Q x y∂∂=-∂∂. 3、二元函数x y x y x z 9332233-++-=的极大值点是( )(A)(1,0); (B)(1,2); (C)(-3,0); (D)(-3,2).4、S 为222x y R += (0)R >上01z ≤≤部分,则22sin()Sx y dS +⎰⎰为( )(A) 22sin R Re R π; (B) 2sin R Re R π; (C) 22sin R R e R π; (D) 0. 5、设1n n u ∞=∑是正项级数,那么下列命题正确的是: ( )(A) 若11n n u u +< ,则1n n u ∞=∑收敛; (B) 若lim 0n n u →∞=,则1n n u ∞=∑收敛; (C) 若21n n u ∞=∑收敛,则1n n u ∞=∑收敛; (D) 若1n n u ∞=∑收敛,则21n n u ∞=∑收敛.6、函数3222222,0(,)0,0x x y f x y x y x y ⎧+≠⎪=+⎨⎪+=⎩,在点(0,0)处说法正确的是( )(A) 偏导数存在且可微; (B) 偏导数存在但不可微; (C) 偏导数不存在且不可微; (D) 以上都不对.三、计算题:(共5小题,每小题10分,共50分)1、求函数32z x y xy =-的所有二阶偏导数.2、已知2z u v =,其中u xy =,v x y =+,求zx ∂∂和z y∂∂.3、计算:22()(2sin )Lx y dx x y dy --+⎰,其中曲线L 是在圆周y =上由点(0,0)到点(1,1)的一段弧.4、计算:D,其中区域D 为:0,022x y ππ≤≤≤≤.5、求:222Sx dydz y dzdx z dxdy ++⎰⎰,其中曲面S 为22z x y =+被1z =所割下的有限部分的下侧.四、(8分)求幂级数1n n nx ∞=∑的收敛域及其和函数.五、(8分)设一平面平行于平面6650x y z +++=,且与三坐标面围成的四面体体积为1,求此平面方程.六、(6分)设(),(0)f x x >可导,且211()1x f x f dt x =+⎰,求()f x .《高等数学(下)》期末课程考试试卷A答案适用专业:工科专业考试日期:试卷所需时间120分钟闭卷试卷总分100分一、填空题:(每小题2分,共16分)1、(,)limx y→= 4 ;2(,)(0,0)1coslim()xyx yxyxy e→-= 1/2 .2、若xz y=,(0)y>则偏导数xz=1xxy-;yz=lnxy y.3、曲线2222x y zx y z⎧++=⎨++=⎩在点(0,1,1)-的切线方程为11211x y z-+==-.4、改变积分次序:231320010(,)(,)xxdx f x y dy dx f x y dy-+=⎰⎰⎰⎰132(,)ydy f x y dx-⎰.5、L为平面上任一不包含原点闭区域的边界,则曲线积分22Lxdy ydxx y-+⎰= 0 .6、设()f x是以2l为周期的连续函数,且01()(cos sin)2n nna n x n xf x a bl lππ∞==++∑,则na=1()cos,(0,1,)lln xf x dx nl lπ-=⎰,n b=1()sin,(1,2,)lln xf x dx nl lπ-=⎰.7、211x-在(1,1)-内展开成x的幂级数为2421nx x x+++++.8、微分方程20y y y'''++=的通解为12()xy C C x e-=+.二、选择题:(共6小题,每小题2分,共12分)1、函数(,)z f x xy=具有二阶连续偏导数,则22zx∂∂等于( C )(A)12222xf f xyf++;(B)112212(1)f f y f+++;(C)21112222f yf y f++;(D)2111222f yf y f++.2、积分(,)(,)LP x y dx Q x y dy+⎰与路径无关的充要条件是(A)(A)P Qy x∂∂=∂∂;(B)P Qy x∂∂=-∂∂;(C)P Qx y∂∂=∂∂;(D)P Qx y∂∂=-∂∂.3、二元函数xyxyxz9332233-++-=的极大值点是( D )(A)(1,0);(B)(1,2);(C)(-3,0);(D)(-3,2).4、S为222x y R+=(0)R>上01z≤≤部分,则22sin()Sx y dS+⎰⎰为(A)(A)22sinRRe Rπ;(B)2sinRRe Rπ;(C)22sinRR e Rπ;(D) 0.5、设1nnu∞=∑是正项级数,那么下列命题正确的是:(D)(A)若11nnuu+<,则1nnu∞=∑收敛;(B)若lim0nnu→∞=,则1nnu∞=∑收敛;(C)若21nnu∞=∑收敛,则1nnu∞=∑收敛;(D)若1nnu∞=∑收敛,则21nnu∞=∑收敛.6、函数3222222,0(,)0,0xx yf x y x yx y⎧+≠⎪=+⎨⎪+=⎩,在点(0,0)处说法正确的是( B )(A) 偏导数存在且可微;(B)偏导数存在但不可微;(C)偏导数不存在且不可微;(D)以上都不对.三、计算题:(共5小题,每小题10分,共50分)1、求函数32z x y xy=-的所有二阶偏导数.解:223zx y yx∂=-∂,32zx xyy∂=-∂,…………4分226zxyx∂=∂,22232z zx yx y y x∂∂==-∂∂∂∂,222zxy∂=-∂…………10分2、已知2z u v=,其中u xy=,v x y=+,求zx∂∂和zy∂∂.解:22332z z u z vx y xyx u x v x∂∂∂∂∂=+=+∂∂∂∂∂…………5分22332z z u z vx y x yy u y v y∂∂∂∂∂=+=+∂∂∂∂∂…………10分第3页共2页3、计算:22()(2sin )Lx y dx x y dy --+⎰,其中L是在圆周y =(0,0)到点(1,1)的一段弧. 解:1222()(2sin )(21)4L L L Dx y dx x y dy dxdy π++--+=--+=⎰⎰⎰…………4分122215sin 2()(2sin )(2sin )24L x y dx x y dy y dy --+=-+=-⎰⎰…………6分 2022211()(2sin )3L x y dx x y dy x dx --+==-⎰⎰…………8分 2213sin 2()(2sin )464Lx y dx x y dy π--+=-+⎰…………10分 4、计算:D,其中区域D 为:0,022x y ππ≤≤≤≤.解:原式=cos()Dx y dxdy +⎰⎰…………4分=222202cos()cos()xxdx x y dy dx x y dy πππππ--+-+⎰⎰⎰⎰…………8分=2π-…………10分5、求:222Sx dydz y dzdx z dxdy ++⎰⎰,其中曲面S 为22z x y =+被1z =所割下的有限部分的下侧.解:原式=2()Dx y z dv dxdy Ω++-⎰⎰⎰⎰⎰…………6分=22112(cos sin )d d z dz πρθρρρθρθπ++-⎰⎰⎰…………8分=3π-…………10分 四、(8分)求幂级数1nn nx ∞=∑的收敛域及其和函数,并求2121222n n+++++的和。
重庆大学《高等数学(工学类)》课程试卷A卷B卷20 — 20 学年 第 学期开课学院: 数统学院 课程号:考试日期:考试方式:开卷闭卷 其他考试时间: 120 分一、 选择题(每小题3分,共18分)1. 设,yu xy x =+则22u x ∂=∂__________.答案:32.y x难度等级:1;知识点:偏导数.2. 已知级数1nn n a x ∞=∑满足11lim ,3n n na a +→∞=且lim 2,n n n ab →∞=则级数1n n n b x ∞=∑的收敛半径为__________.答案:3.难度等级:2;知识点:幂级数分析:1111111limlim 2, 3.233n n n n n n n n n n b b a a R b a a b +++→∞→∞+==⨯⨯== 3. 若曲线上任一点(,)x y 处的切线斜率等于(1),yx-+且过点(2,1),则该曲线方程是__________.答案:14.2y x x =-+难度等级:2;知识点:一阶线性微分方程4. 设L 为取正向的圆周229,x y +=则曲线积分2(22)(4)__________.Lxy y dx x x dy -+-=⎰答案:18.π-难度等级:2;知识点:格林公式分析:利用格林公式可化为被积函数为2-的二重积分,而积分区域面积为9,π故得.5. 设()f t 具有连续导数, (0)0,(0)1,f f '=={}2222(,,)|,x y z x y z t Ω=++≤则1lim40I f d t t V π==⎰⎰⎰+Ω→__________. 答案:1.命题人:组题人:审题人:命题时间:教务处制学院专业、班年级学号姓名考试教室公平竞争、诚实守信、严肃考纪、拒绝作弊封线密难度等级:2;知识点:三重积分6. 求以向量23a m n =+和4b m n =-为边的平行四边形的面积为 ,其中,m n 是互相垂直的单位向量. 答案:11.难度等级:2;知识点:向量代数.分析:为了便于计算,令,m i n j ==,则23a i j =+,4b i j =-,230(0,0,11),140i j ka b ⨯==--平行四边形的面积为20011a b ⨯=+=二、填空题(每小题3分,共18分)7. 设非零向量,,a b c 满足条件0a b c ++=,则a b ⨯().=(A) c b ⨯ (B) b c ⨯ (C) a c ⨯ (D) b a ⨯ 答案:(B).难度等级:1;知识点:向量代数分析:在0a b c ++=的两边左乘以b得到()0,b a b c b ⨯++=⨯0,b a b b b c ⨯+⨯+⨯=即0.a b b c -⨯+⨯=于是.a b b c ⨯=⨯8. 设函数z f x y =(,)在点(,)x y 00处沿任何方向有方向导数,则z f x y =(,)在点(,)x y 00处().(A)偏导数存在(B)可微 (C)偏导数不一定存在 (D)偏导数连续 答案:(C).难度等级:2;知识点:偏导数与方向导数分析:函数z =(0,0)处沿任何方向的方向导数均为1,但偏导数不存在,所以应选(C).9. 微分方程22x y y '''=的通解是().(A)1221ln(1)C x y x C C -=--+ (B) 1211ln(1)C x x y C C C -=--+ (C)12211ln(1)C x x y C C C -=-+ (D) 12211ln(1)C x x y C C C -=--+ 答案: (D).难度等级:2;知识点:可降阶微分方程分析:方程为二阶非线性方程.令,u y '=则方程降为一阶方程22,x u u '=这是变量可分离方程.分离变量得22,du dxu x=积分得111.C u x =+将u y '=代入并积分可得12211,ln(1)C x x y C C C -=--+故应选(D).10.曲线2,x t y z t ===在点(4,8,16)处的法平面方程为().(A) 8132x y z --=- (B) 8140x y z ++= (C)x-y+8z=124 (D) 8116x y z +-=答案:(B).难度等级:1;知识点:多元微分学在几何上的应用 分析:法平面的法向量就是曲线的切向量,为(1,1,8),n =所以法平面方程为:(4)(8)8(16)0.x y z -+-+-=即 8140.x y z ++= 与(A)、(B)、(C)、(D)比较后知,应选B).11. 设有一分布非均匀的曲面,∑其面密度为(,,),x y z ρ则曲面∑对x 轴的转动惯量为().