三重积分例题分析
- 格式:ppt
- 大小:1.03 MB
- 文档页数:38
三重积分的先二后一法例题
三重积分是在三维空间中对一个三维区域进行求和的一种数学
工具。
它可以用来计算物体的体积、质量、质心以及其他与三维空间相关的物理量。
在计算三重积分时,有时使用先二后一法可以简化计算过程。
先二后一法是指将三重积分分解为一重积分和二重积分的组合,先计算二重积分,再计算一重积分。
这种方法的优点是可以将原本复杂的三重积分转化为更简单的一重积分和二重积分,从而简化计算过程。
举个例子来说明先二后一法的应用。
考虑一个球体的三重积分,我们要计算球体在某个区域内的体积。
传统的方法是直接计算三重积分,但是这个过程可能相对复杂。
如果使用先二后一法,我们可以先计算球体在每个平面上的面积,然后再将这些面积进行积分求和来得到球体的体积。
具体来说,我们可以先固定一个变量,比如说z,然后将球体的方程进行变换,将z表示为其他两个变量x和y的函数。
这样我们就得到了球体在每个平面上的截面形状。
然后我们可以计算每个截面的面积,再对这些面积进行积分求和,即可得到球体的体积。
通过使用先二后一法,我们可以将原本复杂的三重积分转化为更简单
的一重积分和二重积分。
这种方法在某些情况下可以大大简化计算过程,并且可以更好地理解三重积分的几何意义。
总之,三重积分是一种重要的数学工具,可以用来计算三维空间中的物理量。
先二后一法是一种常用的简化三重积分计算过程的方法,通过将三重积分分解为一重积分和二重积分的组合,可以简化计算并更好地理解几何意义。
三重积分先一后二例题
摘要:
一、三重积分的概念和性质
1.三重积分的定义
2.三重积分的性质
二、三重积分的计算方法
1.先一后二法则
2.例题解析
a.计算三重积分∫∫∫(x^2y^3) dxdydz
b.计算三重积分∫∫∫(x^2z^2) dxdydz
三、三重积分在实际问题中的应用
1.物理中的应用
2.工程中的应用
正文:
三重积分是数学中的一种积分方法,用于计算空间中某一个函数在某一范围内的总和。
它的定义是将一个三维空间划分为无数个微小的矩形、立方体或者其它形状的小区域,然后对这些小区域中的函数值进行求和。
三重积分具有一定的性质,例如,它的积分次序可以改变,即先对x 积分、再对y 积分、最后对z 积分,或者先对y 积分、再对z 积分、最后对x 积分,结果是相同的。
这就是所谓的“先一后二”法则。
在计算三重积分时,我们可以利用“先一后二”法则,将三重积分转化为
多次单积分。
例如,对于函数f(x,y,z)=x^2y^3,我们可以先对x 积分,得到一个新的函数g(y,z)=y^3∫x^2dx,然后再对y 和z 积分。
这样就可以将复杂的三重积分转化为简单的多次单积分。
在实际问题中,三重积分常常应用于物理和工程等领域。
例如,在物理学中,可以用三重积分来计算物体的质量、体积和密度等;在工程中,可以用三重积分来计算流体的压力、速度和温度等。
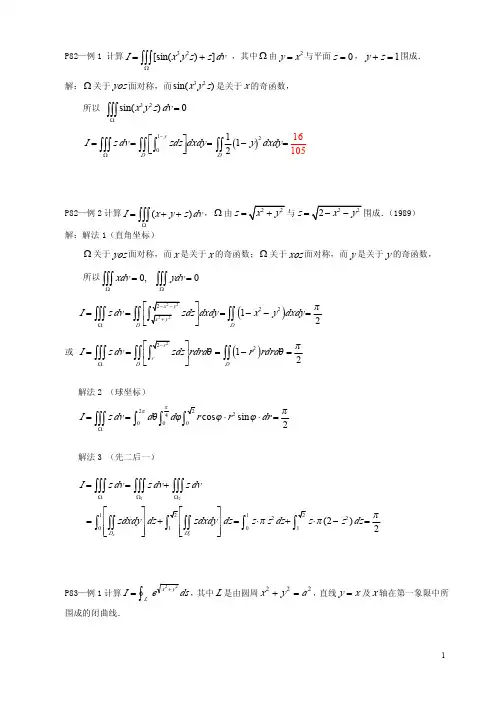
第二十一章 重积分5三重积分一、三重积分的概念引例:设一空间立体V 的密度函数为f(x,y,z),为求V 的质量M , 将V 分割成n 个小块V 1,V 2,…,V n . 每个小块V i 上任取一点(ξi ,ηi ,ζi ), 则 M=i ni i i i T V f ∆∑=→10),,(lim ζηξ, 其中△V i 是小块V i 的体积, T =}{max 1的直径i ni V ≤≤.概念:设f(x,y,z)是定义在三维空间可求体积有界区域V 上的有界函数. 用若干光滑曲面所组成的曲面网T 来分割V ,把V 分成n 个小区域 V 1,V 2,…,V n .记V i 的体积为△V i (i=1,2,…,n),T =}{max 1的直径i ni V ≤≤.在每个V i 中任取一点(ξi ,ηi ,ζi ), 作积分和i ni i i i V f ∆∑=1),,(ζηξ.定义1:设f(x,y,z)为定义在三维空间可求体积的有界闭区域V 上的函数,J 是一个确定的数. 若对任给的正数ε,总存在某一正数δ,使得对于V 的任何分割T ,只要T <δ,属于分割T 的所有积分和都有J V f i ni iii-∆∑=1),,(ζηξ<ε,则称f(x,y,z)在V 上可积,数J 称为函数f(x,y,z)在V 上的三重积分,记作J=⎰⎰⎰VdV z y x f ),,(或J=⎰⎰⎰Vdxdydz z y x f ),,(,其中f(x,y,z)称为被积函数,x, y, z 称为积分变量,V 称为积分区域.注:当f(x,y,z)=1时,⎰⎰⎰VdV 在几何上表示V 的体积.三积重分的条件与性质:1、有界闭域V 上的连续函数必可积;2、如界有界闭区域V 上的有界函数f(x,y,z)的间断点集中在有限多个零体积的曲面上,则f(x,y,z)在V 上必可积.二、化三重积分为累次积分定理21.15:若函数f(x,y,z)在长方体V=[a,b]×[c,d]×[e,h]上的三重积分存在,且对任意(x,y)∈D=[a,b]×[c,d], g(x,y)=⎰he dz z y xf ),,(存在,则积分⎰⎰Ddxdy y x g ),(也存在,且⎰⎰⎰Vdxdydz z y x f ),,(=⎰⎰⎰Dhedz z y x f dxdy ),,(.证:用平行于坐标轴的直线作分割T ,把V 分成有限多个小长方体 V ijk =[x i-1,x i ]×[y j-1,y j ]×[z k-1,z k ].设M ijk , m ijk 分别是f(x,y,z)在V ijk 上的上确界和下确界,对任意(ξi ,ηj )∈[x i-1,x i ]×[y j-1,y j ], 有m ijk △z k ≤⎰-kk z z j i dz z f 1),,(ηξ≤M ijk △z k .现按下标k 相加,有∑⎰-kz z j i kk dz z f 1),,(ηξ=⎰he j i dz zf ),,(ηξ=g(ξi ,ηj ),以及∑∆∆∆kj i k j i ijkz y x m,,≤j i ji j i y x g ∆∆∑,),(ηξ≤∑∆∆∆kj i k j i ijk z y x M ,,.两边是分割T 的下和与上和. 由f(x,y,z)在V 上可积,当T →0时, 下和与上和具有相同的极限,∴g(x,y)在D 上可积,且⎰⎰⎰Dhedz z y x f dxdy ),,(=⎰⎰⎰Vdxdydz z y x f ),,(.