[整理]三重积分的计算方法小结与例题76202
- 格式:doc
- 大小:231.00 KB
- 文档页数:7
三重积分和多重积分方法在第三节中我们讨论了二重积分,本节将之推广到一般的n 维空间中去.类似于第三节,我们先定义一个R 3中集合的可求体积性. 同样可以给出一列类似的结论. 读者自己推广. 这里将不再赘述. 一、 引例设一个物体在空间R 3中占领了一个有界可求体积的区域V ,它的点密度为()z y x f ,,,现在要求这个物体的质量.假设密度函数是有界的连续函数,可以将区域V 分割为若干个可求体积的小区域n V V V ,...,,21,其体积分别是n V V V ∆∆∆,...,,21,直径分别是n d d d ,...,,21,即},||sup{|i i V Q W W Q d ∈=, (i =1,2,…,n ), |WQ|表示W, Q 两点的距离.设},...,,max{21n d d d =λ,则当λ很小时,()z y x f ,,在i V 上的变化也很小.可以用这个小区域上的任意一点()i i i z y x ,,的密度()i i i z y x f ,,来近似整个小区域上的密度,这样我们可以求得这个小的立体的质量近似为()i i i i V z y x f ∆,,,所有这样的小的立体的质量之和即为这个物体的质量的一个近似值.即()i i i i ni V z y x f M ∆≈∑=,,1.当0→λ时,这个和式的极限存在,就是物体的质量.即()i i i i ni V z y x f M ∆=∑=→,,lim 1λ.从上面的讨论可以看出,整个求质量的过程和求曲顶柱体的体积是类似的,都是先分割,再求和,最后取极限.所以我们也可以得到下面一类积分. 二、 三重积分的定义设()z y x f ,,是空间3R 中的一个有界可求体积的闭区域V 上的有界函数,将V 任意分割为若干个可求体积的小闭区域n V V V ,...,,21,这个分割也称为V 的分划,记为P : n V V V ,...,,21.Φ=⋂oo j i V V (空, j i ≠), 其体积分别是n V V V ∆∆∆,...,,21,直径分别是n d d d ,...,,21.设},...,,max{21n d d d =λ,或记为||P ||. 在每个小区域中任意取一点()i i i i V z y x ∈,,,作和()iiiini V z y x f ∆∑=,,1(称为Riemann 和),若当0→λ时,这个和式的极限存在,则称其极限为函数()z y x f ,,在区域V 上的三重积分,记为()⎰⎰⎰VdV z y x f ,,.并称函数()z y x f ,,在区域V 上可积.()z y x f ,,称为被积函数,x,y,z 称为积分变量., V 称为积分区域.特别地,在直角坐标系下,可以记为()⎰⎰⎰Vdxdydz z y x f ,,.我们同样可以引入Darboux 大,小和来判别可积, 也有同样的结论(略).1. 若()z y x f ,,是有界闭区域V 上的连续函数,则函数()z y x f ,,在区域V 上可积.2. 若()z y x f ,,=1时,⎰⎰⎰=VV dxdydz的体积.3. 若()z y x f ,,在有界闭区域V 上的间断点集合是0体积时, ()z y x f ,,在V 可积. 三重积分有着与二重积分类似的性质.下面简单叙述一下.1.可积函数的和(或差)及积仍可积. 和(差)的积分等于积分的和(差). 2.可积函数的函数k 倍仍可积. 其积分等于该函数积分的k 倍. 3.设Ω是可求体积的有界闭区域,()z y x f,,在Ω上可积,Ω分为两个无共同内点的可求体积的闭区域21,ΩΩ之并,则()z y x f ,,在21,ΩΩ上可积,并有()()()V d z y x f V d z y x f V d z y x f ⎰⎰⎰⎰⎰⎰⎰⎰⎰ΩΩΩ+=21,,,,,,.等等.三、三重积分的计算方法同二重积分一样, 我们这里给出三重积分的计算方法,理论上的证明读者自己完成..1. 利用直角坐标系计算三重积分先给一个结论.定理12.14 若函数()z y x f ,,是长方体V =[a,b ]×[c,d ]×[e,h ]上的可积, 记D=[c,d ]×[e,h ], 对任意x ∈[a,b ], 二重积分()⎰⎰=Ddydz z y x f x I ,,)(存在, 则 ()⎰⎰⎰⎰⎪⎪⎭⎫⎝⎛=ba Db a dx dydz z y x f dx x I ,,)( (记为()⎰⎰⎰D ba dydz z y x f dx ,,)也存在, 且()()()⎰⎰⎰⎰⎰⎰⎰⎰⎰==hed cb aDb aVdz z y x f dy dx dydz z y x f dx V d z y x f ,,,,,,.这时右边称为三次积分或累次积分, 即三重积分化为三次积分.证明 分别中[a,b ], [c,d ], [e,h ] 插入若干个分点b x x x x a n =<<<<= 210;d y y y y c m =<<<<= 210;h z z z z e s =<<<<= 210作平面i x x =, j y y =, k z z =,(i =0,1,2,…,n; ,j i =0,1,2,…,m; k =0,1,2,…,s,)得到V 的一个分划P . 令 ],,[],[],[111k k j j i i ijk z z y y x x v ---⨯⨯=(i =1,2,…,n; ,j i =1,2,…,m; k =1,2,…,s,),ijk M ,ijk m 分别是()z y x f ,,在ijk v 上的上, 下确界.那么在],[],[11k k j j jk z z y y D --⨯=上有k j ijkD ik j ijk z y Mdydz z y f z y m jk∆∆≤≤∆∆⎰⎰),,(ξ其中Δx i ,= x i - x i -1 , Δy j ,= y j - y j -1 , Δz k ,= z k - z k -1 , (i =1,2,…,n; ,j i =1,2,…,m; k =1,2,…,s,).)(),,(),,(,iDik j D iI dydz z y f dydz z y f jkξξξ==⎰⎰∑⎰⎰∑∑∑∆∆∆≤∆≤∆∆∆=kj i k j i ijk ni i i kj i k j i ijkz y x M x I z y x m,,1,,)(ξ因可积,所以当||P ||趋于0时,Darboux 大,小和趋于同一数,即三重积分. 故定理得证.如果V 如右图, e ≤z ≤h, z=z 与V 面积为D z ,不难得到,若函数()z y x f ,,在V 上的可积, 那么()()⎰⎰⎰⎰⎰⎰=zD heVdxdy z y x f dz V d z y x f ,,,,.下面给出一般三重积分的具体计算方法,理论证明读者可参照二重积分自己完成.设函数),,(z y x f 在有界闭区域Ω上连续,我们先讨论一种比较特殊的情况.