(完整版)高中数学数列基础知识与典型例题
- 格式:doc
- 大小:435.53 KB
- 文档页数:3
高中数学数列知识点高中数学数列知识点11.定义:如果一个数列,从第二项开始它的每一项与前一项之差都等于同一常数,这个数列就叫等差数列, 这个常数叫做等差数列的公差,通常用字母d来表示。
同样为数列的等比数列的性质与等差数列也有相通之处。
2.数列为等差数列的充要条件是:数列的前n项和S 可以写成S = an^2 + bn的形式(其中a、b为常数).等差数列练习题3.性质1:公差为d的等差数列,各项同乘以常数k所得数列仍是等差数列,其公差为kd.4.性质2:公差为d的等差数列,各项同加一数所得数列仍是等差数列,其公差仍为d.5.性质3:当公差d>0时,等差数列中的数随项数的增大而增大;当d<0时,等差数列中的数随项数的减少而减小;d=0时,等差数列中的数等于一个常数.高中数学数列知识点2一般地,如果一个数列从第2项起,每一项与它的前一项的差等于同一个常数,那这个数列就叫做等差数列,这个常数叫做公差,用符号语言表示为an+1-an=d。
等差数列的性质:1)若公差d>0,则为递增等差数列;若公差d<0,则为递减等差数列;若公差d=0,则为常数列;2)有穷等差数列中,与首末两端“等距离”的两项和相等,并且等于首末两项之和;3)m,n∈N*,则am=an+(m-n)d;4)若s,t,p,q∈N*,且s+t=p+q,则as+at=ap+aq,其中as,at,ap,aq是数列中的项,特别地,当s+t=2p时,高一,有as+at=2ap;5)若数列{an},{bn}均是等差数列,则数列{man+kbn}仍为等差数列,其中m,k均为常数。
6)从第二项开始起,每一项是与它相邻两项的等差中项,也是与它等距离的前后两项的等差中项,即对等差数列定义的理解:①如果一个数列不是从第2项起,而是从第3项或某一项起,每一项与它前一项的差是同一个常数,那此数列不是等差数列,但可以说从第2项或某项开始是等差数列.②求公差d时,因为d是这个数列的'后一项与前一项的差,故有还有③公差d∈R,当d=0时,数列为常数列(也是等差数列);当d>0时,数列为递增数列;当d<0时,数列为递减数列;④是证明或判断一个数列是否为等差数列的依据;⑤证明一个数列是等差数列,只需证明an+1-an是一个与n无关的常数即可。
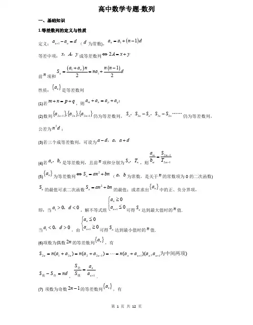
高中数学专题-数列一、基础知识1.等差数列的定义与性质定义:1n n a a d+-=(d 为常数),()11n a a n d=+-等差中项:x A y ,,成等差数列2A x y⇔=+前n 项和()()11122n n a a n n n S nad+-==+性质:{}n a 是等差数列(1)若m n p q+=+,则m n p q a a a a +=+;(2)数列{}{}{}12212,,+-n n n a a a 仍为等差数列,232n n n n n S S S S S --,,……仍为等差数列,公差为d n 2;(3)若三个成等差数列,可设为a d a a d-+,,(4)若n n a b ,是等差数列,且前n 项和分别为n n S T ,,则2121m m m m a S b T --=(5){}n a 为等差数列2n S an bn ⇔=+(a b ,为常数,是关于n 的常数项为0的二次函数)nS 的最值可求二次函数2n S an bn=+的最值;或者求出{}n a 中的正、负分界项,即:当100a d ><,,解不等式组100n n a a +≥⎧⎨≤⎩可得n S达到最大值时的n 值.当100a d <>,,由100n n a a +≤⎧⎨≥⎩可得n S达到最小值时的n 值.(6)项数为偶数n 2的等差数列{}n a ,有),)(()()(11122212为中间两项++-+==+=+=n n n n n n n a a a a n a a n a a n S ndS S =-奇偶,1+=n na a S S 偶奇.(7)项数为奇数12-n 的等差数列{}n a ,有)()12(12为中间项n n n a a n S -=-na S S =-偶奇,1-=n n S S 偶奇.2.等比数列的定义与性质定义:1n na q a +=(q 为常数,0q ≠),11n n a a q -=.等比中项:x G y 、、成等比数列2G xy ⇒=,或G xy =.前n 项和:()11(1)1(1)1n n na q S a q q q =⎧⎪=-⎨≠⎪-⎩(要注意!)性质:{}n a 是等比数列(1)若m n p q+=+,则m n p qa a a a =··(2)232n n n n n S S S S S --,,……仍为等比数列,公比为nq .注意:由nS 求na 时应注意什么?1n =时,11a S =;2n ≥时,1n n n a S S -=-.二、等差数列和等比数列对比等差数列等比数列定义a n-a n-1=常数(n≥2)a na n-1=常数(n≥2)通项公式a n=a1+(n-1)d a n=a1q n-1(q≠0)判定方法(1)定义法(2)中项公式法:2a n+1=a n+a n+2(n≥1)⇔{a n}为等差数列(3)通项公式法:a n=pn+q(pq为常数)⇔{a n}为等差数列(4)前n项和公式法:S n=An2+Bn(A、B为常数)⇔{a n}为等差数列(5){a n}为等比数列,a n>0⇔{log a a n}为等差数列(1)定义法(2)中项公式法:a2n+1=a n·a n+2(n≥1)(a n≠0)⇔{a n}为等比数列(3)通项公式法:a n=c·q n(c、q均是不为0的常数,n∈N*)⇔{a n}为等比数列(4){a n}为等差数列⇔{a an}为等比数列(a>0且a≠1)性质(1)若m、n、p、q∈N*,且m+n=p+q,则a m+a n=a p+a q特别:若m+n=2p,则a m+a n=2a p.(2)a n=a m+(n-m)d(3)数列S m,S2m-S m,S3m-S2m,…也是等差数列,即2(S2m-S m)=S m+(S3m-S2m)(1)若m、n、p、q∈N*,且m+n=p+q,则a m·a n=a p·a q特别地,若m+n=2p,则a m·a n=a2p.(2)a n=a m q n-m(3)若等比数列前n项和为S n则S m,S2m-S m,S3m-S2m仍成等比数列,即(S2m-S m)2=S m(S3m-S2m)(m∈N*,公比q≠-1).前n 项和S n=n a1+a n2=na1+n n-12d(1)q≠1,S n=a11-q n1-q=a1-a n q1-q(2)q=1,S n=na1三、考点方法归纳考点一求数列的通项公式1.由a n与S n的关系求通项公式:由S n与a n的递推关系求a n的常用思路有:①利用S n-S n-1=a n(n≥2)转化为a n的递推关系,再求其通项公式;数列的通项a n与前n项和S n的关系是a n S1,n=1,S n-S n-1,n≥2.当n=1时,a1若适合S n-S n-1,则n=1的情况可并入n≥2时的通项a n;当n=1时,a1若不适合S n-S n-1,则用分段函数的形式表示。
高中数学竞赛讲义(五)──数列一、基础知识定义1 数列,按顺序给出的一列数,例如1,2,3,…,n,…. 数列分有穷数列和无穷数列两种,数列{a n}的一般形式通常记作a1, a2, a3,…,a n或a1, a2, a3,…,a n…。
其中a1叫做数列的首项,a n是关于n的具体表达式,称为数列的通项。
定理1 若S n表示{a n}的前n项和,则S1=a1, 当n>1时,a n=S n-S n-1.定义2 等差数列,如果对任意的正整数n,都有a n+1-a n=d(常数),则{a n}称为等差数列,d叫做公差。
若三个数a, b, c成等差数列,即2b=a+c,则称b为a和c的等差中项,若公差为d, 则a=b-d, c=b+d.定理2 等差数列的性质:1)通项公式a n=a1+(n-1)d;2)前n项和公式:S n=;3)a n-a m=(n-m)d,其中n, m为正整数;4)若n+m=p+q,则a n+a m=a p+a q;5)对任意正整数p, q,恒有a p-a q=(p-q)(a2-a1);6)若A,B至少有一个不为零,则{a n}是等差数列的充要条件是S n=An2+Bn.定义3 等比数列,若对任意的正整数n,都有,则{a n}称为等比数列,q叫做公比。
定理3 等比数列的性质:1)a n=a1q n-1;2)前n项和S n,当q1时,S n=;当q=1时,S n=na1;3)如果a, b, c成等比数列,即b2=ac(b0),则b叫做a, c的等比中项;4)若m+n=p+q,则a m a n=a p a q。
定义4 极限,给定数列{a n}和实数A,若对任意的>0,存在M,对任意的n>M(n∈N),都有|a n-A|<,则称A为n→+∞时数列{a n}的极限,记作定义5 无穷递缩等比数列,若等比数列{a n}的公比q满足|q|<1,则称之为无穷递增等比数列,其前n项和S n的极限(即其所有项的和)为(由极限的定义可得)。
高中数学《等比数列性质》复习基础知识与练习题(含答案解析)一、基础知识1、定义:数列{}n a 从第二项开始,后项与前一项的比值为同一个常数()0q q ≠,则称{}n a 为等比数列,这个常数q 称为数列的公比注:非零常数列既可视为等差数列,也可视为1q =的等比数列,而常数列0,0,0,只是等差数列2、等比数列通项公式:11n n a a q−=⋅,也可以为:n mn m a a q−=⋅3、等比中项:若,,a b c 成等比数列,则b 称为,a c 的等比中项 (1)若b 为,a c 的等比中项,则有2a bb ac b c=⇒= (2)若{}n a 为等比数列,则n N *∀∈,1n a +均为2,n n a a +的等比中项 (3)若{}n a 为等比数列,则有m n p q m n p q a a a a +=+⇔= 4、等比数列前n 项和公式:设数列{}n a 的前n 项和为n S 当1q =时,则{}n a 为常数列,所以1n S na = 当1q ≠时,则()111n n a q S q−=−可变形为:()1111111n n n a q a aS q qq q −==−−−−,设11a k q =−,可得:n n S k q k =⋅−5、由等比数列生成的新等比数列(1)在等比数列{}n a 中,等间距的抽取一些项组成的新数列仍为等比数列 (2)已知等比数列{}{},n n a b ,则有 ① 数列{}n ka (k 为常数)为等比数列 ② 数列{}na λ(λ为常数)为等比数列,特别的,当1λ=−时,即1n a ⎧⎫⎨⎬⎩⎭为等比数列③ 数列{}n n a b 为等比数列④ 数列{}n a 为等比数列6、相邻k 项和的比值与公比q 相关: 设1212,m m m k n n n k S a a a T a a a ++++++=+++=+++,则有:()()212212k m n m m m m k mk n n n k nn a q q q S a a a a q T a a a a a q q q −++++++++++++====++++++ 特别的:若121222,,k k k k k k k a a a S a a a S S +++++=+++=−2122332,k k k k k a a a S S +++++=−,则232,,,k k k k k S S S S S −−成等比数列7、等比数列的判定:(假设{}n a 不是常数列) (1)定义法(递推公式):()1n na q n N a *+=∈ (2)通项公式:nn a k q =⋅(指数类函数) (3)前n 项和公式:nn S kq k =−注:若()n n S kq m m k =−≠,则{}n a 是从第二项开始成等比关系 (4)等比中项:对于n N *∀∈,均有212n n n a a a ++=8、非常数等比数列{}n a 的前n 项和n S 与1n a ⎧⎫⎨⎬⎩⎭前n 项和n T 的关系()111n n a q S q−=−,因为1n a ⎧⎫⎨⎬⎩⎭是首项为11a ,公比为1q 的等比数列,所以有()1111111111111nn n nn n q a q q q T q a q q a qq−⎡⎤⎛⎫−−⎢⎥ ⎪⎝⎭⎢⎥−⎣⎦===−−−⋅ ()()1112111111n n n nn n a q a q q S a q T q q−−−−=⋅=−− 例1:已知等比数列{}n a 的公比为正数,且223951,2a a a a ==,则10a =________思路:因为2396a a a =,代入条件可得:22652a a =,因为0q >,所以65a =,q =所以810216a a q == 答案:16例2:已知{}n a 为等比数列,且374,16a a =−=−,则5a =( ) A. 64 B. 64− C. 8 D. 8− 思路一:由37,a a 可求出公比:4734a q a ==,可得22q =,所以253428a a q ==−⋅=− 思路二:可联想到等比中项性质,可得253764a a a ==,则58a =±,由等比数列特征可得奇数项的符号相同,所以58a =− 答案:D小炼有话说:思路二的解法尽管简单,但是要注意双解时要验证项是否符合等比数列特征。