推论:若V={(x,y,z)|(x,y)∈D, z 1(x,y)≤z ≤z 2(x,y)} ⊂[a,b]×[c,d]×[e,h]时,其中D 为V 在Oxy 平面上的投影,z 1(x,y), z 2(x,y)是D 上的连续函数,函数f(x,y,z)在V 上的三重积分存在,且对任意(x,y)∈D, G(x,y)=⎰),(),(21),,(y x z y x z dz z y x f 亦存在,则积分⎰⎰Ddxdy y x G ),(存在,且⎰⎰⎰Vdxdydz z y x f ),,(=⎰⎰D dxdy y x G ),(=⎰⎰⎰Dy x z y x z dz z y x f dxdy ),(),(21),,(.证:记F(x,y,z)=⎩⎨⎧∈∈V V z y x ,Vz y x ,z y x f \),,(0),,(),,(0 , 其中V 0=[a,b]×[c,d]×[e,h].对F(x,y,z)应用定理21.15,(如图)则有⎰⎰⎰Vdxdydz z y x f ),,(=⎰⎰⎰0),,(V dxdydzz y x F=⎰⎰⎰⨯d][c,b][a,),,(hedz z y x F dxdy =⎰⎰⎰Dy x z y x z dz z y x f dxdy ),(),(21),,(.例1:计算⎰⎰⎰+Vy x dxdydz22,其中V 为由平面x=1, x=2, z=0, y=x 与z=y 所围区域(如图).解:设V 在xy 平面上投影为D ,则 V={(x,y,z)|z 1(x,y)≤z ≤z 2(x,y),(x,y)∈D},其中D={(x,y)|0≤y ≤x,1≤x ≤2}, z 1(x,y)=0, z 2(x,y)=y, 于是⎰⎰⎰+V y x dxdydz 22=⎰⎰⎰+D y y x dz dxdy 022=⎰⎰+D dxdy y x y 22=⎰⎰+21022x dy y x y dx=⎰212ln 21dx =2ln 21.例2:计算⎰⎰⎰++Vdxdydz z y x )(22,其中V 是由⎩⎨⎧==0x y z 绕z 轴旋转一周而成的曲面与z=1所围的区域.解:V={(x,y,z)|22y x +≤z ≤1,(x,y)∈D}, 其中D={(x,y)|x 2+y 2≤1},⎰⎰⎰++Vdxdydz z y x )(22=⎰⎰⎰+++Dyx dz z y x dxdy 12222)(=⎰⎰⎥⎦⎤⎢⎣⎡+⎪⎭⎫ ⎝⎛+-+Ddxdy y x y x 2121)(2222=⎰⎰⎥⎦⎤⎢⎣⎡+⎪⎭⎫ ⎝⎛-πθ201022121rdrr r d=⎰πθ20407d =207π.定理21.16:若函数f(x,y,z)在长方体V=[a,b]×[c,d]×[e,h]上的三重积分存在,且对任意x ∈[a,b], 二重积分I(x)=⎰⎰Ddydz z y x f ),,(存在,则积分⎰⎰⎰baDdydz z y x f dx ),,(也存在,且⎰⎰⎰Vdxdydz z y x f ),,(=⎰⎰⎰baDdydz z y x f dx ),,(.证:用平行于坐标轴的直线作分割T ,把V 分成有限多个小长方体 V ijk =[x i-1,x i ]×[y j-1,y j ]×[z k-1,z k ], 记D jk =[y j-1,y j ]×[z k-1,z k ], 设M ijk , m ijk 分别是f(x,y,z)在V ijk 上的上确界和下确界, 对任意ξi ∈[x i-1,x i ], 有m ijk △D jk ≤⎰⎰jkD i dydz z y f ),,(ξ≤M ijk △D jk .现按下标j,k 相加,有∑⎰⎰k j D i jkdydz z y f ,),,(ξ=⎰⎰Di dydz z y f ),,(ξ=I(ξi ),以及∑∆∆∆kj i k j i ijkz y x m,,≤i ii x I ∆∑)(ξ≤∑∆∆∆kj i k j i ijk z y x M ,,.两边是分割T 的下和与上和. 由f(x,y,z)在V 上可积,当T →0时, 下和与上和具有相同的极限,∴I(x)在D 上可积,且⎰⎰⎰baDdydz z y x f dx ),,(=⎰⎰⎰Vdxdydz z y x f ),,(.推论:(如图)若V ⊂[a,b]×[c,d]×[e,h], 函数f(x,y,z)在V 上的三重积分存在,且对任意固定的z ∈[e,h], 积分φ(z)=⎰⎰zD dxdy z y x f ),,(存在,其中D z是截面{(x,y)|(x,y,z)∈V}, 则⎰he dz z )(ϕ存在,且⎰⎰⎰Vdxdydz z y x f ),,(=⎰h edz z )(ϕ=⎰⎰⎰heD zdxdy z y x f dz ),,(.证:证法与定理21.16证明过程同理.例3:计算I=⎰⎰⎰⎪⎪⎭⎫ ⎝⎛++V dxdydz c z b y a x 222222, 其中V 是椭球体222222c z b y a x ++≤1.解:I=⎰⎰⎰⎪⎪⎭⎫ ⎝⎛++V dxdydz c z b y a x 222222=⎰⎰⎰V dxdydz a x 22+⎰⎰⎰V dxdydz b y 22+⎰⎰⎰Vdxdydz c z 22.其中⎰⎰⎰V dxdydz a x 22=⎰⎰⎰-a a V xdydz dx a x 22,V x 表示椭圆面2222c z b y +≤1-22ax 或⎪⎪⎭⎫ ⎝⎛-+⎪⎪⎭⎫ ⎝⎛-2222222211a x c z a xb y ≤1. 它的面积为π⎪⎪⎭⎫ ⎝⎛-⎪⎪⎭⎫ ⎝⎛-222211a x c a x b =πbc ⎪⎪⎭⎫⎝⎛-221a x. ∴⎰⎰⎰V dxdydz a x 22=⎰-⎪⎪⎭⎫ ⎝⎛-a a dx a x a bcx 22221π=154πabc. 同理可得:⎰⎰⎰V dxdydz b y 22=⎰⎰⎰V dxdydz cz 22=154πabc.∴I=3(154πabc)=54πabc.三、三重积分换元法规则:设变换T :x=x(u,v,w), y=y(u,v,w), z=z(u,v,w),把uvw 空间中的区域V ’一对一地映成xyz 空间中的区域V ,并设函数x=x(u,v,w), y=y(u,v,w), z=z(u,v,w)及它们的一阶偏导数在V ’内连续且函数行列式J(u,v,w)=wz v z uz w yv y u yw x v x u x ∂∂∂∂∂∂∂∂∂≠0, (u,v,w)∈V ’. 