(完整word版)高中文科数学导数练习题.doc
- 格式:doc
- 大小:732.52 KB
- 文档页数:11
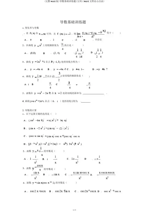
导数基础训练题1. 变化率与导数、设 f ( x) 在 x x 0 可导,且 f ' (x 0 )2 ,则 lim f ( x 0 ) f ( x 0x)等于()1xx 0A . 0B . 2C . -2D .不存在2、在曲线 yx 2 上切线倾斜角为的点是()4.(1, 1) D .(1,1)A . (0,0)B. (2, 4)C4 162 43、曲线 y 2x 2 1在点 P( 1,3) 处的切线方程为( )A . y 4x 1B . y4x 7 C . y 4 x 1 D . y 4x 74、曲线 y1 x2 2 在点 (1,3) 处切线的倾斜角是()223A 1 BC4D445、函数在 yx 3 2x 2 在 x2 处的切线的斜率为。
6. 曲线 y=x e x +2x+1 在点( 0, 1 )处的切线方程为.2. 导数的计算1、以下运算正确的选项是( )A . ( ax 2 bx c)' a( x 2 )' b( x)'B . (sin x2 x 2 )' (sin x) '(2) ' ( x 2 )'C . (cos x sin x)' (sin x)' cos x (cos x) ' cos xD .[(3 x 2 )(2 x 3 )] ' 2x(2x 3 ) 3x 2 (3 x 2 )2、函数 yx 1的导数是()1 x111A . 1C . 1Dx 2 B . 1x 2. 1cosx xx3、函数 y 的导数是()xA . sin xB . sin xC .x sin x cos xx cosx cosxx 2x 2D .x 24、函数 y sin x(cos x 1) 的导数是()A . cos2 x cosxB . cos2x sin xC . cos2xcosx D . cos x 2cos x5、已知 f ( x) ax 33x2 2 ,若 f ' ( 1) 4 ,则 a 的值是()A . 19B . 16C . 13D . 103 3 3 36、函数y sin 4x在点M ( ,0)处的切线方程为()A . y x B.y 0 C . y 4x D .y 4 x 47、已知函数y x ln x 。
导数文科大题含详细答案————————————————————————————————作者:————————————————————————————————日期:导数文科大题1.知函数,. (1)求函数的单调区间;(2)若关于的方程有实数根,求实数的取值范围. 答案解析2.已知, (1)若,求函数在点处的切线方程; (2)若函数在上是增函数,求实数a 的取值范围; (3)令, 是自然对数的底数);求当实数a等于多少时,可以使函数取得最小值为3.解:(1)时,,′(x),′(1)=3,,数在点处的切线方程为,(2)函数在上是增函数,′(x),在上恒成立,即,在上恒成立,令,当且仅当时,取等号, ,的取值范围为(3),′(x),①当时,在上单调递减,,计算得出(舍去);②当且时,即,在上单调递减,在上单调递增,,计算得出,满足条件;③当,且时,即,在上单调递减,,计算得出(舍去);综上,存在实数,使得当时,有最小值3.解析(1)根据导数的几何意义即可求出切线方程.(2)函数在上是增函数,得到f′(x),在上恒成立,分离参数,根据基本不等式求出答案,(3),求出函数的导数,讨论,,的情况,从而得出答案3.已知函数,(1)分别求函数与在区间上的极值;(2)求证:对任意,解:(1),令,计算得出:,,计算得出:或,故在和上单调递减,在上递增,在上有极小值,无极大值;,,则,故在上递增,在上递减,在上有极大值,,无极小值;(2)由(1)知,当时,,,故;当时,,令,则,故在上递增,在上递减,,;综上,对任意,解析(1)求导,利用导数与函数的单调性及极值关系,即可求得及单调区间及极值;4.已知函数,其中,为自然数的底数.(1)当时,讨论函数的单调性;(2)当时,求证:对任意的,.解:(1)当时,,则,,故则在R上单调递减.(2)当时,,要证明对任意的,.则只需要证明对任意的,.设,看作以a为变量的一次函数,要使,则,即,恒成立,①恒成立,对于②,令,则,设时,,即.,,在上,,单调递增,在上,,单调递减,则当时,函数取得最大值,故④式成立,综上对任意的,.解析:(1)求函数的导数,利用函数单调性和导数之间的关系进行讨论即可.(2)对任意的,转化为证明对任意的,,即可,构造函数,求函数的导数,利用导数进行研究即可.5.已知函数(1)当时,求函数在处的切线方程;(2)求在区间上的最小值.解:(1)设切线的斜率为k.因为,所以,所以,所以所求的切线方程为,即(2)根据题意得, 令,可得①若,则,当时,,则在上单调递增.所以②若,则, 当时,,则在上单调递减. 所以③若,则,所以,随x的变化情况如下表:x 1 20 - 0 + 0-e Φ极小值Γ0所以的单调递减区间为,单调递增区间为所以在上的最小值为综上所述:当时,;当时,;当时,解析(1)设切线的斜率为k.利用导数求出斜率,切点坐标,然后求出切线方程.(2)通过,可得.通过①,②,③,判断函数的单调性求出函数的最值.6.已知函数。
导数的运算练习一、常用的导数公式(1)'C = (C 为常数); (2)()'n x = ; (3)(sin )'x = ; (4)(cos )'x = ; (5)()'x a = ; (6)()'x e = ; (7)_____________; (8)_____________;二、导数的运算法则 1、(1) ; (2);(3)______________________________________; (4)=___________________________________;(C 为常数)2、复合函数的导数设 .三、练习1、已知()2f x x =,则()3f '等于( )A .0B .2xC .6D .9 2、()0f x =的导数是( )A .0B .1C .不存在D .不确定 3、32y x = ) A .23xB .213x C .12- D 33x4、曲线n y x =在2x =处的导数是12,则n 等于( )A .1B .2C .3D .45、若()f x =()1f '等于( )A .0B .13- C .3 D .136、2y x =的斜率等于2的切线方程是( ) A .210x y -+=B .210x y -+=或210x y --=C .210x y --=D .20x y -= 7、在曲线2y x =上的切线的倾斜角为4π的点是( ) A .()0,0 B .()2,4 C .11,416⎛⎫ ⎪⎝⎭ D .11,24⎛⎫⎪⎝⎭8、设()sin y f x =是可导函数,则x y '等于( )A .()sin f x 'B .()sin cos f x x '⋅C .()sin sin f x x '⋅D .()cos cos f x x '⋅ 9、函数()22423y x x=-+的导数是( )A .()2823x x -+B .()2216x -+ C .()()282361x x x -+-D .()()242361x x x -+-10、曲线34y x x =-在点()1,3--处的切线方程是( ) A .74y x =+B .72y x =+C .4y x =-D .2y x =-11、点P 在曲线323y x x =-+上移动,设点P 处切线的倾斜角为α,则角α的取值范围是( )A .0,2π⎡⎤⎢⎥⎣⎦B .30,,24πππ⎡⎤⎡⎫⎪⎢⎥⎢⎣⎦⎣⎭C .3,4ππ⎡⎫⎪⎢⎣⎭ D .3,24ππ⎛⎤ ⎥⎝⎦12、求函数212y x =-在点1x =处的导数。
word 版高二数学导数大题练习及详细答案一、解答题 1.已知函数()()2ln 0f x a x ax a =+-> (1)求()f x 的最大值(2)若()0f x ≤恒成立,求a 的值 2.已知函数()ln f x ax x =+ (1)讨论()f x 的单调区间;(2)设()2xg x =,若对任意的[]11,100x ∈,存在[]20,1x ∈,使()()12f x g x <成立,求实数a 的取值范围. 3.已知函数()1e -=xx f x . (1)求()f x 极值点;(2)若()()4g x f x =-,证明:2x >时,()()f x g x >成立.4.已知()()e 1xf x mx m =+<-.(1)当2m =-时,求曲线()y f x =上的斜率为1-的切线方程;(2)当0x ≥时,()2213222m f x x ≥+-恒成立,求实数m 的范围.5.已知函数()e xf x kx =-,()()28ln ag x x x a R x=--∈.(1)当1k =时,求函数()f x 在区间[]1,1-的最大值和最小值; (2)当()0f x =在1,22⎡⎤⎢⎥⎣⎦有解,求实数k 的取值范围;(3)当函数()g x 有两个极值点1x ,()212x x x <,且11x ≠时,是否存在实数m ,总有()21221ln 51a x m x x x >--成立,若存在,求出实数m 的取值范围,若不存在,请说明理由.6.已知函数()()32131.3f x x a x x =-++ (1)若1a =,求函数()f x 的单调区间; (2)证明:函数()2y f x a =-至多有一个零点. 7.已知函数2()2ln f x x x =-+,()()ag x x a x =+∈R . (1)求函数()f x 的单调区间;(2)若函数()f x 与()g x 有相同的极值点,求函数()g x 在区间1[,3]2上的最值.8.已知函数()322f x x ax bx =++-在2x =-时取得极值,且在点()()1,1f --处的切线的斜率为3- . (1)求()f x 的解析式;(2)若函数()y f x λ=-有三个零点,求实数λ的取值范围. 9.已知函数()321623f x x ax x =+-+在2x =处取得极值. (1)求()f x 的单调区间;(2)求()f x 在[]4,3-上的最小值和最大值.10.已知函数()222(0)e xmx x f x m +-=>. (1)判断()f x 的单调性;(2)若对[]12,1,2x x ∀∈,不等式()()1224e f x f x -≤恒成立,求实数m 的取值范围.【参考答案】一、解答题1.(1)22ln 2ln 2a a --+ (2)2a = 【解析】 【分析】(1)求导求解单调性即可求出最值;(2)要使()0f x ≤成立必须()22ln 2ln 20a a a ϕ=--+≤,求单调性求解即可. (1)因为()()2ln 0f x a x ax a =+->,所以()()20axf x a x-'=>, 由()0f x '>得20x a <<;()0f x '<得2x a>;所以()f x 在20,a⎛⎫⎪⎝⎭上单调递增,在2,a ⎛⎫+∞ ⎪⎝⎭上单调递减,故()222ln 2ln 2max f x f a a a ⎛⎫==--+ ⎪⎝⎭,即()()22ln 2ln 20a a a a ϕ=--+>.(2)要使()0f x ≤成立必须()22ln 2ln 20a a a ϕ=--+≤,因为()2a a aϕ-'=,所以当02a <<,()0a ϕ'<;当2a >时,()0a ϕ'>. 所以()a ϕ在()0,2上单调递减,在()2,+∞上单调递增. 所以()()20min a ϕϕ==,所以满足条件的a 只有2,即2a =. 【点睛】用导数求函数的单调区间或判断函数的单调性问题时应注意如下几方面: (1)在利用导数讨论函数的单调区间时,首先要确定函数的定义域; (2)不能随意将函数的2个独立的单调递增(或递减)区间写成并集形式; (3)利用导数解决含参函数的单调性问题时,一般将其转化为不等式恒成立问题,解题过程中要注意分类讨论和数形结合思想的应用. 2.(1)答案见解析 (2)31a e ≤-【解析】 【分析】(1)由()()110ax f x a x xx+=+=>',按0a ≥,0a <进行分类讨论求解; (2)由已知,转化为()()max max f x g x <,由已知得()()max 12g x g ==,由此能求出实数a 的取值范围. (1)()(]110ax f x a x x x+'=+=>, ①当0a ≥时,由于0x >,故10ax +>,()0f x '>, 所以()f x 的单调递增区间为()0,∞+; ②当0a <时,由()0f x '=,得1x a=-,在区间10,a ⎛⎫- ⎪⎝⎭上()0f x '>,在区间1,a∞⎛⎫-+ ⎪⎝⎭上()0f x '<, 所以,函数()f x 的单调递增区间为10,a ⎛⎫- ⎪⎝⎭,单调递减区间为1,a∞⎛⎫-+ ⎪⎝⎭;(2)由题目知,只需要()()max max f x g x <即可又因为()()max 12g x g ==,所以只需要()max 2f x <即可()max 2f x <即等价于()2f x <恒成立,由变量分离可知2ln xa x-<,[]1,100x ∈,令()2ln xh x x -=,下面求()h x 的最小值, 令()23ln xh x x-+'=,所以()0h x '=得3x e =, 所以()h x 在31,e ⎡⎤⎣⎦为减函数,3,100e ⎡⎤⎣⎦为增函数, 所以()()33min 1h x h e e -==,所以31a e ≤-. 3.(1)极大值点为2x =,无极小值点; (2)证明见解析. 【解析】 【分析】(1)利用导数求出函数的单调区间即得解;(2)令()()()()4e 31e e xx x x F x f x g x --=-=-,利用导数求出函数()F x 的最小值即得证. (1)解:由题意,得()2e xx f x -'=, 令()0f x '>,得2x <;()0f x '<,得2x >; 列表如下:所以f x 极大值点为2x =,无极小值点. (2)证明:()()()4e 34ex x g x f x -=-=, 令()()()()4e 31e exx x x F x f x g x --=-=-, ∴()()()()42442e ee 22e e e xxx x x x x F x +----'=-=.当2x >时,20x -<,24x >,从而42e e 0x -<,∴()0F x '>,()F x 在()2,+∞上是增函数,∴()()221120e e F x F >=-=. ∴当2x >时,()()f x g x >成立.4.(1)10x y +-=;(2)ln 3⎡-⎣.【解析】 【分析】(1)根据导数的几何意义可利用斜率求得切点坐标,由此可得切线方程;(2)令()()2213222m g x f x x ⎛⎫=-+- ⎪⎝⎭,将问题转化为当0x ≥时,()min 0g x ≥恒成立;①当10m +≥时,由导数可证得()g x 单调递增,由()00g ≥可求得m 范围; ②当10+<m 时,利用零点存在定理可说明存在()00g x '=,并得到()g x 单调性,知()()020min 13e e 022x xg x g x ==-++≥,由此可解得0x 的范围,根据00e x x m -=可求得m 范围. (1)当2m =-时,()e 2x f x x =-,()e 2xf x '=-;令()e 21xf x '=-=-,解得:0x =,∴切点坐标为()0,1,∴所求切线方程为:1y x =-+,即10x y +-=;(2)令()()22221313e 222222x m m g x f x x mx x ⎛⎫=-+-=+--+ ⎪⎝⎭,则原问题转化为:当0x ≥时,()0g x ≥恒成立,即()min 0g x ≥恒成立;()e x g x m x '=+-,()e 1x g x ''=-,则当0x ≥时,()0g x ''≥,()g x '∴在[)0,∞+上单调递增,()()01g x g m ''∴≥=+; ①当10m +≥,即1m ≥-时,()0g x '≥,()g x ∴在[)0,∞+上单调递增,()()2min301022m g x g ∴==-+≥,解得:m ≤≤m ⎡∴∈-⎣; ②当10+<m ,即1m <-时,()00g '<,当x →+∞时,()g x '→+∞;()00,x ∴∃∈+∞,使得()00g x '=,即00e x x m -=,则当()00,x x ∈时,()0g x '<;当()0,x x ∈+∞时,()0g x '>;()g x ∴在()00,x 上单调递减,在()0,x +∞上单调递增,()()()()00022022000000min e 1313e e e 222222x x x x x m g x g x mx x x x x -∴==+--+=+---+00213e e 022x x =-++≥, 解得:01e 3x -≤≤,即0ln 3x ≤,又()00,x ∈+∞,(]00,ln3x ∴∈,令()e xh x x =-,则()1e xh x '=-,∴当(]0,ln3x ∈时,()0h x '<,()h x ∴在(]0,ln3上单调递减,()[)000e ln33,1x h x x ∴=-∈--,即[)ln33,1m ∈--;综上所述:实数m 的取值范围为ln 3⎡-⎣.【点睛】思路点睛:本题重点考查了导数中的恒成立问题的求解,解题基本思路是通过构造函数的方式,将问题转化为()min 0g x ≥,从而利用对含参函数单调性的讨论来确定最小值点,根据最小值得到不等式求得参数范围. 5.(1)最大值为e 1-,最小值为1;(2)21e,?e 2⎡⎤⎢⎥⎣⎦; (3)(],1-∞-. 【解析】 【分析】(1)求得'()f x ,利用导数研究函数在区间上的单调性,再利用单调性求其最值即可;(2)分离参数并构造函数()e xh x x=,求其在区间上的值域即可求得参数的范围;(3)根据12,x x 是()g x 的极值点,求得12,,x x a 的等量关系以及取值范围,等价转化目标不等式,且构造函数()()212ln ,02m x m x x x x-=+<<,对参数进行分类讨论,利用导数研究其值域,即可求得参数范围. (1)当1k =时,()e xf x x =-,'()f x e 1x =-,令'()f x 0=,解得0x =,当()1,,0x ∈-时,()f x 单调递减,当()0,1x ∈时,()f x 单调递增; 又()()()111,01,1e 1ef f f -=+==-,且()()11f f >-, 故()f x 在[]1,1-上的最大值为e 1-,最小值为1. (2)令()e xf x kx =-0=,因为1,22x ⎡⎤∈⎢⎥⎣⎦,则0x ≠,故e x k x =, 令()e 1,,22x h x x x ⎡⎤=∈⎢⎥⎣⎦,则'()h x ()2e 1 x x x -=,故当1,12x ⎛⎫∈ ⎪⎝⎭,()h x 单调递减,当()1,2x ∈,()h x 单调递增,又()()2111e,2e 22h h h ⎛⎫=== ⎪⎝⎭,且()122h h ⎛⎫> ⎪⎝⎭,故()h x 的值域为21e,?e 2⎡⎤⎢⎥⎣⎦,则要满足题意,只需21e,?e 2k ⎡⎤∈⎢⎥⎣⎦.即()h x 的取值范围为:21e,?e 2⎡⎤⎢⎥⎣⎦.(3)因为()28ln a g x x x x =--,'()g x 2228282a x x a x x x -+=+-=,因为()g x 有两个极值点12,x x ,故可得12126480,4,02a a x x x x ->+==>, 也即08a <<,且12124,2a x x x x +==. 因为11x ≠,12x x <,故()()10,11,2x ∈⋃,则()21221ln 51a xm x x x >--,即()()()211111124ln 5441x x x m x x x -⎡⎤>---⎣⎦-, 因为140x ->,故上式等价于()11112ln 11x x m x x >+-,即()21111112ln 01m x x x x x ⎡⎤-⎢⎥+>-⎢⎥⎣⎦,又当()0,1x ∈时,1101x x >-,当()1,2x ∈时,1101xx <-,令()()212ln ,02m x m x x x x-=+<<,则'()m x 222mxx mx ++=, 当0m ≥时,'()m x 0>,故()m x 在()0,2单调递增,又()10m =, 故当()0,1x ∈时,()0m x <,当()1,2x ∈时,()0m x >,故不满足题意;当0m <时,令()22n x mx x m =++,若方程()0n x =对应的2440m =-≤时,即1m ≤-时,'()m x 0≤,()m x 单调递减, 又()10m =,故当()0,1x ∈时,()0m x >,当()1,2x ∈时,()0m x <,满足题意; 若2440m =->,即10m -<<时,又()y n x =的对称轴11x m=->,且开口向下, 又()1220n m =+>,不妨取1min ,2b m ⎧⎫=-⎨⎬⎩⎭, 故当()1,x b ∈,'()m x 0>,()m x 单调递增,又()10m =, 故此时()0m x >,不满足题意,舍去; 综上所述:m 的取值范围为(],1-∞-. 