高中数学涉及的统计学知识典型例题分析一、基础知识:(一)随机抽样:1、抽签法:把总体中的N 个个体编号,把号码写在号签上,将号签放在一个容器中搅拌均匀后,每次从中抽取一个号签,连续抽取n 次,就得到容量为n 的样本2、系统抽样:也称为等间隔抽样,大致分为以下几个步骤:(1)先将总体的N 个个体编号(2)确定分段间隔k ,设样本容量为n ,若N n 为整数,则N k n= (3)在第一段中用简单随机抽样确定第一个个体编号l ,则后面每段所确定的个体编号与前一段确定的个体编号差距为k ,例如:第2段所确定的个体编号为l k +,第m 段所确定的个体编号为()1l m k +−,直至完成样本注:(1)若N n不是整数,则先用简单随机抽样剔除若干个个体,使得剩下的个体数能被n 整除,再进行系统抽样。
例如501名学生所抽取的样本容量为10,则先随机抽去1个,剩下的500个个体参加系统抽样(2)利用系统抽样所抽出的个体编号排成等差数列,其公差为k3、分层抽样:也称为按比例抽样,是指在抽样时,将总体分成互不交叉的层,然后按照一定的比例,从各层独立地抽取一定数量的个体,将各层取出的个体合在一起作为样本。
分层抽样后样本中各层的比例与总体中各个层次的比例相等,这条结论会经常用到(二)频率分布直方图:1、频数与频率(1)频数:指一组数据中个别数据重复出现的次数或一组数据在某个确定的范围内出现的数据的个数.(2)频率:是频数与数据组中所含数据的个数的比,即频率=频数/总数(3)各试验结果的频率之和等于12、频率分布直方图:若要统计每个小组数据在样本容量所占比例大小,则可通过频率分布表(表格形式)和频率分布直方图(图像形式)直观的列出(1)极差:一组数据中最大值与最小值的差(2)组距:将一组数据平均分成若干组(通常5-12组),则组内数据的极差称为组距,所以有组距=极差/组数(3)统计每组的频数,计算出每组的频率,便可根据频率作出频率分布直方图(4)在频率分布直方图中:横轴按组距分段,纵轴为“频率/组距”(5)频率分布直方图的特点:②因为各试验结果的频率之和等于1,所以可得在频率分布直方图中,各个矩形的面积和为1 (三)茎叶图:通常可用于统计和比较两组数据,其中茎是指中间的一列数,通常体现数据中除了末位数前面的其他数位,叶通常代表每个数据的末位数。
高中数列知识点归纳总结及例题数列是高中数学中的一个重要概念,它在许多数学问题中都起着至关重要的作用。
通过学习数列的定义、性质和求解方法,可以帮助我们更好地理解和应用数学知识。
本文将对高中数列知识点进行归纳总结,并附上相关例题供读者练习。
1. 数列的定义与性质数列是按照一定顺序排列的一组数。
其中,每一个数称为数列的项,位置称为项数,用字母a表示数列的通项。
数列的性质包括等差数列和等比数列两种常见情况:1.1 等差数列等差数列是指数列中相邻两项之差都相等的数列。
设数列为{an},公差为d,则有如下性质:(1)通项公式:an = a1 + (n-1)d(2)前n项和公式:Sn = (a1 + an) * n / 2(3)项数公式:n = (an - a1) / d + 1例题1:已知等差数列{an}的首项是3,公差是4,求第10项的值。
解析:根据等差数列的通项公式,代入a1 = 3,d = 4,n = 10,求得a10 = 3 + (10-1) * 4 = 39。
1.2 等比数列等比数列是指数列中相邻两项之比都相等的数列。
设数列为{an},公比为q,则有如下性质:(1)通项公式:an = a1 * q^(n-1)(2)前n项和公式:Sn = a1 * (q^n - 1) / (q - 1)(3)项数公式:n = logq(an / a1) + 1例题2:已知等比数列{an}的首项是2,公比是3,求第5项的值。
解析:根据等比数列的通项公式,代入a1 = 2,q = 3,n = 5,求得a5 = 2 * 3^(5-1) = 162。
2. 数列的求和数列的求和是数学中常见的问题之一,通过找到数列的规律和应用对应的公式,可以快速求解数列的和。
下面分别介绍等差数列和等比数列的求和公式。
2.1 等差数列的求和对于等差数列{an},前n项和的计算公式为Sn = (a1 + an) * n / 2。
其中,a1为首项,an为末项,n为项数。
高中数学选修2-2,2-3知识点、考点、典型例题高中数学选修2-2,2-3知识点、考点、典型例题一、2-2数列的概念、数列的通项公式及递推公式1. 数列的概念数列是按照一定规律排列的一系列数,一般用字母 an 表示第n 个数。
2. 数列的通项公式数列的通项公式是指通过数列的位置 n,直接求出该位置上的数 an 的公式。
通项公式可以是一个数学式子,也可以是一个算法。
3. 数列的递推公式数列的递推公式是指通过数列前一项或前几项的值,推导出数列下一项的公式。
递推公式是数列中相邻两项之间的关系式。
4. 常见数列的通项公式和递推公式- 等差数列:an = a1 + (n-1)d (通项公式),an = an-1 + d (递推公式)- 等比数列:an = a1 * q^(n-1) (通项公式),an = an-1 * q (递推公式)- 斐波那契数列:an = an-1 + an-2 (递推公式)二、2-3数列的求和、数列的性质及应用1. 数列的求和- 等差数列的前 n 项和:Sn = (a1 + an) * n / 2- 等比数列的前 n 项和(q ≠ 1):Sn = a1 * (1 - q^n) / (1 - q) - 斐波那契数列的前 n 项和:Sn = Fn+2 - 12. 数列的性质- 常数列:数列中的每一项都是一个常数。
- 奇数列:数列中的每一项都是奇数。
- 偶数列:数列中的每一项都是偶数。
- 单调递增数列:数列中的每一项都比前一项大。
- 单调递减数列:数列中的每一项都比前一项小。
- 正项数列:数列中的每一项都是正数。
- 负项数列:数列中的每一项都是负数。
3. 数列的应用- 利用数列的递推关系,求解实际问题中的特定数值。
- 利用数列的性质,进行数学推理和证明。
- 利用数列的规律,设计算法解决问题。
典型例题:1. 已知等差数列的前三项分别为 1,5,9,求数列的通项公式和第 n 项的值。
解:设数列的首项为 a,公差为 d,则有以下等差数列的递推公式:a2 = a1 + d = 1 + da3 = a2 + d = (1 + d) + d = 1 + 2d将 a1,a2,a3 分别代入等差数列的通项公式,可得:a1 = a = 1a2 = a + d = 1 + d = 5 --> d = 4a3 = a1 + 2d = 1 + 2(4) = 9所以该等差数列的通项公式为 an = a + (n-1)d = 1 + 4(n-1) = 4n - 3第 n 项的值为:an = 4n - 32. 求等差数列 3,6,9,...,101 的前 n 项和。
高考复习序列-----高中数学数列一、数列的通项公式与前n 项的和的关系①11,1,2n n n s n a s s n -=⎧=⎨-≥⎩(注:该公式对任意数列都适用)②1(2)n n n S S a n -=+≥ (注:该公式对任意数列都适用) ③12n n S a a a =+++L (注:该公式对任意数列都适用) ④s n+1−s n−1=a n+1+a n (注:该公式对任意数列都适用) 二、等差与等比数列的基本知识 1、等差数列⑴ 通项公式与公差:定义式:d a a n n =--1一般式:()q pn a d n a a n n +=⇔-+=11 推广形式: ()n m a a n m d =+-ma a d mn --=⇔;⑵ 前n 项和与通项n a 的关系:前n 项和公式:1()n n n a a s +=1(1)n n na d -=+211()2d n a d n =+-.前n 项和公式的一般式:应用:若已知()n n n f +=22,即可判断为某个等差数列n 的前n 项和,并可求出首项及公差的值。
n a 与n S 的关系:1(2)n n n a S S n -=-≥(注:该公式对任意数列都适用)例:等差数列12-=n S n ,=--1n n a a (直接利用通项公式作差求解) ⑶ 常用性质:①若m+n=p+q ,则有 m n p q a a a a +=+ ;特别地:若,m n p a a a 是的等差中项,则有2m n p a a a =+⇔n 、m 、p 成等差数列;②等差数列的“间隔相等的连续等长片断和序列”(如123,a a a ++456,a a a ++789a a a ++,⋅⋅⋅)仍是等差数列;③{}n a 为公差为d 等差数列,n S 为其前.n .项和..,则232,,m m m m m S S S S S --,43m m S S -,...也成等差数列, A 、 构成的新数列公差为D=m 2d ,即m 2d=(S 2m -S m )- S m ;B 、 对于任意已知S m ,S n ,等差数列{}n a ⎭⎬⎫⎩⎨⎧n S n 也构成一个公差为2d 等差数列。
一、等比数列选择题1.等比数列{}n a 的前n 项积为n T ,且满足11a >,10210310a a ->,102103101a a -<-,则使得1n T >成立的最大自然数n 的值为( )A .102B .203C .204D .2052.数列{}n a 是等比数列,54a =,916a =,则7a =( ) A .8B .8±C .8-D .13.已知等比数列{}n a 的各项均为正数,公比为q ,11a >,676712a a a a +>+>,记{}n a 的前n 项积为nT,则下列选项错误的是( ) A .01q << B .61a > C .121T > D .131T > 4.设{a n }是等比数列,若a 1 + a 2 + a 3 =1,a 2 + a 3 + a 4 =2,则 a 6 + a 7 + a 8 =( )A .6B .16C .32D .645.已知{}n a 是正项等比数列且1a ,312a ,22a 成等差数列,则91078a a a a +=+( ) A1B1C.3-D.3+6.已知等比数列{}n a 中,1354a a a ⋅⋅=,公比q =,则456a a a ⋅⋅=( ) A .32B .16C .16-D .32-7.已知数列{}n a 满足112a =,*11()2n n a a n N +=∈.设2n n n b a λ-=,*n N ∈,且数列{}n b 是单调递增数列,则实数λ的取值范围是( )A .(,1)-∞B .3(1,)2-C .3(,)2-∞D .(1,2)-8.在等比数列{}n a 中,132a =,44a =.记12(1,2,)n n T a a a n ==……,则数列{}n T ( )A .有最大项,有最小项B .有最大项,无最小项C .无最大项,有最小项D .无最大项,无最小项9.已知等比数列{}n a 的前n 项和为,n S 且639S S =,则42aa 的值为( )AB .2C.D .410.12与12的等比中项是( )A .-1B .1C.2D.2±11.题目文件丢失!12.已知等比数列{a n }中a 1010=2,若数列{b n }满足b 1=14,且a n =1n n b b +,则b 2020=( )A .22017B .22018C .22019D .2202013.明代朱载堉创造了音乐学上极为重要的“等程律”.在创造律制的过程中,他不仅给出了求解三项等比数列的等比中项的方法,还给出了求解四项等比数列的中间两项的方法.比如,若已知黄钟、大吕、太簇、夹钟四个音律值成等比数列,则有大吕=大吕=太簇.据此,可得正项等比数列{}n a 中,k a =( )A.n -B.n -C. D. 14.已知1a ,2a ,3a ,4a 成等比数列,且()21234123a a a a a a a +++=++,若11a >,则( )A .13a a <,24a a <B .13a a >,24a a <C .13a a <,24a a >D .13a a >,24a a >15.