(A)xdS ∑⎰⎰ (B)(,,)x x y z dS ρ∑⎰⎰(C)2x dS ∑⎰⎰ (D)22()(,,)y z x y z dS ρ∑+⎰⎰答案:(D).难度等级:1;知识点:曲面积分的应用分析:A,C 明显不对,B 被积函数不对,D 是转动惯量. 12. 设流速场{0,0,1},v =则流过球面2222x y z R ++=的流量值为().(A)0 (B)24R π (C)334R π (D)1 答案:(A).难度等级:2;知识点:第二型曲面积分的应用.分析:通量00.dxdy dV ∑ΩΦ===⎰⎰⎰⎰⎰三、 计算题(每小题6分,共24分)13. 求微分方程3dy y dx x y =+的通解. 难度等级:2;知识点:一阶线性微分方程.分析 方程为一阶非线性方程,需变形为一阶线性方程求解.解 方程改写为21dx x y dy y-=, 这是关于()x x y =的一阶线性非齐次方程,故通解为2()dydyyyx ey edy C -⎰⎰=+⎰ 21()2y y C =+即32y x Cy =+.14. 设(,)z z x y =由方程(,)0f y x yz -=所确定,其中f 具有二阶连续偏导数,求22zx∂∂.难度等级:2;知识点:隐函数的高阶偏导数. 分析 由方程(,,)0F x y z =所确定的隐函数的偏导数xzFz x F ∂=-∂,求出zx∂∂后再对x 求偏导数即可得22z x ∂∂.解11221f f z x yf y f -∂=-=∂ 21112221221222()()1z zf yf f f yf f z x x x y f ∂∂-+--+∂∂∂=⋅∂ 211121221232222f f f f fyf yf yf=-+-15.将函数()ln(f x x =+展成关于x 的幂级数. 难度等级:2;知识点:函数展开成幂级数分析:有对数,反三角函数需要求导后展开,然后逐项积分解:()f x '====0(21)!!(1).(2)!!n nn n x n ∞=-=-∑20(21)!!(),.(2)!!n n n f x x x R n ∞=-'⇒==∈∑ 21(21)!!()(1),.(2)!!21n knn n x f x dx x R n n +∞=-'⇒=-∈+∑⎰21(21)!!()(1),.(21)(2)!!nn n n f x x x R n n ∞+=-⇒=-∈+∑16. 计算2232(()(2),xz dydz x y z dzdx xy y z dxdy ∑+-++⎰⎰其中∑为上半球体0z ≤≤表面的外侧.难度等级:2;知识点:高斯公式分析:题设曲面为封闭曲面,利用高斯公式,再用球面坐标化为三次积分.解: 2232(()(2)xz dydz x y z dzdx xy y z dxdy ∑+-++⎰⎰222()x y z dxdydz Ω=++⎰⎰⎰222205sin 2.5ad d r r dra ππθϕϕπ=⋅=⎰⎰⎰四、解答题(每小题6分,共12分)17. 设),(y x z z =是由0182106222=+--+-z yz y xy x 确定的函数,求函数),(y x z z =的极值点和极值.难度等级:3;知识点:多元函数极值解:方程0182106222=+--+-z yz y xy x 两边分别对,x y 求偏导数得到26220,(1)6202220.(2)x x y y x y yz zz x y z yz zz ---=⎧⎪⎨-+---=⎪⎩令00x yz z =⎧⎪⎨=⎪⎩得260,62020x y x y z -=⎧⎨-+-=⎩即3.x yz y =⎧⎨=⎩ 代入方程0182106222=+--+-z yz y xy x 得 3.y =±因此有两个驻点(9,3),(9,3).--相应的函数值为3, 3.-方程(1),(2)两边再次分别对,x y 求偏导数得到22222()20(3)622220(4)20422()20.(5)xx x xxx xy y x xy y yy y yy yz z zz z yz z z zz z yz z zz ⎧---=⎪⎪-----=⎨⎪----=⎪⎩将9,3,3,0,0x y x y z z z =====代入(3),(4),(5)得到21150,,,0.623xx xy yy A z B z C z AC B ==>==-==->故点(9,3)是(,)z z x y =的极小值点,极小值(9,3) 3.z = 同样将9,3,3,0,0x y x y z z z =-=-=-==代入(3),(4),(5)得到 21150,,,0.623xx xy yy A z B z C z AC B ==-<====--> 故点(9,3)--是(,)z z x y =的极大值点,极大值(9,3) 3.z --=-18. 计算23,ydx xzdy yz dz Γ-+⎰其中Γ为圆周222, 2.x y z z +==若从z 轴的正向看去,这圆周是取逆时针方向.难度等级:2,知识点:斯托克斯公式,曲面积分的概念,二重积分的性质分析:曲线的参数方程不易写出,积分路径为闭,用斯托克斯公式化为对面积的曲面积分.解:取∑为平面2z =被Γ所围成的部分的上侧,∑的法线向量为(0,0,1),n =其方向余弦为(cos ,cos ,cos )(0,0,1).αβγ=于是23ydx xzdy yz dz Γ-+⎰2cos cos cos 3(3)dS x y z yxzyzz dSαβγ∑∑∂∂∂=∂∂∂-=--⎰⎰⎰⎰ 2245520.x y dSdxdy π∑+≤=-=-=-⎰⎰⎰⎰五、证明题(每小题6分,共12分)19. 证明下列第二类曲线积分的估计式: .L xdx ydy LM +≤⎰其中L 为积分路径L 的弧长,M 为函数22y x +在L 上最大值.难度等级:3;知识点:第二类曲线积分分析:将题设积分转化为对弧长的积分,再进行估值,并注意将被积函数表成向量的点积.证明:设路径L 上的单位切向量为(cos ,sin ).αα利用两类曲线积分的联系可得(cos sin )LL xdx ydyx y dsαα+=+⎰⎰cos sin {,}{cos ,sin }LLx y ds x y dsαααα≤+=⋅⎰⎰.LMdsML =≤=⎰⎰20. 设函数)(0x f 在),(+∞-∞内连续,10()(),1,2,.xn n f x f t dt n -==⎰证明:(1)1001()()(),1,2,;(1)!xn n f x f t x t dt n n -=-=-⎰ (2)对于区间),(+∞-∞内的任意固定的,x 级数()∑∞=1n n x f 绝对收敛.难度等级:3;知识点:无穷级数 证明:(1)由函数)(0x f 在),(+∞-∞内连续,1011000()(),1,2,()();(0)lim ()0,,(0)0(2).xn n nn xk x f x f t dt n f x f x f f t dt f k --→=='=⎧⎪⇒⎨===≥⎪⎩⎰⎰11()()(1)!xn f t x t dt n -⇒--⎰ 1101()()(1)!xn x t df t n -=--⎰ 1110102101(()()()())(1)!1()()(2)!xn x n xn x t f t f t d x t n f t x t dt n ---=----=--⎰⎰().n f x ==(2) 函数0()f t 在t x ≤上连续,⇒存在0()0,,()().M x t x f t M x >∀≤≤由(1),1001001()()()(1)!1()()()(1)!xn n xn n f x f t x t dt n f x f t x t dt n --=--⇒=--⎰⎰10()()()().(1)!!n xn n M x x M x f x x t dt n n -⇒≤-=-⎰ 由于0()!nn M x x n ∞=∑收敛,故级数()∑∞=1n n x f 绝对收敛.六、应用题 (每小题8分,共16分)21. 设均匀柱体密度为,ρ占有闭区域222,,{()|,0,}x y z x y R z h Ω=+≤≤≤ 求它对于位于点00,0(),)(M a a h >处单位质量的质点的引力. 分析:由空间物体引力公式和对称性,利用直角坐标计算即可 解:由柱体的对称性可知, 沿x 轴与y 轴方向的分力互相抵消, 故0,x y F F ==而 2223/2[()]z z aF G dv x y z a ρΩ-=++-⎰⎰⎰2222223/20()[()]hx y R dxdyG z a dzx y z a ρ+≤=-++-⎰⎰⎰ 2223/2000()[()]hRrdrG z a dz d r z a πρθ=-+-⎰⎰⎰012()[hG z a dz a z πρ=--⎰2[G h πρ=-22. 按P.F.Verhulst 人口增长规律:当人口数充分大时,大致按有机增长规律随时间成正比例增长(设比例系数为a ).如考虑到疾病和其它原因,有一个与人口数的平方成反比的的负增长率(设比例系数为b ).已知0t =时,人口数为0,x 求在时刻t 时的人口数(),x t 并问当t →∞时人口数如何?难度等级:3;知识点:常微分方程模型,可分离变量的微分方程的初值问题.分析:只需将二阶导数表示出来就可证之. 解:据题意可得如下初始值问题200.t dx ax bxdtx x =⎧=-⎪⎨⎪=⎩ 将方程分离变量,积分得020,xt x dxdt ax bx =-⎰⎰ 即有 00()1ln.()x a bx t ax a bx -=-解出x 得000.atatax e x a bx bx e=-+ 而且,当t →∞时,.a x b→。
高等数学(下)重修练习题1.设a 是从点A (2, 1, 2)到点B (1, 2, 1)的向量, 则与a 同方向的单位向量为a ︒=_______. 2.设向量a ={2, 1, 2}, b ={1, 2, 1}, 则|a +b |=________. 3.设向量a ={2, 1, 2}, b ={1, 2, 1}, 则|a -b |=________. 4.设向量a ={2, 1, 2}, b ={1, 2, 1}, 则a ⨯b =________.5.设向量a ={2, 1, 2}, b ={1, 2, 1}, 则与a 和b 都垂直的向量c =_______ 6.设向量a ={2, 1, 2}, b ={1, 2, 1}, 则cos(a ,^ b )=________.7.设向量a ={2, 1, 2}, 则与a 的方向相同而模为2的向量b =________.8.1. 以向量a =(1, 1, 2)与b =(2, -1, 1)为邻边的平行四边形的面积为________.9.以曲线⎩⎨⎧==+x z zy x 222为准线, 母线平行于z 轴的柱面方程是________.10.2. 以曲线220x y zx y z ⎧+=⎨+-=⎩为准线, 母线平行于z 轴的柱面方程是________.11.2. 曲线⎩⎨⎧==-+00222y z z x 绕z 轴旋转所得的旋转曲面的方程为________.12.2. 曲线2220y z z x ⎧+-=⎨=⎩绕z 轴旋转所得的旋转曲面的方程为________.13.2. 旋转抛物面x 2+y 2=z 与平面x +z =1的交线在xoy 面上的投影方程为________. 14.2.锥面z =x =z 2的交线在xoy 面上的投影方程为_________.15.2. 过点M (1, 2, -1)且与直线2341x t y t z t =-+⎧⎪=-⎨⎪=-⎩垂直的平面方程是________.16.2. 过点M (1, 2, -1)且与直线421131y x z +-+==-垂直的平面方程是________. 17.2. 