成人高考高等数学模拟试题和答案解析
- 格式:doc
- 大小:1.41 MB
- 文档页数:9
成考数学试题及答案详解一、选择题(每题3分,共30分)1. 若函数\( f(x) = 2x - 3 \),则\( f(1) \)的值为:A. -1B. 1C. 3D. 52. 已知\( a \)和\( b \)是两个不同的非零实数,且\( a^2 - b^2 =0 \),则\( a \)和\( b \)的关系是:A. \( a = b \)B. \( a = -b \)C. \( a \)和\( b \)互为相反数D. \( a \)和\( b \)互为倒数3. 计算\( \sqrt{9} \)的值:A. 3B. -3C. ±3D. 94. 若\( x \)和\( y \)满足方程\( x + y = 5 \)且\( x - y = 3 \),则\( x \)和\( y \)的值分别为:A. \( x = 4, y = 1 \)B. \( x = 1, y = 4 \)C. \( x = 2, y = 3 \)D. \( x = 3, y = 2 \)5. 已知\( \cos(\theta) = \frac{1}{2} \),且\( \theta \)在第一象限,求\( \sin(\theta) \)的值:A. \( \frac{\sqrt{3}}{2} \)B. \( -\frac{\sqrt{3}}{2} \)C. \( \frac{1}{2} \)D. \( -\frac{1}{2} \)6. 一个等差数列的首项为3,公差为2,求第5项的值:A. 13B. 11C. 9D. 77. 计算\( \log_2(8) \)的值:A. 2B. 3C. 4D. 58. 已知\( \tan(\alpha) = 2 \),求\( \sin(\alpha) \)的值:A. \( \frac{2\sqrt{5}}{5} \)B. \( \frac{\sqrt{5}}{5} \)C. \( \frac{2}{\sqrt{5}} \)D. \( \frac{1}{\sqrt{5}} \)9. 计算\( \frac{1}{x} + \frac{1}{y} = \frac{1}{x+y} \)时,\( x \)和\( y \)的关系:A. \( x = y \)B. \( x = -y \)C. \( x \)和\( y \)互为相反数D. \( x \)和\( y \)互为倒数10. 已知\( a \)和\( b \)是两个不同的实数,且\( a^3 - b^3 = 0 \),则\( a \)和\( b \)的关系是:A. \( a = b \)B. \( a = -b \)C. \( a \)和\( b \)互为相反数D. \( a \)和\( b \)相等答案:1. B2. B3. A4. A5. A6. A7. B8. A9. B10. C结束语:本试题及答案详解旨在帮助考生复习和掌握成考数学的基本概念和计算方法,希望考生能够通过练习提高解题能力,为考试做好充分准备。
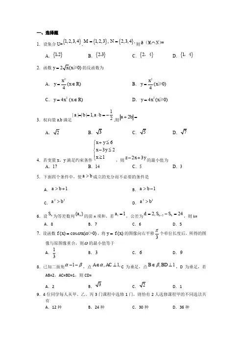
一、选择题 1.设集合U={}1,2,3,4,{}1,2,3,M ={}2,3,4,N =则=⋂(M N )ðA .{}12,B .{}23,C .{}2,4D .{}1,42.函数2(0)y x x =≥的反函数为A .2()4x y x R =∈B .2(0)4x y x =≥C .24y x =()x R ∈D .24(0)y x x =≥3.权向量a,b 满足1||||1,2a b a b ==⋅=-,则2a b +=A .2B .3C .5D .74.若变量x 、y 满足约束条件6321x y x y x +≤⎧⎪-≤⎨⎪≥⎩,则23z x y -+的最小值为A .17B .14C .5D .35.下面四个条件中,使a b >成立的充分而不必要的条件是 A .1a b >+ B .1a b >-C .22a b >D .33a b >6.设nS 为等差数列{}n a 的前n 项和,若11a =,公差为22,24k k d S S +=-=,则k=A .8B .7C .6D .57.设函数()cos (0)f x x ωω=>,将()y f x =的图像向右平移3π个单位长度后,所得的图像与原图像重合,则ω的最小值等于A .13B .3C .6D .98.已知二面角l αβ--,点,,A AC l α∈⊥C 为垂足,点,B BD l β∈⊥,D 为垂足,若AB=2,AC=BD=1,则CD=A .2B .3C .2D .19.4位同学每人从甲、乙、丙3门课程中选修1门,则恰有2人选修课程甲的不同选法共有 A .12种 B .24种 C .30种 D .36种10.设()f x 是周期为2的奇函数,当0≤x ≤1时,()f x =2(1)x x -,则5()2f -=A .-12B .1 4-C .14D .1211.设两圆1C 、2C 都和两坐标轴相切,且都过点(4,1),则两圆心的距离12C C =A .4B .42C .8D .8212.已知平面α截一球面得圆M ,过圆心M 且与α成060,二面角的平面β截该球面得圆N ,若该球的半径为4,圆M 的面积为4π,则圆N 的面积为A .7πB .9πC .11πD .13π二、填空题:本大题共4小题,每小题5分,共20分把答案填在题中横线上(注意:在试..卷上作答无效......) 13.(1-x )10的二项展开式中,x 的系数与x 9的系数之差为: .14.已知a ∈(3,2ππ),tan 2,cos αα=则=15.已知正方体ABCD —A 1B 1C 1D 1中,E 为C 1D 1的中点,则异面直线AE 与BC 所成角的余弦值为。
成人高考高等数学二模拟试题和答案解析一成人高考《高等数学(二)》模拟试题和答案解析(一)一、选择题:1~10小题,每小题4分,共40分.在每小题给出的四个选项中,只有一项是符合题目要求的,把所选项前的字母填在题后的括号内.1.设函数ƒ(x)在点x处连续,则下列结论肯定正确的是().A.B.C.当x→x0时, ƒ(x)- ƒ(x)不是无穷小量D.当x→x0时, ƒ(x)- ƒ(X)必为无穷小量2.函数y-=ƒ(x)满足ƒ(1)=2ƒ″(1)=0,且当x<1时,ƒ″(x)<0;当x>1时,ƒ″(x)>0,则有().A.x=1是驻点B.x=1是极值点C.x=1是拐点D.点(1,2)是拐点3.A.x=-2B.x=-1C.x=1D.x=04.A.可微B.不连续C.无切线D.有切线,但该切线的斜率不存在5.下面等式正确的是().A.B.C.D.6.A.2dxB.1/2dxC.dxD.07.A.B.C.D.8.A.0B.2(e-1)C.e-1D.1/2(e-1)9.A.B.C.D.10.设函数z=x2+y2,2,则点(0,0)().A.不是驻点B.是驻点但不是极值点C.是驻点且是极大值点D.是驻点且是极小值点二、填空题:1~10小题,每小题4分,共40分.把答案填在题中横线上·11.12.13.14.15.16.17.18.19.20.三、解答题:21~28小题,共70分。
