2013年奖学金公示单(学院专用)1102大班doc
- 格式:doc
- 大小:141.00 KB
- 文档页数:4
2013届毕业生2012-2013学年校内奖学金获奖名单环境工程学院:特等奖人数:(4)人孟红影江文文孙祎璠吴雨秋一等奖人数:(12)人陈兰李旦陈璐力慧孟丽君殷艳卞春梅郝晓洁许文静蔡俊美张怡俞璇二等奖人数:(24)人刘慎远翟菲陈雅君陈垚澎刘晴周彩云段修然王然李波胡燕杰刘星尤婷杨晶陆树云刘何平郝雅婷潘玲史梦姣孙雯雯高春英李泽华张建晶马骕喻鑫鑫三等奖人数:(41)人颜梅袁鎏鎏胡青张伟超刘伟张林恒张凯歌廖志鹏居露崔明明李淮袁君钱铖彬庄辉孙显程王健刘冠廷张建杨晓峰王斌李辰骁周倩沈荔钱泽霞吴冬梅吴秋霞陈丹秦柯柯席雨濛董海银周梅厉莉吴洁陈蒙蒙杨雨花马圆圆徐佳祎陈亚清花蕊包亚英刘忆骋数学与物理科学学院:特等奖人数:( 6 )人邹翠艳王敏李晴王伟祁健李庆峰一等奖人数:( 19 )人杜真真彭丹丹佟寒李小龙杨蓓蓓陈霞孙倩刘群孙明星吕正东吴莹华红飞陈天彤耿梦陵陈继周张文文刘霄霄胡佩佩张旭二等奖人数:( 39 )人张洁喻琳庞超群孙跃施莹莹张敏徐婷婷潘雨钱嘉琳包文文周肖张晓桐张倩程善亮顾一骏殷建秋沈悦璐王大超周涛樊冬玲陈红陈晓荣崔瀛董菁靳常伟谢云徐海峰史昌龙赵方超巫亮吴凡陈玉丹吕修伟丁添赵越莫琦肖翠花跃凯张欣皓三等奖人数:( 64 )人褚桥沈艳庞辰张浩卫青青陈凯华张婷陈招君孔婷刘大权曹璐璐李苏旦陆慧朱慧熊成杰季益梅沈小清崔聪邓暑萍王娅茹高燕吴伟军刘备姚凯月奚超杰秦伟郭湫钍吴金翠臧长伟刘欢陶志福张琼付明浩张旭徐亮袁兵高祥魏春林童长青丁辉朱旭芹姚兰赵晓洁邵伟程李媛媛李贺朱骏王生超郑贵鑫黄林林张俊李席席仇伟朱佳李雪芳李前文季檬孔令成钱梦婷张铭孟超陈熙董丽梅陶黎斌艺术学院:特等奖人数:(8)人张强房晓丽刘羽浩刘璐刘明轩王涵之陈倩伟郑婕钰一等奖人数:(23)人王宁徐静徐晨曦陈昌义程雁吴延智许文勇朱安源李换解梦雨刘帅李国勇罗艳艳李新星吕小龙于加段福芹仲娟李琳璐沈俐妮郭林吴春霞王怡二等奖人数:(45)人张羚李美霖王唱洪舒珣张洋陈志娟胡小星丁薇王梅李君姮龚连飞崔海洁邱月翟晓燕韩旭杜莉莉李咪顾燕青唐盛璐吴小娟王艳凤朱琳刘晓宇朱露唐斐然冯雨晴刘彬彬李伟眀悦卜慧秋戴艳霞李胜楠马菁王科晓陈迟李田田庞洁左玉竹徐萍张婷婷马心吴极张冉石纹景贾抒雁三等奖人数:(75)人靳伟潘艳花熊刘燕袁雪芬朱燕周家绪祝志倩徐静宁美莹于洪波彭露赵云谢寒张贵星刘宇维王冲明崔珊珊陈秀梅胡亚徽李佩茹王宏伟余慧慧刘艳吴超杨小凡夏嫣婷王慧卞林梅环贝贝李万里吴晓芹张溶溶张小梅胡莹刘慢赵金金王晓洁朱王磊刘云常静陈怡婷张念富束丽娟徐建孙成群秦余稹李杨左德威沈雯雯郭媛媛蒋甜甜李益欣李云霞赵晶晶车玲丁红军周小芳杨娟郭娜仲崇晓李洁张云刘苗苗刘入健汤无双雷珊珊王玲王赛赛江君梁兆勇孙星胡双王叶双王雅聃刘子涵外国语学院:特等奖人数:( 3 )人刘晓宛陈丽丽魏娜一等奖人数:( 10 )人候晨徐倩朱雯琴赵洁乔倩鲁琳洁刘青邵晶晶尹春霞任婷二等奖人数:( 21 )人姜懿珈郑瑛石坤培章春留王双停马生潇陈海燕陈佳蔡霞陈严明吴悦季亚赟王慧芳邱静左瑛刘璇余菲菲赵伟丽陈寓宗鑫香张小玲三等奖人数:( 35 )人蒋慧娴郭海萍张洁于晨菲王倩雯李苏园刘佳赵婷婷王灿郑梦张叶蔡敏爽徐杨姜鸳鸳吴美红丁爱芹屈会朱亚华徐文宽丁静范蕾邱丽兰杜银娟芮荷崔屹帆沈林徐丹孟骁徐传加张阳洋金顾婷张艳娟杨欢黄文静张婷婷化学化工学院:特等奖人数:( 3 )人王文诗徐曦郭倩一等奖人数:( 9 )人蔡玮吴小倩陈博张丽娟颜玉桂李茂媛郭亚玭周甜陈晓莉二等奖人数:( 17 )人董梦姣孙聪艳马文峰施燕鹏孙康杨洋万嫚嫚高源王琪朱崇菲戴宁平张驰李亮沈明张玉洁申美王雨杰三等奖人数:( 28 )人郭乃杭张洵汪明骏黄铖卞晓晨刘鑫张树峰姜伟阳杨阳苏扬陈雨衡思部王诗雨顾振浩陈庭程浩袁晓晓徐凯华施峰曹巧珍王沿方丁忠琴杨静沙春明宋政昊孙梦王欢孟祥云土木工程学院:特等奖人数:( 10 )人徐珊珊王硕王旭东王海江孙润曦蒋旭东李华雷韩飞飞苏川葛云菲一等奖人数:( 31 )人赵凤珍曹婷婷陈淑娟张德进周颖陈露宋明星王晓红朱良海汪丹丹潘闻闻李亚朱月陈雅南王瑜丁倩杜长松尹贝贝朱蓉马晓芸顾雯赵静张晓嫚瞿欢方诚梁若男张新满孟辉蔡田杨明英王士禄二等奖人数:( 63 )人孟宪旺姚金燕侍行涛孙晓鹏朱晓宇梁菊高世民陈聪余梦孙建壮张咪曹玉婷蔡成乐郭利张志黄永彬龚艳万其叶路慧况丽李红艳陈铃王兆南李涛李春城于丽霞汤艳红章俊南车文艳王锋薛春松王婷婷杨冰清封骏马璐顾明明钱钢李帆朱静秋王聪吕国栋颜凯臧雯雯陈万鹏王晶雅夏雪莲龚云周琴胥娟桂冉杨雄风齐中苗王乐乐王雯雯刁有为张国正孙灿灿袁丹丹黄海洋孙鹏帅邢威风刘广洋袁野三等奖人数:( 105 )人朱滔王志文吴科强蒋尧郑诣徐婕郝翔冯亚军张庆飞高洋陈志浩钱泽伦肖闯陈立雳肖其武王宇韩巍张伟张琦孟长征秦稳杨杰芮雪林夏亚平袁佳伟马骏柏海龙夏静陈萌刘骞季培培陈冰蒋元苗孔繁熙陈梦姣陈程陈海华徐骏王中欣胡晗吴平徐锡张庭恺许巍朱飞鹏相健丁长尉孙延盼王巍邢洁萍张昱许秋敏陈盼周弘诚张杰艳朱叶谢红邹春红胡清王琪谢蕾黄鹏陈海锋朱明明濮树丽楚淘刘羽稀施腾泉徐晶晶顾柳孙峰陆宵华顾明鹏翟昌骏费亚男王海艳崔小芳顾秀花薛轲顾冬谭鹤祺严锐籍朝阳刁娜丽朱仪建唐晓甜李凯朱培边兆旋张宏扬崔春晓孙安鑫魏名洋高志翔昝金强王超永宿启马亮孙伟金君锋冯晨晨贾义永周健耿双龙顾晓波机电工程学院:特等奖人数:( 12 )人张文波黄祖辉濮莎莎葛进国周宇刘晓莉刘洪燕卓永著薛瑶金晨孔晨光刘琳一等奖人数:( 35 )人唐宇牛欢欢周子易朱丹萍李泽新于凌云刘亚李磊磊张小婧朱晶晶顾敏孙婷赵景奇刘静雅万鹏飞刘芬李爱博刘立龙王彦博吴瑶黄晶晶冯亚菊陈熙亚祖慧敏张开祥陈晓燕余巧燕杨阳徐和平周雨蒙郑婷婷雷朝锋丁洁王香香陈美二等奖人数:( 70 )人赵恒茆文侯盼盼常凯王扣朱李娟高娜郭影影李宁虞威梁丹戚薇薇黄黎明熊成意许佳丽王涛朱红玉陈兰吉许锦凯郝婷婷张玥李广贤沈佳佳佘晓飞王辉何佳诺陈瑞吴晓秀王健波陈少东柏玥蒋云陈通马永王霜萍王梦繁黄月月王琳董云武王鹏盛雪琴赵文洁苏寅丰吴佳伟王锦张宇成松松潘晓晓周永洁姜梦金吴雷黄睿王文曹春骏杨冬玉王建斌曹庭乔恩强沈军柯孙绪达杨序月梁晴焦祥田国伟张岩朱成杨二枫杨三林吕梦秋薛飞三等奖人数:( 116 )人高力胡学卫顾丽丽俞立立胡岩孙林苏州邱伟朱精武潘杰张秀丽姜晶晶周瑞费芳胡锦成贾宜卫华佳杨新花郭云翔朱烨王鑫王静朱大鹏孙伟钧杨婷邵晴晴张明明王发瑞苏波亮袁士俊周小飞陈前祥刘雨妮李霞张琴裴子祥殷春江郑清之郑妮郁鑫仲啸峰杨申涛张年马超邱亮郭海洋杨洋周蓉蓉董丽君陆英陈守乐俞蕴哲王超周姚王杨葛路伟夏雨张俊杰吴明陈浩刘明杨阳顾凯驰周铭铭高鹏雅陈云侯军军王昆陈国骏张国庆徐毅赵健朱亮亮张钦周希凯孙继红顾鸿鸣李伟伟屠仁刚庄杰徐杨孙家伟韩扬吴春春吴捷李军伟冯伦洋谷攀张国胜朱培超穆群群施凯杰李伟韩守贤李文龙朱学康张诚贺锐叶玉洁吴鹏陈浩浩吴成保陈涛王森湛承东孙猛解松鹏胡梦梦齐同彬王骏李倩谢景利章海霞徐文宇王成王汪洋人文学院:特等奖人数:( 5 )人黄翩戴杨林王翔宇许文蔡肖肖一等奖人数:( 15 )人凌丽潘沉卢娜胡苗苗许梦颖钱佳翠石柳花夏蓓徐媛媛蔡平平王小燕吕文园李昀烨王建云王安琪二等奖人数:( 29 )人章洁吴梦芸蔡伟袁孝扬孟晔冯霞苏美玲冯洁权玉恽晴孙宜乐陈徐孙雨瑶方程朱彩萍张贤芬石敏叶诗雯朱娟顾雨婷刘欢朱敏慧胡玥蔡静雅邵彩云张文君陈妍伍星星朱加萌三等奖人数:( 49 )人许芳吴秋雨殷寻乌天宇顾丽丽朱红庄胜缪庆婷周烨徐芾苏珍徐含杨阳陈晓兰寇恒平陈萍赵阳张敏戴君言李雪姚慧苏华袁园张小苗施令媛张文宇刘冬琴宦晨露耿海燕徐艺文薛晓燕姜孝李宁王蕾蕾单梦瑶毛立未于孟娇倪慧慧张学慧黄丹丹刘夏李秋丽韩雨余伶艳王雪平陈丽哲徐莉邓文缘周佳佳食品(生物)工程学院:特等奖人数:( 7 )人孔璐邹琦樊继强卓玉凤陈亚庆伏曼王琪一等奖人数:( 20 )人田杨王然牛亚梅徐秋艳陈芳彭甜甜周钦威顾蓓蓓周玲曹婷婷王娅陈晓倩张培培周洁王灿徐小伟黄峰徐源薛陶陶成建娣二等奖人数:( 40 )人柴文波葛善臣于凌波严婷华丹曹芃蔡小燕王情徐洋黄海亮朱玲玲李益多王红云夏义泉王举婷徐杰杰郑进江岩陈婷朱兆丽李芬钱小丽刘彬倩白雪纯宋海燕李娜庄霄玲刘姗曹晨玉沈康周道波洪梦叶顾霜廷孟庆翠王帅岳剑岑李铭明赵云曹锐徐飞三等奖人数:( 66 )人王秀秀沈辉陆丽婷苏颖朱蒙蒙彭新华于天相何小莹李敬李凯燕陈智杰陆桑桑马文娟陈佩芝李振宇陈琨江徽许诺王庆芝蒋涵钟培培祁建婷周金芳王焕焕孙伟吕继丹张铭麟顾陆杨蔡俊良韩彩云江越颖奚兴祥陈瑞琪肖杨张军委陈文君陈圣勇徐檬鞠晶金雯霞纪伟蒋倩张永柱房明星王静娴季云陆晨袁娟蒋海侠吴双双刘飞刘小嘉赵涛陆倪娟吉海荣项达军王康丽王雅陈萤袁野沈紫云李玮曹文文朱小嘉秦帅何英管理学院:特等奖人数:( 15 )人冯茂良张芸肖旋邱文君高巧玲孙成魏爱荣周夏夏王晶晶徐通苏婉曾丽娟刘苏瑶吴昊李银娜一等奖人数:( 44 )人张金淋苏丹施静唐丽娟付双梅卜艳平徐丹蔡同黄吴珍红王龙霞周澹窦艳莉朱春花周月蔓杨芹陈月月赵艳秋刘丽丽闫梦园杨谋娟沈君慧陈醒何佳敏戴发佐周丽艳张蕾陆秋艳杨海燕刘佳雯王琳顾平朱珠徐艳婧孙珊赵阳肖春惠张宇沈莉莉周静朱季娴董小静李婷婷白婧周莹二等奖人数:( 88 )人顾洁姜淋淋张媛媛张颖董岩岩张亚黄娟张洁陈夏司苏琦汤岳琪蒋苏兰朱京莱金万刚马超曹玖华陈一太王远超赵洁刘金金把镇宗张健徐为为袁丹杨晶晶张巧华孟娣王倩马海梅高飒姿郭静秦照丹王玲玲张魏卫程娟陈世亚刘加茹王萍汪倩英徐亭亭俞海娟王璐王蕾邓颖丁荣荣吴姗姗徐颖闵翔杨傲李洁吉小月柏洁沈焙焙黄学领陆婷沈霞毛文骅胡静李蕾周欣宇朱红玉汪宝霞王赟谢凤钱明轩宗律张秋花谢凤文陆娅储开美陈菲菲王璐邱佩芝董敏李萌高翠鹏戴婷婷应丹妮李玉玲赵丹王睿喆李娜娜虞静朱素琴杨丹丁亚培李洁黄丽三等奖人数:( 146 )人李双剑李珊汪燕仲迪程慧芹单林刘芬芬胥小献龚佳楠董蕾花凤敏唐传星王红刘田王玉侠张建金祖宵李莹莹谢伟伟陶炎王凯悦经中伟周霞葛娇王智慧周晨雨葛娇娇王青青周培培张丹丹张开添季飞尤丹李聪朱雪媚罗甜姜菲朱君臣沈夏波崔苗苗孙正艳史杏杏朱甜赵双燕王婉欧昌玲蔡碧玮葛敏吴月月李婷婷曹元虎赵影影王会敏陈倩项汉嵚荣瑞王婷云杨婷马婷俞娇王桂林金彩霞罗万成孙静张洁魏晓慧张礼睿钱滟淋宋亚洲吴敏付琪秦双双沈春红严生辉葛培张磊管燕月段培刘群沈丽丽朱健华袁浩玥潘斌羌玉梅苏清丽陈飞虎陆薇陈倩倩刘欢毛敏陈燕舞杨语婷汤柳芝严美娟周冬平许红男顾文娟陈霞张亚王梓宇俞振杰张静仲利萍王思思朱庆庆孙佳菲杨环宇陈楚楚朱梦婷颜小娟钱海萍贺兴柱袁伟伟周剑婷仲杨李雪冯兰茵顾晓芸孙艺萍沈晓迪段玉力沈倩刘金丽姜雨徽孙灵解晓丽张婷张颖卢淑慧尚建芳昌志月赵晓芳周博文王艳丽景薇张婷婷张怀月崔晨魏祯袁小英郑丽娟吴序芬王馨陈玲许海燕薛云芸信电工程学院:特等奖人数:( 11 )人陈丽如林诚程波王涛陈强赵婷婷朱丽婷吴俊祥黄千里何峰刘红一等奖人数:( 33 )人徐琳仲钦钮赛丹蒋晓峰戴秋梦刘振光施秀峰杨广政周培王亚南查雨婷张亚旭葛柳飞陈伟严浩曹为玮付军卞慧娟陆婷张恬周成飞宣玖成莫守杰房茹祁力张超超李颖王旭辉王宝蕾朱帅唐国梁王晓峰吴亚梅二等奖人数:( 66 )人李琼储姣吴永超季春荣姚佳雨耿玉红展晶晶张婷婷强薇潘卫蛟李田田袁慧新陈香徐进珍陈远波於春新贲芳李天益蔡菊萍钱鑫吴凌云杨皓施军徐姗李娜朱孔芳孙媛媛王璇杜秋芳顾园园徐成胡适洋王小伟张东梅陈冬中贾智慧王阗姝孔为为袁涛向德铭孙士闯杨桃王静温春苗祝保莲沈丹丹张艳红卞小玲陈峰孙瀚马文张武华周婷王晶张伟伟王康肖圣兰王慧张丽丽马敏张家威王仕娟林庆群胡象明潘小清陈思伊三等奖人数:( 110 )人井刚山赵骏鲍海存秦余涛张志新崔恒月张锐朱园飞顾大庆童玲玲李晶陆皓严永王银徐婷张伟朱俊杰陈滨陆涛孙东俊施淋华潘义云孙伟师蕾王敏张亮周钦豹张正帮邵明腾衡亮刘玉蓉乔涛陈海波陈思敏侯敏袁志卞庭帅张贇媛李泰饷曹韦伟钟信星顾星星陈飞许森李峰黄家琳冯敏周欢耿天翼段亮王骥静田兴琅裴洋帆翟晓斐康维维徐智浩朱荣博周梅张家祥曹清梅李荣成陈香香程宁华黄小婷徐敏张建彬高翔李江峰沈苏豫夏霖沈阳贺晨阳张媛媛丁海芹张亮朱平樊鑫鑫季弘扬宋倩倩袁牧陆佳艳翟平平陆双双李帅杨阳罗来营王振王斌张盼卢烨陶红烨钱东敏孟祥列欧俊君陈捷施云凤祁思吉房雷梁扬炼李胜王海波赵月润李兵张鋆张麟燕钱云慧黄晨宗培培周霞夏晶经济学院:特等奖人数:( 8 )人庄青娟胡绘敏李靖成小雪王海迪陶慧陈晨纪海林一等奖人数:( 23 )人朱接弟张婉萍王汝阳张素梅臧婉邵丹凤魏晓婷郭雨莎赵静王容博朱列文张政王莹王梦洁郝荣梅朱敏刘莉孙欢欢尘晨张继芸王紫嫣孙月芹陈欣慧二等奖人数:(46 )人刘肖肖刘威含朱琦丹赵思思吴梦霞姜丹冯倩倩王聿之郝雪雪姚慧娟徐茂金周爱珠姜玉婷高明娟丁秀婷黄路玲赵桦张凯王丹吴思诗沈晨曦吴垠菲朱柠石旭冉李艳李珊郭潇倪嘉颢肖霞娇宫晓惠袁姝菡羊琰吴红彩张瑞娜张洪波朱丽王翔倪爱博刘飞朱海芳李丹丹吴文华苗芽芽孟巧云陈倩刘莉三等奖人数:( 76 )人崔佳佳高原陈文媛陈晨葛星池施倩倩陆俊蒋秋蓉卜瑞瑞姜孟丽和豆豆高芳常旭邵婷婷潘霆杨耀郑盼盼鲁进萍吴爱芬金海琴陈倩解庆苏杜超张婷汪香香任锦盛张飞郑专陈启祥周敏张辉李媛媛孙画王绪杰王钟沈冰冰董策吴丹吕秀邓莉莉赵宇蒙张田祥沈丽娜史婷婷曹敏余海玲崔建国燕蕊卞彩丽张月娇高翔刘先锋邱晴庆蒋艳付小宁张敏李心天章永平姜玲萍宋倩陆晨晓秦一天张景杨晨杨翠云李星星刘越王国庆黄敏王晔刘勇张涛王珍珠沈卫达邵长瑞陈倩教育科学与技术学院:特等奖人数:( 2 )人车丹陈晓一等奖人数:( 5 )人杨阳唐蓉徐璇周春莺曹克韦二等奖人数:( 10 )人周颖浦佩红钱志炎张静赵海伦刘丽娟李凤周磊燕陈占艳姜婷婷三等奖人数:( 16 )人徐超朱甜甜杨晴晴马晶晶王玥婷李甜甜周慧伏永杰季飞陈丹丹胡晨陈展张鑫翊李海宏薛薇袁孝华。
班级奖学金公示范文模板(精选11篇)班级奖学金公示范文模板第1篇尊敬的领导、老师:您好!我叫xxx,20xx年我很荣幸成为我院的一名高校生,怀着自信与期望我开始了崭新的高校生活,在过去的一年里,我始终保持乐观向上的心态,时刻以高标准严格要求着自己,同时妥当处理好进修与工作两者之间的联系,努力做到全面进步。
在进修和班级工作中取得了较好的成果。
现学校开展励志奖学金的选拔工作,经过和自身条件的比较,在做好心理与思想上的筹备的状况下向学校提出申请国家励志奖学金。
现将在过去的一年里取得的成果回报如下,请学院领导、老师审查。
一、家庭状况我是一个诞生在农村的孩子,住的是土砖房,家里经济条件一直不好,家里的经济来源都是爸妈务农和四处打工挣来的,妈妈患有胃病和喉疾,奶奶患有胃病和甲亢,爸爸有轻度伤残,每年都需要一笔治疗费用,且我读书开支大,所以家里经济比较困难。
二、思想状况我在思想上乐观进取,在大一下期的时候想学院提交了入党申请书,经过审核通过后成为了学院第十九期入党乐观分子中的一员,这半个月的培训后,我顺畅的拿到了结业证书,半个月的时间虽然比较短,但是我学到了众多党的理论知识。
此后,在严格要求自己的同时,我还不息鼓舞、援助身边想申请入党的同砚,援助他们不息提高自己的思想觉悟水平,鼓舞他们乐观进取争取早日加入中国_。
乐观组织、参与有关党团活动,保持着乐观向上的态度,为争取早日成为壮丽的中国_员而不息努力着。
三、进修状况同学始终应以学业为主,从入学第一天开始我就从未放松过对本专业知识的进修。
在课上始终保持端正、勤勉、谦逊的进修态度,乐观协作老师教学,努力提高自己的专业知识水平:课下虚心向同砚请教,勤勉预习及完成老师安置的作业,通过不懈的努力,我在校进修成果优异,大一上学期是班上第五名,大一下学期是班上第一名,在学好专业课的同时,我乐观嘚考取各类证书,现已通过了全国计算机等级考试、全国平凡话等级考试、中级修理电工考试等等。
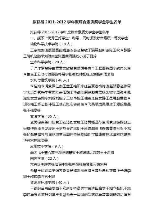
拟获得2011-2012学年度综合素质奖学金学生名单拟获得2011-2012学年度综合素质奖学金学生名单一、授予“优秀三好学生”称号,同时颁发综合素质一等奖学金动物科学技术学院(18人)王京晗刘璐康健聂懿娟潘淑会赵慧敏于满满赵新德陈玉秋李静静王晓帆赵鹏举刘琳由莹张雪曲海强刘小溪丁丽玲生命科学学院(20人)于洋洋罗慧婷曲素素文欣褚慧颖厉书杰辛玉翠邢鹤周宇航肖奕博李柏良王云欣付琳邵鹏朴晨宇张衡刘帅杨桂芳刘智新周梦晗水利与建筑学院(46人)李佳鸿李明慧侯仁杰王莹王艳阳李红芸贾春梅尚涛赵路静赵伟森宁志远郑秀梅牛智勇陈岳阳魏士华战佳朋徐凝睿孟杨柴树宇周强李佩瑶史文龙曹翔宇刘畅刘婉宁王冬毕婉王仙姜泳倪文静王星燏赵雪峰李玥陈曦王怀志张伟超王瑞安张宏谷苗苗李飞吴顺成吴雁冰于源段晶晶张玉强高钰文法学院(35人)武昊徐荣美申佳慧王毓琦刘文成王琦黄福泽孙袁明慧赵振扬赵志兴莫佳煜周金龙段阿玉伊然吴迪梁玥王彩婷邹雪飞许菁黄潇彤贺小龙张忆张慧娟杜欣晁丽坤董波周佳桥徐晓娟刘宇瞿康莉林冰洁陈岱琪李华英宋林陈晓美应用技术学院(9人)高孟飞王慧心葛兰邓健刘慧智王淑媛魏元超韩玉王洪梅园艺学院(22人)常春玲李胜男张陆琛李娜张新妍张振翼张天姝宋丹孙慧王绍娴霍学强齐晓雪杨婧路丽君潘学臻孙晨林奕寅汪子琦李娜王雅茹李胜男王娜资源与环境学院(40人)王盼盼吕书函贾茹王欢赵剑桥高思宇荣迪田雅雯于知立张旭王喆李玮马泉来赫轩刘洋王业融孙天一闫凤丽贺彦斌马萧萧刘璐璐胡洋石伟王倩玉张悦燕鹤天殷继先李晓丹杨博宇朱迪贾晓琳刘德新代宇楠王玉峰陈子豪张小雷滕玉莲李想李蕾刘洋荧国际学院(2人)宋俊儒孙晶理学院(8人)周晓霖艾鹏强李媛于萍于金明周颖燕张向挺卢琰琰艺术学院(38人)高建莉席爽李夕宇王培鹏张琳向晓迪徐亮覃静静苏杭杜丽姚真张艺馨侯作杰王莉丹张天然王宇婷李园园周一夫樊佳欣宋扬华庆玲曹宇柳思宏焦衣然王晨曦张圆圆金雪莲孙璐张城玮刘海悦赵媛玉卞怀琛韩十子赵珏乐张蕊兰李树奇张皓袁佳昕工程学院(54人)贾胜廷何梦莹李芊霆滕莹毕福新李海波杨纪龙冯夷宁王琦纪海鹏鞠超谢瑞桐刘林邵菲邱子键王小涵朱慧轩李雪松王越谢伟徐允飞贾儒杨文盼任洁高亚楠张韵郑玉芳孙樊博刘江波李义德刘铱李林林穆明烨刘峰路祥赵嘉帧安久贺梁邦友祝贺曹斌李树伟李晨曦韦锋牟宗林宣可欣李祎多苗蕾蒋艳王亚楠张鸿超圣亚春改广伟田波符鹏嘎农学院(24人)于萍佟蕾刘胜男田镇齐汪妍彤刘禹辰谷月彭劲翔臧晶马芳路柴继莹曲丹阳黄鹤刘丽敏袁丽君左师宇张正南曹扬杨姗邢健刘凯丽李丽杰孙名书林美静食品学院(47人)王瑞张弛于子淇王健健程楠于冰兰任欢栗海涛许金龙牛海力石云娇缪喜霞吕临征王元徐龙福丁俭曹飞扬殷丹婷李俊慧孙琳琳高茜齐鹏辉李媛媛石笑涵田雨张海洋张丹张旭徐靓陈思赵璞邵慧敏李小红方曦江元春子杨金姝张晶曹广宇王宇马春敏李梦琪路佳明赵士杰冯婧时佳张玉晶许亮动物医学学院(19人)徐长赓金秋实史晨曦郭景奥王森黄洁肖敏高凌飞王冰蕊任婷婷陈蓍薠郭超群沈清爽王培解颖颖邵怡岚程新越王莹莹陈苏电信学院(53人)赵姗王娟董建伟那舒语宋金龙王悦徐娜赵婧王亭亭李玉婷丛宁程雨航祖迪纪楠姜楠楠郭月秦月阳王红于文潇杨磊刘霖方慧敏王金霞郭纪家张桢王基宇王晶晶程星宇郭冬泳李瑞马峥王冬雪邢嵩岩赵莹杨雨晴李冬莹张晴王禹婷唐清泉杨欢黄杏尚芮王楚菲刘莹孙笑非戴婧马佳玉门金琪邵天琦彭博邹丽爽张久子宫采炎经济管理学院(203人)胡云翠单宇仲丹丹王晶莹雷海燕高强彭勃陶颖吴婷婷张鹤史璐阳殷慧慧李洪羽谭忠昕陶艺心李孟茹赵文张天娇陈晓奇纪婷杨爽张婷王碧君苍悦姝周珊珊王爽王照涵郑佳琪马美玲李嘉昕范嘉菁崔丽娟辛岩蔺晓丹潘柏邢美萱韩冬雪孙婷李玲沙秋林杜新阳许璐王雪洁王雪瑞侯阳张跃东张媛李金安李春红马起彬于之光陈璐刘相羽孙博洋徐博文张思敏李成程范巧慧穆燕鸿李璇张楠楠齐妍陶媛王沛潼王禹心崔源升刘学冶尹延艳陈喆徐泽敏王琛崔欣窦玉芳池乐竹余美琴王淑华李若雅王辛馨辛雪琼赵雯马子越张琦王佳悦黄梦楠王柏翔于超李思瑶姜禄虹王天予马宏飞杜晓丹任鸿鸿张歆歆赵宇希顾盼谷雨马世野王雨琪刘尔东孟祥宇康丽宁罗静王启昭倪婷婷王悦邓凌霏王倩菲李丹瑜王星竹唐钰洋王瑞聪邹贺滕子甘松灵张桂僮李一鸣庞佳炫陈梦莹于淼王蕊刘璐汪雅庭王天聪李雨涵张徐阳孙雨萌张伶俐陈亮刘婷婷张馨月李婧丁宇彤张玮琦栾颖王舒萱贾浠琳成浩高毅涵王文拿房宏宇赵雅琪时畅马哲君李文佳毕鉴琪孙齐赵美馨姜彦超马雪婷刘璨王淳李梦琦卢柏成赵天蕴李冰心果歌高美玲刘鑫颖王鹏周宁张亚如孙勇鑫吴爱珍吕瑶李博赵思奇韩柠霜刘冠男阚红莲李林王天旭孙影范瑶宋丹丹刘畅杨晶茹姜晓文孙健张聪孙瑞琪倪绍鹏孙畅王闯杨博蕊于子桐孙楚朱雨桐谭旭兰乐乐郑雨诗王心雨霍青于垚陈雪菲陈凤陈洋盖悦兴姜懿晗李艾吕田王佳惠杨刚赵迪二、授予“三好学生”称号,同时颁发综合素质二等奖学金动物科学技术学院(36人)邢天宇杨金山王晓璐王越姜晓娜吴华琳杨宇吴长熹王惠婷程睿陈孔亮卜宪勇李爱雯姜雨轩司洋刘兰郭晓盼程敏张琦胥佳孙悦王丽莎高梦莹郑欣孙玉婷卢祥玉赵鑫雷宇龙扈静李春玉高敏柳广昊谷景龙宋珊珊李敏冯佳炜生命科学学院(46人)王兴蕾刘琪李凌雪李新春牛坤狄岩李欣竹王清姗祁昕张阳杨馨张晓枫李芳芳国小燕曹蕾王梦鸽杨修竹张林雪关雪娇邱琳琳魏雨泉张欣欣张寒雒国兴战世鑫张瑛杰程佳旭马孙婷孙丹丹周晗张仲文付海鹏张克俭高珊董继红王雨濛赵宇新王宇萌刘晓杭张敏娜李梦飞王霄科高爽刘畅张童刘畅水利与建筑学院(98人)赵丽丽许玉霞邓雪娇李旭陈晨刘超吴春东兰天洋张玉庆王湘浩刘宇佳唐变运于彦敏乔雨姜明雪卢静孙超楠李阳赖宇迪刘兴超邱春芳密大路刘佳敏黄荣刘文婷乔琳华孙继鹏路豪杰梁乾平王丹周岳晶刘烨张硕冯鼎锐彭雪巍于雪健朱德芳贺佳薄祥冬于舒航张清航于文栋赵佳慧刘阳谢利红公维龙毛迪孙宝玺王玉丁星臣王月璇吴娴赵学丹曹永启孙瑀赵蚰竹李嘉旭赵磊胡昌龙陈雪乌吉斯古楞刘爽原志均柴宇婷黄雅楠朱世垚尹铭璐高丽菲邢行李文研倪稚翔张璇袁野张瑜王东来骆肖李思逸刘琦峰吕水根王智威王宝鑫张敏尉天凤刘梦涵武定国周月吴龙宋清涛段宝明罗永吉王星李尊题兴博任曼妮王潇涵韩佳芮褚龙万博文法学院(69人)翟宣任李柔思张亚鹏朱慧杰陈曦晖董彤彤战戈邢缤文方海旭房欢欢杨宇婷胡竞哲王研张馨元王红利赵阳李名扬杜上烨王爽聂静谷思宇毛雅楠宋宇刘欣赵晓方吕春兰李越刘盟盟殷菁遥孙书婷马超邹惠韬马妍洁李明娇陈嘉琦姜红波陈思慧张露莹庞坤陈赛张迪杜丹堵红果肖思雨魏春颖蒋越张占富程康周鹏刘胜男唐文生高铭刘文婧苏晓朔郭波李瑞芳李银郭超杰苗露露李存赵姣姣潘勇郭忠雯李晓洵张伟东张金莹宋勇张雪莹罗丽荣应用技术学院(27人)张雪白丽丽许玲孙海婷苏海英贾雪雁刘畅欣梁春也王金园陈伟健付悦吕文静李想刘婉莹毕美玲张南星沈丹阳丁立香李金香马静马丽唐珊珊郭婷倪洪光周强钱江雪朱志国园艺学院(49人)尹冰卓丽李永杰张雅楠梁楠李爽郭程程陈皓赵文怡许文超田雪张鹏姜佳宏石彦君高超王爽刘东旭郑清波王娟于娴么迪张迪