【点睛】本题考察利用导数研究函数值域,有解问题,以及利用导数处理恒成立问题;其中第三问中,合理的处理12,,x x a 以及m 多变量问题,以及构造函数,是解决本题的关键,属综合困难题.6.(1)()f x 在(,1)-∞-,(3,)+∞上单调递增,在(1,3)-上单调递减 (2)证明见解析 【解析】 【分析】(1)直接求导后判断单调性即可;(2)先变形得到323033x a x x -=++,构造函数,求导后说明单调性即可证明. (1)当1a =时,()()321313f x x x x =-++,2()23f x x x '=--.令()0f x '=,解得1x =-或3x =,当()(),13,x ∞∞∈--⋃+时,()0f x '>;当(1,3)x ∈-时,()0f x '<, 故()f x 在(,1)-∞-,(3,)+∞上单调递增,在(1,3)-上单调递减.(2)()321()2333y f x a x a x x =-=-++,由于2330x x ++>,所以()20f x a -=等价于3230.33x a x x -=++设()32333x g x a x x =-++, 则()g x '()()222269033x x x xx ++=++,当且仅当0x =或3x =-时,()0g x '=,所以()g x 在(,)-∞+∞上单调递增,故()g x 至多有一个零点,从而()2y f x a =-至多有一个零点. 7.(1)单增区间为(0,1),单减区间为(1,)+∞(2)min ()2g x =,max 10()3g x =【解析】 【分析】(1)求导之后,分别令()0f x '>,()0f x '<即可求出()f x 的单调区间; (2)由有相同的极值点求出a 的值,再利用对勾函数的单调性求出()g x 在区间1,32⎡⎤⎢⎥⎣⎦上的最值.(1)()f x 的定义域:()0,∞+()()22122x f x x x x--'=-+=,由()0f x '>得01x <<,由()0f x '<得1x >, ∴()f x 的单增区间为()0,1,单减区间为()1,+∞. (2)()21ag x x ='-,由(1)知()f x 的极值点为1. ∵函数()f x 与()g x 有相同的极值点, ∴()10g '=,即10a -=,∴1a =,从而()1g x x x =+,()g x 在1,12⎡⎤⎢⎥⎣⎦上单调递减,在(]1,3上递增,又1522g ⎛⎫= ⎪⎝⎭,()1033g =,∴在区间1,32⎡⎤⎢⎥⎣⎦上,()()min 12g x g ==,()max 103g x =. 8.(1)()3232f x x x =+- (2)()2,2- 【解析】 【分析】(1)由已知可得()()2013f f ⎧-=⎪⎨-=-''⎪⎩,可得出关于实数a 、b 的方程组,解出这两个未知数的值,即可得出函数()f x 的解析式;(2)分析可知,直线y λ=与函数()f x 的图象有3个交点,利用导数分析函数()f x 的单调性与极值,数形结合可得出实数λ的取值范围.(1)解:因为()322f x x ax bx =++-,则()232f x x ax b '=++,由题意可得()()212401323f a b f a b ⎧-=-+=⎪⎨-=-+=-''⎪⎩,解得30a b =⎧⎨=⎩,所以,()3232f x x x =+-.当3a =,0b =时,()236f x x x '=+,经检验可知,函数()f x 在2x =-处取得极值. 因此,()3232f x x x =+-.(2)解:问题等价于()f x λ=有三个不等的实数根,求λ的范围.由()2360f x x x '=+>,得2x <-或0x >,由()2360f x x x '=+<,得20x -<<,所以()f x 在(),2-∞-、()0,∞+上单调递增,在()2,0-上单调递减, 则函数()f x 的极大值为()22f -=,极小值为()02f =-,如下图所示:由图可知,当22λ-<<时,直线y λ=与函数()f x 的图象有3个交点, 因此,实数λ的取值范围是()2,2-.9.(1)增区间为(),3-∞-,()2,+∞,减区间为()3,2- (2)()max 312f x =,()min 163f x =- 【解析】 【分析】(1)根据题意得()20f '=,进而得12a =,再根据导数与单调性的关系求解即可;(2)由(1)知[]4,3x ∈-时,()f x 的增区间为[)4,3--,(]2,3,减区间为()3,2-,进而求解()4f -,()3f -,()2f ,()3f 的值即可得答案. (1)解:(1)()226f x x ax '=+-,因为()f x 在2x =处取得极值,所以()24460f a '=+-=,解得12a =. 检验得12a =时,()f x 在2x =处取得极小值,满足条件.所以()26f x x x '=+-,令()0f x '>,解得3x <-或2x >,令()0f x '<,解得32x -<<, 所以()f x 的增区间为(),3-∞-,()2,+∞,减区间为()3,2-; (2)解:令()260f x x x '=+-=,解得3x =-或2x =,由(1)知()f x 的增区间为(),3-∞-,()2,+∞,减区间为()3,2-; 当[]4,3x ∈-时,()f x 的增区间为[)4,3--,(]2,3,减区间为()3,2- 又()()()()321138444642323f -=⨯-+⨯--⨯-+=, ()()()()321131333632322f -=⨯-+⨯--⨯-+=, ()321116222622323f =⨯+⨯-⨯+=-, ()32115333632322f =⨯+⨯-⨯+=-, 所以()max 312f x =,()min 163f x =-. 10.(1)单调增区间为2,2m ⎛⎫-⎪⎝⎭,单调减区间为[)2,,2,m ∞∞⎛⎤--+ ⎥⎝⎦ (2)20,4e ⎛⎤ ⎥-⎝⎦ 【解析】【分析】(1)先对函数求导,然后由导数的正负可求出函数的单调区间, (2)由函数()f x 在[]1,2上为增函数,求出函数的最值,则()()max min 24e 2()()e m g m f x f x -+=-=,然后将问题转化为()224e 24e e m -+≥,从而可求出实数m 的取值范围.(1)()()()()221422(0)e e x x mx m x mx x f x m -+-+-+-=>'=令()0f x '=,解得2x m =-或2x =,且22m-< 当2,x m ∞⎛⎤∈-- ⎥⎝⎦时,()0f x '≤,当2,2x m ⎛⎫∈- ⎪⎝⎭时,()0f x '>, 当[)2,x ∞∈+时,()0f x '≤即()f x 的单调增区间为2,2m ⎛⎫-⎪⎝⎭,单调减区间为[)2,,2,m ∞∞⎛⎤--+ ⎥⎝⎦ (2)由(1)知,当[]0,1,2m x >∈时,()0f x '>恒成立所以()f x 在[]1,2上为增函数,即()()max min 242()2,()1e e m m f x f f x f +====.()()12f x f x -的最大值为()()max min 24e 2()()e m g m f x f x -+=-= ()()1224e f x f x ⎡⎤≥-⎣⎦恒成立 ()224e 24e e m -+∴≥ 即24e m ≤-, 又0m > 20,4e m ⎛⎤∴∈ ⎥-⎝⎦故m 的取值范围20,4e ⎛⎤ ⎥-⎝⎦。
word 版高二数学导数大题练习及详细答案一、解答题1.已知函数()ln .f x x x ax a =-+(1)若1≥x 时,()0f x ≥恒成立,求a 的取值范围;(2)当1a =,01b <<时,方程()f x b =有两个不相等的实数根12,x x ,求证:12 1.x x <2.已知:()e xf x mx =+.(1)当1m =时,求曲线()y f x =的斜率为2的切线方程;(2)当0x ≥时,()2213222m f x x ≥+-成立,求实数m 的范围3.已知函数()ln f x x =,()21g x x x =-+.(1)求函数()()()h x f x g x =-的单调区间;(2)若直线l 与函数()f x ,()g x 的图象都相切,求直线l 的条数. 4.已知函数()1e x axf x a=-+,0a ≠. (1)当1a =时,①求曲线()y f x =在0x =处的切线方程; ②求证:()f x 在(0,)+∞上有唯一极大值点; (2)若()f x 没有零点,求a 的取值范围. 5.已知函数()e 1()x f x ax a =-+∈R . (1)讨论函数()f x 的单调性与极值;(2)若对任意0x >,2()f x x x ≥--恒成立,求实数a 的取值范围.6.设函数y =x 3+ax 2+bx +c 的图像如图所示,且与y =0在原点相切,若函数的极小值为-4.(1)求a ,b ,c 的值. (2)求函数的递减区间.7.已知函数()()()()e 0=+->xf x x b a b 在()()1,1f --处的切线方程为()e 1e e 10x y -++-=.(1)求a ,b 的值;(2)若方程()f x m =有两个实数根12,x x , ①证明:12m >-;②当0m <时,2121x x m ->+是否成立?如果成立,请简要说明理由.8.已知函数()()e ln 1xf x a x =+-+,()'f x 是其导函数,其中a R ∈.(1)若()f x 在(,0)-∞上单调递减,求a 的取值范围;(2)若不等式()()f x f x '≤对(,0)x ∀∈-∞恒成立,求a 的取值范围. 9.已知函数()12ln f x x x x=--. (1)判断函数()f x 的单调性;(2)设()()()28g x f x bf x =-,当1x >时,()0g x >,求实数b 的取值范围.10.已知函数2()ln f x a x x =+.(1)若1a =,求()f x 在点(1(1))f ,处的切线方程;(2)若对于任意2x ≥,()f x x '≥恒成立,求实数a 的取值范围.【参考答案】一、解答题1.(1)(,1].-∞ (2)证明见解析 【解析】 【分析】(1)1x ≥,()0ln 0a f x x a x ≥⇔-+≥,设()ln (1)ag x x a x x=-+≥,求导得221()a x ag x x x x-'=-=,分1a ≤与1a >两类讨论,即可求得a 的取值范围;(2)当1a =时,方程()f xb =有两个不相等的实数根1x ,2x ,不妨设12x x <,则1201x x <<<,要证121x x ⋅<,只需证2111x x <<,而12()()f x f x =,只需证明111()()f x f x <,再构造函数,设1()()()(01)F x f x f x x=-<<,通过求导分析即可证得结论成立. (1)1x ≥,()0f x ∴≥,即ln 0ax a x-+≥, 设()ln (1)a g x x a x x=-+≥,221()a x ag x x x x -'=-=,当1a ≤时,()0g x '≥, ()g x ∴在[1,)+∞上单调递增,()(1)0g x g ∴≥=,满足条件;当1a >时,令()0g x '=,得x a =,当1x a <≤时,()0g x '<;当x a >时,()0g x '>,()g x ∴在区间[1,]a 上单调递减,在区间[,)a +∞上单调递增,min ()()ln 1g x g a a a ∴==-+,()(1)0g a g ∴<=,与已知矛盾.综上所述,a 的取值范围是(,1].-∞ (2)证明:当1a =时,()ln f x x '=,则()f x 在区间(0,1]上单调递减,在区间[1,)+∞上单调递增,由方程()f x b =有两个不相等的实数根12,x x , 不妨设12x x <,则1201x x <<<,要证121x x ⋅<,只需证2111x x <<, ()f x 在区间[1,)+∞上单调递增,只需证121()()f x f x < 又()()12f x f x =,∴只需证明111()()f x f x <,设1()()()(01)F x f x f x x=-<<, 则22211()ln ln ln 0x F x x x x x x-'=-=>,()F x ∴在区间(0,1)上单调递增,()(1)0F x F ∴<=,1()()0f x f x∴-<,即111()()f x f x <成立, ∴原不等式成立,即121x x ⋅<成立.【点睛】导数是研究函数的单调性、极值(最值)最有效的工具,而函数是高中数学中重要的知识点,对导数的应用的考查主要从以下几个角度进行:(1)考查导数的几何意义,往往与解析几何、微积分相联系.(2)利用导数求函数的单调区间,判断单调性;已知单调性,求参数.(3)利用导数求函数的最值(极值),解决生活中的优化问题.(4)考查数形结合思想的应用. 2.(1)21y x =+(2)ln 3m ⎡∈-⎣【解析】 【分析】(1)利用导数的几何意义直接可得切线方程;(2)()2213222m f x x ≥+-恒成立,可转化为()22130222xm g x e mx x =+--+≥恒成立,利用导数判断函数()g x 的单调性与最值情况.(1)当1m =时,()e xf x x =+, 则()e 1xf x '=+,设切点为()()00,x f x ,故()00e 12xk f x '==+=,解得00x =,故()000e e 01x f x x =+=+=,即切点坐标为()0,1,所以切线方程()120y x -=-,即21y x =+; (2)当0x ≥时,()2213222m f x x ≥+-成立,即2213e 0222xm mx x +--+≥恒成立,设()2213e 222xm g x mx x =+--+,()e x g x x m '=-+, ()e 1x g x ''=-,因为0x ≥,故()e 10xg x ''=-≥恒成立, 则()e xg x x m '=-+在()0,∞+上单调递增,所以()()01g x g m ''≥=+,当1m ≥-时,()()010g x g m ''≥=+≥恒成立, 故()g x 在()0,∞+上单调递增,即()()2235012222m m g x g ≥=-+=-,所以25022m -≥,解得m ≤≤故1m -≤≤当1m <-时,()010g m '=+<,()e 2m g m m -'-=+,设()e 2mh m m -=+,1m <-,()e 20m h m -'=-+<恒成立,则()h m 在(),1-∞-上单调递减,所以()()120h m h e >-=->,即()e 20mg m m -'-=+>,所以存在()00,x m ∈-,使()00g x '=,即000xe x m -+=,所以()g x 在()00,x 上单调递减,在()0,x +∞上单调递增, 故()()02200013e 222x m g x g x mx x ≥=+--+()()00000222000011313e e e e e 022222x x x x x x x x x =+----+=-++≥,解得0ln 3x ≤,即00ln 3x ≤≤, 设()e xx m x ϕ==-,0ln3x ≤≤,()1e 0x x ϕ'=-≤恒成立,故()x ϕ在()0,3上单调递减, 故()()3ln33x ϕϕ≥=-, 即ln33m ≥-, 所以ln331m -≤<-,综上所述,ln 3m ⎡∈-⎣.【点睛】导数是研究函数的单调性、极值(最值)最有效的工具,而函数是高中数学中重要的知识点,对导数的应用的考查主要从以下几个角度进行: (1)考查导数的几何意义,往往与解析几何、微积分相联系. (2)利用导数求函数的单调区间,判断单调性;已知单调性,求参数. (3)利用导数求函数的最值(极值),解决生活中的优化问题. (4)考查数形结合思想的应用. 3.(1)在()0,1上单调递增,在()1,+∞上单调递减 (2)两条 【解析】 【分析】(1)求出函数的导函数,再解关于导函数的不等式,即可求出函数的单调区间;(2)设直线l 分别与函数()f x ,()g x 的图象相切于点()11,ln A x x ,()2222,1B x x x -+,依题意可得()()12AB f x g x k '='=,即可得到方程组,整理得()211211ln 204x x x++-=,令()()221ln 24x F x x x +=+-,利用导数说明函数的单调性,利用零点存在性定理判断零点的个数,即可得解; (1)解:由题设,()()()2ln 1h x f x g x x x x =-=-+-,定义域为()0,∞+,则()()()221112121x x x x h x x x x x+---'=-+=-=- 当01x <<时,()0h x '>;当1x >时,()0h x '<,所以()h x 在()0,1上单调递增,在()1,+∞上单调递减.(2)解:因为()ln f x x =,()21g x x x =-+,所以()1f x x'=,()21g x x '=-,设直线l 分别与函数()f x ,()g x 的图象相切于点()11,ln A x x ,()2222,1B x x x -+ 则()()12AB f x g x k '='=,即21222112ln 1121x x x x x x x -+-=-=- 由2122112ln 11x x x x x x -+-=-,得2121221ln 1x x x x x x -=-+- 即2212211ln 1x x x x x -=-+-,即221221ln 20xx x x x -++-=由21121x x =-,得12112x x x +=,代入上式,得211112111111ln 20222x x x x x x x ⎛⎫+++-++-= ⎪⎝⎭即()211211ln 204x x x++-=,则()()2221117ln 2ln 4244x F x x x x x x +=+-=++- 设()()()()223332111112102222x x x x F x x x x x x x +---='=--=> 当01x <<时,()0F x '<;当1x >时,()0F x '>,所以()F x 在()0,1上单调递减,在()1,+∞上单调递增.因为()()min 110F x F ==-<,()()()222222441e 1e e ln e 204e4eF ++=+-=>,则()F x 在()1,+∞上仅有一个零点.因为()24242e e 7e 4e 7e 2024424F ---=-++-=+>,则()F x 在()0,1上仅有一个零点. 所以()F x 在()0,∞+上有两个零点,故与函数()f x ,()g x 的图象都相切的直线l 有两条.4.(1)①112y x =-;②证明见解析 (2){}()210,e -⋃【解析】 【分析】(1)①利用导数求出切线的斜率,直接求出切线方程;②令()e 1e x xg x x =+-,利用导数判断出()g x 在(0,)+∞上有唯一零点0x ,利用列表法证明出()f x 在(0,)+∞上有唯一极大值点;(2)令()e xh x a ax =+-.对a 分类讨论:①0a <,得到当1a =-时,()f x 无零点;②0a >,()f x 无零点,符合题意. (1)若1a =,则()1e 1x x f x =-+,()2e 1e (e 1)x xx x f x +-=+'.①在0x =处,()()21110211f '+==+,(0)1f =-. 所以曲线()y f x =在0x =处的切线方程为112y x =-.②令()e 1e x xg x x =+-,()e x g x x '=-,在区间(0,)+∞上,()0g x '<,则()g x 在区间(0,)+∞上是减函数.又(1)10,g =>()22e 10,g =-+<,所以()g x 在(0,)+∞上有唯一零点0x . 列表得:0(2)()e e x x ax af x a--=+,令()e x h x a ax =+-,则()e xh x a '=-.①若0a <,则()0h x '>,()h x 在R 上是增函数.