反三角函数求导公式证明
- 格式:doc
- 大小:102.50 KB
- 文档页数:3
反三角函数互导公式
反三角函数是指反向计算三角函数的函数,包括反正弦函数(arcsin或asin)、反余弦函数(arccos或acos)和反正切函数(arctan或atan)。
互导公式,也称为反函数导数公式,描述了反三角函数的导数与原函数之间的关系。
互导公式如下:
1. 反正弦函数的互导公式:
d/dx(arcsin(x)) = 1 / √(1 - x^2)
2. 反余弦函数的互导公式:
d/dx(arccos(x)) = -1 / √(1 - x^2)
3. 反正切函数的互导公式:
d/dx(arctan(x)) = 1 / (1 + x^2)
这些互导公式可以用来计算反三角函数的导数。
请注意,互导公式只适用于特定的定义域,通常为[-1, 1]范围内的值。
此外,还存在其他反三角函数(如反正割函数、反余割函数和反余切函数),它们的互导公式类似,但略有不同。
如果您对特定的反三角函数的互导公式感兴趣,可以进一步研究该函数的导数性质或参考相关数学文献。
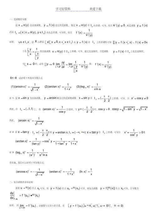
§2.3 反函数的导数,复合函数的求导法则一、反函数的导数设)(y x ϕ=是直接函数,)(x f y =是它的反函数,假定)(y x ϕ=在I y 内单调、可导,而且0)(≠'y ϕ,则反函数)(x f y =在间},)(|{y x I y y x x I ∈==ϕ内也是单调、可导的,而且)(1)(y x f ϕ'=' (1)证明: ∀∈x I x ,给x 以增量x ∆),0(x I x x x ∈∆+≠∆由 )(x f y = 在 I x 上的单调性可知0)()(≠-∆+=∆x f x x f y于是y x x y ∆∆=∆∆1因直接函数)(y x ϕ=在I y 上单调、可导,故它是连续的,且反函数)(x f y =在I x 上也是连续的,当0→∆x 时,必有0→∆y)(11lim lim00y y x x y y x ϕ'=∆∆=∆∆→∆→∆即:)(1)(y x f ϕ'=' 【例1】试证明下列基本导数公式 ().(arcsin )().()().(log )ln 1112113122x x arctgx x a x a x '=-'=+'=证1、设y x sin =为直接函数,x y arcsin =是它的反函数 函数 y x sin =在)2,2(ππ-=y I 上单调、可导,且 '=≠x y cos 0 因此,在 )1,1(-=x I 上, 有 y x cos 1)arcsin (=' 注意到,当)2,2(ππ-∈y 时,0cos >y ,221sin 1cos x y y -=-=因此, 211)arcsin (x x -='证2 设x tgy =,)2,2(ππ-=y I 则y arctgx =,I x =-∞+∞(,)tgy x = 在 I y 上单调、可导且0cos 12>='y x 故2221111cos )(1)(x y tg y tgy arctgx +=+=='='证3 a x a a a a y y x ln 1ln 1)(1)log (=='='类似地,我们可以证明下列导数公式:(arccos )()(ln )x x arcctgx x x x '=--'=-+'=1111122二、复合函数的求导法则如果)(x u ϕ=在点x 0可导,而)(u f y =在点)(00x u ϕ=可导,则复合函数])([x f y ϕ=在点x 0可导,且导数为 )()(000x u f dx dy x x ϕ'⋅'== 证明:因)(lim 00u f x y u '=∆∆→∆,由极限与无穷小的关系,有)0,0()(0→→∆∆⋅+∆'=∆αα时当u u u u f y用0≠∆x 去除上式两边得:x u x u u f x y ∆∆⋅+∆∆⋅'=∆∆α)(0由)(x u ϕ=在x 0的可导性有:00→∆⇔→∆u x , 0lim lim 00==→∆→∆ααu x ])([lim lim 000x u x u u f x y x x ∆∆⋅+∆∆⋅'=∆∆→∆→∆αx u x u u f x x x ∆∆⋅+∆∆⋅'=→∆→∆→∆0000lim lim lim )(α)()(00x u f ϕ'⋅'= 即)()(000x u f dx dy x x ϕ'⋅'==上述复合函数的求导法则可作更一般的叙述:若u x =ϕ()在开区间I x 可导,y f u =()在开区间I u 可导,且∀∈x I x 时,对应的 u I u ∈,则复合函数])([x f y ϕ=在I x 内可导,且dx du du dy dx dy ⋅= (2)复合函数求导法则是一个非常重要的法则,特给出如下注记:弄懂了锁链规则的实质之后,不难给出复合更多层函数的求导公式。
反三角函数导数公式
反三角函数是指反函数为三角函数的函数,包括反正弦函数、反余弦函数、反正切函数等。
反三角函数导数公式是指求反三角函数导数的公式,它们的计算较为复杂,但是对于求解一些复杂的数学问题非常有用。
下面是常见的反三角函数导数公式:
1. 反正弦函数导数公式:d/dx(arcsin x) = 1/√(1-x)
2. 反余弦函数导数公式:d/dx(arccos x) = -1/√(1-x)
3. 反正切函数导数公式:d/dx(arctan x) = 1/(1+x)
4. 反余切函数导数公式:d/dx(arccot x) = -1/(1+x)