已知{}n a 是各项均为正数的等比数列,121a a +=,344a a +=,则5678a a a a +++=( )A .80B .20C .32D .2553 16.正项等比数列{}n a 满足:241a a =,313S =,则其公比是( ) A .14B .1C .12D .1317.已知数列{}n a 为等比数列,12a =,且53a a =,则10a 的值为( ) A .1或1-B .1C .2或2-D .218.十九世纪下半叶集合论的创立,奠定了现代数学的基础.著名的“康托三分集”是数学理性思维的构造产物,具有典型的分形特征,其操作过程如下:将闭区间[0,1]均分为三段,去掉中间的区间段12(,)33,记为第一次操作;再将剩下的两个区间1[0,]3,2[,1]3分别均分为三段,并各自去掉中间的区间段,记为第二次操作;…,如此这样,每次在上一次操作的基础上,将剩下的各个区间分别均分为三段,同样各自去掉中间的区间段.操作过程不断地进行下去,以至无穷,剩下的区间集合即是“康托三分集”.若使去掉的各区间长度之和不小于910,则需要操作的次数n 的最小值为( )(参考数据:lg 20.3010=,lg30.4771=)A .4B .5C .6D .719.设等差数列{}n a 的公差10,4≠=d a d ,若k a 是1a 与2k a 的等比中项,则k =( ) A .3或6 B .3 或-1 C .6D .320.中国古代数学著作《算法统宗》中有这样一个问题:“三百七十八里关,初行健步不为难,次日脚痛减一半,六朝才得到其关,要见次日行里数,请公仔细算相还.”你的计算结果是( ) A .80里B .86里C .90里D .96里二、多选题21.题目文件丢失!22.已知等比数列{}n a 公比为q ,前n 项和为n S ,且满足638a a =,则下列说法正确的是( )A .{}n a 为单调递增数列B .639S S = C .3S ,6S ,9S 成等比数列D .12n n S a a =-23.对任意等比数列{}n a ,下列说法一定正确的是( ) A .1a ,3a ,5a 成等比数列 B .2a ,3a ,6a 成等比数列 C .2a ,4a ,8a 成等比数列D .3a ,6a ,9a 成等比数列24.在公比为q 等比数列{}n a 中,n S 是数列{}n a 的前n 项和,若521127,==a a a ,则下列说法正确的是( ) A .3q = B .数列{}2n S +是等比数列 C .5121S =D .()222lg lg lg 3n n n a a a n -+=+≥25.设等比数列{}n a 的公比为q ,其前n 项和为n S ,前n 项积为n T ,并且满足条件11a >,667711,01a a a a -><-,则下列结论正确的是( ) A .01q <<B .681a a >C .n S 的最大值为7SD .n T 的最大值为6T26.设等比数列{}n a 的公比为q ,其前n 项和为n S ,前n 项积为n T ,并且满足条件11a >,671a a >,67101a a -<-,则下列结论正确的是( ) A .01q << B .8601a a << C .n S 的最大值为7SD .n T 的最大值为6T27.设首项为1的数列{}n a 的前n 项和为n S ,已知121n n S S n +=+-,则下列结论正确的是( )A .数列{}n S n +为等比数列B .数列{}n a 的通项公式为121n n a -=-C .数列{}1n a +为等比数列D .数列{}2n S 的前n 项和为2224n n n +---28.记单调递增的等比数列{}n a 的前n 项和为n S ,若2410a a +=,23464a a a =,则( )A .112n n n S S ++-=B .12n naC .21nn S =- D .121n n S -=-29.已知数列{}n a 为等差数列,11a =,且2a ,4a ,8a 是一个等比数列中的相邻三项,记()0,1na n nb a q q =≠,则{}n b 的前n 项和可以是( )A .nB .nqC .()121n n n q nq nq q q ++---D .()21121n n n q nq nq q q ++++---30.在公比q 为整数的等比数列{}n a 中,n S 是数列{}n a 的前n 项和,若 1418a a +=, 2312a a +=,则下列说法正确的是( )A .2qB .数列{}2n S +是等比数列C .8510S =D .数列{}lg n a 是公差为2的等差数列31.已知数列{}n a 的前n 项和为S ,11a =,121n n n S S a +=++,数列12n n n a a +⎧⎫⎨⎬⋅⎩⎭的前n 项和为n T ,*n ∈N ,则下列选项正确的为( )A .数列{}1n a +是等差数列B .数列{}1n a +是等比数列C .数列{}n a 的通项公式为21nn a =-D .1n T <32.关于等差数列和等比数列,下列四个选项中不正确的有( )A .若数列{}n a 的前n 项和2(n S an bn c a =++,b ,c 为常数)则数列{}n a 为等差数列B .若数列{}n a 的前n 项和122n n S +=-,则数列{}n a 为等差数列C .数列{}n a 是等差数列,n S 为前n 项和,则n S ,2n n S S -,32n n S S -,⋯仍为等差数列D .数列{}n a 是等比数列,n S 为前n 项和,则n S ,2n n S S -,32n n S S -,⋯仍为等比数列;33.等差数列{}n a 的公差为d ,前n 项和为n S ,当首项1a 和d 变化时,3813++a a a 是一个定值,则下列各数也为定值的有( ) A .7aB .8aC .15SD .16S34.对于数列{}n a ,若存在正整数()2k k ≥,使得1k k a a -<,1k k a a +<,则称k a 是数列{}n a 的“谷值”,k 是数列{}n a 的“谷值点”,在数列{}n a 中,若98na n n=+-,下面哪些数不能作为数列{}n a 的“谷值点”?( ) A .3B .2C .7D .535.对于数列{}n a ,若存在数列{}n b 满足1n n nb a a =-(*n ∈N ),则称数列{}n b 是{}n a 的“倒差数列”,下列关于“倒差数列”描述正确的是( ) A .若数列{}n a 是单增数列,但其“倒差数列”不一定是单增数列;B .若31n a n =-,则其“倒差数列”有最大值;C .若31n a n =-,则其“倒差数列”有最小值;D .若112nn a ⎛⎫=-- ⎪⎝⎭,则其“倒差数列”有最大值.【参考答案】***试卷处理标记,请不要删除一、等比数列选择题 1.C 【分析】由题意可得1021031a a >,1021031,1a a ><,利用等比数列的性质即可求解. 【详解】由10210310a a ->,即1021031a a >,则有21021a q ⨯>,即0q >。
1数列中a n 与S n 之间的关系:a nS ‘(n 1)注意通项能否合并。
S n & i ,(n 2).2、等差数列:⑴定义:如果一个数列从第 2项起,每一项与它的前一项的差等于同一个常数,即a n - a n 1=d , (n >2, n € N ), 那么这个数列就叫做等差数列。
⑵等差中项:若三数 a 、A b 成等差数列或a n pn q (p 、q 是常数)⑷前n 项和公式:n n 1 S n n^d2⑸常用性质: ① 若 mn p q m,n, p,q N ,贝U a m a n a p a q;② 下标为等差数列的项 a k ,a k m ,a k 2m ,,仍组成等差数列; ③ 数列 a n b ( ,b 为常数)仍为等差数列;④ 若{a n }、{0}是等差数列,则{ka n }、{ka n pb n } (k 、p 是非零常数)、{a p nq }( p,q N )、,…也成等差数列。
⑤单调性: a n 的公差为d ,则:i) d 0 a n 为递增数列; ii) d 0 a n 为递减数列; iii) d 0a n 为常数列;⑥数列{a n }为等差数列 a n pn q ( p,q 是常数)⑦若等差数列 a n 的前n 项和S n ,则S k 、S 2kS k 、S 3k S 2k …是等差数列。
3、等比数列⑴定义:如果一个数列从第 2项起,每一项与它的前一项的比等于同一个常数,那么这个数列就叫做等比数列。
⑵等比中项:若三数a 、Gb 成等比数列G 2 ab, ( ab 同号)。
反之不一定成立。
数列⑶通项公式:a n a 1(n 1)d a m (n m)dn a-i a n2⑶通项公式:a nn 1n maga m q⑷前n 项和公式:a 1 1 q n S i1 qa 1 a n q 1 q⑸常用性质①若m n pq m,n, p,q N , 则 am ana p a q;② a k ,a k m ,a k 2m ,为等比数列, 公比为 q k (下标成等差数列,则对应的项成等比数列)③ 数列a n (为不等于零的常数)仍是公比为 q 的等比数列;正项等比数列 a n ;则lg a n 是公差为lg q 的等差数列;④ 若a n 是等比数列,则 ca n , a n 2 ,a n r(r Z )是等比数列,公比依次是⑤ 单调性:a i 0,q 1或印 0,0 q 1 a “为递增数列; a i 0,0 q 1或q 0,q1a .为递减数列;q 1 a n 为常数列; q 0a n 为摆动数列;⑥ 既是等差数列又是等比数列的数列是常数列。
高中数学-数列求通项公式方法汇总及经典练习(含答案)1、定义法:直接求首项和公差或公比。
2、公式法:1 (1) (2)n n nn S n a S S n -=⎧=⎨-≥⎩两种用途(列举),结果要验证能否写成统一的式子.例、数列{}n a 的各项都为正数,且满足()()2*14nna S n N +=∈,求数列的通项公式.解一:由()()2*14nna S n N +=∈得()()()221114411n n n n n aS S a a +++=-=---化简得()()1120n n n n a a a a +++--=,因为10,2n n n a a a +>∴-=,又()2111441S a a ==-得11a =,故{}n a 是以1为首项,2为公差的等差数列,所以21n a n =-.解二:由()()2*14nn a S n N +=∈,可得()11,12n n n a S S n -=-∴=--≥化简可得)211n S -=,即1=,又11S =,所以数列是首项为1,公差为1的等差数列,∴n =,从而2n S n =,所以121n n n a S S n -=-=-,又11a =也适合,故21n a n =-.练习:已知数列{a n }的前n 项和S n 满足120n n n a S S -+=(2n ≥),a 1=21,求n a . 答案:a n =⎪⎪⎩⎪⎪⎨⎧≥--=)2()1(21)1(21n n n n .扩展一:作差法例、在数列}{n a 中,11a =,212323(1)n a a a na n n ++++=-+,求n a .解:由212323(1)n a a a na n n ++++=-+,得2123123(1)(2)1n a a a n a n n -++++-=-+-,两式相减,得66n na n =-+,∴ 1 (=1)66 (2)n n a n n n⎧⎪=-⎨≥⎪⎩.练习(理):已知数列{}n a 满足11231123(1)(2)n n a a a a a n a n -==++++-≥,,求n a .解:由123123(1)(2)n n a a a a n a n -=++++-≥,得1123123(1)n n n a a a a n a na +-=++++-+,两式相减,得1n n n a a na +-=,即11(2)n na n n a +=+≥,所以13222122![(1)43]2n n n n n a a a n a a n n a a a a a ---=⋅⋅⋅⋅=-⋅⋅⨯=又由已知,得2122a a a =+,则211a a ==,代入上式,得!13452n n a n =⋅⋅⋅⋅⋅=, 所以,{}n a 的通项公式为 1 (1)! (2)2n n a n n =⎧⎪=⎨≥⎪⎩.