则当f(x,y,z)在V 上可积时,有 ⎰⎰⎰Vdxdydz z y x f ),,(=⎰⎰⎰'V dudvdw w v u J w v u z w v u y w v u x f |),,(|)),,(),,,(),,,((.常用变换公式: 1、柱面坐标变换:T :⎪⎩⎪⎨⎧+∞<<∞-=≤≤=+∞<≤=z z ,z ,r y r ,r x πθθθ20sin 0cos , J(r,θ,z)=100cos sin 0sin cos θθθθr r -=r, 即有 ⎰⎰⎰Vdxdydz z y x f ),,(=⎰⎰⎰'V dz rdrd z r r f θθθ),sin , cos (.V ’为V 在柱面坐标变换下的原象.注:(1)虽然柱面坐标变换并非是一对一的,且当r=0时,J(r,θ,z)=0,但结论仍成立.(2)柱面坐标系中r=常数, θ=常数, z=常数的平面分割V ’变换到xyz 直角坐标系中,r=常数是以z 轴为中心轴的圆柱面,θ=常数是过z 轴的半平面,z 的常数是垂直于z 轴的平面(如图).例4:计算⎰⎰⎰+Vdxdydz y x )(22, 其中V 是曲面2(x 2+y 2)=z 与z=4为界面的区域.解法一:V={(x,y,z)|2(x 2+y 2)≤z ≤4, (x,y)∈D}, D={(x,y)|x 2+y 2≤2}.⎰⎰⎰+Vdxdydz y x )(22=⎰⎰⎰++4)(22222)(y x Ddzy x dxdy=⎰⎰+-+Ddxdy y x y x )](24)[(2222=⎰⎰-202220)24(rdrr r d πθ=⎰-2053)2(4dr r r π=⎰-2053)2(4dr r r π=38π.解法二:V 在xy 平面上的投影区域D=x 2+y 2≤2. 按柱坐标变换得 V ’={(r,θ,z)|2r 2≤z ≤4, 0≤r ≤2, 0≤θ≤2π}.∴⎰⎰⎰+V dxdydz y x )(22=⎰⎰⎰'V dz drd r θ2=⎰⎰⎰42320202r dz r dr d πθ=38π.2、球坐标变换:T :⎪⎩⎪⎨⎧≤≤=≤≤=+∞<≤=πθϕπϕθϕθϕ20cos 0sin sin 0cos sin ,r z ,r y r ,r x ,J(r,φ,θ)=0sin cos sin sin cos sin sin sin sin cos cos cos sin ϕϕθϕθϕθϕθϕθϕθϕr co r r r r --=r 2sin φ≥0, 即有⎰⎰⎰Vdxdydz z y x f ),,(=⎰⎰⎰'V d drd rr r r f θϕϕϕθϕθϕsin )cos ,sin sin , cos sin (2,V ’为V 在球坐标变换T 下的原象.注:(1)球坐标变换并不是一对一的,并且当r=0或φ=0或π时,J=0. 但结论仍成立.(2)球坐标系中r=常数, φ=常数, θ=常数的平面分割V ’变换到xyz 直角坐标系中,r=常数是以原点为中心的球面, φ=常数是以原点为顶点, z 轴为中心轴的 圆锥面,θ=常数是过z 轴的半平面(如图).例5:求由圆锥体z ≥22y x +cot β和球体x 2+y 2+(z-a)2≤a 2所确定的立体体积,其中β∈⎪⎭⎫⎝⎛2,0π和a(>0)为常数.解:球面方程x 2+y 2+(z-a)2=a 2可表示为r=2acos φ, 锥面方程z=22y x +cot β可表示为φ=β. ∴V ’={(r,φ,θ)|0≤r ≤2acos φ, 0≤φ≤β, 0≤θ≤2π}. ∴⎰⎰⎰VdV =⎰⎰⎰ϕβπϕϕθcos 202020sin a dr r d d =⎰βϕϕϕπ033sin cos 316d a =343a π(1-cos 4β).例6:求I=⎰⎰⎰Vzdxdydz , 其中V 为由222222c z b y a x ++≤1与z ≥0所围区域.解:作广义球坐标变换:T :⎪⎩⎪⎨⎧===ϕθϕθϕcos sin sin cos sin cr z br y ar x , 则J=abcr 2sin φ. V 的原象为V ’={(r,φ,θ)|0≤r ≤1, 0≤φ≤2π, 0≤θ≤2π} ∴⎰⎰⎰Vzdxdydz =⎰⎰⎰⋅1022020sin cos dr abcr cr d d ϕϕϕθππ=⎰2022sin 4πϕϕπd abc =42abc π.习题1、计算下列积分:(1)⎰⎰⎰+Vdxdydz z xy )(2, 其中V=[-2,5]×[-3,3]×[0,1];(2)⎰⎰⎰Vzdxdydz y x cos cos , 其中V=[0,1]×[0,2π]×[0,2π];(3)⎰⎰⎰+++Vz y x dxdydz3)1(, 其中V 是由x+y+z=1与三个坐标面所围成的区域; (4)⎰⎰⎰+Vdxdydz z x y )cos(, 其中V 由y=x , y=0, z=0及x+z=2π所围成.解:(1)⎰⎰⎰+VdV z xy )(2=⎰⎰⎰+--1023352)(dz z xy dy dx =⎰⎰--⎪⎭⎫⎝⎛+335231dy xy dx =⎰-522dx =14.(2)⎰⎰⎰VzdV y x cos cos =⎰⎰⎰202010cos cos ππzdz ydy xdx =21.(3)⎰⎰⎰+++Vz y x dxdydz 3)1(=⎰⎰⎰---+++y x x z y x dz dy dx 1031010)1(=⎰⎰-⎥⎦⎤⎢⎣⎡-++x dy y x dx 1021041)1(121=⎰⎪⎭⎫ ⎝⎛-+-+1041211121dx x x =1652ln 21-. (4)⎰⎰⎰+VdV z x y )cos(=⎰⎰⎰-+xxdz z x y dy dx 20020)cos(ππ=⎰⎰-xydydx x 020)sin 1(π=⎰-20)sin 1(21πdx x x =21162-π.2、试改变下列累次积分的顺序: (1)⎰⎰⎰+-yx xdz z y x f dy dx 01010),,(;(2)⎰⎰⎰+220110),,(y x dz z y x f dy dx .解:(1)积分区域V={(x,y,z)|0≤z ≤x+y, 0≤y ≤1-x, 0≤x ≤1}; ∵V 在xy 平面上的投影区域D xy ={(x,y)|0≤y ≤1-x, 0≤x ≤1} ∴I=⎰⎰⎰+-yx xdz z y x f dy dx 01010),,(=⎰⎰⎰+-yx ydz z y x f dx dy 01010),,(.