监理费取费计算表格(发改价格【2007】670号)
- 格式:xls
- 大小:31.50 KB
- 文档页数:1
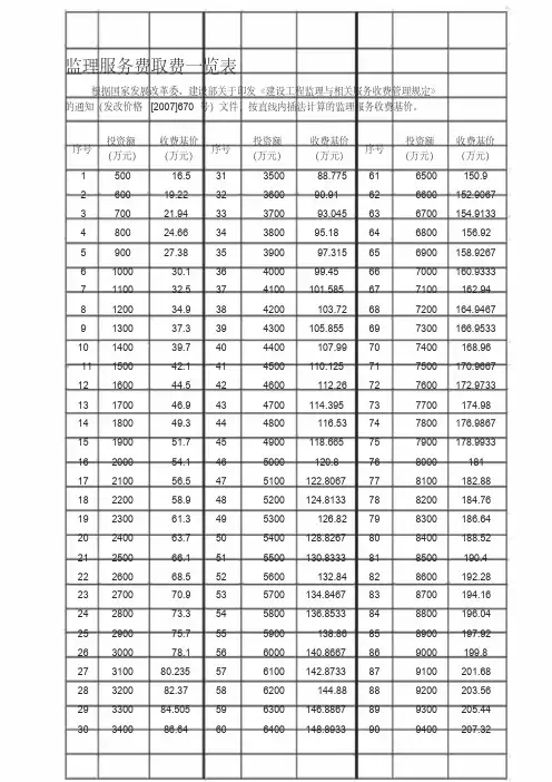
监理服务费取费一览表根据国家发展改革委、建设部关于印发《建设工程监理与相关服务收费管理规定》的通知(发改价格[2007]670号)文件,按直线内插法计算的监理服务收费基价。
注:施工监理服务收费按照下列公式计算:(1)施工监理服务收费=施工监理服务收费基准价×(1±浮动幅度值) (2)施工监理服务收费基准价=施工监理服务收费基价①×专业调整系数②×工程复杂调整③×高程调整系数④①建筑市政工程专业调整系数:邮电、电信、广电工艺工程为0。
9; 建筑、人防、市政工程为1。
0; 园林绿化工程为0。
8③工程复杂调整系数(建筑、人防工程复杂程度)一般(I级),系数0.85,工程特征:功能单一、技术要求简单的小型公共建筑工程;高度<24m的一般公共建筑工程;小型仓储建筑工程;简单的设备用房及其他配套用房工程;简单的建筑环境及室外工程;相当于一星级饭店及以下标准的室内装修工程;人防疏散干道、支干道及人防连接通道等人防配套工程较复杂(II级),系数1,工程特征:大中型公共建筑工程;技术要求较复杂或有地区性意义的小型公共建筑工程;高度24~50m的一般公共建筑工程;20层及以下一般标准的居住建筑工程;仿古建筑,一般标准的古建筑、保护性建筑以及地下建筑工程;大中型仓储建筑工程;一般标准的建筑环境和室外工程;相当于二、三星级饭店标准的室内装修工程;防护级别为四级及以下同时建筑面积〈10000m²的人防工程复杂(III级),系数1.15,工程特征:高级大型公共建筑工程;技术要求复杂或具有经济、文化、历史等意义的省(市)级中小型公共建筑工程;高度〉50m的公共建筑工程;20层以上居住建筑和20层及以下高标准居住建筑工程;高标准的古建筑、保护性建筑和地下建筑工程;高标准的建筑环境和室外工程;相当于四、五星级饭店标准的室内装修,特殊声学装修工程;防护级别为三级以上或者建筑面积≥10000m²的人防工程;另:1. 大型建筑工程指20001 m²以上的建筑,中型指5001~20000 m²的建筑,小型指5000 m²以下的建筑;2. 古建筑、保护性建筑等,根据具体情况,附加调整系数为1.1~1.3。
监理服务费取费一览表根据国家发展改革委、建设部关于印发《建设工程监理与相关服务收费管理规定》的通知(发改价格[2007]670号)文件,按直线内插法计算的监理服务收费基价。
注:施工监理服务收费按照下列公式计算:(1)施工监理服务收费=施工监理服务收费基准价×(1±浮动幅度值)(2)施工监理服务收费基准价=施工监理服务收费基价①×专业调整系数②×工程复杂调整③×高程调整系数④①建筑市政工程专业调整系数:邮电、电信、广电工艺工程为0.9;建筑、人防、市政工程为1.0;园林绿化工程为0.8③工程复杂调整系数(建筑、人防工程复杂程度)一般(I级),系数0.85,工程特征:功能单一、技术要求简单的小型公共建筑工程;高度<24m的一般公共建筑工程;小型仓储建筑工程;简单的设备用房及其他配套用房工程;简单的建筑环境及室外工程;相当于一星级饭店及以下标准的室内装修工程;人防疏散干道、支干道及人防连接通道等人防配套工程较复杂(II级),系数1,工程特征:大中型公共建筑工程;技术要求较复杂或有地区性意义的小型公共建筑工程;高度24~50m的一般公共建筑工程;20层及以下一般标准的居住建筑工程;仿古建筑,一般标准的古建筑、保护性建筑以及地下建筑工程;大中型仓储建筑工程;一般标准的建筑环境和室外工程;相当于二、三星级饭店标准的室内装修工程;防护级别为四级及以下同时建筑面积<10000m2的人防工程复杂(III级),系数1.15,工程特征:高级大型公共建筑工程;技术要求复杂或具有经济、文化、历史等意义的省(市)级中小型公共建筑工程;高度>50m的公共建筑工程;20层以上居住建筑和20层及以下高标准居住建筑工程;高标准的古建筑、保护性建筑和地下建筑工程;高标准的建筑环境和室外工程;相当于四、五星级饭店标准的室内装修,特殊声学装修工程;防护级别为三级以上或者建筑面积≥10000m2的人防工程;另:1. 大型建筑工程指20001 m2以上的建筑,中型指5001~20000 m2的建筑,小型指5000 m2以下的建筑;2. 古建筑、保护性建筑等,根据具体情况,附加调整系数为1.1~1.3。