过点M (1, 2, 1)且与平面2x +3y -z +2=0垂直的直线方程是_________. 18.2. 过点M (1, -1, 2)且与平面x -2y +1=0垂直的直线方程是________.19.函数f (x , y )在点P 0处的偏导数存在是函数f (x , y )在P 0处连续的( ). (A)充分条件; (B)必要条件; (C)充要条件; (D)既非充分又非必要条件. 20.函数f (x , y )在点P 0处连续是函数f (x , y )在P 0处的偏导数存在的( ). (A)充分条件; (B)必要条件; (C)充要条件; (D)既非充分又非必要条件. 21.函数f (x , y )在点P 0处连续是函数f (x , y )在P 0处可微分的( ).(A)充分条件; (B)必要条件; (C)充要条件; (D)既非充分又非必要条件. 22.若f (x , y )在点P 0的某个邻域内( ), 则f (x , y )在P 0处可微.(A)连续; (B)有界; (C)存在两个偏导数; (D)存在连续的一阶偏导数.23.3. 设z =f (x 2+y 2, x 2-y 2, 2xy ), 且f (u , v , w )可微分, 则xz∂∂=________.24.3. 设w =f (u , v ), u =xy , v =x 2+y 2, 且f (u , v )可微分, 则w x∂=∂________.25.3. 设z =ln(1+x 2+y 2), 则d z |(1, 1)= ________.26.设f (x , y , z )=x 2+y 2+z 2, 则梯度grad f (1, -1, 2)= ________. 27.设f (x , y , z )= x 3y 2z , 则梯度grad f (1, 1, 1)= ________.28.函数f (x , y , z )=x 2+y 2+z 2在点(1, -1, 2)处沿方向________的方向导数最大.29.函数f (x , y , z )= x 3y 2z 在点(1, 1, 1)处沿方向_____{3,2,1}_______的方向导数最大. 30.函数f (x , y , z )=x 2+y 2+z 2在点(1, -1, 2)处方向导数的最大值为________. 31.函数f (x , y , z )= x 3y 2z 在点(1, 1, 1)处方向导数的最大值为________. 32.交换二次积分的积分次序, 则100d (,)d yy f x y x ⎰⎰=________. 33.交换二次积分的积分次序, 则11d (,)d xx f x y y ⎰⎰=________.34.交换二次积分的积分次序,则10d (,)d y y x y x ⎰=________.35.交换二次积分的积分次序, 则210d (,)d xxx f x y y ⎰⎰=________.36.设D 为上半圆域x 2+y 2≤4(y ≥0), 则二重积分d Dσ⎰⎰=________.37.设D 是由两个坐标轴与直线x +y =1所围成的区域, 则二重积分d Dσ⎰⎰=______.38.设D 是由直线x =1、y =x 及x 轴所围成的区域, 则二重积分d Dσ⎰⎰=________.39.设D 是由椭圆221916y x+=所围成的区域, 则二重积分d Dσ⎰⎰=________.40.设L为上半圆y则曲线积分Ls ⎰=________.41.设L 为圆x 2+y 2=1,则曲线积分Ls ⎰=________.42.设L为上半圆y 则曲线积分22ln(1)d Lx y s ++⎰=________. 43.设L 为圆x 2+y 2=1, 则曲线积分22ln(1)d Lx y s ++⎰=________.44.设L 是以O (0, 0), A (1, 1), B (0, 1)为顶点的三角形区域的正向边界, 则22d d Lxy x x y +⎰=________.45.设L 是以O (0, 0), A (1, 1), B (0, 1)为顶点的三角形区域的正向边界, 则 (e cos )d e sin d x x Ly x x y y --⎰=________.46.设L 是以O (0, 0), A (1, 1), B (0, 1)为顶点的三角形区域的正向边界, 则 22d (2)d Lxy x x x y ++⎰=________.47.设L是由上半圆y x 轴所围成的区域的正向边界, 则22d (2)d Lxy x x x y ++⎰=________.48.若p 满足________,则级数n ∞=. 49.若p 满足________,则级数n ∞=收敛.50.若q 满足________, 则级数0()2n n q a ∞=∑收敛.51.若p 满足________, 则级数01()2n n n p ∞=+∑收敛. 52.若p 满足________, 则级数2011()pn n n ∞=+∑收敛. 53.设1n n u ∞=∑是任意项级数, 则lim 0n n u →∞=是级数1n n u ∞=∑收敛的( )条件.(A)充分; (B)必要; (C)充分必要; (D)无关.54.设1n n u ∞=∑是任意项级数, 则级数1n n u ∞=∑收敛是级数1n n ku ∞=∑(k ≠0)收敛的( )条件.(A)充分; (B)必要; (C)充分必要; (D)无关. 55.下列级数中收敛是( A ).(A)11(1)1nn n ∞=-+∑; (B)11n n ∞=∑; (C)111()2n n n ∞=+∑;(D)n ∞=.56.下列级数中绝对收敛的是( C ).(A)1(1)nn ∞=-∑; (B)11(1)n n n ∞=-∑; (C)11(1)2n n n ∞=-∑; (D)11(1)(1)n n n n ∞=-+∑.57.下列级数中绝对收敛的是( D ).(A)1(1)nn ∞=-∑; (B)11(1)n n n ∞=-∑; (C)11(1)(1)nn n n ∞=-+∑; (D)211(1)n n n ∞=-∑.58.设幂级数0nn n a x ∞=∑的收敛半径为R , 则当x =R 时, 幂级数0n n n a x ∞=∑ ( ).(A)条件收敛; (B)发散; (C)绝对收敛; (D)可能收敛, 也可能发散. 59.设幂级数0nn n a x ∞=∑的收敛半径为R , 则当x =-R 时, 幂级数0n n n a x ∞=∑ ( ).(A)条件收敛; (B)发散; (C)绝对收敛; (D)可能收敛, 也可能发散. 60.如果幂级数0n n n a x ∞=∑在x =2处收敛, 则收敛半径为R 满足( ).(A)R =2; (B)R >2; (C)R ≥2; (D)R <2.61.如果幂级数0n n n a x ∞=∑在x =-2处收敛, 则收敛半径为R 满足( C ).(A)R =2; (B)R >2; (C)R ≥2; (D)R <2.62.将函数21()1f x x =+展开为x 的幂级数, 则f (x )=_______.63.将函数21()1f x x =-展开为x 的幂级数, 则f (x )=________.64.将函数1()4f x x =-在区间________可展开为x 的幂级数.65.将函数1()12f x x=+在区间________可展开为x 的幂级数.66.求通过直线113y x z==和点(2, -1, 1)的平面方程.67.求过三点A (1, 0, -1)、B (0, -2, 2)及C (1, -1, 0)的平面的方程.68.求通过点(1, 2, -1)且与直线23503240x y z x y z -+-=⎧⎨+--=⎩垂直的平面方程.69.求通过点(1, 2, -1)且与直线23503240x y z x y z -+-=⎧⎨+--=⎩平行的直线方程.70.求通过点(1, 2, -1)且与平面2x -3y +z -5=0和3x +y -2z -4=0都平行的直线方程.71.设z =x sin(x +y )+e xy, 求z y ∂∂, 2z ∂, 2z y x∂∂∂.72.设z =ln(1+xy )+e 2x +y, 求z x ∂∂, 22z x ∂∂, 2z x y ∂∂∂.73.设z =(2x +3y )2+x y, 求z x ∂∂, 22z x∂∂, 2z x y ∂∂∂.74.设z =x y, 求z x ∂∂, 2z x∂∂, 2z x y ∂∂∂.75.设z =x y, 求z ∂, 2z ∂, 2z ∂.76.设z =x sin(2x +3y ), 求z x ∂∂, 22z x∂∂, 2z x y ∂∂∂.77.设z =f (x , y )由方程x e x -y e y =z e z 确定的函数, 求z x ∂∂,z y ∂∂.78.设z =f (x , y )由方程x +y -z =x e x -y -z 确定的函数, 求z x∂∂, zy ∂∂.79.已知z =u 2ln v , 而x u y =, v =3x -2y , 求z x ∂∂, zy∂∂.80.设z =u ⋅sin v , 而u =e x +y , v =x 2y , 求z x ∂∂, zy ∂∂.81.设z =e u sin v , 而u =x -y , v =x 2y , 求z x ∂∂, zy∂∂.82.求曲面z =ln(1+x +y )上点(1, 0, ln2)处的切平面方程. 83.求曲面z =1+2x 2+y 2上点(1, 1, 4)处的切平面方程. 84.求曲面e z -z +xy =3上点(2, 1, 0)处的切平面方程.85.求空间曲线2231y x z x =⎧⎨=+⎩在点M 0(0, 0, 1)处的切线方程.86.求空间曲线x =a cos t , y =a sin t , z =bt 在对应于t =0处的切线方程.87.计算二重积分22()d Dx y x σ+-⎰⎰, 其中D 是由直线y =2, y =x 及y =2x 轴所围成的闭区域.88.计算二重积分2d Dxy σ⎰⎰, 其中D 是由直线y =x , y =0, x =1所围成的区域.89.计算二重积分sin d Dx y σ⎰⎰, 其中D 是由直线y =x , y =0, x =π所围成的区域.90.计算二重积分(e )d y Dxy σ+⎰⎰, 其中D 是由直线y =x , y =1, x =-1所围成的区域.91.计算二重积分3(Dx σ+⎰⎰, 其中D 是由曲线y =x 2, 直线y =1, x =0所围成的区域.92.计算二重积分22e d xy Dσ+⎰⎰, 其中D 是由圆周x 2+y 2=1及坐标轴所围成的在第一象限内的闭区域.93.计算二重积分1d 1Dx yσ++⎰⎰, 其中D 是由圆周x 2+y 2=4及坐标轴所围成的在第一象限内的闭区域.94.计算三重积分d z v Ω⎰⎰⎰, 其中Ω是由曲面z z =0所围成的闭区域.95.计算三重积分d z v Ω⎰⎰⎰, 其中Ω是由曲面z =1-x 2-y 2及平面z =0所围成的闭区域.96.计算三重积分d z v Ω⎰⎰⎰, 其中Ω是由柱面x 2+y 2=1及平面z =0, z =1所围成的闭区域.97.计算曲线积分2(1)d lx s +⎰, 其中l 为圆周x 2+y 2=1.98.计算曲线积分s ⎰,其中l 为抛物线y =x 2(-1≤x ≤1).99.计算曲线积分22()d (2)d CI x y x x y =+++⎰, 其中C 是以O (0, 0), A (1, 0), B (0, 1)为顶点的三角形的正向边界.100.计算曲线积分222()d ()d LI x y x x y y =+++⎰, 其中L 是从O (0, 0)到A (1, 1)的抛物线y =x 2,及从A (1, 1)到O (0, 0)的直线.101.