∵V 在yz 平面上的投影区域D yz ={(y,z)|0≤y ≤1, 0≤z ≤1} ∴I=⎰⎰⎰-yydx z y x f dz dy 10010),,(+⎰⎰⎰--yy z y dx z y x f dz dy 1110),,(=⎰⎰⎰--yy z zdx z y x f dy dz 1010),,(+⎰⎰⎰-yz dx z y x f dy dz 10110),,(.∵V 在xz 平面上的投影区域D yz ={(x,z)|0≤x ≤1, 0≤z ≤1} ∴I=⎰⎰⎰-xxdy z y x f dz dx 10010),,(+⎰⎰⎰--xx z x dy z y x f dz dx 1110),,(=⎰⎰⎰--xx z zdy z y x f dx dz 1010),,(+⎰⎰⎰-xz dy z y x f dx dz 10110),,(.(2)积分区域V={(x,y,z)|0≤z ≤x 2+y 2, 0≤y ≤1, 0≤x ≤1};∵V 在xy 平面上的投影区域D xy ={(x,y)|0≤y ≤1, 0≤x ≤1}; 在yz 平面上的投影区域D yz ={(x,y)|0≤y ≤1, 0≤z ≤1+y 2}; 在xz 平面上的投影区域D yz ={(x,y)|0≤x ≤1, 0≤z ≤1+x 2}; ∴I=⎰⎰⎰+2201010),,(y x dz z y x f dy dx =⎰⎰⎰+220110),,(y x dz z y x f dx dy=⎰⎰⎰10010),,(2dx z y x f dz dy y +⎰⎰⎰-+1110222),,(y z y ydxz y x f dz dy=⎰⎰⎰10110),,(dx z y x f dy dz z +⎰⎰⎰--111212),,(yz z dx z y x f dy dz .=⎰⎰⎰10010),,(2dy z y x f dz dx x +⎰⎰⎰-+1110222),,(x z x x dyz y x f dz dx=⎰⎰⎰10110),,(dy z y x f dx dz z +⎰⎰⎰--111212),,(x z z dy z y x f dx dz .3、计算下列三重积分与累次积分:(1)⎰⎰⎰Vdxdydz z 2, 其中V 由x 2+y 2+z 2≤r 2和x 2+y 2+z 2≤2rz 所确定;(2)⎰⎰⎰--+-22222221010y x yx x dz z dy dx .解:(1) 由x 2+y 2+z 2≤2rz, 得S: x 2+y 2≤2rz-z 2, 0≤z ≤2r , 又由x 2+y 2+z 2≤r 2, 得Q: x 2+y 2≤r 2-z 2,2r≤z ≤r ∴⎰⎰⎰Vdxdydz z 2=⎰⎰⎰Sr dxdy z dz 220+⎰⎰⎰Qrr dxdyz dz 22=⎰-2022)2(r dz z rz z π+⎰-rr dz z r z 2222)(π=480595r π. (2)应用柱坐标变换:V ’={(r,θ,z)|r ≤z ≤22r -, 0≤r ≤1, 0≤θ≤2π}, ∴⎰⎰⎰--+-22222221010y x yx x dz z dy dx =⎰⎰⎰-2221020r rdz z rdr d πθ=⎰---1322]2)2[(6dr r r r r π.=⎰---10322]2)2[(6dr r r r r π=)122(15-π.4、利用适当的坐标变换,计算下列各曲面所围成的体积. (1)z=x 2+y 2, z=2(x 2+y 2), y=x, y=x 2;(2)2⎪⎭⎫ ⎝⎛+b y a x +2⎪⎭⎫ ⎝⎛c z =1 (x ≥0, y ≥0, z ≥0, a>0, b>0, c>0). 解:(1)V={(x,y,z)|x 2+y 2≤z ≤2(x 2+y 2), (x,y)∈D}, 其中D={(x,y)|0≤x ≤1, x 2≤y ≤x }. ∴⎰⎰⎰V dxdydz =⎰⎰+Ddxdy y x )(22=⎰⎰+xx dyy x dx 2)(2210=⎰⎥⎦⎤⎢⎣⎡-+-1063223)()(dx x x x x x =353. (2)令x=arsin 2φcos θ, y=brcos 2φcos θ, z=crsin θ, 则J=0cos sin cos cos sin 2sin cos cos cos cos cos sin 2sin sin cos sin 2222θθθϕϕθϕθϕθϕϕθϕθϕcr c br br b ar ar a ---=2abcr 2cos φsin φcos θ,又V ’={(r,φ,θ)|0≤r ≤1, 0≤φ≤2π, 0≤θ≤2π}. ∴⎰⎰⎰Vdxdydz =⎰⎰⎰1022020sin cos cos 2dr r d d abc ππϕϕϕθθ=3abc.5、设球体x 2+y 2+z 2≤2x 上各点的密度等于该点到坐标原点的距离,求这球体的质量.解:依题意,球体的质量M=⎰⎰⎰≤++++xz y x dV z y x 2222222,应用球面变换得V ’={(r,θ,φ)|-2π≤θ≤2π, 0≤φ≤π, 0≤r ≤2sin φcos θ}. ∴M=⎰⎰⎰-θϕπππϕϕθcos sin 203022sin dr r d d =⎰⎰-πππϕϕθθ05224sin cos 4d d =58π.6、证明定理21.16及其推论. 证:证明过程见定理21.16及其推论.7、设V=⎭⎬⎫⎩⎨⎧≤++1),,(222222c z b y a x z y x , 计算下列积分:(1)⎰⎰⎰---Vdxdydz c z b y a x 2222221;(2)⎰⎰⎰++Vc z by ax dxdydz e 222222.解:应用球面变换得V ’={(r,θ,φ)| 0≤θ≤2π, 0≤φ≤π, 0≤r ≤1}. (1)⎰⎰⎰---VdV cz b y a x 2222221=⎰⎰⎰-10220201sin dr r abcr d d ϕϕθππ =42πabc . (2)⎰⎰⎰++Vc z b y ax dV e222222=⎰⎰⎰12020sin dr e abcr d d r ϕϕθππ=)2(4-e abc π.。