因为11e 10a h a a ⎛⎫⎛⎫=-+< ⎪ ⎪⎝⎭⎝⎭,()1 e > 0h =,所以()h x 恰有一个零点0x . 令0e 0x a +=,得0ln()x a =-.代入0()0h x =,得()ln 0a a a a -+--=, 解得1a =-.所以当1a =-时,()h x 的唯一零点为0,此时()f x 无零点,符合题意. ②若0a >,此时()f x 的定义域为R .当ln x a <时,()0h x '<,()h x 在区间(,ln )a -∞上是减函数; 当ln x a >时,()0h x '>,()h x 在区间(ln ,+)a ∞上是增函数.所以min ()(ln )2ln h x h a a a a ==-. 又()010h a =+>,由题意,当2ln 0a a a ->,即20e a <<时,()f x 无零点,符合题意. 综上,a 的取值范围是{}()210,e -⋃.【点睛】导数的应用主要有:(1)利用导函数几何意义求切线方程;(2)利用导数研究原函数的单调性,求极值(最值); (3)利用导数求参数的取值范围. 5.(1)答案见解析 (2)(,e 3]-∞+ 【解析】 【分析】(1)求导得到()x f x e a '=-,讨论0a 和0a >两种情况,分别计算得到答案.(2)0x >时,2e 1x x x a x +++≤,令2e 1()(0)x x x g x x x+++=>,求函数的最小值,得到答案. (1)()e 1x f x ax =-+,()e x f x a '∴=-.①当0a ≤时,()e 0x f x a '=->恒成立,()f x ∴在R 上单调递增,无极大值也无极小值;②当0a >,(,ln )x a ∈-∞时,()0f x '<,(ln ,)x a ∈+∞时,()0f x '>,()f x ∴在(,ln )a -∞上单调递减,在(ln ,)a +∞单调递增.∴函数()f x 有极小值为ln (ln )e ln 1ln 1a f a a a a a a =-+=-+,无极大值.(2)若对任意0x >,2()f x x x ≥--恒成立,则2e 1x x x a x +++≤恒成立,即2min e 1(0)x x x a x x ⎛⎫+++≤>⎪⎝⎭. 设2e 1()(0)x x x g x x x +++=>,则()2(1)e 1()x x x g x x -++'=,令()2(1)e1()0xx x g x x -++'==,解得1x =,当(0,1)x ∈时,()0g x '<,当(1,)x ∈+∞时,()0g x '>,()g x ∴在(0,1)上为减函数,在(1,)+∞上为增函数,()(1)g x g ∴≥,min ()(1)e 3g x g ∴==+,∴当e 3a ≤+时满足对任意0x >,2()f x x x ≥--恒成立,∴实数a 的取值范围为(,e 3]-∞+.6.(1)3,0a b c =-==; (2)(0,2). 【解析】 【分析】(1)由题得到三个方程,解方程即得解; (2)解不等式()'f x <0即得函数的单调递减区间. (1)解:由题意知(0)0f = ,∴c =0 .∴()f x =x 3+ax 2+bx , 所以()'f x =3x 2+2ax +b 由题得(0)f '=b =0,∴()'f x =3x 2+2ax =0,故极小值点为x 23a =-, ∴f (23a -)=﹣4,∴323a ⎛⎫-+ ⎪⎝⎭a 223a ⎛⎫-=- ⎪⎝⎭4,解得a =﹣3.故3,0a b c =-==. (2)解:令()'f x <0 即3x 2﹣6x <0,解得0<x <2, ∴函数的递减区间为(0,2). 7.(1)1a =,1b =(2)①证明见解析,②成立,理由见解析 【解析】 【分析】(1)求出导函数,再根据导数的几何意义及切点即在切线上又再曲线上,解出方程,解之即可;(2)①,由(1)求得函数的解析式及导数,利用导数求出函数()f x 的单调区间,从而可求得函数()f x 的最值,再根据方程()f x m =有两个实数根12,x x ,可得函数()f x 的最值m 的关系,即可得证;②,分别求出当直线过()1,0-,()()00,x f x 时和直线过()0,0,()()00,x f x 时割线方程,从而得1243x x x x ->-结合①即可得出结论. (1)解:()()1e xf x x b a =++-',因为函数()f x 在()()1,1f --处的切线方程为()e 1e e 10x y -++-=,所以()111e eb f a '-=-=-,()()1110ef b a ⎛⎫-=--= ⎪⎝⎭,∴1a =,1b =或1e=a ,2e b =-(舍), 所以1a =,1b =; (2)①证明:由(1)可知()()()1e 1xf x x =+-,()()2e 1x f x x '=+-, 令()()()2e 1xg x f x x '==+-,则()()3e xg x x '=+,令()0g x '=,得3x =-,所以函数()g x 在(),3-∞-上递减,在()3,-+∞上递增, 所以()()min 3g x g =-,即()()3min 3e 10f x f -''=-=--<,又x →+∞,()f x '→+∞,3x <-,()0f x '<, 且()010f '=>,()1110ef '-=-<,∴()01,0x ∃∈-,使得()00f x '=,即()002e 10xx +-=,即01e 2x x =+,当0x x <时,()0f x '<,当0x x >时,()0f x '>, 所以函数()f x 在()0,x -∞上递减,在()0,x +∞上递增,所以()()()()()0000min011e 1112x f x f x x x x ⎛⎫==+-=+- ⎪+⎝⎭()()()()()22000000211122222x x x x x x +-⎡⎤+⎡⎤⎣⎦=-=-=-++-⎢⎥+++⎣⎦, ∵()01,0x ∈-,∴()021,2x +∈, 令()()1,1,2h x x x x=+∈, 则()()2110,1,2h x x x'=->∈ , 所以函数()h x 在()1,2上递增, 故()001522,22x x ⎛⎫++∈ ⎪+⎝⎭,所以()001122,022x x ⎡⎤⎛⎫-++-∈-⎢⎥ ⎪+⎝⎭⎣⎦, 即()min 12f x >-, ∴12m >-;②解:成立,理由如下:当直线过()1,0-,()()00,x f x 时割线方程为()()()00112x y x m x +=-+=+, 得()()030211m x x x -+=-+, 当直线过()0,0,()()00,x f x 时割线方程为()()200012x y x m x x -+==+, 得()()0042021mx x x x -+=+, ∴()()()0124320002112111222m x mx x x x m x x x +->-=+=+>++++-+.【点睛】本题考查了导数得几何意义,考查了利用导数解决方程的根的问题,考查了不等式的证明问题,,考查了数据分析和处理能力,考查了转化思想,计算量比较大,属于难题.8.(1)1,e⎡⎫+∞⎪⎢⎣⎭ (2)(],1-∞-【解析】【分析】(1)求出导函数()e x a f x x'=+,根据()f x 在(,0)-∞上单调递减,可得()e 0x a f x x '=+≤在(,0)-∞上恒成立,分类参数可得e x a x ≥-⋅在(,0)-∞上恒成立,令()()e ,0x g x x x =-⋅<,利用导数求出函数()g x 的最大值即可得解;(2)将已知不等式转化为()ln 10a a x x--+≤对(,0)x ∀∈-∞恒成立,令()()()ln 1,0a h x a x x x =--+<,在对a 分类讨论,求出()h x 的最大值小于等于0,即可求出答案.(1)解:()e x af x x'=+, 因为()f x 在(,0)-∞上单调递减,所以()e 0x af x x'=+≤在(,0)-∞上恒成立, 即e x a x ≥-⋅在(,0)-∞上恒成立,令()()e ,0x g x x x =-⋅<,则()()e e 1e x x x g x x x '=--=-+,当1x <-时,()0g x '>,当10x -<<时,()0g x '<,所以函数()g x 在(),1-∞-上递增,在()1,0-上递减,所以()()max 11eg x g =-=,所以a 的取值范围为1,e ⎡⎫+∞⎪⎢⎣⎭; (2)解:由()()f x f x '≤得()ln 1a a x x-+≤,即()ln 10a a x x --+≤对(,0)x ∀∈-∞恒成立,令()()()ln 1,0a h x a x x x =--+<,()()()221,0a x a a h x x x x x +'=+=<, 当0a =时,()1h x =,不满足()0h x ≤;当0a >时,1x <-时,()0h x '<,10x -<<时,()0h x '>,所以函数()h x 在(),1-∞-上递减,在()1,0-上递增,所以()()min 110h x h a =-=+>,不符合题意;当0a <时,1x <-时,()0h x '>,10x -<<时,()0h x '<,所以函数()h x 在(),1-∞-上递增,在()1,0-上递减,所以()()max 110h x h a =-=+≤,解得1a ≤-,综上所述,a 的取值范围(],1-∞-.【点睛】本题主要考查了利用导数研究函数的单调性和最值,考查了不等式恒成立问题,考查了转化思想和分类讨论思想,考查了学生的计算能力.9.(1)在(0,)+∞单调递增;(2)1b ≤【解析】【分析】(1)对函数()f x 通过求导,判断出导数恒大于等于0,得到()f x 在(0,)+∞单调递增.(2)将()g x 化简整理并求导,得到222(1)1()(24)-'=++-x g x x b x x,讨论b 的取值可确定()g x 在(1,)+∞单调性,即可得到取值范围.(1)因为()f x 的定义域为(0,)+∞,对函数()f x 求导,则222221221(1)()10x x x f x x x x x '-+-=+-==≥,∴函数()f x 在(0,)+∞单调递增. (2)因为()()()28g x f x bf x =-,所以22211()2ln 8(2ln )0=----->g x x x b x x x x对1x ∀>恒成立, 322412()28(1)'=+--+-g x x b x x x x 4232312248(2)⎡⎤=+--+-⎣⎦x x b x x x x 222322(1)2(1)1(1)4(24)--⎡⎤=+-=++-⎣⎦x x x bx x b x x x当1x >时,124++>x x ,当44≤b ,即1b ≤时,()0g x '>对1x ∀>恒成立,∴()g x 在(1,)+∞单调递增,()(1)g x g >=0符合题意. 当1b >时,存在01x >使得当0(1,)x x ∈时,()0,()g x g x '<单调递减; 此时()(1)0g x g <=这与()0>g x 恒成立矛盾.综上:1b ≤.【点睛】本题考查函数恒成立条件下求解参数范围问题,属于难题. 对函数()g x 求导,有222(1)1()(24)-'=++-x g x x b x x,再利用()1=0g 的特点,可分类讨论b 的取值范围,在1b ≤时,()g x 在(1,)+∞单调递增,原式成立,此时满足要求;当1b >时,()g x 在(1,)+∞先出现递减区间,必有()0g x <出现,与已知矛盾,即可确定b 的范围.10.(1)320x y --=;(2)[)4,∞-+.【解析】【分析】(1)把1a =代入,求出函数()f x 的导数,利用导数的几何意义结合直线点斜式方程求解作答.(2)根据给定条件,分离参数,借助二次函数的最大值推理作答.(1)当1a =时,2()ln f x x x =+,求导得:1()2f x x x'=+,则(1)3f '=,而(1)1f =,有13(1)y x -=-,即320x y --=, 所以所求切线方程为320x y --=.(2)当2x ≥时,()f x x '≥恒成立,即当2x ≥时,2ax x x+≥恒成立,有2≥-a x 在[2,)x ∈+∞上恒成立,而函数2y x =-在[2,)+∞上单调递减,当2x =时,max 4y =-,于是得4a ≥-, 所以实数a 的取值范围为[)4,∞-+.。
1.已知函数 f ( x) ax 3bx 2(c 3a 2b) x d 的图象如图所示.(I)求c, d的值;(II )若函数f (x)在x 2处的切线方程为3x y 11 0,求函数 f (x)的解析式;(III )在( II )的条件下,函数y f ( x) 与y 1 f (x) 5x m 的3图象有三个不同的交点,求m 的取值范围.2.已知函数 f (x) a ln x ax 3(a R) .(I)求函数f ( x)的单调区间;( II )函数 f ( x)的图象的在x 4 处切线的斜率为 3 , 若函数2g( x) 1x 3 x2 [ f '( x)m] 在区间(1,3)上不是单调函数,求m 的取值范围.3 23.已知函数 f ( x) x3 ax2 bx c 的图象经过坐标原点,且在 x 1 处取得极大值.(I)求实数a的取值范围;(II )若方程f ( x) (2a 3) 2 恰好有两个不同的根,求 f ( x) 的解析式;9(III )对于(II )中的函数f (x),对任意、R,求证:| f ( 2sin ) f ( 2sin ) | 81 .4.已知常数a0 ,e为自然对数的底数,函数 f ( x) e x x ,g(x)x 2 a ln x .(I)写出f (x)的单调递增区间,并证明e a a;(I I )讨论函数y g( x)在区间(1,e a)上零点的个数.5.已知函数 f (x)ln( x 1) k( x 1) 1.(I)当k 1时,求函数 f ( x)的最大值;(I I )若函数f ( x)没有零点,求实数k的取值范围;6.已知x 2 是函数f (x)(x2ax 2a 3)e x的一个极值点(e 2.718).(I)求实数a的值;(I I )求函数f ( x)在x [3,3]的最大值和最小值.27.已知函数 f ( x)x24x (2 a) ln x, (a R, a 0)(I)当 a=18 时,求函数 f ( x)的单调区间;(I I )求函数f (x)在区间[ e, e2]上的最小值.8.已知函数 f (x) x(x 6) a ln x在x (2, ) 上不具有单调性....(I)求实数a的取值范围;( II )若f ( x)是f (x)的导函数,设g( x) f ( x) 6 22,试证明:对任意两个不相38 x等正数 x1、x2,不等式 | g( x1 ) g ( x2 ) | | x1 x2 | 恒成立.279.已知函数 f ( x) 1 x2 ax (a 1) ln x, a 1.2(I)讨论函数 f (x)的单调性;(II )证明:若a 5, 则对任意 x1 , x2 (0, ), x1 x2 f ( x1 ) f (x2 ),有 1.x1 x210.已知函数 f (x) 1 x2 a ln x, g ( x) (a 1)x , a1.2(I)若函数f ( x), g( x)在区间[1,3]上都是单调函数且它们的单调性相同,求实数 a 的取值范围;(II )若a (1, e] ( e 2.71828 ) ,设 F (x) f (x) g (x) ,求证:当 x , x [1,a] 时,不1 2等式 | F ( x1 ) F ( x2 ) | 1 成立.11.设曲线C:f (x)ln x ex (e 2.71828), f ( x)表示 f ( x)导函数.(I )求函数f ( x)的极值;(II )对于曲线C上的不同两点A( x1, y1),B( x2, y2)x0( x1 ,x2 ) ,使直线AB的斜率等于 f ( x0 ) ., x1 x2,求证:存在唯一的12.定义F (x, y) (1 x) y , x, y ( 0, ) ,(I )令函数f (x) F (3,log2 (2 x x2 4)) ,写出函数 f ( x) 的定义域;使得(II )令函数g( x) F (1,log2 ( x3 ax2 bx 1)) 的图象为曲线,若存在实数bC曲线 C 在x0( 4 x0 1) 处有斜率为-8的切线,求实数a的取值范围;(III )当x, y N*且x y 时,求证 F ( x, y) F ( y, x) .高二数学 数部分大答案1.解:函数 f (x) 的 函数 f ' ( x) 3ax 2 2bx c 3a 2b (I )由 可知 函数 f (x) 的 象 点( 0,3),且 f ' (1)⋯⋯⋯⋯ (2 分)得d 3d 33a2b c 3a2b 0c 0(II )依 意f ' (2)3 且 f ( 2) 5⋯⋯⋯⋯ (4 分)12a 4b 3a 2b3 8a 4b 6a 4b 35解得 a 1,b 6 所以 f ( ) x 3 6 x 29 x 3 ⋯⋯⋯⋯ (8 分) x(III ) f ( x) 3x 2 12 x 9 .可 化 : x 3 6x 2 9 x 3 x 2 4x 3 5x m 有三个不等 根,即: g x x 3 7 x 2 8x m 与 x 有三个交点;g x 3x 214 x 8 3x 2 x 4 ,x,2 22,44,3 343g x+-+ g x增极大减极小增 g268 m, g 416 m .⋯⋯⋯⋯ (10 分)327当且 当 g268 m 0且g 416 m 0 ,有三个交点,327故而,16 m68所求.⋯⋯⋯⋯ (12 分)272.解:(I ) f '( x)a(1 x) ( x 0)(2 分)x当 a 0时, f ( x)的单调增区间为 0,1 , 减区间为 1,当 a 0时 , f (x)的单调增区间为 1,, 减区间为 0,1 ;当 a=1 , f ( x) 不是 函数(5 分)(II ) f ' (4) 3a3得 a 2, f ( x) 2 ln x 2x 34 2g (x)1 x3( m2) x 2 2x, g' (x) x 2 ( m 4)x 2 (6 分)3 2g (x)在区间 (1,3)上不是单调函数 , 且 g' (0) 2g' (1) 0, g' (3) 0.m 3,19, 3) (8 分)m 19 ,(10分)m (33(12 分)3.解:(I ) f (0)0 c 0, f ( x) 3x 2 2axb, f (1) 0 b 2a 3 f ( x)3x 22ax (2a 3) ( x 1)(3x 2a 3),由 f ( x)0 x1或 x2a 3,因 当 x1 取得极大 ,3所以2a 3 1a3 ,所以 a 的取值范围是 : (, 3) ;3(II )由下表:x(,1)12 a 32a 32a 3(1,)3(, )33f (x)+ 0- 0-极大极小f (x)增减增a6(2a3)2a 227依 意得:a6 ( 2a 3)2( 2a 3)2,解得: a9279所以函数 f (x) 的解析式是: f ( x) x 3 9x 2 15x(III ) 任意的 数,都有 22sin 2, 2 2 sin2,在区 [-2,2] 有:f (2)8 36 30 74, f (1) 7, f ( 2)8 36 30 2f ( x)的最大值是 f (1) 7, f ( x)的最小值是 f ( 2)8 36 3074函数 f ( x)在区间 [ 2,2] 上的最大 与最小 的差等于81,所以 | f (2 sin ) f (2sin ) | 81.4.解:(I ) f (x) e x1 0 ,得 f (x) 的 增区 是 (0, ) , ⋯⋯⋯⋯ (2 分)∵ a 0 ,∴ f (a) f (0) 1,∴ e aa 1 a ,即 e aa . ⋯⋯⋯⋯ (4 分)(II ) g (x)a2( x2a)( x 2a )2a,列表2x 2x2,由 g (x)0 ,得 xx2x( 0, 2a2a2a ))2(,22g (x)-+g( x)减极小增当 x2a,函数 yg( x) 取极小 g( 2a )22由( I ) eae 2 ae aa,∴ e aa ,∵a ,∴ e 2 aa22g (1) 1 0 , g(e a ) e 2 aa 2 (e a a)(e aa) 0a (1 ln a) ,无极大 .2 2 2a 2⋯⋯⋯⋯ (8 分)( i )当( ii )当2a 1 ,即 0 a 2 ,函数 yg( x) 在区 (1, e a ) 不存在零点22a1 ,即 a 22若 a (1 ln a) 2 2若 a (1 ln a) 2 2若a(1 ln a) 2 2上所述, y0 ,即 2 a 2e ,函数 y g (x) 在区 (1,e a ) 不存在零点0 ,即 a 2e ,函数 yg( x) 在区 (1, e a ) 存在一个零点 xe ;0 ,即 a 2e ,函数 y g( x) 在区 (1, e a ) 存在两个零点;g(x) 在 (1,e a) 上,我 有 :当 0 a 2e ,函数 f (x) 无零点; 当 a 2e ,函数 f ( x) 有一个零点;当 a 2e ,函数 f (x) 有两个零点.5.