江西省九江市高二上学期期中数学试题
- 格式:doc
- 大小:1.42 MB
- 文档页数:19
九江一中—上学期期中考试高二数学(理)试卷满分:150分 考试时间:11月10日第一卷一、选择题(50分,共10题)1.已知数列,11,3,7,5,3,1…21,12则-n 是这个数列的第( )项 A.10 B.11 C.12 D.212. 在△ABC 2sin b A =,则B 等于( )A. 30B. 60C. 60或 120 D 30或150 3. 已知空间四边形ABCD 的对角线为AC 、BD ,设G 是CD 的中点,则AB →+12(BD →+BC →)等于( )A.AG →B.CG →C.BC →D.12BC →4.一个等比数列前11项和为10,前33项和为70,则前22项和为( ) A.30 B.410 C.30或- D.30或410 5.已知,R x ax x p 恒成立对∈∀>++042:2;01031:,2<-+a a q则的是q p ( )条件A 、充分不必要B 、必要不充分C 、充要条件D 、既不充分也不必要 6.已知函数[]4,2,52)(2∈+-=x x x x f ,若存在实数[],4.2∈x 使0)(>-x f m 成立,则的取值范围为( )A.()+∞,5B.()+∞,13C.()+∞,4D.()13,∞-7. 已知ABC ∆ 的一个内角为1并且三边长构成公差为4的等差数列,则ABC ∆的面积为( ) A.30 B.315 C.320 D.3218. 已知整数对排列如下:(1,1),(1,2),(2,1)(1,3),(2,2),(3,1),(1,4),(2,3),(3,2), (4,1),(1,5),(2,4),…,则第60个整数对是( )A.(5,7)B.(4,8)C.(5,8)D.(6,7)9. 已知数列}{n a 、}{n b 都是公差为1的等差数列,其首项分别为1a 、1b ,且511=+b a ,*11,N b a ∈.设n b n a c =(*N n ∈),则数列}{n c 的前10项和等于( )A .55B .70C .85D .100 10. 有如下几个命题:①若命题,:N M x p ⋃∈则;N x M x p ∉∉⌝且是 ②“有一个实数A m m ∉,”是一个特称命题;④若b a ,为正实数,代数式1062222+⎪⎭⎫⎝⎛+-+a b b a a b b a 的值恒非负;⑤函数4sin sin y x x=+(0)x π<<最小值为4; ⑥若1tan tan 0<<B A ,则ABC ∆一定是钝角三角形 . 其中正确命题的个数是( )A .2B .3C .4D .5 二、填空题(25分,共5题)11、不等式0)44)(3222<++--x x x x (的解集是 . 12.ABC ∆中,若C A C B A sin sin sin sin sin 222=+-那么角B =___________13. 已知空间两个单位向量,,n m 且与的夹角为150,则=+m 214. 已知数列{}n a 的首项321=a , ,3,2,1,121=+=+n a a a nn n 则数列{}n a 的通项公式=n a15. 已知各项都是正数的等比数列{}n a 满足:,2567a a a +=若存在两项,,n m a a 使得,41a a a n m =⋅则nm 41+的最小值为九江一中—上学期期中考试高二数学(理)试卷第二卷一、选择题(50分,共10题)二、填空题(25分,共5题)11. 12.13. 14.15.三、解答题(共75分,12+12+12+12+13+14)16、(12分)已知x ,两实数满足y ⎪⎩⎪⎨⎧≤--≥-+≥+-0520402y x y x y x求:(1)y x z 23-=的最大值;(2)2510z 22+-+=y y x 的最小值.17、(12分)已知在△ABC 中,A B >,且A tan 与B tan 是方程0652=+-x x 的两个根.(1)求)tan(B A +的值; (2)若AB 5=,求BC 的长.18.(12分)已知数列{}n a 是等差数列,且21=a , 221211=-+n n a a )6sin 6(cos 22ππ-(1)求数列{}n a 的通项公式;(2)令n a b nn n +⋅=3,求{}n b 的前n 项和n T .19.(12分) 已知不等式2)63(log 22>+-x ax 的解集{}21><x x x 或(1)求a 的值(2)设k 为常数,求kx a k x x f +++=22)( 的最小值13分)在ABC ∆中,内角C B A ,,对边的边长分别是c b a ,,,已知3,2π==C c ,(1)若ABC ∆的面积等于3,求b a ,;(2)若,2sin 2)sin(sin A A B C =-+,求ABC ∆的面积21.(14分) 已知1a =2,点(1,+n n a a )在函数x x x f 2)(2+=的图像上,其中n = ,3,2,1.(1)证明:数列)1{lg(n a +}是等比数列;(2)设)1()1)(1(21n n a a a T +⋅⋅++= ,求n T 及数列{n a }的通项公式; (3)记211++=n n n a a b ,求数列{n b }的前n 项和n S ,并求132-+n n T S 的值九江一中—上学期期中考试 高二数学(理)试卷参考答案一、选择题(50分,共10题)二、填空题(25分,共5题)11.()3,1- 12. 3π 13. 325- 14. 122+n n 15. 23三、解答题(共75分,12+12+12+12+13+14) 第16题:(1)7max =z (2)29min =z第17题:(Ⅰ)由所给条件,方程0652=+-x x 的两根tan 3,tan 2A B ==.∴tan tan tan()1tan tan A B A BA B ++=- 231123+==--⨯(Ⅱ)∵180=++C B A ,∴)(180B A C +-=.由(Ⅰ)知,1)tan(tan =+-=B A C ,∵C 为三角形的内角,∴sin 2C =∵tan 3A =,A 为三角形的内角,∴sin A =由正弦定理得:sin sin AB BCC A =∴2BC ==第18题:(1)n a n 2=(2)233)12(2121+++-=+n n n T n n第19题:(1)1=a2)若,11时当k x ,k -±=≤2)(min =x f,x ,k 时当若01=>kkk x f )1()(min +=第(1)2==b a (2) ,2sin 2)sin(sin A A B C =-+∴,2sin 2)sin()sin(A A B A B =-++得A A A B cos sin 4cos sin 2=A B A sin 2sin 0cos ==∴或 当3320cos ==∆ABC,SA 时 ,2sin 2sin a ,b AB ==时当C ab b a c cos 2222-+=又可得332=∆ABC S (两种情况结果一致,漏一情况扣3分)第21题:1)证明:由已知n n n a a a 221+=+,21)1(1+=+∴+n n a a 11,21>+∴=n a a两边取对数得+=++1lg(2)1lg(1n a )n a ,即2)1lg()1lg(1=+++n n a a)}1{lg(n a +∴是公比为2的等比数列。