解答应写出推理、演算步骤.21.22.(本题满分8分)设函数Y=cos(Inx),求y'.23.24.25.26.。
成考数学试题及答案解析一、选择题1. 下列函数中,为奇函数的是()A. y = x^2B. y = |x|C. y = x^3D. y = sin(x)答案:C解析:奇函数满足f(-x) = -f(x)的性质。
选项A是偶函数,因为(-x)^2 = x^2;选项B不是奇函数也不是偶函数,因为|-x| = |x|;选项C是奇函数,因为(-x)^3 = -x^3;选项D是奇函数,但不是本题的正确答案。
2. 已知等差数列的第3项为5,第5项为9,求首项a1和公差d。
A. a1 = 2, d = 1B. a1 = 1, d = 2C. a1 = 3, d = 1D. a1 = 4, d = 3答案:B解析:设等差数列的首项为a1,公差为d。
根据等差数列的性质,第3项a3 = a1 + 2d = 5,第5项a5 = a1 + 4d = 9。
联立两式可得a1 = 1,d = 2。
二、填空题1. 计算定积分∫(0,1) x^2 dx的值为________。
答案:1/3解析:根据定积分的计算公式,∫(0,1) x^2 dx = [x^3/3](0,1) =1/3。
2. 若f(x) = 2x - 1,求f(1)的值为________。
答案:1解析:将x=1代入函数f(x)中,得到f(1) = 2*1 - 1 = 1。
三、解答题1. 解不等式:2x + 5 > 3x - 2。
答案:x < 7解析:将不等式中的项进行移项,得到2x - 3x > -2 - 5,即-x > -7,两边同时乘以-1(注意不等号方向要改变),得到x < 7。
2. 已知三角形ABC的两边分别为3和4,夹角为60度,求第三边c的长度。
答案:c = 2√3解析:根据余弦定理,c^2 = a^2 + b^2 - 2ab*cos(C),其中a=3,b=4,C=60度。
代入公式计算得c^2 = 3^2 + 4^2 - 2*3*4*cos(60°) = 9 + 16 - 24*1/2 = 25 - 12 = 13,所以c = √13 = 2√3。
成考模拟数学试题及答案一、选择题(本题共10小题,每小题3分,共30分。
在每小题给出的四个选项中,只有一个选项是正确的。
)1. 下列哪个数是无理数?A. 1.1010010001…B. 0.33333…C. √3D. 22. 已知函数f(x) = 2x^2 - 3x + 1,求f(2)的值。
A. 5B. 3C. 1D. -13. 一个圆的半径为5,求其面积。
A. 25πB. 50πC. 75πD. 100π4. 如果一个角的正弦值是0.6,那么它的余弦值的范围是什么?A. -1 < cosθ < 0B. -1 < cosθ < 0.4C. 0 < cosθ < 1D. 0.6 < cosθ < 15. 以下哪个是二次方程的解?A. x = 2B. x = -2C. x = 1D. x = -16. 已知等差数列的首项a1=3,公差d=2,求第5项的值。
A. 11B. 13C. 15D. 177. 一个直角三角形的两条直角边分别为3和4,求斜边的长度。
A. 5B. 6C. 7D. 88. 以下哪个不是三角函数的周期性质?A. sin(θ + 2π) = sinθB. cos(θ + π) = -cosθC. tan(θ + π) = tanθD. sin(θ + π) = -sinθ9. 已知一个函数的导数为f'(x) = 3x^2 - 2x,求f(x)的表达式。
A. f(x) = x^3 - x^2 + CB. f(x) = x^3 + x^2 + CC. f(x) = x^3 - 2x + CD. f(x) = x^3 + 2x + C10. 以下哪个是矩阵的特征值?A. 1B. 2C. 3D. 4二、填空题(本题共5小题,每小题4分,共20分。
请在每小题的空格处填入正确的答案。
)11. 函数y = x^3 - 2x^2 + 3x的导数是________。
成考数学试题及答案详解一、选择题1. 下列哪个数不是实数?A. -3B. √2C. πD. i答案:D2. 如果函数f(x) = 2x + 3,那么f(-1)的值是多少?A. -1B. 1C. 3D. 5答案:A3. 圆的面积公式是πr²,其中r是半径。
如果一个圆的半径是4,那么它的面积是多少?A. 16πB. 32πC. 64πD. 100π答案:B二、填空题4. 一个直角三角形的两条直角边分别为3和4,那么它的斜边长度是_________。
答案:55. 一个数的平方根是4,那么这个数是_________。
答案:16三、解答题6. 解不等式:3x + 5 > 14。
解:首先将5移到不等式的右边,得到3x > 9,然后除以3,得到x > 3。
7. 已知函数f(x) = x² - 4x + 3,求它在x = 2处的值。
解:将x = 2代入函数f(x)中,得到f(2) = 2² - 4*2 + 3 = 4- 8 + 3 = -1。
四、证明题8. 证明:对于任意实数a和b,如果a > b,则a² > b²。
证明:假设a > b,那么a - b > 0。
将两边平方得到(a - b)² > 0。
根据平方差公式,(a - b)² = a² - 2ab + b²。
因为2ab总是正数,所以a² - 2ab + b² > b²,即a² > b²。
五、应用题9. 一个工厂生产某种产品的总成本是C = 5000 + 50x,其中x是生产的产品数量。
如果每件产品的销售价格是100元,那么工厂需要生产多少件产品才能达到收支平衡?解:设工厂生产x件产品,总收入为100x,总成本为5000 + 50x。
收支平衡时,总收入等于总成本,即100x = 5000 + 50x。