计算曲线积分43224(4)d (65)d LI x xy x x y y y =++-⎰, 其中L 是从(-2, 0)到(2, 0)的半圆x 2+y 2=4(y ≥0).102.计算曲线积分22d d LI xy x x y y =+⎰, 其中L 是曲线y =ln x 上从A (1, 0)到B (e , 1)的一段.∑104.计算曲面积分22()d x y S ∑+⎰⎰, 其中∑为平面x +y +z =1含于柱面x 2+y 2=1内的部分.105.计算曲面积分2d d z x y ∑⎰⎰, 其中∑为上半球面z x 2+y 2=1内的部分的上侧.106.计算曲面积分22d d d d d d y z x y x y z x y z x ∑++⎰⎰, 其中∑是由圆柱面x 2+y 2=R 2和平面x =0,y =0, z =0及z =h (h >0)所围的在第一卦限中的一块立体的表面外侧.107.计算曲面积分22(2)d d d d d d x z y x x y z x xz x y ∑-+-⎰⎰,其中∑是正方体0≤x ≤a , 0≤y ≤a ,0≤z ≤a 的表面的外侧.108.判别级数021!n n n ∞=+∑的敛散性. 109.判别级数213n n n ∞=∑的敛散性.110.判别级数1e()n n π∞=∑的敛散性.111.判别级数∑∞=1!100n nn 的敛散性112.判别级数111(1)2n n n n ∞--=-∑是否收敛?若收敛, 是绝对收敛还是条件收敛?113.求幂级数1(1)nn n ∞-=-∑的收敛半径和收敛区间. 114.求幂级数234 234x x x x -+-+⋅⋅⋅的收敛半径和收敛区间. 115.求幂级数1nn n x n∞=∑的收敛半径和收敛区间.116.将1()2f x x =+展成x 的幂级数, 并写出展开式成立的区间.117.将f (x )=x 3e -x 展成x 的幂级数, 并写出展开式成立的区间.118.将1()2f x x=+展开为(x -1)的幂级数, 并写出展开式成立的区间.119.将1()4f x x=-展开为(x -2)的幂级数, 并写出展开式成立的区间.120.求函数f (x , y )=2x +2y -x 2-y 2的极值. 121.求函数f (x , y )=3x +2y -x 3-y 2的极值.122.求函数f (x , y )=x 2+5y 2-6x +10y +6的极值. 123.求函数f (x , y )=y 3-x 2+6x -12y +5的极值。
北方交通大学1999-2000学年第二学期高等数学重修课考试试卷(B )答案及评分标准 一.填空题(本题满分15分,共有5道小题,每道小题3分),请将合适的答案填在空中.1. ()()()=++-∞→5028020152312limxx x x _________.2.曲线⎩⎨⎧==t e y te x tt cos 2sin 在点()10,处的法线方程为 ______________________. 3.设函数()x f 在区间()∞+∞-,上连续,且()20=f ,且设()()⎰=2sin x xdt t f x F ,则()='0F _________. 4.已知()x xe x f =2,则()=⎰-11dx x f ________________.5.抛物线()a x x y -=与直线x y =所围图形的面积为 ___________________.答案: ⒈ 508020532⋅; ⒉ 012=-+y x ; ⒊ 2-;⒋ ee 34--;⒌()613a +.二.选择填空题(本题满分15分,共有5道小题,每道小题3分)。
以下每道题有四个答案,其中只有一个答案是正确的,请选出合适的答案填在空中,多选无效. 1.指出下列函数中,当0+→x 时,_____________为无穷大量.(A ).12--x ; (B ).xx s e c 1s i n +; (C ).xe -; (D ).x e 1-.2.设()⎪⎩⎪⎨⎧>≤=113223x xx x x f ,则()x f 在点1=x 处的______________ .(A ).左右导数都存在; (B ).左导数存在,但右导数不存在; (C ).左导数不存在,但右导数存在; (D ).左、右导数都不存在. 3.已知函数()()()()()4321----=x x x x x f ,则方程()0='x f 有______________ . (A ).分别位于区间()21,,()31,,()41,内的三个根 ;(B ).分别位于区间()21,,()32,,()43,内的三个根;(C ).四个实根,分别位于区间()10,,()21,,()32,,()43,内 ; (D ).四个实根,它们分别为11=x ,22=x ,33=x ,44=x . 4.设函数()x f 有原函数x x ln ,则()=⎰dx x xf ___________ .(A ).C x x +⎪⎭⎫⎝⎛+ln 41212; (B ).C x x +⎪⎭⎫ ⎝⎛+ln 21412; (C ).C x x +⎪⎭⎫⎝⎛-ln 41212; (D ).C x x +⎪⎭⎫ ⎝⎛-ln 21412. 5.设区间[]b a连续函数()x f 满足关系式:()0=⎰badx x f ,则________ .(A ).在区间[]b a的某个小区间上有()0=x f ;(B ).对区间[]b a 上的所有点x ,有()0=x f ; (C ).在区间[]b a 内至少有一点x ,使得()0=x f ; (D ).在区间[]b a 内不一定有()0=x f .答案:⒈ (D ) ; ⒉ (A ) ; ⒊ (B ) ; ⒋ (B ) ; ⒌ (C ) . 三.(本题满分6分)讨论函数()x x x x f nnn 2211lim+-=∞→的连续性,若有间断点,判断其类型. 解: ()⎪⎩⎪⎨⎧<=>-=+-=→∞110111lim22x x x x x x x x x f nnn ……3 由于 ()()1l i m l i m 11=-=---→-→x x f x x ()1l i m l i m 11-==++-→-→x x f x x 因此1-=x 是()x f 的第一类跳跃型间断点. (4)由于 ()1l i m l i m 11==--→→x x f x x ()()1lim lim 11-=-=++→→x x f x x 因此1=x 是()x f 的第一类跳跃型间断点. ......5 ()x f 除1±=x 外处处连续. (6)四.(本题满分6分) 设()x x x a a a y arccos 12-+= (其中0>a ,1≠a 为常数),试求dy . 解:()x x xx x x x aa a a a a a a a a dx dy 22221ln 1arccos 1ln ln -⋅----= ()xxx a aa a a r c c o s1ln 22--= ……4 所以,()dx a a aa dx y dy x xx arccos 1ln 22--='= (6)五.(本题满分6分)设()x x x f 22tan sin 2cos +=+',试求()x f . 解:()()()C x d x f x f +++'=+⎰2c o s 2c o s 2c o s (2)()()C x d x x ++=⎰c o s t a n s i n 22()C x d x x +⎪⎭⎫⎝⎛-+-=⎰c o s 1c o s 1c o s 122()C x d x x+⎪⎭⎫ ⎝⎛-=⎰c o s c o s c o s 122 C x x +--=3c o s 31c o s 1 ……4 所以,()()C x x x f +----=32213 (6)六.(本题满分7分)计算定积分⎰---222324dx x x . 解:令t x sec 2=,则dt t t dx tan sec 2=,当2-=x 时,π=t ;当22-=x 时,43π=t . 并且由于t tan 在区间⎥⎦⎤⎢⎣⎡ππ,43上取负值,因此t t t t x x 23232c o s s i n 41s e c 84s e c 44-=-=- (3)⎰⎰⋅-=---43222232t a n s e c 2c o s s i n 414ππdt t t t t dx x x ⎰=ππ432s i n 21dt t162-=π (7)七.(本题满分7分) 设函数()x y y =由方程()y y f e xe=所确定,其中函数f 具有二阶导数,且1≠'f ,试求22dxy d .解:两端取对数,得()y y f x =+ln 上式两端对x 求导,得 ()y y y f x'=''+1所以,()()y f x dx dy '-=11 ……3 因此,()()()()()()()()()32222221111y f x y f y f y f x y y f x y f dx y d '-''-'-='-'''-'-= (7)八.(本题满分7分) 研究函数()1--=x e x x f 的极值 .解:()⎪⎩⎪⎨⎧>≤<≤-=---1100111x xe x xex xe x f xx x , ()x f 在()∞+∞-,上处处连续.所以,()()()()⎪⎩⎪⎨⎧>-<<+<+-='---1110101111x e x x e x x e x x f xx x在点0=x 及1=x 处,()x f 不可导.再令()0='x f ,得()x f 的驻点1-=x . (4)因此,()x f 有极大值()21-=-e f ,()11=f ;极小值()00=f . (7)九.(本题满分7分)求由圆()16522=-+y x 绕x 轴旋转一周所成旋转体的体积. 解:因为,2165x y -±= ()44≤≤-x ,而所求环体的体积是由半圆2165x y -+=与半圆2165x y --=绕x 轴旋转生成的旋转体的体积之差,即 ()()⎰-⎥⎦⎤⎢⎣⎡----+=442222165165dx xx V π (4)⎰--=4421620dx x π2160π= (7)十.(本题满分8分) 证明:当0>x 时,()()221ln 1-≥-x x x.解: 令()()()221ln 1---=x x x x ϕ,则()01=ϕ, (2)()xx x x x 12ln 2-+-='ϕ令()0='x ϕ,得1=x ,即1=x 是函数()x ϕ在区间()∞+,0上的唯一驻点. (4)()211ln 2x x x -+=''ϕ,所以()11>''ϕ,故1=x 是函数()()()221ln 1---=x x x x ϕ的极小值点,由于它是唯一的极值点,从而也是函数()()()221ln 1---=x x x x ϕ的最小值点. (6)即当0>x 时,()()()()011ln 122=≥---=ϕϕx x x x因此,当0>x 时,()()221ln 1-≥-x x x . (8)十一.(本题满分8分)设()()()⎪⎪⎩⎪⎪⎨⎧=≠⎥⎥⎦⎤⎢⎢⎣⎡-=⎰⎰000sin 12002x x xdtdu u t x f x t ϕ ,其中()u ϕ为连续函数,试讨论()x f 在0=x 点处的连续性与可导性 .解:()()()xdt du u t x f xt x x 20000sin 1lim lim 2⎰⎰⎥⎥⎦⎤⎢⎢⎣⎡-=→→ϕ, ()()200021l i m xdt du u t x t x ⎰⎰⎥⎥⎦⎤⎢⎢⎣⎡-=→ϕ ()()xduu x x x 21lim2⎰-=→ϕ()()()221lim22xx x du u xx ⋅-+=⎰→ϕϕ()00f ==因此函数()x f 在0=x 点处连续. (4)()()()()xx dt du u t x f x f xt x x 0sin 1lim 0lim 200002-⎥⎥⎦⎤⎢⎢⎣⎡-=-⎰⎰→→ϕ ()()300021l i m xdt du u t x t x ⎰⎰⎥⎥⎦⎤⎢⎢⎣⎡-=→ϕ()()()xx x x du u x x 621lim22⋅-+=⎰→ϕϕ()()()x xx x x duu x xx 621lim6lim2002⋅-+=→→⎰ϕϕ ()()03162l i m 20ϕϕ-⋅=→x x x()031ϕ-=所以,函数()x f 在在0=x 点处可导,且()()0310ϕ-='f (8)十二.(本题满分8分)已知平面曲线L 的方程为()x y x 8222=+ ,考虑把曲线L 围在内部且各边平行于坐标轴的矩形,试求这些矩形中的最小值 . 解: 由()x y x 8222=+,知0≥x ,所以228x x y -=,因此082≥-x x ,由此得2≤x . 故定义域为[]20,.又曲线关于x 轴对称,令0=y ,得01=x ,2=x ; 令0=x ,得0=y .因此曲线与x 轴的交点为()00,与()02,;与y 轴的交点只有()00,. 对曲线方程的两端求导,得()()822222='++y y x y x 即 x yx y y -+='228. 得驻点321=x ,对应的323±=y .又 ()()12222222-+'+⋅-=''+'yxy y x y y y ,因此在点⎪⎪⎭⎫ ⎝⎛332321,处,0<''y ;在点⎪⎪⎭⎫⎝⎛-332321,处,0>''y . 即函数()x y y =的最大值为323,最小值为323-.过点()00,,⎪⎪⎭⎫ ⎝⎛332321,,⎪⎪⎭⎫ ⎝⎛-332321,,()02,作平行于坐标轴的直线所围成的矩形即为所求,该矩形的面积为3234.。
