热力学参数
- 格式:pptx
- 大小:634.21 KB
- 文档页数:36
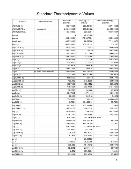
Standard Thermodynamic ValuesFormula State of Matter Enthalpy(kJ/mol)Entropy (Jmol/K)Gibbs Free Energy(kJ/mol)(NH4)2O (l) -430.70096267.52496 -267.10656 (NH4)2SiF6 (s hexagonal) -2681.69296280.24432 -2365.54992 (NH4)2SO4 (s) -1180.85032220.0784 -901.90304 Ag (s) 042.55128 0 Ag (g) 284.55384172.887064 245.68448 Ag+1 (aq) 105.57905672.67608 77.123672 Ag2 (g) 409.99016257.02312 358.778 Ag2C2O4 (s) -673.2056209.2 -584.0864 Ag2CO3 (s) -505.8456167.36 -436.8096 Ag2CrO4 (s) -731.73976217.568 -641.8256 Ag2MoO4 (s) -840.5656213.384 -748.0992 Ag2O (s) -31.04528121.336 -11.21312 Ag2O2 (s) -24.2672117.152 27.6144 Ag2O3 (s) 33.8904100.416 121.336 Ag2S (s beta) -29.41352150.624 -39.45512 Ag2S (s alpha orthorhombic) -32.59336144.01328 -40.66848 Ag2Se (s) -37.656150.70768 -44.3504 Ag2SeO3 (s) -365.2632230.12 -304.1768 Ag2SeO4 (s) -420.492248.5296 -334.3016 Ag2SO3 (s) -490.7832158.1552 -411.2872 Ag2SO4 (s) -715.8824200.4136 -618.47888 Ag2Te (s) -37.2376154.808 43.0952 AgBr (s) -100.37416107.1104 -96.90144 AgBrO3 (s) -27.196152.716 54.392 AgCl (s) -127.0680896.232 -109.804896 AgClO2 (s) 8.7864134.55744 75.7304 AgCN (s) 146.0216107.19408 156.9 AgF?2H2O (s) -800.8176174.8912 -671.1136 AgI (s) -61.83952115.4784 -66.19088 AgIO3 (s) -171.1256149.3688 -93.7216 AgN3 (s) 308.7792104.1816 376.1416AgNO2 (s) -45.06168128.19776 19.07904 AgNO3 (s) -124.39032140.91712 -33.472 AgO (s) -11.4223257.78104 14.2256AgOCN (s) -95.3952121.336 -58.1576 AgReO4 (s) -736.384153.1344 -635.5496 AgSCN (s) 87.864130.9592 101.37832 Al (s) 028.32568 0 Al (l) 8.6608835.22928 6.61072 Al (g) 326.352164.4312 285.7672 Al(BH4)3 (l) -16.3176289.1144 144.7664 Al(BH4)3 (g) 12.552379.0704 146.44 Al(CH3)3 (l) -136.3984209.4092 -10.0416Al(NO3)3?6H2O (s) -2850.47552467.7712 -2203.88016 Al(NO3)3?9H2O (s) -3757.06464569.024 -2929.6368 Al(OH)3 (s) -1284.48871.128 -1305.8264 Al+3 (aq) -531.368-321.7496 -485.344 Al2(CH3)6 (g) -230.91496524.6736 -9.79056 Al2(SO4)3 (s) -3435.064239.3248 -3506.6104 Al2Br6 (g) -1020.896547.2672 -947.2576 Al2Cl6 (g) -1295.3664475.5116 -1220.8912 Al2F6 (g) -2631.736387.02 -2539.688 Al2I6 (g) -506.264584.0864 -560.656Al2O (g) -131.3776259.408 -161.084Al2O3 (l) -1581.133689.57944 -1499.25272 Al2O3 (s gamma-corundum) -1656.86459.8312 -1562.724Al2O3 (s alpha-corundum) -1675.273650.91928 -1581.9704 Al2O3?3H2O (s gibbsite) -2562.7140.20584 -2287.3928 Al2O3?H2O (s boehmite) -1974.84896.8596 -1825.4792 Al2O3?H2O (s diaspore) -1999.95270.54224 -1840.96 Al2Si2O7?2H2O (s halloysite) -4079.8184203.3424 -3759.324 Al2Si2O7?2H2O (s kaolinite) -4098.6464202.924 -3778.152 Al2SiO5 (s andalusite) -2591.98893.3032 -2444.7112 Al2SiO5 (s kyanite) -2596.17283.80552 -2443.8744 Al2SiO5 (s sillimanite) -2593.243296.19016 -2442.6192Al4C3 (s) -207.27536104.6 -238.44616 Al4C3 (g) -215.894489.1192 -203.3424 Al6BeO10 (l) -5299.4544314.88784 -5034.1888 Al6BeO10 (s) -5624.1328175.56064 -5317.4456 Al6Si2O13 (s mullite) -6819.92274.8888 -6443.36 AlBO2 (g) -541.4096269.4496 -550.6144AlBr3 (s) -511.11744180.24672 -488.31464 AlBr3 (l) -501.20136206.4804 -486.26448 AlBr3 (g) -410.8688349.07112 -438.4832 AlC (g) 689.5232223.34192 633.0392 AlCl (g) -51.4632227.86064 -77.8224 AlCl2 (g) -288.696288.2776 -299.5744 AlCl3 (g) -584.5048314.30208 -570.07 AlCl3 (s) -705.6316109.28608 -630.06856 AlCl3 (l) -674.79552172.92472 -618.186AlCl3?6H2O (s) -2691.5672376.56 -2269.4016AlF (g) -265.2656215.0576 -290.788 AlF2 (g) -732.2263.1736 -740.568 AlF3 (s) -1510.42466.48376 -1430.928 AlF3 (g) -1209.176276.7716 -1192.8584 AlF3?3H2O (s) -2297.4344209.2 -2051.8336 AlH (g) 259.24064187.77792 231.166 AlI3 (l) -297.064219.66 -301.248 AlI3 (g) -205.016363.1712 -251.04AlI3 (s) -309.616189.5352 -305.432 AlN (s) -317.98420.16688 -287.0224 AlN (g) 435.136211.7104 410.032 AlO (g) 83.68218.27928 57.7392 AlOCl (s) -793.286454.392 -737.26264 AlOCl (g) -348.1088248.82248 -350.2008 AlOF (g) -586.5968234.26216 -587.0152 AlOH (g) -179.912216.3128 -184.096AlPO4 (s berlinite) -1692.009690.7928 -1601.2168 AlS (g) 200.832230.49656 150.2056 Ar (g) 0154.732688 0 Au (g) 366.1180.39316 326.352 Au (s) 047.40472 0 Au(CN)2-1 (aq) 242.2536171.544 285.7672 AuBr4-1 (aq) -191.6272335.9752 -167.36 AuCl4-1 (aq) -322.168266.9392 -237.31648 AuH (g) 294.972211.045144 265.684B (g) 562.748153.3436 518.816 B (s) 0 5.8576 0 B(CH3)3 (l) -143.0928238.9064 -32.2168 B(CH3)3 (g) -124.2648314.6368 -35.9824 B(OH)4-1 (aq) -1344.02632102.508 -1153.3196 B2 (g) 830.524201.79432 774.04 B2Cl4 (l) -523262.3368 -464.8424 B2H6 (g) 35.564232.0028 86.6088 B2O2 (g) -454.8008242.37912 -462.332 B2O3 (g) -843.78728279.7004 -831.9884 B2O3 (s amorphous) -1254.5305677.8224 -1182.3984 B2O3 (s) -1272.772853.9736 -1193.6952 B3N3H6 (l) -540.9912199.5768 -392.79392 B4C (s) -71.12827.11232 -71.128 B5H9 (l) 42.6768184.22152 171.66952 Ba (s) 062.3416 0 Ba (g) 179.0752169.99592 146.8584 Ba (l) 4.9789666.7348 3.84928 Ba(BrO3)2 (s) -752.65976242.672 -577.392 