江西省九江市高二上学期期中数学试卷姓名:________ 班级:________ 成绩:________一、填空题 (共14题;共15分)1. (1分)若等差数列{an}前n项和Sn=n2+2n+k,则k=________.2. (1分)(2017·兰州模拟) 已知数列{an}、{bn}满足,其中{bn}是等差数列,且a9a2009=4,则b1+b2+b3+…+b2017=________.3. (1分)(2017·扬州模拟) 设等差数列{an}的前n项和为Sn ,若a5=3,S10=40,则nSn的最小值为________.4. (1分) (2018高二上·湖南月考) 在△ABC中,三个角A、B、C所对的边分别为a、b、c.若角A、B、C 成等差数列,且边a、b、c成等比数列,则△ABC的形状为________.5. (1分) (2019高一下·佛山月考) 设数列的前项和为,且满足,则 ________.6. (1分) (2016高一下·高淳期末) 在等差数列{an}中,若a2+a4+a6+a8+a10=80,则的值为________.7. (2分) (2015高一下·湖州期中) 已知数列{an}的前n项和Sn=n2﹣3,则首项a1=________,当n≥2时,an=________.8. (1分)(2013·广东理) 在等差数列{an}中,已知a3+a8=10,则3a5+a7=________.9. (1分) (2018高二下·葫芦岛期中) 某种平面分形图如图所示,一级分形图是由一点出发的三条线段,长度相等,两两夹角为120°;二级分形图是在一级分形图的每条线段末端出发再生成两条长度为原来的线段,且这两条线段与原线段两两夹角为120°,……,依此规律得到n级分形图.则n级分形图中共有________条线段.10. (1分) (2017高二上·南通期中) 在等差数列{an}中,a1=﹣1,a4=8,则公差d=________.11. (1分) (2015高二下·徐州期中) 利用数学归纳法证明“ ”,从n=k推导n=k+1时原等式的左边应增加的项数是________项.12. (1分)数列{an}前n项和为Sn ,其中Sn是首项为5,公比为5的等比数列,则an=________13. (1分)(2017·盐城模拟) 设数列{an}的首项a1=1,且满足a2n+1=2a2n﹣1与a2n=a2n﹣1+1,则S20=________.14. (1分) (2017高一下·盐城期末) 已知数列{an}满足(k∈N*),若a1=1,则S20=________.二、选择题 (共4题;共8分)15. (2分) (2019高二上·沈阳月考) 已知是等差数列的前项和,为数列的公差,且,有下列四个命题:① ;② ;③ ;④数列中的最大项为,其中正确命题的序号是()A . ②③B . ①②C . ③④D . ①④16. (2分)(2018高三上·广东月考) 已知函数,且,则()A .B .C .D .17. (2分)设等比数列{an}的前n项和为Sn ,若a1=1,a4=﹣8,则S5等于()A . -11B . 11C . 331D . -3118. (2分)公差不为0的等差数列中,依次成等比数列,则公比等于()A . 2B . 3C .D .三、解答题 (共5题;共45分)19. (10分) (2017高三上·宿迁期中) 对于给定的正整数k,如果各项均为正数的数列{an}满足:对任意正整数n(n>k),an﹣kan﹣k+1…an﹣1an+1…an+k﹣1an+k=an2k总成立,那么称{an}是“Q(k)数列”.(1)若{an}是各项均为正数的等比数列,判断{an}是否为“Q(2)数列”,并说明理由;(2)若{an}既是“Q(2)数列”,又是“Q(3)数列”,求证:{an}是等比数列.20. (5分) (2015高二下·宁德期中) 已知点列An(xn , 0),n∈N* ,其中x1=0,x2=1.A3是线段A1A2的中点,A4是线段A2A3的中点,…,An+2是线段AnAn+1的中点,…设an=xn+1﹣xn .(Ⅰ)写出xn与xn﹣1、xn﹣2(n≥3)之间的关系式并计算a1 , a2 , a3;(Ⅱ)猜想数列{an}的通项公式,并用数学归纳法加以证明.21. (5分) (2017高二上·临淄期末) 某工厂修建一个长方体无盖蓄水池,其容积为6400立方米,深度为4米.池底每平方米的造价为120元,池壁每平方米的造价为100元.设池底长方形的长为x米.(Ⅰ)求底面积,并用含x的表达式表示池壁面积;(Ⅱ)怎样设计水池能使总造价最低?最低造价是多少?22. (10分) (2020高二上·榆树期末) 在数列中,,;(1)设.证明:数列是等差数列;(2)求数列的前项和。
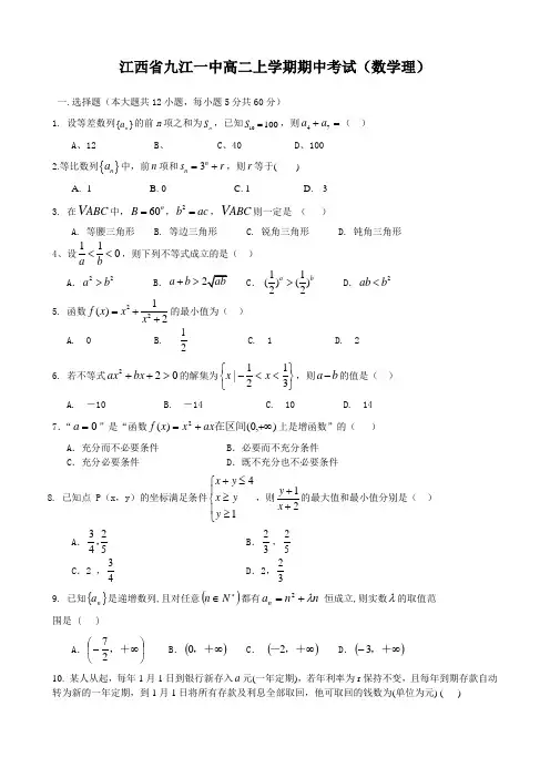
江西省九江一中高二上学期期中考试(数学理)一.选择题(本大题共12小题,每小题5分共60分)1. 设等差数列}{n a 的前n 项之和为n S ,已知10100S =,则47a a +=( )A 、12B 、C 、40D 、1002.等比数列{}n a 中,前n 项和3nn s r =+,则r 等于( )A. -1B. 0C. 1D. 3 3. 在ABC 中,60B =,2b ac =,ABC 则一定是 ( )A. 等腰三角形B. 等边三角形C. 锐角三角形D. 钝角三角形 4、设110a b<<,则下列不等式成立的是( ) A .22a b > B.a b +> C .11()()22a b> D .2ab b <5. 函数221()2f x x x =++的最小值为( ) A. 0 B. 12C. 1D. 26. 若不等式022>++bx ax 的解集为⎭⎬⎫⎩⎨⎧<<-3121|x x ,则a b -的值是( ) A. -10 B. -14 C. 10 D. 14 7.“0=a ”是“函数),0()(2+∞+=在区间ax x x f 上是增函数”的( ) A .充分而不必要条件 B .必要而不充分条件C .充分必要条件D .既不充分也不必要条件8. 已知点 P (x ,y )的坐标满足条件41x y x y y +≤⎧⎪≥⎨⎪≥⎩,则12y x ++的最大值和最小值分别是( )A .3245, B .23,25 C .2 ,34D .2,239. 已知{}n a 是递增数列,且对任意()*∈N n 都有n n anλ+=2恒成立,则实数λ的取值范围是 ( )A .⎪⎭⎫ ⎝⎛∞-,+27B .()∞,+0C . ()∞,+-2D .()∞-,+310. 某人从起,每年1月1日到银行新存入a 元(一年定期),若年利率为r 保持不变,且每年到期存款自动转为新的一年定期,到1月1日将所有存款及利息全部取回,他可取回的钱数为(单位为元) ( )A. 5(1)a r +B.5[(1)(1)]a r r r +-+ C. 6(1)a r + D. 6[(1)(1)]ar r r+-+ 11.二次方程22(1)20x a x a +++-=,有一个根比1大,另一个根比-1小, 则a 的取值范围是 ( )A .-3<a <1B .-2<a <0C .-1<a <0D .0<a <2 12.已知不等式1()()9ax y x y++≥对任意正实数,x y 恒成立,则正实数a 的最小值为( ) A .2 B .4 C .6 D .8二. 填空题(每小题4分,共16分13. 不等式2(1)(5)(1)(3)0x x x x --++>的解集是14. 已知△ABC 的三个内角A 、B 、C 成等差数列,且AB =1,BC =4,则边BC 上的中线AD 的长为 15.在数列{}n a 中,11a =,且对于任意正整数n ,都有12n n a a n +=+,则n a = ________________ 16. 如图,在面积为1的正111A B C ∆内作正222A B C ∆,使12212A A A B =,12212B B B C =,12212C C C A =,依此类推, 在正222A B C ∆内再作正333C B A ∆,……。
九江一中2021-2022学年上学期期中考试高二数学试卷考试范围:必修1、2、4、5,选修2-1. 命题人:李群审题人:高二数学备课组注意事项:1.本试卷分第Ⅰ卷(选择题)和第Ⅱ卷(非选择题)两部分,共150分,答题时间120分钟。
答题前,考生务必将自己的姓名、考生号填写在答题卡上。
2.第Ⅰ卷(选择题)答案必须使用2B 铅笔填涂;第Ⅱ卷(非选择题)必须将答案写在答题卡上,写在本试卷上无效。