本科高数重修试题及答案一、选择题(每题5分,共30分)1. 函数f(x)=x^2在点x=1处的导数是:A. 1B. 2C. 3D. 42. 极限lim(x→0) (sin x)/x的值是:A. 0B. 1C. πD. ∞3. 曲线y=x^3在点(1,1)处的切线斜率是:A. 1B. 3C. 9D. 274. 以下哪个选项是定积分∫(0 to 1) x dx的结果:A. 1/2B. 1/3C. 1/4D. 1/65. 级数∑(1 to ∞) (1/n^2)是:A. 收敛的B. 发散的C. 条件收敛的D. 绝对收敛的6. 以下哪个函数是周期函数:A. y=e^xB. y=ln(x)C. y=sin(x)D. y=x^2二、填空题(每题5分,共20分)1. 函数f(x)=x^3的反导数是______。
2. 函数y=x^2+2x+1的极小值点是______。
3. 函数y=ln(x)在区间(0,1)上是______函数。
4. 定积分∫(0 to 1) e^x dx的值是______。
三、解答题(每题10分,共50分)1. 求函数f(x)=sin(x)在区间[0, π]上的原函数。
2. 证明函数f(x)=x^3在R上是连续的。
3. 计算定积分∫(0 to 2) (x^2-2x+1) dx。
4. 求级数∑(1 to ∞) (1/n)的和。
5. 讨论函数f(x)=x^2-4x+4在R上的极值。
四、附加题(10分)1. 给定函数f(x)=x^3-6x^2+11x-6,求其在R上的单调区间和极值点。
答案:一、选择题1. B2. B3. B4. A5. A6. C二、填空题1. x^4/4 + C2. x=-13. 减4. e - 1三、解答题1. 原函数为:-cos(x) + C2. 由于f(x)=x^3在R上处处可导,故连续。
3. ∫(0 to 2) (x^2-2x+1) dx = (2x^3/3 - 2x^2 + x) | (0 to 2)= 4/34. 调和级数发散,无和。
第五章 不定积分1(直接积分法、换元积分法)一、单选题1.设)(x f 是可导函数,则⎰'))((dx x f 为( A ).A.)(x fB.C x f +)(C.)(x f 'D.C x f +')(2.函数)(x f 的( B )原函数,称为)(x f 的不定积分.A.任意一个B.所有C.唯一D.某一个 3.⎰=+=)(,2cos )(x f C x e dx x f x则( A ).A.)2sin 22(cos x x e x -B.C x x e x +-)2sin 22(cosC.x e x 2cosD. x e x2sin4.函数x e x f =)(的不定积分是( B ).A.x eB.c e x +C.x lnD.c x +ln 5.函数x x f cos )(=的原函数是 ( A ).A.c x +sinB.x cosC.x sin -D.c x +-cos 6.函数211)(xx f -=的原函数是( A ).A.c x x ++1 B.x x 1- C.32xD.c x x ++12 7.设x 2是)(x f 的一个原函数,则[]='⎰dx x f )(( B )A. x 2B.2C.2x D.-2 8.若c e dx e x x +=⎰, 则⎰xd e x22=( A )A.c ex+2 B.c e x + C.c e x +-2 D.c e x +-29.函数x x f sin )(=的原函数是( D )A.c x +sinB.x cosC.x sin -D.c x +-cos 10.若)()()()()(x G x F x f x G x F '-'的原函数,则均为、=( B )A.)(x fB.0C.)(x FD.)(x f ' 11.函数211)(xx f +=的原函数是( A ) A.c xx +-1B.x x 1-C.32xD.c x x ++1212. 函数211)(xx f -=的原函数是( A ) A.c xx ++1B.x x 1-C.32xD.c x x ++1213.若函数)(x f 、)(x g 在区间),(b a 内可导,且)()(x g x f '=',则( B ) A.)()(x g x f = B.C x g x f +=)()(C.)()(x g x f ≠D. 不能确定)(x f 与)(x g 之间的关系 14.若)()(x f x F =',则下列等式成立的是( B ). A.C x f dx x F +='⎰)()( B.⎰+=C x F dx x f )()( C.⎰+=C x f dx x F )()( D.C x F dx x f +='⎰)()( 15.经过点)1,0(-,且切线斜率为x 2的曲线方程是( D ).A.2x y =B. 2x y -=C. 12+=x yD. 12-=x y 二.填空题1.)25ln(2125x d x dx --=-.2.)1(212x d xdx --=.3.C aa dx a xx+=⎰ln .4.设)(x f 是连续函数,则dx x f dx x f d )()(=⎰.5.xx cos 2+的原函数是x x sin 2+.6.]4)3[(21)3(2---=-x d dx x .7.C x xdx +=⎰7sin 717cos .8.)1(ln 3133-=x x a d adx a .9.)3(cos 313sin x d xdx -=.10.C x dx x x +=⎰2ln 21ln .11.C x dx x +=⎰4341.12.)C 41(2222+-=--x x e ddx xe .13.C x xdx x +=⋅⎰2sin 21sin cos . 14.C x dx x +=+⎰3arctan 319112.15.C x x dx x +-=⎰)sin (212sin 2. 16.⎰+='C x f dx x f )2(21)2(.17.设⎰+=.)()(C x F dx x f ,若积分曲线通过原点,则常数)0(F C -=.18.)3(arctan 31912x d x dx=+. 19.)(2122x x e d dx xe =.20.已知xx f C x dx x f 2sin )(,sin )(2=+=⎰则.21.设)()()(21x f x F x F 是、的两个不同的原函数,且=-≠)()(,0)(21x F x F x f 则有 C .22.C x x dx x x +-=+-⎰222111 23.Ce dx e xxx +-=⎰1121.24.)1ln(21122-=-x d dx x x .25.若x x f sin )(的导函数是,则)(x f 的原函数为Cx +-sin .26.设)(3x f x 为的一个原函数,则dxx x df 23)(=.27.)2cos 41(812sin x d xdx -=28.x x sin 2+的一个原函数是x x cos 313-.29.)3(cos 33sin x d dx x -=.30.Cx xdx +-=⎰cos ln tan .31.()C x dx x +--=-⎰)21sin(2121cos .32.Cx xdx +=⎰tan sec 2. 33.C x x dx +-=⎰3cot 313sin 2.34.设x 2是)(x f 的一个原函数,则⎰='])([dx x f 2 . 三.判断题 1.⎰+=cx xdx cos sin ( × ) 2.xx edx e =⎰( × )3.⎰-=.cos sin x xdx ( × ) 4.⎰+-=cx xdx cos sin ( √ ) 5.)21sin()]21[sin(x dx x -=-⎰( × ) 6.⎰+-=cx xdx sin cos ( × )四.计算题1.求不定积分dx x x ⎰+21. 解:原式=C x x d x ++=++⎰23222)1(31)1(1212.求不定积分dx x ⎰-31. 解: 原式=C x +--3ln3.求不定积分⎰+dx e e x x 1. 解:原式=C e e d exx x++=++⎰)1ln()1(11 4.求不定积分⎰+-dx xx x)3sin 21(. 解: 原式=C x x x +++ln 3cos 22 5.求不定积分⎰-dx xe x 2. 解: 原式=C e x +--2216.求不定积分dx x x⎰+12. 解: 原式=C x ++)1ln(2127.求不定积分dx x x ⎰+2)72(. 解: 原式=C x x x ++⋅+7ln 24914ln 1422ln 24 8.求不定积分⎰+dx x 10)12(. 解: 原式=C x ++11)12(2219.求不定积分⎰+-dx xx x )1)(1(. 解: 原式=C x x x x x +-+-221522210.求不定积分⎰xdx 2sin . 解: 原式=C x x +-2sin 4121 11.求不定积分⎰dx xx 22cos sin1. 解: 原式=C x x +-cot tan 12.求不定积分dx x ⎰+321. 解: 原式=C x ++32ln2113.求不定积分xdx xarctan 112⎰+. 解: 原式=C x +2)(arctan 21 14.求不定积分⎰-dx x x 4313. 解: 原式=C x +--41ln 43 15.求不定积分⎰+dx x 2411. 解: 原式=C x +2arctan 21 16.求不定积分⎰+dx x x)5(3. 解: 原式=C x x++5ln 5414 17.求不定积分⎰-dx e x 5. 解: 原式=C e x+--551五.应用题1.设一质点作直线运动,已知其加速度为t t a sin 3122-=,如果0=t 时3,500-==s v , 求(1)t v 与的函数关系; (2)t s 与的函数关系. 解:32sin 3)(2sin 3)2cos 34()(2cos 34)(cos 34)sin 312()(43,04335,032-++=−−−→−+++=++=++=−−→−++=-=-====⎰⎰t t t t s c t t t dt t t t s t t t v C t t dt t t t v s t v t2.