解:(I )当 k1 , f( x)2 xx 1f ( x) 定 域 ( 1,+),令 f ( x) 0, 得x2 ,∵当 x (1,2)时 , f ( x) 0 ,当 x (2, )时, f (x) 0 ,∴ f (x)在 (1,2) 内是增函数, 在(2, ) 上是减函数 ∴当 x 2 , f ( x) 取最大 f (2) 0 (II )①当 k 0时 ,函数 y ln( x 1) 象与函数 y k( x 1) 1 象有公共点,∴函数 f ( x) 有零点,不合要求;②当 k 0时 ,11 k kx k ( x 1 k )f ( x)kk⋯⋯⋯⋯⋯⋯ (6 分)1x1x令x1f ( x)0, 得xk1,∵ xk 1 时, f ( x) 0, x1,) 时, f( x) 0 ,k (1,k) (1 ∴11 k在(1,1) 内是增函数,在 [1 ) 上是减函数,f (x)k,1k∴ f ( x) 的最大 是 f (1ln k,)k∵函数 f ( x) 没有零点,∴ ln k 0 , k1 ,因此,若函数 f ( x) 没有零点, 数 k 的取 范 k(1,)6. 解:(I )由 f (x)( x 2 ax 2a 3)e x 可得f (x)(2 x a)e x (x 2 ax 2a 3)e x [ x 2 (2 a) x a3]e x ⋯⋯ (4 分)∵ x 2 是函数 f (x) 的一个极 点,∴ f (2)∴ (a 5)e 2 0 ,解得 a5,1) 增,在 ( 2,) 增,(II )由 fx( x2)( x 1) ex0 ,得 f ( x) 在 (( )由 f (x) 0 ,得 f (x) 在在 (1,2) 减∴ f (2)e 2 是f ( x) 在 x [ 3,3] 的最小 ;⋯⋯⋯⋯⋯ (8 分)e 232e 23e 23f ( 3 ) 7 , f (3)e 3∵ f (3) f (3 ) e 37 1 ( 4e e 7) 0, f (3) f (3 )242442∴ f (x) 在 x [ 3,3] 的最大 是 f (3)e 3 .27.解:(Ⅰ) f (x)x 2 4x 16 ln x ,f ' ( x) 2x 4162( x 2)( x 4)2 分x x由 f ' (x) 0 得 ( x 2)( x 4) 0 ,解得 x4 或 x2注意到 x 0,所以函数 f ( x) 的 增区 是( 4,+∞) 由 f ' (x) 0 得 ( x 2)( x 4) 0 ,解得 -2< x <4, 注意到 x 0,所以函数 f ( x) 的 减区 是 (0,4] .高二数学 数部分大上所述,函数 f ( x) 的 增区 是( 4,+∞), 减区 是 ( 0,4] 6 分(Ⅱ)在 x [e,e 2 ] , f ( x) x 2 4x (2 a) ln x 所以 f ' ( x) 2x 42 a2x 2 4x 2 a ,g ( x) 2x 2xx 4x 2 a当 a 0 ,有 △=16+4×2 ( 2 a) 8a 0 ,此 g (x) 0,所以 f ' (x) 0 , f ( x) 在[ e, e 2 ] 上 增,所以 f (x)min f (e) e 2 4e 2 a 8 分当 a 0 , △=16 4 2(2 a) 8a 0 ,令 f ' (x) 0 ,即 2x 2 4x 2 a 0 ,解得 x 令 f ' (x) 0 ,即 2x 2 4x 2 a0 , ①若 12a≥e 2,即 a ≥2( e21)2 ,2f (x) 在区 [ e, e 2 ] 减,所以 f ( x)min②若 e 12a e 2 ,即 2(e 1) 2a 2(e 2212a 或 x 1 2a ; 22解得 12a x 12a .22f (e 2 ) e 4 4e 2 4 2a .1)2 ,f (x) 在区 [ e,12a] 上 减,在区 [12a, e 2 ] 上 增,22所以 f (x)minf (12a ) a 2a3 ( 2 a) ln(12a) .222③若 12a e(e 1) 2,f ( x)在区[ e, e 2 ]增,2 ≤ ,即 0a ≤2所以 f (x)min f (e) e 2 4e 2 a上所述,当 a ≥2(e 21)2 , f ( x) mina 4 4e 2 4 2a ;当 2(e 1) 2 a 2(e 2 1) 2 , 当 ≤1)2, f ( x) min e 2a 2(e8.解:(I )f ( x)2x a 2x 26xf ( x)mina2a 3 ( 2 a) ln(12a ) ;2 24e2 a14 分6x a ,x∵ f ( x) 在 x (2,) 上不具有 性, ∴在 x (2,) 上 f ( x) 有正也有 也有0,...即二次函数 y 2x 2 6x a 在 x (2,) 上有零点 ⋯⋯⋯⋯⋯⋯ (4 分)∵ y 2x 2 6xa 是 称 是 x3,开口向上的抛物 ,∴ y 2 22 6 2 a2的 数 a 的取 范 ( ,4)(II )由( I ) g( x)2x a 22,x x方法 1: g( x)f (x)2 6 2 xa 2 ( x 0) ,x 2x x 2高二数学 数部分大∵ a 4 ,∴g ( x)2a 42442x 34x 4 ,⋯⋯⋯⋯ (8 分)x2x 3x2x 3x3h( x) 244, h ( x)8 12 4(2 x 3)x 2x 3x 3x 4x 4h( x) 在 (0, 3 ) 是减函数,在 ( 3 , ) 增函数,当 x3, h( x) 取最小382 2 227∴从而 g ( x) 38 ,∴ ( g( x) 380 ,函数 y g( x) 38x 是增函数,x)27 27 27x 1、x 2 是两个不相等正数,不妨x 1x 2 , g (x 2 )3838x 2 g ( x 1 )x 12727∴ g ( x 2 ) g (x 1 )38( x 2 x 1 ) ,∵ x 2x 10 ,∴ g ( x 1 ) g( x 2 ) 3827x 1 x 2 27∴g( x 1 ) g ( x 2 )38 ,即 | g ( x 1 )g ( x 2 ) | 38x 2 |⋯⋯⋯⋯⋯⋯ (12 分)x 1 x 227| x 127方法 2: M ( x 1 , g( x 1 )) 、 N (x 2 , g( x 2 )) 是曲 yg( x) 上任意两相异点,g ( x 1 ) g( x 2 )22( x 1 x 2 ) a ,12 21 2,x 1 x 2x 12x 22x 1 x 2x xx xa 42( x 1 x 2 )a(4a44⋯⋯⋯ (8 分)2 x 12 x 22x 1x 22x 1 x 2 )3x 1 x 22( x 1 x 2 )3 x 1x 2t1 ,t 0 ,令 k MNu(t)2 4t3 4t 2 , u (t)4t(3t2),x 1 x 2由 u (t)0,得 t2, 由 u (t) 0 得 0 t2 ,2323u( t) 在 (0, ) 上是减函数,在 ( ,) 上是增函数,33u(t) 在 t2 取极小38, u(t)38 ,∴所以 g( x 1 )g( x 2 ) 3832727x 1x 227即 | g ( x ) g( x ) |38| x x 2 |1227 1x 29. (1) f ( x) 的定 域 (0,) , f ' ( x)x a a 1 ax a 1 ( x 1)( x 1 a)xxx(i )若 a 1 1, 即 a 2 , f ' ( x)( x 1) 2 . 故 f ( x) 在 (0,) 增加.(ii )若 ax1 1,而 a 1,故1 a 2,则当 x (a 1,1)时 , f ' (x) 0.当 x (0, a 1) 及 x (1,)时 , f ' ( x)0,故 f ( x)在(a 1,1) 减少,在( 0,a-1),(1,) 增加.(iii )若 a1 1,即 a 2,同理可得 f ( x)在 (1, a 1)单调减少 ,在 (0,1), (a 1,) 增加.(II )考 函数 g( x)f ( x) x1 x2 ax (a1) ln x x.2由 g ' ( x) x ( a 1)a 1 2 x a 1(a 1) 1 ( a 1 1) 2 .x x由于 a a5,故 g' ( x) 0,即 g( x)在 (0, )单调增加 ,从而当 x 1 x 2 0 有g(x 1 ) g( x 2 )0,即 f (x 1 )f (x 2 ) x 1x 2 0,高二数学导数部分大题练习故f (x 1)f ( x 2 ) 1 ,当 0 x 1 x 2 时,有 f (x 1 ) f ( x 2 ) f (x 2 ) f ( x 1 )1x 1x 2x 1x 2x 2 x 110.解:(I ) f (x)aa 1 ,x, g ( x)x∵函数 f (x), g(x) 在区间 [1,3] 上都是单调函数且它们的单调性相同,∴当 x [1,3] 时, f (x) g ( x) ( a 1)( x 2 a) 0 恒成立,即 (a 1)( x 2a) 0 恒x成立,∴∵a 1在 x [1,3] 时恒成立,或 a 1在 x [1,3] 时恒成立,ax 2 ax 2 9 x1 ,∴ a1 或 a 9(II ) F ( x)1 x2 a ln x,(a 1)x , F (x) xa (a 1) ( x a)( x 1)2xx ∵ F ( x) 定义域是 (0, ) , a (1, e] ,即 a 1∴ F ( x) 在 (0,1) 是增函数,在 (1,a) 实际减函数,在 ( a, ) 是增函数 ∴当 x 1 时, F ( x) 取极大值 MF (1)a 1 ,2当 x a 时, F ( x) 取极小值 mF (a) aln a1 a2 a ,2∵ x , x2 [1,a] ,∴121| F ( x ) F ( x ) | | M m | M m设 G (a) M m1 a2 a ln a 1,则 G (a) a ln a 1 ,2 2∴ [G (a)]11,∵ a (1, e] ,∴ [ G (a)] 0a∴ G ( a) a ln a 1 在 a (1, e] 是增函数,∴ G ( a)G (1)∴ G(a) 1 a2a ln a1在 a (1, e] 也是增函数221)2∴ G (a) G(e) ,即 G (a) 1 e 2 e 1 (e 1,22 2而 1 e 2 e 1 (e 1)21 (3 1)2 1 1 ,∴ G (a) M m 12 2 2 2 ∴当 x 1 , x 2 [1,a] 时,不等式 | F (x 1 ) F (x 2 ) | 1 成立.11.解:(I ) f ( x) 1 e 1 ex 1x x 0 ,得 xe当 x 变化时, f (x) 与 f ( x) 变化情况如下表:x(0, 1)e1( 1, )eef ( x)+ 0-f ( x) 单调递增 极大值 单调递减 ∴当 x 1 时, f ( x) 取得极大值 f (1)2 ,没有极小值;ee(II )(方法 1)∵ f (x 0 ) k AB ,∴1e ln x 2 ln x 1e( x 2x 1),∴x 0x 2 x 1x 2x 1lnx2x 0 x 1高二数学 数部分大即 x 0 lnx2( x 2 x 1 )x 1g (x 1) x 1 lnx 2( x 2x 1∵ x 1 x 2 ,∴ g (x 1)0 , g (x) x lnx 2( x 2 x 1 )x 1/lnx2x 1) , g (x 1) x 11 0 , g (x 1) 是 x 1 的增函数,x 1g(x 2 ) x 2 lnx 2( x 2 x 2 ) 0 ;x 2g (x 2 ) x 2 lnx 2( x 2/ lnx 2 1 0 , g( x 2 ) 是 x 2 的增函数,x 1 ) ,g(x 2 ) x2x 1x 1∵ x 1x 2 ,∴ g (x 2 ) g( x 1 )x 1 lnx 1(x 1 x 1) 0 ,x 1∴函数 g ( x) x lnx 2(x 2 x 1 ) 在 ( x 1 , x 2 ) 内有零点 x 0 ,x 1又∵ x 21, ln x 2 0,函数 g(x) xln x 2( xx )在 1 2) 是增函数,x 1x 1x 121( x , x∴函数 g ( x) x 2 x 1 ln x 2在 ( x 1 ,x 2 ) 内有唯一零点 x 0 ,命 成立xx 1(方法 2)∵ f (x 0 )kAB ,∴1e ln x 2 ln x 1 e( x 2x 1),x 0x 2 x 1即 x 0 ln x 2 x 0 ln x 1 x 1 x 2 0 , x 0 ( x 1 , x 2 ) ,且 x 0 唯一g ( x) x ln x 2 x ln x 1 x 1 x 2 , g ( x 1 ) x 1 ln x 2 x 1 ln x 1 x 1 x 2 , 再 h(x) x ln x 2x ln x x x 2 , 0x x 2 ,∴ h (x) ln x 2ln x 0∴ h( x) x ln x 2 x ln x x x 2 在 0 x x 2 是增函数∴ g ( x 1 ) h( x 1 ) h(x 2 ) 0 ,同理 g (x 2 ) 0 ∴方程 x ln x 2 x ln x 1 x 1 x 2 0 在 x 0 ( x 1 , x 2 ) 有解∵一次函数在 ( x 1 , x 2 ) g( x) (ln x 2ln x 1) x x 1 x 2 是增函数∴方程 x ln x 2 x ln x 1 x 1 x 2 0 在 x 0 ( x 1 , x 2 ) 有唯一解,命 成立 ⋯⋯⋯(12 分)注: 用函数 性 明,没有去 明曲C 不存在拐点,不 分. 12.解:(I ) log 2 (2 x x 2 4) 0 ,即 2x x 2 4 1得函数 f ( x) 的定 域是 ( 1,3) , (II ) g( x) F (1,log 2 ( x 2 ax 2 bx 1)) x 3 ax 2 bx 1,曲 C 在x 0 ( 4x 01) 有斜率 - 8 的切 ,又由 log 2 (x 3ax 2bx 1)0, g ( x) 3x 22axb,3x 02 2ax 0 b8∴存在 数 b 使得①4 x 01②有解,由①得x 03ax 02bx 0 1③ 1b8 3x 02 2ax 0 , 代入③得 2x 02 ax 0 8 0 ,由 2x 02 ax 08 0 有4 x 01解, ⋯⋯⋯⋯⋯⋯⋯⋯ (8 分)高二数学数部分大方法 1:a 2( x) 8 ,因 4 x0 1 ,所以 2( x0 ) 8 [8,10) ,( x0 ) ( x0 )当 a 10 ,存在数 b ,使得曲C在x0( 4 x0 1) 有斜率-8的切方法 2:得2 ( 4)2⋯⋯⋯⋯⋯⋯(10 分)a ( 4) 8 0或 2 ( 1) 2 a ( 1) 8 0 ,a 10或a 10, a 10.方法 3:是 2 ( 4) 2 a ( 4) 8 0的集,即 a 102 ( 1)2 a ( 1) 8 0ln(1 x) , x xln(1 x)(III )令h( x)1,由h( x) 1 xx2 x又令 p( x) x ln(1 x), x 0, p ( x) 1 1 x 0 ,x (1 x) 2 1 x (1 x) 21p( x)在[ 0, )减. ⋯⋯⋯⋯⋯⋯⋯⋯(12)分当 x 0时有 p( x) p(0) 0, 当x 1时有 h ( x) 0,h( x)在[1, ) 减,1 x y时,有 ln(1 x) ln(1 y), y ln(1 x) x ln(1 y), (1 x) y (1 y)x,x y当 x, y N 且 x y时 F (x, y) F ( y, x).。
导数文科测试题及答案一、单项选择题(每题3分,共30分)1. 函数y=x^2的导数是()A. 2xB. x^2C. 2D. x答案:A2. 函数y=3x的导数是()A. 3B. 3xC. 1D. 0答案:A3. 函数y=x^3的导数是()A. 3x^2B. x^3C. 3D. x^2答案:A4. 函数y=sin(x)的导数是()A. cos(x)B. sin(x)C. -sin(x)D. -cos(x)答案:A5. 函数y=e^x的导数是()A. e^xB. e^(-x)C. 1D. 0答案:A6. 函数y=ln(x)的导数是()A. 1/xB. xC. ln(x)D. 1答案:A7. 函数y=1/x的导数是()A. -1/x^2B. 1/x^2C. -1/xD. 1/x答案:A8. 函数y=x^(1/2)的导数是()A. 1/2x^(-1/2)B. 1/2x^(1/2)C. 1/2D. 2x^(-1/2)答案:A9. 函数y=tan(x)的导数是()A. sec^2(x)B. tan(x)C. 1D. sec(x)答案:A10. 函数y=arcsin(x)的导数是()A. 1/sqrt(1-x^2)B. 1/xC. xD. sqrt(1-x^2)答案:A二、填空题(每题4分,共20分)11. 函数y=x^4的导数是________。
答案:4x^312. 函数y=cos(x)的导数是________。
答案:-sin(x)13. 函数y=ln(1+x)的导数是________。
答案:1/(1+x)14. 函数y=x^(-2)的导数是________。
答案:-2x^(-3)15. 函数y=arccos(x)的导数是________。
答案:-1/sqrt(1-x^2)三、解答题(每题10分,共50分)16. 求函数y=x^2-2x+1的导数。
答案:y'=2x-217. 求函数y=e^(2x)的导数。
最新文件---------------- 仅供参考--------------------已改成-----------word 文本 --------------------- 方便更改专题8:导数(文)经典例题剖析考点一:求导公式。
例1. ()f x '是31()213f x x x =++的导函数,则(1)f '-的值是 。
考点二:导数的几何意义。
例 2. 已知函数()y f x =的图象在点(1(1))M f ,处的切线方程是122y x =+,则(1)(1)f f '+= 。
例3.曲线32242y x x x =--+在点(13)-,处的切线方程是 。
考点三:导数的几何意义的应用。
例 4.已知曲线C :x x x y 2323+-=,直线kx y l =:,且直线l 与曲线C 相切于点()00,y x 00≠x ,求直线l 的方程及切点坐标。
考点四:函数的单调性。
例5.已知()1323+-+=x x ax x f 在R 上是减函数,求a 的取值范围。
考点五:函数的极值。
例6. 设函数32()2338f x x ax bx c =+++在1x =及2x =时取得极值。
(1)求a 、b 的值;(2)若对于任意的[03]x ∈,,都有2()f x c <成立,求c 的取值范围。
考点六:函数的最值。
例7. 已知a 为实数,()()()a x x x f --=42。
求导数()x f ';(2)若()01'=-f ,求()x f 在区间[]2,2-上的最大值和最小值。
考点七:导数的综合性问题。
例8. 设函数3()f x ax bx c =++(0)a ≠为奇函数,其图象在点(1,(1))f 处的切线与直线670x y --=垂直,导函数'()f x 的最小值为12-。
(1)求a ,b ,c 的值;(2)求函数()f x 的单调递增区间,并求函数()f x 在[1,3]-上的最大值和最小值。
完整版)导数最新文科高考数学真题1.曲线y=xex-1在点(1,1)处的切线斜率为2e。
(选项C)2.曲线y=ax-ln(x+1)在点(0,0)处的切线方程为y=2x,因此a=3.(选项D)3.根据导函数y'=f'(x)的图象,确定函数y=f(x)的图象为B。
4.函数f(x)=2/x+lnx,其导数为f'(x)=-2/x^2+1/x。
解方程f'(x)=0,得到x=2为f(x)的极小值点。
(选项D)5.如果p:f(x)=q:x是f(x)的极值点,则p是q的必要条件,但不是充分条件。
(选项C)6.曲线y=x^3-x+3在点(1,3)处的切线方程为2x-y+1=0.7.曲线y=kx+lnx在点(1,k)处的切线平行于x轴,因此k=-1.8.曲线y=ax-lnx在点(1,a)处的切线平行于x轴,因此a=1/2.(选项1/2)9.曲线y=-5ex+3在点(0,-2)处的切线方程为5x+y+2=0.10.曲线y=x+1(α∈R)在点(1,2)处的切线经过坐标原点,因此α=2.11.曲线y=x(3lnx+1)在点(1,1)处的切线方程为4x-y-3=0.12.曲线y=e^x上点P处的切线平行于直线2x+y+1=0,因此P的坐标为(-ln2,2)。