扩展二、作商法例、在数列}{n a 中,11a =,对所有的2n ≥,都有2123n a a a a n ••••=,求n a .解:∵2123n a a a a n ••••=,∴21232(1)n a a a a n -••••=-,故当2n ≥时,两式相除,得22(1)n n a n =-, ∴221 (=1) (2)(1)n n a n n n ⎧⎪=⎨≥⎪-⎩.3、 叠加法:对于型如)(1n f a a n n =-+类的通项公式.例、在数列{n a }中,31=a ,)1(11++=+n n a a n n ,求通项公式n a .答案:na n 14-=. 例、已知数列{}n a 满足112231n n n n a a ++=++-(*n N ∈),352a =,求通项n a .解:由112231n nn n aa ++=++-,两边同除以12n +,得()111131112222n n n n n n n a a n ++++-=-+≥,列出相加得121212121332323212212121-+⎥⎥⎦⎤⎢⎢⎣⎡⎪⎭⎫ ⎝⎛++⎪⎭⎫ ⎝⎛+-⎥⎥⎦⎤⎢⎢⎣⎡⎪⎭⎫ ⎝⎛++⎪⎭⎫ ⎝⎛+=---n a a n n n n又由已知求得16a =,∴()*231n n n n N a n ∈=•++.练习:已知数列}a {n 满足3a 132a a 1nn 1n =+⋅+=+,,求数列}a {n 的通项公式.答案:1n 32n 31332a n nn -+=++--⋅=.4、叠乘法:一般地,对于型如1+n a =f (n)·n a 的类型例(理)、已知数列{}n a 满足112(1)53nn n a n a a +=+⨯=,,求数列{}n a 的通项公式.解:因为112(1)53nn n a n a a +=+⨯=,,所以0n a ≠,则12(1)5n n na n a +=+,故13211221n n n n n a a a a a a a a a a ---=⋅⋅⋅⋅⋅121[2(11)5][2(21)5][2(11)5]3n n n n --=-+-++⨯⨯(1)1(1)(2)21122[(1)32]53325!n n n n n n n n n ---+-+++-=-⋅⋅⨯⨯⨯=⨯⨯⨯,所以数列{}n a 的通项公式为(1)12325!n n n n a n --=⨯⨯⨯.练习:在数列{a n }中,112a =,11(1n n n a a a n --=⋅+≥2),求n a . 答案:)1(1+=n n a n . 5、构造法:型如a n+1=pa n +f(n) (p 为常数且p ≠0, p ≠1)的数列(1)f(n)= q (q 为常数) 一般地,递推关系式a +1=pa n +q (p 、q 为常数,且p ≠0,p ≠1)等价与)1(11pqa p p q a n n --=--+,则{p q a n --1}为等比数列,从而可求n a .例、已知数列{}n a 满足112a =,132n n a a --=(2n ≥),求通项n a . 解:由132n n a a --=,得111(1)2n n a a --=--,又11210a -=≠,所以数列{1}n a -是首项为12,公比为12-的等比数列,∴11111(1)()1()22n nn a a -=---=+-. 练习:已知数列}{n a 的递推关系为121+=+n n a a ,且11=a ,求通项n a . 答案:12-=n na .(2) f(n)为等比数列,如f(n)= q n (q 为常数) ,两边同除以q n ,得111+=++nn n n qa p q a q ,令nn n a b q =,则可转化为b n+1=pb n +q 的形式求解.例、已知数列{a n }中,a 1=65,1111()32n n n a a ++=+,求通项n a . 解:由条件,得2 n+1a n+1=32(2 n a n )+1,令b n =2 n a n ,则b n+1=32b n +1,b n+1-3=32(b n -3) 易得 b n =3)32(341+--n ,即2 n a n =3)32(341+--n , ∴ a n =n n 2332+-. 练习、已知数列{}n a 满足1232n n n a a +=+⨯,12a =,求通项n a .答案:31()222nn a n =-.(3) f(n)为等差数列,如1n n a Aa Bn C +=++型递推式,可构造等比数列.(选学,注重记忆方法)例、已知数列{}n a 满足11=a ,11212n n a a n -=+-(2n ≥),求.解:令n n b a An B =++,则n n a b An B =--,∴11(1)n n a b A n B --=---,代入已知条件, 得11[(1)]212n n b An B b A n B n ---=---+-,即11111(2)(1)2222n n b b A n A B -=++++-,令202A +=,1022A B +-=,解得A=-4,B=6,所以112n n b b -=,且46n n b a n =-+, ∴{}n b 是以3为首项、以12为公比的等比数列,故132n n b -=,故13462n n a n -=+-. 点拨:通过引入一些尚待确定的系数,经过变形与比较,把问题转化成基本数列(等差或等比数列)求解. 练习:在数列{}a n 中,132a =,1263n n a a n --=-,求通项a n . 答案:a n nn -+=69912·().解:由1263n n a a n --=-,得111(63)22n n a a n -=+-,令11[(1)]2n n a An B a A n B -++=+-+,比较系数可得:A=-6,B=9,令n n b a An B =++,则有112n n b b -=,又1192b a A B ==++,∴{}n b 是首项为92,公比为12的等比数列,所以b n n =-92121(),故a n n n-+=69912·(). (4) f(n)为非等差数列,非等比数列法一、构造等差数列法例、在数列{}n a 中,1112(2)2()n n n n a a a n λλλ+*+==++-∈N ,,其中0λ>,求数列{}n a 的通项公式.解:由条件可得111221n nn nn n a a λλλλ+++⎛⎫⎛⎫-=-+ ⎪⎪⎝⎭⎝⎭,∴数列2n n n a λλ⎧⎫⎪⎪⎛⎫-⎨⎬ ⎪⎝⎭⎪⎪⎩⎭是首项为0,公差为1的等差数列,故21nnn a n λλ⎛⎫-=- ⎪⎝⎭,∴(1)2n n n a n λ=-+. 练习:在数列{a n }中,a na n a n n n n n 1132212==+++++,()()(),求通项a n 。
4.1.2 数列的递推公式知识点一数列的递推公式如果一个数列的相邻两项或多项之间的关系可以用一个式子来表示,那么这个式子叫做这个数列的递推公式.数列递推公式与通项公式的关系:递推公式表示a n 与它的前一项a n -1(或前n 项)之间的关系,而通项公式表示a n 与n 之间的关系. 要点二 a n 与S n 的关系1.前n 项和S n :把数列{a n }从第1项起到第n 项止的各项之和,称为数列{a n }的前n 项和,记作S n ,即S n =12n a a a +++ 2.a n 与S n 的关系:a n =11,1,2n n S n S S n -=⎧⎨-≥⎩【基础自测】1.判断正误(正确的画“√”,错误的画“×”) (1)根据通项公式可以求出数列的任意一项.( ) (2)有些数列可能不存在最大项.( ) (3)递推公式是表示数列的一种方法.( ) (4)所有的数列都有递推公式.( ) 【答案】(1)√(2)√(3)√(4)×2.数列{a n }中,a n +1=a n +2-a n ,a 1=2,a 2=5,则a 5=( ) A .-3 B .-11 C .-5 D .19 【答案】D【解析】a 3=a 2+a 1=5+2=7,a 4=a 3+a 2=7+5=12,a 5=a 4+a 3=12+7=19,故选D. 3.数列{a n }中,a n =2n 2-3,则125是这个数列的第几项( ) A .4 B .8 C .7 D .12 【答案】B【解析】令2n 2-3=125得n =8或n =-8(舍),故125是第8项.故选B. 4.已知数列{a n }的前n 项和为S n =n 2,则a n =________. 【答案】2n -1【解析】当n ≥2时,a n =S n -S n -1=n 2-(n -1)2=n 2-n 2+2n -1=2n -1.当n =1时,a 1=S 1=1满足上式,所以{a n }的通项公式为a n =2n -1.题型一 数列中项与项数关系的判断(1)写出数列的一个通项公式,并求出它的第20项;(2)判断42和10是不是该数列中的项?若是,指出是数列的第几项,若不是,请说明理由.【解析】(1)由于22=8,所以该数列前4项中,根号下的数依次相差3,所以它的一个通项公式为a n =3n -1;a 20=3×20-1=59.(2)令3n -1=42,两边平方得3n =33,解得n =11,是正整数令3n -1=10,两边平方得n =1013,不是整数.∴42是数列的第11项,10不是数列中的项. 【方法归纳】(1)由通项公式写出数列的指定项,主要是对n 进行取值,然后代入通项公式,相当于函数中,已知函数解析式和自变量的值求函数值.(2)判断一个数是否为该数列中的项,其方法是可由通项公式等于这个数求方程的根,根据方程有无正整数根便可确定这个数是否为数列中的项.(3)在用函数的有关知识解决数列问题时,要注意它的定义域是N *(或它的有限子集{1,2,3,…,n })这一约束条件.【跟踪训练1】已知数列{a n }的通项公式为a n =3n 2-28n . (1)写出此数列的第4项和第6项;(2)问-49是否是该数列的一项?如果是,应是哪一项?68是否是该数列的一项呢? 【解析】(1)a 4=3×42-28×4=-64, a 6=3×62-28×6=-60.(2)由3n 2-28n =-49解得n =7或n =73(舍去),所以-49是该数列的第7项.由3n 2-28n =68解得n =-2或n =343,所以68不是该数列的一项.题型二 已知S n 求a n例2 设S n 为数列{a n }的前n 项和,S n =2n 2-30n .求a n . 【解析】当n ≥2时,a n =S n -S n -1=2n 2-30n -[2(n -1)2-30(n -1)]=4n -32 当n =1时,a 1=S 1=-28,适合上式, 所以a n =4n -32.借助a n =⎩⎪⎨⎪⎧S 1,(n =1)S n -S n -1(n ≥2)【变式探究1】将本例中的“S n =2n 2-30n ”换为“S n =2n 2-30n +1”,求a n . 【解析】当n =1时,a 1=S 1=2×1-30×1+1=-27. 当n ≥2时,a n =S n -S n -1=2n 2-30n +1-[2(n -1)2-30(n -1)+1] =4n -32.验证当n =1时,上式不成立∴a n =⎩⎪⎨⎪⎧-27,n =14n -32,n ≥2.方法归纳已知数列{a n }的前n 项和公式S n ,求通项公式a n 的步骤: (1)当n =1时,a 1=S 1.(2)当n ≥2时,根据S n 写出S n -1,化简a n =S n -S n -1.(3)如果a 1也满足当n ≥2时,a n =S n -S n -1的通项公式,那么数列{a n }的通项公式为a n =S n -S n -1;如果a 1不满足当n ≥2时,a n =S n -S n -1的通项公式,那么数列{a n }的通项公式要分段表示为a n =⎩⎪⎨⎪⎧S 1,n =1S n -S n -1,n ≥2.【跟踪训练2】已知数列:a 1+3a 2+32a 3+…+3n -1a n =n 3,求a n .【解析】当n ≥2时,由a 1+3a 2+32a 3+…+3n -1a n =n 3,得a 1+3a 2+32a 3+…+3n -2a n -1=n -13,两式相减得3n -1a n =n 3-n -13=13,则a n =13n .当n =1时,a 1=13,满足a n =13n ,所以a n =13n .题型三 由数列递推公式求通项公式【例3】已知数列{a n }中,a 1=1,a n +1=a n +n +1,则a n =________.