以上公式可以通过基本微积分方法推导得出。
在实际应用中,反三角函数导数公式可以用于求解一些数学问题,如求解极限、积分等。
- 1 -。
反函数导数公式大全表(反函数导数公式大全)(arcsinx)'=1/√(1-x^2)的求导:(arccosx)'=-1/√(1-x^2)的求导:(arctanx)'=1/(1+反三角函数求导公式是什么?1、的求导:(arcsinx)'=1/√(1-x^2)2、的求导:(arccosx)'=-1/√(1-x^2)3、的求导:(arctanx)'=1/(1+x^2)4、的求导:(arccotx)'=-1/(1+x^2)为限制为单值函数,将反正弦函数的值y限在-π/2≤y≤π/2,将y作为反正弦函数的主值,记为y=arcsinx。
相应地。
反余弦函数y=arccosx的主值限在0≤y≤π;反正切函数y=arctanx的主值限在-π/2<y<π2;反余切函数y="arccot"x 的主值限在0<y<π。
1、反正弦函数正弦函数y=sinx在[-π/2,π/2]上的,叫做反正弦函数。
记作arcsinx,表示一个正弦值为x的角,该角的范围在[-π/2,π/2]区间内。
[-1,1],[-π/2,π/2]。
2、反余弦函数余弦函数y=cosx在[0,π]上的反函数,叫做反余弦函数。
记作arccosx,表示一个余弦值为x的角,该角的范围在[0,π]区间内。
定义域[-1,1],值域[0,π]。
3、反正切函数正切函数y=tanx在(-π/2,π/2)上的反函数,叫做反正切函数。
记作arctanx,表示一个为x的角,该角的范围在(-π/2,π/2)区间内。
定义域R,值域(-π/2,π/2)。
5、反余切函数余切函数y=cotx在(0,π)上的反函数,叫做反余切函数。
记作arccotx,表示一个余切值为x的角,该角的范围在(0,π)区间内。
定义域R,值域(0,π)。
6、反正割函数正割函数y=secx在[0,π/2)U(π/2,π]上的反函数,叫做反正割函数。
反三角函数的导数怎么求反三角函数的导数是什么反正弦函数的求导(arcsinx)=1/√(1-x^2)反余弦函数的求导(arccosx)=-1/√(1-x^2)反正切函数的求导(arctanx)=1/(1+x^2)反余切函数的求导(arccotx)=-1/(1+x^2)为限制反三角函数为单值函数,将反正弦函数的值y限在-π/2≤y≤π/2,将y作为反正弦函数的主值,记为y=arcsin x。
相应地。
反余弦函数y=arccos x的主值限在0≤y≤π;反正切函数y=arctan x的主值限在-π/2反三角函数的公式反三角函数的和差公式与对应的三角函数的和差公式没有关系:y=arcsin(x),定义域[-1,1],值域[-π/2,π/2];y=arccos(x),定义域[-1,1],值域[0,π];y=arctan(x),定义域(-∞,+∞),值域(-π/2,π/2);y=arccot(x),定义域(-∞,+∞),值域(0,π);sin(arcsinx)=x,定义域[-1,1],值域[-1,1]arcsin(-x)=-arcsinx;证明方法如下:设arcsin(x)=y,则sin(y)=x,将这两个式子代入上式即可得。
其他几个用类似方法可得。
cos(arccosx)=x,arccos(-x)=π-arccosx。
tan(arctanx)=x,arctan(-x)=-arctanx。
高中数学常用公式三角不等式|a+b|≤|a|+|b||a-b|≤|a|+|b||a|≤b=-b≤a≤b|a-b|≥|a|-|b|-|a|≤a≤|a|一元二次方程的解-b+√(b2-4ac)/2a,-b-√(b2-4ac)/2a根与系数的关系X1+X2=-b/aX1__X2=c/a 注:韦达定理判别式b2-4a=0 注:方程有相等的两实根b2-4ac0 注:方程有一个实根b2-4ac0 注:方程有共轭复数根三角函数公式两角和公式sin(A+B)=sinAcosB+cosAsinBsin(A-B)=sinAcosB-sinBcosAcos(A+B)=cosAcosB-sinAsinBcos(A-B)=cosAcosB+sinAsinBtan(A+B)=(tanA+tanB)/(1-tanAtanB)tan(A-B)=(tanA-tanB)/(1+tanAtanB)ctg(A+B)=(ctgActgB-1)/(ctgB+ctgA)ctg(A-B)=(ctgActgB+1)/(ctgB-ctgA) 倍角公式tan2A=2tanA/(1-tan2A)ctg2A=(ctg2A-1)/2ctgacos2a=cos2a-sin2a=2cos2a-1=1-2sin2a半角公式sin(A/2)=√((1-cosA)/2)sin(A/2)=-√((1-cosA)/2)cos(A/2)=√((1+cosA)/2)cos(A/2)=-√((1+cosA)/2)tan(A/2)=√((1-cosA)/((1+cosA))tan(A/2)=-√((1-cosA)/((1+cosA)) ctg(A/2)=√((1+cosA)/((1-cosA))ctg(A/2)=-√((1+cosA)/((1-cosA)) 