13.曲线y=xlnx上点P处的切线平行于直线2x-y+1=0,因此P的坐标为(e,e)。
14.函数y=-x^2没有明显的问题,但是缺少了后面的部分,因此无法确定答案。
15.若函数f(x)=kx-lnx在区间(1,+∞)单调递增,则k的取值范围是[1,+∞)。
16.函数f(x)=(1-cosx)sinx在[-π,π]的图象大致为下凸的W 形,拐点为x=0.17.已知曲线y=x+lnx在点(1,1)处的切线与曲线y=ax+(a+2)x+1相切,则2a=8.18.函数y=xe在其极值点处的切线方程为y=-x/e。
19.已知函数f(x)=axlnx,其中a为实数,且f'(x)为f(x)的导函数,若f'(1)=3,则a的值为3.20.曲线y=x^2的在点(1,2)处的切线方程为x-y+1=0.21.函数y=f(x)的导函数y=f'(x)的图象为下凸的W形,则函数y=f(x)的图象可能是D。
导数专练答案一、选择题1.下列函数求导运算正确的个数为 ()1①(3x )′= 3x log 3e ;②(log 2x)′= x ·ln 2;③(e x )′= e x ;④⑤ (x ·e x )′= e x +1.1ln x ′= x ;A .1B .2C .3D .4【解析】①(3x)′= 3xln 3;② (log 2x)′=1 ;③ (e x)′= e x;④xln 21′=-1x=-1;⑤(x ·e x′= x+x ·e x =e x+ ,故选ln xln x 2x ·ln x 2) e (x 1)B.2. 曲线 yA . y D . y 4x3.函数 f2在点 P(1,3) 处的切线方程为()2 x 1 4 x 1 B . y 4x 7C . y 4 x 17x 的定义域为 a, b ,导函数 fx 在 a,b 内的图像如图所示,则函数 f x 在 a, b 内有极小值点A .1 个B.2 个C.3 个D.4个14.(2012 ·辽宁高考 )函数 y =2x 2-ln x 的单调递减区间为 ()A . ( - 1,1]B . (0,1]C . [1 ,+ ∞ )D .(0,+∞ )1【解析】 由题意知,函数的定义域为 (0,+∞ ),又由 y ′= x -x ≤ 0,解得 0<x ≤1,所以函数的单调递减区间为 (0,1].【答案】 B5.【2012 高考陕西文 9】设函数 f (x )= 2+lnx 则 ( )xA .x= 1是 f(x) 极大值点 B .x=1是 f(x) 极小值点 C .x=2 是 f(x) 极22大值点 D .x=2 是 f(x) 极小值点【解析】 f ' x21x2,令 f ' x0 ,则 x 2 .x2x x2当 x 2 时, f x是单调递减的;当 x 2 时, f x 是单调递增的.所以 x 2 是 f x 的极小值点.故选D.6.若函数 f (x) x3 3x a 在区间 [0,3] 上的最大值、最小值分别为M、N,则 M N 的值为()A.2B.4C.18D.207.(山东省烟台市2014 届高三 3 月)函数 f(x)=1nx-1x2的图像大致是 ()2【答案】函数的定义域为 { x x0} ,函数的导数微微 f '(x)1x1x2,x x由 f '(x) 1 x20 得,0x 1, 即增区间为(0,1) . 由f '(x)1x20 x x得 , x 1, 即减区间为(1,) ,所以当 x 1 时,函数取得极大值,且10 ,所以选B.f (1)28. (临沂市2014 届高三 5 月)曲线y e x在点A 处的切线与直线x y 3 0 平行,则点A的坐标为(A) 1,e1(B)0,1(C)1,e(D)0,2【答案】 B直线 x y30 的斜率为1,所以切线的斜率为1, 因为y 'e x,所以由 y 'e x 1 ,解得 x0,此时y e0 1 ,即点A的坐标为 0,1 ,选 B.、[2014·辽宁卷]当∈-,1]时,不等式3-x2+4x+3≥0 恒成9x[2ax立,则实数 a 的取值范围是A.[-5,- 3] B. -6,-C.[-6,- 2]D.[-4,-983]10.[2014 ·新课标全国卷Ⅱ ] 若函数 f(x)=kx-ln x 在区间 (1,+∞ ) 单调递增,则 k 的取值范围是A .(-∞,- 2]B.(-∞,- 1]C.[2 ,+∞ )D.[1,+∞ )二、填空题11. .曲线y sin x在点 M ( ,0) 处的切线方程为x12、已知函数f ( x)x3ax2bx a 2在x=1处有极值为10,则f(2)等于____________.13.已知函数f ( x)x3ax 在R上有两个极值点,则实数 a 的取值范围是14.(山东省实验中学 2014 届高三第二次诊断)若函数f ( x)x33x a 有三个不同的零点 , 则实数a的取值范围是 ____________.【答案】 (2,2) 【解析】由f ( x) x33x a0 ,得 f '(x)3x2 3 ,当f '(x) 3x230 ,得 x 1 ,由图象可知f极大值(1)=2 a, f极小值 (1)=a 2 ,要使函数 f ( x) x33x a有三个不同的零点 ,则有f极大值 ( 1)=2 a 0, f极小值 (1)=a 2 0 ,即 2 a 2 ,所以实数 a 的取值范围是 ( 2, 2) .15.(山东省泰安市2014 届高三上学期期末)已知函数f x的定义域为1,5 ,部分对应值如下表, f x 的导函数 y f x 的图像如图所示若函数 y f xa 有 4 个零点 , 则 a 的取值范围为 __________.【答案】【解析】由导数图象可知 , 当1 x 0或2 x 4时,f '(x) 0,[1,2)函数递增 . 当 0 x 2 或 4 x 5 时 , f '( x)0 , 函数递减 . 所以在 x2 处,函数取得极小值 . 由 yf xa 0 得 f x a .由图象可知 , 要使函数 y f x a 有 4 个零点 , 由图象可知 1a 2, 所以 a 的取值范围为 1 a 2 , 即[1,2) .三、解答题. ·重庆卷 ] 已知函数f(x) =x +a-ln x -3,其中 a ∈ R ,且曲 16 [2014 4 x 21线 y =f(x)在点 (1,f(1))处的切线垂直于直线 y =2x.(1)求 a 的值; (2)求函数 f(x)的单调区间与极值.1 a 1解: (1)对 f(x)求导得 f ′(x)=4-x 2-x ,由 f(x)在点 (1,f(1))处的切线垂直于直线 y =1知 f ′ =- 3-a =- 2,解得 a =52x(1) 44.(2) 由 (1)知 f(x) = x + 5-ln x -3,则 f ′(x)= x 2-4x -5 令 ′(= ,解得 4 4x 2 4x 2. f x) 0 x =- 1 或 x =5.因为 x =- 1 不在 f(x)的定义域 (0,+∞ )内,故舍去.当x∈(0,5)时,f′(x)<0,故f(x)在(0,5)上为减函数;当x∈(5,+∞)时, f′(x)>0,故 f(x)在(5,+∞ )上为增函数.由此知函数 f(x)在 x =5 时取得极小值 f(5)=- ln 5.、·福建卷]已知函数f(x)=x-ax(a 为常数 )的图像与 y 轴交17 [2014e于点 A,曲线 y=f(x)在点 A 处的切线斜率为- 1.(1)求a的值及函数f(x)的极值;证明:当>时,2<e x;(2)x 0x解: (1)由 f(x)=e x-ax,得 f′(x)=e x-a.又 f′(0)=1-a=- 1,得 a=2.所以 f(x)=e x-2x,f′(x)=e x-2.令f′(x)=0,得 x=ln 2.当x<ln 2 时, f′(x)<0,f(x)单调递减;当 x>ln 2 时, f′(x)>0,f(x)单调递增.所以当 x=ln 2 时, f(x)有极小值,且极小值为f(ln 2) =e ln 2-2ln 2=2-l n 4,f(x)无极大值.(2)证明:令 g(x)=e x-x2,则 g′(x)=e x-2x.由(1)得, g′(x)=f(x)≥f(ln 2)=2-ln 4>0,即 g′(x)>0.所以 g(x)在 R 上单调递增,又 g(0)=1>0,所以当 x>0 时,g(x)>g(0)>0,即 x2<e x.18.(【解析】山东省济南市2013 届高三上学期期末考试文科数学)1已知函数 f x 2 a ln x2ax(a 0) .x(1)当 a 0 时,求 f x 的极值;(2)当 a 0 时,讨论 f x 的单调性;【答案】解 :(1)当 a0 时,f x 2ln x 1, f x212x 1(x 0). x x x2x2由2x1,解得1∴ f x 在 0,1上是减函数 , 在1,上是增函数22∴ f x 的极小值为1 2 2ln 2 , 无极大值f2(2)2 a 1 2a2ax 22 a x 1 ax 1 2 x 1(x 0)f xx 2 x 2x 2x①当 2 a 0 时, f x 在 0, 1和1 , 2a上是减函数 , 在1, 1上是2a增函数 ;②当 a 2 时, f x 在 0, 上是减函数 ;③当 a2 时, f x 在1,和 0, 1 上是减函数 , 在1 , 1 上是增2aa 2函数19.(【解析】山东省实验中学2013 届高三第一次诊断性测试数学 (文)试题)已知 f ( x) x 2 ax 1nx, aR .(1) 若 a=0 时, 求函数 y f ( x) 在点 (1, f ( x) ) 处的切线方程 ;(2) 若函数 f ( x) 在[1,2] 上是减函数 , 求实数 a 的取值范围 ;(3) 令 g( x) f ( x) x 2 , 是否存在实数 a, 当 x (0, e]( e 是自然对数的底 ) 时,函数 g( x) 的最小值是 3, 若存在 , 求出 a 的值 ; 若不存在 , 说明理由 .20.(【解析】山东省济宁市2013 届高三第一次模拟考试文科数学)已知函数 f ( x ) ln x a .x(I) 若a>0, 试判断f ( x )在定义域内的单调性 ;3( Ⅱ) 若f ( x )在[1,e] 上的最小值为,求 a 的值;2(III) 若f ( x )x2在(1,+ )上恒成立,求a的取值范围【答案】解 (I)由题意知 f ( x)的定义域为(0,+∞),1 a x+a且f′(x)=x+x2 = x2∵a>0,∴f′(x)>0,故 f(x)在(0,+∞)上是单调递增函数x+a(II) 由(I) 可知 ,f′(x)= x2 .①若 a≥-1,则 x+a≥0,即 f′(x)≥0 在[1,e]上恒成立 ,此时 f(x)在[1,e]上为增函数 ,3 3∴f(x)min=f(1)=-a=2,∴a=-2(舍去 )②若 a≤-e,则 x+a≤0,即 f′(x)≤0 在[1,e]上恒成立 ,a 3e∴f(x)min=f(e)=1-e=2,∴a=-2(舍去 )③若 -e<a<-1,令 f′(x)=0 得 x=-a,当1<x<-a 时,f′(x)<0,∴f(x)在(1,-a)上为减函数 ;当-a<x<e 时,f′(x)>0,∴f(x)在(-a,e)上为增函数 ,3∴f(x)min=f(-a)=ln(- a)+1=2,∴a=- e.综上所述 ,a=- ea(Ⅲ)∵f(x)<x2,∴ln x-x<x2.又x>0,∴a>xln x-x3令g(x)=xln x-x3,h(x)=g′(x)=1+ln x-3x2,11-6x2h′(x)=x-6x= x .∵x∈(1,+∞)时,h′(x)<0,∴h(x)在(1,+∞)上是减函数 .∴h(x)<h(1)=-2<0,即 g′(x)<0,∴g(x)在(1,+∞)上也是减函数 .g(x)<g(1)=-1,∴当 a≥-1 时,f(x)<x2在(1,+∞ )上恒成立21.(14 分)(2014 ·淄博模拟)已知 f(x) =ax-ln x ,a∈R.(1) 当 a=2 时,求曲线 f(x) 在点 (1 ,f(1)) 处的切线方程;(2)若 f(x) 在 x=1 处有极值,求 f(x) 的单调递增区间;(3)是否存在实数 a,使 f(x) 在区间 (0,e] 的最小值是 3?若存在,求出 a 的值;若不存在,请说明理由.(1) 由已知得 f(x) 的定义域为 (0 ,+∞),1∵f(x) =ax -ln x ,∴f ′(x)=a - ,x当 a = 2 时, f(x) =2x -ln x ,∴f(1) =2,1 1∵f ′(x) =2- ,∴f ′(1)=2- =1 .(2 分)x 1∴曲线 f(x) 在点 (1,f(1)) 处的切线方程为 y -2 =f ′(1)(x -1),即 x- y +1=0.(4 分)(2) ∵f(x) 在 x = 1 处有极值,∴ f ′(1) =0,由 (1) 知 f ′(1) =a -1,∴ a =1 ,经检验, a =1 时 f(x) 在 x =1 处有极值. (6 分)1∴f(x) =x -ln x ,令 f ′(x) =1- >0,解得 x >1 或 x <0; ∵f(x)x的定义域为 (0,+∞),∴f ′(x) >0 的解集为 (1 ,+∞),即 f(x) 的单调递增区间为 (1,+∞). (8 分)(3) 假设存在实数 a ,使 f(x) =ax -ln x(x ∈(0 ,e]) 有最小值 3,①当 a ≤0 时,∵x ∈(0,e] ,∴f ′(x)<0 ,∴f(x) 在(0 ,e] 上单调递4减, f(x) min =f(e) =ae -1 =3,解得 a = (舍去 ).(10 分)e②当1 时, 在 0, 1 10 < <e上单调递减,在,e 上单调递af(x)aa1=1 +ln a =3,解得 a = e 2,满足条件.(12 分)增, f(x) min =fa1③当 ≥e 时,∵x ∈(0 ,e] ,∴f ′(x) <0,∴ f(x) 在(0 ,e] 上单调递a4减, f(x) min =f(e) =ae -1 =3,解得 a = (舍去 ).e综上,存在实数 a =e 2,使得当 x ∈(0,e] 时,f(x) 有最小值 3.(14 分)。
高二数学导数单元练习一、选择题1.一个物体的运动方程为S=1+t+t^2其中s 的单位是米,t 的单位是秒,那么物体在3秒末的瞬时速度是()A 7米/秒B 6米/秒C 5米/秒D 8米/秒2.已知函数f (x )=ax 2+c ,且(1)f '=2,则a 的值为()3()f x ''()()x g x =,5.0,则7.曲线3()2f x x x =+-在0p 处的切线平行于直线41y x =-,则0p 点的坐标为()A (1,0)B (2,8)C (1,0)和(1,4)--D (2,8)和(1,4)--8.函数313y x x =+-有()A.极小值-1,极大值1B.极小值-2,极大值3C.极小值-1,极大值3D.极小值-2,极大值29对于R 上可导的任意函数()f x ,若满足'(1)()0x f x -≥,则必有()A (0)(2)2(1)f f f +<B (0)(2)2(1)f f f +≤14.n 项和的1516 17.2y x =-,请解答下列问题:(1)求)(x f y =的解析式;(2)求)(x f y =的单调递增区间。
18.已知函数323()(2)632f x ax a x x =-++-(1)当2a >时,求函数()f x 极小值;(2)试讨论曲线()y f x =与x 轴公共点的个数。
20.已知1x =是函数32()3(1)1f x mx m x nx =-+++的一个极值点,其中,,0m n R m ∈<,(1)求m 与n 的关系式;(3111) )012n+,所以21n n a n =+,则数列1n a n ⎧⎫⎨⎬+⎩⎭的前n 项和()12122212n n n S +-==--三、解答题:15.解:设切点为(,)P a b ,函数3235y xx =+-的导数为'236y x x =+ 切线的斜率'2|363x a k y a a ===+=-,得1a =-,代入到3235y x x =+-得3b =-,即(1,3)P --,33(1),360y x x y +=-+++=16.解:设小正方形的边长为x 厘米,则盒子底面长为82x -,宽为52x -'2'10125240,0,1,3V x x V x x =-+===令得或,103x =(舍去) (1)18V V ==极大值,在定义域内仅有一个极大值, c bx ax x f ++=24182a =- (20<, 轴有三个交点;()x 的图像与x 轴只有一个交点;综上知,若0,()a f x ≥的图像与x 轴只有一个交点;若0a <,()f x 的图像与x 轴有三个交点。
高考文科数学导数专题复习 第1讲 变化率与导数、导数的计算考点一 导数的计算【例1】 求下列函数的导数:(1)y =e x ln x ;(2)y =x ⎝⎛⎭⎪⎪⎫x 2+1x +1x 3;【训练1】 (1) 已知函数f (x )的导函数为f ′(x ),且满足f (x )=2x ·f ′(1)+ln x ,则f ′(1)等于( ) A.-e B.-1 C.1 D.e(2)(2015·天津卷)已知函数f (x )=ax ln x ,x ∈(0,+∞),其中a 为实数,f ′(x )为f (x )的导函数.若f ′(1)=3,则a 的值为________.考点二 导数的几何意义 命题角度一 求切线方程【例2】 (2016·全国Ⅲ卷)已知f (x )为偶函数,当x ≤0时,f (x )=e -x -1-x ,则曲线y =f (x )在点(1,2)处的切线方程是________.【训练2】(2017·威海质检)已知函数f (x )=x ln x ,若直线l 过点(0,-1),并且与曲线y =f (x )相切,则直线l 的方程为( )A.x +y -1=0 B.x -y -1=0 C.x +y +1=0 D.x -y +1=0命题角度二求切点坐标【例3】(2017·西安调研)设曲线y=e x在点(0,1)处的切线与曲线y=1x(x>0)上点P处的切线垂直,则P的坐标为________.【训练3】若曲线y=x ln x上点P处的切线平行于直线2x-y+1=0,则点P的坐标是________.命题角度三求与切线有关的参数值(或范围)【例4】(2015·全国Ⅱ卷)已知曲线y=x+ln x在点(1,1)处的切线与曲线y=ax2+(a+2)x+1相切,则a =________.【训练4】1.函数f(x)=ln x+ax的图象存在与直线2x-y=0平行的切线,则实数a的取值范围是________.2.点P是曲线x2-y-ln x=0上的任意一点,则点P到直线y=x-2的最小距离为( )A.1B.32C.52D.2第2讲导数在研究函数中的应用知识梳理考点一利用导数研究函数的单调性【例1】设f (x )=e x (ax 2+x +1)(a >0),试讨论f (x )的单调性.【训练1】(2016·四川卷节选)设函数f (x )=ax 2-a -ln x ,g (x )=1x -eex ,其中a ∈R ,e =2.718…为自然对数的底数.(1)讨论f (x )的单调性;(2)证明:当x >1时,g (x )>0.考点二 求函数的单调区间【例2】 (2015·重庆卷改编)已知函数f (x )=ax 3+x 2(a ∈R )在x =-43处取得极值.(1)确定a 的值;(2)若g (x )=f (x )e x ,求函数g (x )的单调减区间.【训练2】 已知函数f (x )=x 4+ax -ln x -32,其中a ∈R ,且曲线y =f (x )在点(1,f (1))处的切线垂直于直线y=12x .(1)求a 的值;(2)求函数f (x )的单调区间.考点三已知函数的单调性求参数【例3】(2017·西安模拟)已知函数f(x)=ln x,g(x)=12ax2+2x(a≠0).(1)若函数h(x)=f(x)-g(x)存在单调递减区间,求a的取值范围;(2)若函数h(x)=f(x)-g(x)在[1,4]上单调递减,求a的取值范围.【训练3】已知函数f(x)=x3-ax-1.(1)若f(x)在R上为增函数,求实数a的取值范围;(2)若函数f(x)的单调减区间为(-1,1),求a的值.第3讲 导数与函数的极值、最值考点一 用导数研究函数的极值 命题角度一 根据函数图象判断极值【例1】 设函数f (x )在R 上可导,其导函数为f ′(x ),且函数y =(1-x )f ′(x )的图象如图所示,则下列结论中一定成立的是( )A.函数f (x )有极大值f (2)和极小值f (1)B.函数f (x )有极大值f (-2)和极小值f (1)C.函数f (x )有极大值f (2)和极小值f (-2)D.