【答案】n (n +1)2【解析】∵a n +1=a n +n +1,a 1=1,∴a n +1-a n =n +1, ∴a n -a n -1=n ,a n -1-a n -2=n -1,…,a 2-a 1=2 以上式子相加得: a n -a 1=2+3+…+n∴a n =1+2+3+…+n =n (n +1)2.变形为:a n +1-a n =n +1,照此递推关系写出前n 项中任意相邻两项的关系,这些式子两边分别相加可求. 【变式探究2】若将“a n +1=a n +n +1”改为“a n +1=nn +1a n”,则a n =________.【答案】1n【解析】∵a n +1=n n +1a n ,a 1=1,∴a n +1a n =nn +1,∴a n a n -1=n -1n ,a n -1a n -2=n -2n -1,…,a 2a 1=12,以上式子两边分别相乘得:a n a 1=n -1n ×n -2n -1×…×12=1n∴a n =1n a 1=1n .【方法归纳】由数列的递推公式求通项公式时,若递推关系为a n +1=a n +f (n )或a n +1=g (n )·a n ,则可以分别通过累加法或累乘法求得通项公式,即:(1)累加法:当a n =a n -1+f (n )时,常用a n =a n -a n -1+a n -1-a n -2+…+a 2-a 1+a 1求通项公式.(2)累乘法:当a n a n -1=g (n )时,常用a n =a n a n -1·a n -1a n -2·…·a 2a 1·a 1求通项公式.【跟踪训练3】在数列{a n }中,a 1=2,a n +1=a n +ln ⎝⎛⎭⎫1+1n ,则a n =( ) A .2+ln n B .2+(n -1)ln n C .2+n ln n D .1+n +ln n 【答案】A【解析】∵在数列{a n }中,a n +1-a n =ln ⎝⎛⎭⎫1+1n =ln n +1n∴a n =(a n -a n -1)+(a n -1-a n -2)+…+(a 2-a 1)+a 1=ln n n -1+ln n -1n -2+…+ln 21+2=ln ⎝⎛⎭⎪⎫n n -1·n -1n -2·…·21+2=2+ln n .故选A.【易错辨析】数列中忽视n 的限制条件致误【例4】设S n 为数列{a n }的前n 项和,log 2(S n +1)=n +1,则a n =________.【答案】⎩⎪⎨⎪⎧3,n =12n ,n ≥2【解析】由log 2(S n +1)=n +1得S n +1=2n +1,∴S n =2n +1-1当n ≥2时a n =S n -S n -1=2n +1-1-2n +1=2n .当n =1时,a 1=S 1=3.经验证不符合上式.∴a n =⎩⎪⎨⎪⎧3,n =12n ,n ≥2.【易错警示】1. 出错原因忽视n =1的情况致错,得到错误答案:a n =2n . 2. 纠错心得已知a n 与S n 的关系求a n 时,常用a n =S n -S n -1(n ≥2)来求a n ,但一定要注意n =1的情况.一、单选题1.设数列{}n a 的前n 项和为n S ,11a =,2(1)nn S a n n =+-,(*n N ∈),若()22112n S S S n n+++--2013=,则n 的值为( ). A .1007 B .1006 C .2012 D .2014【答案】A 【分析】根据数列n a 与n S 的关系证得数列n S n ⎧⎫⎨⎬⎩⎭是以1为首项,以2为公差的等差数列,利用等差数列的前n 项和公式求出题中的式子,化简计算即可. 【解析】2(1)nn S a n n=+-, 12(1)(2)nn n S S S n n n-∴-=+-, 整理可得,1(1)2(1)n n n S nS n n ---=-, 两边同时除以(1)n n -可得12(2)1n n S S n n n --=-,又111S = ∴数列n S n ⎧⎫⎨⎬⎩⎭是以1为首项,以2为公差的等差数列,2321(1)23nS S S S n n∴++++-- 2(1)12(1)2n n n n -=⨯+⨯-- 22(1)n n =--21n =-,由题意可得,212013n -=, 解得1007n =. 故选:A .2.南宋数学家杨辉在《解析九章算法》和《算法通变本末》中,提出了一些新的垛积公式,所讨论的高阶等差数列与一般等差数列不同,前后两项之差并不相等,但是逐项差数之差或者高次差成等差数列,如数列1,3,6,10,前后两项之差得到新数列2,3,4,新数列2,3,4为等差数列,这样的数列称为二阶等差数列.对这类高阶等差数列的研究,在杨辉之后一般称为“垛积术”.现有高阶等差数列,其前7项分别为3,4,6,9,13,18,24,则该数列的第19项为( ) A .171 B .190 C .174 D .193【答案】C 【分析】根据题意可得数列3,4,6,9,13,18,24,⋯,满足:11(2)n n a a n n --=-,13a =,从而利用累加法即可求出n a ,进一步即可得到19a 的值. 【解析】3,4,6,9,13,18,24,后项减前项可得1,2,3,4,5,6,所以()1112,3n n a a n n a --=-≥=, 所以()()()112211n n n n n a a a a a a a a ---=-+-++-+()()1213n n =-+-+++()()()111133,222n n n n n -+⋅--=+=+≥.所以19191831742a ⨯=+=. 故选:C3.在数列{}n a 中,11a =,121nn n a a +-=-,则9a =( )A .512B .511C .502D .503【答案】D 【分析】利用累加法先求出通项即可求得答案. 【解析】因为11a =,121nn n a a +-=-,所以()()()121321n n n a a a a a a a a -=+-+-++-=()()()21211(21)21211222(1)2n n n n n --+-+-++-=++++--=-,所以9929503a =-=.故选:D. 4.数列23,45,69,817,1033,…的一个通项公式为( )A .221n n n a =+ B .2221n n n a +=+ C .1121n n n a ++=-D .12222n n n a ++=+【答案】A 【分析】根据数列中项的规律可总结得到通项公式. 【解析】1221321⨯=+,2422521⨯=+,3623921⨯=+,48241721⨯=+,510253321⨯=+, ∴一个通项公式为:221n nna =+. 故选:A.5.下列命题不正确的是( )A 的一个通项公式是n aB .已知数列{},3n n a a kn =-,且711a =,则1527a =C .已知数列{}n a 的前n 项和为()*,25n n n S S n N =-∈,那么123是这个数列{}n a 的第7项D .已知()*1n n a a n n N +=+∈,则数列{}n a 是递增数列【答案】C 【分析】A:根据被开方数的特征进行判断即可;B:运用代入法进行求解判断即可;C:根据前n项和与第n项之间的关系进行求解判断即可;D:根据递增数列的定义进行判断即可.【解析】对于A31⇒⨯na⇒=A正确;对于B,3na kn=-,且7151122327na k a n a=⇒=⇒=-⇒=,B正确;对于C,()*25nnS n N=-∈,13a=-,当2,n n N*≥∈时,111222n n nn n na S S---=-=-=,12127n-=,无正整数解,所以123不是这个数列{}n a的第7项,C错误;对于D.由()*11,0n n n na a n n N a a n++=+∈-=>,易知D正确,故选:C.6.已知数列{}n a的前n项和2nS n=,则数列11n na a+⎧⎫⎨⎬⎩⎭的前99项和为()A.1168B.1134C.198199D.99199【答案】D【分析】先根据11,2,1n nnS S naS n--≥⎧=⎨=⎩,求出21na n=-,然后利用裂项相消求和法即可求解.【解析】解:因为数列{}n a的前n项和2nS n=,2121nS n n-=-+,两式作差得到21(2)na n n=-≥,又当1n=时,21111a S===,符合上式,所以21na n=-,111111(21)(21)22121n na a n n n n+⎛⎫==-⎪-+-+⎝⎭,所以12233411111n na a a a a a a a+++++=111111111111233557212122121n n n n n ⎡⎤⎛⎫⎛⎫⎛⎫⎛⎫⎛⎫-+-+-++-=-= ⎪ ⎪ ⎪ ⎪ ⎪⎢⎥-+++⎝⎭⎝⎭⎝⎭⎝⎭⎝⎭⎣⎦, 所以12233499100111199992991199a a a a a a a a ++++==⨯+. 故选:D.7.数列{}n a 中的前n 项和22nn S =+,数列{}2log n a 的前n 项和为n T ,则20T =( ).A .190B .192C .180D .182【答案】B 【分析】根据公式1n n n a S S -=-计算通项公式得到14,12,2n n n a n -=⎧=⎨≥⎩,故2,11,2n n b n n =⎧=⎨-≥⎩,求和得到答案.【解析】当1n =时,111224a S ==+=;当2n ≥时,()11112222222n n n n n n n n a S S ----=-=+-+=-=,经检验14a =不满足上式,所以14,12,2n n n a n -=⎧=⎨≥⎩, 2log n n b a =,则2,11,2n n b n n =⎧=⎨-≥⎩,()201911921922T ⨯+=+=. 故选:B.8.已知数列{}n a 满足11a =,()()()11*12n n n n a a a a n N n n ++-=∈++,则10a 的值为( )A .1231B .2231C .1D .2【答案】B 【分析】首先根据已知条件得到1111112n n a a n n +-=-++,再利用累加法求解即可. 【解析】 因为()()()*1112n n n n a a n n n N a a ++++=∈-,所以()()()*11112nn n n a a n N a a n n ++-=∈++, 所以()()111111212n n n n a a a a n n n n ++-==-++++,即1111112n n a a n n +-=-++,当2n ≥时,11221111111n n n n a a a a a a ---⎛⎫⎛⎫⎛⎫-+-+⋯+- ⎪ ⎪ ⎪⎝⎭⎝⎭⎝⎭1111111123n n n n ⎛⎫⎛⎫⎛⎫=-+-+⋯+- ⎪⎪+ ⎪ ⎝⎭⎝⎭-⎝⎭, 1111121n a a n -=-+,解得()11131122122n n n a n n +=-+=≥++ 当1n =时,上式成立,故2231n n a n +=+,故102022230131a +==+. 故选:B二、多选题9.数列{a n }的前n 项和为S n ,()*111,2N n n a a S n +==∈,则有( )A .S n =3n -1B .{S n }为等比数列C .a n =2·3n -1D .21,123,2n n n a n -=⎧=⎨⋅≥⎩【答案】ABD 【分析】根据11,1,2n n n S n a S S n -=⎧=⎨-≥⎩求得n a ,进而求得n S 以及判断出{}n S 是等比数列.【解析】依题意()*111,2N n n a a S n +==∈,当1n =时,2122a a ==, 当2n ≥时,12n n a S -=,11222n n n n n a a S S a +--=-=,所以13n n a a +=,所以()2223232n n n a a n --=⋅=⋅≥,所以21,123,2n n n a n -=⎧=⎨⋅≥⎩. 当2n ≥时,1132n n n a S -+==;当1n =时,111S a ==符合上式,所以13n n S -=.13n nS S +=,所以数列{}n S 是首项为1,公比为3的等比数列. 所以ABD 选项正确,C 选项错误.故选:ABD10.已知数列{}n a 的前n 项和22n n nS +=,数列{}n b 满足1n n b a =,若n b ,2n b +,n k b +(k *∈N ,2k >)成等差数列,则k 的值不可能是( ) A .4 B .6 C .8 D .10【答案】AD 【分析】利用n a 与n S 的关系,求得n a ,进而求得n b ,然后根据n b ,2n b +,n k b +(k *∈N ,2k >)成等差数列,得到n 与k 的关系,进而求得答案.