国家发展改革委、建设部关于印发《建设工程监理与相关服务收费管理规定》的通知发改价格[2007]670号国务院有关部门,各省、自治区、直辖市发展改革委、物价局、建设厅(委):为规范建设工程监理与相关服务收费行为,维护委托双方合法权益,促进我国工程监理行业的健康发展,国家发展和改革委员会、建设部组织国务院有关部门和有关行业组织,制定了《建设工程监理与相关服务收费管理规定》,自2007年5月1日开始施行。
原国家物价局、建设部下发的《关于发布工程建设监理费有关规定的通知》([1992]价费字479号)自本规定生效之日起废止。
附:建设工程监理与相关服务收费管理规定附件:建设工程监理与相关服务收费管理规定第一条为规范建设工程监理与相关服务收费行为,维护发包人和监理人的合法权益,根据《中华人民共和国价格法》及有关法律、法规,制定本规定。
第二条本规定适用于中华人民共和国境内建设项目的建设工程监理与相关服务收费。
第三条建设工程监理与相关服务的发包与承包应当遵循公开、公平、公正、自愿和诚实信用的原则。
依据《中华人民共和国招标投标法》等法律法规,发包人有权自主选择监理人,监理人自主决定是否接受委托。
第四条发包人和监理人应当遵守国家有关价格法律、法规的规定,维护正常的价格秩序,接受政府价格主管部门的监督、管理。
第五条建设工程监理与相关服务收费根据建设项目投资额的不同情况,分别实行政府指导价和市场调节价。
建设项目总投资额3000万元及以上的建设工程施工阶段的监理收费实行政府指导价;建设项目总投资额3000万元以下的建设工程施工阶段的监理收费和其它阶段的监理与相关服务收费实行市场调节价。
第六条实行政府指导价的建设工程施工阶段监理收费,其基准价根据《建设工程监理与相关服务收费标准》计算,浮动幅度为上下20%。
发包人和监理人应当根据建设项目的实际情况在规定的浮动幅度内协商确定收费额。
实行市场调节价的建设工程监理与相关服务收费,由发包人和监理人协商确定收费额。
工程建设监理收费标准(发改价格【2007】670号)单位:万元注:本表为施工监理收费基价,监理费按内插法计算,如工程造价为6000万元工程监理费计算方法如下:120.8+(181.0-120.8)/(8000-5000)×(6000-5000)=140.87万元关于印发《建设工程监理与相关服务收费管理规定》的通知发改价格[2007]670号(国家发展改革委、建设部2007年3月30日颁布,5月1日实施)国务院有关部门,各省、自治区、直辖币发展改革委、物价局、建设厅(委):为规范建设工程监理及相关服务收费行为,维护委托双方合法权益,促进工程监理行业健康发展,我们制定了《建设工程监理与相关服务收费管理规定》,现印发给你们,自2007年5月1日起执行。
原国家物价局、建设部下发的《关于发布工程建设监理费有关规定的通知》([1992]价费字479号)自本规定生效之日起废止。
附:建设工程监理与相关服务收费管理规定中华人民共和国国家发展和改革委员会中华人民共和国建设部二00七年三月三十日建设工程监理与相关服务收费管理规定第一条为规范建设工程监理与相关服务收费行为,维护发包人和监理人的合法权益,根据《中华人民共和国价格法》及有关法律、法规,制定本规定。
第二条建设工程监理与相关服务,应当遵循公开、公平、公正、自愿和诚实信用的原则。