男张舒梁新冉王正洪徐伟朱艳茹刘计璇杜玉玲乜志颖郑烨辉任家仪何百玲张曲薇杨洋任远杨扬崔轶男王克健吴旭怡王立雪董珊林峰潘晨慧郑涛陶贵耘董婕赵明明张微资源与环境学院(91人)陈来春赵晓蕾宋冰冰高飞马晓东田秀丽王可心李佳桐程迎轩于晓雷关志新范骞陈红梅李玉琢宁博奇潘晓轩王玥宋俏孙旭玥岳鹏飞郑浩杨一佳李倩冯露田仲鹤李爽李彤赖振博李婧康苒王阳杨子张英秀高磊宫洁琼李境昆王娟郎厚森乔冰任丽靖王晓琦姜兆臣刘思妍田家旗王竹叶桂琼尹美娇武文婷冯学敏侯筱萌江群刘佳伟乔晶晶刘宇辉周梦凯毛雅楠马昕赵永鹏李丽鹤刘知林张佳琳张志民杨萌薛更李欣苏满杨双回家兴赵家仪赵旭飞谢月王晓晨张红梅张倩王淼淼李秋燕刘璐婧杜帅李寿涛王梅吴琼曹金刚曲晓涵刘宏伟王晓丹郭曦丹吴瑶金铭李伟丹李玖燃鞠艳艳国际学院(6人)戴浚尧高雪丛琪孙旭管文静郭洋洋理学院(21人)应洋洋崔婉莹刘伟李超屈玉霄黄薇薇李娜王冰洲龚雅楠丁雪琪孙宇王雪龙张彬彬张秀玉任园谭景奇马骁媛杨晗晗苏睿张亚楠钱喜秋艺术学院(80人)杜兵侯月郭珂牛爽吴凡王振刘漂陈爱池慧张海湾周泉杨彪王璐沈浩杰吴俏范文静张丽娜李静刘兵秦会娜刘俊松吕芳付新丽乔严徐秀秀王鑫群刘闫张馨元肖爱雪赵春宇陈琬婷刘田雨李宝华王云鹏曹岩邢月菊金玉蕾邵烁涵李若楠王伟健徐立阳陈一横刘京温斯文李月张乐赵海帆田维涛王嘉玥朴美娜李佳玲宋旭王雪婷柏玥婷王贺胥天抒柴清波滕慧玲史东旭金雪娇杨雪吕金亚常俊平岩任真真鲁丽华刘婉秋杨楠周霖靳晓宇毕莹何怡凡张琳李文佳李奇李博张栗玮王丽红王晓敏王刚工程学院(107人)高敏慧姜岩王世雪曲頔石慧杰许佳琦罗岩张源倍张盼盼王艳花董建奇卞希龙赵阳梁丽娜黄纪强赵洪阳韩玉洋陆野刘延昭刘旺吴金山初晓高宏伟关兴李彬彬唐文庆田菁王洪磊王欣杨海军王亚飞赵玮张心雨张忠宇齐中月颜世东王珊吕思聪王会鹏马梅琼黄健曹众王彦宇司艳新孙婧李朋飞王天骄郭凯尚琴琴孟繁超王伟伟宋嘉慧尹洪达韩兆桢高薇娄丽杰王昊相斌斌廖雄王嵩鹏张烁倪永吉徐阳靳永强刘振英吴嘉炜李光跃周朝张富有韩冰李志红娄健杨奇林春燕李清雅高振铭姚尚岐魏宏福曲歌徐百双林春雷杨明达刘志平于飞刘诗琦李林林王子刘全徐琦赵莉华庭开丽王素彦李夏青李丰王农祥彭良云月邓红红汪家南孙婷许刚伊鹤楠胡宏男温明宇付佳褚少阳陈锴迪段华威农学院(47人)孙丽萍王桂林林颢丞尚淼李凯旋王晓曦张晓慧李静胡英迎许雯雯祖红爽张晓明李长育董丹丹张丹丹马月周颖赵娜潘峰王卓茜李佩瑶邓乃榛孙旭彤刘洋程子航郑明明林萌萌井妍陈露谭文雍刘月庆郑瑶党悦嘉纪广影李娜周璇王欢项丹丹刘蓝坤张鑫鑫付春娜辛柳颜双双常汇琳邵鸿菲秦雪玉潘刚食品学院(124人)罗晶刘金阳刘晶晶韩飞飞刘玥婷张琳琳王冠珠于涛张巧智刘书云曹宇彤付淼何扬波郎朗王彦璎耿文婧卢秋爽程闻陈慧燕王文龙高辰哲孙琦超王世伟王艺霖苗露朱丽叶李波杨杨得鑫雷丽丽冷宇曹平平秦琦李贺佳洪博高巨颖张婷婷李德远李秋慧依姝美马琦超李晨伊钟鸣扬杜玲玲赵瑞雪王楠楠杨瑞雪李欣格李方琪刘艳乐刘艳丽范颖王硕余倩段云霞杜秋安培元梁超洪岩孔庆敏李云凤刘欢欢刘瑞孟令人曲佳林苏笑莹王琳孙伊乔王山王诗琳王琰王洋赵艺周爽张艺桐姚强李庆勇崔石阳袁小雯齐晓芬王嫱左白露徐婷婷王璐陈萍宋宇彤廉洁李明雨何佩遥张丹丹任琦琦王玥马美恒陈芳李景舒曲秀伟周英钰宋宝磊裴辰慧史文佳王爽王文博金铭王晓彤初宇昊王美楠张铭予王丽慧李喜柱夏琪娜王晓琳王心迪陶崇龙刘鹏航王莹莹李爽孙环宇范荣荣方珊珊赵嘉琪赵贝希王雪刘文婷邢瀚文赵倩玉动物医学学院(44人)王小婷黄婉月谭思然李丽娜刘琳孙幸霈吴煦旸刘琪郭禹喆陆天奇夏俊罗文婷孙莹刘煜杨天殊白鸽张斯雯黎晓娟侯瑞张丽楠杨宝琳别佳陈丽君景朝阳胡云皓李儒治程楠郝丽红陈晰张鹏春赵海渊殷慧慧李翀高雪韩冰李雪楠李欣彤徐佳李保孙刘妹于洁白云云杨鹏王习文电信学院(112人)李彤李亨张丽影郭莹赖婉清丁一韩冰李琳潘淑凤刘春宇王宏阳孙玮璘孙志佳王小予王文玥张瀚予张云超赵东华李海凤唐铭芳时启凡周蔷余芸菁江丽丽毕然马明月仲一村徐婷婷沈勤博耿忻元薛博文姜桂华李楠苏晓萌王琳宋占东孙菁莹张佳欣张璐张云帆锁佳仁王新春吕信超张伶鳦胡路苹董思彤王会龙李海星潘宇情杨柳张洋李媛张瑛吉刘珊珊王晓娜李想钟奥张雨翟倩倩关静董云玲杜博雅寇君婷季婉莹任雪梁莉汪婉婷唐丽莎于泽禹王琦郑萍赵丽君刘明军隋胜杰于国航王兆晨歌欧阳辰鹭姜昭羽张倩倩李成建李鑫康成吉范毓晗史少涵陈雅岚陈志祥张紫薇苑秋雨施展齐格汪清张超若张晓康张巍张赢越韩志伟李仲悦张德华王瑞琪马美睿李婷婷汝翠翠李明君刘盼王述童健康胡枫竹孙喜蓉李健刘平旭李云鹏张丹经济管理学院(410人)王晓婷孙明艳赵丹丹杨博刘娜周键朱青玉潘宏媛李红丽姜沛然李静贾冬琳胡欣瑶刘铃彤齐岳陈良宇王德昕顾玉鹏郝云霞关立珊闫瑜莹崔魁丽郝妍周素艳杜葳姜阿敏谷岩凌冉朱逢源赵顺王佳瑞冷迪姜琪王爽刘海瀛李婷边艳娇白钰晗于晓文许丹赵婧颖周洁沈剑郭帅董翰博陈楠谢凌玉张杨洁韩超李英伟刘静岩武天琦宋茜高月明王丹雪李振新丁一王浩翔张绮航李婧雅李洋洋张晓棠冯桂宾苏少锋盖鹏宇倪闻阳史文冲胡婷婷庞瑞张茗淇吴佳璐黄捷周红刘红年张彤田思宇姜欣彤裴宇迟婉璐杨建民白丽娜温馨苏振谢婧博何宜燃刘思楠苏畅杜旭王鑫马欣曹月赵宇宏韩思宇邹利尹慧丽陈禹含薛菲董莹琬吕婧嘉谌艺博姜丰时万兴宝李晨杨曲思梦王楠刘胜楠侯丹迪张舒怡李爽杨雯雯武思雨姜珊翟玥杨陶金英姬王雯婧张欣范玉立武子琪张红孟佳钰刘畅史梦菲王一博刘献婷张弱杨浩邵翠翠刘杨乔俏傅佳李天一李孟楠陈佳茹王衍强张语芮陈佳男贾静曹立英许艳玲阚鑫鑫赵健赵会杰栾天刘佳强曾媛孙岩李宇佳徐文博徐千闳季珊珊刘真朱名扬朱宇季薇郝秋实张灵光韩冬明吴美佳于子桐张璐瑶李林郑莹张帆张宁郎毓琦高杨娄佳张一豪孙亨浩张琳王玉亭陈雪峰李杨徐景诗肖灵谢丽凤杨融寇文惠渠翠丽宋丹丹董鑫朱晓红邵彬彬张建铖王楠楠王野张心孙明亮白妍珅姜鹏丁雪娇万孝群闫雨李晓航王荣倪铭泽吴晓婷张元玉姜建男宋婉约宋微刘欢欢徐洋洋候馨怡孟醒张广健刘怀远朱坤杰郭思源丛琳包新祺董一迪李佳宁姜龙波徐洪毓刘明明柳春男李俣桥魏彧彤杨爽孙玄策于美琳张婷陈璐璐宋瑜申岩岩张佳曦赵彬楠王艺萦王含旭崔灵蕊张凯欣李珊珊邢海洋陈赫男任希文李知遥孙圳于頔宋健赵宇杨皓侯新铭闫孟怡孙婧鑫关振宇李琳曹艺馨杨贺马思雨宋泊含张晟楠李妍纪文瑶朱韵哲任雪娇张艺莹王晓宇吕林静孙珺孙梓铭慕佳男范淑怡邢维阳郑天文高璐琛苑懋林赫明睿张琳程晓琳王玉峰刘昱彤陈倩赵芷晴李冬菁仇晓阳孙晨晨张静雅陈曦毕盛曦潘静李博顾智行杨柏隋柳徐越马欣欣张航赵子萱秦琪李晓梅毛岚玉康馨月张熠唐越魏君益王晶张海艳梅蕾王曼乐齐宝玲王宏启张春宇李金默王羽佳王金通陈思佳宋天玥陈婷婷李雅婷高彬赵佳邢仁斌廉文博王璐怡李萌萌王梦莎施凡基王硕贺丹刘杰丽李兴腾李同旭康利腾苗李琛张婷婷赵楚鑫李晓哲韩露露杨永妍张文馨姜博田杨先站艾丽达马婷焦阳王君珺温欣赵婷许世博于凤至孙颖刘怡黄志佳耿子云周芷伊窦鹏扬张笑天鲁晓强李鑫未安昕田苾蕊刘慧董雨李佳黛高媛关晓然张晋源黄丽李学森施越刘雪婷罗维姜明志宫宛序刘洋徐贺邱晓明李雪微张春晓董行冯寒鹭邓悦赵家宝朱文博王萱宁王保婷马双园杨帆颜雨欣傅琳喜歌张妍妍陈咏佳张梦萍张弘扬郭一丹平秀佳苗金梅刘莹张莹王美玲包云吉雅韩蕾文湘蘅郭晓雨洪欣悦谷欣莹高苗苗赵西成王镜函周星宇孔微微李岩姜瑶李鑫麻丽敏李韵三、综合素质三等奖学金动物科学技术学院(79人)赵月秀邹艺轩张萌王天宇耿美琦霍云健王晓艳赵莹张南南李雅楠王军波刘洋罗培杰常思颖高红杰吴秀芝白雪范君武侯国志高帅王超唐道吉李佳辉修立双蒋鹏张有全林珊珊孙宇来付佳琦田丹阳孙汉卿王木川王馨影秦菲悦白蕙箐张翠莲郭丹赵静王兆强杨永岳和林洁牟洋王克鑫孙丹彤王秋玲白琳徐婷婷王寒苏吴迪王玲李亚茹李利族于海迪王宏展李超杨旭李昊伦赵楠梁久志闫平张慧姜宏艳李祖岩徐慧敏曹卜元关蕊路雪松姜春萌孙佳佳王妍潘欣茹苗畅齐李嘉男周晶怡胡盼娣王蕾连露齐甜铭谢新录生命科学学院(103人)孟亚会高坤王宫玥赵瑆怿齐彩娇齐慧慧吴梦琦陈思马雪婷赵俊松徐文娟张爽陈红瑛魏星王智博陈悦胡梦然白璐李倩楠苏骥王亚玲张鹏马迎迎成唯嘉杜晓彤张洪勇何佳欢刘雨晴张可欣张栋秦贺华于红伟孙晓磊郭晓蕾齐晓娟李闯郭笑辰赵璐潘通杨秀琴薛叶芳王鑫张雨薇刘延松李梦瀛轩亚辉张婧然柏英郭诗萌赵芯相宇何琼刘心同陈昕任鸿张飞齐葛丹丹王雨婧贾宏博林艳君狄晓慧宋丽影李洋洋孙昊袁雪薇王旭孙铭阳徐玥胡文苑李阳阳邱月郭庆刘畅高菲张磊洪孙丽丽韩旭叶岚张萌郑雅元潘蒙王子一樊玉媛崔亚凤褚芮蒋俊秋韩晓云吴红松孙梦张思宇沙君雪张迎雪祝婧雯逄欣欣李莹哲李英华李盼盼刁红旭王秀婷张胜奇许琦渊祥荣田秀敏水利与和建筑学院(179人)李军王秋丹应萍穆嘉君王雪陈旭雷润民谢逸群陈志伟孙博刘银凤李世光付哲陈占柱吴悠高健汝博文李蔚新雷明王宇鹏林冬日赵宇蒙孙安伟鞠蕾王璐晨闫丹丹曹晋玮曹晋玮赵莉容冷栋韩基隆葛鹏高峰周全伟王恺源李永龙孙婉棠李金玉董会明周浩陈红健曹金玉吴海波包雪微夏叶杨海智范鹏源蒋晓霞张志鑫耿绍伟崔静静范永洋张永嘉刘志勇张亚东商城苏鑫朱丽媛王莉莉任广博杨彬彬刘鹏飞葛宇生张峰溢康凯刘毅鑫秦钊陈雨薇杨培龙曲国峰于天洋张明艳杨建光彭海鑫赵志强王辉范云明刘立新赵西方王琳郭佳霍悦孙婷张瑜王纪珊王颖满霞玉原若溪李笑含宋爽江桂林陶敏万天宇于淞张贺何博文杜纪鹏胡琦庞越卢明正冯桐郎显坤董燕来李冀琨汪盼张铭璐李欢欢王莹璐刘寰宇陆子傲周鑫磊杜英博刘士爽张勇良陈亮孙梦欣赵春雨隋昕延魏义臣张月明张哲李学亮谢天华洪宇赵宇葛丽铭曹晶妹王璐张博洋宫剑桥庄毅夫刘泽宏龚俭张莉迪张一郭志苏彭博张云梅南茜曹隐王久荣刘阳郑智佳牟天奇谢天逸徐俊吴梦洋张荣爽张帆陈际旭常健吕庆杰郑恩楠李志超陈闻凯乔广鹏马玉健付强李一鸣杨晓峰于显军孙铭冶李江春王雷徐博闻姚昌明王禹乔徐郑伟陈凯王海迪李俊冯奕龙赵越宋远杰刘明王琮然王帅于奇刘青文法学院(149人)叶丽莎赵金宝张罗丹徐磊张浩孙兆媛徐颂周文宜潘广龙符瑶王雪彤夏烨毛雪君秦嘉钱瑶赵昫张晓琳杨涵李忠秋朱陵阳曲国冬张雅楠姜天崇姜悦孙冶孙季蕊徐磊刘馨泽刘金丹朱微张天凤韩淑影王韵王发龙张一可阎丰涂晨英李美钰侯雨菲张雯李志君廖晓娟孙永婷李超男梁春雪侯岩刘丽阳王东阳高海培张雯筱李健楠刘国棋赵海娜朱志楠宋文海王金秀倪小惠李楠远梦妮李文琪孟姝玉刘恩泽杨睿王宝玲王悦卢炳林孙成龙甄鑫董丽娜孙迟石双余王千月杨欣彤鞠金宇李金科李旖旎王璐璐赵刘飞亚婷马理冯琳安婷婷李国周欢万佳尹立平刘蕊李静张永江刘丹陈丽玲高雪山珍周学慧赵凌云武焱贾丹丹陈睿鲍雪武琴吴萍杨寒王佰河高姗迟鸿岩王慧卓王雪微沈奕珺蒋爽孙雅洁康馨文李晶张世宁陈晓晴李士心王冰徐天利吴冠南项蕾于洋孔庆娜范青兰刘海苹王晓薇马睿徐梦娇王雪关越徐宁张晶巩俊原立雪王红宋承倩文凤至陈虹池李玲常靖邵明雪李林钰杨晓宇杨珺妍董凯琳乔立丹叶伟徐倍倍刘萍钟雪婷刘路阳应用技术学院(54人)张艳秋刘海微王瑞张慧莲杨浩然尹宇丹徐新新于悦陈亚慧付丽颖刘金凤黄蕾张艳丽李永亮何冬雪王秀丽田晓宇任宝佳任春乐王丹刘洋马丽亚陈林林宫贺周洋洋马宇书关丽艳孙健高蕾胡雪原黄力于丽娜王金梅冷枫李玲玉崔美佳吕双雪吴楠李迪刘殊朱苗苗宫姝张陆王欢王玉芳高月华姜雨晴王艳坤魏伟王迪金露王丽丽宋文博郭洪浩园艺学院(105人)谢凤雪郭磊李丹毛彤赵富佳王楠于洪杰陈晨柳杨马丛菲孙文静应睿婧马旿晛王秋爽马书梦史洁婷刘芬芬宋晓晓苗美美苏青苏晓芸王丹吕淳王琳琳周玉婷隋畅肖爽滕翊彤刘洋李丹庄严冯金子王靖铭徐阳苏。