和差化积2sinAcosB=sin(A+B)+sin(A-B)2cosAsinB=sin(A+B)-sin(A-B)2cosAcosB=cos(A+B)-sin(A-B)-2sinAsinB=cos(A+B)-cos(A-B)sinA+sinB=2sin((A+B)/2)cos((A-B)/2cosA+cosB=2cos((A+B)/2)sin((A-B)/2) tanA+tanB=sin(A+B)/cosAcosBtanA-tanB=sin(A-B)/cosAcosBctgA+ctgBsin(A+B)/sinAsinB-ctgA+ctgBsin(A+B)/sinAsinB某些数列前n项和1+2+3+4+5+6+7+8+9+…+n=n(n+1)/21+3+5+7+9+11+13+15+…+(2n-1)=n__22+4+6+8+10+12+14+…+(2n)=n(n+1)12+22+32+42+52+62+72+82+…+n2=n(n+1)(2n+1)/613+23+33+43+53+63+…n3=n2(n+1)2/41__2+2__3+3__4+4__5+5__6+6__7+…+n(n+1)=n(n+1)(n+2)/3正弦定理a/sinA=b/sinB=c/sinC=2R 注:其中R表示三角形的外接圆半径余弦定理b2=a2+c2-2accosB 注:角B是边a和边c的夹角圆的标准方程(x-a)2+(y-b)2=r2 注:(a,b)是圆心坐标圆的一般方程x2+y2+Dx+Ey+F=0 注:D2+E2-4F0抛物线标准方程y2=2pxy2=-2p__2=2pyx2=-2py直棱柱侧面积S=c__h斜棱柱侧面积S=c__h正棱锥侧面积S=1/2c__h正棱台侧面积S=1/2(c+c)h圆台侧面积S=1/2(c+c)l=pi(R+r)l球的表面积S=4pi__r2圆柱侧面积S=c__h=2pi__h圆锥侧面积S=1/2__c__l=pi__r__l弧长公式l=a__ra是圆心角的弧度数r0扇形面积公式s=1/2__l__r锥体体积公式V=1/3__S__H圆锥体体积公式V=1/3__pi__r2h斜棱柱体积V=SL 注:其中S是直截面面积,L是侧棱长柱体体积公式;V=s__h圆柱体V=pi__r2h正弦定理a/sinA=b/sinB=c/sinC=2R 注:其中R表示三角形的外接圆半径余弦定理b^2=a^2+c^2-2accosB 注:角B是边a和边c的夹角圆的标准方程(x-a)^2+(y-b)^2=^r2 注:(a,b)是圆心坐标圆的一般方程x^2+y^2+Dx+Ey+F=0 注:D^2+E^2-4F0抛物线标准方程y^2=2pxy^2=-2p__^2=2pyx^2=-2py直棱柱侧面积S=c__h斜棱柱侧面积S=c__h正棱锥侧面积S=1/2c__h正棱台侧面积S=1/2(c+c)h圆台侧面积S=1/2(c+c)l=pi(R+r)l球的表面积S=4pi__r2圆柱侧面积S=c__h=2pi__h圆锥侧面积S=1/2__c__l=pi__r__l弧长公式l=a__ra是圆心角的弧度数r0扇形面积公式s=1/2__l__r锥体体积公式V=1/3__S__H斜棱柱体积V=SL 注:其中,S是直截面面积,L是侧棱长柱体体积公式V=s__h圆柱体V=pi__r2h倍角公式tan2A=2tanA/[1-(tanA)^2]cos2a=(cosa)^2-(sina)^2=2(cosa)^2-1=1-2(sina)^2半角公式sin(A/2)=√((1-cosA)/2)sin(A/2)=-√((1-cosA)/2)cos(A/2)=√((1+cosA)/2)cos(A/2)=-√((1+cosA)/2)tan(A/2)=√((1-cosA)/((1+cosA))tan(A/2)=-√((1-cosA)/((1+cosA)) cot(A/2)=√((1+cosA)/((1-cosA))cot(A/2)=-√((1+cosA)/((1-cosA)) 和差化积2sinAcosB=sin(A+B)+sin(A-B)2cosAsinB=sin(A+B)-sin(A-B))2cosAcosB=cos(A+B)-sin(A-B)-2sinAsinB=cos(A+B)-cos(A-B)sinA+sinB=2sin((A+B)/2)cos((A-B)/2cosA+cosB=2cos((A+B)/2)sin((A-B)/2)tanA+tanB=sin(A+B)/cosAcosB某些数列前n项和1+2+3+4+5+6+7+8+9+…+n=n(n+1)/22+4+6+8+10+12+14+…+(2n)=n(n+1)51^2+2^2+3^2+4^2+5^2+6^2+7^2+8^2+…+n^2=n(n+1)(2n+1)/6 1^3+2^3+3^3+4^3+5^3+6^3+…n^3=n2(n+1)2/41__2+2__3+3__4+4__5+5__6+6__7+…+n(n+1)=n(n+1)(n+2)/3 常用导数公式1、y=c(c为常数)y=02、y=x^ny=nx^(n-1)3、y=a^xy=a^xlna4、y=e^xy=e^x5、y=logaxy=logae/x6、y=lnxy=1/x7、y=sinxy=cosx8、y=cosxy=-sinx9、y=tanxy=1/cos^2x10、y=cotxy=-1/sin^2x11、y=arcsinxy=1/√1-x^212、y=arccosxy=-1/√1-x^213、y=arctanxy=1/1+x^214、y=arccotxy=-1/1+x^2。
反三角函数求导公式及证明方法
反三角函数是一类初等函数,指三角函数的反函数。
下面小编整理了反
三角函数求导公式及证明方法,供大家参考!