依法须招标的建设工程,应通过招标方式确定监理人。
监理服务招标应优先考虑监理单位的资信程度、监理方案的优劣等技术因素。
第三条发包人和监理人应当遵守国家有关价格法律法规的规定,接受政府价格主管部门的监督、管理。
第四条建设工程监理与相关服务收费根据建设项目性质不同情况,分别实行政府指导价或市场调节价。
依法必须实行监理的建设工程施工阶段的监理收费实行政府指导价;其它建设工程施工阶段的监理收费和其它阶段的监理与相关服务收费实行市场调节价。
第五条实行政府指导价的建设工程施工阶段监理收费,其基准价根据《建设工程监理与相关服务收费标准》计算,浮动幅度为上下20%。
工程建设监理收费标准(发改价格【2007】670号)单位:万元注:本表为施工监理收费基价,监理费按内插法计算,如工程造价为6000万元工程监理费计算方法如下:120.8+(181.0-120.8)/(8000-5000)×(6000-5000)=140.87万元关于印发《建设工程监理与相关服务收费管理规定》的通知发改价格[2007]670号(国家发展改革委、建设部2007年3月30日颁布,5月1日实施)国务院有关部门,各省、自治区、直辖币发展改革委、物价局、建设厅(委):为规范建设工程监理及相关服务收费行为,维护委托双方合法权益,促进工程监理行业健康发展,我们制定了《建设工程监理与相关服务收费管理规定》,现印发给你们,自2007年5月1日起执行。
原国家物价局、建设部下发的《关于发布工程建设监理费有关规定的通知》([1992]价费字479号)自本规定生效之日起废止。
附:建设工程监理与相关服务收费管理规定中华人民共和国国家发展和改革委员会中华人民共和国建设部二00七年三月三十日建设工程监理与相关服务收费管理规定第一条为规范建设工程监理与相关服务收费行为,维护发包人和监理人的合法权益,根据《中华人民共和国价格法》及有关法律、法规,制定本规定。
第二条建设工程监理与相关服务,应当遵循公开、公平、公正、自愿和诚实信用的原则。
依法须招标的建设工程,应通过招标方式确定监理人。
监理服务招标应优先考虑监理单位的资信程度、监理方案的优劣等技术因素。
第三条发包人和监理人应当遵守国家有关价格法律法规的规定,接受政府价格主管部门的监督、管理。
第四条建设工程监理与相关服务收费根据建设项目性质不同情况,分别实行政府指导价或市场调节价。
依法必须实行监理的建设工程施工阶段的监理收费实行政府指导价;其它建设工程施工阶段的监理收费和其它阶段的监理与相关服务收费实行市场调节价。
第五条实行政府指导价的建设工程施工阶段监理收费,其基准价根据《建设工程监理与相关服务收费标准》计算,浮动幅度为上下20%。
工程建设监理收费标准(发改价格【2007】670号)单位:万元注:本表为施工监理收费基价,监理费按内插法计算,如工程造价为6000万元工程监理费计算方法如下:+()/(8000-5000)×(6000-5000)=万元关于印发《建设工程监理与相关服务收费管理规定》的通知发改价格[2007]670号(国家发展改革委、建设部2007年3月30日颁布,5月1日实施)国务院有关部门,各省、自治区、直辖币发展改革委、物价局、建设厅(委):为规范建设工程监理及相关服务收费行为,维护委托双方合法权益,促进工程监理行业健康发展,我们制定了《建设工程监理与相关服务收费管理规定》,现印发给你们,自2007年5月1日起执行。
原国家物价局、建设部下发的《关于发布工程建设监理费有关规定的通知》([1992]价费字479号)自本规定生效之日起废止。
附:建设工程监理与相关服务收费管理规定中华人民共和国国家发展和改革委员会中华人民共和国建设部二00七年三月三十日建设工程监理与相关服务收费管理规定第一条为规范建设工程监理与相关服务收费行为,维护发包人和监理人的合法权益,根据《中华人民共和国价格法》及有关法律、法规,制定本规定。