三重积分1.将I=zdvΩ⎰⎰⎰分别表示成直角坐标,柱面坐标和球面坐标下的三次积分,并选择其中一种计算出结果.其中Ω是由曲面z=222y x --及z=x 2+y 2所围成的闭区域.分析 为计算该三重积分,我们先把积分区域投影到某坐标平面上,由于是由两张曲面222y x z --=及22y x z +=,而由这两个方程所组成的方程组z z ⎧=⎨=⎩极易消去z ,我们把它投影到xoy 面上.然后,为在指定的坐标系下计算之,还应该先把Ω的边界曲面用相应的坐标表示,并找出各种坐标系下各个变量的取值范围,最后作代换即可.解 将Ω投影到xoy 平面上,由z z ⎧=⎨=⎩消去z 得 (x 2+y 2)2=2-(x 2+y 2),或(x 2+y 2+2)(x 2+y 2-1)=0,于是有 x 2+y 2=1.即知,Ω在xoy 平面上的投影为圆域D :x 2+y 2≤1 .为此在D 内任取一点Q(x ,y),过Q 作平行于z 轴的直线自下而上穿过Ω.穿入时碰到的曲面为22y x z +=,离开时碰到的曲面为222y x z --=(不画图,仅用代数方法也易判断22y x z +=≤222y x z --=),这是因为x 2+y 2≤1)(1) 直角坐标系下,我们分直角坐标及柱面坐标,下边找z 的变化范围从而化为三重积分.因此再由D :x 2+y 2≤1,有22y x z +=≤222y x z --=,于是在直角坐标下,Ω可表示为Ω:22y x y z ⎧⎪≤⎨⎪+≤≤⎩,于是有I=⎰⎰----221111x x dy dx ⎰--+22222y x y x zdz.(2) 柱面坐标下首先把Ω的表面方程用柱面坐标表示,这时z=x 2+y 2表示为z= 2ρ,z=222y x --表示为z=22ρ-.再由投影区域D 为x 2+y 2≤1.故0ρ≤≤1,0≤θ≤2π.于是Ω可表示为Ω:⎪⎪⎩⎪⎪⎨⎧-≤≤≤≤≤≤.2,10,2022ρρρπθz 将所给三重积分中的体积元素υd 用υd =dz d d θρρ去替换,有I=Ω⎰⎰⎰υzd =Ω⎰⎰⎰dz d d z θρρ=⎰πθ20d ⎰1ρd ⎰-2222ρρρdz.(3) 球面坐标下用球面坐标代换两曲面的方程,得曲面z=x2+y2变为ρ=φφ2sin cos ;曲面z=222y x --变为ρ=2.由Ω在xoy 平面上的投影为x 2+y 2≤1知0θ≤≤2π,下边找φ的变化范围.正z 轴在Ω内,即Ω内有点P ,使→op 与→oz 夹角为零,即φ的下界为零.又曲面z=x 2+y2与xoy 平面相切,故φ的上界为2π,于是0≤φ≤2π再找ρ的变化范围.原点在Ω的表面上,故ρ取到最小值为零.为找ρ的上界,从原点出发作射线穿过Ω,由于Ω的表面由两张曲面所组成,因而ρ的上界随相应的φ的不同而不同.为此在两曲面的交线⎪⎩⎪⎨⎧--=+=22222y x z y x z ,上取一点A(0,1,1),故A 所对应的4πφ=.当24πφπ≤≤时,r 的上界由曲面r=φφ2sin cos 所给,故这时r φφφφcsc cot sin cos 2≤≤.即r 的变化范围为0⎪⎪⎩⎪⎪⎨⎧≤≤≤≤≤≤时。
三重积分的计算方法介绍:三重积分的计算是化为三次积分进行的。
其实质是计算一个定积分(一重积分)和一个二重积分。
从顺序看:如果先做定积分⎰21),,(z z dz z y x f ,再做二重积分⎰⎰Dd y x F σ),(,就是“投影法”,也即“先一后二"。
步骤为:找Ω及在xoy 面投影域D 。
多D 上一点(x ,y)“穿线”确定z 的积分限,完成了“先一”这一步(定积分);进而按二重积分的计算步骤计算投影域D 上的二重积分,完成“后二"这一步.σd dz z y x f dv z y x f Dz z ⎰⎰⎰⎰⎰⎰Ω=21]),,([),,(如果先做二重积分⎰⎰zD d z y x f σ),,(再做定积分⎰21)(c c dz z F ,就是“截面法”,也即“先二后一"。
步骤为:确定Ω位于平面21c z c z ==与之间,即],[21c c z ∈,过z 作平行于xoy 面的平面截Ω,截面z D .区域z D 的边界曲面都是z 的函数.计算区域z D 上的二重积分⎰⎰zD d z y x f σ),,(,完成了“先二”这一步(二重积分);进而计算定积分⎰21)(c c dz z F ,完成“后一”这一步。
dz d z y x f dv z y x f c c D z]),,([),,(21σ⎰⎰⎰⎰⎰⎰Ω=当被积函数f(z )仅为z 的函数(与x ,y 无关),且z D 的面积)(z σ容易求出时,“截面法”尤为方便。
为了简化积分的计算,还有如何选择适当的坐标系计算的问题。
可以按以下几点考虑:将积分区域Ω投影到xoy 面,得投影区域D(平面)(1) D 是X 型或Y 型,可选择直角坐标系计算(当Ω的边界曲面中有较多的平面时,常用直角坐标系计算)(2) D 是圆域(或其部分),且被积函数形如)(),(22xyf y x f +时,可选择柱面坐标系计算(当Ω为圆柱体或圆锥体时,常用柱面坐标计算)(3)Ω是球体或球顶锥体,且被积函数形如)(222z y x f ++时,可选择球面坐标系计算以上是一般常见的三重积分的计算方法。
三重积分计算详解例题当我们进行三重积分计算时,通常会遇到一个三维空间中的函数,我们希望求解该函数在某个特定区域上的体积、质量、质心等物理量。
下面我将以一个具体的例题来详细解释三重积分的计算过程。
假设我们要计算函数f(x, y, z) = x^2 + y^2 + z^2在球体x^2 + y^2 + z^2 <= 1上的体积。
首先,我们需要确定积分的顺序,由于球体的形状对称性较好,我们选择球坐标系进行积分。
球坐标系下,积分区域为0 ≤ r ≤ 1, 0 ≤ θ ≤ π, 0 ≤ φ ≤ 2π。
接下来,我们可以按照r、θ、φ的顺序进行积分。
首先对r进行积分,然后是θ,最后是φ。
具体的计算过程如下:∫∫∫(球体内部) x^2 + y^2 + z^2 dV = ∫[0, 2π] ∫[0, π] ∫[0, 1] (r^2) r^2 sin(θ) dr dθ dφ。
其中,dV = r^2 sin(θ) dr dθ dφ是球坐标系下的体积元素。
对r进行积分后得到,∫[0, 2π] ∫[0, π] ∫[0, 1] r^4sin(θ) dr dθ dφ = 2π ∫[0, π] sin(θ) dθ ∫[0, 1]r^4 dr.继续计算可得,2π (-cos(π) + cos(0)) (1/5) = 2π (2) (1/5) = 4π/5。