1 反三角函数求导公式是什幺为限制反三角函数为单值函数,将反正弦函
数的值y 限在-π/2≤y≤π/2,将y 作为反正弦函数的主值,记为y=arcsin x;相应地,反余弦函数y=arccos x 的主值限在0≤y≤π;反正切函数y=arctan x 的主值限在-π/2反正弦函数
正弦函数y=sin x 在[-π/2,π/2]上的反函数,叫做反正弦函数。
记作arcsinx,表示一个正弦值为x 的角,该角的范围在[-π/2,π/2]区间内。
定义域[-1,1] ,值域[-π/2,π/2]。
反余弦函数
余弦函数y=cos x 在[0,π]上的反函数,叫做反余弦函数。
记作arccosx,表示一个余弦值为x 的角,该角的范围在[0,π]区间内。
定义域[-1,1] ,值域[0,π]。
反正切函数
正切函数y=tan x 在(-π/2,π/2)上的反函数,叫做反正切函数。
记作arctanx,表示一个正切值为x 的角,该角的范围在(-π/2,π/2)区间内。
定义域R,值域(-π/2,π/2)。
反余切函数
余切函数y=cot x 在(0,π)上的反函数,叫做反余切函数。
记作arccotx,表示一个余切值为x 的角,该角的范围在(0,π)区间内。
定义域R,值域(0,π)。
反三角函数的求导法则反三角函数是数学中比较重要的一类函数,除了正弦、余弦以外,还包括反正弦、反余弦、反正切等。
当这些函数出现在数学问题中,我们需要求解它们的导数。
本文将从反三角函数的定义入手,提出反三角函数求导的基本法则,并通过实例进行讲解。
一、反三角函数的定义反三角函数,顾名思义,是三角函数的反函数。
我们先来回忆一下三角函数的定义:对于一个角度 $\theta$,三角函数 $\sin \theta$、$\cos \theta$、$\tan \theta$、$\cot \theta$、$\sec \theta$ 和 $\csc \theta$ 的值分别为它在单位圆上的正弦值、余弦值、正切值、余切值、正割值和余割值。
那么,反三角函数就是让我们知道某个三角函数对应的是哪个角度。
比如,我们得到一个正弦值是 $\frac{\sqrt{2}}{2}$ 的数,那么我们就需要求出 $\theta$,使得 $\sin \theta=\frac{\sqrt{2}}{2}$。
为了方便表示,我们通常把反三角函数写成$\arcsin,\arccos,\arctan$ 等符号。
二、反三角函数求导公式我们现在要解决的问题是,当我们对反三角函数求导时,该怎么做呢?这就需要利用导数的链式法则来进行求导。
相信对于理解链式法则的朋友来说,本节内容应该不难理解。
现在我们来推导一下反正弦函数的导数公式。
其它反三角函数推导方法类似。
设 $y = \arcsin x$,则 $x = \sin y$。
对两边同时求导,得到$\frac{dx}{dy} = \cos y$。
此处需注意,这里推导出来的是 $\frac{dx}{dy}$,而不是 $\frac{dy}{dx}$。
移项得到 $\frac{dy}{dx} = \frac{1}{\cos y}$。
由于 $\cos y = \sqrt{1-\sin^2 y} = \sqrt{1-x^2}$,所以$\frac{dy}{dx} = \frac{1}{\sqrt{1-x^2}}$。
反三角函数求导公式的证明§ 反函数的导数,复合函数的求导法则一、反函数的导数设)(y x ϕ=是直接函数,)(x f y =是它的反函数,假定)(y x ϕ=在I y 内单调、可导,而且0)(≠'y ϕ,则反函数)(x f y =在间},)(|{y x I y y x x I ∈==ϕ内也是单调、可导的,而且)(1)(y x f ϕ'=' (1)证明: ∀∈x I x ,给x 以增量x ∆),0(x I x x x ∈∆+≠∆由 )(x f y = 在 I x 上的单调性可知0)()(≠-∆+=∆x f x x f y于是y xx y ∆∆=∆∆1因直接函数)(y x ϕ=在I y 上单调、可导,故它是连续的,且反函数)(x f y =在I x 上也是连续的,当0→∆x 时,必有0→∆y)(11lim lim00y y x x y y x ϕ'=∆∆=∆∆→∆→∆即:)(1)(y x f ϕ'=' 【例1】试证明下列基本导数公式().(arcsin )().()().