电气学院2012-2013学年奖学金推荐名单公示根据学校《关于做好2012-2013学年学生德智体综合评分及创优争先活动总结评比工作的通知》文件精神,结合我院实际,经学生申请,学院审核研究,根据学生学业成绩及综合表现,现将电气学院2012-2013学年奖学金予以公示。
公示时间为2013年10月23日至10月25日三天。
如对评定情况有不同意见者,请向学院学生工作办公室反映。
监督电话:85258578联系人:杨晨优秀学生奖学金(471人)一、特等优秀学生奖学金(24人)电气10-5 彭冰莹电气10-6 赵心颖电气10-4 周莎莎电气10-6 汤霏菲电气10-3 刘洁自动化10-1 向思电子10-2 陈锦霞电子11-2班邓志平自动11-2 石珏电气11-4 杨磊电气11-5 周琳电气11-5 刘楚怡张晴月电气11-6 田文超电气11-6 钟佳妤电子11-1班电气1208 赵津津电气1208 欧素妤自动1202 陈秋伊电子1201 罗波电气1202 蒋诗谣电气1201 祝新武电气1202 于宇电气1206 黎亚电气1207 陈威二、一等优秀学生奖学金(82人)电气10-1 张金花电气10-1 吴伟明电气10-3 李新军电气10-3 胡佳琳电气10-4 陈乐电气10-5 文章电气10-5 白健电气10-5 张冰洁电气10-5 周后良电气10-6 康佳电气10-6 何佳娜电气10-6 何欢电气10-6 罗锋电气10-6 覃荣嵘电气10-6 张湘电气10-6 何静怡自动化10-1 汪灵廪自动化10-1 陈强自动化10-1 周洁自动化10-2 邓重英电子10-1 李蓓蕾电子10-1 虢齐电子10-2 李芳电子10-2 李分芳电气11-1 刘文电气11-1 鲍芃电气11-2 张垭琦电气11-2 王蒋静电气11-3 彭沙沙电气11-3 卢奕电气11-3 陈星宇电气11-3 蒲添歌电气11-3 汤晓电气11-3 方笑笑电气11-5 罗丹电气11-5 江海源电气11-5 杨笛电气11-5 刘思议电气11-5 谢李为电气11-6 朱娜娜电气11-7 肖麟祥电气11-7 马念佼电子11-1 曾瑶韵电子11-2 武龙电子11-2 王树千电子11-2 聂光明自动11-1 陈月娇自动11-1 熊梦鑫自动11-1 李敏自动11-2 何映林电气1206 赵树宏电气1208 吴照裕电气1208 王伟嘉电气1208 陈滢滢电气1208 苏祎世电气1208 白剑锋电气1208 张沛自动1202 罗琼华自动1202 李海涛自动1202 彭绍宝自动1202 刘加妮电子1202 徐阳洲电子1202 杨柳电子1202 邹宁电子1202 范宝方电气1207 黄武超电气1201 金港电气1204 肖策电气1201 施璐电气1202 李爽电气1204 谭欣电气1204 申舒涵电气1205 郑喜燕电气1201 吴静电气1202 唐松浩电气1203 陈源电气1202 肖智彬电气1206 邓捷电气1205 陈嘉玲电气1201 陈思涵电气1206 谢锦电气1202 曾晶三、二等优秀学生奖学金(118人)电气10-1 万紫茜电气10-1 李晅电气10-1 余辛电气10-1 李印电气10-1 郑可电气10-2 李方青电气10-2 王蕊电气10-3 李梦影电气10-3 王兵电气10-3 尹一江电气10-4 朱国超电气10-4 余召训电气10-4 白梓秀电气10-4 李敬彦电气10-4 文雨知电气10-5 刘晔宁电气10-5 吴藓芳电气10-5 李胜电气10-5 杨文灿电气10-5 彭思源电气10-6 邓媛媛电气10-6 郁郁自动化10-1 刘红杏自动化10-1 李众自动化10-1 李庆慧自动化10-1 李梓嘉自动化10-2 李洁自动化10-2 闫明源电子10-1 张红霞电子10-1 吴美玉电子10-1 张彦清电子10-1 沈春阳电子10-2 项剑龙电子10-2 王娟电子10-2 贺娜自动11-2 曾林果电气11-1 黄睁电气11-1 刘海涛电气11-1 雷鸿粤电气11-1 周婧宁电气11-2 张鸿芬电气11-3 孙嘉赣电气11-3 王家明电气11-3 黄敏丽电气11-3 熊兰电气11-3 赵志军电气11-4 粟祎敏电气11-4 龙姗姗电气11-4 刘鹏电气11-5 魏璟男电气11-5 陈武电气11-5 潘龙彪电气11-5 佘晓阳电气11-6 魏飚男电气11-6 刘博文电气11-6 刘政电气11-6 张月娟电气11-7 魏丹电气11-7 李丹电气11-7 李彩玉电气11-7 汪浩然电子11-1 杨楠楠电子11-1 李芳梅电子11-1 欧阳纯子电子11-1 李娜电子11-2 乔磊电子11-2 何强自动11-1 肖雪自动11-1 杨和康自动11-2 蔡冰洁自动11-2 陈蓉妍自动11-2 陈林电气1208 何蕾电气1208 连攀杰电气1208 马霄霖电气1208 王淼电气1208 周翔电气1208 郝家玮电气1208 许弘毅电气1208 肖仁平电气1208 张墨阳自动1201 赵辉平自动1202 杨鑫自动1202 彭立华自动1202 刘鑫自动1202 黄文杰电子1201 钱进电子1202 向微风电子1201 丁勇电子1202 朱川电子1202 唐泉电子1202 张猛电子1202 王挺电气1207 尹卫阳电气1203 姜美遥电气1202 朱远帆电气1204 刘珍林电气1201 王云鹏电气1204 卢家麟电气1205 刘玉玲电气1205 李益钦电气1202 刘期方电气1206 孟汝婷电气1201 孟盼盼电气1206 白红娜电气1207 柳鑫电气1202 陈鑫电气1203 王敏臻电气1204 欧阳叶电气1207 时仲宏电气1204 王玉麟电气1206 陈剑锋电气1204 陈溢电气1205 袁玥电气1204 陈磊电气1203 高志斌电气1204 李勇电气1202 彭潇琪四、三等优秀学生奖学金(247人)电气10-1 宋健电气10-1 芮可欣电气10-1 石宏开电气10-1 肖雕电气10-1 张靖伟电气10-1 牛嵩迪电气10-1 叶青电气10-1 王紫茉电气10-2 乔靖博电气10-2 王位精电气10-2 冯越琪电气10-2 马亚琦电气10-2 周春利电气10-2 吴昊霖电气10-2 钱佳慧电气10-3 李鑫电气10-3 樊孟婧电气10-3 刘良云电气10-3 刘筱伟电气10-3 向孙程电气10-3 王欧电气10-3 崔顺尧电气10-3 刘超电气10-3 封杰电气10-3 刘鹏电气10-3 杨珊珊电气10-3 胡作正电气10-3 陈婷电气10-3 朱昕电气10-4 王林峰电气10-4 陈姣电气10-4 陈颖电气10-4 陶文婷电气10-4 刘昊卿电气10-4 秦鑫电气10-4 袁睿智电气10-5 罗程电气10-5 张卫明电气10-5 杨佳欣电气10-5 卢罗奇电气10-5 杨菲电气10-6 文胡电气10-6 文耀华电气10-6 陈有才电气10-6 李志成电气10-6 万清科电气10-6 曾亮鹏自动化10-1 杨彩云自动化10-1 吴小凤自动化10-1 江新海自动化10-1 盖世祥自动化10-1 谌俊异自动化10-1 曾祥超自动化10-2 甘慧成自动化10-2 鲁佳乐自动化10-2 丁聪自动化10-2 王婧自动化10-2 王春华自动化10-2 陈辉自动化10-2 俞启学自动化10-2 唐明远电子10-1 易闻芳电子10-1 罗萍萍电子10-1 李迪电子10-1 林科冠电子10-1 何瑞清电子10-1 夏常钧电子10-1 蔡安电子10-2 黄曼婷电子10-2 王乐乐电子10-2 张盼盼电子10-2 胡震宇电子10-2 叶紫权电子10-2 邓勇夫自动11-2 李国昌电气11-1 刘婧芳电气11-1 曾杰电气11-1 肖潇电气11-1 张吉芳电气11-1 冯丽佳电气11-1 肖理祥电气11-1 段湘耀电气11-1 张晓丽电气11-1 李秉玺电气11-2 陈洁电气11-2 魏正澜电气11-2 罗芳电气11-2 莫莎莎电气11-2 戴琦电气11-2 胡振文电气11-3 何彦电气11-3 薛婷电气11-3 陈玮电气11-3 高峰电气11-3 李晨电气11-3 朱潇意电气11-3 陶明川电气11-3 王棽电气11-3 曾鹏骁电气11-4 王可心电气11-4 陈方雨电气11-4 梁卓玲电气11-4 陈欣旺电气11-4 蔡洁电气11-4 余敏琪电气11-4 杜飞达电气11-5 殷芷电气11-5 张晗电气11-5 陆海洋电气11-5 王君宜电气11-5 刘凌峰电气11-5 刘丰侨电气11-5 程杨电气11-5 周子洋电气11-5 陈丹丹电气11-5 韦江衡电气11-6 杨伊玲电气11-6 赵瑾电气11-6 吴佳明电气11-6 郑晶洁电气11-6 邓力电气11-6 林正阳电气11-7 赵玮电气11-7 李春凤电气11-7 戴其成电气11-7 谢新宇电气11-7 戴贵英电气11-7 黄待程电子11-1 马骏电子11-1 曾韬电子11-1 李琴电子11-1 周晶晶电子11-1 周柱君电子11-1 刘彦辰电子11-2 黎琦电子11-2 王佳林电子11-2 张连泽电子11-2 唐懋然电子11-2 邓俊生电子11-2 侯鑫自动11-1 王若旭自动11-1 欧阳训自动11-1 李青自动11-1 覃清杰自动11-1 任泽云自动11-1 王世声自动11-2 陈健超自动11-2 唐晓锟自动11-2 陈屹松自动11-2 郑丽自动11-2 赵栋自动11-2 张黎电气1201 谭广电气1208 曾子龙电气1208 邹璇电气1208 李自然电气1208 刘湘联电气1208 周立婉电气1208 汪胜鑫电气1208 刘炜电气1208 吴献祥电气1208 陈启洪电气1208 辜诚炜电气1208 任斌电气1208 杨俊琛电气1208 朱怀鑫电气1208 刘酉凡电气1208 倪永康电气1208 王柯涵电气1208 陈珊珊电气1208 岳守志自动1202 陈华兵自动1201 郭晓峰自动1201 黄继斌自动1202 王月超自动1201 陈仕龙自动1202 周赣粤自动1201 周明自动1201 唐攀自动1202 彭佳伟自动1202 陈丹明自动1201 孟展展电子1201 李新亮电子1202 贺健电子1201 龚海电子1201 刘正庭电子1201 黄一君电子1201 张艳军电子1201 蒋旭辉电子1201 朱明电子1201 彭玉彬电子1202 黄顺电子1202 向念自动1201 江剑波电子1201 黄健电子1201 刘东电气1204 罗旷电气1207 夏昌彪电气1204 刘彦辰电气1201 张鹏飞电气1207 江首科电气1202 许泽兴电气1201 李若寒电气1202 何璐电气1207 彭思源电气1201 钟蔚然电气1206 廖铁军电气1207 赵文鑫电气1202 何发达电气1203 刘园电气1206 张乾电气1207 毛云龙电气1204 杨轶电气1203秦佳倩电气1204 段稳朝电气1204 肖由佳电气120电气1207 庞德文电气1203 谢珂欣电气1206 康梦琳电气1206 戴尚电气1204 冯耀国电气1207 张泽彬电气1203 张明明电气1205 罗恺凯电气1202 王倩盼电气1202 王集慧电气1201 高迦伦电气1201 黄毓麒电气1203 孔亚菲电气1204 廖瑞丰电气1201 张雪电气1207 