成人高考《高等数学(二)》模拟试题和答案解析(二)一、选择题:1~10小题,每小题4分,共40分.在每小题给出的四个选项中,只有一项是符合题目要求的,把所选项前的字母填在题后的括号内.1.A.10/3B.5/3C.1/3D.2/152.A.-2B.2C.4D.53.A.B.C.D.4.设ƒ(x)具有任意阶导数,且,ƒˊ(x)=2f(x),则ƒ″ˊ(x)等于().A.2ƒ(x)B.4ƒ(x)C.8ƒ(x)D.12ƒ(x)5.已知ƒ(x)=aretanx2,则ƒˊ(1)等于().A.一1B.0C.1D.26.设函数y=f(x)的导函数yˊ= ƒˊ(x)的图像如图2-4—1所示,则下列结论肯定正确的是().A.x=-1是驻点,但不是极值点B.名=-1不是驻点C.x=-1为极小值点D.x=-1为极大值点7.下列定积分的值等于0的是().A.B.C.D.8.A.B.C.D.9.A.0B.C.D.10.A.B.C.D.二、填空题:11~20小题,每小题4分,共40分.把答案填在题中横线上.11.12.13.设y=arCCOSx,则yˊ__________ .14.15.16.若ƒˊ(x)=sin x+x+1,则ƒ(x)__________.17.已知ƒˊ(sinx)=cos2x,则ƒ(x)__________.18.19.二元函数ƒ(x,y)=2+y2+xy+x+y的驻点是__________.20.五人排成一行,甲、乙二人必须排在一起的概率P=__________.三、解答题:21~28小题,共70分.解答应写出推理、演算步骤.21.22.23.24.25.(本题满分8分)袋中有6个球,分别标有数字1,2,3,4,5,6.从中一次任取两个球,试求:取出的两个球上的数字之和大于8的概率.26.27.(本题满分10分)求曲线y2=x及直线x=0,y=1围成的平面图形的面积S及此平面图形绕x轴旋转一周所得旋转体的体积Vx.28.参考答案及解析一、选择题1.【答案】应选A.2.【答案】应选B.【解析】本题考查的知识点是分段函数的极限计算.分段函数求极限一定要注意不同区问的函数表达式.3.【答案】应选D.【解析】本题考查的知识点是复合函数的求导公式.根据复合函数求导公式,可知D正确.需要注意的是:选项A错误的原因是ƒ是x的复合函数,所以必须通过对中间变量求导后才能对x求导.4.【答案】应选C.5.【答案】应选C.【解析】先求出ƒˊ(x),再将x=1代人.6.【答案】应选C.【解析】本题主要考查极值的充分条件及驻点的概念.由ƒˊ(x)的图像可知,在x=-1时,ƒˊ(-1)=0,所以X=-1为驻点,排除B.而当x<-1时,ƒˊ(x)<0;x>-1时,ƒˊ(x)>0.根据导数符号由负变正,可知x=-1为函数的极小值点,所以选C.对于这种由函数导数的图像来分析和研究函数特性的方法,建议考生多做练习,熟练掌握.如果本题换一种提法则可以得到另外两个选择题.(1)设函数y=f(x)的导函数yˊ= ƒˊ(x)的图像如图2-4-1所示,则函数y= ƒ(x)的单调递增区间为A.B.C.D.(C)(2)设函数y= ƒ(x)的导函数yˊ=ƒˊ(x)的图像如图2-4-1所示,则下列结论肯定正确的是A.B.C.D.(B)7.【答案】应选A.【解析】本题考查的知识点是奇函数在对称区间上的定积分等于零.8.【答案】应选D.【解析】本题考查的知识点是不定积分的凑微分计算法.9.【答案】应选C.【解析】本题考查的知识点是定积分的换元积分法.如果审题不认真,很容易选A或B.由于函数ƒ(x)的奇偶性不知道,所以选A或B都是错误的.10.【答案】应选B.【解析】本题考查的知识点是二元复合函数的偏导数的计算.二、填空题11.【答案】应填一4.12.【解析】本题考查的知识点是导数的概念、复合函数导数的求法及函数在某点导数值的求法.本题的关键之处是函数在某点的导数定义,由于导数的定义是高等数学中最基本、最重要的概念之一,所以也是历年试题中的重点之一,正确掌握导数定义的结构式是非常必要的.函数y=ƒ(x)在点x0处导数定义的结构式为13.【提示】用求导公式计算即可得答案.14.【答案】应填(2,1).【解析】本题考查的知识点是拐点的定义及求法.15.【答案】应填0.【解析】本题考查的知识点是函数在一点间断的概念.16.【解析】本题考查的知识点是不定积分公式.17.【解析】本题考查的知识点是导数的概念及积分变量的概念.求解本题的关键是正确理解ƒˊ(sinx)的概念.18.【答案】应填4.【解析】本题考查的知识点是变上限定积分的求导.首先应用变上限的导数求出ƒ(x),然后求出ƒ(2)的值.对x求导得ƒ(x)=2x,即ƒ(2)=4.19.【答案】应填x=-1/3,y=-1/3.【解析】本题考查的知识点是多元函数驻点的概念和求法.20.【答案】应填2/5.21.本题考查的知识点是函数在点x0处连续的充要条件f(x0-0)=f(x0+O)=f(x0).22.本题考查的知识点是隐函数的求导.【解析】隐函数求导的常用方法是直接求导法和公式法,建议考生能熟练掌握.对于微分运算比较熟悉的考生来说,微分法也是一种十分简捷而有效的办法.解法1等式两边对x求导,得解法2等式两边对x求微分:解法3用隐函数求偏导的公式.23.本题考查的知识点是分部积分法.24.本题考查的知识点是分段函数的定积分计算方法及用换元法去根号计算定积分.分段函数在不同区间内的函数表达式是不同的,应按不同区间内的表达式计算.25.本题考查的知识点是古典概型的概率计算.【解析】古典概型的概率计算,其关键是计算:基本事件总数及有利于所求事件的基本事件数.解设A={两个球上的数字之和大于8}.基本事件总数为:6个球中一次取两个的不同取法为C26;有利于A的基本事件数为:26.本题考查的知识点是利用导数求解实际问题的最值.【解析】这类题目的关键是根据题意列出函数关系式并正确求出yˊ和y″(如果需要求y″时).如果yˊ与y″算错,则所有结果无一正确.27.本题考查的知识点是利用定积分计算平面图形的面积和旋转体的体积.28.本题考查的知识点是偏导数的计算及复合函数的求导.。
成考数学试题答案及解析一、选择题(每题3分,共30分)1. 下列函数中,哪一个是奇函数?A. f(x) = x^2B. f(x) = x^3C. f(x) = x^2 + 1D. f(x) = x^3 - 1答案:B解析:奇函数的定义是f(-x) = -f(x)。
对于选项A,f(-x) = (-x)^2 = x^2 = f(x),是偶函数;对于选项B,f(-x) = (-x)^3 = -x^3 = -f(x),是奇函数;对于选项C,f(-x) = (-x)^2 + 1 = x^2 + 1 =f(x),是偶函数;对于选项D,f(-x) = (-x)^3 - 1 = -x^3 - 1 ≠ -f(x),既不是奇函数也不是偶函数。
2. 计算下列极限:\[\lim_{x \to 0} \frac{\sin x}{x}\]A. 0B. 1C. -1D. 不存在答案:B解析:根据极限的性质,我们知道\(\lim_{x \to 0} \frac{\sinx}{x} = 1\),这是一个基本的极限公式。
3. 计算下列定积分:\[\int_{0}^{1} x^2 dx\]A. 1/3B. 1/2C. 2/3D. 1答案:A解析:根据定积分的计算公式,\(\int_{0}^{1} x^2 dx =\left[\frac{1}{3}x^3\right]_0^1 = \frac{1}{3}(1^3 - 0^3) = \frac{1}{3}\)。
4. 计算下列二阶导数:\[f''(x) = \frac{d^2}{dx^2} (e^x \sin x)\]A. \(e^x \sin x + e^x \cos x\)B. \(e^x \sin x - e^x \cos x\)C. \(e^x \cos x + e^x \sin x\)D. \(e^x \cos x - e^x \sin x\)答案:A解析:使用乘积法则求导,\(f'(x) = e^x \sin x + e^x \cos x\),再求导得到\(f''(x) = e^x \sin x + e^x \cos x + e^x \cos x - e^x \sin x = 2e^x \cos x\)。