(log )ln 1112113122x x arctgx x a x a x '=-'=+'=证1、设y x sin =为直接函数,x y arcsin =是它的反函数 函数 y x sin =在)2,2(ππ-=y I 上单调、可导,且 '=≠x y cos 0 因此,在)1,1(-=x I 上, 有 y x cos 1)arcsin (='注意到,当)2,2(ππ-∈y 时,0cos >y ,221sin 1cos x y y -=-=因此,211)arcsin (x x -=' 证2 设x tgy =,)2,2(ππ-=y I 则y arctgx =,I x =-∞+∞(,)tgy x = 在 I y 上单调、可导且0cos 12>='y x 故2221111cos )(1)(x y tg y tgy arctgx +=+=='='证3a x a a a a y y x ln 1ln 1)(1)log (=='=' 类似地,我们可以证明下列导数公式:(arccos )()(ln )x x arcctgx x x x '=--'=-+'=1111122二、复合函数的求导法则如果)(x u ϕ=在点x 0可导,而)(u f y =在点)(00x u ϕ=可导,则复合函数])([x f y ϕ=在点x 0可导,且导数为)()(000x u f dx dy x x ϕ'⋅'==证明:因)(lim00u f x y u '=∆∆→∆,由极限与无穷小的关系,有 )0,0()(0→→∆∆⋅+∆'=∆αα时当u u u u f y 用0≠∆x 去除上式两边得:x u x u u f x y ∆∆⋅+∆∆⋅'=∆∆α)(0由)(x u ϕ=在x 0的可导性有:00→∆⇔→∆u x , 0lim lim 00==→∆→∆ααu x])([lim lim000x u x u u f x y x x ∆∆⋅+∆∆⋅'=∆∆→∆→∆α x u x u u f x x x ∆∆⋅+∆∆⋅'=→∆→∆→∆0000lim lim lim )(α)()(00x u f ϕ'⋅'=即)()(000x u f dx dy x x ϕ'⋅'==上述复合函数的求导法则可作更一般的叙述:若u x =ϕ()在开区间I x 可导,y f u =()在开区间I u 可导,且∀∈x I x 时,对应的 u I u ∈,则复合函数])([x f yϕ=在I x 内可导,且 dx du du dy dx dy ⋅= (2)复合函数求导法则是一个非常重要的法则,特给出如下注记:弄懂了锁链规则的实质之后,不难给出复合更多层函数的求导公式。
反三角函数的求导公式(一)
反三角函数的求导公式
概述
反三角函数是指反映泛函关系中,以三角函数为参数的函数。
求导是微积分中的一个重要概念,反三角函数的求导公式为求反三角函数的导数。
反三角函数的求导公式
下面是常见的反三角函数的求导公式:
1.arcsin函数的导数公式: ( (x) = )
2.arccos函数的导数公式: ( (x) = -)
3.arctan函数的导数公式: ( (x) = )
举例说明
以arcsin函数为例,假设有函数(f(x) = (x)),我们要求其导数(f’(x))。
根据反三角函数的求导公式,我们可以得到:(f’(x) = (x) = )
所以,当(f(x) = (x))时,(f’(x) = )。
同样的方式,我们可以求出arccos和arctan函数的导数公式。
总结
反三角函数的求导公式是求反三角函数导数的重要工具。
在应用数学和工程领域中,我们经常需要求解反三角函数的导数,以便进一步分析和求解问题。
掌握反三角函数的求导公式,对于解决相关问题非常有帮助。
三角函数反三角函数积分公式_求导公式三角函数是高等数学中重要的一类函数,其基本函数包括正弦函数(sin)、余弦函数(cos)、正切函数(tan)以及它们的反函数(反正弦函数、反余弦函数、反正切函数)。
在解决三角函数的一些问题时,反三角函数的积分公式和求导公式是十分重要的。
本文将详细介绍三角函数反三角函数的积分公式和求导公式。
一、反正弦函数的积分公式和求导公式1.反正弦函数的积分公式:∫arcsinxdx = xarcsinx + √(1-x²) + C该公式可以通过对反正弦函数进行求导并使用换元法得到。
2.反正弦函数的求导公式:d(arcsinx)dx = 1/√(1-x²)要证明该公式,可以使用链式法则或利用三角恒等式进行变形。
二、反余弦函数的积分公式和求导公式1.反余弦函数的积分公式:∫arccosxdx = xarccosx - √(1-x²) + C该公式可以通过对反余弦函数进行求导并使用换元法得到。
2.反余弦函数的求导公式:d(arccosx)dx = -1/√(1-x²)同样地,要证明该公式,可以使用链式法则或利用三角恒等式进行变形。
三、反正切函数的积分公式和求导公式1.反正切函数的积分公式:∫arctanxdx = xarctanx - 1/2ln,1+x², + C该公式可以通过对反正切函数进行求导并使用换元法得到。
2.反正切函数的求导公式:d(arctanx)dx = 1/(1+x²)同样地,要证明该公式,可以使用链式法则或利用反函数关系进行推导。