刘东电气1201 万元贵电气1206 池里荷电气1201 张伟电气1205 周纯波电气1205 杨喻涵电气1203 杨嘉敏电气1201 李晓路电气1207 郑伍电气1205 刘向魁电气1204 唐佳楠电气1206 李王引电气1207 吴权立电气1206 彭策电气1203 全建中电气1206 徐宋达单项奖学金一、管理人才奖( 11人)电气10-1 马亚琦自动化10-2 闫明源自动化10-2 鲁佳乐电气11-3 黄敏丽电气11-3 陈玮电气11-5 程杨自动11-2 张若虹电气1205 陈仕龙电气1203 高志斌电气1206 孟汝婷电气1204 王玉麟其他项目的单项奖学金学院均只能推荐,按照学校的评选结果认定:学习科技竞赛奖:22电子1002 叶紫权、电子1002 胡震宇、自动化1002 李洁、自动化1001 李众电气1003 王欧、电气1003 李新军、电气1001 周佳铭、电气1001 郑可、电气1003 刘筱伟、电气1003 王兵、电气1103 彭沙沙、电气1101 任泽云、电气1104 粟伟敏、电气1103 蒲天歌、电气1105刘楚怡、电气1206 陈剑锋自动化1201 王耀武、电气1208 张沛、电气1201 刘煜鸿、电子1201 黄健电气1203 谢珂欣、电气1201 蒋诗谣文艺活动优秀奖:8电气1103 王兴铸、电气1205 李文东、电气1206 陈剑锋、自动化1201 周明电气12级卓越班马霖霖、电气1207 刘煜鸿、电气1207 张泽彬、自动化1202 彭绍宝体育竞技奖:9电气1103 王宇驰、电气1102 丁宇翔、自动化1202 应雅琦、电气1204 欧阳叶电气1203 程志强、电气1203 梅恒睿、电气1203 叶占超、电气1208 何蕾、社会实践奖:5电气1103 王家明、电气1105 陈武、电气1103 朱善令、自动化1202 王月超电气1203 王敏臻精神文明奖:1自动化1202 刘鑫电气与信息工程学院学工办2013年10月23日。
2013年社会奖学金公示名单钱宝钧奖学金获奖名单6人卓越高分子1201李玮玮材料1202班徐梦生物1101李晓璐卓越班周杨斌高材1101王曦雁应化1203王雪婷陈红奖学金获奖名单2人数艺1101杨晓庆新媒体1101安婧文梁溪唐氏奖学金获奖名单5人卓越机械1001江长云机械1208赵开超工设1203杨耿嘉机械1101吴军华机械1204刘思聪服装进出口公司奖学金获奖名单2人公共艺术1001金珠会艺1201陈华沁林少宁奖学金获奖名单2人环工1002王贤强卓越环工1101成钰莹仪征奖学金获奖名单6人建筑1001李清高材1101程扬光电1102杨辉环工1201陈丽红媒体1102孔祥月应化1001王帆ITS--天祥奖学金获奖名单4人实验1201徐金贝表演1001宋少康纺织类1202陈耀燕应化1102姚旭婷唐翔千奖学金获奖名单3人卓越机械1001张永生机械1208宋鑫宇机械1201夏侯如超轻化1002 杨末轻化1002 江达轻化1201叶诤昕轻化1002 刘家琦轻化1001姚冲冲福汇奖学金获奖名单10人纺检1102 贾秀秀实验1101 梅小雪功材1101 何昕煜实验1101 冯程程纺设1101 李宇轻化1001周茜轻化1002朱航轻化1201龚颖祺轻化1102曾小芳轻化中德1201朴玮玲校友基金会奖学金获奖名单1人体育1201王梦婷香港溢达奖学金获奖名单20人纺检1001赵彤实验1201薛映生物1001戚晓琪纺贸1001游静实验1201向叶平应化1001谢丽丽高技术1001李选实验1201李凌生物1101夏尊敬实验1001杨佳佳纺织类1202张和乐生物1101李寒悦实验1001张琳婕生物1001韦平卓越轻化1201许馨月实验1001张倩生物1001李晓宁轻化中德1201孙思聪应化1202沈清生物1202张夙滢方柏容奖学金获奖名单2人卓越环工1101刘勇能环1201张萤微兴泽奖学金获奖名单7人传播1201张彤彤法学1201易可望日语1202姚俪瑾金融1103钱智尧英语1201周怡清应物1102黄孟虹电信1108李华景恒逸一等奖(44人)电信1102汪瑞行政1102 李坤晓建筑1001 沈彦虹电信1114朱正威行政1202 王优优建筑1101 赵灵运自动化1001付笛光电1202 邬聪能环1201詹乐通信1001孙海真统计1202 王正顺生物1201 祁芳菲电信1211 罗红艳统计1201 綦乐天财务1001 李佳麟电信1205 乔琪软件1001 薛瑞东会计1002 林舒颖英语1001 胡恩溢信安1001 朱春波金融1004 张鹤龄日语1102 张莹机械1205 张淼信管1002 周泳颖日语1201 李睿雨机械1103 宋一铭信管1101 刘春垚传播1001 李俐工设1103 周肖梦雅财务1102 梁明月公关1002 董怡卿工设1201 张楚柠管理1203 张雨琪旅游1201 夏倩实验1101 刘凯琳卓越班陈品章服装1004 王博雅卓越高分子1201王海鸽高分子1003 金翎子服设1004 姚晨琰材料1202班胡佳明高分子1001 关方怡纺贸1101 蒋超卓越班庞馨蕾恒逸二等奖(44人)自动化1003刘妍传播1201 梅晓薇物流1101 张新荣通信1004吴思畏光电1101 叶晓娜会计1102 陈海燕电信1201 张欢欢应物1102 郭海霞会计1102 郑人瑜英语1004 杨昕羚光电1202 凌家曜财务1103 江鹭英语1102 刘佳玉统计1202 吴赟盈会展1201 林于云日语1202 张文佶工设1001 钟智晨经济1201 张昱法学1001 祁叶蓓财务1002 骆瑶管理1203 金璨传播1002 殷洁国贸1002 王思宁会展1201 韩亚男行政1101 安芸逸金融1004 王敬轩经济1201 吴依寒法学1101 吴文莉旅游1002 邓蕾信管1101 谷今一传播1201 王亦斐金融1104 孙思动画1101 孙小涵公共艺术1001 李程材料1203班周美龄复材1002 李丹丹艺合1202 姜怡然高材1103 施贻琴复材1002 孙政数艺1102 汪丹高材1101 汪伊依无机1001 张冰洁会艺1102 郭雅皓复材1002 张佳栋锦久奖学金获奖名单3人锦久一等奖(3人)应化1001 程党党应化1101柯文瑜应化1202周崇园锦久二等奖(6人)应化1001 张龙霞应化1103 张佳伟应化1203 贺彦彦应化1001 张伟应化1103 许义应化1202 张正锦久三等奖(10人)应化1002 许嘉怡应化1103 马维维应化1202 白冰应化1002 郑晴应化1101 周志鹏应化1203 张士伟应化1001 曾令红应化1203 曹碧莹应化1101 唐超应化1203 于雪金百合奖学金获奖名单3人一等(1人)实验1001周骞二等(2人)实验1001邓惠文非织1001林茂泉金宝奖学金获奖名单(10人)网络1101 郭佳婧应物1001 施灵聪建筑1002 李进计算机1202 陈乐乐统计1101 李嘉琪环卓1201 张静媒体1201 黄菁英语1202 矢逸凡传播1101 毕倩英语1202 王梦蕾乌斯特奖学金获奖名单10人营销1001赵诣会计1101 高钰针织1001凌宇阳体育1001赵羲超会计1202卢佳钰卓越纺设1001钱怡纺管1001叶媖实验1001顾雨菲纺织1001程莉婷实验1001孔徐洁天合无纺奖学金获奖名单2人一等(1人)实验1001马若阳二等(1人)非织1001程丰周承佑奖学金获奖名单12人一等(1人)信安1001 王碧颖二等(12人)卓越机械1001黄文军电信1109欧阳念电信1211章欣悦卓越机械1101徐晓坤电信1112夏力电信1203武秉泓卓越机械1201丁亚东卓越电子1101王巧计算机1202冯娇卓越机械1201周峰电子1001王芳卓越软件1101沈嘉嫔东软奖学金获奖名单4人计算机1001谢文慧计算机1101 郭娟卓越软件1102 郭玉鑫计算机1201陈运哲众恒奖学金获奖名单4人软件1002 陈豪信安1102戴鹏飞网络1001陈剑计算机1202吴瑜珠王嘉廉奖学金获奖名单4人网络1101罗丹计算机1002姜霖霖软件1002 费凡信安1202王一盟合胜奖学金获奖名单4人计算机1001邓璐璐软件1202 管啸计算机1101卢达网络1201张磊庄信万丰奖学金获奖名单6人高分子1001韩笑机械1101王云逸卓越电子1101熊蔚琳应化1001杨爱玲卓越机械1001黄军军自动化1001杨居优富嗣奖学金获奖名单5人环工1001蔡文姝建筑1102卢思亮建筑1202廖思雨环科1001沈佳丽环科1201张嘉伟旭荣奖学金获奖名单2人纺检1101 邱财英纺织1101周青青Andritz奖学金获奖名单4人一等(1人)实验1001栾赫二等(3人)非织1001季舒阳非织1001余水实验1001庞沙沙圣东尼奖学金获奖名单4人卓越机械1001张彦龙实验1001肖冰卓越机械1001房成亮针织1001张羽舒陈彦模奖学金获奖名单2人卓越高分子1201周欣宇材料1206班景暘珉天骥奖学金获奖名单154人卓越班杨艳信安1002 王英兰服装1002 卫佳燕卓越班梁嘉辉计算机1001 高雯服装1002 李子琪复材1001 付康服设1004 巩开奋服表1101 刘妍钰无机1001 陈莹服设1004 王一苇服装1102 乐嘉颖理科1202班齐晓宇服设1004 刘勤艺服装1103 赵舒逸理科1201班蒋俞数艺1001 刘清芸工业1101 杨景裕信安1202 白迪数艺1001 陈菲工业1102 李亦卓计算机1102 姚泽平纺织品1001 王银环艺1101 郑黎晖信安1102 黄宗权服装1002 孙恺数艺1101 董纯伊艺合1101 朱晰嘉行政1001 田佳勉英语1202 林楠会艺1102 鲁杨楠媒体1001 吴敏婕英语1101 沈丽红艺合1101 胡雪昕媒体1002 倪威君电信1103 鲍笛播音1201 姜述文传播1102 俞寒佳电信1101 徐雯倩服表1201 刘雨馨法学1102 阮何明电信1107 李尧服工1203 徐柔嘉传播1201 钱思纯电信1110 杨航环工1002 杨可行政1201 李晓洁电气1002 王丹阳卓越环工1101 王兴行政1201 朱馨禄电气1003 梁文宇环工1102 李君公关1101 张梦楠电信1205 李宏广环工1201 卢圆圆日语1002 张哲琛电信1204 蒋益敏建筑1201 陈思华英语1101 陆怡菲电信1203 胡玲芳电信1201 李上培会计1001 徐婧媛功材1202 吴雨芬纺织类1208 梁晨会经1001 王晨辰财务1001 张可帆实验1201 黄叔伟会经1001 祝罕梨露工商1001 巴依沙实验1201 文慧金融1002 唐忠杰国贸1001 石慧婷卓越纺设1201 林靖金融1002 徐颢华旅游1001 张媛琪旅游1001 潘星会计1001 朱晓琨金融1101 邱新颖营销1001 王瑞思物流1001 李亚男金融1101 谢乐物流1002 蔡婕瑜信管1002 张希真金融1102 孙夏萌信管1103 冯航财务1102 方慧珍旅游1102 刘苒信管1102 卢雪婷财务1101 王程程旅游1102 王文君会计1102 于子渊会计1101 俞程彬会计1202 