第二条建设工程监理与相关服务,应当遵循公开、公平、公正、自愿和诚实信用的原则。
依法须招标的建设工程,应通过招标方式确定监理人。
监理服务招标应优先考虑监理单位的资信程度、监理方案的优劣等技术因素。
第三条发包人和监理人应当遵守国家有关价格法律法规的规定,接受政府价格主管部门的监督、管理。
第四条建设工程监理与相关服务收费根据建设项目性质不同情况,分别实行政府指导价或市场调节价。
依法必须实行监理的建设工程施工阶段的监理收费实行政府指导价;其它建设工程施工阶段的监理收费和其它阶段的监理与相关服务收费实行市场调节价。
第五条实行政府指导价的建设工程施工阶段监理收费,其基准价根据《建设工程监理与相关服务收费标准》计算,浮动幅度为上下20%。
监理服务费取费一览表根据国家发展改革委、建设部关于印发《建设工程监理与相关服务收费管理规定》的通知(发(1)施工监理服务收费=施工监理服务收费基准价×(1±浮动幅度值)(2)施工监理服务收费基准价=施工监理服务收费基价×专业调整系数×工程复杂调整系数×高程调整系数建筑市政工程专业调整系数:邮电、电信、广电工艺工程为0.9;建筑、人防、市政工程为1.0;园林绿化工程为0.8工程复杂调整系数(建筑、人防工程复杂程度)一般(I级),系数0.85,工程特征:功能单一、技术要求简单的小型公共建筑工程;高度<24m的一般公共建筑工程;小型仓储建筑工程;简单的设备用房及其他配套用房工程;简单的建筑环境及室外工程;相当于一星级饭店及以下标准的室内装修工程;人防疏散干道、支干道及人防连接通道等人防配套工程较复杂(II级),系数1,工程特征:大中型公共建筑工程;技术要求较复杂或有地区性意义的小型公共建筑工程;高度24~50m的一般公共建筑工程;20层及以下一般标准的居住建筑工程;仿古建筑,一般标准的古建筑、保护性建筑以及地下建筑工程;大中型仓储建筑工程;一般标准的建筑环境和室外工程;相当于二、三星级饭店标准的室内装修工程;防护级别为四级及以下同时建筑面积<10000m2的人防工程复杂(III级),系数1.15,工程特征:高级大型公共建筑工程;技术要求复杂或具有经济、文化、历史等意义的省(市)级中小型公共建筑工程;高度>50m的公共建筑工程;20层以上居住建筑和20层及以下高标准居住建筑工程;高标准的古建筑、保护性建筑和地下建筑工程;高标准的建筑环境和室外工程;相当于四、五星级饭店标准的室内装修,特殊声学装修工程;防护级别为三级以上或者建筑面积≥10000m2的人防工程;另:1.大型建筑工程指20001 m2以上的建筑,中型指5001~20000 m2的建筑,小型指5000 m2以下的建筑;2.古建筑、保护性建筑等,根据具体情况,附加调整系数为1.1~1.3。
监理取费标准(670号文件)监理取费标准(670号文件)一、前言本文档旨在规定监理取费的标准和要求,以促进工程检查监理的质量提升和监理服务的规范化。
二、合用范围本文件合用于各类工程项目的监理取费。
三、监理取费计算方法1.按照合同价款计算根据合同价款计算,具体收费标准如下:(1)工程造价在100万元(含)以下的,按照合同总价的5%收取;(2)工程造价在100万元至500万元(含)的,按照合同总价的4%收取;(3)工程造价在500万元至1000万元(含)的,按照合同总价的3%收取;(4)工程造价在1000万元以上的,按照合同总价的2.5%收取。
2.按照工程造价计算采用工程造价进行计算,具体的收费标准如下:(1)工程造价在100万元(含)以下的,按照工程造价的12%收取;(2)工程造价在100万元至500万元(含)的,按照工程造价的10%收取;(3)工程造价在500万元至1000万元(含)的,按照工程造价的8%收取;(4)工程造价在1000万元以上的,按照工程造价的7%收取。
3.按照监理服务项目计算对于某些专项监理服务项目,如进度控制、质量检验等,可以按照实际提供的服务项目进行收费,具体收费标准由监理单位和业主商议确定。