()()()()},,,,|,,{21y x z z y x z D y x z y x ≤≤∈=Ω,其中xy D 为Ω在xoy 平面上的投影,且()()})(,|,{21x y y x y b x a y x D xy ≤≤≤≤=.如图12.我们现在z 轴上做积分,暂时将y x ,看成是常数.把函数()z y x f ,,看作是z 的函数,将它在区间()()],,,[21y x z y x z 上积分得到()()()⎰y x z y x z dz z y x f ,,21,,.显然这个结果是y x ,的函数,再把这个结果在平面区域xy D 上做二重积分()()()dxdy dz z y x f y x z y x z D xy⎪⎭⎫ ⎝⎛⎰⎰⎰,,21,,. 在利用二重积分的计算公式便可以得到所要的结果.若平面区域xy D 可以用不等式()()x y y x y b x a 21,≤≤≤≤表示,则()⎰⎰⎰ΩdV z y x f ,,()()()()()⎰⎰⎰=y x z y x z x y x y badz z y x f dy dx ,,2121,,.这个公式也将三重积分化为了三次积分.如果积分区域是其他的情形,可以用类似的方法计算. 例1计算三重积分⎰⎰⎰ΩxdV ,其中Ω是由三个坐标面和平面1=++z y x 所围的立体区域.解 积分区域如图所示,可以用不等式表示为y x z x y x --≤≤-≤≤≤≤10,10,10,所以积分可以化为()()241413181121112341021010101010=+-=-=--==⎰⎰⎰⎰⎰⎰⎰⎰⎰----Ωx x x dx x x dyy x x dx xdzdy dx xdV xyx x四、三重积分的积分变换和二重积分的积分变换一样,有如下的结果:定理12.15 设V 是uvw 空间R 3中的有界可求体积的闭区域,T :x =x (u,v,w ), y =y (u,v,w ), z =z (u,v,w ),是V 到xyz 空间R 3中的一一映射,它们有一阶连续偏导数,并且V w v u zz v z u z z yv y uyz x v x ux w v u z y x ∈≠∂∂∂∂∂∂∂∂∂∂∂∂∂∂∂∂∂∂=∂∂),,(,0),,(),,( (称为Jacobi). 如果f (x,y,z ) 是T (V )上的可积函数,那么dudvdw w v u z y x w v u z w v u y w v u x f dxdydz z y x f VV T ⎰⎰⎰⎰⎰⎰∂∂=),,(),,()),,(),,,(),,,((),,()(在R 3中有两种重要的变换柱面坐标和球面坐标.1. 利用柱面坐标计算三重积分 前面我们可以看到,由于积分区域与被积函数的特点,二重积分可以用极坐标来计算.同样对于三重积分可以用柱面坐标和球面坐标计算.我们先讨论用柱面坐标来计算三重积分.设空间中有一点()z y x M ,,,其在坐标面xoy 上的投影点'M 的极坐标为()θ,r ,这样图12-4-4M ’M (x,y,z)三个数θ,,r z 就称为点M 的柱面坐标(如图12-4-4).这里规定三个变量的变化范围是⎪⎩⎪⎨⎧+∞≤≤∞-≤≤+∞≤≤z r πθ200, 注意到,当=r 常数时,表示以z 轴为中心轴的一个柱面. 当θ=常数时,表示通过z 轴,与平面xoy 的夹角为θ的半平面. 当=z 常数时,表示平行于平面xoy ,与平面xoy 距离为z 的平面. 空间的点的直角坐标与柱面坐标之间的关系, 即是R 3到R 3的映射:⎪⎩⎪⎨⎧===z z r y r x θθsin cos . 所以 其Jacobi 为,10c o ss i n 0s i n c o s),,(),,(r r r z r z y x =-=∂∂θθθθθ故容易得到: 如果f (x,y,z ) 是R 3中的有界可求体积的闭区域V 上的可积函数,则()()⎰⎰⎰⎰⎰⎰=VVdz rdrd z r r f dV z y x f θθθ,sin ,cos ,,,其中,变换前后区域都用V 表示.我们也可以从几何直观的意义来描述这个公式的由来.用三组坐标面311,,C z C C r ===θ将积分区域划分为若干个小区域,考虑其中有代表性的区域,如图12-4-5所示的区域可以看成是由底面圆半径为dr r r +和两个圆柱面,极角为θθθd +和的两个半平面,以及高度为dz z z +和的两个平面所围成的.它可以近似的看作一个柱体,其底面的面积为θrdrd ,高为dz .所以其体积为柱面坐标下的体积元素,即dz rdrd dV θ=.再利用两种坐标系之间的关系,可以得到()()⎰⎰⎰⎰⎰⎰=VVdz rdrd z r r f dV z y x f θθθ,sin ,cos ,,.在柱面坐标下的三重积分的计算也是化为三次积分. 例2计算三重积分()⎰⎰⎰Ω+dV y x22,其中Ω是由椭圆抛物面()224y x z +=和平面4=z 所围成的区域.解 如图所示,积分区域Ω在坐标面xoy 上的投影是一个圆心在原点的单位圆.所以{}44,20,102≤≤≤≤≤≤=Ωz r r πθ.于是()()πθθθππ32441053204412202222=-===+⎰⎰⎰⎰⎰⎰⎰⎰⎰⎰⎰ΩΩdr r r d dzrdr r d dzrdrd r dV y xr2.利用球面坐标计算三重积分我们知道球面坐标用数ϕθ,,r 来表示空间的一个点.设有直角坐标系的空间点()z y x M ,,,点M 在坐标面xoy 上的投影'M ,其中||OM r =,θ为x 轴到射线'OM 转角.ϕ为向量与z 轴的夹角.如图12-4-7.规定三个变量的变化范围是⎪⎩⎪⎨⎧≤≤≤≤+∞≤≤πϕπθ0200r . 我们可以看到,注意到,当=r 常数时,表示以原点为球心的球面. 当θ=常数时,表示通过z 轴的半平面.当=ϕ常数时,表示以原点为顶点,z 轴为中心的锥面. 两种坐标系之间的关系如下:⎪⎩⎪⎨⎧===ϕθϕθϕcos sin sin cos sin r z r y r x . 即又是一个即是R 3到R 3的映射.它的Jacobi 是,sin 0sin cos cos sin cos cos sin sin sin sin sin cos cos sin ),,(),,(2ϕϕϕθϕθϕθϕθϕθϕθϕθϕr r r r r r r z y x =--=∂∂由一般的重积分变换公式容易得到:如果f (x,y,z ) 是R 3中的有界可求体积的闭区域V 上的可积函数,则()()⎰⎰⎰⎰⎰⎰=VVd drd rr r r f dV z y x f θϕϕϕθϕθϕsin cos ,sin sin ,cos sin ,,2,其中,变换前后区域都用V 表示.用几何直观的意义可以如下理解: 已知f (x,y,z ) 闭区域V 上的可积函数.用三组坐标=r 常数,=θ常数,=ϕ常数,将积分区域V 划分为若干个小的区域. 考虑其中有代表性的区域,此小区域可以看成是有半径为dr r r +和的球面,极角为θ和θθd +的半平面,与中心轴夹角为ϕ和ϕϕd +的锥面所围成,它可以近似的看作边长分别是θϕϕd r rd dr sin ,,的小长方体,从而得到球面坐标系下的体积元素为ϕθϕd drd r dV sin 2=.