因此,函数f(x, y, z) = x^2 + y^2 + z^2在球体x^2 + y^2+ z^2 <= 1上的体积为4π/5。
这就是对三重积分计算的详细解释。
在实际应用中,我们可以根据具体情况选择合适的坐标系和积分顺序,通过逐步积分来求解体积、质心等物理量。
希望这个例题能够帮助你更好地理解三重积分的计算过程。
三重积分的概念三重积分的性质三重积分的计算直角柱面球面回顾:讨论密度分布不均匀的物体的质量:(1) 一根细棒:ab 密度为i ξ=M ()b a x dx ρ=⎰()i ρξi x ∆∑=ni 10lim →λ(2)平面薄片:),(i i ηξ=M (,)i i ρξη∑=n i 10lim →λiσ∆(,)Dx y dxdy ρ=⎰⎰密度为y x D(3)设在空间有限闭区域Ω内分布着某种不均匀的物质,(,,),x y z C ρ∈求分布在Ω内的物质的质量M .密度函数为Ω(,,)k k k ξηζk v ∆(,,)x y z ρ➢分割:12,,,,,i n v v v v ∆∆∆∆把Ω分为➢取近似:(,,)k k k k kM v ρξηζ∆≈∆➢求和:1(,,)n k k k kk M v ρξηζ=≈∆∑➢取极限:01lim (,,)n k k k k k M v λρξηζ→==∆∑设f (x , y , z )是空间有界闭区域Ω上的有界函数,1、将闭区域Ω任意分成n 个小闭区域∆v 1, ∆v 2, ⋅⋅⋅, ∆v n , 其中∆v i 表示第i 个小闭区域, 也表示它的体积,2、在每个∆v i 上任取一点(ξi , ηi , ζi ), 作乘积f (ξi , ηi , ζi )∆v i ,3、求和∑=ni i i i i v f 1),,(∆ζηξ4、如果当各小闭区域的直径中的最大值λ趋近于零时, 该和式的极限存在, 则称此极限为函数f (x , y , z )在闭区域Ω上的三重积分, 并记为d (,,)Ωf x y z v⎰⎰⎰三重积分的定义⚫注:(2)三重积分的物理意义:不均匀物体的质量(1)其中dv 称为体积元素, 其它术语与二重积分相同.(3)同样有: 有界闭区域上的连续函数一定可积.d 01.(,,)lim (,,)ni i i ii f x y z v f v λξηζ→=Ω=∆∑⎰⎰⎰将二重积分定义中的积分区域推广到空间区域,被积函数推广到三元函数, 就得到三重积分的定义.三重积分的概念三重积分的性质三重积分的计算直角柱面球面➢线性性质[]d d d (,,)(,,)(,,)(,,)f x y z g x y z v f x y z v g x y z v αβαβΩΩΩ+=+⎰⎰⎰⎰⎰⎰⎰⎰⎰➢可加性d d d 12(,,)(,,)(,,)f x y z v f x y z v f x y z v ΩΩΩ=+⎰⎰⎰⎰⎰⎰⎰⎰⎰➢几何意义d v V Ω=⎰⎰⎰V 为Ω的体积➢不等式(,,)f g x y z ≤∈Ωd d (,,)(,,)f x y z v g x y z vΩΩ≤⎰⎰⎰⎰⎰⎰d d (,,)(,,)f x y z v f x y z vΩΩ≤⎰⎰⎰⎰⎰⎰(),Df x y d σ=⎰⎰曲顶柱体的体积➢估值定理(,,)m f M x y z ≤≤∈Ωd (,,)mV f x y z v MVΩ≤≤⎰⎰⎰➢中值定理(,,)f x y z 在Ω上连续,则存在(,,),ξηζ∈Ω使得d (,,)(,,)f x y z v f V ξηζΩ=⎰⎰⎰三重积分的概念三重积分的性质三重积分的计算直角柱面球面在直角坐标系中, 如果我们用三族(平行于坐标面的)平面x = 常数, y = 常数, z = 常数, 对空间区域进行分割那末每个规则小区域都是长方体. 其体积元素为:dv =dxdydz三重积分可写成:三重积分在直角坐标系中的计算法与二重积分类似, 三重积分可化成三次积分进行计算.具体可分为先单后重和先重后单两种类型.d (,,)f x y z v Ω=⎰⎰⎰(),,f x y z dxdydzΩ⎰⎰⎰(一)先单后重(先一后二)法假设:1(,,)f x y z Ω在有界闭区域上连续;2º过Ω内任一点M 且平行于某坐标轴的直线与Ω的边界曲面S 至多有两个交点.以下以z 轴的情形为例.),(2y x zz =),(1y x z z =),(2y x z z =),(1y x z z =xyzoΩD xy 1z 2z 2S 1S ),(1y x z z =),(2y x z z =ab),(y x ),,(:),,(:2211y x z z S y x z z S ==(,),xy x y D ∈过点作直线穿出.穿入,从从21z z Ω在xOy 面上的投影区域为D xy ,以D xy 的边界为准线作母线平行z 轴的柱面.这柱面与Ω的边界曲面S相交,并将S 分成上、下两部分:则Ω可以表示为12{(,,)(,)(,),(,)}.xy x y z z x y z z x y x y D Ω=≤≤∈()()12,(,,),,,x y f x y z z z x y z x y z ⎡⎤⎣⎦先将看作定值,将只看作的函数,在区间上对积分21(,)(,)(,,)(,)[(,,)].xyxyD z x y z x y D f x y z dv F x y d f x y z dz d σσΩ==⎰⎰⎰⎰⎰⎰⎰⎰从而原三重积分可表示为21(,)(,)(,,)xyz x y z x y D d f x y z dzσ=⎰⎰⎰这就化为一个定积分和一个二重积分的运算21(,)(,)(,,)z x y z x y f x y z dz⎰(,)xy F x y D 再计算在闭区间上的二重积分(,)F x y ==⎰⎰⎰Ωdvz y x f ),,(12:()(),,xy D y x y y x a x b ≤≤≤≤若得2()y y x =abD1()y y x =Dba2()y y x =1()y y x =先对z ,再对y ,最后对x 的三次积分dx ⎰dy ⎰(),,.f x y z dz ⎰()1,z x y ()2,z x y ()1y x ()2y x ab注:若将积分域Ω投影到yOz 或xOz 面上,则可把三重积分化为按其它顺序的三次积分.x y zyoz →→Ω积分次序为将投影到面21(,)(,)(,,)(,,)yzx y z x y z D f x y z dv d f x y z dxσΩ=⎰⎰⎰⎰⎰⎰21(,)(,)(,,)(,,)xzy x z y x z D f x y z dv d f x y z dyσΩ=⎰⎰⎰⎰⎰⎰y x z xoz →→Ω积分次序为将投影到面Ω:平面x =0, y = 0, z = 0,x+2y+ z =1所围成的区域x = 0, y = 0, x+2y =1 围成例1.