殷媛媛财务1101 王胤棋会经1101 陈嘉萱会展1201 张敏旅游1201 姜红霞经济1205 郑欣韵管理1202 戴怡雯经济1202 卢依娇工商1203 杨欣管理1203 施钦云经济1201 周祎歌工商1203 夏思雪卓越机械1001 许慧春经济1204 沈忱管理1201 钱蓉蓉机械1003 袁涛卓越机械1001 薛佰洋卓越机械1001 谢志军机械1101 杨青卓越机械1001 王先觉工设1001 谢雨卓越机械1101 孙涛卓越机械1001 熊学文机械1102 徐浪机械1105 沈勇卓越机械1001 晏健荣机械1106 彭若峰机械1108 席伟卓越机械1101 门泽华卓越机械1201 陆垚垚卓越机械1201 罗荃友工设1103 蒋炅泛卓越机械1201 朱玉祥卓越机械1201 杜诚杰卓越机械1201 郭美键工设1202 黄萌颖应物1001 韩筱辰机械1208 齐子威数学1001 邵博华应物1002 王悠雅机械1204 顾佩佩统计1002 孙佩光电1002 鲁棋数学1002 康露莹数学1102 金灿数学1201 王砚荭应物1102 王恬恬光电1102 王涛数学1202 黄河源数学1102 甘姚红物理1102 翁泽平物理1201 司书芳光电1101 黄申洋统计1101 马璇光电1201 哈光霁光电1201 王超生物1001 许槙祯生物1201 秦春萍实验1101贺聪工业1101谢冰雁非织1101蒋佩林会艺1101张钰培震纶奖学金获奖名单15人实验1201张娜金融1002吴昊祺卓越机械1101王培实验1201毕思伊信管1002孙钰机械1109杨旭坤实验1101韩唯懿金融1102董桓旭卓越机械1001袁晨旺实验1001马静信管1101蔡璐卓越机械1001何照辉纺贸1002邓舒耀工商1203周志超卓越机械1201李小飞帽仕汇奖学金获奖名单9人一等(2人)服设1202洪润服设1102廖畅二等(3人)服装1002 陈美熹服设1004 王臻頔服装1004 张冷西三等(4人)服设1003 牧沙服设1202 陆莹荧服设1004 黄绿蓝服工1203 李拜永新奖学金获奖名单10人轻化1001王映坤轻化1001胡懿轻化1101金瓯轻化1001王遥轻化1002刘科轻化1201李莉轻化1001唐杨苒卓越轻化1101王美慧卓越轻化1201 张慧姝轻化中德1201杨雅真刘谦刘泓虎奖学金获奖名单5人工艺1201常达成服设1104李哲服装1001王玲服设1104郑涵会展1001余晓璐盈艺纺织奖学金获奖名单12人服装1102张梦雨服设1202高文芝轻化1101尹荣鑫服装1102龚俐溶服设1202张华皓卓越轻化1201茅昀艺合1101袁晓云卓越轻化1101陈怡轻化中德1201王凯俐服设1204栗美玉卓越轻化1101王小丹轻化中德1201许旭强长濑奖学金获奖名单10人轻化1001梁冰滢轻化1101刘楚婧轻化1201唐勇轻化1002汪婷婷轻化1102唐佩馨卓越轻化1201柯钢强轻化中德1201李岚。
一等奖学金(共431人)通信与信息工程学院(49人)B11010701王 红B12011010黄雅云B13011402王蕊B11010706陈佳敏B12011325唐鹏靓B13011401方琪B11010725奚晨烜B12011205吴诗雨B13011840葛睿B11010529葛 亮B12011506顾智敏B13011828周宇B11010703严天琦B12011430高赟B13011733夏圣涵B11010913张剑书B12010302王学婷B13011711林秋丽B11010903许 久B12051003江慧B13010904张 唯B11010717陈晓阳B12090518李剑B13010426李嘉伟B11011002叶蔚萍B12010603吴洁B13010614刘洁进B11011013华宇B12010331蔡春B13010905胡亚琴B11011202李萍B12010211刘康B13010302许梦婷B11011403成云B12010809韩双双B13010505张喆颖B11011416孙英富B12010208缪顾敏B13010329符士磊B11011602吴璇B13011320时安谊B13010802李雨晨B11011515杨永超B13011105沈姝伶B13010120吴 岩B12011001卜淑晴B13011119张成城B13011304陈偲颖B12011108陆嘉漪电子科学与工程学院(23人)B11020107滕紫薇B12020201何 渊B13020209雷琳娜B11020108马晓博B12140118叶 磊B13020507马文宇B11020303李翌雯B12020403郭姣姣B13020609孙周宇B11080514狄晓伟B12020401丁嫣然B13020808万晋廷B11020403严 希B12020623陈宇石B13020814许逸波B11020619鲍旭峰B12020607陈 静B13020831蒋永吉B11020606戈璐璐B13020104李 冉B13021031章玉飞B12020102华 琳B13020110曹玉洁光电工程学院(19人)B13030101丁佐芹B13030206杨宇鑫B12030435曹 原B13030236谢升旭B13030111黄 萍B12030606应紫薇B13030211嵇 彤B12030223李宏业B12030505庞晓玲B13030502刘 畅B12030203刘晓玲B11030207洪 媛B13030401王希琪B12030312蔡婷婷B11030209谭 莹B11030106吴 杰B11030703李林倩B11030603刘凤然B11030605沈园园计算机学院、软件学院(40人)B11040203张倩汶B12041423孙爽爽B13041036潘建成B11040202朱敏惠B12040303刘欣欣B13041201王宇虹B11040501孔世康B12040229施 军B13041110王 凯B11080412李旭嵘B12040208杜雨亭B13041304魏 妍B11040505严 洋B12040723柳池煜B13041327姜 腾B11040702朱彦沛B12040801于 敏B13040216田思明B11040802王中琪B12041215张 龙B13040218刘焕金B11041321唐颢诚B12041206钱梦颖B13040308季 露B11041306罗一迪B12100214谷家腾B13040325郁丛祥B11041012李 强B12040611丁 宏B13040627苏祎辰B11041113张 浩B12090430顾 云B13040804沈玉娇B11041524葛昌利B12040902李亚男B13040808徐亚红B11041504陈欣欣B12040905彭玉霞B13040908黄 玲B12041511何 娟自动化学院(29人)B11050204李 璐B12050105徐冬宇B13050317刘尚B11050206景 晶B12050206彭媛B13050405赵燕喃B11050303陆忠燕B12050305顾梦园B13050504张艺菲B11050403吴 净B12050501张云菲B13050706程欢欢B11050508徐梦莹B12050602张丹B13050717杜乐B11050610吉旭程B12050804张咪B13050917吴敬恒B11050706王 强B12051006杨鸿B13050918张昱炜B11050807韦佳铭B12051009顾馨B13051107周子璇B11050911邓宇驰B12051107李玉杰B13051114白云飞B11051138蓝晨曦B13050201王春芳材料科学与工程学院(19人)B11060209沈梦兰B12060206郭瑞妍B13060338薛乘风B11060207李亚欣B12060322林冬青B13060635笪炳涛B11060304刘玲B12060426蔡兴锋B13060617许颂B11060403朱影B12060512刘文杰B13060720李志辉B11060501王亚薇B12060634曹政B13060811胡静娴B11060509童丽君B13060209彭天慈B13060424张一凡B12060109薄一凡物联网学院(18人)B11070401王玥B11070730陶启宏B13070311戴 蕾B11070532高洁B12070410王丰B13070307唐楚然B11070501尹娜B12070306赵越B13070330殷鹏伟B11070505陆娇娇B12070304杜臻B13070424陈文浩B11070406程义新B12070603张欣慧B13070611姜 慧B11070701马芸B12070607唐海霞B13070501王一卉理学院(15人)B11080209黎 红B12080219李旺红B13080222李其琛B11080116邢鹏飞B12080404邹玲玲B13080323冯子朋B11080405石曼曼B12080409高颖琨B13080423张树涛B11080517陈 程B12080609王舒民B13080533程 乾B12080201王 璇B12080601王慧娜B13080530郭 涛地理与生物信息学院(20人)B11090706奚 慧B12090204洪文惠B13090317阴智涌B11090606季秋忆B12090402王紫安B13090402张 茜B11090201朱云虹B12090417王 涛B13090503邢丹琴B11090203李舒婷B12090511羊一鸣B13090520左金航B11090405韩 微B12090601宋倩雯B13090709何慧敏B11090427谭 俊B12090607胡 近B13090806陆恺艳B11090501孙晓璇B13090111洪恬林传媒与艺术学院(10人)B11100402王丰铃B12100509姚琪B13100313张晓B11100414侯聪逸B12100712骆文婷B13100706刘冰清B11100618曹笠B13100412孟晓晴B13100704邓洋B12100314郑素凌经济学院(20人)B12110202王美玲B13120330蔡晨晨B11112410许慧B12110305朱佳玲B13120428曹曦文B11112215胡明慧B12112202陈晨B13120625潘春延B11112217房真真B12112205唐岑B13120620徐萌B11110107张敏B12112303庞丽华B13120105王静怡B11110124蒋屹雯B12112512方倩倩B13120232符天浩B11110125潘峥B12112515王琰B11112408季恬恬管理学院(58人)B11112004王 辉B12110617王 帅B11111616许 秀B11112121胡秋霞B12111111莫秀平B11111614范习佳B11112123周 鸣B12110411陈 婷B13110709许世珍B11111411吕婷婷B12110717胡 艳B13110603马韵鸿B11111403陈明娟B12110915韩晶怡B13110604戈书杰B11100321曾 