函数f (x )有极大值f (-2)和极小值f (2) 命题角度二 求函数的极值【例2】 求函数f (x )=x -a ln x (a ∈R )的极值.命题角度三 已知极值求参数【例3】 已知关于x 的函数f (x )=-13x 3+bx 2+cx +bc 在x =1处有极值-43,试求b ,c 的值.【训练1】设函数f(x)=ax3-2x2+x+c(a>0).(1)当a=1,且函数图象过(0,1)时,求函数的极小值;(2)若f(x)在R上无极值点,求a的取值范围.考点二利用导数求函数的最值【例4】(2017·郑州模拟)已知函数f(x)=(x-k)e x.(1)求f(x)的单调区间;(2)求f(x)在区间[0,1]上的最小值.【训练2】 设函数f (x )=a ln x -bx 2(x >0),若函数f (x )在x =1处与直线y =-12相切,(1)求实数a ,b 的值;(2)求函数f (x )在⎣⎢⎢⎡⎦⎥⎥⎤1e ,e 上的最大值.考点三 函数极值与最值的综合问题【例5】 已知函数f (x )=ax 2+bx +ce x(a >0)的导函数y =f ′(x )的两个零点为-3和0.(1)求f (x )的单调区间;(2)若f (x )的极小值为-e 3,求f (x )在区间[-5,+∞)上的最大值.【训练3】(2017·衡水中学月考)已知函数f(x)=ax-1-ln x(a∈R).(1)讨论函数f(x)在定义域内的极值点的个数;(2)若函数f(x)在x=1处取得极值,∀x∈(0,+∞),f(x)≥bx-2恒成立,求实数b的最大值.第4讲导数与函数的综合应用考点一利用导数研究函数的性质【例1】(2015·全国Ⅱ卷)已知函数f(x)=ln x+a(1-x).(1)讨论f (x )的单调性;(2)当f (x )有最大值,且最大值大于2a -2时,求a 的取值范围.【训练1】设f (x )=-13x 3+12x 2+2ax .(1)若f (x )在⎝ ⎛⎭⎪⎪⎫23,+∞上存在单调递增区间,求a 的取值范围;(2)当0<a <2时,f (x )在[1,4]上的最小值为-163,求f (x )在该区间上的最大值.考点二 利用导数研究函数的零点或方程的根【例2】 (2015·北京卷)设函数f (x )=x 22-k ln x ,k >0.(1)求f (x )的单调区间和极值;(2)证明:若f (x )存在零点,则f (x )在区间(1,e]上仅有一个零点.【训练2】(2016·北京卷节选)设函数f(x)=x3+ax2+bx+c.(1)求曲线y=f(x)在点(0,f(0))处的切线方程;(2)设a=b=4,若函数f(x)有三个不同零点,求c的取值范围.考点三导数在不等式中的应用命题角度一不等式恒成立问题【例3】(2017·合肥模拟)已知f(x)=x ln x,g(x)=x3+ax2-x+2.(1)如果函数g (x )的单调递减区间为⎝ ⎛⎭⎪⎪⎫-13,1,求函数g (x )的解析式; (2)对任意x ∈(0,+∞),2f (x )≤g ′(x )+2恒成立,求实数a 的取值范围.【训练3】已知函数f (x )=x 2-ln x -ax ,a ∈R .(1)当a =1时,求f (x )的最小值;(2)若f (x )>x ,求a 的取值范围.命题角度二 证明不等式【例4】 (2017·昆明一中月考)已知函数f (x )=ln x -(x -1)22. (1)求函数f (x )的单调递增区间;(2)证明:当x >1时,f (x )<x -1.【训练4】 (2017·泰安模拟)已知函数f (x )=ln x .(1)求函数F (x )=f (x )x +12的最大值;(2)证明:f (x )x +12<x -f (x );。
一.选择题1.若k x x f x x f x =∆-∆+→∆)()(lim000,则xx f x x f x ∆-∆⋅+→∆)()2(lim000等于( ) A.k 2 B.k C.k 21D.以上都不是2.若f (x )=sinα-cosx ,则f ′(a )等于 ( )A .sinαB .cosαC .sinα+cosαD .2sinα3.f (x )=ax 3+3x 2+2,若f ′(−1)=4,则a 的值等于( )A .319 B .316 C .313D .3104.函数y =x sin x 的导数为( )A .y ′=2x sin x +x cos xB .y ′=x x 2sin +x cos xC .y ′=xx sin +x cos x D .y ′=xx sin -x cos x5.函数y =x 2cos x 的导数为( )A .y ′=2x cos x -x 2sin xB .y ′=2x cos x +x 2sin xC .y ′=x 2cos x -2x sin xD .y ′=x cos x -x 2sin x6.函数y =22xax +(a >0)的导数为0,那么x 等于( )A .aB .±aC .-aD .a 27. 函数y =xxsin 的导数为( )A .y ′=2sin cos xxx x + B .y ′=2sin cos xxx x - C .y ′=2cos sin x xx x -D .y ′=2cos sin x xx x +8.函数y =2)13(1-x 的导数是( )A .3)13(6-x B .2)13(6-x C .-3)13(6-x D .-2)13(6-x9.已知y =21sin2x +sin x ,那么y ′是( ) A .仅有最小值的奇函数 B .既有最大值,又有最小值的偶函数 C .仅有最大值的偶函数 D .非奇非偶函数10.函数y =sin 3(3x +4π)的导数为( )A .3sin 2(3x +4π)cos (3x +4π)B .9sin 2(3x +4π)cos (3x +4π)C .9sin 2(3x +4π)D .-9sin 2(3x +4π)cos (3x +4π)11.函数y =cos (sin x )的导数为( )A .-[sin (sin x )]cos xB .-sin (sin x )C .[sin (sin x )]cos xD .sin (cos x )12.函数y =cos2x +sin x 的导数为( )A .-2sin2x +xx2cos B .2sin2x +xx 2cosC .-2sin2x +xx 2sin D .2sin2x -xx 2cos13.过曲线y =11+x 上点P (1,21)且与过P 点的切线夹角最大的直线的方程为( )A .2y -8x +7=0B .2y +8x +7=0C .2y +8x -9=0D .2y -8x +9=014.函数y =ln (3-2x -x 2)的导数为( )A .32+x B .2231x x -- C .32222-++x x xD .32222-+-x x x15.函数y =lncos2x 的导数为( )A .-tan2xB .-2tan2xC .2tan xD .2tan2x16.已知3)2(3123++++=x b bx x y 是R 上的单调增函数,则b 的取值范围是( )A. 21>-<b b ,或B.21≥-≤b b ,或C. 21<<-bD. 21≤≤-b 17.函数的单调递增区间是 ( )x e x x f )3()(-=A. B.(0,3) C.(1,4) D. 18.函数y =xxa 22-(a >0且a ≠1),那么y ′为( )A .xxa 22-ln aB .2(ln a )xx a 22- C .2(x -1)xx a 22-·ln aD .(x -1)xx a22-ln a19.函数y =sin32x 的导数为( )A .2(cos32x )·32x ·ln3B .(ln3)·32x ·cos32xC .cos32xD .32x ·cos32x20.已知曲线24x y =的一条切线的斜率为12,则切点的横坐标为( )A .1B .2C .3D .421.曲线1323+-=x x y 在点(1,-1)处的切线方程为( )A .43-=x yB .23+-=x yC .34+-=x yD .54-=x y22.函数)1()1(2-+=x x y 在1=x 处的导数等于( )A .1B .2C .3D .423.已知函数)(,31)(x f x x f 则处的导数为在=的解析式可能为( ) A .)1(3)1()(2-+-=x x x fB .)1(2)(-=x x fC .2)1(2)(-=x x fD .1)(-=x x f24.函数93)(23-++=x ax x x f ,已知)(x f 在3-=x 时取得极值,则a =( )A.2B.3C.4D.525.函数32()31f x x x =-+是减函数的区间为( )A.(2,)+∞B.(,2)-∞C.(,0)-∞D.(0,2) 26.函数()323922y x x x x =---<<有( )A.极大值5,极小值-27B.极大值5,极小值-11C.极大值5,无极小值D.极小值-27,无极大 27.三次函数()x ax x f +=3在()+∞∞-∈,x 内是增函数,则( )A.0>aB.0<a)2,(-∞),2(+∞C.1=aD.31=a 28.在函数x x y 83-=的图象上,其切线的倾斜角小于4π的点中,坐标为整数的点的个数是( ) A .3 B .2 C .1 D .029.函数)(x f 的定义域为开区间),(b a ,导函数)(x f '在),(b a 内的图象如图所示,则函数)(x f 在开区间),(b a 内有极小值点( ) A .1个 B .2个C .3个D .4个 30.下列求导运算正确的是( ) A 、3211)1(xx x -='+B 、(log 2x )′=1xln2C 、(x 2cosx )′=−2xsinxD 、 (3x )′=3x log 3e 31.已知函数f (x )=ax 2+c ,且(1)f '=2,则a 的值为( ) A .0 B .2 C .-1 D .1 32.函数3y x x =+的递增区间是( )A .),0(+∞B .)1,(-∞C .),(+∞-∞D .),1(+∞ 33. 函数y =x ln 的导数为( )A .2x x lnB .x x ln 2C .xx ln 1 D .xx ln 2134.设AB 为过抛物线)0(22>=p px y 的焦点的弦,则AB 的最小值为( )A .2pB .pC .p 2D .无法确定 35.函数x x y 33-=的极大值为m ,极小值为n ,则n m +为( ) A .0 B .1 C .2D .436.函数xx y 142+=单调递增区间是( )A .),0(+∞B .)1,(-∞C .),21(+∞ D .),1(+∞37.函数在上( )A .是增函数B .是减函数C .有最大值D .有最小值 38.函数xxy ln =的最大值为( ) A .1-e B .e C .2e D .310 二.填空题1.()f x '是31()213f x x x =++的导函数,则(1)f '-的值是 。
高考文科数学专题复习导数训练题〔文〕例1. 是的导函数,则的值是 .解析:,所以 答案:3()2'2+=x x f ()3211'=+=-f 考点二:导数的几何意义.例2. 已知函数的图象在点处的切线方程是,则 .解析:因为,所以,由切线过点,可得点M 的纵坐标为,所以,21=k ()211'=f (1(1))M f ,25()251=f所以 答案:3()()31'1=+f f 例3.曲线在点处的切线方程是 .解析:,点处切线的斜率为,所以设切线方程为,将点带入切线方程可得,所以,过曲线上点处的切线方程为:443'2--=x x y ∴(13)-,5443-=--=k b x y +-=5(13)-,2=b (13)-,025=-+y x 考点三:导数的几何意义的应用.例4.已知曲线C :,直线,且直线与曲线C 相切于点,求直线的方程及切点坐标.解析:直线过原点,则.由点在曲线C 上,则, .又, 在处曲线C 的切线斜率为, ,整理得:,解得:或〔舍〕,此时,,.所以,直线的方程为,切点坐标是. 考点四:函数的单调性.例5.已知在R 上是减函数,求的取值范围.解析:函数的导数为.对于都有时,为减函数.由可得,解得.所以,当时,函数对为减函数. 当时,.由函数在R 上的单调性,可知当是,函数对为减函数.当时,函数在R 上存在增区间.所以,当时,函数在R 上不是单调递减函数. 综合〔1〕〔2〕〔3〕可知. 答案: 考点五:函数的极值.例6. 设函数在及时取得极值.〔1〕求a 、b 的值;〔2〕若对于任意的,都有成立,求c 的取值范围. 解析:〔1〕,因为函数在及取得极值,则有,.即,解得,. 〔2〕由〔Ⅰ〕可知,,.当时,;当时,;当时,.所以,当时,取得极大值,又,.则当时,的最大值为.因为对于任意的,有恒成立,所以 ,解得 或,因此的取值范围为.答案:〔1〕,;〔2〕. 考点六:函数的最值.例7. 已知为实数,.求导数;〔2〕若,求在区间上的最大值和最小值. 解析:〔1〕, . 〔2〕,.令,即,解得或, 则和在区间上随的变化情况如下表:4=x答案:〔1〕;〔2〕最大值为,最小值为. 考点七:导数的综合性问题.例8. 设函数为奇函数,其图象在点处的切线与直线垂直,导函数的最小值为.〔1〕求,,的值; 〔2〕求函数的单调递增区间,并求函数在上的最大值和最小值.解析: 〔1〕∵为奇函数,∴,即∴,∵的最小值为,∴,又直线的斜率为,因此,,∴,,.0c =2'()3f x ax b =+12-12b =-670x y --=16'(1)36f a b =+=-2a =12b =-0c =〔2答案:〔1〕,,;〔2〕最大值是,最小值是. 4 强化训练 一、选择题1. 已知曲线的一条切线的斜率为,则切点的横坐标为〔 A 〕 A .1 B .2 C .3 D .42. 曲线在点〔1,-1〕处的切线方程为 〔 B 〕 A . B . C . D .43-=x y 23+-=x y 34+-=x y 54-=x y3. 函数在处的导数等于 〔 D 〕 A .1 B .2 C .3 D .44. 已知函数的解析式可能为 〔 A 〕A .B .)1(3)1()(2-+-=x x x f )1(2)(-=x x fC .D .2)1(2)(-=x x f 1)(-=x x f 5. 函数,已知在时取得极值,则=〔 D 〕〔A 〕2 〔B 〕3 〔C 〕4〔D 〕56. 函数是减函数的区间为〔 D 〕 〔A〕〔B〕〔C〕〔D〕7. 若函数的图象的顶点在第四象限,则函数的图象是〔 A 〕 8. 函数在区间上的最大值是〔 A 〕A .B .C .D .3231631299. 函数的极大值为,极小值为,则为 〔 A 〕A .0B .1C .2D .410. 三次函数在内是增函数,则 〔 A 〕A .B .C .D . 0>a 0<a 1=a 31=a11. 在函数的图象上,其切线的倾斜角小于的点中,坐标为整数的点的个数是 〔 D 〕 A .3 B .2 C .1 D .012. 函数的定义域为开区间,导函数在内的图象如图所示,则函数在开区间内有极小值点〔 A 〕A .1个B .2个C .3个D . 4个 二、填空题13. 曲线在点处的切线与轴、直线所围成的三角形的面积为__________.14. 已知曲线,则过点“改为在点”的切线方程是______________31433y x =+(2,4)P (2,4)P15. 已知是对函数连续进行n 次求导,若,对于任意,都有=0,则n 的最少值为 .16. 某公司一年购买某种货物400吨,每次都购买吨,运费为4万元/次,一年的总存储费用为万元,要使一年的总运费与总存储费用之和最小,则 吨.x 4x x = 三、解答题17. 已知函数,当时,取得极大值7;当时,取得极小值.求这个极小值及的值.()c bx ax x x f +++=231-=x 3=x c b a ,, 解:.据题意,-1,3是方程的两个根,由韦达定理得0232=++b ax x ⎪⎪⎩⎪⎪⎨⎧=⨯--=+-3313231ba ∴ ∴9,3-=-=b a ()c x x x x f +--=9323 ∵,∴ 极小值()71=-f 2=c ()25239333323-=+⨯-⨯-=f∴极小值为-25,,.18. 已知函数.93)(23a x x x x f +++-=〔1〕求的单调减区间;〔2〕若在区间[-2,2].上的最大值为20,求它在该区间上的最小值. 解:〔1〕 令,解得所以函数的单调递减区间为)(x f ).,3(),1,(+∞--∞ 〔2〕因为所以因为在〔-1,3〕上,所以在[-1,2]上单调递增,又由于在[-2,-1]上单调递减,因此和分别是在区间上的最大值和最小值.于是有,解得 故 因此 即函数在区间上的最小值为-7..293)(23-++-=x x x x f ,72931)1(-=--+=-f )(x f []2,2- 19. 设,点P 〔,0〕是函数的图象的一个公共点,两函数的图象在点P 处有相同的切线. 〔1〕用表示;〔2〕若函数在〔-1,3〕上单调递减,求的取值范围. 解:〔1〕因为函数,的图象都过点〔,0〕,所以, 即.因为所以. 03=+at t ,0≠t 2t a -=.,0,0)(2ab c c bt t g ==+=所以即又因为,在点〔,0〕处有相同的切线,所以而.23,2)(,3)(22bt a t bx x g a x x f =+='+='所以将代入上式得 因此故,,2t a -=.t b =.3t ab c -==2t a -=t b =.3t c -= 〔2〕.当时,函数单调递减.0))(3(<-+='t x t x y )()(x g x f y -=由,若;若0<'y t x t t <<->3,0则.3,0t x t t -<<<则由题意,函数在〔-1,3〕上单调递减,则).3,()3,1(),3()3,1(t t t t -⊂--⊂-或所以.39.333≥-≤≥-≥t t tt 或即或又当时,函数在〔-1,3〕上单调递减. 所以的取值范围为20. 设函数,已知是奇函数.〔1〕求、的值.〔2〕求的单调区间与极值. 解:〔1〕∵,∴.从而=是一个奇函数, 所以得,由奇函数定义得;(0)0g =0c =3b = 〔2〕由〔Ⅰ〕知,从而,由此可知,(,-∞和是函数是单调递增区间;是函数是单调递减区间;)+∞()gx (()g x在时,取得极大值,极大值为,在时,取得极小值,极小值为.21. 用长为18 cm 的钢条围成一个长方体形状的框架,要求长方体的长与宽之比为2:1,问该长方体的长、宽、高各为多少时,其体积最大?最大体积是多少? 解:设长方体的宽为〔m 〕,则长为 〔m 〕,高为.故长方体的体积为()()()⎪⎭⎫ ⎝⎛<<-=-=2306935.423322x m x x x x x V从而).1(18)35.4(1818)(2x x x x x x V -=--=' 令,解得〔舍去〕或,因此.当时,;当时,,10<<x ()0'>x V 231<<x ()0'<x V故在处取得极大值,并且这个极大值就是的最大值.从而最大体积,此时长方体的长为2 m ,高为1.5 m.()()3321619'm x V V ⨯-⨯==答:当长方体的长为2 m 时,宽为1 m ,高为1.5 m 时,体积最大,最大体积为.22. 已知函数在区间,内各有一个极值点.〔1〕求的最大值;当时,设函数在点处的切线为,若在点处穿过函数的图象〔即动点在点附近沿曲线运动,经过点时,从的一侧进入另一侧〕,求函数的表达式.解:〔1〕因为函数在区间,内分别有一个极值点,所以在,内分别有一个实根, 设两实根为〔〕,则,且.于是04,,且当,即,时等号成立.故的最大值是16.20416a b <-≤11x =-,23x =2a =-3b =-24a b -〔2〕解法一:由知在点处的切线的方程是(1)(1)(1)y f f x '-=-,即,21(1)32y a b x a=++--因为切线在点处空过的图象,l (1())A f x ,()y f x = 所以在两边附近的函数值异号,则不是的极值点.21()()[(1)]32g x f x a b x a =-++--1x =1x =()g x 而,且()g x 321121(1)3232x ax bx a b x a=++-++++ 22()(1)1(1)(1)g x x ax b a b x ax a x x a '=++-++=+--=-++.若,则和都是的极值点.11a ≠--1x =1x a =--()g x所以,即,又由,得,故.11a =--2a =-248a b -=1b =-321()3f x x x x =--解法二:同解法一得.21()()[(1)]32g x f x a b x a =-++--2133(1)[(1)(2)]322a x x x a =-++-+因为切线在点处穿过的图象,所以在两边附近的函数值异号,于是存在〔〕. 当时,,当时,;11m x <<()0g x <21x m <<()0g x > 或当时,,当时,.11m x <<()0g x >21x m <<()0g x <设,则当时,,当时,;233()1222a a h x x x ⎛⎫⎛⎫=++-+ ⎪ ⎪⎝⎭⎝⎭11m x <<()0h x >21x m <<()0h x >或当时,,当时,.11m x <<()0h x <21x m <<()0h x <由知是的一个极值点,则,(1)0h =1x =()h x 3(1)21102a h =⨯++=所以,又由,得,故.2a =-248a b -=1b =-321()3f x x x x =--〔一〕选择题1.A 2.B 3.D 4.A 5.D 6.D 7.A 8.A 9.A 10.A 11.D 12.A〔二〕填空题13. 14. 15. 7 16. 20。