再由直角坐标系与球面坐标之间的关系,可以得到下面的公式()()ϕθϕϕθϕθϕd drd r r r r f dV z y x f VVsin cos ,sin sin ,cos sin ,,2⎰⎰⎰⎰⎰⎰=.例3计算三重积分()⎰⎰⎰Ω+dV y x22,其中Ω是右半球面0,2222≥≤++y a z y x 所围成的区域.解 在球面坐标下,积分区域可以表示为}0,0,0{πϕπθ≤≤≤≤≤≤=Ωa r所以()503505334022222154cos 31cos 551sin sin sin sin a a d r d drr d d d drd r r dV y xaaπϕϕπϕϕθϕϕθϕθϕϕπππππ=⎥⎦⎤⎢⎣⎡--=⎥⎦⎤⎢⎣⎡===+⎰⎰⎰⎰⎰⎰⎰⎰⎰⎰⎰ΩΩ与二重积分,三重积分一样可以定义一般n 重积分.我们这里只是简单介绍.当V 是R n 中的有界闭区域. 依照可求面积的方法定义V 的可求“体积”或可测(略). 设f (x 1, x 2,,…, x n ,) 是R n 中的有界可测闭区域V 上的函数, 任取V 的分划P,, 即把分成若干个可测小区域m V V V ,,,21 , 它们的”体积”或测度分别记为m V V V ∆∆∆,,,21 , 当令{}i i V Q Q Q Q d ∈=2121,|||sup , ||21Q Q 表示两点的距离,{}m d d d P ,,,max ||||21 = , 对任取),,2,1(,),,,()()(2)(1m i V x x x i i n i i =∈,如果i mi i n i i P V x x xf ∆∑=→1)()(2)(10||||),,,(lim存在,称f (x 1, x 2,,…, x n ,)是V 上的可积函数.其极限值称为f (x 1, x 2,,…, x n ,)在V 上的n 重积分,记为dV x x x f n n V),,,(21 ⎰⎰ 或 n n nVdx dx dx x x x f2121),,,(⎰⎰. 特别 当V =[a 1,b 1]×[a 2,b 2]×…×[a n ,b n ]时,n n b a b a b a n n n Vdx x x x f dx dx dx dx dx x x x f n n),,,(),,,(212121211122⎰⎰⎰⎰⎰=.若V 上有一一映射T⎪⎪⎩⎪⎪⎨⎧===),,,(),,,(),,,(:2121222111n n n n n u u u x x u u u x x u u u x x T ,其每个分量的函数有连续偏导数,当V 是有界可测区域,f (x 1, x 2,,…, x n ,)在T(V )上可积,并且JacobiV u u u u x u x u x u x u x ux u x u x u x u u u x x x n n nn n n n n n ∈≠∂∂∂∂∂∂∂∂∂∂∂∂∂∂∂∂∂∂=∂∂),,,(,0),,,(),,,(212122212121112121那么n n n V T dx dx dx x x x f2121)(),,,(⎰⎰nn n n n n n n Vdu du du u u u x x x u u u x u u u x u u u x f21212121212211),,,(),,,()),,,(,),,,,(),,,,((∂∂=⎰⎰.特别是R n 中的球坐标变换T :,321321211cos sin sin ,cos sin ,cos ϕϕϕϕϕϕr x r x r x === ……,123211cos sin sin sin sin ---=n n n r x ϕϕϕϕϕ , 12321sin sin sin sin sin --=n n n r x ϕϕϕϕϕ ,在R n 中, .20,,,,0,012321πϕπϕϕϕϕ≤≤≤≤∞<≤--n n r 这时的Jacobi 是2231211112122111111121sin sin sin ),,,(),,,(--------=∂∂∂∂∂∂∂∂∂∂∂∂∂∂∂∂∂∂=∂∂n n n n n nn n n n n n r x x rx x x rx x x r x r x x x ϕϕϕϕϕϕϕϕϕϕϕ。
第三节 三重积分的计算一、 利用直角坐标系计算三重积分 三重积分的定义:∑⎰⎰⎰=→=ni i i i i V f dV z y x f 1),,(lim),,(∆ςηξλΩ. 三重积分中体积元素可表示为dxdydz dV =,于是⎰⎰⎰⎰⎰⎰=ΩΩdxdydz z y x f dV z y x f ),,(),,(.三重积分的计算是将其化为计算一个定积分和一个二重积分,最终都要转化为计算三次定积分.1、 坐标面投影法(先一后二计算法) 由上次课的引例知,三重积分⎰⎰⎰ΩdV z y x f ),,(可看成为体密度为),,(z y x f 且占有空间区域Ω的立体的质量.设区域Ω在xOy 面上的投影区域为D ,以D 的边界为准线作平行于z 轴的柱面,将V 分为上下两个曲面,其方程分别为),(:22y x z z =∑ ),(:11y x z z =∑设它们为D 上的单值连续函数,且),(),(21y x z z y x z ≤≤,用垂直于x轴和y 轴的平面将区域D 分为若干个细长条,对应于小区域σd 高度为dz 的小薄片的质量近似等于dz d z y x f σ),,(,所以细长条的质量用微元法求得为σσd dz z y x f dz d z y x f y x z y x z y x z y x z ]),,([),,(),(),(),(),(2121⎰⎰=再将其在区域D 上求二重积分,得到立体的质量为⎰⎰⎰⎰⎰⎰=Dy x z y x z d dz z y x f dV z y x f σΩ]),,([),,(),(),(21上面公式对于一般情形仍然成立,于是我们有下面结果. 当积分区域Ω可以表示为:Ω⎩⎨⎧∈≤≤xyD y x y x z z y x z ),(),(),(21 其中xy D 为Ω在xOy 面上的投影,此时称Ω为xy -型区域. 则有计算公式⎰⎰⎰⎰⎰⎰=xyD y x z y x z dxdy dz z y x f dV z y x f ]),,([),,(),(),(21Ω.进一步,如果D 是x -型区域,即Ω可表示为如下不等式组Ω:⎪⎩⎪⎨⎧≤≤≤≤≤≤),(),( )()( 2121y x z z y x z x y y x y b x a 则⎰⎰⎰⎰⎰⎰=Dy x z y x z dxdy dz z y x f dxdydz z y x f ]),,([),,(),(),(21Ω⎰⎰⎰=),(),()()(2121),,(y x z y x z x y x y ba dz z y x f dy dx由于上面计算公式实际上是先求一个单积分,再求一个二重积分,因此称为先一后二计算法.