Ba(BrO3)2?H2O (s) -1054.7864292.4616 -824.62456 Ba(ClO3)2 (s) -680.3184196.648 -531.368 Ba(ClO4)2?3H2O (s) -1691.5912393.296 -1270.6808 Ba(IO3)2 (s) -1027.172249.3664 -864.8328 Ba(IO3)2?H2O (s) -1322.144297.064 -1104.1576 Ba(N3)2?H2O (s) -308.3608188.28 -105.0184 Ba(NO3)2 (s) -992.06824213.8024 -796.71728 Ba(OH)2?8H2O (s) -3342.1792426.768 -2793.2384 Ba(ReO4)2?4H2O (s) -3368.12376.56 -2918.34 Ba+2 (aq) -537.6449.6232 -560.73968Ba2TiO4 (s) -2243.0424196.648 -2133.0032 BaBr2 (s) -757.304146.44 -736.8024BaBr2 (g) -439.32330.536 -472.792 BaBr2?2H2O (s) -1366.076225.936 -1230.5144 BaCl2 (s) -858.1384123.67904 -810.4408 BaCl2 (l) -832.44864143.5112 -790.1484 BaCl2 (g) -498.7328325.64072 -510.69904 BaCl2?2H2O (s) -1460.13232202.924 -1296.45424 BaCO3 (s witherite) -1216.2888112.1312 -1137.6296BaCrO4 (s) -1445.9904158.5736 -1345.28152 BaF2 (s) -1208.757696.39936 -1158.5496 BaF2 (l) -1171.3108121.25232 -1128.38296 BaF2 (g) -803.7464301.16432 -814.49928 BaI2 (g) -302.9216348.1088 -353.42248 BaI2 (l) -585.88552183.6776 -587.39176 BaI2 (s) -605.4248165.14248 -601.40816 BaMoO4 (s) -1548.08138.072 -1439.7144 BaO (s) -548.10472.09032 -520.40592 BaO (l) -491.6296.56672 -471.24392 BaO (g) -123.8464235.35 -144.80824 BaS (s) -460.2478.2408 -456.056 BaSeO3 (s) -1040.5608167.36 -968.1776 BaSeO4 (s) -1146.416175.728 -1044.7448 BaSiF6 (s) -2952.2304163.176 -2794.0752 BaSiO3 (s) -1623.6012109.6208 -1540.25592 BaSO4 (s) -1473.1864132.2144 -1362.3104 BaTiO3 (s) -1659.7928107.9472 -1572.3472BaZrO3 (s) -1779.4552124.6832 -1694.52 BBr (g) 238.0696224.89 195.3928 BBr3 (g) -205.6436324.13448 -232.46304 BBr3 (l) -239.7432229.7016 -238.488BCl (g) 149.49432213.13296 120.9176 BCl2F (g) -645.1728284.512 -631.3656BCl3 (g) -403.756289.99304 -388.73544 BCl3 (l) -427.1864206.2712 -387.4384 BClF2 (g) -890.3552271.96 -876.1296Be (g) 324.26136.1892 286.604 Be (l) 12.0499216.5268 9.95792 Be (s) 09.53952 0 Be(OH)2 (s beta) -905.83646.024 -816.7168 Be+2 (aq) -382.836-129.704 -379.698Be2C (s) -117.15216.3176 -87.864 Be2SiO4 (s) -2149.320864.30808 -2032.5872 Be3N2 (s cubic) -588.270434.14144 -533.0416 BeAl2O4 (s) -2300.781666.27456 -2178.6088 BeBr2 (s) -369.8656106.2736 -353.1296BeC2 (g) 564.84218.4048 506.264 BeCl2 (s beta) -496.222475.81408 -449.52896 BeF2 (a alpha) -1026.753653.346 -979.4744 BeH (g) 326.7704170.87456 298.3192 BeI2 (s) -192.464120.4992 -209.2 BeO (s alpha) -608.353613.76536 -579.0656 BeO (g) 129.704197.52664 104.1816 BeO2-2 (aq) -790.776158.992 -640.152 BeSO4 (s alpha) -1205.201277.98976 -1093.86496 BeSO4?4H2O (s) -2423.74936232.96512 -2080.66136 BeWO4 (s) -1514.60888.36608 -1405.824 BF (g) -122.1728200.37176 -149.7872 BF3 (g) -1137.002254.01064 -1120.34968 BF4-1 (aq) -1574.8576179.912 -1486.9936 BH (g) 449.61264171.7532 419.61336 BH4-1 (aq) 48.15784110.4576 114.26504 BN (g) 647.474212.17064 614.50408 BN (s) -254.387214.81136 -228.4464 BO (g) 25.104203.42608 -4.184 BO2 (g) -300.4112229.45056 -305.8504 BO2-1 (aq) -772.3664-37.2376 -678.93768 Br (g) 111.884344174.91212 82.428984 Br-1 (aq) -121.545282.4248 -103.9724 Br2 (l) 0152.230656 0 Br2 (g) 30.907208245.353944 3.142184 Br2Cl-1 (aq) -170.2888188.6984 -128.4488 Br3-1 (aq) -130.41528215.476 -107.06856 BrCl (g) 14.644239.99424 -0.96232 BrF (g) -93.84712228.8648 -109.16056 BrF3 (l) -300.8296178.2384 -240.58 BrF3 (g) -255.60056292.41976 -229.45056 BrF5 (l) -458.5664225.0992 -351.8744 BrO (g) 125.77104237.442 108.24008 BrO-1 (aq) -94.1441.84 -33.472 BrO3-1 (aq) -83.68163.176 1.6736 C (g) 716.681544157.9865848 671.289328 C (s diamond) 1.8966072 2.376512 2.899512 C (s graphite) 0 5.694424 0 C-1 (g) 587.852151.29344 550.6144 C12H22O11 (s) -2225.4696360.2424 -1544.64912 C2 (g) 837.6368199.28392 781.5712 C2-1 (g) 443.504196.48064 393.296 C3 (g) 820.064237.2328 754.3752 C3H6 (g cyclopropane) 53.30416237.442 104.3908C3O2 (l) -117.27752181.08352 -105.0184 C3O2 (g) -93.7216276.3532 -109.83C4H10CH3(CH2)2CH(g n-butane) -126.1476310.11808 -17.1544 3C4H8 (g cyclobutane) 26.65208265.39112 110.0392C4N2 (g) 533.46289.99304 510.8664C5H10 (g cyclopentane) -77.23664292.88 38.61832 C5H10 (l cyclopentane) -105.77152204.26288 36.4008 C6H12 (g cyclohexane) -123.13512298.23552 31.75656 C6H12 (l cyclohexane) -156.23056204.34656 26.65208 C6H5CH3 (l toluene) 12.00808220.95704 113.76296 C6H5CH3 (g toluene) 49.9988320.66176 122.00544 C6H5COOH (s benzoic acid) -385.05352167.5692 -245.26608 C6H5OH (g phenol) -96.35752315.59912 -32.88624 C6H5OH (s phenol) -165.01696144.01328 -50.4172 C6H6 (l benzene) 48.99464173.25944 124.34848 C6H6 (g benzene) 82.92688269.19856 129.66216 C7H14 (l cycloheptane) -156.77448242.54648 54.05728 C8H16 (l cyclooctane) -169.78672262.00208 77.8224 Ca (s) 041.4216 0 Ca (l) 10.9202450.66824 8.20064 Ca (g) 179.2844154.76616 145.51952 Ca(ClO4)2?4H2O (s) -1948.9072433.4624 -1476.82648 Ca(H2PO4)2?H2O (s) -3409.66712259.8264 -3058.42032 Ca(IO3)2 (s) -1002.4864230.12 -839.3104 Ca(IO3)2?6H2O (s) -2780.6864451.872 -2267.728 Ca(NO3)2 (s) -938.38752193.3008 -743.20392 