四、监理取费支付方式1.分次支付根据监理服务的进度,按照合同约定的比例分次支付。
2.一次性支付根据合同约定,一次性支付全部监理服务费用。
五、监理取费的支付时间监理取费的支付时间应该在以下两个时限内:(1)工程竣工之日起180天内,办理完毕;(2)业主住手全额或者部份支付履行责任或者将工程交给其他人继续施工的日起90天之内。
六、违约责任如果监理单位不能按照合同的约定服务,业主有权根据违约情况向监理单位进行违约金的追究;如果业主未按照合同付款,监理单位有权向业主提出索赔,并且可以中止监理服务、终止监理合同。
七、说明1、本监理取费标准合用于监理单位的各类工程项目,具体费用标准按照合同各方商议确定。
一、施工监理收费基价表
单位:万元
注:计费额大于1000000万元的,以计费额乘以1.039%的收费率计算收费基价。
其他未包含的其收费由双方协商议定。
二、施工监理收费专业调整系数表
工程类型专业调整系数
1.矿山采选工程
黑色、有色、黄金、化学、非金属及其他矿采选工程0.9
选煤及其他煤炭工程 1.0
矿井工程,铀矿采选工程 1.1 2.加工冶炼工程
冶炼工程0.9 船舶水工工程 1.0 各类加工、冶炼工程 1.0 核加工工程 1.2 3.石油化工工程
石油工程0.9
化工、石化、化纤、医药工程 1.0
核化工工程 1.2 4.水利电力工程
风力发电、其他水利工程0.9
火电工程、送变电工程 1.0
核能、水电、水库工程 1.2 5.交通运输工程
机场场道、机场空管工程和助航灯光工程0.9
铁路、公路、城市道路、轻轨工程 1.0
水运、地铁、桥梁、隧道、索道工程 1.1 6.建筑市政工程
园林绿化工程0.8
建筑、人防、市政公用工程 1.0
邮电、电信、广播电视工程 1.0
7.农业林业工程
农业工程0.9
林业工程0.9
三、建设工程监理与相关服务人员人工日费用标准
注:本表适用于提供短期服务的人工费用标准。
工程建设监理收费标准〔发改价格【2007】670号〕单位:万元注:本表为施工监理收费基价,监理费按插法计算,如工程造价为6000万元工程监理费计算方法如下:120.8+〔〕/〔8000-5000〕×〔6000-5000〕万元关于印发《建设工程监理与相关服务收费管理规定》的通知发改价格[2007]670号〔国家开展改革委、建设部2007年3月30日颁布,5月1日实施〕国务院有关部门,各省、自治区、直辖币开展改革委、物价局、建设厅〔委〕:为规建设工程监理与相关服务收费行为,维护委托双方合法权益,促进工程监理行业健康开展,我们制定了《建设工程监理与相关服务收费管理规定》,现印发给你们,自2007年5月1日起执行。
原国家物价局、建设部下发的《关于发布工程建设监理费有关规定的通知》〔[1992]价费字479号〕自本规定生效之日起废止。
附:建设工程监理与相关服务收费管理规定中华人民国国家开展和改革委员会中华人民国建设部二00七年三月三十日建设工程监理与相关服务收费管理规定第一条为规建设工程监理与相关服务收费行为,维护发包人和监理人的合法权益,根据《中华人民国价格法》与有关法律、法规,制定本规定。
第二条建设工程监理与相关服务,应当遵循公开、公平、公正、自愿和诚实信用的原如此。
依法须招标的建设工程,应通过招标方式确定监理人。
监理服务招标应优先考虑监理单位的资信程度、监理方案的优劣等技术因素。
第三条发包人和监理人应当遵守国家有关价格法律法规的规定,承受政府价格主管部门的监视、管理。
第四条建设工程监理与相关服务收费根据建设项目性质不同情况,分别实行政府指导价或市场调节价。
依法必须实行监理的建设工程施工阶段的监理收费实行政府指导价;其它建设工程施工阶段的监理收费和其它阶段的监理与相关服务收费实行市场调节价。
第五条实行政府指导价的建设工程施工阶段监理收费,其基准价根据《建设工程监理与相关服务收费标准》计算,浮动幅度为上下20%。