3.考试结束后,将答题卡交回,试卷由个人妥善保管.第Ⅰ卷(选择题)一、选择题(共12小题,每题5分)1.设集合{}240A x x =-≤,{}20B x x a =+≤,且{}21A B x x =-≤≤,则a =( )A.4-B.2-C.2D.42.已知()1,a m =,(),4b m =,则“2m =”是“a b ∥”( )条件 A.充分不必要B.必要不充分C.充要D.既不充分也不必要3.已知角α的终边过点()3,4-,则sin 2α的值为( ) A.725B.2425C.725-D.2425-4.双曲线2213y x -=的渐近线方程为( )A.0x ±=0y ±=C.30x y ±=D.30x y ±=5.已知()()8,050x x f x g x x -<⎧=⎨>⎩为奇函数,则()2g 等于( )A.1B.1-C.2-D.24-6.已知x ,y 满足约束条件10240210x y x y x y +-≤⎧⎪-+≥⎨⎪--≤⎩,则z x y =-+的最大值为( )A.1-B.1C.3D.57.在梯形ABCD 中,AD BC ∥,0AB BC ⋅=,2AB =,4BC =,AC 与BD 相交于点E ,0AC BD ⋅=,则AE CD ⋅=( ) A.165-B.163-C.3-D.2-8.已知双曲线()2222:10,0x y E a b a b-=>>,过E 的右焦点F 作其渐近线的垂线,垂足为P ,若OPF △的面ac ,则E 的离心率为( )B.29.已知等差数列{}n a 的公差为3-,前n 项和为n S ,5a ,6a ,7a 为某三角形的三边长,且该三角形有一个内角为120︒,若n m S S ≤对任意的n N +∈恒成立,则实数m =( ) A.5B.6C.7D.810.我国东汉末数学家赵爽在《周髀算经》中利用一副“弦图”给出了勾股定理的证明,后人称其为“赵爽弦图”,它是由四个全等的直角三角形与一个小正方形拼成的一个大正方形,如图所示.在“赵爽弦图”中,若BC a =,BA b =,3BE EF =,则EF =( )A.4355a b + B.3455a b + C.16122525a b + D.1292525a b + 11.如图,已知正方体1111ABCD A B C D -棱长为6,点H 在棱1AA 上,且12HA =,在侧面11BCC B 内作边长为2的正方形1EFGC ,P 是侧面11BCC B 内一动点且点P 到平面11CDD C 距离等于线段PF 的长,则当点P 运动时,2HP 的最小值是( )A.54B.53C.52D.5112.已知数列{}n a 满足112a =,213a =,()1223111n n n a a a a a a n a a n N ++++++=⋅⋅∈,记数列2n n a ⎧⎫⎨⎬⎩⎭的前n项和为n S ,则2021S =( ) A.202120212⋅B.202220212⋅C.202120222⋅D.202220222⋅第Ⅱ卷(非选择题)二、填空题(共4小题,每题5分)13.不等式组()2201014y x y x y +≥--≤⎨⎪-+≤⎪⎩所表示的平面区域的面积为_______.14.若函数()()sin 0f x x x ωωω=>的图像的一条对称轴为3x π=,则ω的最小值为________15.过点()1,1P 作椭圆22124x y +=的一条弦,使此弦被P 点平分,则此弦所在的直线方程为__________. 16.已知函数()()2462f x x a x a =-++-,若集合(){}0A x N f x =∈<中有且只有两个元素,则实数a 的取值范围是______三、解答题(共6小题,请写出详细解答过程)17.已知p :方程22113x y m m +=--表示双曲线;q :关于x 的不等式210x mx -+<有解. 若()p q ∧⌝为真,求m 的取值范围。
九江市一中2020-2021学年高二数学(文)上学期期中考卷第Ⅰ卷(选择题)一.选择题(本大题共12小题,每小题5分,共60分。
)1.已知集合{}{}0,1,2,3,2,3,4,5A B ==,则A B =( ){}.0,1,2,3,4,5A {}.2,3B {}.2,3,4C {}.1,2,3D2.已知等差数列{}n a 的前n 项和为n S ,若515S =,则3a =( ).3A .4B .5C .6D 3.已知0.30.10.10.2,0.2,2a b c ===,则下列大小关系正确的是( ).Aa b c >> .B c b a >> .C b a c >> .Db c a >>4.已知实数,x y 满足约束条件202201x y x y x -+≥⎧⎪++≥⎨⎪≤⎩,则2z x y =+的最大值是( ).7A .6B .5C .4D5.已知在三角形ABC 中,角,,A B C 的对边分别为,,a b c ,且75,60c A B ==︒=︒,则b =( ).A .4BC .3D 6.已知R θ∈,且满足sin sin()13πθ+θ+=,则sin()6πθ+=( ) 1.2A2B 2.3CD 7.已知数列为各项均不相等的等比数列,其前n 项和为,且,,成等差数列,则( ) .3A 13.9B .1C 13.27D8.已知函数()f x 是定义在R 上的奇函数,且满足(2)()f x f x +=,当[0,1]x ∈时,2()f x x =,则()1582f f ⎛⎫+= ⎪⎝⎭( ) 1.4A - 1.4B 1.2C - .1D -9.已知正方体1111ABCD A B C D -的棱长为4,M 为棱1AA 上一点,满足1MA =,N 为棱1DD 上一点,满足3ND =,P 为棱1CC 中点,则平面MNP 截正方体表面的截面图形是( ).A 三角形 .B 四边形 .C 五边形 .D 六边形10.如图,半径为R 的球O 中有一内接圆柱,当圆柱的侧面积最大时,球的体积与该圆柱的体积之比是( ) .A 2π .B 42 .C 2 D.23 11.已知函数()sin()f x x =ω+ϕ(0,||)2πω>ϕ<的部分图像如图所示,如果122,(,)63x x π∈π,且12()()f x f x =,则12()f x x +=( ) 1.2A 1.2B - 3.2C - 3.D 12.已知边长为2的等边三角形ABC ,D 是平面ABC 内一点,且满足:2:1DB DC =,则三角形ABD 面积的最大值是( )234.33A + .3B 434.33C + 43.D第Ⅱ卷(非选择题) 二.填空题(本大题共4小题每小题5分,共20分。
2019—2020学年第一学期高二期中考试数学试题(满分150分,考试用时120分钟)一、选择题(本大题共12小题,每小题5分,共60分。
1-11题是单选题,第12题是多选题) 1.已知在△ABC中,c=6,a=4,B=120°,则b等于().A. 76B.2.下列结论正确的是()A. 若ac>bc,则a>bB. 若a8>b8,则a>bC. 若a>b,c<0,则ac<bcD.a>b3.等差数列{a n}的前n项和为S n,若a2+a7+a12=30,则S13的值是()A. 130B. 65C. 70D. 754.若数列{a n}的前n项和S n=2n2-3n(n∈N*),则a4等于().A. 11B. 15C. 17D. 205.若△ABC的三个内角满足sin A∶sin B∶sin C=5∶11∶13, 则△ABC ().A. 一定是锐角三角形B. 一定是直角三角形C. 一定是钝角三角形D. 可能是锐角三角形,也可能是钝角三角形6.设△ABC的内角A,B,C所对的边分别为a,b,c,若a,b,c成等比数列,且c=2a,则cos B等于() A7.若在△ABC中,a=4,b=A=30°,则角B的度数等于()A.30°B.30°或150°C.60°D.60°或120°8.设数列{a n}满足a1=1,且a n+1-a n=n+1(n∈N*),则数A9.已知锐角△ABC 的内角A ,B ,C 的对边分别为a ,b ,c ,若23cos 2A+cos 2A=0,a=7,c=6,则b 等于()A.10B.9C.8D.510.已知数列{a n }前n 项和为S n =1-5+9-13+17-21+…+(-1)n -1(4n -3),则S 15+S 22-S 31的值是 ( )A .13B .-76C .46D .7611.已知△ABC 的重心为G ,角A 、B 、C 所对的边分别为c a b 、、,若2GA+3GB+3GC=0a b c u u u r u u u r r u u u v,则sinA :sinB :sinC= ( )A.1:1:1B.3:23:2C.3:2:1D.3:1:212.(多选题)在数列{}n a 中,若221n n a a p --=,(2,n n *≥∈N ,p 为常数),则称{}n a 为“等方差数列”.下列对“等方差数列”的判断正确的是( ): A .若{}n a 是等差数列,则{}2n a 是等方差数列; B .{}(1)n-是等方差数列;C .若{}n a 是等方差数列,则{}kn a (k *∈N ,k 为常数)也是等方差数列;D .若{}n a 既是等方差数列,又是等差数列,则该数列为常数列. 二、填空题(本大题共4小题,每小题5分,共20分.)13.某住宅小区计划植树不少于100棵,若第一天植2棵,以后每天植树的棵数是前一天的2倍,则需要的最少天数n (n ∈N *)等于 .14.已知数列{a n }的前n 项和S n =n 2+2n-1,则a 1+a 3+a 5+…+a 25= .15.