2021年成人高考高等数学模拟试题和答案解析解析】此题考查函数的连续性和极限的概念,通过极限的定义可以推出x=1时函数不连续,而x≠1时函数连续,所以选项C正确.4.【答案】应选B.解析】此题考查函数可导的概念,在选项中只有B符合函数不可导的条件,所以选B.5.【答案】应选C.解析】此题考查对数函数的性质,利用对数函数的定义可以推出选项C正确.6.【答案】应选B.解析】此题考查函数的积分,利用分部积分公式可以求出选项B正确.7.【答案】应选A.解析】此题考查函数的导数和极值的概念,利用导数的定义可以求出函数的导数为0,然后通过二阶导数的符号来判断极值类型,所以选项A正确.8.【答案】应选C.解析】此题考查指数函数的性质,利用指数函数的定义可以推出选项C正确.9.【答案】应选D.解析】此题考查函数的极限的概念,通过极限的定义可以推出选项D正确.10.【答案】应选B.解析】此题考查函数的极值的概念,通过求导和判断二阶导数的符号可以得到选项B正确.二、填空题11.-112.-1/213.014.015.√316.2/317.218.019.1/220.2三、解答题21.(此题总分值10分)已知函数y=ln(1+x),求其在点x=0处的二阶泰勒展开式.解析】根据泰勒公式,可以得到:f(x) = f(a) + f'(a)(x-a) + f''(a)(x-a)²/2.+ O((x-a)³)其中,a=0,f(a)=ln(1+0)=0,f'(a)=1/(1+0)=1,f''(a)=-1/(1+0)²=-1,代入公式可得:y = x - x²/2 + O(x³)所以,在点x=0处的二阶泰勒展开式为y=x-x²/2.22.(此题总分值8分)设函数y=cos(lnx),求y'.解析】根据链式法则和反函数的导数公式,可以得到:y' = -sin(lnx) * 1/x所以,函数y=cos(lnx)的导数为y'=-sin(lnx)/x.23.(此题总分值10分)已知函数y=ln(1+sinx),求其在点x=π/4处的三阶XXX展开式.解析】根据泰勒公式,可以得到:f(x) = f(a) + f'(a)(x-a) + f''(a)(x-a)²/2.+ f'''(a)(x-a)³/3.+ O((x-a)⁴)其中,a=π/4,f(a)=ln(1+sin(π/4))=ln(√2),f'(a)=cos(a)/(1+sin(a))=1/2,f''(a)=-sin(a)/(1+sin(a))²=-1/4,f'''(a)=-cos(a)*(1+sin(a)+2cos(a))/(1+sin(a))³=-3/8√2,代入公式可得:y = ln(√2) + (x-π/4)/2 - (x-π/4)²/8 - 3√2(x-π/4)³/48 + O((x-π/4)⁴)所以,在点x=π/4处的三阶泰勒展开式为y=ln(√2)+(x-π/4)/2-(x-π/4)²/8-3√2(x-π/4)³/48.24.(此题总分值8分)设函数y=xlnx-x,求其在点x=e处的极值.解析】对函数求导,可以得到:y' = ln(x)y'' = 1/x令y'=0,可得x=e,此时y''=1/e>0,所以函数在点x=e处取得极小值,极小值为y=e.25.(此题总分值10分)已知函数y=xe^(x-1),求其在区间[0,1]上的最大值和最小值.解析】对函数求导,可以得到:y' = xe^(x-1) + e^(x-1)*(1-x)令y'=0,可得x=1,此时y''=2e^(x-1)>0,所以函数在点x=1处取得极小值,极小值为y=1/e.又因为函数在区间[0,1]上单调递增,所以最小值为y(0)=0,最大值为y(1)=e.26.(此题总分值10分)已知函数y=x^3-3x^2+2x,求其在区间[-1,3]上的最大值和最小值.解析】对函数求导,可以得到:y' = 3x^2-6x+2令y'=0,可得x=1/3或x=2,此时y''=6x-6,当x=1/3时,y''0,所以函数在点x=2处取得极小值,极小值为y=-4.又因为函数在区间[-1,3]上单调递增,所以最小值为y(-1)=-4,最大值为y(3)=2.27.(此题总分值10分)已知函数y=x^3-3x,求其在区间[-2,2]上的拐点.解析】对函数求导,可以得到:y' = 3x^2-3y'' = 6x令y''=0,可得x=0,此时y'''=6>0,所以函数在点x=0处取得拐点.28.(此题总分值10分)已知袋中装有8个球,其中5个白球,3个黄球.一次取3个球,以X表示所取的3个球中黄球的个数.1)求随机变量X的散布列;2)求数学期望E(X).解析】(1)当取出的3个球中有0个黄球时,有C(5,3)=10种取法;当取出的3个球中有1个黄球时,有C(5,2)*C(3,1)=30种取法;当取出的3个球中有2个黄球时,有C(5,1)*C(3,2)=30种取法;当取出的3个球中有3个黄球时,有C(3,3)=1种取法.所以,X的散布列为:X。
2024年成人高考成考数学(文科)(高起专)模拟试题(答案在后面)一、单选题(本大题有12小题,每小题7分,共84分)1、已知函数f(x)=2x2−3x+1,则该函数的导数f′(x)为:A.4x−3B.2x−3C.4x+1D.2x+12、在下列各数中,绝对值最小的是()A、-3/2B、-1/2C、3/2D、1/23、若一个正方形的边长增加其原长的25%,则新正方形的面积比原来增加了多少百分比?A、50%B、56.25%C、75%D、100%4、在下列各数中,不是有理数的是:A、-5.25B、√16C、πD、0.35、已知直线(l)的方程为(2x−3y+6=0),则直线(l)的斜率是多少?)A、(23)B、(32)C、(−23)D、(−326、下列函数中,定义域为全体实数的是()A、f(x) = √(x+1)B、f(x) = √(x^2 - 4)C、f(x) = 1 / (x-2)D、f(x) = 1 / (x^2 + 1)7、设函数f(x)=2x2−3x+1,则该函数的最小值为()。
A.−18B.18C.−1D.1),则下列说法正确的是:8、若函数(f(x)=3x2−2x+1)的图像的对称轴为(x=13A.(f (0)=f (1))B.(f (0)=f (−13))C.(f (13)=f (−13))D.(f (0)+f (1)=2f (13))9、若直线(l )的方向向量为((3,−4)),则直线(l )的斜率为:A.(34)B.(−34)C.(43)D.(−43)10、在下列各数中,有理数是( )A.√2B.πC.13D.ln211、一个等差数列的前三项分别是2、5、8,那么该数列的公差是多少?A 、3B 、4C 、5D 、612、已知函数f (x )=2x−1x 2−2x+1,下列说法正确的是:A. 函数的定义域为(−∞,1)∪(1,+∞)B. 函数的值域为(−∞,0)∪(0,+∞)C. 函数的增减性在x=1处发生改变D. 函数的图像关于直线x=1对称二、填空题(本大题有3小题,每小题7分,共21分)1、若函数f(x)=12x2−3x+4在x=1处取得极值,则该极值为_______ 。