类似地,积分区域还有yz -型区域,zx -型区域,都有类似公式.例如对于yz -型区域,Ω可表示为⎩⎨⎧∈≤≤),(),(),(21yz D z y z y x x z y x 则有公式⎰⎰⎰⎰⎰⎰=yzD z y x z y x d dx z y x f dV z y x f σΩ]),,([),,(),(),(21例1 计算三重积分⎰⎰⎰Vxdxdydz ,其中V 为三个坐标面和平面12=++z y x 所围成的闭区域.解 从图上看出,积分区域可以用如下不等式组表示为⎪⎩⎪⎨⎧--≤≤-≤≤≤≤yx z x y x 210 21010 由上面公式有481)2(41)21(10322101021021010=+-=--==⎰⎰⎰⎰⎰⎰⎰⎰⎰----dx x x x dyy x x dx xdz dy dx xdxdydz xy x x V例2 求由抛物面z y x -=+622,平面0=x ,0=y ,1=x ,2=y 及z y 4=所围成的立体的体积.解 从立体图形看出,区域V 可以用不等式组表示为⎪⎩⎪⎨⎧--≤≤≤≤≤≤2264/ 2010y x z y y x 6492264201===⎰⎰⎰⎰⎰⎰--y x y Vdz dy dx dV V . 2、 坐标投影法(截面法或先二后一法)如果将空间区域Ω向z 轴作投影得一投影区间],[q p ,且Ω能够表示为Ω:⎩⎨⎧≤≤∈qz p D y x z),(.其中z D 是过点),0,0(z 且平行于xOy 面的平面截Ω所得的平面区域,就称Ω为z 型空间区域。
2012届本科毕业论文论文题目:三重积分的计算方法总结学生姓名:所在院系:数学科学学院所学专业:数学与应用数学导师姓名:完成时间:2012年5月10日三重积分的计算方法总结摘要三重积分可用于求空间立体的体积及空间物体的质量,在几何与力学中也有广泛的应用,因此三重积分的计算显得非常重要。
本文给出了三重积分的概念及基本性质,在此基础上总结了三重积分的几种计算方法。
首先,给出了在直角坐标系下将三重积分转化为三次累次积分的“先一后二法”和“先二后一法”,接着介绍了三重积分的柱面坐标变换和球面坐标变换以及由此引申的广义柱面坐标变换和广义球面坐标变换,最后又给出了利用对称性和奇偶性的计算方法,并作了推广即n重积分的计算。
每种方法都有相应的例题,以此加深了对这些方法的理解及应用。
三重积分的计算方法很多,本文主要从以上四个方面对三重积分的算法进行了概括总结,使三重积分的计算系统化。
关键词:三重积分,计算方法,坐标替换Three the calculation of multiple integral methodsAbstractThree points could be used to calculate the spatial volume and spatial object quality, in geometry and mechanics, but also has a wide application, so in three the calculation of multiple integral is very important.This paper gives three integral concept and its basic properties, are summarized on the basis of three integral of several calculation methods. First of all, given in Cartesian coordinates triple integral into three times of repeated integral" one after two " and" after the first two a law", then introduces the three integral cylindrical transform of coordinate and spherical coordinate transformation and the extended generalized cylindrical coordinate transform and generalized spherical coordinate transformation, finally, given the use of symmetry and parity calculation method, and made the promotion that the calculation of multiple integral. Each method has a corresponding example, to deepen to the understanding of these methods and application.Three integral calculation methods, this article mainly from the above four aspects of three integral algorithm is summarized in this article, the three triple integral calculation system.Key words:Three integral ,Calculation method ,Coordinate substitution目录1⋅引言 (1)2⋅三重积分的概念 (1)3⋅三重积分的基本性质 (2)3.1常值函数的积分值 (2)32⋅.函数线性组合的积分 (2)33⋅.积分对区域的可加性 (3)34⋅积分的不等式性质 (3)35⋅.积分的值与被积函数在分片光滑曲面上的值无关 (3)4⋅三重积分的计算方法 (4)41⋅在直角坐标系下将三重积分转化成三次累次积分进行计算 (4)411⋅⋅当空间积分区域是由长方体、四面体或任意体形成时,将三重积分转化成三次累次积分. (4)⋅⋅用“先一后二”的方法计算三重积分 (4)412⋅⋅用“先二后一法”计算三重积分 (6)4134.2⋅三重积分的变量替换法 (9)4.2.1一般原理体积元素 (9)4.2.2 球面坐标变换 (10)4.2.3 柱面坐标替换 (12)4.2.4 其他变量替换 (13)4.3 利用积分区域的对称性以及被积函数的奇、偶性来进行计算 (14)4.4 三重积分算法推广——n重积分的计算 (16)4.4.1 仿射变换 (17)5.结论 (22)6.参考文献 (19)7.致谢 ............................................................................................. 错误!未定义书签。
二、三重积分的计算技巧重积分的计算中,对积分区域的熟悉非常重要,以下关于重积分的几种计算技巧均是基于积分区域的特点分析归纳得出。