已知三角形的三边构成等比数列,若它们的公比为q ,则q 的取值范围是 . 16.如果a >b ,给出下列不等式:①1a <1b ;②a 3>b 3;③a 2>b 2;④2ac 2>2bc 2;⑤ab >1;⑥a 2+b 2+1>ab +a +b . 其中一定成立的不等式的序号是________.三、解答题(本大题共6小题,共70分.解答时应写出文字说明、证明过程或演算步骤) 17.(满分10分)已知a>0,b>0,且a ≠b ,比a+b 的大小.18.(满分12分)设等差数列{a n }满足a 3=3,a 7= -13. (1)求{a n }的通项公式 ;(2)求{a n }的前n 项和S n 及S n 的最大值.19.(满分12分) 在海岸A 处,发现北偏东45°方向,距A 处(3-1) n mile 的B 处有一艘走私船,在A 处北偏西75°的方向,距离A 处2 n mile 的C 处的缉私船奉命以10 3 n mile/h 的速度追截走私船.此时,走私船正以10 n mile/h 的速度从B 处向北偏东30°方向逃窜,问缉私船沿什么方向能最快追上走私船?20.(满分12分) 在△ABC 中,角A ,B ,C 所对的边分别为,,a b c ,且满足cos 2C -cos 2A =2sin ⎝⎛⎭⎫π3+C ·sin ⎝⎛⎭⎫π3-C .(1)求角A 的值;(2)若=3a 且b a ≥,求2b -c 的取值范围.21.(满分12分) 已知数列{}n a 的前n 项和为n S ,11a =,141n n S a +=+,设12n n n b a a +=-. (1)证明数列{}n b 是等比数列; (2)数列{}n c 满足21log 3n n c b =+*()n ∈N ,设1223341n n n T c c c c c c c c +=++++L , 求20T .22. (满分12分)已知数列{a n }满足11()n n n a na n N ++=+∈(-1)(1)证明数列{a n }是等差数列; (2)若20a =,求数n 项和.数学参考答案一、选择题:本题共12小题,每小题5分,共60分.二、填空题:本题共4小题,每小题5分,共20分. 13.6 14.350 15.16. ②⑥10.解析 ∵Sn =1-5+9-13+17-21+…+(-1)n -1(4n -3), ∴S 14=7×(1-5)=-28,a 15=60-3=57, S 22=11×(1-5)=-44,S 30=15×(1-5)=-60,a 31=124-3=121, ∴S 15=S 14+a 15=29,S 31=S 30+a 31=61. ∴S 15+S 22-S 31=29-44-61=-76.故选B .11.解析:因为G 是△ABC 的重心,则0GA GB GC ++=u u u r u u u r u u u r r ,又2aGA+3bGB+3cGC=0u u u r u u u r r u u u v,则2aGA+3bGB - 3c(GA+)=0GB u u u r u u u r u u u r r u u u v ,也就是(2a-3c)GA+(3b-3c)GB=0u u u r r u u u v,可得2a 30330c b c -=⎧⎪⎨-=⎪⎩,所以:b :c 3:23:2a =,由正弦定理,得sin A :sinB:sinC 3:23:2=。
2020-2021学年江西省九江市五校高二上学期期中数学试卷(文科)一、单选题(本大题共12小题,共60.0分)1.直线为参数)的倾斜角为()A. 20°B. 70°C. 110°D. 160°2.今年我市有近35000名考生参加中考,为了解这些考生的数学成绩,从中抽取1000名考生的数学成绩进行统计分析,以下说法正确的是( )A. 每位考生的数学成绩是个体B. 近35000名考生是总体C. 这1000名考生是总体的一个样本D. 1000名考生是样本容量3.为确保信息安全,信息需加密传输,发送方由明文→密文(加密),接收方由密文→明文(解密),已知加密规则由如图所示的程序框图给出,例如,明文1,2,3,4对应的密文为7,17,25,24.当接收方收到的密文为22,20,41,48时,解密得到的明文为()A. 4,6,9,8B. 3,4,5,8C. 4,5,3,8D. 6,9,4,84.某工厂进行节能降耗技术改造,在四个月的过程中,其煤炭消耗量(单位:吨)的情况如表:技术改造的月份x1234煤炭消耗量y 4.543 2.5显然煤炭消耗量y与技术改造的月份x之间有较好的线性相关关系,则其线性回归方程为()A. ŷ=0.7x+5.25B. ŷ=−0.6x+5.25C. ŷ=−0.7x+6.25D. ŷ=−0.7x+5.255. 过两点(−2,0),(0,1)的直线方程为()A. x−2y+2=0B. x−2y+1=0C. 2x+y=0D. 2x+y−1=06. 一个几何体的三视图如图所示,则该几何体两两垂直的平面共有()A. 3对B. 4对C. 5对D. 6对7. 直线3x−4y+6=0与圆(x−2)2+(y−3)2=4的位置关系是()A. 相切B. 相离C. 直线过圆心D. 相交但不过圆心8. 下列命题中,是假命题的是()A. 已知非零向量a⃗,b⃗ ,若|a⃗+b⃗ |=|a⃗−b⃗ |,则a⃗⊥b⃗B. 若p:∀x∈(0,+∞),x−1>lnx,则p的否定为:∃x0∈(0,+∞),x0−1≤lnx0C. 在△ABC中,“sinA+cosA=sinB+cosB”是“A=B”的充要条件D. 若定义在R上的函数y=f(x)是奇函数,则y=f(f(x))也是奇函数9. 给出下面四个命题(其中m,n,l为空间中不同的三条直线,α,β为空间中不同的两个平面):①m//n,n//α⇒m//α②α⊥β,α∩β=m,l⊥m⇒l⊥β;③l⊥m,l⊥n,m⊂α,n⊂α⇒l⊥α④m∩n=A,m//α,m//β,n//α,n//β⇒α//β.其中错误的命题个数为()A. 1个B. 2个C. 3个D. 4个10. 在平面直角坐标系中,A,B分别是x轴和y轴上的动点,若直线3x+4y−5=0恰好与以AB为直径的圆C相切,则圆C面积的最小值为()A. 14π B. 12π C. 34π D. π11. 一个红色的棱长是3cm的正方体,将其适当分割成棱长为1cm的小正方体,则三面涂色的小正方体有()A. 6个B. 8个C. 16个D. 27个12. 圆与直线没有公共点的充分不必要条件是()A. B.C. D.二、单空题(本大题共4小题,共20.0分)13. 如果直线与直线垂直,那么实数.14. 某初中校共有学生1200名,各年级男、女生人数如右表,已知在全校学生中随机抽取l名,抽到八年级女生的概率是0.18,现用分层抽样的方法在全校抽取200名学生,则在九年级应抽取______名学生.七年级八年级九年级女生204a b男生198222c15.设为两条直线,为两个平面,给出下列命题:①若②若③若④若其中真命题是.(写出所有真命题的序号)16.三、解答题(本大题共6小题,共70.0分)17. 某校从高一年级学生中随机抽取40名学生,将他们的期中考试数学成绩(满分100分,成绩均为不低于40分的整数)分成六段:[40,50),[50,60),…,[90,100],得到如图所示的频率分布直方图.(1)求图中实数a的值;(2)若该校高一年级共有学生640人,试估计该校高一年级期中考试数学成绩不低于60分的人数;(3)若从数学成绩在[40,50)与[90,100]两个分数段内的学生中随机选取2名学生,求这2名学生的数学成绩之差的绝对值不大于10的概率.18. 已知直线l1:x+y−3=0和l2:5x+2y−12=0的交点为A(1)若直线l3:(a2−6)x+ay−1=0与l1平行,求实数a的值;(2)求经过点A,且在两坐标轴上截距相等的直线l的方程.19. 已知以点C(t∈R,t≠0)为圆心的圆与x轴交于点O,A,与y轴交于点O,B,其中O为原点.(1)求证:△AOB的面积为定值;(2)设直线2x+y−4=0与圆C交于点M,N,若|OM|=|ON|,求圆C的方程;(3)在(2)的条件下,设P,Q分别是直线l:x+y+2=0和圆C上的动点,求|PB|+|PQ|的最小值及此时点P的坐标.20. 如图所示,长方体ABCD−A1B1C1D1中,AB=BC=1,AA1=2,E是侧棱BB1的中点.过点A1,D1,E的平面α与此长方体的面相交,交线围成一个四边形.(Ⅰ)请在图中作出此四边形(简要说明画法);(Ⅱ)证明AE⊥平面α.21. 如图,在四棱锥P−ABCD中,PA丄平面ABCD,AB丄BC,∠BCA=45°,PA=AD=2,AC=1,DC=√5(Ⅰ)证明PC丄AD;(Ⅱ)求二面角A−PC−D的正弦值;(Ⅲ)设E为棱PA上的点,满足异面直线BE与CD所成的角为30°,求AE的长.22. 在平面直角坐标系xOy中,已知直角△ABC的直角顶点为A,且B(−5,2),C(5,2),记直角顶点A的轨迹为M.(Ⅰ)求直角顶点A的轨迹M的方程;(Ⅱ)若过点N(−3,1)的直线l与轨迹M交于P.Q两点,且|PQ|=8,求直线l的方程.。