Ca(NO3)2?2H2O (s) -1540.758269.4496 -1229.34288 Ca(NO3)2?3H2O (s) -1838.0312319.2392 -1471.9312 Ca(NO3)2?4H2O (s) -2132.33376375.3048 -1713.47352 Ca(OH)2 (s) -986.168883.38712 -898.514 Ca[Mg(CO3)2] (s dolomite) -2326.304155.18456 -2163.5464 Ca+1 (g) 775.2952160.535896 733.4552Ca+2 (aq) -542.83216-53.1368 -553.5432 Ca10(PO4)6(OH)2 (s hydroxyapatite) -13476.664780.7344 -12677.52 Ca10(PO4)6F2 (s fluorapatite) -13744.44775.7136 -12982.952 Ca2P2O7 (s beta) -3338.832189.24232 -3132.1424 Ca2SiO4 (s beta) -2307.476127.73752 -2192.8344 Ca2SiO4 (s gamma) -2317.936120.79208 -2201.2024 Ca3(AsO4)2 (s) -3298.6656225.936 -3063.1064 Ca3(PO4)2 (s beta) -4120.8216235.9776 -3884.844 Ca3(PO4)2 (s alpha) -4109.9432240.91472 -3875.6392 CaBr2 (g) -384.928314.6368 -420.95224 CaBr2 (s) -683.2472129.704 -664.12632 CaBr2 (l) -662.99664147.86256 -649.31496 CaBr2?6H2O (s) -2506.216410.032 -2153.0864CaC2 (s) -59.831269.95648 -64.852 CaC2O4?H2O (s) -1674.8552156.4816 -1513.9804CaCl2 (s) -795.7968104.6 -748.0992CaCl2 (l) -774.04123.8464 -732.2 CaCl2 (g) -471.5368289.9512 -479.068 CaCO3 (s aragonite) -1207.1258488.7008 -1127.7972CaCO3 (s calcite) -1206.9166492.8848 -1128.8432CaCrO4 (s) -1379.0464133.888 -1277.3752 CaF2 (g) -782.408273.6336 -794.96 CaF2 (s) -1219.63668.86864 -1167.336 CaF2 (l) -1184.07292.59192 -1142.232 CaH2 (s) -186.18841.84 -147.2768 CaHPO4 (s) -1814.3916111.37808 -1681.25672CaHPO4?2H2O (s) -2403.58248189.45152 -2154.76 CaI2 (l) -500.15536178.94968 -506.51504 CaI2 (s) -536.8072145.26848 -533.12528 CaI2 (g) -258.1528327.43984 -308.7792 CaMoO4 (s) -1541.3856122.5912 -1434.6936 CaO (s) -635.131238.19992 -603.542 CaO (l) -557.3506462.29976 -532.95792 CaO?2Al2O3 (s) -3977.7288177.82 -3770.6208 CaO?2B2O3 (s) -3360.25408134.7248 -3167.12064 CaO?Al2O3 (s) -2326.304114.2232 -2208.7336 CaO?B2O3 (s) -2030.95544104.85104 -1924.09608 CaO?Fe2O3 (s) -1520.34008145.35216 -1412.81128 CaO?MgO?2SiO2 (s diopside) -3206.1992142.92544 -3032.1448 CaO?V2O5 (s) -2329.27464179.0752 -2169.69688 CaS (s) -474.88456.484 -469.8632 CaSe (s) -368.19266.944 -363.1712 CaSeO4?2H2O (s) -1706.6536221.752 -1486.9936 CaSiO3 (s pseudowollastonite) -1628.412887.36192 -1544.7328CaSiO3 (s wollastonite) -1634.9398481.92272 -1549.71176 CaSO3?H2O (s) -1752.6776184.096 -1555.1928 CaSO4 (s anhydrite insoluble) -1434.10784106.692 -1321.85112 CaSO4 (s alpha soluble) -1425.23776108.3656 -1313.48312 CaSO4 (s beta soluble) -1420.80272108.3656 -1309.04808 CaSO4?0.5H2O (s beta micro) -1574.6484134.3064 -1435.86512 CaSO4?0.5H2O (s alpha macro) -1576.7404130.5408 -1436.82744 CaSO4?2H2O (s) -2022.62928194.1376 -1797.4464 CaTiO3 (s perovskite) -1660.629693.63792 -1575.276 CaTiSiO5 (s sphene) -2603.2848129.20192 -2461.8656 CaWO4 (s) -1645.1488126.39864 -1538.49864 CaZrO3 (s) -1766.9032100.08128 -1681.1312 CBr (g) 510.448233.4672 464.424 CCl (g) 502.08224.30424 468.608 Cd (g) 112.00568167.636144 77.44584 Cd (s gamma) 051.75608 0 Cd (s alpha) -0.5857651.75608 -0.58576Cd(CN)4-2 (aq) 428.0232322.168 507.5192 Cd(NH3)4+2 (aq) -450.1984336.3936 -226.3544 CdBr2 (s) -316.18488137.2352 -296.31088 CdBr2?4H2O (s) -1492.55832316.3104 -1248.032808CdCl2 (s) -391.49688115.2692 -343.96664 CdCl2?2.5H2O (s) -1131.93936227.1912 -944.094496CdCl3-1 (aq) -561.0744202.924 -487.0176 CdCO3 (s) -750.609692.4664 -669.44 CdF2 (s) -700.401677.404 -647.6832 CdI2 (s) -202.924161.084 -201.37592 CdI4-2 (aq) -341.8328326.352 -315.892 CdO (s) -258.152854.8104 -228.4464 CdS (s) -161.920864.852 -156.4816 CdSb (s) -14.3929692.8848 -13.01224 CdSeO3 (s) -575.3142.256 -497.896 CdSeO4 (s) -633.0392164.4312 -531.7864 CdSiO3 (s) -1189.092897.4872 -1105.4128 CdSO4 (s) -933.28304123.038888 -822.7836 CdSO4?8/3H2O (s) -1729.37272229.630472 -1465.337216 CdSO4?H2O (s) -1239.55184154.029776 -1068.84464 CdTe (s) -92.4664100.416 -92.048 CF (g) 255.224212.92376 221.752 CF+1 (g) 1149.3448201.2504 1115.036CF2 (g) -182.004240.70552 -191.6272 CF2+1 (g) 941.8184246.6468 924.2456 CH3(CH2)2CH2OH (g 2-butanol) -274.6796362.7528 -150.79136 CH3(CH2)2CH2OH (l 1-butanol) -327.10512226.3544 -162.50656 CH3(CH2)2CH3 (l n-butane) -147.65336230.9568 -15.0624 CH3(CH2)3CH3 (g pentane) -146.44348.9456 -8.368 CH3(CH2)4CH3 (g hexane) -167.19264388.40072 -0.25104CH3(CH2)4CH3 (l hexane) -198.82368296.05984 -3.80744 CH3(CH2)5CH3 (g heptane) -187.77792427.89768 7.99144CH3(CH2)5CH3 (l heptane) -224.38792326.01728 1.75728 CH3(CH2)6CH3 (l octane) -249.95216357.732 7.40568 CH3(CH2)6CH3 (g octane) -208.44688466.7252 16.40128 CH3(CH2)7CH3 (l nonane) -275.47456393.67256 11.75704CH3(CH2)7CH3 (g nonane) -229.03216505.67824 24.81112CH3(CH2)8CH3 (l decane) -301.0388425.5128 -17.53096 CH3CH2CH2OH (l 1-propanol) -304.00944194.556 -170.62352CH3CH2CH2OH (g 1-propnaol) -256.39552324.72024 -161.79528CH3CH2CH3 (g propane) -103.84688270.20272 -23.55592CH3CH2CHOHCH3 (g 2-butanol) -292.62896358.9872 -167.61104CH3CH2CHOHCH3 (l 2-butanol) -342.58592225.0992 -177.02504 CH3CH2OCH2CH3 (l diethyl ether) -273.2152253.132 -116.64992 CH3CH2OCH2CH3 (g diethyl ether) -252.12784342.6696 -122.34016 CH3CH2OH (l ethanol) -276.9808161.04216 -174.17992CH3CH2OH (g ethanol) -234.42952282.58736 -167.90392CH3CH3 (g ethane) -84.68416229.11584 -32.80256 CH3CHOHCH3 (g 2-propanol) -272.42024309.90888 -173.38496 CH3CHOHCH3 (l 2-propanol) -317.85848180.58144 -180.28856 CH3COCH3 (l acetone) -247.60912200.4136 -155.72848CH3COCH3 (g acetone) -216.64752294.93016 -153.05072CH3COOH (l acetic acid) -484.13064159.8288 -389.9488 CH3COOH (g acetic acid) -434.84312282.50368 -376.68552CH3OCH3 (g dimethyl ether) -184.05416267.06472 -112.92616CH3OH (g methanol) -201.08304239.70136 -162.42288CH3OH (l methanol) -239.03192127.23544 -166.81608CH4 (g methane) -74.85176186.27168 -50.8356 Cl (g) 121.29416165.0588 105.31128 Cl-1 (aq) -167.150856.484 -131.25208 Cl2 (g) 0222.96536 0 Cl2F6 (g) -339.3224489.528 -237.2328 Cl2O (g) 80.3328267.85968 97.4872 ClF (g) -54.47568217.7772 -55.94008 ClF3 (g) -158.992281.49952 -118.8256 ClF3?HF (g) -450.6168359.824 -384.0912 ClF5 (g) -238.488310.62016 -146.44 ClO (g) 101.21096226.5636 97.4872 ClO-1 (aq) -107.110441.84 -36.8192 ClO2 (g) 102.508256.77208 120.33184 ClO2-1 (aq) -66.5256101.2528 17.1544 ClO3-1 (aq) -99.1608162.3392 -3.3472 ClO3F (g) -27.15416278.8636 44.85248 ClO4-1 (aq) -129.32744182.004 -8.61904 CN (g) 435.136202.54744 405.0112 CN+1 (g) 1802.8856213.34216 1763.1376 CN-1 (aq) 150.62494.14 172.3808 CN-1 (g) 60.668195.8112 38.74384 CN2 (g) 581.576231.5844 573.208CNBr (g) 181.3764247.14888 160.62376 CNCl (g) 132.2144235.47552 125.47816 CNI (g) 225.0992256.60472 196.14592 CNI (s) 160.2472128.8672 169.36832 Co (s hexagonal) 030.04112 0 CO (g) -110.54128197.9032 -137.27704 Co (s face centered cubic) 0.4602430.71056 0.25104 Co(IO3)2?2H2O (s) -1081.9824267.776 -795.7968 Co(NH3)6+3 (aq) -584.9232146.44 -157.3184 Co(OH)2 (s pink) -539.73679.496 -454.3824 Co+2 (aq) -58.1576-112.968 -54.392 Co+3 (aq) 92.048-305.432 133.888 CO2 (g) -393.5052213.67688 -394.38384CO2 (aq undissoc) -413.7976117.5704 -386.01584 CO3-2 (aq) -677.13856-56.9024 -527.89528 Co3O4 (s) -910.02114.2232 -794.96 COBr2 (g) -96.232308.9884 -110.876 CoCl2 (s) -312.5448109.16056 -269.868 COCl2 (g) -220.9152283.75888 -206.77328 CoCl2?2H2O (s) -922.9904188.28 -764.8352CoCl2?6H2O (s) -2115.4304343.088 -1725.4816CoCl3 (g) -163.5944334.0924 -154.51512 CoF2 (s) -692.033681.96456 -647.2648 COF2 (g) -640.152258.73856 -624.58752 CoF3 (s) -790.77694.5584 -719.648 CoO (s) -237.9440852.96944 -214.2208 COS (g) -138.40672231.45888 -165.64456 CoSi (s) -100.41643.0952 -98.7424 CoSO4 (s) -888.2632117.9888 -782.408 CoSO4?6H2O (s) -2683.6176367.60624 -2235.7204 CoSO4?7H2O (s) -2979.92848406.0572 -2473.83184 Cr (g) 397.48174.22176 352.58568 Cr (l) 26.10397636.23344 22.34256 Cr (s) 023.61868 0 Cr23C6 (s) -364.8448610.0272 -373.6312 Cr2N (s) -125.5264.852 -102.21512 Cr2O3 (s) -1134.700881.1696 -1053.1128 Cr2O3 (l) -1018.3856125.60368 -950.06088 Cr2O7-2 (aq) -1490.3408261.9184 -1301.224 Cr3C2 (s) -85.353685.43728 -86.31592Cr7C3 (s) -161.9208200.832 -166.9416CrCl2 (s) -395.388115.31104 -356.0584 CrCl3 (s) -556.472123.0096 -486.1808 CrF3 (s) -1158.96893.88896 -1087.84CrN (g) 505.0088230.45472 471.91336 CrN (s) -117.15237.69784 -92.80112 CrO (g) 188.28239.15744 154.5988 CrO2 (g) -75.312269.11488 -87.36192 CrO2Cl2 (l) -579.484221.752 -510.8664 CrO2Cl2 (g) -538.0624329.6992 -501.6616 CrO3 (g) -292.88266.06056 -273.46624 CrO4-2 (aq) -881.150450.208 -727.84864 Cs (g) 76.5672175.47696 49.7896 Cs (l) 2.08781692.08984 0.025104 Cs (s) 085.1444 0 CS (g) 234.304210.4552 184.096 Cs+1 (aq) 458.5664169.72396 427.1864 CS2 (g) 117.06832237.77672 66.90216 CS2 (l) 89.70496151.33528 65.2704Cs2O (g) -92.048317.984 -104.6 CsAl(SO4)2?12H2O (s) -6064.708686.176 -5098.204 CsBr (s) -405.68064113.3864 -384.928CsCl (s) -442.83456101.181672 -414.216 CsCl (l) -434.2992101.71304 -406.2664 CsCl (g) -240.1616255.97712 -257.7344 CsF (s) -554.798488.2824 -525.5104 CsF (l) -543.8363290.08152 -515.09224 CsF (g) -356.4768243.0904 -373.2128 CsH (g) 121.336214.43 101.6712 CsI (s) -336.812125.52 -333.71584 CsOH (s) -416.726498.7424 -362.3344 CsOH (g) -259.408255.14032 -259.8264 CsOH (l) -406.01536118.44904 -365.8908 Cu (g) 338.31824166.27216 298.61208 Cu (s) 033.149832 0 Cu(C2O4)2-2 (aq) -1592.012146.44 -1335.9512 Cu(IO3)2?H2O (s) -692.0336247.2744 -468.608 Cu(NH3)+2 (aq) -38.911212.1336 15.56448 Cu(NH3)2+2 (aq) -142.256111.2944 -30.45952 Cu(NH3)3+2 (aq) -245.6008199.5768 -73.13632 Cu(NH3)4+2 (aq) -348.5272273.6336 -111.2944 Cu(OH)2 (s) -450.1984108.3656 -372.7944 Cu+1 (aq) 71.6719240.5848 49.9988 Cu+2 (aq) 64.76832-99.5792 65.52144Cu2 (g) 484.17248241.45864 431.95616 Cu2O (s) -168.615293.13584 -146.0216 Cu2S (s alpha) -79.496120.9176 -86.1904 CuBr (s) -104.696.10648 -100.8344 CuCl (s) -137.235286.1904 -119.8716 CuCl2 (s) -205.8528108.07272 -161.9208CuCl2?2H2O (s) -821.3192167.36 -656.0512CuCN (s) 94.976889.99784 108.3656 CuCO3?Cu(OH)2 (s malachite) -1051.4392186.188 -893.7024 CuF (s) -192.46464.852 -171.544 CuF2 (s) -548.940868.6176 -499.1512 CuFe2O4 (s) -965.20696141.0008 -858.80784 CuFeO2 (s) -532.623288.7008 -479.9048 CuI (s) -67.780896.6504 -69.4544 CuN3 (s) 279.0728100.416 344.7616CuO (s) -157.318442.63496 -129.704 CuS (s) -53.136866.5256 -53.5552 CuSO4 (s) -771.36224108.784 -661.9088 CuSO4?3H2O (s) -1684.31104221.3336 -1400.1756 CuSO4?5H2O (s) -2279.6524300.4112 -1880.055296 CuSO4?H2O (s) -1085.83168146.0216 -918.22064F (g) 78.99392158.65728 61.9232 F-1 (g) -255.6424145.47768 -262.3368 F2 (g) 0202.7148 0 Fe (s alpha) 027.27968 0 Fe (l) 13.12939234.28788 11.049944 Fe(CN)6-3 (aq) 561.9112270.2864 729.2712 Fe(CN)6-4 (aq) 455.637694.9768 694.92056 Fe(CO)5 (l) -774.04338.0672 -705.4224 Fe(CO)5 (g) -733.8736445.1776 -697.2636 Fe(OH)+2 (aq) -290.788-142.256 -229.40872 Fe+2 (aq) -89.1192-137.6536 -78.8684Fe+3 (aq) -48.5344-315.892 -4.6024 Fe2(SO4)3 (s) -2581.528307.524 -2263.1256 Fe2O3 (s hematite) -824.24887.40376 -742.2416 Fe2SiO4 (s fayalite) -1479.8808145.1848 -1379.0464 Fe3C (s alpha-cementite) 25.104104.6 20.0832 Fe3O4 (s magnetite) -1118.3832146.44 -1015.4568 Fe3Si (s) -93.7216103.7632 -94.5584 Fe4N (s) -10.46156.0632 3.7656 Fe7S8 (s pyrrhotite) -736.384485.7624 -748.5176FeAl2O4 (s) -1966.48106.2736 -1849.328 FeAsS (s) -41.84121.336 -50.208 FeBr2 (s) -249.7848140.66608 -237.2328 FeCl2 (s) -341.79096117.94696 -302.33584 FeCl3 (s) -399.48832142.256 -334.05056 FeCO3 (s siderite) -740.56892.8848 -666.7204 FeCr2O4 (s) -1444.7352146.0216 -1343.9008 FeF2 (s) -702.91286.98536 -661.072FeF3 (s) -1041.81698.324 -970.688FeI2 (s) -104.6167.36 -112.968 FeMoO4 (s) -1075.288129.2856 -974.872 FeO (s) -271.9660.75168 -251.4584 FeOH+1 (aq) -324.6784-29.288 -277.3992 FePO4?2H2O (s strengite) -1888.2392171.25112 -1657.7008 FeS (s pyrrhotite) -99.997660.29144 -100.416 FeS2 (s pyrite) -178.238452.9276 -166.9416 FeSi (s) -73.638446.024 -73.6384 FeSi2 (s beta-lebanite) -81.169655.6472 -78.2408 FeSO4 (s) -928.4296120.9176 -825.0848 FeSO4?7H2O (s) -3014.572409.1952 -2510.27448 FeWO4 (s) -1154.784131.796 -1054.368 FNO3 (g) 10.46292.88 73.6384 Fr (s) 094.14 0 Fr (g) 72.8016181.92032 46.6516 Fr2O (s) -338.904156.9 -299.156H+1 (aq) 00 0H2 (g) 0130.586824 0 H2AsO4-1 (aq) -909.55976117.152 -753.28736 H2CS3 (l) 25.104223.0072 27.8236 H2MoO4 (g) -851.0256355.64 -787.4288 H2O (g) -241.818464188.715136 -228.588656 H2O (l) -285.8299669.91464 -237.178408 H2O2 (g) -136.10552232.88144 -105.47864 H2O2 (l) -187.77792109.6208 -120.41552 H2PO4-1 (aq) -1296.2868890.3744 -1130.39128 H2S (g) -20.16688205.76912 -33.0536 H2Se (g) 29.7064218.90688 15.8992 H2Se (g) 29.7064218.90688 15.8992 H2SiO3 (s) -1188.6744133.888 -1092.4424H2SO4 (l) -813.9972156.9 -690.06712 H2SO4 (g) -740.568289.1144 -656.0512 H2VO4-1 (aq) -1174.0304121.336 -1020.896 H2WO4 (s) -1131.772146.44 -1004.16 H2WO4 (g) -905.4176351.456 -839.7288 H3BO3 (s) -1094.325288.82632 -969.0144 H3PO4 (l) -1254.3632150.624 -1111.6888H3PO4 (s) -1266.9152110.54128 -1112.5256H4SiO4 (s) -1481.136192.464 -1333.0224HAsO4-2 (aq) -906.33808-1.6736 -714.71088 HBO2 (s orthorhombic) -788.7676850.208 -721.74 HBO2 (s monoclinic) -794.2487237.656 -723.4136 HBr (g) -36.44264198.61448 -53.51336 HCl (g) -92.29904186.77376 -95.31152 HClO (g) -92.048236.6052 -79.496 HCN (g) 135.1432201.6688 124.6832 HCN (l) 108.86768112.84248 124.93424 HCO3-1 (aq) -691.9917691.2112 -586.84784 HCrO4-1 (aq) -878.2216184.096 -764.8352 He (g) 0126.038816 0 HF (g) -271.1232173.67784 -273.2152 Hg (l) 076.02328 0 Hg (g) 61.31652174.84936 31.852792 Hg(CH3)2 (l) 59.8312209.2 140.164 Hg(CH3)2 (g) 94.39104305.432 146.0216 Hg2(N3)2 (s) 594.128205.016 746.4256 Hg2Br2 (s) -206.8988218.73952 -181.075152 Hg2Cl2 (s) -265.22376192.464 -210.777368 Hg2CO3 (s) -553.5432179.912 -468.1896 Hg2F2 (s) -485.344158.992 -426.768 Hg2I2 (s) -121.336242.672 -111.00152 Hg2SO4 (s) -743.12024200.66464 -625.880376 HgBr2 (s) -170.7072170.33064 -153.1344HgCl (g) 84.0984259.78456 62.76 HgCl2 (s) -224.2624146.0216 -178.6568HgF2 (s) -422.584116.3152 -372.376 HgH (g) 239.99424219.49264 216.01992 HgI (g) 132.38176281.41584 88.44976 HgI2 (g) -17.1544336.01704 -59.8312 HgI2 (s red) -105.4368181.1672 -101.6712 HgO (s yellow) -90.4580871.128 -58.425376 HgO (s red hexagonal) -89.537671.128 -58.24128 HgO (s red orthorhombic) -90.8346470.2912 -58.55508 HgS (s red) -58.157682.4248 -50.6264 HgS (s black) -53.555288.2824 -47.6976 HgSe (g) 75.7304267.02288 31.38 HgSe (s) -46.02494.14 -38.0744 HgTe (s) -33.8904106.692 -28.0328HI (g) 26.48472206.4804 1.71544 HN2O2-1 (aq) -39.3296142.256 76.1488 HN3 (g) 294.1352238.86456 328.0256 HNCO (g) -116.7336238.11144 -107.36144 HNCS (g) 127.612247.6928 112.968 HNO2 (g cis) -76.5672249.32456 -41.84 HNO2 (g trans) -78.6592249.1572 -43.932 HNO3 (l) -173.2176155.60296 -79.9144 HNO3 (g) -135.05952266.26976 -74.76808HOF (g) -98.324226.64728 -85.64648 HPO4-2 (aq) -1292.14472-33.472 -1089.26256 HReO4 (s) -762.3248158.1552 -664.8376 HS-1 (aq) -17.572862.76 12.04992 HSe-1 (aq) 15.899279.496 43.932 HSeO3-1 (aq) -514.54832135.1432 -411.53824 HSeO3-1 (aq) -514.54832135.1432 -411.53824 HSeO4-1 (aq) -581.576149.3688 -452.2904 HSeO4-1 (aq) -581.576149.3688 -452.2904 HSO3-1 (aq) -626.21928139.7456 -527.8116 HSO3F (g) -753.12297.064 -690.36 HVO4-2 (aq) -1158.96816.736 -974.872 I (g) 106.83844180.681856 70.282832 I-1 (aq) -55.18696111.2944 -51.58872 I2 (s) 0116.135288 0 I2 (g) 62.437832260.57952 19.359368 IBr (g) 40.83584258.663248 3.72376 ICl (l) -23.89064135.1432 -13.598 ICl (g) 17.782247.44176 -5.4392 ICl3 (s) -89.5376167.36 -22.34256 IF (g) -95.64624236.06128 -118.49088 IF5 (g) -840.1472334.72 -771.5296IF7 (g) -943.9104346.4352 -818.3904 IO (g) 175.05856245.3916 149.7872 IO-1 (aq) -107.5288-5.4392 -38.4928 IO3-1 (aq) -221.3336118.4072 -128.0304 K (g) 89.119290.03968 60.668 K (l) 2.28446471.46272 0.263592 K (s) 064.68464 0 K2B4O7 (s) -3334.2296208.3632 -3136.7448 K2CO3 (s) -1150.1816155.51928 -1064.4096 K2O (s) -363.171294.14 -322.168 K2O2 (s) -495.804112.968 -429.6968 K2SiO3 (s) -1548.08146.14712 -1455.6136K2SO4 (s) -1433.68944175.728 -1316.37008 K3AlCl6 (s) -2092376.56 -1938.4472 KAl(SO4)2 (s) -2465.38016204.5976 -2235.46936 KAl(SO4)2?12H2O (s) -6057.34416687.4312 -5137.1152 KAlCl4 (s) -1196.624196.648 -1096.208 KBF4 (s) -1886.984133.888 -1784.8944 KBH4 (s) -226.7728106.60832 -159.8288 KBO2 (s) -994.955279.99808 -978.6376 KBr (s) -392.1663296.4412 -379.19592 KBrO3 (s) -332.2096149.1596 -243.5088 KCl (s) -435.8891282.67584 -408.31656 KCl (g) -215.8944239.49216 -235.1408 KClO3 (s) -391.204142.96728 -289.90936 KClO4 (s) -430.1152151.0424 -300.4112 KCN (s) -113.47008127.77936 -102.04776 KF (s) -568.605666.56744 -538.8992 KF?2H2O (s) -1158.968150.624 -1015.4568 KH (s) -57.8228850.208 -34.05776 KH2AsO4 (s) -1135.956155.14272 -991.608 KHF2 (s) -931.3584104.26528 -863.1592 KI (s) -327.64904106.39912 -322.29352 KIO3 (s) -508.356151.4608 -425.5128 KMnO4 (s) -813.3696171.71136 -713.7904 KNO3 (s) -492.70784132.92568 -393.12864 KO2 (s) -284.512122.5912 -240.58 KOH (s) -425.8475278.8684 -379.0704 Kr (g) 0163.975144 0 Li (g) 160.6656138.65776 128.0304 Li (l) 2.38069633.93224 0.933032 Li (s) 0160.6656 0 Li2B4O7 (s) -3363.936155.6448 -3171.472 Li2BeF4 (s) -2273.5856130.5408 -2171.496 Li2CO3 (s) -1216.0377690.1652 -1132.1904Li2O (s) -598.730437.90704 -561.9112Li2O2 (s) -632.620856.484 -571.116 Li2Si2O5 (s) -2561.0264125.52 -2417.0968 Li2SiO3 (s) -1649.332880.3328 -1558.9584 Li2TiO3 (s) -1670.671291.75512 -1579.8784Li3AlF6 (s) -3383.6008187.8616 -3223.772 Li3N (s) -197.484837.656 -153.9712 LiAlF4 (g) -1853.512326.352 -1811.672LiAlH4 (s) -117.15287.864 -48.5344 LiAlO2 (s) -1189.511253.346 -1127.1696 LiBeF3 (s) -1651.843289.1192 -1576.1128 LiBH4 (s) -190.4556875.81408 -124.76688 LiBO2 (s) -1019.222451.71424 -963.1568LiBr (s) -350.9120874.0568 -341.6236 LiCl (s) -408.2747259.28728 -384.04936 LiCl?H2O (s) -712.57704103.7632 -632.6208 LiClO4 (s) -380.744125.52 -253.9688 LiF (s) -616.930835.64768 -588.6888 LiH (s) -90.6254420.04136 -68.45024 LiI (s) -270.077285.772 -269.6588 LiO (g) 83.68210.8736 60.4588 LiOH (s) -484.925642.80232 -438.9016 LiOH?H2O (s) -789.8136892.048 -689.5232 Mg (s) 032.693776 0 Mg (l) 9.0374442.50944 6.10864 Mg (g) 147.61152148.532 113.09352 Mg(ClO4)2?6H2O (s) -2445.548520.908 -1863.1352 Mg(NO3)2 (s) -790.65048164.0128 -589.5256 Mg(NO3)2?6H2O (s) -2613.28456451.872 -2080.7032 Mg(OH)2 (s) -924.66463.1784 -833.8712 Mg(VO3)2 (s) -2201.57896160.6656 -2039.40712 Mg+1 (g) 891.6104154.30592 848.9336Mg+2 (aq) -466.85072-138.072 -454.8008 Mg2Al4Si5O19 (s cordierite) -9108.568407.1032 -8598.12 Mg2Ge (s) -108.78486.48328 -105.8552 Mg2Si (s) -77.822466.944 -75.312 Mg2SiO4 (s forsterite) -2174.006495.14416 -2055.1808 Mg2TiO4 (s) -2164.3832109.32792 -2047.6496 Mg2V2O7 (s) -2835.9152200.4136 -2645.29216 Mg3(PO4)2 (s) -3780.6624189.20048 -3538.8272 Mg3N2 (s) -460.658487.864 -400.8272 Mg3Si2O5(OH)4 (s chrysotile) -4365.5856221.3336 -4037.9784 Mg3Si4O10(OH)2 (s talc) -5922.452260.6632 -5542.9632MgAl2O4 (s) -2312.915288.7008 -2190.324 MgBr2 (s) -524.2552117.152 -503.7536MgBr2?6H2O (s) -2409.984397.48 -2056.0176 MgCl2 (s) -641.616489.62128 -592.11968。
热力学中的热动力学参数解析热力学是一门研究热、功、能量等热学量之间相互转换关系的学科。
而热动力学则是热力学与动力学相结合,研究热现象与动力学过程之间的关系,涉及到的参数也更加复杂多样。
本文将着重探讨在热力学中,有哪些热动力学参数是我们需要关注和解析的。
一、热力学系统前置知识:熵和能量,热容和比热,热力学第一定律和第二定律。
在热力学中,通过定义热力学系统的状态量,可以描述它当前状态下的性质以及与环境之间的热学特性。
最为重要的两个热力学系统参数是温度和熵,在描述热力学状态时具有基础性作用。
其中,温度是热平衡状态下两个物体间热量传递发生的驱动力,是系统热力学状态的一个基础量,可以通过测量不同物体在热平衡下达到的热平衡温度来进行刻画。
熵,也是一个重要的热力学状态参数,指热力学系统中的不可逆性度量,描述系统能量传输和物理过程中的随机性。
当系统没有任何热量和物质交换时,系统的熵增加,也即是热力学第二定律的内容。
除了这两个参数之外,我们还需要关注能量,热容和比热。
能量指物体或系统的内部或外部相对位置或状态等之间具有的工作能力或势能,有电能、磁能、化学能、热能等多种形式。
热容和比热则涉及到物体接受热量时对温度变化的响应,差别在于热容考虑的是物体的总体积,比热则是单位质量下的表现。
二、热力学函数前置知识:满足PdV工作量为dU的物态方程,麦克斯韦关系式。
热力学参数描述了系统在不同状态下的性质和变化规律,而热力学函数则进一步将这些热力学参数之间的联系具体化,为我们提供更多的探究系统性质的方法。
我们在前面介绍温度和熵时提到了它们是热力学系统状态量的基本量,而内能则是热力学系统的可视化表示。
内能是指体系能够进行的全部无害的微观粒子(原子、分子、离子等)的势能和能量之和,包括它们的位置、速度和振动等状态。
而焓、吉布斯自由能、和热力学势也都是描述热动力学系统的函数,它们则是对于热力学系统中传递热量、做功、自由能的全过程作出的描述。
热力学中的热容和比热容热力学是研究能量转化和能量传递的学科,而热容和比热容是热力学中重要的概念。