2024年成人高考成考数学(理科)(高起专)模拟试题(答案在后面)一、单选题(本大题有12小题,每小题7分,共84分)1、()下列哪个数是有理数?A. √2B. πC. -3/4D. e2、已知函数f(x) = 2x^3 - 3x^2 - 12x + 1,那么f(x)在区间[-2, 3]上的最大值是:A. 17B. 25C. 41D. 533、若二次函数 f(x) = ax^2 + bx + c 在点 (x, f(x)) 和点 (-x, f(-x)) 处的斜率之积等于一个定值 k,则以下结论正确的是:A. a = kB. b = kC. c = kD. a 与 k 的关系不确定4、已知函数f(x) = 2x^3 - 3x^2 - 12x + 1,那么f(x)在区间[-2, 3]上的最大值是:A. 17B. 25C. 33D. 415、已知函数f(x) = 2x^3 - 3x^2 - 12x + 1,那么f(x)在区间[-2, 3]上的最大值是:A. 17B. 25C. 33D. 416、已知函数f(x) = 2x^3 - 3x^2 - 12x + 1,那么f(x)在区间[-2, 3]上的最大值是:A. 17B. 25C. 33D. 417、已知函数f(x) = 2x^3 - 3x^2 - 12x + 1,那么f(x)在区间[-2, 3]上的最大值是:A. 17B. 25C. 33D. 418、已知函数f(x) = 2x^3 - 3x^2 - 12x + 1,那么f(x)在区间[-2, 3]上的最大值是:A. 17B. 25C. 33D. 419、已知函数f(x) = 2x^3 - 3x^2 - 12x + 1,那么f(x)在区间[-2, 3]上的最大值是:A. 17B. 25C. 33D. 4110、函数 y = sin x 与函数y = √x 在第一象限的图象的交点个数为()A. 0个B. 1个C. 无数个D. 不能确定具体数量但一定有交点11、若直线 y = ax 与曲线y = √(x) 在它们的交点处相切,则实数 a 的值为多少?A. 1/2B. 1C. 2D. 无法确定12、函数 f(x) = cos^2 x + sin x 在区间[π/4, π/2] 上的最大值是()A. 根号下(二分之五)B. 二分之根号二C. 二分之一D. 一加根号二二、填空题(本大题有3小题,每小题7分,共21分)1、(10分) 已知函数f(x) = 2x^3 - 3x^2 - 12x + 1,那么f(x)在区间[-2, 3]上的最大值是 ______ ,最小值是 ______ 。
成人高考《高等数学(二)》模拟试题和答案解析(三)一、选择题:1~10小题,每小题4分,共40分.在每小题给出的四个选项中,只有一项是符合题目要求的,把所选项前的字母填在题后的括号内.1.A.x=—2B.x=—1C.x=1D.x=02.设ƒ(x)在x0及其邻域内可导,且当x〈x0时ƒˊ(x)〉0,当x〉x0时ƒˊ(x)<0,则必ƒˊ(x0)().A.小于0B.等于0C.大于0D.不确定3.A.B.C.D.4.设函数ƒ(x)=sin(x2)+e-2x,则ƒˊ(x)等于().A.B.C.D.5.A.B.C.(0,1)D.6.A.xln x+CB.-xlnx+CC.D.7.设ƒˊ(x)=COS x+x,则ƒ(x)等于( ).A.B.C. sinx+x2+CD. sinx+2x2+C8.A.F(x)B.-F(x)C.0D.2F(x)9.A.ƒˊ(x+y)+ƒˊ(x—y)B.ƒˊ(x+y)-ƒˊ(x—y)C.2 ƒˊ(x+y)D.2 ƒˊ(x-y)10.若事件A发生必然导致事件B发生,则事件A和B的关系一定是().A.B.C.对立事件D.互不相容事件二、填空题:11~20小题,每小题4分,共40分.把答案填在题中横线上.11.12.13.14.设函数y=In(1+x2),则dy=__________.15.16.17.18.19.20.由曲线y=x和y=x2围成的平面图形的面积S=__________.三、解答题:21~28小题,共70分.解答应写出推理、演算步骤.21.22.23.24.25.(本题满分8分)设随机变量X的分布列为X 123 4P 0.2 0.3α 0。
4(1)求常数α;(2)求X的数学期望E(X).26.(本题满分10分)当x>0时,证明:ex>1+x.27.28.参考答案及解析一、选择题1.【答案】应选D.【解析】本题主要考查间断点的概念.读者若注意到初等函数在定义区间内是连续的结论,可知选项A、B、C都不正确,所以应选D.2.【答案】应选B.【解析】本题主要考查函数在点x0处取到极值的必要条件:若函数y=ƒ(x)在点x0处可导,且x0为ƒ(x)的极值点,则必有ƒˊ(x0)=0.本题虽未直接给出x0是极值点,但是根据已知条件及极值的第一充分条件可知f(x0)为极大值,故选B.3.【答案】应选D.【解析】本题考查的知识点是基本初等函数的导数公式.4。
成人高考成考数学(理科)(高起专)模拟试卷(答案在后面)一、单选题(本大题有12小题,每小题7分,共84分)1、若函数(f(x)=x3−3x2+4)的导数(f′(x))等于0,则(f(x))的极值点为:A、(x=0)B、(x=1)C、(x=2)D、(x=−1)2、已知函数f(x)=x 2−4x−2,则函数的定义域为()A.x≠2B.x≠0C.x≠2且x≠0D.x≠0且x≠−23、若函数(f(x)=1x−2+√x+1)在区间([−1,2))上有定义,则函数(f(x))的定义域为:A.([−1,2))B.([−1,2])C.((−1,2))D.((−1,2])4、在下列各数中,正实数 a、b、c 的大小关系是:a = 2^(3/2),b = 3^(2/3),c = 5^(1/4)。