求经过点(0,0),且切线斜率为x 2的曲线方程.解:20,022x y C x xdx y y x =−−−→−+====⎰3.一物体由静止开始运动,t 秒末的速度是23t (米/秒),问(1)在3秒末物体与出发点之间的距离是多少? (2)物体走完360米需多长时间?解:设运动方程为:30,032)(3)(t t S C t dt t t S S s t =−−→−+=====⎰(1)当3=t 时,27)3(=S (米)(2)当.360360)(33秒=⇒==t t t S4.一曲线过原点且在曲线上每一点),(y x 处的切线斜率等于3x ,求这曲线的方程. 解:40,0434141x y C x dx x y y x =−−−→−+====⎰ 5.已知物体由静止开始作直线运动,经过t 秒时的速度为180360-t (米/秒),求3秒末物体离开出发点的距离.解: t t t S C t t dt t S s t 180180)(180180180)-60t 3()(20,02-=−−→−+-====⎰.当3=t 时,1080)3(=S (米).6.求经过点)1,(e ,且切线斜率为x 1的曲线方程.解:x y C x dx xy y e x ln ln 11,=−−→−+====⎰. 7.求经过点(0,0),且切线斜率为211x+的曲线方程.解:x y C x dx x y y x arctan arctan 110,02=−−−→−+=+===⎰. 第五章 不定积分2一.单选题1.下列分部积分法中, dv u ,选择正确的是( A ). A.⎰==xdxdv x u xdx x 2sin 2sin ,, B.xdxdv u xdx ln ,1,ln ==⎰C.dxx dv e u dx e x x x22,,==--⎰D.xdxdv e u dx xe xx==⎰,,2.⎰⎰-=)(2arctan d 2arctan Axd x x x x .A.x arctan2B.x arctan4C.x arctan2-D.x arctan4- 3.=⎰2-4d xx ( A ).A.C x +2arcsinB.C x +arcsinC.Cx +2arccos D.C x +arccos二.判断题1.分部积分法u v uv v u d d ⎰-=⎰的关键是恰当的选择u 和v d ,使u v d ⎰应比v u d ⎰容易积分.( √ )2.若被积函数中含有22a x ±,则可利用三角函数代换法化原积分为三角函数的积分.( √ ) 三.填空题1.Cx dx x ++=+⎰1211.2.设)(x f 有一原函数⎰+-='Cx dx x f x xx cos )(,sin 则.3.C x x x xdx x +-=⎰2241ln 21ln .4.)3(arcsin 31912x d xdx =-.5.Cx x e dx e x x x ++-=⎰)22(22.6.⎰++-=C x x x xdx x 3sin 913cos 313sin .四.计算题1.求不定积分⎰-dx x x232. 解:原式=Cx x d x +--=---⎰2223231)32(321612.求不定积分⎰dxx e x 22. 解:原式=C x x e x ++-)21(2122 3.求不定积分⎰++dxx x 11. 解:C x x C t t dtt t t x +--+=+-=-=+⎰1)1(3232)22(132232原式4.求不定积分⎰+)1(x x dx. 解:cx C t dt t t x +=+=+=⎰arctan 2arctan 21222原式5.求不定积分⎰xdxx 2sin . 解:原式=C x x x ++-2sin 412cos 21 6.求不定积分⎰+dx e x x 5)2(. 解:原式=C x e x ++)59(515 7.求不定积分dxxex⎰-4. 解:原式C x ex++-=-)16141(4 8. 求不定积分⎰++dxx 111. 解:原式[]C x x +++-+=)11ln(129.求不定积分⎰+-dxx 1211. 解:原式[]C x x +-+++=112ln12- 10.求不定积分dxex⎰+11. 解:原式=C e e xx +++-+1111ln11.求不定积分⎰xdxxln 2. 解:原式C x x +-=)31(ln 313 12.求不定积分dx x x ⎰-1. 解:原式C x x +---=)1arctan 1(213.求不定积分⎰---dxx x 22112. 解:原式C x x +-=)(arcsin 214.求不定积分⎰dx a x x 2 )1,0(≠>a a . 解:原式C aa x a x a x++-=)ln 2ln 2ln (32215.求不定积分dxx⎰-2941. 解:原式C x +=23arcsin 31 16.求不定积分dxx ⎰sin . 解:原式C x x x ++=sin 2cos -217.求不定积分⎰xdx x 3cos . 解:原式C x x x ++=3cos 913sin 31 18.求不定积分dxx x ⎰+2. 解:原式C x x ++-+=2123)2(4)2(32五.应用题 (增加题)第六章 定积分一.单选题 1.)(240Ddx x =-⎰A.⎰⎰-+-4220)2()2(dxx dx x B.⎰⎰-+-422)2()2(dxx dx x C.⎰⎰-+-422)2()2(dxx dx x D.⎰⎰-+-422)2()2(dxx dx x2.=⎰a adx x f )(( C ) A.大于0 B.小于0 C.等于0 D.不能确定 3.⎰⎰--=+1111)()(dx x f dx x f ( C )A.大于0B.小于0C.等于0D.不能确定 4.定积分⎰badxx f )(是( D )A.一个原函数B.()x f 的一个原函数C.一个函数族D.一个常数 5.定积分⎰badxx f )(的值的大小取决于( C )A.)(x fB.区间 []b a ,C.)(x f 和[]b a ,D.都不正确 6.定积分⎰badxx f )(的值的大小取决于( C )A.)(x fB.区间 []b a ,C.)(x f 和[]b a , D.无法确定 7.⎰⎰=-3234)()(dx x f dx x f ( A )A.⎰42)(dxx f B.⎰24)(dxx f C.⎰43)(dxx f D.⎰32)(dxx f8.下列命题中正确的是( C )(其中)(),(x g x f 均为连续函数) A.在[]b a ,上若)()(x g x f ≠则dxx g dx x f ba ba⎰⎰≠)()( B.⎰⎰≠babadtt f dx x f )()( C.若)()(x g x f ≠,则⎰⎰≠dxx g dx x f )()( D.⎰=badxx f dx x f d )()(9.=⎰dx x f dx d ba)(( B ) A.)(x f B.0 C.)(x f ' D.)(x F 10. 若1)(=x f ,则⎰=ba dx x f )(( C )A.1B.b a -C. a b -D.0 11.定积分⎰badxx f )(是( B )A.任意的常数B.确定的常数C.)(x f 的一个原函数D.)(x f 的全体原函数 12.若⎰=+12)2(dx k x ,则=k ( B )A.-1B.1C.1/2D.0 13.=-⎰dx x 5042( C )A.11B.12C.13D.14 二.判断题1.函数在某区间上连续是该函数在该区间上可定积分的必要条件. ( × )2.a b dx ba -=⎰0 . ( × )3.⎰='badx x f 0))(( . ( × )4.x xdx dx d ba sin sin ⎰=. ( × )三.填空题1.设)(x f '在[]b a ,上连续,则)()()(a f b f dx x f b a-='⎰.2.C dx xxx +=⋅⎰6ln 6321. 3.4111022π-=+⎰dx x x .4.ee dx x e x-=⎰2121.5.设⎰⎰==52515)(,3)(dx x f dx x f ,则2)(21-=⎰dx x f .6..0113=⎰-dx x .7.若)(x f 在[]b a ,上连续,且⎰=ba dx x f 0)(,则[]ab dx x f ba-=+⎰1)(.8.由曲线22+=x y ,直线3,1=-=x x 及x 轴围成曲边梯形的面积352)2(312=+=⎰-dx x A .9..0sin 12=⎰dx xdx d .10.11ln4141=+-⎰-dx xx.11.1)1sin(212=⎰dx xx ππ. 12.32112=⎰-dx x .13.0cos 11⎰-=xdx x .14.利用定积分的几何意义填写定积分的值π41112=-⎰dx x .15.22sin sin x dt t dx d x⎰=.16..0sin 222=⎰-xdx x .17..0113=⎰-dx x .18. 的值为积分.21ln 1⎰edx x x 19.2)253(22224⎰⎰=++-dx dx x x .20.11-=⎰e dx e x . 21.431=⎰-dx .22.⎰1212ln xdxx 的值的符号为 负 .四.计算题 1.求定积分.⎰+411xdx 解:原式)32ln 1(2+=2.求定积分⎰-124x dx. 解:原式6arcsin 10π==x3.求定积分⎰-+-01)32)(1(dxx x . 解:原式21-= 4.求定积分dxx⎰--2121211 解:原式3arcsin 2121π==-x5.求定积分⎰-+12511x dx 解:原式=2ln 54)511ln(5112=⎥⎦⎤⎢⎣⎡+-x6.求定积分dx x ⎰+9411解:原式[])2ln 1(2)1ln(232+-=-+-=t t7.求定积分dxe x⎰-1. 解:原式eex1101-=-=- 8.求定积分dxx ⎰212 解:原式3712313==x9.求定积分θθπd ⎰402tan 解:原式[]4104tan ππθθ-=-=10.求定积分.dx xx ⎰+402sin 12sin π解:原式232ln 04)sin 1ln(=+=πx 11.求定积分dxx x ⎰-ππ23sin . 解:原式=012.求定积分()dxxx ⎰--2121221arcsin . 解:原式=324)(arcsin 31321213π=-x 13.求定积分dxx x ⎰+911. 解:原式2ln 213)1ln(2=+=x14.求定积分dxex x⎰12. 解:原式201)22(2-=+-=e x x e x15.求定积分⎰+104)1(x dx 解:原式24701)1(31-3=+=-x 16.求定积分dxxe x ⎰2. 解:原式102)1(2+=-=e x e x 17.求定积分⎰-1dxxe x . 解:原式ex e x2101)1(--=+=- 18.求定积分dx x ⎰⎪⎭⎫ ⎝⎛+πππ33sin . 解:原式0)3cos(3=+-=πππx19.已知⎩⎨⎧≤<-≤≤=31,210,)(2x x x x x f ,计算⎰20)(dx x f . 解:原式⎰⎰-=-+=2110261)2(dx x dx x 20.求定积分()d x x x +⎰194. 解:原式627149)2132(223=+=x x21.求定积分⎰1arctan xdxx . 解:原式=214)arctan arctan (21102-=⎥⎦⎤⎢⎣⎡+-πx x x x22.求定积分⎰10arcsin xdx . 