江西省九江市高二上学期期中数学试卷(理科)姓名:________ 班级:________ 成绩:________一、选择题: (共12题;共24分)1. (2分) (2017高一下·河北期末) 在空间直角坐标系中,点A(1,﹣2,3)与点B(﹣1,﹣2,﹣3)关于()对称.A . x轴B . y轴C . z轴D . 原点2. (2分)已知△ABC的顶点A(2,3),且三条中线交于点G(4,1),则BC边上的中点坐标为()A . (5,0)B . (6,﹣1)C . (5,﹣3)D . (6,﹣3)3. (2分)若曲线C1:x2+y2﹣2x=0与曲线C2:y(y﹣mx﹣m)=0有四个不同的交点,则实数m的取值范围是()A . (﹣,)B . (﹣, 0)∪(0,)C . [﹣,]D . (﹣∞,﹣)∪(,+∞)4. (2分) (2016高二上·平阳期中) 若圆(x﹣3)2+(y+5)2=r2上有且只有两个点到直线4x﹣3y=17的距离等于1,则半径r的取值范围是()A . (0,2)B . (1,2)C . (1,3)D . (2,3)5. (2分) (2017高一下·双鸭山期末) 若一个三角形,采用斜二测画法作出其直观图,则其直观图的面积是原三角形面积的()A .B .C .D .6. (2分)给定下列四个命题:①若一个平面内的两条直线与另一个平面都平行,那么这两个平面相互平行;②若一个平面经过另一个平面的垂线,那么这两个平面相互垂直;③垂直于同一直线的两条直线相互平行;④若两个平面垂直,那么一个平面内与它们的交线不垂直的直线与另一个平面也不垂直.其中,为真命题的是()A . ①和②B . ②和③C . ③和④D . ②和④7. (2分)下列命题中正确的是()A . 如果平面α⊥平面β,那么平面α内一定不存在直线平行于平面βB . 平面α⊥平面β,且α∩β=l,若在平面α内过任一点P做L的垂线m,那么m⊥平面βC . 如果平面α⊥平面γ,平面β⊥平面γ,那么平面α∥平面βD . 如果直线l∥平面α,那么直线l平行于平面α内的任意一条直线8. (2分)(2020·长春模拟) 在正方体中,点E,F,G分别为棱,,的中点,给出下列命题:① ;② ;③ 平面;④ 和成角为 .正确命题的个数是()A . 0B . 1C . 2D . 39. (2分)如图所示,PA垂直于圆O所在平面,AB是圆O的直径,C是圆O上一点,点A在PB,PC上的射影分别为E,F,则以下结论错误的是()A . PB⊥AFB . PB⊥EFC . AF⊥BCD . AE⊥BC10. (2分)(2017·怀化模拟) 已知一三棱柱ABC﹣A1B1C1各棱长相等,B1在底面ABC上的射影是AC的中点,则异面直线AA1与BC所成角的余弦值为()A .B .C .D .11. (2分) (2017高二上·大庆期末) 已知高为5的四棱锥的俯视图是如图所示的矩形,则该四棱锥的体积为()A . 24B . 80C . 64D . 24012. (2分)一个几何体的三视图如下图所示,其中俯视图与左视图均为半径是2的圆,则这个几何体的体积是()A .B .C .D .二、填空题 (共4题;共5分)13. (2分) (2017高二上·绍兴期末) 已知平行直线l1:2x+y﹣1=0,l2:2x+y+1=0,则l1 , l2的距离________;点(0,2)到直线l1的距离________.14. (1分)(2017·河西模拟) 用一块矩形铁皮作圆台形铁桶的侧面,要求铁桶的上底半径是24cm,下底半径是16cm,母线长为48cm,则矩形铁皮长边的最小值是________.15. (1分)祖暅原理:两个等高的几何体,若在所有等高处的水平截面的面积相等,则这两个几何体的体积相等.利用祖暅原理可以求旋转体的体积.比如:设半圆方程为,半圆与轴正半轴交于点,作直线,交于点,连接(为原点),利用祖暅原理可得:半圆绕轴旋转所得半球的体积与绕轴旋转一周形成的几何体的体积相等.类比这个方法,可得半椭圆绕轴旋转一周形成的几何体的体积是________.16. (1分) (2019高二上·桂林期末) 已知点A(0,-1),B(0,1),以点P(m,4)为圆心,|PB|为半径作圆Γ,圆Γ在B处的切线为直线l,过点A作圆Γ的一条切线与l交于点M,则|MA|+|MB|=________.三、解答题 (共6题;共75分)17. (10分) (2019高二上·四川期中) 已知圆外有一点,过点作直线 .(1)当直线与圆相切时,求直线的方程;(2)当直线的倾斜角为时,求直线被圆所截得的弦长.18. (10分) (2015高一上·衡阳期末) 如图,在三棱锥V﹣ABC中,平面VA B⊥平面 ABC,AC=BC,O,M分别为A B,VA的中点.(1)求证:VB∥平面 M OC;(2)求证:平面MOC⊥平面VAB.19. (10分) (2019高一下·钦州期末) 已知圆C的半径是2,圆心为 .(1)求圆C的方程;(2)若点P是圆C上的动点,点Q在x轴上,的最大值等于7,求点Q的坐标.20. (15分) (2016高一下·漳州期末) 如图,平面ABCD⊥平面ADEF,四边形ABCD为菱形,四边形ADEF为矩形,M、N分别是EF、BC的中点,AB=2AF=2,∠CBA=60°.(1)求证:AN⊥DM;(2)求直线MN与平面ADEF所成的角的正切值;(3)求三棱锥D﹣MAN的体积.22. (15分) (2015高二上·安庆期末) 在边长是2的正方体ABCD﹣A1B1C1D1中,E,F分别为AB,A1C的中点.应用空间向量方法求解下列问题.(1)求EF的长(2)证明:EF∥平面AA1D1D;(3)证明:EF⊥平面A1CD.参考答案一、选择题: (共12题;共24分)1-1、2-1、3-1、4-1、5-1、6-1、7-1、8-1、9-1、10-1、11-1、12-1、二、填空题 (共4题;共5分)13-1、14-1、15-1、16-1、三、解答题 (共6题;共75分) 17-1、17-2、18-1、18-2、19-1、19-2、20-1、20-2、20-3、22-1、22-2、22-3、。
江西省九江市高二上学期期中考试数学(理)试题Word版含答案高二数学试卷命题人:张思意注意事项:1. 本试卷分第I卷(选择题)和第II卷(非选择题)两部分,共150分,答题时间120分钟。
答题前,考生务必将自己的姓名、考生号填写在答题卡上。
2. 第I卷(选择题)答案必须使用2B铅笔填涂;第II卷(非选择题)必须将答案卸载答题卡上,写在本试卷上无效。
3. 考试结束,将答题卡交回,试卷由个人妥善保管。
第I卷一、选择题:本题共12小题,每小题5分,在每小题给出的四个选项中,只有一项是符合题目要求的.(1)若命题“p或q”为真,“非p”为真,则()A. p真q真B.p假q真C. p真q假D.p假q假(2)已知aR,则“a 2 ”是“ a2 2a ”的()A.充分非必条件B. 必要不充分条件C.充要条件D. 既非充分也非必要条件(3)两条平行直线3x4y3 0 和6x 8y 5 0之间的距离是()八11B 8C .154A.. D10575(4)下列命题中正确的是()A.若,贝U sin sin ;B. 命题:“任意x 1,都有x2 1 ”的否定是“存在x 1,使得x21”;C. 直线ax y 2 0与ax y 4 0垂直的充要条件为a 1 ;D. “若xy 0,则x 0或y 0 ”的逆否命题为“若x 0或y 0 ,则xy 0(5)已知等差数列 3n 中,32 a 4 16.641.y x T7(x 1)(9)已知一9, 31, 32,— 1四个实数成等差数列,一9, 数列,贝V b 2(a 2— 31)=()9 A. 8B.—8 C.± 8 D8(10)已知3 0,b 0,若不等式m3 1- 0恒成立,则 m 的最大值为33 b 3 b A. 4B.16C9.3(11 )已知关于x 的不等式 ax 2 bx c > 0的解集为 x 1 v x v 2,那么不等式3(x 2 1) b(x 1) c > 23X 的解集为()A. x0 v x v 3 B. xx v 0,或 x > 3C.x 2 v x v 1 Dx x v 2,或 x > 1(12)若 S n cos —82 cos 8n cos8(nN ), 则在S 1, S 2,, S 2015中,正数的个数是( )A. 15 .30 .31 (6)若m,n 是两条不同的直线, ,是三个不同的平面,则下列为真命题的是 (A.若m,则B .若 I m,m//n ,则 //C.若 m ,m// ,则D.若,则(7)下列函数的最小值是2的为人1A. y x —x.y sin x1 兀,x (0,2)(8)设等比数列a n 中,前n 项和为S n ,已知S 38, S 6 7,则37 38 39(A. 18B.C.57 8D.55 8b-i , b 2, d,— 1五个实数成等比A. 882B.756 C . 750D.378第II卷:■、填空题:本题共4小题,每小题5分.uv v r r 2(13) 已知m,n为单位向量,其夹角为60。