以上就是三角函数反三角函数的积分公式和求导公式的详细介绍。
这些公式在解决一些涉及三角函数的问题时起到了重要的作用,可以帮助我们更好地理解和应用三角函数。
在实际应用中,我们可以根据具体情况选择适当的公式来求解问题。
反三角函数求导公式的证明1反三角函数求导公式的证明1要证明反三角函数的导数公式,可以采用以下步骤:1. 首先,定义反三角函数以及其对应的三角函数。
这是为了确保我们在证明过程中使用的函数具有明确的意义。
例如,我们可以定义反正弦函数 sin⁻¹(x) 为满足 sin(sin⁻¹(x)) = x 的唯一值,并定义反三角函数的定义域为 [-1, 1]。
2.接下来,我们将需要使用三角函数的导数公式,所以我们先回顾一下这些公式。
以下是一些基本的三角函数导数公式:- d/dx(sin(x)) = cos(x)- d/dx(cos(x)) = -sin(x)- d/dx(tan(x)) = sec²(x)- d/dx(csc(x)) = -csc(x)cot(x)- d/dx(sec(x)) = sec(x)tan(x)- d/dx(cot(x)) = -csc²(x)3. 现在我们来证明反正弦函数的导数公式:d/dx(sin⁻¹(x)) =1/√(1-x²)。
为了证明这个公式,我们使用复合函数求导法则,即导数链式法则。
首先,令 y = sin⁻¹(x),则根据反正弦函数的定义,sin(y) = x。
接下来,我们对两边同时求导数:- d/dx(sin(y)) = d/dx(x)- cos(y) * dy/dx = 1然后,我们可以解出 dy/dx:- dy/dx = 1/cos(y)现在,我们可以通过三角恒等式来将 cos(y) 进一步转化为 x 的表达式:- cos²(y) = 1 - sin²(y)- cos²(y) = 1 - x²由于cos(y)≥0,我们可以取平方根:- cos(y) = √(1 - x²)将这个结果代入 dy/dx = 1/cos(y) 中:- dy/dx = 1/√(1 - x²)因此,我们得出了反正弦函数的导数公式:d/dx(sin⁻¹(x)) =1/√(1 - x²)。
反三角函数的导数反三角函数的导数是求反三角函数的导数。
反三角函数是指与三角函数相反的函数,常见的反三角函数有反正弦函数、反余弦函数和反正切函数。
首先,我们来求反正弦函数的导数。
反正弦函数是正弦函数的反函数,记为y = arcsin(x),其中-1 ≤ x ≤ 1,-π/2 ≤ y ≤ π/2。
导数的定义是函数在某一点处的变化率,即函数曲线在该点的切线斜率。
设y = arcsin(x),则有x = sin(y)。
对y求导,可以使用隐函数求导法。
两边关于y求导,得到1 = cos(y) *dy/dx,即dy/dx = 1/cos(y)。
由三角函数的基本关系sin²(y) + cos²(y) = 1,可以得到cos(y) = √(1 - sin²(y))。
代入上式,可得dy/dx = 1/√(1 - x²)。
注意,这个导数只在定义域内有效,在定义域外是没有意义的。
接下来,我们来求反余弦函数的导数。
反余弦函数是余弦函数的反函数,记为y = arccos(x),其中-1 ≤ x ≤ 1,0 ≤ y ≤ π。
同样使用隐函数求导法。
设y = arccos(x),则有x = cos(y)。
对y求导,得到1 = -sin(y) * dy/dx,即dy/dx = -1/sin(y)。
由三角函数的基本关系sin²(y) + cos²(y) = 1,可以得到sin(y) = √(1 - cos²(y))。
代入上式,可得dy/dx = -1/√(1 - x²)。
同样地,在定义域内有效,在定义域外没有意义。
最后,我们来求反正切函数的导数。
反正切函数是正切函数的反函数,记为y = arctan(x),其中-\( \infty \) <x < \( \infty \),-\( \frac{\pi}{2} \) < y <\( \frac{\pi}{2} \)。
反三角函数导数表
反三角函数导数:arcsinx'=1/√1-x2;arccosx'=-1/√1-x2;arctanx'=1/1+x2;arccotx'=-1/1+x2。
反三角函数求导公式
arcsinx'=1/√1-x2
arccosx'=-1/√1-x2
arctanx'=1/1+x2
arccotx'=-1/1+x2
反三角函数
反三角函数是一种基本初等函数。
它是反正弦arcsinx,反余弦arccosx,反正切arctanx,反余切arccotx,反正割arcsecx,反余割arccscx这些函数的统称,各自表示其反正弦、反余弦、反正切、反余切,反正割,反余割为x的角。