玲B12110912徐 玫B13111910周盈怡B11110617姜 敏B12111211李 越B13111827胡 浩B11110732秦铭乾B12111304徐 喆B13112007陈茂玉B11110913蔡文鋆B12111605郑晓娣B13111225韩紫蕾B11110905佘亚丽B12111610邱玉婷B13111317姚婷婷B11111109曹景明B12111804吴 洋B13110403卢晓珍B11111101方雅芝B12111803徐姗姗B13110207刘 娇B12110509居佳欢B11111804王 倩B13110118彭韵琪B12111104汤雪婷B11111913蒋沛诗B13110220蔡淑曈B12111402陈 艳B11111810王 敏B13110806包宸璐B12111415王 琴B11111316杨子婧B13110825蔡 绮B12112038许玉琴B11111329吴志远B13111015张 露B12112017吴海燕B11111312范晶晶B13111419刘 畅B12112114陆静娇B13111505李宇亮B13111504何 晨B13111715樊竹青人文与社会科学学院(20人)B11120322闫云B12120117李倩B13130419黄月希B11120302韩心怡B12120202杨伶B13130429胡全峰B11120730白开金B12120216林静B13130508李鑫B11120733叶飞B12120514童佳B13130424朱明元B11120404李月B12120517唐芸芸B13130701王卓君B11120412管燕燕B12120701时新B13130702牛亚楠B11120102马成成B12120616朱娟外国语学院(16人)B11130115洪 颖B11130719桂茜茜B13140416黄佳敏B11130304冷 雪B12130215林 茜B13140403华雪莹B11130311陈 颖B12130316贾雨萌B13140625谢晓文B11130521程文文B12130713吴君吉B13140516陈燕凝B11130410岳静雅B12130714徐阿红B13140704王喆琦B11130614徐冬梅教育科学与技术学院(9人)B12140101王佳B13100219王成名B11100202刘燕B12100121孙志B13150202余莉萍B11100213昝慧B13100102王怡B13150204陈宏利B11140205宋婉茹海外教育学院(24人)H11000202王婕H12000225张浩天H13000323项 南H11000102朱圣捷H12000105谢天怡H13000105彭子凡H11000610刘嘉炜H12000108曹 琦H13000116刘永衍H11000506高宇辰H12000405夏 蕊H13000314黄 威H11000413孙皓H12000424王希宁H12001008李辰昕H11000106徐梦来H12000503王婷婷H12001115刘沁荃H11000220俞志强H12000704朱 璇H11001008陈天成H11000722崔啸H12001028朱睿达H11001106朱静怡贝尔英才学院(30人)B11020603胡娇Q12010106刘倩君Q13010130樊小强B11080505岳冬晓Q12010122张柯Q13010402王梦涵Q11010301孔祥玉Q12010101陈亚奇Q13010222周心宇Q11010129戴成瑞Q12010307郭舒婷Q13010225赵 鑫B11030505赵玫Q12010313黄康Q13010427熊明亮Q11010308谢星宇Q12010227杨韵怡Q13010421胡 涛Q11010330赢猛Q12010318张凯Q13010404杜云澜Q12010319蔡守桂Q13010113米 裕Q13010429潘孙翔Q12010309李晓蕊Q13010101孙潇潇Q13010219张晓宇Q12010315纪兴宇Q13010118杨泽宇Q13010503王 颖应用技术学院(12人)Z12160611谢玲娟Z12160717仇红艳Z12160845张立康Z12160923章莹Z12161004张灵杰Z12161108陈卫君Z12160115刘宝芳Z12160206高苏征Z12160314王书娟Z12160445谢理想Z12160522吴宁宁Z12160550高鹏飞二等奖学金(共1335人)通信与信息工程学院(155人)B11010526陶 帅B12010910韩尹B13011107陈秋希B11050428谭 锴B12011104朱迪B13011330凌捷B11010308高葛君B12011109陈葛娟B13011108宗嘉B11010519陈剑南B12010905陈婵英B13011109林青青B11010106郭欣然B12011102刘敏B13011011万里洋B11010320李 争B12011023陆海亚B13011023狄文翰B11010914张发华B12010912王苏洋B13011205顾佳雯B11010716陆 德B12010937戴伟B13011535蔡家庆B11010905钱彦君B12010909徐明溪B13011505何小霞B11010101朱惠敏B12011212环天琪B13011506张竞艺B11010209王 轩B12110910苏雅B13011413陈超B11010108谢宝婷B12011223倪介元B13011420王军B11110923孙兆忙B12011309祁琦B13011403邓优红B11060208李露曦B12011204吴彤B13011821李猛B11010504周 玮B12011209陈丝雨B13011734徐学楷B11010516吴 兵B12011507瞿虹雯B13011805张叶理B11010103李停停B12011421柳思然B13011802刘淑青B11060505陈 悦B12011402刘慧君B13011604王亚昕B11010702刘佳雯B12011423胡欣鹏B13011707汪悦B11010715沈哲敏B12011407黄依婷B13011617从德春B11010719单 宇B12011422胡羽扬B13011801田梦倩B11060601邓爱红B12011513华文韬B13011732赵强B11010104周天同B12010504吴炜B13010604祁欣妤B11010601韦 薇B12010512王嘉杰B13010717池德胜B11010911邓祎玮B12030403陈宇青B13010234熊孝文B11050618李 冰B12060425秦思豪B13010709廖幼玲B11010823赵智杰B12070217苏宇B13010629夏永康B11010817陆 超B12010102王晓涵B13010431袁 超B11010801王 蕾B12050218张颂B13010616刘 琳B11011204唐丽雅B12010501叶佳怡B13010114叶芳逸B11011005李宇琦B12010303王星稚B13010427李炎戌B11011006杨艳艳B12010404陈晓爱B13010401卜惠洁B11011117祝尊震B12010506陈思帆B13010213王龙飞B11011207于浏B12010122邱航B13010220严鹏翔B11011001王艾莉B12010107祝晨希B13010523吴宗麟B11011213齐世雄B12010203沈文琦B13010711马俊民B11011102任珊珊B12010205林玲B13010715朱 晨B11011008夏丹丹B12010207葛慧B13010422吴 云B11011401马金辰B12010607黄家庆B13010718张 力B11011405周娟B12010229谢枫B13010430涂 凯B11011408黄莹莹B12010507钟倩B13010716朱 滔B11011404李梦若B12010719李碧贵B13010119毕定有B11100107陆梦珂B12010709顾文怡B13010710门宪付B11011407袁亮B12010316沈哲贤B13010528汪昱列B11011315甘少泽B12010817吴思运B13010205肖鲁宁B11011603李晴B12010606郭琪B13010116朱振宇B11011504朱小英B12010224郝新洋B13010227徐佳笛B11011508曹晓晨B12010807李静文B13010601丁 仪B11011607钱佳B13011309覃婷婷B13010722李东航B11011605周晓双B13011312王殷浩B13010303李宇涵B12011107汪蕾B13011313王钰炜B13010506武 潇B12010928欧思维B13011324陆良宇电子科学与工程学院(65人)B11020106杨恬甜B11020701岑延芝B13020101王淑媛B11020206唐 欢B12020311魏 敏B13020103刘 琼B11050628董益灿B12020203林丽敏B13020107郝慧杰B11020702张 慧B12020202陈一茗B13020214朱思清B11020118张元山B12020314王晨曦B13020217李 宁B11020306黄婉露B12020218刘振振B13020327周 阳B11020213兰 玉B12080617陈 成B13020328孟木子B11020301王 悦B12020308黄玉丹B13020336韩嗣诚B11020215刘继超B12020307常圆圆B13020403张莉莉B11020123陈嘉彦B12020104陈 娇B13020406周文斌B11020504金岑芩B12060603闫 娜B13020421刘志军B11020505康枫蓉B12020316吴 涛B13020425沈 杨B11020428顾 泓B12020404梅宇姣B13020510牛子城B11020423居 振B12020522徐 凡B13020521陈 琛B11020431薛一帆B12020422梁竟程B13020625唐晓杰B11020502张亚琴B12020405盛冰清B13020626黄海悦B11020604郭晓黎B12020501王 斐B13020728魏 鑫B11020707李芙蓉B12020413李涵轩B13020908王金鑫B11020624张菁健B12020719吴向忠B13020927高 波B11020629周一安B12020711王 闯B13021002吴蓓园B11020719鹿 麟B12020715吕运文B13021026周 倜B11020601王宝珍B12020717孙 亮光电工程学院(64人)B13030214孔林阳B13030632徐 其B12030507郑露哲B13030730钟耀清B12030229赵维程B12030410顾 婷B13030506杨 慧B12030131徐 