江西省九江市高二上学期数学期中考试试卷姓名:________ 班级:________ 成绩:________一、单选题 (共10题;共20分)1. (2分)已知点B是点A(3,4,-2)在xOy平面上的射影,则等于()A . (3,4,0)B .C . 5D .2. (2分)不等式表示的平面区域(用阴影表示)是()A .B .C .D .3. (2分)设m、r是两条不同的直线,α、β为两个不同的平面,则下列四个命题中不正确的是()A . m⊥α,n⊥β且α⊥β,则m⊥nB . m∥α,n⊥β且α⊥β,则m∥nC . m⊥α,n∥β且α∥β,则m⊥nD . m⊥α,n⊥β且α∥β,则m∥n4. (2分) (2018高二上·南宁月考) 设,满足约束条件,则的最大值为()A .B . 5C . 8D . 285. (2分) (2017高一下·安平期末) 过点(1,0)且与直线y= x﹣1平行的直线方程是()A . x﹣2y﹣1=0B . x﹣2y+1=0C . 2x+y﹣2=0D . x+2y﹣1=06. (2分) (2015高二上·西宁期末) 如图,在三棱锥S﹣ABC中,E为棱SC的中点,若AC=2 ,SA=SB=AB=BC=SC=2,则异面直线AC与BE所成的角为()A . 30°B . 45°C . 60°D . 90°7. (2分)已知函数,且,则当时,的取值范围是()A .B .C .D .8. (2分) (2019高三上·长春月考) 已知函数()的零点在区间内,则实数的取值范围是()A .B .C .D .9. (2分) (2016高二上·襄阳开学考) 若直线 l1和l2 是异面直线,l1在平面α内,l2在平面β内,l 是平面α与平面β的交线,则下列命题正确的是()A . l与l1 , l2都不相交B . l与l1 , l2都相交C . l至多与l1 , l2中的一条相交D . l至少与l1 , l2中的一条相交10. (2分)如果直线l将圆x2+y2-2x-4y=0平分且不通过第四象限,则l的斜率的取值范围是()A . [0,2]B . [0,1]C .D .二、填空题 (共7题;共7分)11. (1分) (2017高二上·嘉兴月考) 直线的倾斜角为________.12. (1分)(2018·银川模拟) 已知 ,方程表示圆,则圆心坐标是________13. (1分) (2017高二上·苏州月考) 如图,在斜三棱柱ABC-A1B1C1中,∠BAC=90°,BC1⊥AC,则C1在底面ABC上的射影H必在直线________上.14. (1分)过点M(1,2)的直线l与圆C:(x﹣3)2+(y﹣4)2=25交于A,B两点,则|AB|的最小值是________.15. (1分) (2016高一下·钦州期末) 设变量x,y满足约束条件则z=3x﹣2y的最大值为________.16. (1分) (2017高一上·宜昌期末) 设扇形的半径长为2,圆心角为,则扇形的面积是________.17. (1分) (2018高二上·万州月考) 有四根长都为2的直铁条,若再选两根长都为的直铁条,使这六根直铁条端点处相连能够焊接处一个三棱锥形的铁架,则的取值范围是________.三、解答题 (共5题;共50分)18. (10分) (2019高二上·辽宁月考) 已知直线经过直线与直线的交点(1)若直线平行于直线,求直线的方程;(2)若直线垂直于直线,求直线的方程.19. (10分)如图所示,四棱锥P﹣ABCD的底面为一直角梯形,BC⊥CD,CD⊥AD,AD=2BC,PC⊥底面ABCD,E为PA的中点.(1)证明:EB∥平面PCD;(2)若PC=CD,证明:BE⊥平面PDA.20. (10分) (2018高二上·东至期末) 已知以点为圆心的圆与直线相切,过点的直线与圆相交于两点,是的中点, .(1)求圆的标准方程;(2)求直线的方程.21. (15分) (2018高二上·凌源期末) 如下图,在三棱锥中,,,为的中点.(1)求证:;(2)设平面平面,,,求二面角的正弦值.22. (5分) (2016高一下·烟台期中) 已知直线l:(k﹣1)x﹣2y+5﹣3k=0(k∈R)恒过定点P,圆C经过点A(4,0)和点P,且圆心在直线x﹣2y+1=0上.(1)求定点P的坐标;(2)求圆C的方程;(3)已知点P为圆C直径的一个端点,若另一个端点为点Q,问:在y轴上是否存在一点M(0,m),使得△PMQ 为直角三角形,若存在,求出m的值,若不存在,请说明理由.参考答案一、单选题 (共10题;共20分)1-1、2-1、3-1、4-1、答案:略5-1、6-1、7-1、8-1、9-1、10-1、二、填空题 (共7题;共7分)11-1、12-1、13-1、14-1、15-1、16-1、17-1、三、解答题 (共5题;共50分) 18-1、答案:略18-2、答案:略19-1、答案:略19-2、答案:略20-1、答案:略20-2、答案:略21-1、答案:略21-2、答案:略22-1、22-2、答案:略22-3、答案:略。
江西省九江市2017-2018学年高二数学上学期期中试题 理(无答案)第Ⅰ卷(选择题60分)一、选择题(本大题共12个小题,每小题5分,共60分,在每小题给出的四个选项中,只有一项是符合题目要求的) 1.已知{}n a 是等比数列,21,441==a a ,则公比q 的值为 A.21- B.2- C.2 D.212.若0<<b a ,则A . ab a >2B . ba 11< C . 1<b a D .b a -<-3.已知等差数列{}n a 中,π4962=+a a ,那么=+)cos(53a a A . 1- B . 22- C . 0 D .224.在四面体ABCD 中, ,E G 分别是,CD BE 的中点,若AG x AB y AD z AC =++,则实数x y z ++= A. 13 B. 12C. 1D. 25.已知实数y x ,满足约束条件⎪⎩⎪⎨⎧≤-+≤≥,092,,0y x x y y 则y x z 2+=的最大值等于A .6B .9C .12D .156.已知0,0a b >>,如果不等式ba mb a +≥+221恒成立,那么实数m 的最大值等于A .10B . 9C .8D .77.以下判断正确的是A.命题“()00,2x ∃∈,使得0sin 1x =”为假命题B. 命题“2000,10x R x x ∃∈+-<”的否定是“2,10x R x x ∀∈+->”C. “()2k k Z πϕπ=+∈”是“函数()()sin f x x ωϕ=+是偶函数”的充要条件D. “若22a b =,则a b a b ==-或”的逆否命题是“若a b a b ≠≠-或,则22a b ≠” 8.已知锐角三角形的边长分别为x ,,32,则边长x 的取值范围是 A .51<<x B .135<<x C .513<<x D .51<<x9.已知命题p : x R ∀∈, 23x x <,命题q : 0x R +∃∈, 20012x x ->,则下列命题中真命题是A. p q ∧B. ()p q ∨⌝C. ()()p q ⌝∧⌝D. ()p q ⌝∧10.实系数一元二次方程220x ax b ++=的一个根在()0,1上,另一个根在()1,2上,则14--+a b a 的取值范围是A.