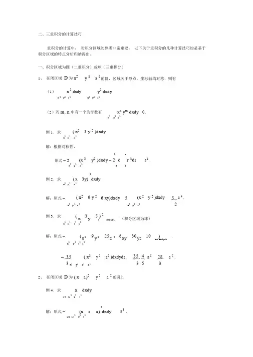
一、积分区域为圆(二重积分)或球(三重积分)1、在闭区域D为x2y 2 a 2的圆,区域关于原点,坐标轴均对称,则有(1)x 2 dxdy y2 dxdyx 2 y2 a2x2 y2 a2(2)若m, n中有一个为奇数有x n y m dxdy 0.x2y2a2例 1.求( x2 3 y 2 )dxdyx2y 2 a 2解:根据对称性,2a原式 =2(x 2y2 )dxdy =2d r 3dr a4 .x2y2a200例 2.求( x2dxdy 3y)x2y 2 a 2解:原式 =( x29 y 2 6 xy)dxdy5(x 2y 2 )dxdy5 a 4 .x2 y 2 a 2x2 y2 a22例 3.求(x3y 5 ) 2.(积分区域为球)z dxdydzx2y 2z2a2解:原式 =(x29y225z26xy30yz10).xz dxdydzx2y 2 z2a2=35( x2y 2z2 )dxdydz.35. 4a528 a 5 .3 x2y2z2a2 3 532、在闭区域D为( x a)2y 2 a 2的圆上例 4.求x dxdy( x a) 2y2a2(x a a)2a3 .解:原式 =dxdy( x a) 2y2a2—例 5.求x 2dxdy( x a) 2 y2a2解:原式 =(x a2a) dxdy( x a) 2y2a2(x 22a( x a)dxdy a 2dxdy 5 a4.=a) dxdy( x a) 2 y2 a2(x a)2 y 2 a2( x a )2 y2 a 243、在闭区域D为( x a)2( y b) 2c2的圆上(处理方法同2)二、积分区域的对称(化重积分为累次积分)1、区域关于坐标轴对称例 6.区域D由y x 2与 y 1 围成,求( xy2x 2 y 2 )dxdy.D2211224x y dxdy dx dy =解:原式 =x y..D1x2272、区域关于y x 对称,(x, y) D ,( y, x) D ,有 f ( x, y)dxdy f ( y, x)dxdy.D D例 7.求( xy2yx2 )dxdy. 其中区域 D 为x2y 2 a 2, x0, y0D解:原式 =( yx2yx2 )dxdy. =0.D例 8.( xy23yx2)dxdy.其中区域 D 为x2y 2 a 2, x0, y0D2a解:原式 = 4xy2 dxdy=4d r cos r 2 sin 2rdrD00ar 5 sin2 2 a6= 4 2 d d sin=09例 9.求 a ( x)b ( y)dxdy. 其中区域D为 x2y2a2, ( x ) 为正值连续函数。
2012届本科毕业论文论文题目:三重积分的计算方法总结学生姓名:所在院系:数学科学学院所学专业:数学与应用数学导师姓名:完成时间:2012年5月10日三重积分的计算方法总结摘要三重积分可用于求空间立体的体积及空间物体的质量,在几何与力学中也有广泛的应用,因此三重积分的计算显得非常重要。
本文给出了三重积分的概念及基本性质,在此基础上总结了三重积分的几种计算方法。
首先,给出了在直角坐标系下将三重积分转化为三次累次积分的“先一后二法”和“先二后一法”,接着介绍了三重积分的柱面坐标变换和球面坐标变换以及由此引申的广义柱面坐标变换和广义球面坐标变换,最后又给出了利用对称性和奇偶性的计算方法,并作了推广即n重积分的计算。
每种方法都有相应的例题,以此加深了对这些方法的理解及应用。
三重积分的计算方法很多,本文主要从以上四个方面对三重积分的算法进行了概括总结,使三重积分的计算系统化。
关键词:三重积分,计算方法,坐标替换Three the calculation of multiple integral methodsAbstractThree points could be used to calculate the spatial volume and spatial object quality, in geometry and mechanics, but also has a wide application, so in three the calculation of multiple integral is very important.This paper gives three integral concept and its basic properties, are summarized on the basis of three integral of several calculation methods. First of all, given in Cartesian coordinates triple integral into three times of repeated integral" one after two " and" after the first two a law", then introduces the three integral cylindrical transform of coordinate and spherical coordinate transformation and the extended generalized cylindrical coordinate transform and generalized spherical coordinate transformation, finally, given the use of symmetry and parity calculation method, and made the promotion that the calculation of multiple integral. Each method has a corresponding example, to deepen to the understanding of these methods and application.Three integral calculation methods, this article mainly from the above four aspects of three integral algorithm is summarized in this article, the three triple integral calculation system.Key words:Three integral ,Calculation method ,Coordinate substitution目录1⋅引言 (1)2⋅三重积分的概念 (1)3⋅三重积分的基本性质 (2)3.1常值函数的积分值 (2)32⋅.函数线性组合的积分 (2)33⋅.积分对区域的可加性 (3)34⋅积分的不等式性质 (3)35⋅.积分的值与被积函数在分片光滑曲面上的值无关 (3)4⋅三重积分的计算方法 (4)41⋅在直角坐标系下将三重积分转化成三次累次积分进行计算 (4)411⋅⋅当空间积分区域是由长方体、四面体或任意体形成时,将三重积分转化成三次累次积分. (4)⋅⋅用“先一后二”的方法计算三重积分 (4)412⋅⋅用“先二后一法”计算三重积分 (6)4134.2⋅三重积分的变量替换法 (9)4.2.1一般原理体积元素 (9)4.2.2 球面坐标变换 (10)4.2.3 柱面坐标替换 (12)4.2.4 其他变量替换 (13)4.3 利用积分区域的对称性以及被积函数的奇、偶性来进行计算 (14)4.4 三重积分算法推广——n重积分的计算 (16)4.4.1 仿射变换 (17)5.结论 (22)6.参考文献 (19)7.致谢 ............................................................................................. 错误!未定义书签。