计算三重积分x + 2y + z =1yx121()112y x =−D xyzy x x I d d d ⎰⎰⎰Ω=1、画出(观察)积分区域2、确定积分次序先z 再y 后x,4、将Ω向xoy 平面做投影得区域xyD 3、确定z 的积分上下限分析:1xyz121解:d d d x x y zΩ⎰⎰⎰121(1)00d (12)d x x x x y y−=−−⎰⎰120d x y z−−⎰12301(2)d 4x x x x =−+⎰148=练习:将积分次序改为:先y 再z 后x将积分次序改为:先x 再z 后y1xyz121x + 2y + z =1()012101201z x yy x x ≤≤−−⎧⎪⎪Ω≤≤−⎨⎪≤≤⎪⎩:例2 化三重积分 ⎰⎰⎰Ω=dxdydz z y x f I ),,(为三次积分,其中 积分区域 Ω为由曲面22y x z +=,2x y =,1=y , 0=z 所围成的空间闭区域.2y x=1y =oxy-11xyD 11、画出(观察)积分区域分析:2、确定积分次序先z 再y 后x,3、确定z 的积分上下限4、将Ω向xoy 平面做投影得区域xyD ⎰⎰⎰−+=1101222),,(yx x dz z y x f dy dx I .例3 化三重积分 ⎰⎰⎰Ω=dxdydz z y x f I ),,(为三次积分,其中积分区域Ω为由曲面 222y x z +=及22x z −=所围成的闭区域.1、画出(观察)积分区域分析:2、确定积分次序先z , 再y 后x ,3、确定z 的积分上下限222z x=−下曲面21((0,0)2(0,0)0)z z =>=2212z x y=+上曲面=22222(,,)xyxx yD I d f x y z dz σ−+∴⎰⎰⎰xyD Oxy–1122222112112(,,).x x xx ydx dy f x y z dz −−−−−+=⎰⎰⎰22222x y z x⎧⎪Ω⎨⎪+≤≤−⎩:2211x y x −−≤≤−11x −≤≤由⎩⎨⎧−=+=22222xz y x z ,221,x y +≤:xyz xoy D Ω消去得在面上的投影区域4、将Ω向xoy 平面做投影得区域xyD 解:xy xoy D xoy Ω思考:在面上的投影区域是一个圆域,那么在平面进行的二重积分,可不可以利用极坐标系计算?需要注意些什么?2222,4x z dv y x z y Ω+Ω=+=⎰⎰⎰例4计算其中是由曲面与平面所围成xyzo2z y x =−2z y x =−−分析:1、画出(观察)积分区域2、确定积分次序先z 再y 后x,4、将Ω向xoy 平面做投影得区域xyD 3、确定z 的积分上下限yxo4y =2y x ==222222xyy x y x D x z dv d x z dzσ−−−Ω++⎰⎰⎰⎰⎰⎰-=22224222y x xy xdx dy x z dz−−−+⎰⎰⎰分析:1、画出(观察)积分区域2、确定积分次序先y 再z 后x,4、将Ω向xoz 平面做投影得区域xzD 3、确定y 的积分上下限=2242222xzx z D x z dv d x z dyσ+Ω++⎰⎰⎰⎰⎰⎰22224,4x z dv y x z y Ω+Ω=+=⎰⎰⎰例计算其中是由曲面与平面所围成xyzΩ22y x z =+4y =xz2−2224x z +==2222422xzx zD x z dvd x z dyσΩ+++⎰⎰⎰⎰⎰⎰()=22222244x y xzx z d σ+≤−−+⎰⎰xz2−2224x z +=2r =()()=222224041282415d rr rdrr r dr πθππ−⋅=−=⎰⎰⎰解:1、确定了积分次序后,内层积分上下限至多包含两个变量,中层积分上下限至多包含一个变量,外层积分上下限必须是常数2、对于先单后重的次序,重积分部分可以根据积分区域的特点采用极坐标系计算(1)把积分区域Ω向某轴(例如 z 轴)投影,得投影区间],[21c c ;(3) 计算二重积分⎰⎰zD dxdy z y x f ),,(其结果为z 的函数)(z F ;(4)最后计算单积分⎰21)(c c dz z F 即得三重积分值.z(二)先重后单(先二后一)法先重后单, 就是先求关于某两个变量的二重积分再求关于另一个变量的定积分122,zz c c z xoy D ∈Ω⎡⎤⎣⎦()对用过轴且平行平面的平面去截,得截面21()zc cD g z dzdxdy=⎰⎰⎰V d z y x f ⎰⎰⎰Ω),,(即,若f (x, y, z )= g (z )21(,,).zc c D dz f x y z dxdy =⎰⎰⎰易见, 若内层的二重积分容易计算时,这个方法更显出优越性。
二、三重积分的计算技巧重积分的计算中,对积分区域的熟悉非常重要,以下关于重积分的几种计算技巧均是基于积分区域的特点分析归纳得出。
一、积分区域为圆(二重积分)或球(三重积分)1、在闭区域D为x2y 2 a 2的圆,区域关于原点,坐标轴均对称,则有(1)x 2 dxdy y2 dxdyx 2 y2 a2x2 y2 a2(2)若m, n中有一个为奇数有x n y m dxdy 0.x2y2a2例 1.求( x2 3 y 2 )dxdyx2y 2 a 2解:根据对称性,2a原式 =2(x 2y2 )dxdy =2d r 3dr a4 .x2y2a200例 2.求( x2dxdy 3y)x2y 2 a 2解:原式 =( x29 y 2 6 xy)dxdy5(x 2y 2 )dxdy5 a 4 .x2 y 2 a 2x2 y2 a22例 3.求(x3y 5 ) 2.(积分区域为球)z dxdydzx2y 2z2a2解:原式 =(x29y225z26xy30yz10).xz dxdydzx2y 2 z2a2=35( x2y 2z2 )dxdydz.35. 4a528 a 5 .3 x2y2z2a2 3 532、在闭区域D为( x a)2y 2 a 2的圆上例 4.求x dxdy( x a) 2y2a2(x a a)2a3 .解:原式 =dxdy( x a) 2y2a2—例 5.