它们描述了物体吸收热量时的能力和性质,对于热力学过程的分析和工程应用起着至关重要的作用。
一、热容热容是指物体在吸热过程中温度变化的量度,用记作C。
热容可以分为常压热容和常容热容两种。
1. 常压热容常压热容是指在恒定的压力下,物体在吸热时温度升高的能力。
它的定义可以表示为:Cp = q / ΔT其中,Cp表示常压热容,q表示吸热量,ΔT表示温度升高。
常压热容也可以表示为单位质量物质的热容,即比热容。
比热容是常压热容与物体的质量之比:Cp = Q / (m × ΔT)其中,Q表示吸热量,m表示物体的质量。
常压热容的数值是物质的固有性质,可以用于计算物体在吸热过程中的温度变化。
2. 常容热容常容热容是指在恒定的体积下,物体在吸热时温度升高的能力。
它的定义可以表示为:Cv = q / ΔT其中,Cv表示常容热容,q表示吸热量,ΔT表示温度升高。
常容热容与常压热容的区别在于压力的不同。
由于常容热容下物体的体积保持不变,因此常容热容一般比常压热容要小。
二、比热容比热容是指单位质量物质在吸热过程中温度升高的能力,记作C。
比热容可以分为定压比热容和定容比热容两种。
1. 定压比热容定压比热容是指在恒定压力下,单位质量物质在吸热过程中温度升高的能力。
它的定义可以表示为:Cp = q / (m × ΔT)其中,Cp表示定压比热容,q表示吸热量,m表示单位质量。
定压比热容是热力学描述气体性质的重要参量,可以用于计算气体在热力学过程中的能量变化。
2. 定容比热容定容比热容是指在恒定体积下,单位质量物质在吸热过程中温度升高的能力。
它的定义可以表示为:Cv = q / (m × ΔT)其中,Cv表示定容比热容,q表示吸热量,m表示单位质量。
定容比热容是热力学描述固体和液体性质的重要参量,可以用于计算物质在热力学过程中的能量变化。
热力学基本状态参数功和热量1-1 工质和热力系一、工质、热机、热源与冷源1、热机(热力发动机):实现热能转换为机械能的设备。
如:电厂中的汽轮机、燃气轮机和燃机、航空发动机等。
2、工质:实现热能转换为机械能的媒介物质。
对工质的要求:1)良好的膨胀性; 2)流动性好;3)热力性质稳定,热容量大;4)安全对环境友善;5)价廉,易大量获取。
如电厂中的水蒸汽;制冷中的氨气等。
问题:为什么电厂采用水蒸汽作工质?3、高温热源:不断向工质提供热能的物体(热源)。
如电厂中的炉膛中的高温烟气4、低温热源:不断接收工质排放热的物体(冷源)如凝汽器中的冷却水二、热力系统1、热力系统和外界概念热力系:人为划分的热力学研究对象(简称热力系)。
外界:系统外与之相关的一切其他物质。
边界:分割系统与外界的界面。
在边界上可以判断系统与外界间所传递的能量和质量的形式和数量。
边界可以是实际的、假想的、固定的,或活动的。
注意:热力系的划分,完全取决于分析问题的需要及分析方法的方便。
它可以是一个设备(物体),也可以是多个设备组成的系统。
如:可以取汽轮机的空间作为一个系统,也可取整个电厂的作为系统。
2、热力系统分类按系统与外界的能量交换情况分1)绝热系统:与外界无热量交换。
2)孤立系统:与外界既无能量(功量、热量)交换,又无质量交换的系统。
注意:实际中,绝对的绝热系和孤立系统是不存在的,但在某些理想情况下可简化为这两种理想模型。
这种科学的抽象给热力学的研究带来很大的方便。
如:在计算电厂中的汽轮机作功时,通常忽略汽缸壁的散热损失,可近似看作绝热系统。
状态及基本状态参数状态参数特点u状态参数仅决定于状态,即对应某确定的状态,就有一组状态参数。
反之,一组确定的状态参数就可以确定一个状态。
状态参数的变化量仅决定于过程的初终状态,而与达到该状态的途径无关。
因此,状态参数的变化量可表示为(以压力p为例):二、基本状态参数1.表压与真空表压力:当气体的压力高于大气压力时(称为正压),压力表的读数(pg),如锅炉汽包、主蒸汽的压力等。
相变过程中的热力学相变是物质的一种基本性质,概括而言,就是物质状态的转变。
相变可以有多种形式,如液化、凝固、升华等。
在相变的过程中,物质的热力学性质发生了变化,它的热容、熵、焓等都会发生变化。
相变的热力学基础相变的发生,实际上是物质能量状态发生了改变。
简单来说,相变就是从一种结构状态到另一种结构状态的转变。
在此过程中,物质所具有的热力学性质也会发生变化。
我们知道,物质的热力学性质,它们都是与能量维度密切相关的。
而相变正是在能量变化的影响下发生的。
相变中的热力学参数相变过程中最显著的一个热力学参数是焓。
焓是指在相变过程中物质所吸收的热量。
因为相变是从一种能量状态到另一种能量状态的转变,所以相变本质上是能量的转化过程。
这个转化过程,实际上就是热从一个系统转移到另一个系统,导致物质的能量状态发生了变化。
在这个转化过程中,焓就是承载这种能量变化的物理参数。
除了焓,还有熵和热容等参数也会随着相变而变化。
熵是一个系统的无序程度的度量,它会随着相变而发生变化。
而热容则是在相变温度下,物体所吸收的热量的变化程度,这也是相变过程中的重要物理参数。
相变的分类根据相变的表现形式,它们可以被分为多种类型。
1. 固体-液体相变:此类相变的典型代表是凝固和熔化。
这些相变通常需要利用物质状态的温度来控制。
2. 固体-气体相变:此类相变的代表是升华,利用温度和气压可控制。
3. 液体-气体相变:此类相变的代表是汽化,利用温度和气压可控制。
相变的热力学特征相变在热力学上的一个非常重要的特征,就是它发生时物质中的熵会发生变化。
在一般的相变中,物质的熵往往会增加。
这也是为什么在相变时物质所需要吸收的热量会非常巨大的原因。
因为在相变过程中,物质的熵变化非常显著,这就意味着,物质所吸收的热量也需要相应地增加。
总之,相变是热力学研究的一个重要领域,深入理解相变的热力学特征,可以帮助我们更好地掌握物质的热学性质。
这些理论研究的成果,也为我们研究物质的物理化学性质提供了有益的参考。
第十一章 热力学参数状态图 §11-1 化合物生成自由能︒∆F 对T 关系图第一章图1-1提供了氧化物的生成自由能︒∆F 的关系图(Ellingham [1])。
关于利用溶解自由能,溶于金属液中各元素的氧化︒∆F 对T 的关系图,我们在其应用方面已进行过多次的讨论。
这里再就纯氧化物的生成自由能对T 的关系图作些补充讨论。
从表1-1查出:TF NiOO Ni s s 3.40114000;22)(2)(+-=︒∆=+(11-1)在T=0时即绝对温度为零时,卡1114000-=︒∆H (图11-1)。
︒∆F 线abc 的斜率等于︒∆S ;例如在点b,︒∆=︒∆-︒∆==S TF H adbd 斜率TF O Al O Al s l 2.51267800;3234)(322)(+-=︒∆=+当生成CO 时,其︒∆S 为正值,而当其他氧化物生成时,其︒∆S 都是负值,所以CO 的︒∆F 线与其他氧化物的︒∆F 线相交。
利用氧化物的︒∆F 对T 的关系图,可以通过列线图直接读出该氧化物在某一温度下的分解压。
以铝的氧化反应为例:((11-2)21ln O pRT F -=︒∆ 当p O2=10-20大气压,则T=1877K (1604℃)。
在图11-2内式(11-2)以线ab 表示。
绘出T=1604℃的垂直线与ab 线相交于m 。
在绝对零的温度线上,取0=︒∆F 的“O”点,连接“O”与m ,则线“O”m 代表下列反应:)10(2)1(220-22===O O ppO O亦即氧由1大气压转变为10-20大气压的自由能。
TRT F F 5.91110ln-20-=+︒∆=∆将O m 线延长交于KML 线,,在该线上的相交点标明10-20。
同样可作出其他类似的列线,并标明氧的平衡分压值。
因此,利用KLM 线即可读出任何温度氧化物的平衡氧分压值,亦即其分解压值。
用图11-2仍可读出式(11-4)中的CO/CO 2比。
热力学中的热容和比热容热力学是研究能量转化和能量传递的规律的一门学科。
热力学中的热容和比热容是描述物体在吸收热量时所表现出的性质的重要参数。
下面将详细介绍热力学中的热容和比热容的概念、计算方法以及它们在物理学和工程中的应用。
一、热容的概念和计算方法热容是指单位质量物质吸收或释放一定量热量时的温度变化。
在理论上,热容可以分为定容热容和定压热容两种。
定容热容是指恒定容器中单位质量物质在压强不变的情况下吸收或释放一定量的热量时的温度变化。
它的计算公式为:Cv = ΔQ/ΔT其中,Cv表示定容热容,ΔQ表示吸收或释放的热量,ΔT表示温度变化。
定压热容是指单位质量物质在压强不变的条件下吸收或释放一定量的热量时的温度变化。
它的计算公式为:Cp = ΔQ/ΔT其中,Cp表示定压热容,ΔQ表示吸收或释放的热量,ΔT表示温度变化。
二、比热容的概念和计算方法比热容是指单位质量物质吸收或释放一定量热量时需要的热量与其温度变化之间的比值。
比热容也可分为定容比热容和定压比热容两种。
定容比热容是指恒定容器中单位质量物质在压强不变的条件下吸收或释放一定量的热量时所需要的热量与温度变化之间的比值。
它的计算公式为:cv = Q/(mΔT)其中,cv表示定容比热容,Q表示吸收或释放的热量,m表示物质的质量,ΔT表示温度变化。
定压比热容是指单位质量物质在压强不变的条件下吸收或释放一定量的热量时所需要的热量与温度变化之间的比值。
它的计算公式为:cp = Q/(mΔT)其中,cp表示定压比热容,Q表示吸收或释放的热量,m表示物质的质量,ΔT表示温度变化。
三、热容和比热容的应用热容和比热容在物理学和工程中有着广泛的应用。
以下是一些常见的应用领域:1. 物质性质研究:通过测量物质的热容和比热容,可以得到物质的热力学性质,从而可以更好地了解物质的结构和特性。
2. 热力学循环分析:热容和比热容的数值可以用于热力学循环(如汽轮机循环、制冷循环等)的分析和设计。
热力学是研究能量转化的科学领域,而热力学分析则是分析化学反应中能量的变化情况。
在化学反应中,焓变、熵变和自由能变化是热力学分析的重要内容。
焓变是指化学反应在常压下吸热或放热的过程。
焓变的数值等于反应物和生成物焓的差值,用ΔH表示。
ΔH为正值时,表示吸热反应,反应物的能量低于生成物;ΔH为负值时,表示放热反应,反应物的能量高于生成物。
焓变的大小直接影响反应的放热或吸热程度以及反应速率。
在实际应用中,通过测量反应物和生成物的温度变化得到焓变的估计值。
熵变是指化学反应中系统的混乱程度的变化。
它与反应物和生成物的组态数和排列方式有关,用ΔS表示。
ΔS为正值时,表示反应使系统的混乱程度增加,反应偏向熵增的方向;ΔS为负值时,表示反应使系统的混乱程度减少,反应偏向熵减的方向。
熵变与温度密切相关,一般情况下,熵变的数值与温度成正比。
熵变的测定方法相对复杂,常见的方法是通过比较标准态和非标准态的熵值差得到。
自由能变化是指化学反应中系统能够做的非体积功。
自由能变化有两个重要的热力学参数,即ΔG和ΔG0。
ΔG是在任意温度、任意压力下计算的自由能变化,而ΔG0是在标准状况下计算的自由能变化。
ΔG的数值等于ΔH减去TΔS (其中T为温度),即ΔG=ΔH-TΔS。
当ΔG为负值时,表示反应是自发的,反应能够进行;当ΔG为正值时,表示反应是不自发的,反应不会发生;当ΔG为零时,表示反应处于平衡态。
ΔG0可以通过模拟实验获得,从而判断反应是否自发发生。
化学反应的热力学分析对于了解反应的能量变化以及反应的发生性质至关重要。
通过热力学分析,可以判断反应是放热还是吸热,反应发生的驱动力是内能变化还是熵变化,以及反应是自发的还是不自发的。
这些信息对于优化反应条件、节约能源以及设计和改进化学工艺具有重要指导意义。