摘要三重积分可用于求空间立体的体积及空间物体的质量,在几何与力学中也有广泛的应用,因此三重积分的计算显得非常重要。
本文给出了三重积分的概念及基本性质,在此基础上总结了三重积分的几种计算方法。
首先,给出了在直角坐标系下将三重积分转化为三次累次积分的“先一后二法”和“先二后一法”,接着介绍了三重积分的柱面坐标变换和球面坐标变换以及由此引申的广义柱面坐标变换和广义球面坐标变换,最后又给出了利用对称性和奇偶性的计算方法,并作了推广即n重积分的计算。
每种方法都有相应的例题,以此加深了对这些方法的理解及应用。
三重积分的计算方法很多,本文主要从以上四个方面对三重积分的算法进行了概括总结,使三重积分的计算系统化。
关键词:三重积分,计算方法,坐标替换Three the calculation of multiple integral methodsAbstractThree points could be used to calculate the spatial volume and spatial object quality, in geometry and mechanics, but also has a wide application, so in three the calculation of multiple integral is very important.This paper gives three integral concept and its basic properties, are summarized on the basis of three integral of several calculation methods. First of all, given in Cartesian coordinates triple integral into three times of repeated integral" one after two " and" after the first two a law", then introduces the three integral cylindrical transform of coordinate and spherical coordinate transformation and the extended generalized cylindrical coordinate transform and generalized spherical coordinate transformation, finally, given the use of symmetry and parity calculation method, and made the promotion that the calculation of multiple integral. Each method has a corresponding example, to deepen to the understanding of these methods and application.Three integral calculation methods, this article mainly from the above four aspects of three integral algorithm is summarized in this article, the three triple integral calculation system.Key words:Three integral ,Calculation method ,Coordinate substitution目录1⋅引言 (1)2⋅三重积分的概念 (1)3⋅三重积分的基本性质 (2)3.1常值函数的积分值 (2)32⋅.函数线性组合的积分 (2)33⋅.积分对区域的可加性 (2)34⋅积分的不等式性质 (3)35⋅.积分的值与被积函数在分片光滑曲面上的值无关 (3)4⋅三重积分的计算方法 (3)41⋅在直角坐标系下将三重积分转化成三次累次积分进行计算 (3)⋅⋅当空间积分区域是由长方体、四面体或任意体形成时,将三重积分411转化成三次累次积分. (3)⋅⋅用“先一后二”的方法计算三重积分 (3)412⋅⋅用“先二后一法”计算三重积分 (5)4134.2⋅三重积分的变量替换法 (7)4.2.1一般原理体积元素 (7)4.2.2 球面坐标变换 (9)4.2.3 柱面坐标替换 (10)4.2.4 其他变量替换 (11)4.3 利用积分区域的对称性以及被积函数的奇、偶性来进行计算 (12)4.4 三重积分算法推广——n重积分的计算 (14)4.4.1 仿射变换 (14)5.结论 (19)6.参考文献 (19)7.致谢............................................. 错误!未定义书签。
三重积分的计算方法例题摘要:一、三重积分的概念及应用场景二、三重积分的计算方法1.重积分的计算2.重积分的换元法3.重积分的性质4.重积分的几何意义三、实例解析四、总结与拓展正文:一、三重积分的概念及应用场景三重积分是一种多元函数的积分形式,通常表示为对空间中一个几何体内部的属性进行积分。
它在物理学、工程学、经济学等领域具有广泛的应用。
三重积分的计算方法有多种,包括重积分、换元法等。
二、三重积分的计算方法1.重积分的计算重积分是指对一个空间函数在某个区域内的值进行积分。
求解重积分的过程通常包括以下步骤:确定被积函数、确定积分区域、选择积分顺序、进行积分计算。
2.重积分的换元法重积分的换元法是一种求解重积分的高效方法。
通过引入一个新的变量,将复杂的重积分问题转化为简单的一重积分问题。
换元法的关键在于选择合适的换元函数,使得积分过程变得简洁。
3.重积分的性质重积分具有线性、可交换、满足乘法公式等性质。
这些性质使得重积分在实际计算中具有很好的灵活性,可以简化计算过程。