高二数学导数单元练习一、选择题1.一个物体的运动方程为S=1+t+t^2其中 s 的单位是米,t 的单位是秒,那么物体在 3 秒末的瞬时速度是()A7米/秒B6米/秒C5米/秒D8米/秒2.已知函数 f ( x)= ax2+ c,且f(1)=2,则 a 的值为()A.1B.2C.- 1D. 03 f (x) 与 g( x) 是定义在R 上的两个可导函数,若 f ( x) ,g( x) 满足 f ' (x)g ' ( x) ,则f (x) 与 g( x) 满足()A f (x) 2 g( x)B f ( x)g( x) 为常数函数C f ( x)g ( x)0D f ( x)g( x) 为常数函数4.函数 y =x3 + x 的递增区间是()A(,1)B(1,1) C (,)D(1,)5.若函数 f(x)在区间( a, b)内函数的导数为正,且f(b)≤ 0,则函数 f(x)在( a, b )内有()A. f(x)〉0B. f(x)〈0C.f(x) =0D. 无法确定6. f '( x0 ) =0是可导函数y=f(x)在点x=x0处有极值的( )A.充分不必要条件B.必要不充分条件C.充要条件D.非充分非必要条件7.曲线f ( x) = x3+ x - 2 在 p0处的切线平行于直线y = 4x- 1,则 p0点的坐标为()A(1,0)B(2,8)C(1,0)和 (1,4)D(2,8) 和 (1, 4)8.函数y13x x3有()A. 极小值 -1 ,极大值1B.极小值 -2 ,极大值 3C. 极小值 -1 ,极大值3D.极小值 -2 ,极大值 29 对于R上可导的任意函数 f ( x) ,若满足( x 1) f ' ( x) 0 ,则必有()A f (0) f (2) 2 f (1)B f (0) f (2) 2 f (1)C f (0) f (2)2f (1)D f (0) f (2) 2 f (1)y y f (x )二、填空题11.函数y x3x2x 的单调区间为bOa x___________________________________.12.已知函数f ( x)x3ax 在R上有两个极值点,则实数 a 的取值范围是 .13. 曲线 y x34 x 在点 (1, 3) 处的切线倾斜角为 __________.14. 对正整数 n ,设曲线 yx n (1 x) 在 x 2 处的切线与 y 轴交点的纵坐标为a n ,则数列a n 的n 1前 n 项和的公式是.三、解答题:15 .求垂直于直线2x 6 y1 0 并且与曲线 y x 3 3x2 5 相切的直线方程16.如图,一矩形铁皮的长为 8cm ,宽为 5cm ,在四个角上截去四个相同的小正方形,制成一个无盖的小盒子,问小正方形的边长为多少时,盒子容积最大?17.已知 fx ax 4 bx 2 c的图象经过点(0,1) ,且在 x 1 处的切线方程是 yx 2 ,请解答下( )列问题:( 1)求( 2)求yf (x) 的解析式; yf (x) 的单调递增区间。
word 版高二数学导数大题练习及详细答案一、解答题1.已知函数()1ln f x ax x =--,a R ∈. (1)讨论函数()f x 在区间()1,e 的极值;(2)若函数()f x 在1x =处取得极值,对()0,x ∀∈+∞,()2f x bx ≥-恒成立,求实数b 的取值范围.2.已知函数()()2e 2e 1e 2e x xf x x =-++.(1)若函数()()g x f x a =-有三个零点,求a 的取值范围. (2)若()()()()123123f x f x f x x x x ==<<,证明:120x x +>.3.已知2e 1()(0),()e ()2x x m f x m g x x ax ax a x =≠=--∈R . (1)当0x >时,讨论()f x 的单调性;(2)若12m =-,对12[1,),[0,)x x ∀∈+∞∀∈+∞,使得()()21g x f x >恒成立,求a 的取值范围.4.已知函数()ln f x x =,()21g x x x =-+.(1)求函数()()()h x f x g x =-的单调区间;(2)若直线l 与函数()f x ,()g x 的图象都相切,求直线l 的条数.5.已知函数()()e ,xf x ax a R =-∈.(1)讨论()f x 的单调性;(2)讨论()f x 在()0,+∞上的零点个数. 6.已知函数()()2231ln 2f x x a a x a a x =-+-+. (1)若1a =,求()f x 在[]1,2上的值域; (2)若20a a -≠,讨论()f x 的单调性. 7.已知函数()e 1()x f x ax a =-+∈R . (1)讨论函数()f x 的单调性与极值;(2)若对任意0x >,2()f x x x ≥--恒成立,求实数a 的取值范围. 8.已知函数()ln f x x =(1)过原点作()f x 的切线l ,求l 的方程;(2)令()()f x g x x=,求()g x a ≥在4⎤⎦恒成立,求a 的取值范围 9.已知函数()e 2x f x ax =-,()22sin 1g x a x x =-+,其中e 是自然对数的底数,a ∈R .(1)试判断函数()f x 的单调性与极值点个数;(2)若关于x 的方程()()0af x g x +=在[]0,π上有两个不等实根,求实数a 的最小值. 10.设函数3()65f x x x x R =-+∈,. (1)求函数()f x 的单调区间;(2)若关于x 的方程()f x a =有三个不等实根,求实数a 的取值范围.【参考答案】一、解答题1.(1)答案见解析 (2)211e b ≤-【解析】 【分析】(1)先讨论()f x 的单调性再确定()f x 在()1,e 上的极值(2)利用极值点处的导数为求出1a =,代入恒成立的不等式中,用分离参数法求b 的取值范围 (1)在区间()0,∞+上, ()11ax f x a xx-'=-=, 当0a ≤时, ()0f x '<恒成立, ()f x 在区间()1,e 上单调递减, 则()f x 在区间()1,e 上无极值; 当0a >时,令()0f x '=得1x a=,在区间10,a⎛⎫⎪⎝⎭上,()0f x '<,函数()f x 单调递减,在区间1,a ⎛⎫+∞ ⎪⎝⎭上,()0f x '>,函数()f x 单调递增.若11e a <<,即11e a<<,则()f x 在区间()1,e 上极小值1ln f a a ⎛⎫= ⎪⎝⎭若1a ≥或10ea <≤,即11a≤或1e a≥,则()f x 在区间()1,e 上无极值 (2)因为函数()f x 在1x =处取得极值,所以()10f '=,解得1a =,经检验可知满足题意由已知()2f x bx ≥-,即1ln 2x x bx --≥-, 即1ln 1+xb xx-≥对()0,x ∀∈+∞恒成立, 令()1ln 1x g x xx =+-,则()22211ln ln 2x x g x x x x-='---=, 当()20,e x ∈时,()0g x '<;当()2e ,x ∈+∞时,()0g x '> 所以()g x 在()20,e 上单调递减,在()2e ,+∞上单调递增,所以()()22min 1e 1e g x g ==-, 即211e b ≤-. 2.(1)2(e ,2e 1)--- (2)证明见详解 【解析】 【分析】(1)令e x t =换元得函数2()2(e 1)2eln ,0h t t t t t =-++>,然后通过导数求极值,根据y a =与函数图象有三个交点可得;(2)构造函数1()()()m t h t h t=-,通过导数研究在区间(1,e)上的单调性,然后由单调性结合已知可证. (1)令e x t =,则ln x t =,记2()2(e 1)2eln ,0h t t t t t =-++> 令2e 2(1)(e)()22(e 1)0t t h t t t t--'=-++==,得121,e t t == 当01t <<时,()0h t '>,1e t <<时,()0h t '<,t e >时,()0h t '>所以当1t =时,()h t 取得极大值(1)2e 1h =--,e t =时,()h t 取得极大值2(e)e h =-, 因为函数()()g x f x a =-有三个零点⇔()y h t =与y a =有三个交点, 所以2e 2e 1a -<<--,即 a 的取值范围为2(e ,2e 1)---. (2)记221111()()()2(e 1)2eln 2(e 1)2eln m t h t h t t t t t t t=-=-++-++- 2212(e 1)2(e 1)4eln t t t t t+=-++-+ 4323234e 22(e 1)22(e 1)4e 2(e 1)2()22(e 1)t t t t m t t t t t t +-++-++'=-+++-=记432()22(e 1)4e 2(e 1)2n t t t t t =-++-++ 则32()86(e 1)8e 2(e 1)n t t t t '=-++-+记32()86(e 1)8e 2(e 1)s t t t t =-++-+ 则2()2412(e 1)8e s t t t '=-++易知()s t '在区间(1,e)上单调递增,所以()(1)124e 0s t s ''>=-> 所以()s t 在区间(1,e)上单调递增,所以()(1)0s t s >= 所以()n t 在区间(1,e)上单调递增,所以()(1)0n t n >= 所以()m t 在区间(1,e)上单调递增因为()()()()123123f x f x f x x x x ==<<,记312123e ,e ,e x x xt t t ===所以()()()()123123h t h t h t t t t ==<< 由(1)可知,12301e t t t <<<<<所以2221()()()(1)0m t h t h m t =->=,即221()()h t h t > 又()()12h t h t =,所以121()()h t h t > 因为21e t <<,所以2101t << 由(1)知()h t 在区间(0,1)上单调递增,所以121t t >,即1212e1x xt t +=> 所以120x x +> 【点睛】本题第二问属于极值点偏移问题,关键点在于构造一元差函数,通常构造成00()()()F x f x x f x x =+--或0()()(2)F x f x f x x =--,本题由于采取了换元法转化问题,因此构造函数为1()()()m t h t h t=-. 3.(1)答案见解析 (2)(,e)-∞ 【解析】 【分析】(1)求出函数的导数,根据导数的正负可求出函数的单调区间,(2)将问题转化为()()min max g x f x >,而max e ()(1)2f x f ==-,所以问题再转化为()min e2g x >-,然后分0a ≤,01a <≤和1a >三种情况求解()g x 的最小值即可(1)由e ()(0)x m f x m x =≠,得2e (1)()x m x f x x '-=. ①0m >,当(0,1),()0,()x f x f x '∈<单调递减; 当(1,),()0,()x f x f x >'∈+∞单调递增. ②0m <,当(0,1),()0,()x f x f x ∈>'单调递增;当(1,),()0,()x f x f x <'∈+∞单调递减. (2)依题意得()()minmax e ,()2x x g x f f x x >=-,∴2e (1)()2x x f x x -'=,即当[1,)x ∈+∞时,()0,()f x f x '≤单调递减, ∴max e()(1)2f x f ==-.()()e (1)(1)e (0)x x g x x ax a x a x =+--=+-≥'.1)当0a ≤时,e 0x a ->,∴在[0,)+∞上,()0,()'>g x g x 单调递增, ∴min e ()(0)02g x g ==>-恒成立.2)当0a >时,令()0g x '=,则得121,ln x x a =-=, ①当01a <≤时,ln 0,()a g x ≤'在[0,)0,()g x +∞≥单调递增, ∴min e ()(0)02g x g ==>-恒成立. ②当1a >时,ln 0a >.当[0,ln )x a ∈时,()0,()g x g x '<单调递减; 当(ln ,)x a ∈+∞时,()0,()'>g x g x 单调递增.∴ln 22min 11()(ln )ln e (ln )ln (ln )22a g x g a a a a a a a a ==⋅--=-. ∴21e (ln )22a a ->-恒成立,即2(ln )e a a <恒成立. 令ln a t =,则e t a =,∴22(ln )e t a a t =,令2()e (0)t t t t ϕ=>,∴()2()2e e e (2)t t tt t t t t ϕ'=+=+.当(0,)t ∈+∞时,()0,()t t ϕϕ'>单调递增,且(1)e ϕ=, ∴1t <,即ln 1a <. ∴(1,e)a ∈.综上所述a 的取值范围为(,e)-∞. 【点睛】关键点点睛:此题考查导数的综合应用,考查利用导数求函数的单调性,考查利用导数决不等式恒成立问题,解题的关键是将问题转化为()min e 2g x >-,然后利用导数分情况求解()g x 的最小值,考查数学转化思想和计算能力,属于较难题4.(1)在()0,1上单调递增,在()1,+∞上单调递减 (2)两条 【解析】【分析】(1)求出函数的导函数,再解关于导函数的不等式,即可求出函数的单调区间;(2)设直线l 分别与函数()f x ,()g x 的图象相切于点()11,ln A x x ,()2222,1B x x x -+,依题意可得()()12AB f x g x k '='=,即可得到方程组,整理得()211211ln 204x x x ++-=,令()()221ln 24x F x x x +=+-,利用导数说明函数的单调性,利用零点存在性定理判断零点的个数,即可得解; (1)解:由题设,()()()2ln 1h x f x g x x x x =-=-+-,定义域为()0,∞+,则()()()221112121x x x x h x x x x x+---'=-+=-=- 当01x <<时,()0h x '>;当1x >时,()0h x '<,所以()h x 在()0,1上单调递增,在()1,+∞上单调递减.(2)解:因为()ln f x x =,()21g x x x =-+,所以()1f x x'=,()21g x x '=-,设直线l 分别与函数()f x ,()g x 的图象相切于点()11,ln A x x ,()2222,1B x x x -+ 则()()12AB f x g x k '='=,即21222112ln 1121x x x x x x x -+-=-=- 由2122112ln 11x x x x x x -+-=-,得2121221ln 1x x x x x x -=-+- 即2212211ln 1x x x x x -=-+-,即221221ln 20x x x x x -++-= 由21121x x =-,得12112x x x +=,代入上式,得211112111111ln 20222x x x x x x x ⎛⎫+++-++-= ⎪⎝⎭ 即()211211ln 204x x x ++-=,则()()2221117ln 2ln 4244x F x x x x x x +=+-=++- 设()()()()223332111112102222x x x x F x x x x x x x +---='=--=> 当01x <<时,()0F x '<;当1x >时,()0F x '>,所以()F x 在()0,1上单调递减,在()1,+∞上单调递增.因为()()min 110F x F ==-<,()()()222222441e 1e e ln e 204e4eF ++=+-=>,则()F x 在()1,+∞上仅有一个零点.因为()24242e e 7e 4e 7e 2024424F ---=-++-=+>,则()F x 在()0,1上仅有一个零点. 所以()F x 在()0,∞+上有两个零点,故与函数()f x ,()g x 的图象都相切的直线l 有两条.5.(1)答案见解析; (2)答案见解析. 【解析】 【分析】(1)求得'()f x ,对参数a 进行分类讨论,根据不同情况下导数的正负即可判断对应的单调性;(2)根据(1)中所求函数的单调性,结合零点存在定理,逐一分析每种情况下函数零点的个数即可. (1)因为()e xf x ax =-,则'()f x e x a =-,当0a ≤时,'()f x 0<,此时()f x 在R 上单调递减; 当0a >时,令'()f x 0=,可得ln x a =,则当(),ln x a ∈-∞时,'()f x 0>,()f x 单调递增, 当()ln ,x a ∈+∞时,'()f x 0<,()f x 单调递减. 综上所述:当0a ≤时,()f x 在R 上单调递减;当0a >时,()f x 在(),ln a -∞单调递增,在()ln ,a +∞上单调递减. (2)当0a ≤时,()f x 在()0,+∞上单调递减,又()01f =-, 故当()0,x ∈+∞时,()1f x <-,故此时()f x 在()0,+∞无零点; 当01a <≤时,ln 0a <,故()f x 在()0,+∞单调递减, 同0a ≤时,此时()f x 在()0,+∞无零点;当1a >时,ln 0a >,故()f x 在()0,ln a 单调递增,在()ln ,a +∞单调递减,()()()ln ln 1f x f a a a ≤=-,若ln 10a -<,即1e a <<时,()ln 0f a <,故()f x 在()0,+∞无零点;若ln 10a -=,即e a =时,()ln 0f a =,此时()f x 在()0,+∞有一个零点ln a ; 若ln 10a ->,即e a >时,()ln 0f a >,又因为()010f =-<,故()f x 在()0,ln a 上一定存在一个零点;又因为2ln ln a a >,且()2ln 0f a <,故()f x 在()ln ,2ln a a 上也一定存在一个零点;下证()2ln 0f a <:()()22ln 2ln 2ln ,e f a a a a a a a a =-=->,令2ln ,e y x x x =->,则'y 20xx-=<,即2ln y x x =-在()e,∞+单调递减, 故2ln e e 2e 0y <-=-<,即2ln 0,(e)x x x -<> 故()()2ln 2ln 0,e f a a a a a =-. 故当e a >时,()f x 有两个零点.综上所述:当e a <时,()f x 在()0,+∞无零点;e a =时,()f x 在()0,+∞有一个零点ln a ; e a >时,()f x 有两个零点.【点睛】本题考察利用导数研究含参函数的单调性,以及函数的零点个数,涉及零点存在定理,属综合中档题.6.(1)5,3ln 22⎡⎤--+⎢⎥⎣⎦;(2)答案见解析. 