A、a < b < cB、b < a < cC、c < b < aD、a = b = c5、已知函数f(x)=2x3−9x2+12x+1,若函数的图像在(−∞,+∞)上恒过点(a,b),则a和b的值分别为:A.a=2,b=9B.a=3,b=10C.a=1,b=2D.a=0,b=1+2x)在(x=1)处有极值,则此极值点处的导数值为:6、若函数(f(x)=3xA. 1B. -1C. 0D. 3在点x=1处的导数等于多少?7、若函数f(x)=2x−3x+1A、2B、−1C、1D、08、已知函数f(x)=x 3−3x2+4xx2−2x+1,则f(x)的奇偶性为:A. 奇函数B. 偶函数C. 非奇非偶函数D. 无法确定9、在下列数列中,属于等差数列的是()A、1, 2, 3, 4, 5B、1, 3, 6, 10, 15C、2, 4, 8, 16, 32D、1, 3, 6, 9, 1210、已知函数(f(x)=1x+x2)在区间((−∞,+∞))上的定义域为(D),且函数的值域为(R),则(D)和(R)分别是:A.(D=(−∞,0)∪(0,+∞),R=(−∞,0)∪(0,+∞))B.(D=(−∞,0)∪(0,+∞),R=[0,+∞))C.(D=(−∞,+∞),R=(−∞,+∞))D.(D=(−∞,+∞),R=[0,+∞))11、若函数f(x)=x3−3x2+4x,则函数的对称中心为:A.(1,2)B.(1,1)C.(0,0)D.(−1,−1)12、若函数(f(x)=√x2−4)的定义域为(D f),则(D f)为:A.(x≥2)B.(x≤−2)或(x≥2)C.(x≤−2)或(x≥2)D.(x≥2)或(x≤−2)二、填空题(本大题有3小题,每小题7分,共21分)1、在△ABC中,若sinA=√55,cosB=−√1010,则sinC=____.2、已知直线(l)的方程为(3x−4y+10=0),求直线(l)在 y 轴上的截距。
成人高考专升本高等数学(一)------------------------全真模拟试题及答案解析⑤1(单选题)函数在x=0处()(本题4分)A 连续且可导B 连续且不可导C 不连续D 不仅可导,导数也连续标准答案: B解析:【考情点拨】本题考查了函数在一点处的连续性和可导性的知识点。
【应试指导】因为所以函数在x=0处连续;又因不存在,所以函数在x=0处不可导。
2(单选题)曲线()(本题4分)A 没有渐近线B 仅有水平渐近线C 仅有铅直渐近线D 既有水平渐近线,又有铅直渐近线标准答案: D解析:【考情点拨】本题考查了曲线的渐近线的知识点。
【应试指导】所以y=1为水平渐近线。
又因所以x=0为铅直渐近线。
3(单选题)则α的值为()(本题4分)A -1B 1C -1/2D 0标准答案: B解析:【考情点拨】本题考查了洛必达法则的知识点。
【应试指导】因为x→0时分母极限为0,只有分子极限也为0,才有可能使分式极限为6,故解得a=-1,所以4(单选题)设()(本题4分)A 等价无穷小B f(x)是比g(x)高阶无穷小C f(x)是比gCc)低阶无穷小D f(x)与g(x)是同阶但非等价无穷小标准答案: D解析:【考情点拨】本题考查了两个无穷小量阶的比较的知识点。
【应试指导】故f(x)与g(x)是同价但非等价无穷小。
5(单选题)已知=()(本题4分)ABCD标准答案: B解析:【考情点拨】本题考查了已知积分函数求原函数的知识点。
【应试指导】因为所以6(单选题)曲线y=e^x与其过原点的切线及y轴所围面积为()(本题4分)ABCD标准答案: A解析:【考情点拨】本题考查了曲线围成的面积的知识点。
【应试指导】设(x0,y0)为切点,则切线方程为联立得x0=1,y0=e,所以切线方程为y=ex。
故所求面积为7(单选题)设函数()(本题4分)A 1B 0C -1/2D -1标准答案: D解析:【考情点拨】本题考查了一元函数在一点处的一阶导数的知识点。
成人高考专升本高等数学(一)------------------------全真模拟试题及答案解析③1(单选题)若则是( )(本题4分)A 2B -2C -1D 1标准答案: A解析:【考情点拨】本题考查了一元函数的导数及其极限的知识点。
【应试指导】因为2(单选题)若则等于()(本题4分)A 2x+2B x(x+1)C x(x-1)D 2x-1标准答案: A解析:【考情点拨】本题考查了一元函数的一阶导数的知识点。
【应试指导】因为故则3(单选题)设函数f(x)满足且f(0)=0,则f(x)=()。
(本题4分)ABCD标准答案: D解析:【考情点拨】本题考查了已知导函数求原函数的知识点。
【应试指导】由4(单选题)函数是()(本题4分)ABCD标准答案: D解析:【考情点拨】本题考查了函数的极值的知识点。
【应试指导】因于是令得驻点(-4,1)。
又因故对于点(-4,1),A=2,B=-1,C=2,B^2-AC=-3<0,且A>0,因此z=f(x,y)在点(-4,1)处取得极小值,且极小值为f(-4,1)=-1。
5(单选题)当x→0时,与x等价的无穷小量是( )。
(本题4分)ABCD标准答案: B解析:【考情点拨】本题考查了等价无穷小量的知识点。
【应试指导】对于选项A,故是在x→0时的比x低价的无穷小;对于选项B,故ln(1+x)是x→0时与x等价的无穷小;对于选项C,故是x→0时与x同阶非等价的无穷小;对于选项D,故是x→0时的比x高阶的无穷小。
6(单选题)使成立的f(x)为()。
(本题4分)A 绝对收敛B 条件收敛C 发散D 无法确定敛散性标准答案: A解析:【考情点拨】本题考查了反常积分的敛散性的知识点。
【应试指导】对于选项A,故此积分收敛,且收敛于1;对于选项B,不存在;对于选项C,故此积分收敛,但收敛于;对于选项D,故此积分收敛,但收敛于故选A。
7(单选题)级数是()。
(本题4分)ABCD标准答案: A解析:【考情点拨】本题考查了级数的绝对收敛的知识点。
成人高考专升本高等数学(一)--------------------------------全真模拟试题①一、单选题,共10题,每题4分,共40分:1(单选题)当x→0时,下列变量中为无穷小的是_________ (本题4分)ABCD标准答案: D解析:【考情点拨】本题考查了无穷小量的知识点.【应试指导】2(单选题)下列等式成立的是__________(本题4分)ABCD标准答案: C解析:【考情点拨】本题考查了函数的极限的知识点.【应试指导】3(单选题)设函数则等于_____(本题4分)A eB 1CD ln2标准答案: C解析:【考情点拨】本题考查了函数在一点的导数的知识点.【应试指导】4(单选题)设函数则函数f(X)______(本题4分)A 有极小值B 有极大值C 即有极小值又有极大值D 无极值标准答案: A解析:【考情点拨】本题考查了函数极值的知识点【应试指导】5(单选题)( )(本题4分)A 2/5B 0C -2/5D 1/2标准答案: A解析:【考情点拨】本题考查了定积分的知识点.【应试指导】6(单选题)下列各式中正确的是( )(本题4分)ABCD标准答案: B解析:【考情点拨】本题考查了定积分的性质的知识点.【应试指导】7(单选题)下列反常积分收敛的是________(本题4分)ABCD标准答案: D解析:【考情点拨】本题考查了反常积分的敛散性的知识点.【应试指导】8(单选题)方程表示的二次曲面是(本题4分)A 球面B 旋转抛物面C 圆柱面D 圆锥面标准答案: D解析:【考情点拨】本题考查了二次曲面(圓锥面)的知识点.【应试指导】由方程可知它表示的是圓锥面.9(单选题)函数在(-3,3)内展开成x的幂级数是()(本题4分)ABCD标准答案: B解析:【考情点拨】本题考查了函数展开为幂级数的知识点.【应试指导】10(单选题)微分方程________(本题4分)ABCD标准答案: A解析:【考情点拨】本题考查了二阶线性微分方程的特解形式的知识点.