4.重积分的几何意义重积分在几何上的意义是对一个立体图形的质量进行求解。
具体来说,重积分可以表示为空间曲线长度、曲面面积或体积的函数。
这为求解空间几何问题提供了理论依据。
三、实例解析以一个球体的体积为例,介绍三重积分的计算过程。
设球体的半径为R,球体的密度为ρ。
我们需要求解球体内部某一区域内质量的分布。
1.确定被积函数:球体内部的密度函数,即ρ(x, y, z)。
2.确定积分区域:球体内部,用球坐标系表示为x^2 + y^2 + z^2 <R^2。
3.选择积分顺序:先对z积分,再对y积分,最后对x积分。
4.进行积分计算:利用重积分公式,计算出球体内部的质量分布。
四、总结与拓展本文详细介绍了三重积分的计算方法,包括重积分、换元法等。
通过实际应用场景和实例解析,加深了对三重积分的理解。
在实际问题中,三重积分有着广泛的应用,掌握其计算方法有助于解决诸多实际问题。
三重积分的计算方法小结三重积分是期末考试的重点内容,可以单独的命题,也可以结合高斯公式进行考察,下面是关于三重积分的计算方法的小结。
一、计算步骤(1) 选择适当的坐标系(2xff(2x三、各种积分方法简介1. 直角坐标系下计算三重积分的计算是化为三次积分进行的。
其实质是计算一个定积分(一重积分)和一个二重积分。
从顺序看:如果先做定积分ò21),,(z z dz z y x f ,再做二重积分òòDd y x F s ),(,就是“投影法”,也即“先一后二”。
步骤为:找W 及在xoy 面投影域D 。
多D 上一点(x,y )“穿线”确定z 的积分限,完成了“先一”这一步(定积分);进而按二重积分的计算步骤计算投影域D 上的二重积分,完成“后二”这一步。
s d dz z y x f dv z y x f Dz z òòòòòòW=21]),,([),,(如果先做二重积分òòzD d z y x f s ),,(再做定积分ò21)(c c dz z F ,就是“截面法”,也即“先二后一”。
步骤为:确定W 位于平面21c z c z ==与之间,即],[21c c z Î,过z 作平行于xoy 面的平面截W ,截面z D 。
区域z D 的边界曲面都是z 的函数。
计算区域z D 上的二重积分òòz D d z y x f s ),,(,完成了“先二”这一步(二重积分);进而计算定积分ò21)(c c dz z F ,完成“后一”这一步。
dz d z y x f dv z y x f c c D z]),,([),,(21s òòòòòòW=当被积函数f (z )仅为z 的函数(与x,y 无关),且z D 的面积)(z s 容易求出时,“截面法”尤为方便。
三重积分的计算方法:三重积分的计算是化为三次积分进行的。
其实质是计算一个定积分(一重积分)和一个二重积分。
从顺序看:如果先做定积分⎰21),,(z z dz z y x f ,再做二重积分⎰⎰Dd y x F σ),(,就是“投影法”,也即“先一后二”。
步骤为:找Ω及在xoy 面投影域D 。
多D 上一点(x,y )“穿线”确定z 的积分限,完成了“先一”这一步(定积分);进而按二重积分的计算步骤计算投影域D 上的二重积分,完成“后二”这一步。
σd dz z y x f dv z y x f Dz z ⎰⎰⎰⎰⎰⎰Ω=21]),,([),,(如果先做二重积分⎰⎰zD d z y x f σ),,(再做定积分⎰21)(c c dz z F ,就是“截面法”,也即“先二后一”。
步骤为:确定Ω位于平面21c z c z ==与之间,即],[21c c z ∈,过z 作平行于xoy 面的平面截Ω,截面z D 。
区域z D 的边界曲面都是z 的函数。
计算区域z D 上的二重积分⎰⎰zD d z y x f σ),,(,完成了“先二”这一步(二重积分);进而计算定积分⎰21)(c c dz z F ,完成“后一”这一步。
dz d z y x f dv z y x f c c D z]),,([),,(21σ⎰⎰⎰⎰⎰⎰Ω=当被积函数f (z )仅为z 的函数(与x,y 无关),且z D 的面积)(z σ容易求出时,“截面法”尤为方便。
为了简化积分的计算,还有如何选择适当的坐标系计算的问题。
可以按以下几点考虑:将积分区域Ω投影到xoy 面,得投影区域D(平面)(1) D 是X 型或Y 型,可选择直角坐标系计算(当Ω的边界曲面中有较多的平面时,常用直角坐标系计算)(2) D 是圆域(或其部分),且被积函数形如)(),(22xyf y x f +时,可选择柱面坐标系计算(当Ω为圆柱体或圆锥体时,常用柱面坐标计算)(3)Ω是球体或球顶锥体,且被积函数形如)(222z y x f ++时,可选择球面坐标系计算以上是一般常见的三重积分的计算方法。
三重积分的计算方法介绍:三重积分的计算是化为三次积分进行的。
其实质是计算一个定积分(一重积分)和一个二重积分。
从顺序看:如果先做定积分⎰21),,(z z dz z y x f ,再做二重积分⎰⎰Dd y x F σ),(,就是“投影法”,也即“先一后二”。
步骤为:找Ω及在xoy 面投影域D 。
多D 上一点(x,y )“穿线”确定z 的积分限,完成了“先一”这一步(定积分);进而按二重积分的计算步骤计算投影域D 上的二重积分,完成“后二”这一步。
σd dz z y x f dv z y x f Dz z ⎰⎰⎰⎰⎰⎰Ω=21]),,([),,(如果先做二重积分⎰⎰zD d z y x f σ),,(再做定积分⎰21)(c c dz z F ,就是“截面法”,也即“先二后一”。
步骤为:确定Ω位于平面21c z c z ==与之间,即],[21c c z ∈,过z 作平行于xoy 面的平面截Ω,截面z D 。
区域z D 的边界曲面都是z 的函数。
计算区域z D 上的二重积分⎰⎰zD d z y x f σ),,(,完成了“先二”这一步(二重积分);进而计算定积分⎰21)(c c dz z F ,完成“后一”这一步。
dz d z y x f dv z y x f c c D z]),,([),,(21σ⎰⎰⎰⎰⎰⎰Ω=当被积函数f (z )仅为z 的函数(与x,y 无关),且z D 的面积)(z σ容易求出时,“截面法”尤为方便。
为了简化积分的计算,还有如何选择适当的坐标系计算的问题。
可以按以下几点考虑:将积分区域Ω投影到xoy 面,得投影区域D(平面)(1) D 是X 型或Y 型,可选择直角坐标系计算(当Ω的边界曲面中有较多的平面时,常用直角坐标系计算)(2) D 是圆域(或其部分),且被积函数形如)(),(22xyf y x f +时,可选择柱面坐标系计算(当Ω为圆柱体或圆锥体时,常用柱面坐标计算)(3)Ω是球体或球顶锥体,且被积函数形如)(222z y x f ++时,可选择球面坐标系计算以上是一般常见的三重积分的计算方法。
对Ω向其它坐标面投影或Ω不易作出的情形不赘述。
三重积分的计算方法小结:1.对三重积分,采用“投影法”还是“截面法”,要视积分域Ω及被积函数f(x,y,z)的情况选取。