解:原式1201)1arcsin (2-=-+=πx x x23.求定积分⎰262cos ππudu . 解: 原式836)2sin 21(2162-=+=πππu u24.求定积分()dx x x x ⎰+2sin π. 解: 原式18sin cos 21202+=⎥⎦⎤⎢⎣⎡+-=ππxx x x 25.求定积分dx x x ⎰-121221. 解: 原式[]41cot sin 24πππ-=--=t t t x26.求定积分dx x x1sin 1212⎰ππ. 解: 原式11cos12==ππx27.求定积分dxx ⎰+101210. 解: 原式10ln 4950110ln 21012==+x 28.求定积分xdxx ⎰23cos sin π解: 原式410cos 41-24==πx29.求定积分⎰1024dx xx . 解: 原式10ln 710ln 81=⎥⎦⎤⎢⎣⎡=x 30.求定积分dx x x e⎰-1ln 1. 解: 原式21ln 21ln 12=⎥⎦⎤⎢⎣⎡-=ex x31.求定积分dxx x ⎰+31)1(1. 解: 原式[]6arctan 2312π==t t x32.求定积分xdxx cos sin 23⎰π. 解: 原式410sin 4124==πx33.求定积分⎰--1321dx x . 解: 原式[]5ln 2ln -13=-=-x34.求定积分dx x x x ⎰++21222)1(12 解: 原式4212arctan 1arctan 21π-+=⎥⎦⎤⎢⎣⎡-=x x 35.求定积分⎰+21ln 1e x x dx. 解: 原式[])13(2ln 1221-=+=e x36.求定积分dxe x x ⎰22. 解: 原式)1(21214202-=⎥⎦⎤⎢⎣⎡=e e x37.求定积分dxx ⎰20sin π. 解: 原式10cos 2=-=πx38.求定积分⎰++10)32)(1(dx x x . 解: 原式211252132=⎥⎦⎤⎢⎣⎡++=x x x39.求定积分dttet ⎰-1022. 解: 原式212112---=⎥⎥⎦⎤⎢⎢⎣⎡-=e e t 40.求定积分dx x x ⎰+102212. 解: 原式[]22)arctan (210π-=-=x x41.求定积分⎰πsin xdxx . 解: 原式[]ππ=+-=0sin cos x x x42.求定积分dx x xe⎰12ln . 解: 原式311ln 313==e x43.求定积分⎰2cos sin 3πxdxx . 解: 原式230sin 2322==πx44.求定积分()⎰ωπωω20sin 为常数tdt t 解: 原式2022sin 1cos 12ωπωωωωωω-=⎥⎦⎤⎢⎣⎡+-=t t t45.求定积分dxx ⎰230cos π. 解: 原式[][]3sin sin 2322=-=πππx x 46.求定积分dxx ⎰--2221. 解:原式43131231213113123=⎥⎦⎤⎢⎣⎡-+⎥⎦⎤⎢⎣⎡-+⎥⎦⎤⎢⎣⎡-=---x x x x x x47.求定积分⎰+331211dx x. 解:原式[]6arctan 331π==x48.求定积分⎰+161 4x x dx . 解:原式23ln 2)1ln(2142124+=⎥⎦⎤⎢⎣⎡++-=t t t t x 五.应用题1.已知生产某产品x (百台)时,总收入R 的变化率x R -='8 (万元/百台),求产量从从1(百台)增加到3(百台)时,总收入的增加量. 解:由已知x R -='8得总收入的增加量为:12218)8(R 3131312=⎥⎦⎤⎢⎣⎡-=-='=⎰⎰x x dx x dx R2.试描画出定积分⎰ππ2cos xdx所表示的图形面积,并计算其面积.解:[]1sin cos 22=-=-=⎰ππππx xdx S . (图形略)3.试描画出定积分⎰ππ2sin xdx 所表示的面积图形,并计算其面积.解:[]1cos sin 22=-==⎰ππππx xdx S . (图形略)4.计算曲线3x y =,直线3,2=-=x x 及x 轴所围成的曲边梯形面积.解:49741413402433023=⎥⎦⎤⎢⎣⎡+⎥⎦⎤⎢⎣⎡-=+-=--⎰⎰x x dx x dx x S .(图形略) 5.计算抛物线24x y -=与x 轴所围成的图形面积. 解: 24x y -=与x 轴的交点为(-2,0),(2,0)6.已知生产某产品x (百台)时,总成本C 的变化率为x C +='2(万元/百台),求产量从1(百台)增加到3(百台)时总成本的增加量.解:.8212)2(31312=⎥⎦⎤⎢⎣⎡+=+=⎰x x dx x C7.计算函数x y sin 2=在⎥⎦⎤⎢⎣⎡2,0π上的平均值.解:[]πππππ4cos 222sin 22020=-==⎰x xdxy8.计算函数x y cos 2=在⎥⎦⎤⎢⎣⎡2,0π上的平均值.解:[]πππππ4sin 222cos 2202===⎰x xdxy第七章 定积分的应用一.单选题1.变力使)(x f 物体由],[b a 内的任一闭区间]d ,[x x x +的左端点x 到右端点x x d +所做功的近似值为( C ).A.)(x df -B.)(dx fC.dx x f )(D.dx x f )(-2.一物体受连续的变力)(x F 作用, 沿力的方向作直线运动,则物体从a x =运动到b x =, 变力所做的功为( A ). A.⎰b a x x F d )( B.⎰a b x x F d )( C.⎰-ab x x F d )( D.⎰-ba x x F d )(3.将曲线2x y =与x 轴和直线2=x 所围成的平面图形绕y 轴旋转所得的旋转体的体积可表示为=y V ( C ).A.dx x ⎰204π B.⎰4ydyπ C.()dyy ⎰-44π D.()dyy ⎰+44π二.判断题 1.定积分⎰b adxx f )(反映在几何意义上是一块[a,b]上的面积. ( ╳ )2.已知边际利润求总利润函数可用定积分方法. ( √ ) 三.填空题1.计算曲线x y sin =与曲线2π=x 及0=y 所围成的平面图形的面积可用定积分表示为⎰=20sin πdxA .2.抛物线3x y =与x 轴和直线2=x 围成的图形面积为⎰23dxx .3.由曲线2x y =与直线1=x 及x 轴所围成的平面图形,绕x 轴旋转所的旋转体的体积可用定积分表示为⎰=14dxx V x π.四.计算题1.求抛物线3x y =与x 轴和直线3=x 围成的图形面积.2.把抛物线ax y 42=及直线)0(>=b b x 所围成的图形绕x 轴旋转,计算所得旋转体的体积. 3.一边长为a m 的正方形薄板垂直放入水中,使该薄板的上边距水面1m ,试求该薄板的一侧所受的水的压力(水的密度为33kg/m 10, g 取2m/s 10).4.计算抛物线2x y =与直线轴和x x x 3,1=-=所围成的平面图形绕x 轴旋转所得到的旋转体体积.5.由22x y x y ==和所围成的图形绕x 轴旋转而成的旋转体体积.6.求由曲线x y 1=与直线x y =及2=x 所围成的图形的面积.7.用定积分求由0,1,0,12===+=x x y x y 所围平面图形绕x 轴旋转一周所得旋转体的体积.8.求曲线22)2(,-==x y x y 与x 轴围成的平面图形的面积.9.用定积分求底圆半径为r ,高为h 的圆锥体的体积.10.计算曲线3x y =和x y =所围成的图形面积.11.计算抛物线24x y -=与x 轴所围成的图形面积.12.求曲线2x y =与x y =所围成的图形的面积。
重庆高等数学试题及答案一、选择题(每题3分,共30分)1. 函数\( f(x) = x^2 - 4x + 4 \)的最小值是()。
A. 0B. 1C. 3D. 42. 极限\( \lim_{x \to 0} \frac{\sin x}{x} \)的值为()。
A. 0B. 1C. -1D. 23. 函数\( y = e^x \)的导数是()。
A. \( e^x \)B. \( -e^x \)C. \( \ln e^x \)D. \( \frac{1}{e^x} \)4. 曲线\( y = x^3 - 3x^2 + 2 \)的拐点坐标是()。
A. (0,2)B. (1,0)C. (2,-2)D. (3,6)5. 定积分\( \int_{0}^{1} x^2 dx \)的值为()。
A. \( \frac{1}{3} \)B. \( \frac{1}{2} \)C. \( \frac{1}{4} \)D. \( \frac{1}{5} \)6. 微分方程\( y'' + 4y' + 4y = 0 \)的特征方程是()。
A. \( r^2 + 4r + 4 = 0 \)B. \( r^2 - 4r + 4 = 0 \)C. \( r^2 + 4r - 4 = 0 \)D. \( r^2 - 4r - 4 = 0 \)7. 函数\( f(x) = \ln(x+1) \)的不定积分是()。
A. \( x\ln(x+1) - x + C \)B. \( x\ln(x+1) + x + C \)C. \( x\ln(x+1) + \ln(x+1) + C \)D. \( x\ln(x+1) - \ln(x+1) + C \)8. 级数\( \sum_{n=1}^{\infty} \frac{1}{n^2} \)的和是()。
A. \( \frac{\pi^2}{6} \)B. \( \frac{\pi^2}{4} \)C. \( \frac{\pi^2}{3} \)D. \( \frac{\pi^2}{2} \)9. 矩阵\( A = \begin{bmatrix} 1 & 2 \\ 3 & 4 \end{bmatrix} \)的行列式是()。
第3次作业一、填空题〔本大题共40分,共10 小题,每题 4 分〕1. 写出级数的通项为:______。
2. 级数的敛散性为______。
3. 函数的定义域为______。
设平面通过点〔1,3,-2〕,且垂直于向量,求该平面的方程。
5. 由曲线绕y轴一周所得的旋转面方程为______。
6. 设,且函数f可微,那么______7.D由及x轴围成,那么______。
8.过点(3,0,-1)且与平面平行的平面方程为______。
9.一平面通过两点和且垂直于平面,求它的方程。
10.设,其中具有连续的二阶偏导数,____________。
二、计算题〔本大题共40分,共8小题,每题5分〕2. 1.判断级数的敛散性。
3.利用二重积分的性质估计(其中是矩形区域)的值。
3.求曲面在点(1,1,2)处的切平面和法线方程。
4.求两平面,的夹角。
5.三角形ABC的顶点是A(1,2,3),B(3,4,5),C(2,4,7),求三角形的面积。
6.求微分方程满足的特解。
7.求的所有二阶偏导数。
把对坐标的曲线积分化成对弧长的曲线积分,其中L为(1)在xOy面内沿直线从点(0,0)到点(1,1);(2)沿抛物线从点(0,0)到点(1,1);(3)沿上半圆周从点(0,0)到点(1,1)。
三、证明题〔本大题共20分,共2小题,每题10分〕1.证明:假设数列收敛于a,那么级数。
2.设级数和收敛,证明级数收敛。
答案:一、填空题〔40分,共10题,每题4分〕1.参考答案:解题方案:评分标准:2.参考答案:发散解题方案:评分标准:3.参考答案:解题方案:评分标准:4.参考答案:解题方案:评分标准:5.参考答案:解题方案:评分标准:6.参考答案:解题方案:评分标准:7.参考答案:2解题方案:评分标准:8.参考答案:解题方案:评分标准:9.参考答案:解题方案:评分标准:10.参考答案:解题方案:评分标准:二、计算题〔40分,共8题,每题5分〕1.参考答案:该级数尽管是一个交错级数,但是容易验证,该级数的通项极限为1,根据级数收敛的必要条件可知,该级数是发散的。