【解析】当1n =时,11212a S ===,当2n ≥时,()()2211122n n n n n n n a S S n --+++=-=-=,故n a n =(N n *∈),11n n b a n ==(N n *∈).因为n b ,2n b +,n k b +(N k *∈,2k >)成等差数列,所以22n n n k b b b ++=+,即2112n n n k=+++,所以48422n k n n ==+--,(2k >,N k *∈),从而2n -的取值为1,2,4,8,则对应的k 的值为12,8,6,5,所以k 的值不可能是4,10, 故选:AD .第II 卷(非选择题)请点击修改第II 卷的文字说明三、填空题11.数列{}n a 的前n 项的和231n S n n =++,n a =________.【分析】利用2n 时,1n n n a S S -=-求n a ,同时注意11a S =. 【解析】解析:由题可知,当2n 时,1n n n a S S -=-22313(1)(1)1n n n n ⎡⎤=++--+-+⎣⎦62n =-,当1n =时,113115a S ==++=,故答案为:5,162,2n n n =⎧⎨-⎩.12.设数列{a n }的前n 项和为S n =2n -3,则a n =________.【答案】【解析】解析 当n ≥2时,a n =S n -S n -1=(2n -3)-[2(n -1)-3]=2,又a 1=S 1=2×1-3=-1,故a n =13.已知数列{}n a 的前n 项和为n S ,若n n a b S +=,2414a a =,则数列{}n a 的通项公式为___________. 【答案】212n -⎛⎫ ⎪⎝⎭或212n -⎛⎫- ⎪⎝⎭【分析】 由n n a b S +=可得数列{}n a 是公比为12的等比数列,然后根据2414a a =求出21a =即可. 【解析】因为n n a b S +=,所以当1n =时,1112b a S a +==,即12b a = 当2n ≥时,11n n b a S --+=,然后可得10n n n a a a --+=,即()1122n n a a n -=≥ 所以数列{}n a 是公比为12的等比数列 所以21124b a a ==,4111816a a b ==, 因为22411644a ab ==,所以4b =±, 当4b =时, 21a =,2221122n n n a a --⎛⎫⎛⎫== ⎪ ⎪⎝⎭⎝⎭当4b =-时, 21a =-,2221122n n n a a --⎛⎫⎛⎫==- ⎪ ⎪⎝⎭⎝⎭故答案为:212n -⎛⎫ ⎪⎝⎭或212n -⎛⎫- ⎪⎝⎭四、解答题 14.已知数列{}n a 的前n 项和()2*2n S n kn k N =-+∈,且n S 的最大值为4.(1)求常数k 及n a ;(2)设()17n n b n a =-,求数列{}n b 的前n 项和n T . 【答案】(1)2k =,25n a n =-+ (2)2(1)n n T n =+ 【分析】(1)由于()222*2()n S n kn n k k k N =-+=--+∈,则可得24k =,从而可求出2k =,然后利用11,1,2n n n S n a S S n -=⎧=⎨-≥⎩求出n a , (2)由(1)可得11121n b n n ⎛⎫=- ⎪+⎝⎭,然后利用裂项相消求和法求解即可 (1)因为()222*2()n S n kn n k k k N =-+=--+∈,所以当n k =时,n S 取得最大值2k , 所以24k =,因为*k N ∈,所以2k =,所以24n S n n =-+,当1n =时,11143a S ==-+=,当2n ≥时,2214[(1)4(1)]25n n n a S S n n n n n -=-=-+---+-=-+,13a =满足上式,所以25n a n =-+(2)由(1)可得()()11111177252(1)21n n b n a n n n n n n ⎛⎫====- ⎪-+-++⎝⎭, 所以1111111112222321n T n n ⎛⎫⎛⎫⎛⎫=⨯-+⨯-+⋅⋅⋅+⨯- ⎪ ⎪ ⎪+⎝⎭⎝⎭⎝⎭ 111212(1)n n n ⎛⎫=-= ⎪++⎝⎭ 15.已知数列{}n a 满足()23*1232222n n a a a a n n N ++++=∈,求数列{}n a 的通项公式.【答案】12n na =【分析】 先根据前n 项和与通项的关系得12n n a =,再检验1n =时也满足条件即可求得答案. 【解析】因为23*1232222()n n a a a a n n N ++++=∈①, 所以()2311231222212n n a a a x a n n --++++=-≥②, ①-②得21(2)n n a n =≥,即 12n n a =, 当1n =时,112a =,满足12n n a =, 所以12n na = 16.已知数列{}n a 的前n 项和112n n S ⎛⎫=+ ⎪⎝⎭,求数列{}n a 的通项公式. 【答案】312122n n n a n ⎧=⎪⎪=⎨⎛⎫⎪-≥ ⎪⎪⎝⎭⎩ 【分析】根据n S 与n a 的关系式,求解数列的通项公式即可.需要注意验证首项.【解析】()111111222n n n n S S n --⎛⎫⎛⎫=+∴=+≥ ⎪ ⎪⎝⎭⎝⎭①②-①②得()122n n a n ⎛⎫=-≥ ⎪⎝⎭ 根据题意,1111311222a S ⎛⎫==+=≠- ⎪⎝⎭ 所以数列的通项公式为312122n n n a n ⎧=⎪⎪=⎨⎛⎫⎪-≥ ⎪⎪⎝⎭⎩。
数列求和例题精讲1. 公式法求和(1)等差数列前n 项和公式 d n n na a a n a a n S k n k n n 2)1(2)(2)(111-+=+=+=-+ (2)等比数列前n 项和公式 1=q 时 1na S n =1≠q 时 qqa a q q a S n n n --=--=11)1(11(3)前n 个正整数的和 2)1(321+=++++n n n Λ 前n 个正整数的平方和 6)12)(1(3212222++=++++n n n n Λ前n 个正整数的立方和 23333]2)1([321+=++++n n n Λ公式法求和注意事项 (1)弄准求和项数n 的值;(2)等比数列公比q 未知时,运用前n 项和公式要分类。
例1.求数列13741+n ,,,,Λ的所有项的和例2.求和221-++++n x x x Λ(0,2≠≥x n )2.分组法求和例3.求数列1,21+,321++,…,n ++++Λ321的所有项的和。
例4.已知数列{}n a 中,⎪⎩⎪⎨⎧+=)()2()(15为偶数为奇数n n n a nn ,求m S 2。
3.并项法求和例5.数列{}n a 中, 21)1(n a n n +-=,求100S 。
例6.数列{}n a 中,,n a n n 4)1(-=,求20S 及35S 。
4.错位相减法求和{}{}{}若为等差数列,为等比数列,求数列(差比数列)前项a b a b n n n n n{}和,可由求,其中为的公比。
S qS S q b n n n n -例7.求和12321-++++n nx x x Λ(0≠x )。
5.裂项法求和:把数列各项拆成两项或多项之和,使之出现成对互为相反数的项。
例8.求和)12)(12(1751531311+-++⨯+⨯+⨯n n Λ。
例9.求和nn +++++++++11321231121Λ。
[练习] 求和:…………111211231123+++++++++++n (…………,)a S n n n ===-+2116 . 倒序相加法:把数列的各项顺序倒写,再与原来顺序的数列相加。
高中数学必须掌握的十种数列通项公式的解题方法和典型例题
在高考中数列部分的考查既是重点又是难点,不论是选择题或填空题中对基础知识的考查,还是压轴题中与其他章节知识的综合,抓住数列的通项公式通常是解题的关键和解决数列难题的瓶颈。
求通项公式也是学习数列时的一个难点。
由于求通项公式时渗透多种数学思想方法,因此求解过程中往往显得方法多、灵活度大、技巧性强。
通项公式普通的求法:
(1)构造等比数列:凡是出现关于后项和前项的一次递推式都可以构造等比数列求通项公式;
(2)构造等差数列:递推式不能构造等比数列时,构造等差数列;
(3)递推:即按照后项和前项的对应规律,再往前项推写对应式。
已知递推公式求通项常见方法:
①已知a1=a,a n+1=qa n+b,求a n时,利用待定系数法求解,其关键是确定待定系数λ,使a n+1+λ=q(a n+λ)进而得到λ。
②已知a1=a,a n=a n-1+f(n)(n≥2),求a n时,利用累加法求解,即
a n=a1+(a2-a1)+(a3-a2)+…+(a n-a n-1)的方法。
③已知a1=a,a n=f(n)a n-1(n≥2),求a n时,利用累乘法求解。
非常实用的十大解题方法及典型例题
方法一数学归纳法
方法二 Sn 法
方法三累加法
方法四累乘法
方法五构造法一
方法六构造法二
方法七构造法三
方法八构造法四
方法九构造五
方法十构造六。
高中数学53个题型归纳与方法技巧总结篇专题23数列的基本知识与概念【考点预测】1.数列的概念(1)数列的定义:按照一定顺序排列的一列数称为数列,数列中的每一个数叫做这个数列的项.(2)数列与函数的关系:从函数观点看,数列可以看成以正整数集N *(或它的有限子集{}12n ⋯,,,)为定义域的函数()n a f n =当自变量按照从小到大的顺序依次取值时所对应的一列函数值.(3)数列有三种表示法,它们分别是列表法、图象法和通项公式法.2.数列的分类(1)按照项数有限和无限分:(2)按单调性来分:111()n n n nn n a a a a a a C +++≥⎧⎪≥⎪⎨==⎪⎪⎩递增数列:递减数列: ,常数列:常数摆动数列 3.数列的两种常用的表示方法(1)通项公式:如果数列{}n a 的第n 项与序号n 之间的关系可以用一个式子来表示,那么这个公式叫做这个数列的通项公式.(2)递推公式:如果已知数列{}n a 的第1项(或前几项),且从第二项(或某一项)开始的任一项与它的前一项(或前几项)间的关系可以用一个公式来表示,那么这个公式就叫做这个数列的递推公式.【方法技巧与总结】(1)若数列{}n a 的前n 项和为n S ,通项公式为n a ,则1112n n n S n a S S n n N*-=⎧⎪=⎨-≥∈⎪⎩ , , ,注意:根据n S 求n a 时,不要忽视对1n =的验证.(2)在数列{}n a 中,若n a 最大,则11n n n n a a a a -+≥⎧⎨≥⎩ , 若n a 最小,则11.n n nn a a a a -+≤⎧⎨≤⎩【题型归纳目录】题型一:数列的周期性题型二:数列的单调性题型三:数列的最大(小)项题型四:数列中的规律问题题型五:数列的最值问题【典例例题】题型一:数列的周期性例1.已知无穷数列{}n a 满足()21N n n n a a a x *++=-∈,且11a =,2a x =()x ∈Z ,若数列{}n a 的前2020项中有100项是0,则下列哪个不能是x 的取值()A .1147B .1148C .1142-D .1143-例2.若[]x 表示不超过x 的最大整数(如[]2.52=,[]44=,[]2.53-=-),已知2107n n a ⎡⎤=⨯⎢⎥⎣⎦,11b a =,()*110,2n n n b a a n n -=-∈≥N ,则2019b =()A .2B .5C .7D .8例3.数列{}n a 满足12a =,111nn na a a ++=-,其前n 项积为n T ,则10T 等于()A .16B .16-C .6D .6-例4.若数列{}n a 满足1222a a ==,且21n n n a a a ++=-,则{}n a 的前100项和为()A .67B .68C .134D .167例5.数列{}n a 满足112,0,2121,1,2n n n n n a a a a a +⎧≤<⎪⎪=⎨⎪-≤<⎪⎩若125a =,则2021a 等于()A .15B .25C .35D .45例6.已知数列{}n a 满足,()()111122,32n n n n n a a a a a ----⎧-+>⎪=⎨-⎪⎩ *(,1)n N n ∈>,若1(2,3)a ∈且记数列{}n a 的前n 项和为n S ,若2019=m S ,则2019S 的值为()A .60572B .3028C .60552D .3029例7.