【应试指导】二、填空题,共10题,每题4分,共40分:11(填空题)函数在x=0连续此时α=________(本题4分)标准答案: 0解析:【考情点拨】本题考查了函数在一点处的连续性的知识点.【应试指导】12(填空题)若则_______(本题4分)标准答案: -1解析:【考情点拨】本题考查了利用导数定义求极限的知识点.【应试指导】13(填空题)设则y'=_______(本题4分)标准答案:解析:【考情点拨】本题考查了函数的一阶导数的知识点.【应试指导】14(填空题)函数上满足罗尔定理,则ε=_________(本题4分)标准答案:π解析:【考情点拨】本题考查了罗尔定理的知识点.【应试指导】15(填空题)_______(本题4分)标准答案:解析:【考情点拨】本题考查了不定积分的知识点.【应试指导】16(填空题)_________(本题4分)标准答案:解析:【考情点拨】本题考查了利用换元法求定积分的知识点.【应试指导】17(填空题)将积分改变积分顺序,则I=__________(本题4分)标准答案:解析:【考情点拨】本题考查了改变积分顺序的知识点.【应试指导】18(填空题)幂级数的收敛半径为______(本题4分)标准答案: 3解析:【考情点拨】本题考查了幂级数的收敛半径的知识点.【应试指导】19(填空题)微分方程的通解是______(本题4分)标准答案:解析:【考情点拨】本题考查了二阶线性微分方程的通解的知识点.【应试指导】微分方程的特征方程是微分方程的特征方程是20(填空题)若则_______(本题4分)标准答案:解析:【考情点拨】本题考查了二元函数的全微分的知识点.【应试指导】一、问答题8题,前5题每题8分,后3题每题10分,共70分:21(问答题)求函数的二阶导数(本题8分)标准答案及解析:22(问答题)求(本题8分)标准答案及解析:23(问答题)求(本题8分)标准答案及解析:24(问答题)求函数的极值. (本题8分)标准答案及解析:25(问答题)设求(本题8分)标准答案及解析:26(问答题)计算其中D是由:y=x,y=2x,x=2与x=4围成(本题10分)标准答案: 9解析:积分区域D如下图所示. 被积函数 H:为二次积分时对哪个变量皆易于积分;但是区域D易于用X —型不等式表示,因此选择先对:y积分,后对x积分的二次积分次序.27(问答题)求由曲线y2=(x-1)3和直线x=2所围成的图形绕x轴旋转所得的旋转体的体积.(本题10分)标准答案及解析:28(问答题)已知证明: (本题10分)标准答案及解析:。
成人高考成考数学(理科)(高起专)复习试题(答案在后面)一、单选题(本大题有12小题,每小题7分,共84分)1、下列函数中,是奇函数的是()。
A.y=x2B.y=arctanxC.y=e xD.y=x 3−1x−1,x≠12、若分子是正数的分数与负数相乘,则结果一定()A、是正数B、是负数C、可能为正数,也可能为负数D、不确定3.已知函数f(x) = 2x^3 - 3x^2 - 12x + 1,那么f(x)在区间[-2, 3]上的最大值是:A. 17B. 25C. 33D. 414、已知向量a⃗=(2,−3),b⃗⃗=(5,1), 则2a⃗−b⃗⃗的大小为A.√29B.√13C.√37D.√265.题目:已知圆的方程为 x^2 + y^2 = 9,点 A(-3, 0),则点 A 与圆的位置关系是()A. 在圆内B. 在圆上C. 在圆外D. 无法确定6、若函数f(x)=x2−4x+3,则不等式f(x)<0的解集为A.(1,3)B.(−∞,1)∪(3,+∞)C.(−∞,1]∪[3,+∞)D.(1,+∞)7、若函数y=x^2的图像向上平移2个单位,向右平移1个单位,则平移后的函数解析式为()A、y=x^2+2x+3B、y=x^2+2x+1C、y=x^2+2D、y=(x-1)^2+28、在甲、乙两队拔河比赛中,甲队最大能拉动横绳中间的白带的水平距离为6米。
已知绳的轻质、不可伸长,横绳的重量忽略不计,两队发力使对方过界并保持不动撤力后,白带即回到恰好在界线的不动平衡位置。
问两队发力过界时,白带向哪边过界?最多能拉动白带的最大水平距离是多少米?已知甲队最大拉力为F1=600N,乙队最大拉力F2=320N。
A. 乙队方向,12米B. 甲队方向,5米C. 乙队方向,5米D. 甲队方向,12米9、若一元二次方程ax² + bx + c = 0 的两个根互为倒数,则下列式子一定成立的是()A. a + b + c = 0B. b² = 4acC. a = bD. c = 010、一个正整数,它的各位数字之和为9,这个数可能是( )。
成人高考《高等数学(二)》模拟试题和答案解析(一)
一、选择题:1~10小题,每小题4分,共40分.在每小题给出的四个选项中,只有一项是符合题目要求的,把所选项前的字母填在题后的括号内.
1.当x→0时,x2是x-1n(1+x)的().
A.较高阶的无穷小量
B.等价无穷小量
C.同阶但不等价的无穷小量
D.较低阶的无穷小量
2.设函数ƒ(sinx)=sin2 x,则ƒˊ(x)等于().
A.2cos x
B.-2sin xcosx
C.%
D.2x
3.以下结论正确的是().
A.函数ƒ(x)的导数不存在的点,一定不是ƒ(x)的极值点
B.若x0为函数ƒ(x)的驻点,则x0必为ƒ(x)的极值点
C.若函数ƒ(x)在点x0处有极值,且ƒˊ(x0)存在,则必有ƒˊ(x0)=0
D.若函数ƒ(x)在点x0处连续,则ƒˊ(x0)一定存在
4.
A.
B.
C.exdx
D.exIn xdx
5.函数y=ex-x在区间(-1,1)内().
A.单调减少
B.单调增加
C.不增不减
D.有增有减
6.
A.F(x)
B.-F(x)
C.0
D.2F(x)
7.设y=ƒ(x)二阶可导,且ƒˊ(1)=0,ƒ″(1)>0,则必有().
A.ƒ(1)=0
B.ƒ(1)是极小值
C.ƒ(1)是极大值
D.点(1,ƒ(1))是拐点
8.
A.ƒ(3)- ƒ(1)
B.ƒ(9)- ƒ(3)
C.1[f(3)-f(1)
D.1/3[ƒ(9)- ƒ(3)]
9.
A.2x+1
B.2xy+1
C.x2+1
D.x2
10.设事件A,B的P(B)=0.5,P(AB)=0.4,则在事件B发生的条件下,事件A发生的条件概率P(A | B)=().
A.O.1
B.0.2
C.0.8
D.0.9
二、填空题:11~20小题,每小题4分,共40分.把答案填在题中横线上.
11.
12.当x→0时,1-cos戈与x k是同阶无穷小量,则k= __________.
13.设y=in(x+cosx),则yˊ__________.
14.
15.
16.设ƒ(x)的导函数是sin 2x,则ƒ(x)的全体原函数是 __________.
17.
18.曲线y=xlnx-x在x=e处的法线方程为 __________.
19.
20.
三、解答题:21~28小题,共70分.解答应写出推理、演算步骤.
21.
22.23.
24.