总之,化学反应的热力学分析是研究化学反应中能量变化的重要手段。
焓变、熵变和自由能变化是热力学分析的核心内容。
通过热力学分析,可以对反应的能量变化进行定量分析,从而探索反应的发生性质及其驱动力,为化学研究和应用提供重要的理论指导。
标准热力学数据首先,我们来了解一下标准热力学数据的含义。
标准热力学数据是指物质在标准状态下的热力学性质,其中标准状态是指物质的温度为298K(25摄氏度),压强为1个大气压(101.3kPa)。
标准热力学数据包括了各种物质的标准摩尔生成焓、标准摩尔熵、标准摩尔自由能等参数。
这些数据可以帮助我们计算物质在不同温度、压强下的热力学性质,从而更好地理解和预测物质的化学反应、相变等过程。
其次,我们需要了解如何获取标准热力学数据。
标准热力学数据通常可以在化学手册、物理手册以及相关学术期刊中找到。
此外,许多实验室和研究机构也会对各种物质的标准热力学数据进行测定和整理,并公开发布。
在实际应用中,我们可以通过这些渠道获取到所需的标准热力学数据,以支持我们的研究和工程设计。
接下来,我们将介绍一些常见物质的标准热力学数据。
以水为例,其在标准状态下的摩尔生成焓为-285.83 kJ/mol,摩尔熵为69.91 J/(mol·K),摩尔自由能为-237.18 kJ/mol。
这些数据可以帮助我们计算水在不同温度、压强下的热力学性质,例如水的汽化热、溶解热等。
类似地,对于其他常见物质如氧气、氮气、二氧化碳等,它们的标准热力学数据也可以在文献中找到,并进行应用和推导。
最后,我们需要注意标准热力学数据的应用和限制。
标准热力学数据通常适用于理想气体或理想溶液,对于非理想气体、非理想溶液等情况,我们需要进行修正和适当的处理。
此外,标准热力学数据也只能描述物质在标准状态下的性质,对于高温、高压等极端条件下的物质性质,我们需要进行额外的实验和计算。
综上所述,标准热力学数据是描述物质在标准状态下的热力学性质的重要参量,对于化学、物理等领域的研究和应用具有重要意义。
通过了解标准热力学数据的含义、获取途径以及应用和限制,我们可以更好地理解和应用这些数据,为科研和工程实践提供支持和指导。
希望本文对读者对标准热力学数据有所帮助。
1 热力学三个基本参数:压力pressure 体积specific volume 温度temperature2 制冷的四个部件:压缩机compressor 冷凝器condenser 膨胀阀expansion valve 蒸发器evaporator3 传热的三种方式:传导conduction 对流convection 辐射radiation4 流体的分类:可压缩和不可压缩compressible and incompressible 牛顿和非牛顿Newtonian and non-Newtonian 有旋和无旋rotational or inrotational 粘性和非粘性viscous and nonviscous5 工业炉的分类按照工艺原理分:熔炼炉Melting furnaces 加热炉Heating furnaces6 电炉的分类(Electric furnaces) 电弧炉arc furnaces 电阻炉resistance furnaces 感应炉induction furnaces7 按燃料分类:燃料炉fuel-fired furnaces (火焰炉竖炉shaft furnaces )均热炉soaking pits furnaces 连续炉continuous furnaces 间隙炉batch-type furnaces 室内加热炉in-and-out furnaces 推钢式加热炉pusher-type furnaces 转底炉rotary hearth furnaces8 所学课程名流体力学Fluid Mechanics 工程热力学Thermodynamic Engineering 传热学Heat Transfer Science 燃烧学Combustion Theory 锅炉Boiler 制冷与低温技术原理Refrigeration and Cryogenic technical principles 自动控制原理Principles of Automatic Control热工检测仪表Thermal instrumentation工业炉Industrial furnaces 第一篇A fluid is……. two plates isa fluid 一种流体连续变形时,受到的剪切应力,不管多么小,剪切应力可能是一种物质。
热力学基本状态参数功和热量1-1 工质和热力系一、工质、热机、热源与冷源1、热机(热力发动机):实现热能转换为机械能的设备。
如:电厂中的汽轮机、燃气轮机和燃机、航空发动机等。
2、工质:实现热能转换为机械能的媒介物质。
对工质的要求:1)良好的膨胀性; 2)流动性好;3)热力性质稳定,热容量大;4)安全对环境友善;5)价廉,易大量获取。
如电厂中的水蒸汽;制冷中的氨气等。
问题:为什么电厂采用水蒸汽作工质?3、高温热源:不断向工质提供热能的物体(热源)。
如电厂中的炉膛中的高温烟气4、低温热源:不断接收工质排放热的物体(冷源)如凝汽器中的冷却水二、热力系统1、热力系统和外界概念热力系:人为划分的热力学研究对象(简称热力系)。
外界:系统外与之相关的一切其他物质。
边界:分割系统与外界的界面。
在边界上可以判断系统与外界间所传递的能量和质量的形式和数量。
边界可以是实际的、假想的、固定的,或活动的。
注意:热力系的划分,完全取决于分析问题的需要及分析方法的方便。
它可以是一个设备(物体),也可以是多个设备组成的系统。
如:可以取汽轮机的空间作为一个系统,也可取整个电厂的作为系统。
2、热力系统分类按系统与外界的能量交换情况分1)绝热系统:与外界无热量交换。
2)孤立系统:与外界既无能量(功量、热量)交换,又无质量交换的系统。
注意:实际中,绝对的绝热系和孤立系统是不存在的,但在某些理想情况下可简化为这两种理想模型。
这种科学的抽象给热力学的研究带来很大的方便。
如:在计算电厂中的汽轮机作功时,通常忽略汽缸壁的散热损失,可近似看作绝热系统。
状态及基本状态参数状态参数特点u状态参数仅决定于状态,即对应某确定的状态,就有一组状态参数。
反之,一组确定的状态参数就可以确定一个状态。
状态参数的变化量仅决定于过程的初终状态,而与达到该状态的途径无关。
因此,状态参数的变化量可表示为(以压力p为例):二、基本状态参数1.表压与真空表压力:当气体的压力高于大气压力时(称为正压),压力表的读数(pg),如锅炉汽包、主蒸汽的压力等。
晶格畸变能热力学参数
晶格畸变能是指晶体中形变畸变的势能。
热力学参数则是指用于描述
物质热力学性质的量。
晶格畸变能是影响物质熵变和热力学平衡状态
的因素之一。
下面让我们来具体了解一下晶格畸变能和热力学参数。
晶格畸变能是晶体稳定性的重要因素之一。
晶体稳定性的表现形式是
在室温下形变畸变所引起的势能差异。
这个差异可以通过晶格畸变能
来描述。
晶格畸变能可以分为两类:一类是单一晶格畸变能,即晶格
中原子位置的偏差所产生的势能;另一类则是多晶畸变能,即由于晶
体缺陷或界面而引起的势能。
热力学参数是用于描述物质热力学性质的量。
热力学的核心是熵变的
概念。
熵变是表示系统无序度的一个量,它可以用热力学参数来描述。
热力学参数有很多种,其中最为基本的两种是温度和物质的热容。
温度是热力学参数中最基本和最重要的一个。
它是用于描述物质平衡
状态的指标。
温度越高,物质的热运动越剧烈,分子之间的相互作用
越弱,物质更容易发生相变。
物质的热容也是热力学参数中非常重要的一个。
热容表示在单位质量
物质温度变化时需要吸收或放出的能量。
热容可以用来计算物质在不
同温度下的热平衡状态。
晶格畸变能以及热力学参数对于物质的性质和变化有着重要的影响。
热力学参数可以描述物质的热平衡状态,而晶格畸变能可以用于描述晶体中形变畸变所引起的势能差异。
研究晶格畸变能和热力学参数可以帮助我们更好的了解物质的结构和性质,对于物质的设计和合成具有很好的指导意义。
工程热力学基本状态参数工程热力学是研究能量转化与传递规律的一门重要科学。
在此过程中,基本状态参数是不可或缺的概念。
本文将对工程热力学中一些基本状态参数进行介绍。
温度(temperature)是物体热平衡状态的重要参数,表示物体分子热运动的强弱程度。
温度的单位是摄氏度、华氏度或开尔文。
在工程热力学中,常常用开尔文作为温度的单位。
开尔文温标是以绝对零度为0K作为基本点,其度数与摄氏度相同。
热力学第一定律规定,在绝热系统内,系统内能的变化量等于热量和功所做的功之和。
因此,温度和内能是密切相关的参数。
压力(pressure)是单位面积上的力。
在热力学中,压力的单位是帕斯卡。
气体的状态方程pv=nRT中,p代表气体压力,v代表体积,n代表物质的摩尔数,R代表气体常数,T代表气体温度。
在该公式中,压力是气体状态中的一个主要参数,特别是当气体被压缩时。
密度(density)是物体单位体积内质量的量度。
在工程热力学中,密度常常是用千克/立方米表示。
通过密度可以计算气体体积随温度和压力的变化,也可以计算气体摩尔质量和摩尔体积。
比容(specific volume)是单位质量物质的体积。
比容与密度是互为倒数的,因此在工程热力学中,经常用比容来描述气体的状态,特别是当气体被压缩时。
焓(enthalpy)是表示系统热能的一个参数。
焓是在等压条件下,物质所具有的内能和压力之积。
焓也是热力学系统中的一个基本状态参数,表示了热力学系统在发生变化时产生的热量。
熵(entropy)是一个描述系统无序程度的物理量。
熵一般表示为dS=dQ/T,其中dS代表熵的增加量,dQ代表传输的热量,T代表系统的温度。
熵不会减少,只会不断增加,因此熵是一个重要的状态参数,用于描述非平衡态系统中的物质变化。
热动力参数热动力参数是指在热力学领域中用来描述热量转化和传递过程的参数。
热动力参数的研究对于能源的利用和环境保护具有重要意义。
本文将从热动力参数的定义、应用和未来发展等方面进行探讨。
一、热动力参数的定义热动力参数是指在热力学过程中,用来描述能量转化和传递的物理量。
常见的热动力参数包括热功、热容、热导率等。
热功是指单位时间内传递的热能量,通常用焦耳(J)来表示。
热容是指物质在吸热或放热过程中温度变化的大小,通常用焦耳/摄氏度(J/℃)表示。
热导率是指单位时间内单位面积上的热能传递速率,通常用瓦特/米·开尔文(W/m·K)表示。
热动力参数的应用广泛,涉及到能源、环境、材料等领域。
在能源领域,热动力参数的研究对于提高能源利用效率、降低能源消耗具有重要意义。
例如,通过研究热导率可以优化材料的热传导性能,提高能源转换效率。
在环境领域,热动力参数的研究可以帮助我们理解地球的能量平衡和气候变化等问题。
在材料领域,热动力参数的研究对于材料的设计和应用具有重要意义。
通过研究热容和热导率等参数,可以优化材料的热稳定性和热传导性能。
三、热动力参数的未来发展随着科学技术的不断进步,热动力参数的研究也在不断发展。
未来的研究重点将更加注重热动力参数的精确测量和理论模拟。
例如,通过发展更加精确的测量方法,可以提高热功和热导率等参数的测量精度。
同时,通过建立更加准确的理论模型,可以预测材料的热稳定性和热传导性能,为材料的设计和应用提供更加可靠的依据。
热动力参数是描述热量转化和传递过程的重要参数。
热动力参数的研究对于能源的利用和环境保护具有重要意义。
未来的研究将更加注重热动力参数的精确测量和理论模拟,以提高能源利用效率和材料性能。
通过深入研究热动力参数,我们可以更好地理解和应用热力学原理,推动能源技术的发展和环境保护的进步。