⎥⎦⎤⎢⎣⎡2523, B.),(2523 C. []42, D.),(42 11.已知数列{}n a ,{}n b ,{}n c 满足:11223n n a b a b a b a b ++++=1(1)22()n n n N +*-⋅+∈, 若{}n b 是首项为2,公比为2的等比数列,1)31(--=n n c ,则数列⎭⎬⎫⎩⎨⎧n n c a 的前n 项的和是 A. 141)(316n n -(+-) B. 1341)16n n +(+ C. 163)(23(1nn )-+- D. 16)23(31++n n12.函数3l o g y x =的图象与直线1:l y m =从左至右分别交于点,A B ,与直线28:(0)21l y m m =>+从左至右分别交于点,C D .记线段AC 和BD 在x 轴上的投影长度分别为,a b ,则ba 的最小值为A. D.第II 卷(选择题90分)二、填空题(本题共4个小题,每小题5分,共20分,请把正确答案填在题中横线上)13.已知空间向量)5,2,1(-=a与),6,3(m b -= 互相垂直,则实数=m ________.14..不等式01)1>+-x xx (的解集为_______.15.设0,0>>b a ,且b 3是a -1和a +1的等比中项,则b a 3+的最大值为_______.16.如图,在长方体1111ABCD A B C D -中, 1AB =, BC =,点M 在棱1CC 上,且1MD MA ⊥,则当1MAD ∆的面积最小时,棱1CC 的长为_______.三、解答题(本大题共6小题,共70分,解答写出必要的文字说明、演算过程及步骤) 17.(本题满分10分)解关于x 的不等式2(2)20x a x a +--≥)R a ∈(.18.(本题满分12分)已知数列{}n a 是公差为2的等差数列,且1371,1,1a a a +++成等比数列. (1)求{}n a 的通项公式; (2)令)(14*2N n a b n n ∈-=,记数列{}n b 的前项和为n T ,求证:1<n T .19(本题满分12分)已知命题()()2:7100,:110p x x q x a x a -+≤--+-≤(其中0a >).(1)若2a =,命题“p 且q ”为真,求实数x 的取值范围; (2)已知p 是q 的充分条件,求实数a 的取值范围.20. (本题满分12分)已知ABC ∆的内角C B A ,,的对边分别为a 、b 、c ,2sin cos a A a C =-. (1)求角C ;(2)若边c =ABC ∆的面积S 的最大值.21. (本题满分12分) 已知数列}{n a ,圆122:1221=-+-++y a x a y x C n n )(*N n ∈和圆0222:222=-+++y x y x C ,若圆1C 与圆2C 交于B A ,两点且这两点平分圆2C 的周长.(1)求证:数列}{n a 为等差数列;(2)若31-=a ,则当圆1C 的半径最小时,求出圆1C 的方程.22.(本题满分12分)一个数列中的数均为奇数时,称之为“奇数数列”. 我们给定以下法则来构造一个奇数数列{}n a ,对于任意正整数n , ⎪⎩⎪⎨⎧=为偶数为奇数,n a n n a n n ,,2.(1)可以发现:该数列中的每一个奇数都会重复出现.求第6个5是该数列的第几项; (2)求该数列的前n2项的和n T .。
江西省九江市2020版数学高二上学期理数期中考试试卷(I)卷姓名:________ 班级:________ 成绩:________一、单选题 (共12题;共24分)1. (2分)设的一个顶点是的平分线所在直线方程分别为则直线的方程为()A .B .C .D .2. (2分)(2017·重庆模拟) 已知圆C1:(x+1)2+(y﹣1)2=4,圆C2与圆C1关于直线x﹣y﹣1=0对称,则圆C2的方程为()A . (x+2)2+(y﹣2)2=4B . (x﹣2)2+(y+2)2=4C . (x+2)2+(y+2)2=4D . (x﹣2)2+(y﹣2)2=43. (2分) (2018高一上·大连期末) 倾斜角为,在y轴上的截距为-1的直线方程是()A .B .C .D .4. (2分)已知m≠0,直线ax+3my+2a=0在y轴上的截距为2,则直线的斜率为()A . 1B . -C . -D . 25. (2分)设变量x,y满足约束条件,则目标函数的最小值为()A . 6B . 7C . 8D . 236. (2分)已知空间中两点,,则a=()A . 1或2B . 1或4C . 0或2D . 2或47. (2分) (2018高二下·黑龙江期中) 如图所示的程序框图,若输出的是,则①处应填()A .B .C .D .8. (2分)(2018·重庆模拟) 设,则的最小值为()A . 3B . 4C . 9D . 169. (2分) (2019高二下·临川月考) 对任意非零实数已知,若的运算原理如图所示,那么()A .B .C .D .10. (2分) (2018高一下·虎林期末) 已知直线经过点A(0,4)和点B(1,2),则直线AB的斜率为()A . 3B . -2C . 2D . 不存在11. (2分)已知直线x+y=a与圆x2+y2=4交于A、B两点,且|+|=|-|,其中O为原点,则实数a的值为()A . 2B . -2C . 2或﹣2D . 或﹣12. (2分) (2017高一下·河北期末) 已知正项数列{an}的前n项和为Sn ,且 = ,a1=m,现有如下说法:①a2=5;②当n为奇数时,an=3n+m﹣3;③a2+a4+…+a2n=3n2+2n.则上述说法正确的个数为()A . 0个B . 1个C . 2个D . 3个二、填空题 (共4题;共4分)13. (1分) (2019高二上·山西月考) 在空间直角坐标系中,点关于轴的对称点的坐标为________.14. (1分) (2016高二上·江北期中) 已知点P(x,y)在圆x2+y2=1上运动,则的最大值为________.15. (1分) (2018高一下·长阳期末) 设变量满足约束条件,则目标函数的取值范围是________ .16. (1分) (2019高一上·宾县月考) 已知函数,,若对任意的,都有成立,则实数的取值范围为________.三、解答题 (共6题;共55分)17. (10分)如图,直线l2的倾斜角α2=120°,直线l1的倾斜角为α1 ,直线l1⊥l2 ,求直线l1的斜率.18. (10分) (2017高一下·石家庄期末) 已知△ABC的顶点A(2,4),∠ABC的角平分线BM所在的直线方程为y=0,AC边上的高BH所在的直线方程为2x+3y+12=0.(1)求AC所在的直线方程;(2)求顶点C的坐标.19. (5分)一工厂生产甲、乙两种产品,生产每种产品的资源需求如表品种电力/kW•h煤/t工人/人甲235乙852该厂有工人200人,每天只能保证160kW•h的用电额度,每天用煤不得超过150t,请在直角坐标系中画出每天甲、乙两种产品允许的产量的范围.20. (10分)在平面直角坐标系中,已知两定点和,点M是平面内的动点,且.(Ⅰ)求动点M的轨迹E的方程;(Ⅱ)设F2(1,0),R(4,0),自点R引直线l交曲线E于Q,N两点,求证:射线F2Q与射线F2N关于直线x=1对称.21. (10分)解答题(1)求平行于直线3x+4y﹣12=0且与它的距离是7的直线l的方程;(2)求经过两条直线l1:3x+4y﹣2=0与l2:2x+y+2=0的交点P,且垂直于直线l3:x﹣2y﹣1=0直线l的方程.22. (10分)(2018高二上·山西月考) 已知向量,函数,.(1)当时,求的值;(2)若的最小值为,求实数的值;(3)是否存在实数,使函数,有四个不同的零点?若存在,求出的取值范围;若不存在,说明理由.参考答案一、单选题 (共12题;共24分)1-1、2-1、3-1、4-1、5-1、6-1、7-1、8-1、9-1、10-1、11-1、12-1、二、填空题 (共4题;共4分)13-1、14-1、15-1、16-1、三、解答题 (共6题;共55分) 17-1、18-1、18-2、19-1、20-1、21-1、21-2、22-1、22-2、22-3、。
江西省九江市高二上学期期中数学试题
姓名:________ 班级:________ 成绩:________
一、单选题 (共12题;共24分)
1. (2分) (2019高二下·衢州期中) 已知全集为自然数集,集合,,则 =()
A .