25.(本题满分8分)一枚5分硬币,连续抛掷3次,求“至少有1次国徽向上”的概率.26.(本题满分10分)在抛物线y2=4x与x=2所围成的平面区域内作一矩形,其一边在x=2 上,另外两个顶点在抛物线上,求此矩形面积最大时的长和宽,最大面积是多少?
27.(本题满分10分)设z=z(x,y)由方程ez-x2+y2+x+z=0确定,求出.
28.(本题满分10分)求由曲线y=x,y=lnx及y=0,y=1围成的平面图形的面积S,并求
此平面图形绕y轴旋转一周所得旋转体的体积V y.
参考答案及解析
一、选择题
1.【答案】应选C.
【解析】本题考查两个无穷小量阶的比较.
比较两个无穷小量阶的方法就是求其比的极限,从而确定正确的选项.本题即为计算:
由于其比的极限为常数2,所以选项C正确.
请考生注意:由于分母为x-ln(1+x),所以本题不能用等价无穷小量代换ln(1+x)-x,否则将导致错误的结论.
与本题类似的另一类考题(可以为选择题也可为填空题)为:确定一个无穷小量的“阶”.例如:当x→0时,x-In(1+x)是x的
A.1/2阶的无穷小量
B.等价无穷小量
C.2阶的无穷小量
D.3阶的无穷小量
要使上式的极限存在,则必须有k-2=0,即k=2.
所以,当x→0时,x-in(1坝)为x的2阶无穷小量,选C.
2.【答案】应选D.
【解析】本题主要考查函数概念及复合函数的导数计算.
本题的解法有两种:
解法1先用换元法求出ƒ(x)的表达式,再求导.
设sinx=u,则ƒ(x)=u2,所以ƒˊ(u)=2u,即ƒˊ(x)=2x,选D.
解法2将ƒ(sinx)作为ƒ(x),u=sinx的复合函数直接求导,再用换元法写成ƒˊ(x)的形式.等式两边对x求导得
ƒˊ(sinx)·COSx=2sin xCOSx,ƒˊ(sin x)=2sinx.
用x换sin x,得ƒˊ(x)=2x,所以选D.
请考生注意:这类题是基本题型之一,也是历年考试中经常出现的.熟练地掌握基本概念及解题的基本方法,必能较大幅度地提高考生的成绩.为便于考生对有关的题型有一个较全面的了解和掌握,特将历年试卷的部分试题中的相关部分摘录如下:
(2004年)设函数ƒ (cosx)=1+cos3x,求ƒˊ(x).(答案为3x2)
3.【答案】应选C.
【解析】本题考查的主要知识点是函数在一点处连续、可导的概念,驻点与极值点等概念的相互关系,熟练地掌握这些概念是非常重要的.要否定一个命题的最佳方法是举一个反例,例如:
y=|x|在x=0处有极小值且连续,但在x=0处不可导,排除A和D.
y=x3,x=0是它的驻点,但x=0不是它的极值点,排除B,所以命题C是正确的.
4.【答案】应选A.
【解析】本题可用dy=yˊdx求得选项为A,也可以直接求微分得到dy.
5.【答案】应选D.
【解析】本题需先求出函数的驻点,再用y″来判定是极大值点还是极小值点,若是极值点,则在极值点两侧的yˊ必异号,从而进一步确定选项.
因为yˊ=e x-1,令yˊ=0,得x=0.
又y″=e x>0,x∈(-1,1),且y″|x=0=1>0,所以x=0为极小值点,故在x=0的左、右两侧的函数必为由减到增,则当x∈(-1,1)时,函数有增有减,所以应选D.
6.【答案】应选B.
【解析】用换元法将F(-x)与F(x)联系起来,再确定选项.
7.【答案】应选B.
【提示】根据极值的第二充分条件确定选项.
8.【答案】应选D.
【解析】本题考查的知识点是定积分的换元法.本题可以直接换元或用凑微分法.
9.【答案】应选B.
【解析】用二元函数求偏导公式计算即可.
10.【答案】应选C.
【解析】利用条件概率公式计算即可.
二、填空题
11.【答案】应填e-2.
【解析】利用重要极限Ⅱ和极限存在的充要条件,可知k=e-2.
12.【答案】应填2.
【解析】根据同阶无穷小量的概念,并利用洛必达法则确定k值.
13.
【解析】用复合函数求导公式计算.
14.【答案】应填6.
15.
【解析】利用隐函数求导公式或直接对x求导.
将等式两边对x求导(此时y=y(x)),得
16.
【解析】本题主要考查的知识点是导函数和原函数的概念.
17.
18.【答案】应填x+y-e=0.
【解析】先求切线斜率,再由切线与法线互相垂直求出法线斜率,从而得到法线方程.
19.【答案】应填2π.
【提示】利用奇、偶函数在对称区间上积分的性质.
20.
【提示】将函数z写成z=e x2·e y,则很容易求得结果.
三、解答题
21.本题考查的是型不定式极限的概念及相关性质.
【解析】含变上限的型不定式极限直接用洛必达法则求解.
22.本题考查的知识点是复合函数的求导计算.
【解析】利用复合函数的求导公式计算.
23.本题考查的知识点是不定积分的公式法和凑微分积分法.
【解析】本题被积函数的分子为二项之差,一般情况下要考虑将它分成二项之差的积分.另外由于被积函数中含有根式,所以也应考虑用三角代换去根式的方法进行积分.
解法1
解法2三角代换去根号.
24.本题考查的知识点是反常积分的计算.
【解析】配方后用积分公式计算.
25.本题考查的知识点是古典概型的概率计算.
26.本题考查的知识点是利用导数研究函数特性的方法.
【解析】本题的关键是正确列出函数的关系式,再求其最大值.解如图2-7-1所示,设A点坐标为(x0,y0),则AD=2-x0,矩形面积
27.本题考查的知识点是二元隐函数全微分的求法.
利用公式法求导的关键是需构造辅助函数F(x,y,z)=e z-x2+y2+x+z,
然后将等式两边分别对x,y,z求导.考生一定要注意:对x求导时,y,z均视为常数,而对y或z求导时,另外两个变量同样也视为常数.也即用公式法时,辅助函数F(x,y,z)中的三个变量均视为自变量.
解法1直接求导法.
等式两边对x求导得
解法2公式法.
解法3微分法.
对等式两边求微分得
三种解法各有优劣,但公式法更容易理解和掌握.建议考生根据自己的熟悉程度,牢记一种方法.
28.本题考查的知识点是曲边梯形面积的求法及旋转体体积的求法.
【解析】首先应根据题目中所给的曲线方程画出封闭的平面图形,然后根据此图形的特点选择对x积分还是对),积分.选择的原则是:使得积分计算尽可能简单或容易算出.本题如果选择对x积分,则有
这显然要比对y积分麻烦.
在求旋转体的体积时一定要注意是绕x轴还是绕y轴旋转.历年的试题均是绕x轴旋转,而本题是求绕y轴旋转的旋转体的体积.
旋转体的体积计算中最容易出现的错误(在历年的试卷均是如此)是:
解画出平面图形,如图2-7-2所示的阴影部分,则有阴影部分的面积。