(2022·广东汕头·三模)已知数列{}n a 中,114a =-,当1n >时,111n n a a -=-,则2022a =()A .14-B .45C .5D .45-例8.(2022·河北·沧县中学高三阶段练习)已知数列{}n a 中,()1112n n n a a a n --=⋅+≥,12a =,则10a 等于()A .12-B .12C .-1D .2题型二:数列的单调性例9.(2022·四川达州·二模(理))已知单调递增数列{}n a 满足9,102121,109n n m n a m n n -⎧≥⎪=⎨⎛⎫+-< ⎪⎪⎝⎭⎩,则实数m 的取值范围是()A .[)12,+∞B .()1,12C .()1,9D .[)9,+∞例10.(2022·河南·温县第一高级中学高三阶段练习(文))已知函数()()633,7,7x a x x f x a x -⎧--≤=⎨>⎩,若数列{}n a 满足()()*n a f n n N =∈且{}n a 是递增数列,则实数a 的取值范围是()A .9,34⎛⎫ ⎪⎝⎭B .9,34⎡⎫⎪⎢⎣⎭C .()2,3D .[)2,3例11.(2022·浙江·高三专题练习)已知数列{}n a 的首项为11a =,2a a =,且121(2,)n n a a n n n N *++=+≥∈,若数列{}n a 单调递增,则a 的取值范围为()A .12a <<B .23a <<C .3522a <<D .1322a <<例12.(2022·全国·高三专题练习)已知等比数列{}n a 前n 项和n S 满足113n n S A +=-⋅(A R ∈),数列{}n b 是递增的,且2n b An Bn =+,则实数B 的取值范围为()A .2,3⎡⎫-+∞⎪⎢⎣⎭B .[)1,-+∞C .()1,-+∞D .1,3⎛⎫-+∞ ⎪⎝⎭例13.(2022·全国·高三专题练习(理))已知数列{}n a 满足()712,83,8n n a n n a n a n *-⎧⎛⎫-+>⎪ ⎪=∈⎝⎭⎨⎪≤⎩N ,若对于任意n *∈N 都有1n n a a +>,则实数a 的取值范围是()A .10,3⎛⎫ ⎪⎝⎭B .10,2⎛⎫ ⎪⎝⎭C .1,12⎛⎫ ⎪⎝⎭D .11,32⎛⎫ ⎪⎝⎭例14.(2022·全国·高三专题练习)设数列{}n a 的通项公式为2n a n bn =+,若数列{}n a 是单调递增数列,则实数b 的取值范围为()A .(2,)-+∞B .[2,)-+∞C .(3,)-+∞D .(,3)-∞-【方法技巧与总结】解决数列的单调性问题的3种方法作差比较法根据1n n a a +-的符号判断数列{}n a 是递增数列、递减数列或是常数列作商比较法根据1(>0<0)n n n na a a a +或与1的大小关系进行判断数形结合法结合相应函数的图象直观判断题型三:数列的最大(小)项例15.已知数列{}n a 的首项为1,且()()*111n n n a a n n ++=∈+N ,则na的最小值是()A .12B .1C .2D .3例16.已知数列{}n a 满足110a =,12n na a n+-=,则n a n 的最小值为()A .-1B .112C .163D .274例17.已知数列{}n a 的前n 项和n S ,且2(1)n n S a n -=-,22na nn b S =,则数列{}n b 的最小项为()A .第3项B .第4项C .第5项D .第6项例18.已知数列{}n a 的前n 项和2212,n S n n =-数列{||}n a 的前n 项和,n T 则nT n的最小值____例19.数列,1n =,2, ,中的最小项的值为__________.【方法技巧与总结】求数列的最大项与最小项的常用方法(1)将数列视为函数()f x 当x ∈N *时所对应的一列函数值,根据f (x )的类型作出相应的函数图象,或利用求函数最值的方法,求出()f x 的最值,进而求出数列的最大(小)项.(2)通过通项公式n a 研究数列的单调性,利用11()2n n nn a a a n a -+≥⎧⎨≥⎩≥,确定最大项,利用11()2n n nn a a a n a -+≤⎧⎨≤⎩≥,确定最小项.(3)比较法:若有1()()10n n a a f n f n -=+->+或0n a >时11n na a +>,则1n n a a +>,则数列{}n a 是递增数列,所以数列{}n a 的最小项为1(1)a f =;若有1()()10n n a a f n f n =-+-<+或0n a >时11n na a +<,则1n n a a <+,则数列{}n a 是递减数列,所以数列{}n a 的最大项为1(1)a f =.题型四:数列中的规律问题例20.蜜蜂被认为是自然界中最杰出的建筑师,单个蜂巢可以近似地看作是一个正六边形,如图为一组蜂巢的截面图.其中第一个图有1个蜂巢,第二个图有7个蜂巢,第三个图有19个蜂巢,按此规律,以()f n 表示第n 幅图的蜂巢总数,则(4)f =();()f n =().A .352331n n +-B .362331n n -+C .372331n n -+D .382331n n +-例21.由正整数组成的数对按规律排列如下:()1,1,()1,2,()2,1,()1,3,()2,2,()3,1,()1,4,()2,3,()3,2,()4,1,()1,5,()2,4,⋅⋅⋅.若数对(),m n 满足()22222021m n -⋅-=,,m n N *∈,则数对(),m n 排在()A .第386位B .第193位C .第348位D .第174位例22.已知“整数对”按如下规律排列:()()()()()1,11,22,11,32,2,,,,,()()()3,11,42,3,,()3,2,,()4,1,…,则第68个“整数对”为()A .()1,12B .()3,10C .()2,11D .()3,9例23.将正整数排列如下:123456789101112131415……则图中数2020出现在A .第64行3列B .第64行4列C .第65行3列D .第65行4列题型五:数列的最值问题例24.(2022·北京市第十二中学高三期中)已知数列{}n a 满足32n a n n=+,则数列{}n a 的最小值为()A .343B .575C .D .12例25.(2022·全国·高三专题练习)已知数列{}n a ,2141n n a n n -=+-,则下列说法正确的是()A .此数列没有最大项B .此数列的最大项是3aC .此数列没有最小项D .此数列的最小项是2a 例26.(2022·河南·高三阶段练习(理))在数列{}n a 中,11a =,1n n a a n --=(N n +∈,2n ≥),则11n a n ++的最小值是()A .12B .34C .1D .32例27.(2022·辽宁·高三阶段练习)若数列{}n a 满足24122,n nn n n a T a a a -==⋅⋅⋅,则n T 的最小值为()A .92-B .102-C .112-D .122-例28.(2022·全国·高三专题练习)若数列{}n a 满足113a =,1n n n a a +-=,则na n的最小值为()A .235B .143C 12D .13例29.(2022·全国·高三专题练习)设221316n a n n =-+-,则数列{}n a 中最大项的值为()A .134B .5C .6D .132例30.(2022·浙江·高三专题练习)已知数列{}n a 的通项公式为211n aa n n n=-+,5a 是数列{}n a 的最小项,则实数a 的取值范围是()A .[]40,25--B .[]40,0-C .[]25,25-D .[]25,0-【过关测试】一、单选题1.(2022·陕西·交大附中模拟预测(理))函数()f x 定义如下表,数列{}()N n x n ∈满足02x =,且对任意的自然数n 均有()1n n x f x +=,则2022x =()x 12345()f x 51342A .1B .2C .4D .52.(2022·内蒙古赤峰·模拟预测(理))大衍数列来源于《乾坤谱》中对易传“大衍之数五十”的推论,主要用于解释中国传统文化中的太极衍生原理.数列中的每一项,都代表太极衍生过程中曾经经历过的两仪数量总和,其中一列数如下:0,2,4,8,12,18,24,32,40,50,…….按此规律得到的数列记为{}n a ,其前n 项和为n S ,给出以下结论:①22122n a n n -=-;②182是数列{}n a 中的项;③21210a =;④当n 为偶数时,()2122n n n S S S n n *++-+=+∈N .其中正确的序号是()A .①②B .②③C .①④D .③④3.(2022·河南·模拟预测(理))观察数组()2,2,()3,4,()4,8,()5,16,()6,32,…,根据规律,可得第8个数组为()A .()9,128B .()10,128C .()9,256D .()10,2564.(2022·吉林长春·模拟预测(理))已知数列{}n a 满足()()11120n n a a +-++=,112a =,则数列{}n a 的前2022项积为()A .16-B .23C .6-D .325.(2022·江西·临川一中模拟预测(理))已知数列{}n a 满足()1112,21*+-==∈-n n n a a a n N a ,则2022=a ()A .13B .1C .2D .526.(2022·全国·高三专题练习)已知数列{}n a 的通项公式为n aa n n=+,则“21a a >”是“数列{}n a 单调递增”的()A .充分不必要条件B .必要不充分条件C .充分必要条件D .既不充分也不必要条件7.(2022·全国·高三专题练习)已知数列{}n a 满足()2**2,5,,1,5,.n n tn n n a t n n n ⎧-+≤∈⎪=⎨->∈⎪⎩N N 且数列{}n a 是单调递增数列,则t 的取值范围是()A .919,24⎛⎫⎪⎝⎭B .9,2⎛⎫+∞ ⎪⎝⎭C .()5,+∞D .(]1,48.(2022·全国·高三专题练习)若数列{an }的前n 项和Sn =n 2-10n (n ∈N *),则数列{nan }中数值最小的项是()A .第2项B .第3项C .第4项D .第5项9.(2022·上海普陀·二模)数列{}n a 的前n 项的和n S 满足*1(N )n n S S n n ++=∈,则下列选项中正确的是()A .数列{}1n n a a ++是常数列B .若113a <,则{}n a 是递增数列C .若11a =-,则20221013S =D .若11a =,则{}n a 的最小项的值为1-10.(2022·北京四中三模)已知数列{n a }的通项为22n a n n λ=-,则“0λ<”是“*n ∀∈N ,1n n a a +>”的()A .充分不必要条件B .必要不充分条件C .充要条件D .既不充分也不必要条件二、多选题11.(2022·河北·衡水第一中学高三阶段练习)大衍数列,来源于《乾坤谱》中对易传“大衍之数五十”的推论.主要用于解释中国传统文化中的太极衍生原理.数列中的每一项,都代表太极衍生过程中,曾经经历过的两仪数量总和,是中国传统文化中隐藏着的世界数学史上第一道数列题.其前10项依次是0,2,4,8,12,18,24,32,40,50,…,则下列说法正确的是()A .此数列的第20项是200B .此数列的第19项是180C .此数列偶数项的通项公式为222n a n=D .此数列的前n 项和为(1)n S n n =⋅-12.(2022·全国·高三专题练习)若数列{}n a 满足1112,012,1321,12n n n n n a a a a a a +⎧⎪⎪==⎨⎪-<<⎪⎩ ,则数列{}n a 中的项的值可能为()A .13B .2C .23D .4513.(2022·全国·高三专题练习)下列四个选项中,不正确的是()A .数列2345,,,3456,⋯的一个通项公式是1n n a n =+B .数列的图象是一群孤立的点C .数列1,1-,1,1-,⋯与数列1-,1,1-,1,⋯是同一数列D .数列11,24,⋯,12n是递增数列14.(2022·全国·高三专题练习)已知n S 是{}n a 的前n 项和,12a =,()1112n n a n a -=-≥,则下列选项错误的是()A .20212a =B .20211012S =C .331321n n n a a a ++⋅⋅=D .{}n a 是以3为周期的周期数列15.