一般地,投影法(先一后二):较直观易掌握;截面法(先二后一): z D 是Ω在z 处的截面,其边界曲线方程易写错,故较难一些。
特殊地,对z D 积分时,f(x,y,z)与x,y 无关,可直接计算z D S 。
因而Ω中只要],[b a z ∈, 且f(x,y,z)仅含z 时,选取“截面法”更佳。
2.对坐标系的选取,当Ω为柱体,锥体,或由柱面,锥面,旋转抛物面与其它曲面所围成的形体;被积函数为仅含z 或)(22y x zf +时,可考虑用柱面坐标计算。
三重积分的计算方法例题:补例1:计算三重积分⎰⎰⎰Ω=zdxdydz I ,其中Ω为平面1=++z y x 与三个坐标面0,0,0===z y x 围成的闭区域。
解1“投影法” 1.画出Ω及在xoy 面投影域D. 2. “穿线”y x z --≤≤10X 型 D :xy x -≤≤≤≤101∴Ω:y x z x y x --≤≤-≤≤≤≤101013.计算⎰⎰⎰⎰⎰⎰⎰⎰⎰-----Ω+---=--===1010322110101102]31)1()1[(21)1(21dx y y x y x dy y x dx zdz dydx zdxdydz I x xyx x241]4123[61)1(6110410323=-+-=-=⎰x x x x dx x解2“截面法”1.画出Ω。
2. ]1,0[∈z 过点z 作垂直于z 轴的平面截Ω得z D 。
z D 是两直角边为x,y 的直角三角形,z y z x -=-=1,13.计算⎰⎰⎰⎰⎰⎰⎰⎰⎰⎰====Ω1110][][zz zD D D dz zS dz dxdy z dz zdxdy zdxdydz I⎰⎰⎰=+-=--==1321010241)2(21)1)(1(21)21(dz z z z dz z z z dz xy z补例2:计算⎰⎰⎰+dv y x 22,其中Ω是222z y x =+和z=1围成的闭区域。
解1“投影法”1.画出Ω及在xoy 面投影域D. 由⎩⎨⎧=+=1222z y x z 消去z ,得122=+y x 即D :122≤+y x2. “穿线”122≤≤+z y x ,X 型 D :⎪⎩⎪⎨⎧-≤≤--≤≤-221111xy x x∴ ⎪⎪⎩⎪⎪⎨⎧≤≤+-≤≤--≤≤-Ω11111:2222z y x x y x x3.计算⎰⎰⎰⎰⎰⎰⎰⎰Ω---+-----=+-+=+=+xx y x x x dy y x y x dxdz y x dydxdv y x 11111112222221122222226)1(π注:可用柱坐标计算。
解2“截面法”1.画出Ω。
2. ]1,0[∈z 过点z 作垂直于z 轴的平面截Ω得z D :222z y x ≤+z D : ⎩⎨⎧≤≤≤≤zr 020πθ用柱坐标计算 ⎪⎩⎪⎨⎧≤≤≤≤≤≤Ω10020:z zr πθ3.计算⎰⎰⎰⎰⎰⎰⎰⎰⎰⎰⎰Ω====+=+1010200101030322222632]31[2][][zD z z dz z dz r dz dr r d dz dxdy y x dv y x ππππθ补例3:化三重积分⎰⎰⎰Ω=dxdydz z y x f I ),,(为三次积分,其中Ω:222x 2z 2-=+=及y x z 所围成的闭区域。
解:1.画出Ω及在xoy 面上的投影域D.由 ⎪⎩⎪⎨⎧-=+=22222x z y x z 消去z ,得122=+y x 即D : 122≤+y x 2.“穿线” 22222x z y x -≤≤+X 型 D :⎪⎩⎪⎨⎧-≤≤--≤≤-221111xy x x Ω:⎪⎪⎩⎪⎪⎨⎧-≤≤+-≤≤--≤≤-22222221111x z y x x y x x3.计算 ⎰⎰⎰⎰⎰⎰Ω-----+==11112222222),,(),,(x x x y x dz z y x f dydxdxdydz z y x f I注:当),,(z y x f 为已知的解析式时可用柱坐标计算。
补例4:计算⎰⎰⎰Ωzdv ,其中Ω为22226y x z y x z +=--=及所围成的闭区域。
解1“投影法”1.画出Ω及在xoy 面投影域D , 用柱坐标计算由⎪⎩⎪⎨⎧===z z r y r x θθsin cos 化Ω的边界曲面方程为:z=6-r 2,z=r2.解262=⎩⎨⎧=-=r rz r z 得 ∴D :2≤r 即⎩⎨⎧≤≤≤≤2020r πθ“穿线” 26r z r -≤≤ ∴⎪⎩⎪⎨⎧-≤≤≤≤≤≤Ω262020:r z r r πθ3.计算 ⎰⎰⎰⎰⎰⎰⎰⎰⎰⎰---Ω===Dr rr rr rdr z r zdz rdrd rdrd zdz zdv 22262026262]21[2][ππθθ ⎰⎰=+-=--=2522222392)1336(])6[(πππdr r r r dr r r r 。
解2“截面法”1.画出Ω。
如图:Ω由r z r z =-=及26围成。
2. ]6,2[]2,0[]6,0[ =∈z 21Ω+Ω=Ω1Ω由z=r 与z=2围成; ]2,0[∈z ,z D :z r ≤1Ω:⎪⎩⎪⎨⎧≤≤≤≤≤≤20020z z r πθ2Ω由z=2与z=26r -围成; ]6,2[∈z ,z D :z r -≤62Ω:⎪⎩⎪⎨⎧≤≤-≤≤≤≤626020z z r πθ3.计算 ⎰⎰⎰Ωzdv =⎰⎰⎰⎰⎰⎰⎰⎰⎰⎰⎰⎰+=+ΩΩ2621212][][z z D D dz rdrd z dz rdrd z zdv zdv θθ⎰⎰⎰⎰⎰⎰=-+=-+=+=2622362222622392)6(])6([)]([21πππππdz z z dz z dz z z dz z z dz zS dz zS z z D D 注:被积函数z 是柱坐标中的第三个变量,不能用第二个坐标r 代换。
补例5:计算⎰⎰⎰+dv y x )(22,其中Ω由不等式A z y x a ≤++≤≤2220,0≤z 所确定。
解:用球坐标计算。
由⎪⎩⎪⎨⎧===φρφθρφθρcos sin sin sin cos z y x 得Ω的边界曲面的球坐标方程:A a ≤≤ρP Ω∈,连结OP=ρ,其与z 轴正向的夹角为φ,OP=ρ。
P 在xoy 面的投影为P ',连结P O ',其与x 轴正向的 夹角为θ。
∴Ω:A a ≤≤ρ,20πφ≤≤,πθ20≤≤⎰⎰⎰⎰⎰⎰Ω=+ππρφρφρφθ202022222sin )sin ()(Aa d d d dv y x =⎰253]51[sin 2πφρφπd A a =)(154132)(52sin )(52555520355a A a A d a A -=⨯⨯-=-⎰ππφφππ三重积分的计算方法练习1.2. 计算⎰⎰⎰+dv y x )22(,其中Ω是旋转面z y x 222=+与平面z=2,z=8所围成的闭区域。
3.4. 计算⎰⎰⎰Ω+dv z x )(,其中Ω是锥面22y x z +=与球面221y x z --=所围成的闭区域。
为了检测三重积分计算的掌握情况,请同学们按照例题的格式,独立完成以上的练习,答案后续。