重庆大学《高等数学(工学类)》课程试卷A卷B卷20 — 20 学年 第 学期开课学院: 数统学院 课程号:考试日期:考试方式:开卷闭卷 其他考试时间: 120 分一、选择题(每小题3分,共18分)1. 向量3124a i j k=-+r r r r在向量(2)(34)b i k i j k =-⨯+-r r r r r r上的投影为().(A) -67 (B) 76 (C) 67 (D) -67难度等级:2;知识点:向量代数 答案:(C).分析:102(6,2,3),134i j k b =-=-rr r r 6Prj .7||b a b a b ⋅==r r rr 2. 设()f u 具有连续导数,若L 为221,x y +=则必有().(A)22()()0L f x y xdx ydy ++=⎰Ñ (B)22()()0L f x y xdy ydx ++=⎰Ñ (C)22()()0L f x y dx ydy ++=⎰Ñ ()D 22()()0L f x y xdx dy ++=⎰Ñ难度等级:2;知识点:格林公式 答案: (B).分析:22221,()(1),x y f x y f +=+=积分值为0.积分与路径无关,只有B 满足.3. 若1(),y x ϕ=2()y x ϕ=是一阶非齐次线性微分方程的两个不同特解,则该方程的通解为().(A)12()()x x ϕϕ- (B)12()()x x ϕϕ+ (C)121(()())()C x x x ϕϕϕ-+ (D)12()()C x x ϕϕ+ 难度等级:1;知识点:微分方程答案: C.分析:由一阶非齐次线性微分方程通解的结构知,其通解应是对应的齐次方程的通解与原各的一个特解之和.而12ϕϕ-是齐次方程的解,因此齐次方程的通解应为12().y C ϕϕ=-因此非命题人:组题人:审题人:命题时间:教务处制学院 专业、班 年级 学号 姓名 考试教室公平竞争、诚实守信、严肃考纪、拒绝作弊封线密齐次方程的通解应是121()y C ϕϕϕ=-+或122().y C ϕϕϕ=-+故应选(C).4. 设222: (1)1,x y z Ω++-≤则2(3)().x xyz dV Ω+-=⎰⎰⎰(A)0 (B)3π (C)3π- (D)4π- 难度等级:2;知识点:三重积分 答案:(D).分析:积分区域关于yoz 面对称,2x xyz +为关于x 的奇函数,积分值为0,余下为3-倍体积,球体体积为4/3,π故选D.5. 曲线x t y t z t ===,,42在点(,,)4816处的法平面方程为( ).(A) x y z --=-8132 (B) x y z ++=8140 (C)x -y +8z =124 (D) x y z +-=8116答:(B )难度等级:1;知识点:曲线的法平面.分析 法平面的法向量就是曲线的切向量,为(1,1,8)n =r,所以法平面方程为:(4)(8)8(16)0x y z -+-+-= 即 x y z ++=8140 与(A)、(B)、(C)、(D)比较后知,应选(B).6. 设22()x f x x e =,则(16)(0)f =______(A)17!(B) 16! (C) 16!7! (D) 7!16!答案:(C)难度等级2; 知识点:幂级数分析:因为22220()!n x n x f x x e x n ∞===∑的16x 的系数为17!,即(16)(0)116!7!f =,故 (16)16!(0)7!f =二、填空题(每小题3分,共18分)7. 已知sin(21),xy u e x y =++则__________.du = 难度等级1; 知识点:全微分答案: ([sin(21)][2cos(21)].xy xy ye y dx xe x y dy +++++8. 已知幂级数1nn n a x ∞=∑的收敛半径为2,则213nn n n a x ∞=∑的收敛半径为__________.难度等级2; 知识点:幂级数 答案:R =分析:由1nn n a x ∞=∑的收敛半径为2,故 2.x <即223x x <⇒<9.设向量场()()(23)32,A z y i x z j y x k =-+-+-v v v v则旋度_______.v rotA =难度等级1; 知识点:旋度答案:234.vv v i j k ++10. 若某个二阶常系数线性齐次微分方程的通解为12,y C C x =+其中12,C C 为独立的任意常数,则该方程为__________.答案:0.y ''=分析:由通解可得特征方程为20,λ=其对应的二阶线性常系数齐次微分方程0.y ''=11.设:0,D y x a ≤≤≤≤则__________.D=难度等级2; 知识点:二重积分答案:316a π分析:由几何意义知,该积分为顶为z =底为坐标面的四分之一园面曲顶柱体体积,即为一半径为a 的球体的八分之一,得结果. 12. 函数0()0x x f x x πππ-<≤⎧=⎨<≤⎩在[],ππ-上的傅立叶级数的系数__________.n b =答案:21(1).n n n-- 分析:1()sin n b f x nxdx πππ-=⎰ 00000021(sin sin )11(cos cos )111((1)1)cos cos 1(1)1((1)1)sin 21(1).n n nn nxdx x nxdx nx xd nx n n x nx nxdx n n n nx n n n n nππππππππππππππ-----=+=--=---+-=--++=--⎰⎰⎰⎰三、计算题(每小题6分,共24分)13. 判定级数11(1)lnn n n n∞=+-∑是否收敛?如果是收敛的,是绝对收敛还是条件收敛?难度等级2; 知识点:级数的敛散性解:由11lim lim ln(1)lim ln(1)10,nn n n n n u n n n →∞→∞→∞=+=+=>知级数1n n u ∞=∑发散.--------3分又111||ln(1)ln(1)||,1n n u u n n +=+>+=+1lim ||lim ln(1)0.n n n u n→∞→∞=+=故所给级数收敛且条件收敛.---3分14. 方程组01xu yv yu xv -=⎧⎨+=⎩确定隐函数(,),(,),u u x y v v x y ==求2,u x y ∂∂∂2.v x y ∂∂∂ 难度等级2; 知识点:隐函数的偏导数 分析:用,x y 解出,,u v 再求偏导数.解: 2222,;y xu v x y x y==++222222222,;()()u xy v y xx x y x x y ∂∂-=-=∂+∂+ 22222222232232(3)2(),.()()u x y x v y x y x x y x y x y ∂-∂-==∂+∂∂+ 15. 计算二重积分cos(),Dx x y d σ+⎰⎰其中D 是顶点分别为0,0,()(),0π和(),ππ的三角形闭区域难度等级2; 知识点:二重积分解 :积分区域可表示为:0,0.D x y x π≤≤≤≤ 于是cos()Dx x y d σ+⎰⎰00cos()xxdx x y dy π=+⎰⎰ []00sin()xx x y dx π=+⎰(sin 2sin )x x x dx π=-⎰01(cos 2cos )2xd x x π=--⎰1(cos 2cos )|2x x x π=--+01(cos 2cos )2x x dx π-⎰3.2π=- 16.计算222222()()(),y z dx z x dy x y dz Γ+++++⎰其中Γ是球面x z y x 4222=++与柱面x y x 422=+的交线,从Oz 轴正方向看进去为逆时针(0).z ≥难度等级2; 知识点:第二类曲线积分分析:用斯托克斯公式化为对坐标的曲面积分,并计算此曲面积分.解: 222222()()()L y z dx z x dy x y dz +++++⎰ 2()()()y z dydz z x dzdx x y dxdy ∑=-+-+-⎰⎰2()2xyxyD D x y dxdy xdxdy =-=⎰⎰⎰⎰4cos 22022cos d r dr πθπθθ-=⎰⎰342224cos 16.3d ππθθπ-⨯==⎰或解:22cos 2sin 020x ty tt z π=+⎧⎪=≤≤⎨⎪=⎩222222()()()y z dx z x dy x y dzΓ+++++⎰23208[sin (1cos )cos ]16t t t dt ππ=-++=⎰四、解答题(每小题6分,共12分)17. 设函数()x ϕ为已知的一阶导数连续的函数,求微分方程()()()dy d x d x y x dx dx dxϕϕϕ+=的通解. 难度等级2; 知识点:一阶非齐次线性微分方程分析: 因为()x ϕ是已知函数,故方程为一阶非齐次线性微分方程. 解: 由通解公式可得()()(()())x x y e x x e dx C ϕϕϕϕ-'=+⎰()()(()())x x e x e d x C ϕϕϕϕ-=+⎰()()()(())x x x e x e e C ϕϕϕϕ-=-+即()()1.x y x Ce ϕϕ-=-+18. 函数z z x y =(,)由方程F x z yy z x(,)++=0所确定,其中F 有连续的一阶偏导数,计算: z z x yx y∂∂+∂∂难度等级:2,知识点:多元隐函数的偏导数、复合函数的偏导数.分析 由方程(,)zz F x y y x++=(,,)0G x y z =确定的隐函数z z x y =(,)的偏导数x zG zx G ∂=-∂,y zG zy G ∂=-∂,求出,,x y z G G G 后可得,z z x y ∂∂∂∂,代入z zx y x y∂∂+∂∂即可得到结论.解12212221()1yF zF yF zF zx xxF F x-++∂=-=∂112211F F zx y F F x -∂=-=-∂1212yF zF yF z z xy z x y F +-∂∂+==∂∂五、 证明题 (每小题6分,共12分)19. 设向量(1,1,1)a =-r,(3,4,5)b =-r ,x a b λ=+r r r ,λ为实数,试证:其模最小的向量x r垂直于向量b r .难度等级:2;知识点:向量代数.分析 先计算出x a b λ=+r r r ,再求出它的模x r ,何时x r达到最小值?证 设x a b λ=+r r r ,于是22222()x a b a b λλ=++⋅r r r r r ,将a b r r 、的坐标代入得,222633245050().2525x λλλ=++=++r当256-=λ时,模x r 最小,这时6715(1,1,1)()(3,4,5)(,,).25252525x ---=-+-=r且有0x b ⋅=rr .故结论正确.20. 验证曲线积分(2,3)(0,1)()()x y dx x y dy ++-⎰的被积表达式为某二元函数的全微分,并计算该曲线积分. 难度等级:2;知识点:第二类曲线积分.2分析:可利用曲线积分与路径无关找被积函数的原函数. 证:显然,()()x y dx x y dy ++- ()()xdx ydy ydx xdy =-++2222()2().2x y d d xy x y d xy -=+-=+是全微分.于是(2,3)22(2,3)(0,1)(0,1)()() 4.2x y x y dx x y dy xy ⎡⎤-++-=+=⎢⎥⎣⎦⎰六、应用题 (每小题8分,共16分)21.求抛物面224y x z ++=的切平面,π使得π与该抛物面间并介于柱面1)1(22=+-y x 内部的部分的体积为最小.难度等级3; 知识点:综合题,多元函数的几何应用、二重积分和多元函数的极值。