B .
C .
D .
2. (2分)下列有关命题的说法正确的是()
A . “x2=1”是“x=1”的充分不必要条件
B . “x=-1”是“x2-5x-6=0”的必要不充分条件.
C . 命题“使得x2+x+1<0”的否定是:“均有x2+x+1<0”.
D . 命题“若x=y,则sinx=siny”的逆否命题为真命题.
3. (2分)等差数列{an}前n项和为sn ,满足S30=S60 ,则下列结论中正确的是()
A . S45是Sn中的最大值
B . S45是Sn中的最小值
C . S45=0
D . S90=0
4. (2分) (2016高一下·新化期中) 已知平面向量与的夹角等于,若| |=2,| |=3,则|2 ﹣3 |=()
A .
B .
C . 57
D . 61
5. (2分)用与球心距离为1的平面去截球,所得的截面面积为π,则球的体积为()
A .
B .
C .
D .
6. (2分) (2016高三上·黑龙江期中) 下列说法错误的是()
A . 已知两个平面α,β,若两条异面直线m,n满足m⊂α,n⊂β且m∥β,n∥α,则α∥β
B . 已知a∈R,则“a<1”是“|x﹣2|+|x|>a”恒成立的必要不充分条件
C . 设p,q是两个命题,若¬(p∧q)是假命题,则p,q均为真命题
D . 命题p:“∃x∈R,使得x2+x+1<0”,则¬p:“∀x∈R,均有x2+x+1≥0”
7. (2分)若椭圆两准线间的距离等于焦距的4倍,则这个椭圆的离心率为()
A .
B .
C .
D .
8. (2分) (2017高二上·枣强期末) 已知x与y之间的一组数据,则y与x的线性回归方程 = x+ 必
过点()
x0123
y1357
A . (2,2)
B . (1,2)
C . (1.5,4)
D . (1.5,0)
9. (2分) (2016高一下·随州期末) 对于实数a,b,c,下列命题正确的是()
A . 若a>b,则ac2>bc2
B . 若a<b<0,则a2>ab>b2
C . 若a<b<0,则
D . 若a<b<0,则
10. (2分)若点P到点F(2,0)的距离比它到直线x+3=0的距离小1,则点P的轨迹方程是()
A . y2=2x
B . y2=4x
C . y2=8x
D . x2=8y
11. (2分) (2019高一下·浙江期中) 在△ABC中,内角A,B,C所对的边分别为a,b,c.若a=1,A=30°,B=45°,则b的值为()
A .
B .
C .
D . 2
12. (2分) (2018高二上·榆林期末) 椭圆的长轴端点坐标为()
A .
B .
C .
D .
二、填空题 (共4题;共4分)
13. (1分)设函数f(x)= ,则满足f(f(a))=2f(a)的a的取值范围是________.
14. (1分)(2019·湖州模拟) 在中,内角,,所对的边分别为,, .已知
,则的值为________,若,,则的面积等于________.
15. (1分) (2019高一下·广东期中) 已知,,且,则的最小值为________.
16. (1分) (2016高二上·温州期中) 已知数列{an}满足a1=1,a2=2,an+2=(1+cos2 )an+sin2 ,则该数列的前10项和为________.
三、解答题 (共6题;共75分)
17. (10分) (2019高二下·绍兴期中) 已知数列,,数列满足 .
(1)求证:是等差数列;
(2)求数列的前n项和 .
18. (15分) (2019高三上·长春期末) 某学校在学校内招募了名男志愿者和名女志愿者.将这
名志愿者的身高编成如右茎叶图(单位: ),若身高在以上(包括 )定义为“高个子”,身高在以下(不包括 )定义为“非高个子”,且只有“女高个子”才能担任“礼仪小姐”.
(Ⅰ)如果用分层抽样的方法从“高个子”和“非高个子”中抽取人,再从这人中选人,那么至少有一人是“高个子”的概率是多少?
(Ⅱ)若从所有“高个子”中选名志愿者,用表示所选志愿者中能担任“礼仪小姐”的人数,试写出
的分布列,并求的数学期望.
19. (10分) (2019高二下·江西期中) 已知点是抛物线:的准线与轴的交点,点是抛物线上的动点,点、在轴上,的内切圆为圆:,且,其中为坐标原点.
(1)求抛物线的标准方程;
(2)求面积的最小值.
20. (15分)(2017·武汉模拟) 如图,在三棱柱ABC﹣A1B1C1中,AB⊥平面BB1C1C,∠BCC1= ,AB=BB1=2,BC=1,D为CC1中点.
(1)求证:DB1⊥平面ABD;
(2)求二面角A﹣B1D﹣A1的平面角的余弦值.
21. (10分)(2020·新高考Ⅰ) 已知公比大于1的等比数列满足.
(1)求的通项公式;
(2)记为在区间中的项的个数,求数列的前100项和.
22. (15分)(2020·沈阳模拟) 已知长度为4的线段的两个端点分别在x轴和y轴上运动,动点P满足,记动点P的轨迹为曲线C.
(1)求曲线C的方程;
(2)设曲线C与y轴的正半轴交于点D,过点D作互相垂直的两条直线,分别交曲线C于点M,N两点,连接,求的面积的最大值.
参考答案一、单选题 (共12题;共24分)
答案:1-1、
考点:
解析:
答案:2-1、
考点:
解析:
答案:3-1、
考点:
解析:
答案:4-1、考点:
解析:
答案:5-1、考点:
解析:
答案:6-1、
考点:
解析:
答案:7-1、考点:
解析:
答案:8-1、考点:
解析:
答案:9-1、考点:
解析:
答案:10-1、考点:
解析:
答案:11-1、考点:
解析:
答案:12-1、考点:
解析:
二、填空题 (共4题;共4分)答案:13-1、
考点:
解析:
答案:14-1、
考点:
解析:
答案:15-1、
考点:
解析:
答案:16-1、
考点:
解析:
三、解答题 (共6题;共75分)答案:17-1、
答案:17-2、考点:
解析:
答案:18-1、考点:
解析:
答案:19-1、
答案:19-2、考点:
解析:
答案:20-1、
答案:20-2、考点:
解析:
答案:21-1、
答案:21-2、
考点:
解析:
答案:22-1、
答案:22-2、考点:
解析:。