反正弦函数:正弦函数y=sinx在[-π/2,π/2]上的反函数,叫做反正弦函数。
反余弦函数:余弦函数y=cosx在[0,π]上的反函数,叫做反余弦函数。
反正切函数:正切函数y=tanx在(-π/2,π/2)上的反函数,叫做反正切函数。
反余切函数:余切函数y=cotx在(0,π)上的反函数,叫做反余切函数。
反正割函数:正割函数y=secx在[0,π/2)U(π/2,π]上的反函数,叫做反正割函数。
反余割函数:余割函数y=cscx在[-π/2,0)U(0,π/2]上的反函数,叫做反余割函数。
感谢您的阅读,祝您生活愉快。
反三角函数求导公式证明
反三角函数指三角函数的反函数,由于基本三角函数具有周期性,所以反三角函数是多值函数。
接下来给大家分享反三角函数的导数公式及推导过程。
反三角函数的导数公式
d/dx(arcsinx)=1/√(1-x^2);x≠±1
d/dx(arccosx)=-[1/√(1-x^2)];x≠±1
d/dx(arctanx)=1/(1+x^2);x≠±i
d/dx(arccotx)=-[1/(1+x^2)];x≠±i
反三角函数的导数公式推导过程
反三角函数的导数公式推导过程是利用dy/dx=1/(dx/dy),然后进行相应的换元
比如说,对于正弦函数y=sinx,都知道导数dy/dx=cosx
那么dx/dy=1/cosx
而cosx=√(1-(sinx)^2)=√(1-y^2),所以dx/dy=√(1-y^2)
y=sinx 可知x=arcsiny,而dx/dy=1/√(1-y^2),所以arcsiny的导数就是1/√(1-y^2)
再换下元arcsinx的导数就是1/√(1-x^2)
反三角函数
反三角函数是一种基本初等函数。
它是反正弦arcsinx,反余弦arccosx,反正切arctanx,反余切arccotx,反正割arcsecx,反余割arccscx这些函数的统称,各自表示其反正弦、反余弦、反正切、反余切,反正割,反余割为x的角。
反三角函数的求导公式为了推导反三角函数的求导公式,我们需要首先了解反三角函数的定义和性质。
反三角函数是指与三角函数相反的操作,即找到使得一些三角函数值为给定值的角度。
一、反三角函数的定义和性质1. 反正弦函数(arcsin):定义域为[-1,1],值域为[-π/2, π/2]。
反正弦函数返回角度,使得正弦值等于给定的数值。
2. 反余弦函数(arccos):定义域为[-1,1],值域为[0,π]。
反余弦函数返回角度,使得余弦值等于给定的数值。
3. 反正切函数(arctan):定义域为实数集,值域为[-π/2,π/2]。
反正切函数返回角度,使得切线值等于给定的数值。
二、反三角函数的导数推导1. 反正弦函数的导数:我们可以用函数关系式sin(arcsin x) = x推导出反正弦函数的导数。
对这个等式两边求导可得:cos(arcsin x) * d(arcsin x)/dx = 1由于cos(arcsin x) = √(1 - x^2),所以有:d(arcsin x)/dx = 1/√(1 - x^2)。
这就是反正弦函数的导数。
2. 反余弦函数的导数:我们可以用函数关系式cos(arccos x) = x推导出反余弦函数的导数。
对这个等式两边求导可得:-sin(arccos x) * d(arccos x)/dx = 1由于sin(arccos x) = √(1 - x^2),所以有:d(arccos x)/dx = -1/√(1 - x^2)。
这就是反余弦函数的导数。
3. 反正切函数的导数:我们可以用函数关系式tan(arctan x) = x推导出反正切函数的导数。
对这个等式两边求导可得:sec^2(arctan x) * d(arctan x)/dx = 1由于sec^2(arctan x) = 1 + x^2,所以有:d(arctan x)/dx = 1/(1 + x^2)。
这就是反正切函数的导数。
§2.3 反函数的导数,复合函数的求导法则
一、反函数的导数
设)(y x ϕ=是直接函数,)(x f y =是它的反函数,假定)(y x ϕ=在I y 内单调、可导,而且0)(≠'y ϕ,则反函数)(x f y =在间
},)(|{y x I y y x x I ∈==ϕ内也是单调、可导的,而且
)(1
)(y x f ϕ'=' (1)
证明: ∀∈x I x ,给x 以增量x ∆),0(x I x x x ∈∆+≠∆
由 )(x f y = 在 I x 上的单调性可知
0)()(≠-∆+=∆x f x x f y
于是
y x x y ∆∆=∆∆1因直接函数)(y x ϕ=在I y 上单调、可导,故它是连续的,且反函数)(x f y =在I x 上也是连续的,当0→∆x 时,必有0→∆y