求x 2dxdy( x a) 2 y2a2解:原式 =(x a2a) dxdy( x a) 2y2a2(x 22a( x a)dxdy a 2dxdy 5 a4.=a) dxdy( x a) 2 y2 a2(x a)2 y 2 a2( x a )2 y2 a 243、在闭区域D为( x a)2( y b) 2c2的圆上(处理方法同2)二、积分区域的对称(化重积分为累次积分)1、区域关于坐标轴对称例 6.区域D由y x 2与 y 1 围成,求( xy2x 2 y 2 )dxdy.D2211224x y dxdy dx dy =解:原式 =x y..D1x2272、区域关于y x 对称,(x, y) D ,( y, x) D ,有 f ( x, y)dxdy f ( y, x)dxdy.D D例 7.求( xy2yx2 )dxdy. 其中区域 D 为x2y 2 a 2, x0, y0D解:原式 =( yx2yx2 )dxdy. =0.D例 8.( xy23yx2)dxdy.其中区域 D 为x2y 2 a 2, x0, y0D2a解:原式 = 4xy2 dxdy=4d r cos r 2 sin 2rdrD00ar 5 sin2 2 a6= 4 2 d d sin=09例 9.求 a ( x)b ( y)dxdy. 其中区域D为 x2y2a2, ( x ) 为正值连续函数。
三重积分的计算方法:三重积分的计算是化为三次积分进行的。
其实质是计算一个定积分(一重积分)和一个二重积分。
从顺序看:如果先做定积分⎰21),,(z z dz z y x f ,再做二重积分⎰⎰Dd y x F σ),(,就是“投影法”,也即“先一后二”。
步骤为:找Ω及在xoy 面投影域D 。
多D 上一点(x,y )“穿线”确定z 的积分限,完成了“先一”这一步(定积分);进而按二重积分的计算步骤计算投影域D 上的二重积分,完成“后二”这一步。
σd dz z y x f dv z y x f Dz z ⎰⎰⎰⎰⎰⎰Ω=21]),,([),,(如果先做二重积分⎰⎰zD d z y x f σ),,(再做定积分⎰21)(c c dz z F ,就是“截面法”,也即“先二后一”。
步骤为:确定Ω位于平面21c z c z ==与之间,即],[21c c z ∈,过z 作平行于xoy 面的平面截Ω,截面z D 。
区域z D 的边界曲面都是z 的函数。
计算区域z D 上的二重积分⎰⎰zD d z y x f σ),,(,完成了“先二”这一步(二重积分);进而计算定积分⎰21)(c c dz z F ,完成“后一”这一步。
dz d z y x f dv z y x f c c D z]),,([),,(21σ⎰⎰⎰⎰⎰⎰Ω=当被积函数f (z )仅为z 的函数(与x,y 无关),且z D 的面积)(z σ容易求出时,“截面法”尤为方便。
为了简化积分的计算,还有如何选择适当的坐标系计算的问题。
可以按以下几点考虑:将积分区域Ω投影到xoy 面,得投影区域D(平面)(1) D 是X 型或Y 型,可选择直角坐标系计算(当Ω的边界曲面中有较多的平面时,常用直角坐标系计算)(2) D 是圆域(或其部分),且被积函数形如)(),(22xyf y x f +时,可选择柱面坐标系计算(当Ω为圆柱体或圆锥体时,常用柱面坐标计算)(3)Ω是球体或球顶锥体,且被积函数形如)(222z y x f ++时,可选择球面坐标系计算以上是一般常见的三重积分的计算方法。
一例三重积分的解法剖析
三重积分,也叫做三变量的定积分,它涉及到三个变量的积分,然后通过解决三次积分运算给出最终极值。
它的解法包括以下几个步骤:
首先,需要将被问题看成一个具有三个自变量的双重积分,它有四个界限,称之为D,即
D=∫∫f (x1, x2)d x1 d x2,
其中f (x1, x2)表示被积函数。
接下来,积分双重变化,首先将x2从a到b变化,然后将x1从c到d变化。
结果表示为:
D = ∫b a∫d c f (x1, x2) d x1 d x2.
最后,将上面的分法,写作D=∫c d∫a bf (x1, x2)d x1 d x2,称为变量转换,可以让定积分对于三个变量做出正确的求解。
以上就是三重积分解法的剖析,通过它可以将具有三个变量的积分运算转换成双变量的积分,从而得到最终的结果。
平行截面法公式三重积分一、平行截面法(先“二”后“一”法)的原理。
设空间闭区域Ω在z轴上的投影区间为[c,d],对于z∈[c,d],过点(0,0,z)作垂直于z轴的平面截Ω得到的平面闭区域为D(z)。
如果函数f(x,y,z)在Ω上连续,则。
∭_Ωf(x,y,z)dV=∫_c^ddz∬_D(z)f(x,y,z)dxdy这里的思路是将三重积分转化为先计算关于x和y的二重积分(在截面D(z)上),再计算关于z的定积分。
(一)确定投影区间和截面区域。
1. 投影区间。
- 要先确定闭区域Ω在某一坐标轴(这里以z轴为例)上的投影区间[c,d]。
这通常需要根据Ω的边界方程来确定z的取值范围。
2. 截面区域。
- 对于每个z∈[c,d],要确定截面D(z)的表达式。
这可能需要根据Ω的边界方程,将z看作常数,得到关于x和y的关系,从而确定D(z)的范围。
(二)计算截面区域上的二重积分和定积分。
1. 计算二重积分。
- 对于固定的z,计算∬_D(z)f(x,y,z)dxdy。
这就相当于在平面区域D(z)上计算一个普通的二重积分。
根据D(z)的形状,可能需要将其转化为合适的坐标系(如直角坐标系、极坐标系)来计算。
- 例如,如果D(z)是圆形或扇形区域,极坐标系可能会简化计算。
在极坐标系下,x = rcosθ,y = rsinθ,dxdy = rdr dθ。
2. 计算定积分。
- 计算∫_c^ddz部分,将前面得到的关于z的函数(即∬_D(z)f(x,y,z)dxdy的结果)进行关于z的定积分计算。
二、例题。
计算∭_Ωz^2dV,其中Ω是由椭球面frac{x^2}{a^2}+frac{y^2}{b^2}+frac{z^2}{c^2} = 1所围成的闭区域。
1. 确定投影区间和截面区域。
- Ω在z轴上的投影区间为[ - c,c]。
- 对于z∈[-c,c],过点(0,0,z)作垂直于z轴的平面截Ω得到的截面D(z)为椭圆:frac{x^2}{a^2(1-frac{z^2}{c^2})}+frac{y^2}{b^2(1-frac{z^2}{c^2})} = 1。