(2022·全国·高三专题练习)若数列{an }满足112,2712,62n n n n n a a a a a +⎧≤⎪⎪=⎨⎪->⎪⎩,123a =,则数列{an }中的项的值可能为()A .19B .16C .13D .4316.(2022·全国·高三专题练习)已知数列{}n a 满足112a =-,111n n a a +=-,则下列各数是{}n a 的项的有()A .2-B .23C .32D .317.(2022·全国·高三专题练习(文))南宋杨辉在他1261年所著的《详解九章算术》一书中记录了一种三角形数表,称之为“开方作法本源”图,即现在著名的“杨辉三角”.如图是一种变异的杨辉三角,它是将数列{}n a 各项按照上小下大,左小右大的原则写成的,其中{}n a 是集合{}220,,s ts t s t Z +≤<∈且中所有的数从小到大排列的数列,即13a =,25a =,36a =,49a =,510a =,…,则下列结论正确的是()A .第四行的数是17,18,20,24B .()11232-+=⋅n n n a C .()11221n n a n +=+D .10016640a =18.(2022·全国·高三专题练习)如图所示的数表中,第1行是从1开始的正奇数,从第2行开始每个数是它肩上两个数之和.则下列说法正确的是()A .第6行第1个数为192B .第10行的数从左到右构成公差为102的等差数列C .第10行前10个数的和为9952⨯D .数表中第2021行第2021个数为202060612⨯19.(2022·河北·石家庄实验中学高三开学考试)大衍数列,来源于《乾坤谱》中对易传“大衍之数五十”的推论.主要用于解释中国传统文化中的太极衍生原理.数列中的每一项,都代表太极衍生过程中,曾经经历过的两仪数量总和,是中国传统文化中隐藏着的世界数学史上第一道数列题.其前10项依次是0,2,4,8,12,18,24,32,40,50,…,则下列说法正确的是()A .此数列的第20项是200B .此数列的第19项是182C .此数列偶数项的通项公式为222n a n=D .此数列的前n 项和为(1)n S n n =⋅-20.(2022·福建漳州·三模)已知数列{n a }的前n 项和为211n S n n =-,则下列说法正确的是().A .{}n a 是递增数列B .{}n a 是递减数列C .122n a n=-D .数列{}n S 的最大项为5S 和6S 21.(2022·湖南·长沙一中高三阶段练习)对于正整数n ,()n ϕ是小于或等于n 的正整数中与n 互质的数的数目.函数()n ϕ以其首名研究者欧拉命名,称为欧拉函数,例如()96ϕ=(1,2,4,5,7,8与9互质),则()A .若n 为质数,则()1n n ϕ=-B .数列(){}n ϕ单调递增C .数列()2n n ϕ⎧⎫⎪⎪⎨⎬⎪⎪⎩⎭的前5项和等于72D .数列(){}3nϕ为等比数列三、填空题22.(2022·北京·人大附中模拟预测)能说明命题“若无穷数列{}n a 满足()111,2,3,n na n a +>= ,则{}n a 为递增数列”为假命题的数列{}n a 的通项公式可以为n a =__________.23.(2022·陕西·宝鸡中学模拟预测)写出一个符合下列要求的数列{}n a 的通项公式:①{}n a 是无穷数列;②{}n a 是单调递减数列;③20n a -<<.这个数列的通项可以是__________.24.(2022·海南·模拟预测)写出一个同时具有下列性质①②③的数列{}n a 的通项公式:n a =__________.①10n n a a +<;②数列{}n a 是单调递减数列;③数列{}2nn a 是一个等比数列.25.(2022·江西·临川一中模拟预测(文))已知23n a n n =+,若2nn a λ≤对于任意*n ∈N 恒成立,则实数λ的取值范围是_______.26.(2022·天津市新华中学高三期末)在数列{}n a 中,()71()8n n a n =+,则数列{}n a 中的最大项的n =________.27.(2022·山西·模拟预测(理))数列{}n a 中,已知11a =,20a >,()*21n n n a a a n ++=-∈N ,则2022a 的取值范围是___________.28.(2022·四川成都·三模(理))已知数列{}n a 满足13a =,122n n n a a a ++=,则2022a 的值为______.29.(2022·全国·模拟预测)在数列{}na 中,11a =,1,231,nn n n n a a a a a +⎧⎪=⎨⎪+⎩为偶数为奇数,则1232021a a a a ++++= ___.。
11数列一、数列的基础知识1.数列{a n }的通项a n 与前n 项的和S n 的关系它包括两个方面的问题:一是已知S n 求a n ,二是已知a n 求S n ;2.递推数列,解决这类问题时一般都要与两类特殊数列相联系,设法转化为等差数列与等比数列的有关问题,然后解决。
常见类型:类型Ⅰ:⎩⎨⎧=≠+=+为常数)a a a n p n q a n p a n n ()0)(()()(11(一阶递归) 其特例为:(1))0(1≠+=+p q pa a n n (2))0()(1≠+=+p n q pa a n n(3))0()(1≠+=+p q a n p a n n解题方法:利用待定系数法构造类似于“等比数列”的新数列。
类型Ⅱ:⎩⎨⎧==≠≠+=++为常数)b a b a a a q p qa pa a n n n ,(,)0,0(2112(二阶递归) 解题方法:利用特征方程x 2=px+q ,求其根α、β,构造a n =Aαn +Bβn ,代入初始值求得B A ,。
类型Ⅲ:a n+1=f (a n )其中函数f (x )为基本初等函数复合而成。
解题方法:一般情况下,通过构造新数列可转化为前两种类型。
二、等差数列与等比数列1.定义:2.通项公式与前n 项和公式:函数的思想:等差数列可以看作是一个一次函数型的函数;等比数列可以看作是一个指数函数型的函数。
可以利用函数的思想、观点和方法分析解决有关数列的问题。
三.等差数列与等比数列数列问题的综合性和灵活性如何表现?数列问题的综合性主要表现在1.数列中各相关量的关系较为复杂、隐蔽.2.同一问题中出现有若干个相关数列,既有等差或等比数列,也有非等差,非等比的数列,需相互联系,相互转换.数列问题的灵活性表现在:1.需灵活应用递推公式,通项公式,求和公式,寻求已知与所求的关系,减少中间量计算.2.需灵活选用辅助数列,处理相关数列的关系.例题讲解1.已知(b -c )log m x +(c -a )log m y +(a -b )log m z =0 ①(1) 若a 、b 、c 依次成等差数列,且公差不为0,求证x 、y 、z 成等比数列;(2) 若x 、y 、z 依次成等比数列,且公比不为1,求证a 、b 、c 成等差数列.2. 数列{a n }的 前 n 项 和S n =a · 2n + b (n ∈N ),则{a n }为等比数列的充要条件是________.3.设等差数列{a n}的前n项和为S n,若S7=56,S n=420,a n-3=34,则n=________.4. 等差数列中,a3+a7-a10=8,a11-a4=4,求S135. 各项均为实数的等比数列{an}的前n项之和为S n,若S10=10,S30=70,求S40。
数学基础知识例题
数学基础知识与典型例题(第三章数列)答案
例1. 当1=n 时,111==S a ,当2n ≥时,34)1()1(2222-=-+---=n n n n n a n ,经检验 1=n 时 11=a 也适合34-=n a n ,∴34-=n a n ()n N +∈ 例2. 解:∵1--=n n n S S a ,∴ n n n S S 221=--,∴12
211
=---n n n n S S 设n
n n S b 2
= 则{}n b 是公差为1的等差数列,∴11-+=n b b n 又∵2
3
22111===
a S
b , ∴
21
2
+=n S n
n ,∴12)12(-+=n n n S ,∴当2n ≥时 212)32(--+=-=n n n n n S S a ∴⎩⎨⎧⋅+=-2
2
)32(3n n n a (1)(2)n n =≥,1
2)12(-+=n n n S 例3 解:1221)1(----=-=n n n n n a n a n S S a 从而有11
1
-+-=n n a n n a
∵11=a ,∴312=a ,31423⨯=a ,3142534⨯⨯=a ,3
1
4253645⨯⨯⨯=a ,
∴)1(234)1()1(123)2)(1(+=⨯⨯⋅-+⨯⨯⨯⋅--=n n n n n n n a n ΛΛ,∴122+==n n
a n S n n .
例4.解:)111(2)1(23211+-=+=++++=
n n n n n a n Λ∴12)111(2)111()3
1
21()211(2+=
+-=⎥⎦⎤⎢⎣⎡+-++-+-=n n n n n S n Λ 例5.A
例6. 解:1324321-+++++=n n nx x x x S ΛΛ①()n n n nx x n x x x xS +-++++=-132132ΛΛ② ①-②()n n n nx x x x S x -++++=--1211ΛΛ,
当1≠x 时,()()x nx x n x nx nx x nx x x S x n n n n n n
n n -++-=-+--=---=-++1111111111∴()()
21111x nx x n S n n n -++-=+; 当1=x 时,()2
14321n n n S n +=++++=ΛΛ 例7.C 例8.192 例9.C
例10. 解:14582
54
54255358-=-⨯
=⋅==a a a q a a 另解:∵5a 是2a 与8a 的等比中项,∴25482-⨯=a ∴14588-=a
例11.D 例12.C
例13.解:12311=-==S a ,
当2n ≥时,56)]1(2)1(3[23221-=-----=-=-n n n n n S S a n n n ,1=n 时亦满足 ∴ 56-=n a n , ∴首项11=a 且 )(6]5)1(6[561常数=----=--n n a a n n ∴{}n a 成等差数列且公差为6、首项11=a 、通项公式为56-=n a n
例14. 解一:设首项为1a ,公差为d
则⎪⎪⎪⎩
⎪⎪⎪⎨⎧
=
⨯⨯+⨯⨯++=⨯+1732225662256)(635421112121
11d
a d d a d a 5=⇒d
解二:⎪⎩⎪
⎨⎧==+2732354
奇偶偶奇S S S S ⎩⎨⎧==⇒162192奇偶S S 由 d S S 6=-奇偶5=⇒d
例15. 解:∵109181a a a a =,∴205
100
110918===
a a a a 例16. 解题思路分析:
法一:利用基本元素分析法
设{a n }首项为a 1,公差为d ,则71151
76772
151415752
S a d S a d ⨯⎧
=+=⎪⎪⎨⨯⎪=+=⎪⎩∴ 121a d =-⎧⎨=⎩
∴ (1)22n n n S -=-+∴ 15
2222
n S n n n -=-+=-此式为n 的一次函数
∴ {n S n
}为等差数列∴ 21944n T n n =-
法二:{a n }为等差数列,设S n =An 2
+Bn ∴ 2
72
157********
S A B S A B ⎧=⨯+=⎪⎨=⨯+=⎪⎩ 解之得:12
5
2
A B ⎧=⎪⎪⎨⎪=-⎪⎩∴ 21522n S n n =-,下略
注:法二利用了等差数列前n 项和的性质
例17.解:设原来三个数为2,,aq aq a 则必有 )32(22-+=aq a aq ①,)32()4(22-=-aq a aq ②
由①: a a q 24+=代入②得:2=a 或9
5
=a 从而5=q 或13
∴原来三个数为2,10,50或9
338
,926,92
例18.70
例19. 解题思路分析:
∵ {a n }为等差数列∴ {b n }为等比数列
∴ b 1b 3=b 22,∴ b 23=81,∴ b 2=21,∴ 1312178
14
b b b b ⎧
+=⎪⎪⎨⎪=⎪⎩,∴ 13218b b =⎧⎪⎨=⎪⎩或 12182b b ⎧=⎪⎨
⎪=⎩ ∴ 13212()24n n n b --== 或 1251
428n n n b --=⋅=
∵ 1
()2n a n b =,∴ 12
log n n a b =,∴ a n =2n -3 或 a n =-2n +5
例20. 2392
n n
+。