)(11lim lim
00y y x x y y x ϕ'=∆∆=∆∆→∆→∆即:)(1)(y x f ϕ'=' 【例1】试证明下列基本导数公式 ().(arcsin )().()().(log )ln 11
1211312
2
x x arctgx x a x a x '=-'=+'=
证1、设y x sin =为直接函数,x y arcsin =是它的反函数 函数 y x sin =在
)2,2(ππ-=y I 上单调、可导,且 '=≠x y cos 0 因此,在 )1,1(-=x I 上, 有 y x cos 1)arcsin (=
' 注意到,当)2,2(ππ-∈y 时,0cos >y ,221sin 1cos x y y -=-=
因此, 211)arcsin (x x -=
'
证2 设x tgy =,)2,2(ππ-=y I 则y arctgx =,I x =-∞+∞(,)
tgy x = 在 I y 上单调、可导且
0cos 12>='y x 故
2221111cos )(1)(x y tg y tgy arctgx +=+=='=
'
证3 a x a a a a y y x ln 1ln 1)(1)log (=='=
'
类似地,我们可以证明下列导数公式:
(arccos )()(ln )x x arcctgx x x x '=--'=-+'=111112
2
二、复合函数的求导法则
如果)(x u ϕ=在点x 0可导,而)(u f y =在点)(00
x u ϕ=可导,则复合函数])([x f y ϕ=在点x 0可导,且导数为 )()(000
x u f dx dy x x ϕ'⋅'== 证明:因)(lim 00u f x y u '=∆∆→∆,由极限与无穷小的关系,有
)0,0()(0→→∆∆⋅+∆'=∆αα时当u u u u f y
用0≠∆x 去除上式两边得:
x u x u u f x y ∆∆⋅+∆∆⋅'=∆∆α)(0
由)(x u ϕ=在x 0的可导性有:
00→∆⇔→∆u x , 0lim lim 00
==→∆→∆ααu x ])([lim lim 000x u x u u f x y x x ∆∆⋅+∆∆⋅'=∆∆→∆→∆α
x u x u u f x x x ∆∆⋅+∆∆⋅'=→∆→∆→∆0000lim lim lim )(α
)()(00x u f ϕ'⋅'=
即)()(000x u f dx dy x x ϕ'⋅'==
上述复合函数的求导法则可作更一般的叙述:
若u x =ϕ()在开区间I x 可导,y f u =()在开区间I u 可导,且∀∈x I x 时,对应的 u I u ∈,则复合函数])([x f y ϕ=在I x 内可导,且
dx du du dy dx dy ⋅= (2)
复合函数求导法则是一个非常重要的法则,特给出如下注记:
弄懂了锁链规则的实质之后,不难给出复合更多层函数的求导公式。
【例2】}])([{x f y φϕ=,求 dy dx
引入中间变量, 设
v x =φ(),u v =ϕ(),于是 y f u =() 变量关系是 y u v x ---,由锁链规则有:
dy dx dy du du dv dv dx =⋅⋅ (2)、用锁链规则求导的关键 引入中间变量,将复合函数分解成基本初等函数。
还应注意:求导完成后,应将引入的中间变量代换成原自变量。
【例3】求y x =sin 2的导数dy dx 。
解:设 u x =2,则y u =sin ,u x =2,由锁链规则有:
dy
dx dy du du
dx u x u x
=⋅='⋅'=⋅=(sin )()(cos )cos 2222
【例4】 设 y tg x =ln 2,求dy
dx 。
由锁链规则有 dx dv dv du du dy dx dy ⋅⋅=21
cos 1
12⋅⋅=v u (基本初等函数求导)21
2
cos 1212⋅⋅=x x tg ( 消中间变量) x sin 1= 由上例,不难发现复合函数求导窍门
中间变量在求导过程中,只是起过渡作用,熟练之后,可不必引入,仅需“心中有链”。
然后,对函数所有中间变量求导,直至求到自变量为止,最后诸导数相乘。
请看下面的演示过程:
)2(2cos 121)2(21)2ln (2'
⋅⋅='⋅='=x
x x
tg x
tg x tg x tg dx dy
x
x x
tg x x x tg sin 1
22cos 21
)(212cos 12122=⋅⋅='⋅⋅⋅=
【例5】证明幂函数的导数公式 1)(-⋅='μμμx x ,(μ为实数)。
证明:设y x e x
==⋅μμln
1
ln ln 1)ln (-⋅=⋅⋅='⋅='μμμμμμx x e x e y x x。