【解析】 【分析】(1)代入a =1,求f (x )导数,根据导数判断f (x )在[1,2]上的单调性即可求其值域;(2)根据a 的范围,分类讨论f (x )导数的正负即可求f (x )的单调性. (1)a =1,则()2121ln ,02f x x x x x =--+>,()22121(1)20x x x f x x x x x-+-=-+='=,∴()f x 在()0,∞+单调递增,∴f (x )在[]1,2单调递增,∴()()()51,2,3ln 22f x f f ⎡⎤⎡⎤∈=--+⎣⎦⎢⎥⎣⎦,即f (x )在[1,2]上值域为5,3ln 22⎡⎤--+⎢⎥⎣⎦;(2)()()()()()223232,0x a a x ax a x a a f x x a a x x x x'-++--=-++==>,()10f x x a '=⇒=,22x a =,200a a a -≠⇒≠且1a ≠,①当1a >时,21a a >>,0x a <<或2x a >时,()0f x '>,()f x 单调递增,2a x a <<时,()0f x '<,()f x 单调递减;②当01a <<时,201a a <<<,20x a <<或x a >时,()0f x '>,()f x 单调递增,2a x a <<时,()0f x '<,()f x 单调递减;③当0a <时,20a a >>,20x a <<时,()0f x '<,()f x 单调递减,2x a >,()0f x '>,()f x 单调递增;综上,当0a <时,f (x )在()20,a 单调递减,在()2,a +∞单调递增;当01a <<时,f (x )在()20,a ,(),a +∞单调递增,在()2,a a 单调递减;当1a >时,f (x )在()0,a ,()2,a +∞单调递增,在()2,a a 单调递减.7.(1)答案见解析 (2)(,e 3]-∞+ 【解析】 【分析】(1)求导得到()x f x e a '=-,讨论0a 和0a >两种情况,分别计算得到答案.(2)0x >时,2e 1x x x a x +++≤,令2e 1()(0)x x x g x x x+++=>,求函数的最小值,得到答案. (1)()e 1x f x ax =-+,()e x f x a '∴=-.①当0a ≤时,()e 0x f x a '=->恒成立,()f x ∴在R 上单调递增,无极大值也无极小值;②当0a >,(,ln )x a ∈-∞时,()0f x '<,(ln ,)x a ∈+∞时,()0f x '>,()f x ∴在(,ln )a -∞上单调递减,在(ln ,)a +∞单调递增.∴函数()f x 有极小值为ln (ln )e ln 1ln 1a f a a a a a a =-+=-+,无极大值.(2)若对任意0x >,2()f x x x ≥--恒成立,则2e 1x x x a x +++≤恒成立,即2min e 1(0)x x x a x x ⎛⎫+++≤>⎪⎝⎭. 设2e 1()(0)x x x g x x x +++=>,则()2(1)e 1()x x x g x x -++'=,令()2(1)e1()0xx x g x x -++'==,解得1x =,当(0,1)x ∈时,()0g x '<,当(1,)x ∈+∞时,()0g x '>,()g x ∴在(0,1)上为减函数,在(1,)+∞上为增函数,()(1)g x g ∴≥,min ()(1)e 3g x g ∴==+,∴当e 3a ≤+时满足对任意0x >,2()f x x x ≥--恒成立,∴实数a 的取值范围为(,e 3]-∞+.8.(1)1ey x =; (2)4e 4a ≤. 【解析】 【分析】(1)设切线的方程为y kx =,设切点为(,ln )t t ,求出e t =即得解;(2)利用导数求出函数()g x 在4⎤⎦上的单调区间即得解. (1)解:设切线的方程为y kx =,设切点为(,ln )t t , 因为()1f x x '=,则()1k f t t'==所以切线方程为()1ln y t x t t-=-即1ln 1y x t t =+- 由题得ln 10t -=则e t = ∴切线l 的方程为1ey x =. (2) 解:()21ln xg x x -'=,e x <<时,()0g x '>;4e e x <<时,()0g x '<,所以函数()g x 在单调递增,在4(e,e )单调递减,∵g=,()44e e 4g =, 因为44e <=所以最小值()44e e 4g =. 4e 4a ∴≤. 9.(1)答案见解析 (2)e π-- 【解析】 【分析】(1)求出()f x ',分类讨论,分0a ≤和0a >讨论()f x 的单调性与极值;(2)利用分离参数法得到sin 1e x x a -=,令()()sin 10e xx h x x π-=≤≤,利用导数判断 ()h x 的单调性与最值,根据直线y a =与函数()h x 的图像有两个交点,求出实数a 的最小值.(1)()e 2x f x ax =-,则()e 2x f x a '=-.①当0a ≤时,()0f x '>,则()f x 在R 上单调递增,此时函数()f x 的极值点个数为0;②当0a >时,令()20e x f x a '=-=,得()ln 2x a =,当()ln 2x a >时,()0f x '>,则()f x 在()()ln 2,a +∞上单调递增,当()ln 2x a <时,()0f x '<,则()f x 在()(),ln 2a -∞上单调递减,此时函数()f x 的极值点个数为1.综上所述,当0a ≤时,()f x 在R 上单调递增,极值点个数为0;当0a >时,()f x 在()()ln 2,a +∞上单调递增,在()(),ln 2a -∞上单调递减,极值点个数为1.(2)由()()0af x g x +=,得sin 1x x a e -=. 令()()sin 10xx h x x e π-=≤≤, 因为关于x 的方程()()0af x g x +=在[]0,π上有两个不等实根,所以直线y a =与函数()sin 1xx h x e -=的图像在[]0,π上有两个交点. ()1cos sin 14x xx x x h x e e π⎛⎫-+ ⎪-+⎝⎭'==, 令()0h x '=,则sin 4x π⎛⎫-= ⎪⎝⎭[]0,x π∈,所以2x π=或x π=, 所以当02x π<<时,()0h x '>;当2x ππ<<时,()0h x '<,所以()h x 在0,2π⎛⎫ ⎪⎝⎭上单调递增,在,2ππ⎛⎫ ⎪⎝⎭上单调递减,所以()max 02h x h π⎛⎫== ⎪⎝⎭. 又()01h =-,()e h ππ-=-, e 1π-->- 所以当)e ,0x a -⎡∈-⎣时,直线y a =与函数()h x 的图像有两个交点,所以实数a 的最小值为e π--.【点睛】导数是研究函数的单调性、极值(最值)最有效的工具,而函数是高中数学中重要的知识点,对导数的应用的考查主要从以下几个角度进行:(1)考查导数的几何意义,往往与解析几何、微积分相联系;(2)利用导数求函数的单调区间,判断单调性;已知单调性,求参数;(3)利用导数求函数的最值(极值),解决生活中的优化问题;(4)利用导数研究零点问题,考查数形结合思想的应用.10.(1)单调递增区间为(2)-∞-,,(2)+∞,;单调递减区间为(22)-, (2)542542a -<<+【解析】【分析】(1)求出导函数()'f x ,由()0f x '>得增区间,由()0f x '<得减区间;(2)由(1)中所得函数的单调性,得极值,可结合函数的图象得其与直线y a =三个交点时的a 的范围.(1)由已知可得:2()36f x x '=-,令()0f x '=,即2360x -=,解得12x =-,12x =,所以当2x >或2x <-时,()0f x '>,当22x -<<时,()0f x '<.所以()f x 的单调递增区间为(2)-∞-,,(2)+∞,; 单调递减区间为(22)-,.(2)由(1)可知()y f x =的图象的大致走势及走向,如图所示,又(2542f -=-2542f =+所以当542542a -<+y a =与函数()y f x =的图象有三个不同的交点,方程()f x a =有三个不等实根.。
导数文科大题1.知函数,.(1)求函数的单调区间;(2)若关于的方程有实数根,求实数的取值范围. 答案解析2.已知, (1)若,求函数在点处的切线方程; (2)若函数在上是增函数,求实数a的取值范围; (3)令, 是自然对数的底数);求当实数a等于多少时,可以使函数取得最小值为3.解:(1)时,,′(x),′(1)=3,,数在点处的切线方程为,(2)函数在上是增函数,′(x),在上恒成立,即,在上恒成立,令,当且仅当时,取等号,,的取值范围为(3),′(x),①当时,在上单调递减,,计算得出(舍去);②当且时,即,在上单调递减,在上单调递增,,计算得出,满足条件;③当,且时,即,在上单调递减,,计算得出(舍去);综上,存在实数,使得当时,有最小值3.解析(1)根据导数的几何意义即可求出切线方程.(2)函数在上是增函数,得到f′(x),在上恒成立,分离参数,根据基本不等式求出答案,(3),求出函数的导数,讨论,,的情况,从而得出答案3.已知函数,(1)分别求函数与在区间上的极值;(2)求证:对任意,解:(1),令,计算得出:,,计算得出:或,故在和上单调递减,在上递增,在上有极小值,无极大值;,,则,故在上递增,在上递减,在上有极大值,,无极小值;(2)由(1)知,当时,,,故;当时,,令,则,故在上递增,在上递减,,;综上,对任意,解析(1)求导,利用导数与函数的单调性及极值关系,即可求得及单调区间及极值;4.已知函数,其中,为自然数的底数.(1)当时,讨论函数的单调性;(2)当时,求证:对任意的,.解:(1)当时,,则,,故则在R上单调递减.(2)当时,,要证明对任意的,.则只需要证明对任意的,.设,看作以a为变量的一次函数,要使,则,即,恒成立,①恒成立,对于②,令,则,设时,,即.,,在上,,单调递增,在上,,单调递减,则当时,函数取得最大值,故④式成立,综上对任意的,.解析:(1)求函数的导数,利用函数单调性和导数之间的关系进行讨论即可.(2)对任意的,转化为证明对任意的,,即可,构造函数,求函数的导数,利用导数进行研究即可.5.已知函数(1)当时,求函数在处的切线方程;(2)求在区间上的最小值.解:(1)设切线的斜率为k.因为,所以,所以,所以所求的切线方程为,即(2)根据题意得, 令,可得①若,则,当时,,则在上单调递增.所以②若,则, 当时,,则在上单调递减. 所以③若,则,所以,随x 的变化情况如下表:所以的单调递减区间为,单调递增区间为所以在上的最小值为综上所述:当时,;当时,;当时,解析(1)设切线的斜率为k.利用导数求出斜率,切点坐标,然后求出切线方程.(2)通过,可得.通过①,②,③,判断函数的单调性求出函数的最值.6.已知函数。
专题 8:导数(文)经典例题剖析考点一:求导公式。
例 1. f (x) 是 f (x) 1 x3 2x 1 的导函数,则 f ( 1) 的值是。
3解析: f ' x x 2 2 ,所以 f ' 1 1 2 3答案: 3考点二:导数的几何意义。
例 2. 已知函数 y f ( x) 的图象在点 M (1, f (1)) 处的切线方程是 y 1x 2 ,则2f (1) f (1) 。
解析:因为 k 1,所以25,所以 f 1 5 ,所以2 21f ' 1,由切线过点M (1,f (1)),可得点M的纵坐标为2f 1 f ' 1 3答案: 3例 3.曲线y x3 2x2 4x 2 在点 (1, 3) 处的切线方程是。
解析: y' 3x2 4x 4 ,点 (1, 3) 处切线的斜率为k 3 4 4 5 ,所以设切线方程为 y 5x b ,将点 (1, 3) 带入切线方程可得 b 2 ,所以,过曲线上点(1,3) 处的切线方程为:5x y 2 0答案: 5x y 2 0点评:以上两小题均是对导数的几何意义的考查。
考点三:导数的几何意义的应用。
例 4.已知曲线 C :y x3 3x 2 2x ,直线 l : y kx ,且直线l 与曲线C相切于点x0 , y0 x0 0 ,求直线l的方程及切点坐标。
解析:直线过原点,则 k y0 x0 0 。
由点x0, y0在曲线 C 上,则x0y 0 x 0 3 3x 0 22x 0 , y 0x 0 23x 0 2。
又 y' 3x 26x 2 ,在x 0x 0 , y 0处 曲 线 C 的 切 线 斜 率 为 k f ' x 03x 0 2 6x 02 ,23x 0 226x 0 2 ,整理得: 2 x 0 3x 0 0 ,解得: x 03 0x 03x 0或 x 02(舍),此时, y 03 , k1 。
所以,直线 l 的方程为 y1x ,切点坐标是8443 , 3 。
28答案:直线 l 的方程为 y1x ,切点坐标是 3 , 342 8点评:本小题考查导数几何意义的应用。
解决此类问题时应注意“切点既在曲线上又在切线上”这个条件的应用。
函数在某点可导是相应曲线上过该点存在切线的充分条件,而不是必要条件。
考点四:函数的单调性。
例 5.已知 f xax 3 3x 2 x 1在 R 上是减函数,求 a 的取值范围。
解析:函数f x 的导数为f 'x3 26 x 1 。
对于 x R 都有 f ' x0 时,f xax为减函数。
由 3ax 26x 10 x R 可得 a12a,解得 a3 。
所以,36 0当 a3 时,函数 f x 对 x R 为减函数。
x 1 3 x138 。
( 1) 当 a3时, f x3x 3 3x 239由函数 y x 3 在 R 上的单调性,可知当a3 是,函数 f x 对 x R 为减函数。
( 2) 当 a3 时,函数 f x 在 R 上存在增区间。
所以, 当 a 3 时,函数 f x 在R 上不是单调递减函数。
综合( 1)( 2)( 3)可知 a 3 。
答案: a3点评:本题考查导数在函数单调性中的应用。
对于高次函数单调性问题, 要有求导意识。
考点五:函数的极值。
例 6. 设函数 f (x)2x 3 3ax 2 3bx 8c 在 x 1 及 x 2 时取得极值。
(1)求 a 、b 的值;(2)若对于任意的 x [0,3] ,都有 f ( x) c 2 成立,求 c 的取值范围。
解析: ( 1 ) f (x)6x 26ax 3b ,因为函数 f (x) 在 x 1 及 x 2 取得极值,则有6 6a 3b,f (1) 0 , f (2) 0 03 , b4 。
.即12a 3b ,解得 a24 0.(2)由(Ⅰ)可知, f (x) 2x 3 9x 2 12 x 8c , f ( x) 6x 218x 12 6( x 1)(x 2) 。
当 x (01), 时, f (x) 0 ;当 x (12), 时, f ( x) 0 ;当 x (2,3) 时, f ( x) 0 。
所以,当 x1 时, f ( x) 取得极大值 f (1)58c ,又 f (0) 8c , f (3) 9 8c 。
则当 x 0,3时, f (x) 的最大值为 f (3) 98c 。
因为对于任意的 x0,3 ,有 f (x) c 2 恒成立,所以9 8c c 2 ,解得c1 或 c 9 ,因此 c 的取值范围为 (, 1) U (9, ) 。
答案:( 1 ) a 3 , b 4 ;( 2) (, 1) U (9, ) 。
点评:本题考查利用导数求函数的极值。
求可导函数 f x 的极值步骤: ①求导数 f ' x ;②求 f ' x0 的根;③将 f ' x0的根在数轴上标出,得出单调区间,由f ' x 在各区间上取值的正负可确定并求出函数f x 的极值。
考点六:函数的最值。
例 7. 已知 a 为实数, fxx 2 4 x a 。
求导数 f ' x ;( 2)若 f '1 0 ,求 f x在区间2,2 上的最大值和最小值。
解析: ( 1) f x x 3 ax 2 4x 4a ,f ' x 3x 2 2ax 4 。
(2) f ' 1 32a 4 0 , a1。
f ' x3x 2x 43x 4 x 12令 f ' x 0 ,即 3x 4 x 10 ,解得 x1 或 x 4 x 和 f ' x 在区间2,2,则 f上随 x 的变化情况如下表: 3x22, 111,444,22333f ' x+0 —+f x增函数极大值减函数 极小值增函数f19 , f 450 。
所以, f x 在区间2,2 上的最大值为 f450 ,最2 3 27327小值为 f 19。
2答案:( 1 ) f 'x 3 x 2 2ax 4 ;( )最大值为 f 4 50 ,最小值为 f19 。
23 272点评:本题考查可导函数最值的求法。
求可导函数 f x 在区间 a,b 上的最值, 要先求出函数 f x 在区间 a, b 上的极值, 然后与 fa 和 fb 进行比较, 从而得出函数的最大最小值。
考点七:导数的综合性问题。
例 8. 设函数 f ( x) ax3bx c (a 0) 为奇函数,其图象在点 (1, f (1)) 处的切线与直线x 6 y 7 0 垂直,导函数 f '( x) 的最小值为12 。
( 1)求 a , b , c 的值;(2)求函数 f (x) 的单调递增区间,并求函数 f ( x) 在 [ 1,3] 上的最大值和最小值。
解析: ( 1)∵ f (x) 为奇函数,∴ f ( x)f ( x) ,即 ax 3bx cax 3 bx c∴ c0 ,∵ f '( x) 3ax 2 b 的最小值为 12,∴ b12,又直线 x 6 y 7 0 的斜率为 1,因此, f '(1)3a b6 ,∴ a 2 , b12 , c 0 .6(2) f ( x)2 x3 12x 。
f '(x)6x 2 12 6( x 2)( x2) ,列表如下:x (,2)2( 2, 2)2( 2,)f '( x)0 0f ( x) 增函数极大减函数极小增函数所以函数 f ( x) 的单调增区间是 ( , 2) 和 ( 2, ) ,∵ f ( 1) 10 ,f ( 2) 8 2 , f (3) 18 ,∴ f ( x) 在 [ 1,3] 上的最大值是 f (3) 18 ,最小值是f ( 2) 8 2 。
答案:(1 )a 2 ,b 12,c 0 ;(2)最大值是 f (3) 18,最小值是 f ( 2) 8 2 。
点评:本题考查函数的奇偶性、单调性、二次函数的最值、导数的应用等基础知识,以及推理能力和运算能力。
导数强化训练(一)选择题1. 已知曲线 y x2的一条切线的斜率为1,则切点的横坐标为( A )4 2A . 1 B. 2 C. 3 D. 42. 曲线 y x3 3x2 1在点(1,-1)处的切线方程为( B )A .y 3x 4B .y 3x 2 C. y 4x 3 D. y 4x 53. 函数 y ( x 1) 2 ( x 1) 在x 1处的导数等于( D )A . 1B .2 C. 3 D .44. 已知函数 f ( x)在 x 1处的导数为 3,则 f ( x) 的解析式可能为( A )A .f (x) (x 1) 2 3( x 1)B .f ( x) 2( x 1)C.f (x) 2( x 1) 2 D.f ( x) x 15. 函数 f ( x) x 3 ax 2 3x 9 ,已知 f (x) 在x 3 时取得极值,则 a =( D )( A ) 2 (B ) 3 ( C) 4 (D ) 56. 函数 f ( x) x3 3x2 1是减函数的区间为( D )(A) (2, ) (B) ( , 2) (C) ( ,0) (D) (0, 2)7. 若函数 f x x 2 bx c 的图象的顶点在第四象限,则函数 f ' x 的图象是(A)8.y2x 21 3yyy函数 f ( x)x在区间 [0 , 6] 上的最大值是(A )33216C . 12D . 9A .xB .oxo 3o 3xx o9. 函数 y x 33x 的极大值为 m ,极小值为 n ,则 m n 为 (A)AB C . 2CDA . 0B . 1D .410. 三次函数 fxax 3x 在 x,内是增函数,则(A)A . a 0B . a 0C . a 11D . a311. 在函数 yx 3 8x 的图象上,其切线的倾斜角小于的点中,坐标为整数的点的个数4是( D)A . 3B .2C . 1D . 012. 函数 f (x) 的定义域为开区间(a, b) ,导函数 f ( x) 在开区间 (a, b) 内有极小值点(A)A . 1 个B . 2 个C .3 个D . 4 个f ( x) 在 (a, b) 内的图象如图所示,则函数y?y f (x)Obax(二) 填空题13. 曲 线 yx 3 在 点 1,1 处 的 切 线 与 x 轴 、 直 线 x 2 所 围 成 的 三 角 形 的 面 积 为__________。
14. 已 知 曲 线 y1 x 3 4 , 则 过 点 P(2, 4) “ 改 为 在 点 P(2, 4) ” 的 切 线 方 程 是33______________15. 已知 f( n )( x) 是对函数 f ( x) 连续进行 n 次求导,若 f ( x)x 6 x 5 ,对于任意 x R ,都有 f (n) (x) =0,则 n 的最少值为。