峰B11030107李梦洁B13030411董明明B12030127陈志炜B11030102于新雨B13030220何 鑫B12030109沈亚婷B11030308常路讯B13030607陈 静B12030222张 晋B11030101丁彦文B13030613王成亮B12030117王 轩B11030110顾宝静B13030507陈 蓓B12030323李建峤B11030123欧杨辉B13030301王 妍B12030311侯小湄B11030103王 琦B13030305张 静B12030305严锦雯B11030228黄 飞B13030602刘昱彤B12030204何倩倩B11030105吴 宁B13030313于 涛B12030603刘安妮B11030117张 卓B13030603纪 娟B12030636薛 健B11030602仇盛龙B13030235曹洵源B12030509袁 洁B11030601丁 云B13030330胡 健B12030501刁 煜B11030712乔福阳B13030102包怡阳B12030613赖 益B11030720唐海涛B13030114王 陈B12030622孙 毅B11030606陈 燕B13030117田 琪B12030404陈佳秀B11030504杨 玲B13030210柴爽宜B12030406赵雪婷B11030515朱振东B13030634谢忠良B12030402张智华B11030714余立得B11030628谢发山B11030615李 武B11030407赵 琳B11030607赵 敏计算机学院、软件学院(136人)B11080509张苏锐 B12041405蔡晓庆B12040906瞿 迎B11040316应正大 B12041407咸 倩B12040917李 尧B11040218陈 勇B12041503姜文醍B13040902许攀红B11040108戴眉眉B12041512张 芳B13040904郑 岚B11040305华 宁B12041507钮佳玲B13040907高明珠B11040308张 歌B12041518夏正男B13040909程海鸣B11040219陈复超 B12041401邹 莉B13040929罗 猛B11040320杨 易B12111124胡仁健B13040931钱颉伟B11140207张秋婷B12040214王 耀B13041026施 雷B11040430顾佳祺B12040209陈文燕B13041109丁福晨B11040404任丹妮B12040103司明丹B13041202王茸茸B11040508宋燕琪B12040106朱 叶B13041228俞 杰B11040507吴梦桑B12040101王丽园B13041208王 旭B11040604李肖肖B12040112蒋洁琦B13041211王炜鹏B11040529赵孔阳B12040312熊雪B13041104朱 璐B11040602叶梦婷B12040210周珺琪B13041303陈 静B11040608陈 美B12080606魏文燕B13041410王子腾B11040403田晓燕B12040108张帅丽B13041309韦小康B11040409杨雅蓉B12040805郑 柯B13041401马加莉B11040723高阳阳B12040804刘思佳B13041302李 婷B11040703朱朦朦B12040807尹 锴B13041324周宇生B11040806赵晓蓓B12040701冯 露B13041423邵怀禹B11040720陆 楠B12040803王贝贝B13040101王 燕B11040805陈佳佳B12040709王 琛B13040103田 晗B11040710邓良夫B12041216张 旭B13040103程丹妮B11041312宋霄樾B12041205邹鹤茹B13040217边一雄B11041202刘凌怡B12041203刘 思B13040302刘佳佳B11041308韩 泽B12041217张 培B13040330唐博汇B11041307康曼瑜B12041306秦赛赛B13040331龚熙霆B11040904顾 韦B12041204张益彬B13040332程 驰B11041124崔瀚铭B12040530黄继鹏B13040402孙 烨B11041001王秋晗B12040413叶盛钊B13040506杨雪薇B11041101马雪梦B12040410曹迪迪B13040507林淑娇B11040905高月琴B12040526徐 鹏B13040509卞 勇B11041005郭 嘉B12070401冯亦彤B13040512王军润B11040901李 葱B12040605陈 榕B13040526周尧昱B11041109孙星宇B12040609雷 慧B13040617印鸿吉B11041115陈文华B12040407倪紫寒B13040618吕国俊B11041509宋雪艳B12040608黄利智B13040623李计召B11041511莫川厅B12040606林煜青B13040708凌 玥B11041527陈焱焱B12041120陈志聪B13040718许鸿坡B11041405张 玥B12041111刘慧飞B13040727施大康B11041516郭怡薇B12040907王鑫华B13040803杨鸿源B11041414贾海宁B12041003季润华B13040809高苗苗B11041501孙慧敏B12040927龚京洲B12041112朱 骞B11041528佘开宇自动化学院(86人)B11050104陈凌子B11051105秦怡宽B12051125姜晓磊B11050201刘 思B11051103陈 梦B12051102王睿怡B11050223黄炽宇B11051132贾艺典B12051109张宇飞B11050302杨 璐B12050304刘玉婷B13050121吴洋B11050305唐碧珍B12050315孙宇B13050113龙肖灵B11050324徐尚坤B12050307徐海霞B13050406胡明雪B11050809朱信帅B12050208储足奇B13050222余垚博B11050404张 萌 B12050225夏星宇B13050227张晓逸B11050407章婷婷B12050303付峥B13050412田志勇B11050410王 星B12050103欧旸晖B13050229陈长开B11050506杨 蓉B12050111朱志游B13050203石卉B11050515刘 欢B12050306徐可可B13050107韩悦B11050528覃 斓B12050503徐晓宇B13050110丁九胜B11050601王秀才B12050409史雨缘B13050109魏域琴B11050607王顺铎B12050402李凯利B13050526曹慧坤B11050627景天尧B12050410朱小聪B13050529谢昌B11050701宋广菊B12050701王迪B13050624徐犇B11050702肖亦琛B12050705郭晓燕B13050626谈龙照B11050703赵承冉B12050707蒋明洁B13050628常源隆B11050719陈剑波B12050720郑延兵B13050702张时B11050729曹 驰B12050703闫亭玉B13050709王鲁B11050901孙艳B12050626谢斗铖B13050802张徐莹B11050903张宏宇B12050913石志超B13050818林沪生B11050904张晓敏B12050902王海迪B13050903张芳B11051001王甜B12050912王力B13050919张家宁B11051006黄校娟B12051010童菀蓉B13051029龚伟B11051013仰秉旭B12050922陈雪雷B13051206周骊娴B11051102 马银秀B12051005李婧B13051208曹佳男B11051104胡昭杰B13051211虞小辉材料科学与工程学院(57人)B11060206吴文文B12060105李雪B13060211焦灿灿B11060204刘俊娜B12060201马超群B13060130胡善明B11060109陈诗青B12060202刘园园B13060206沈子钰B11060228唐俊伟B12060303朱姗B13060301王伟B11060101牛惠莹B12060306杨伟杰B13060330季开洋B11060202王淼婧B12060310顾明丽B13060402于飞玲B11060308姚晓英B12060404范潆方B13060309张杨柳B11060324林俊瑞B12060412刘LI中B13060333徐若尘B11060310郝秋语B12060501田思源B13060412倪文君B11060406侯雨轩B12060505陆梦佳B13060533费洪涛B11060425金磊B12060537程康B13060509袁成凤B11060404张婷婷B12060604张莹莹B13060623吴亚南B11060607林听听B12060606杨蓉B13060539戴苏扬B11060602刘德亭B12060615刘自超B13060503王静文B11060603张迎娣B12060623李联炜B13060707姜茜B11060626陆沛慜B12060629翁荣太B13060806汪晓蝶B11060504张思琦B13060208龚莉B13060713程佩珊B11060507徐明娇B13060118许新B13060703孙宁欣B12060104刘珊B13060129胡朋B13060709顾雯文物联网学院(57人)B11070502阮文婷B11070617吴筱琦B12070503严嘉赟B11070201张琴琴B11070727徐匾珈B12070523杨宏胜B11070103李瑶B11070711王硕B13070106李元锦B11070503杨溢B11070708潘霞B13070209谭 婕B11070530袁开坚B12070207徐晶晶B13070419张文涛B11070304张梦婷B12070210王睿B13070212丁修正B11070307董伊格B12070405彭慧珺B13070108姜昕蕾B11070407葛立蕾B12070103闫文柯B13070402张丽娟B11070107董怡B12070205易雯B13070130岳一峰B11070308蔡玮B12070101刘梦B13070210谭 瑾B11070404张佩B12060633曹宇B13070407聂玉涵B11070203肖星琳B12070202吴宝桐B13070128邵志亮B11070507黄羽茜B12070206姜昊玉B13070335蒋毅天B11070306钱心怡B12070318李阳B13070433郭松成B11070213刘鹏远B12070110王裕杰B13070613戴 然B11070521邢磊B12070105吴尘B13070605苏 畅B11070104陆倩B12070505张艳艳B13070533赵春晖B11070607蒋智鹰B12070508殷其媛B13070532罗可铖B11070626陈志雄B12070504何悦B13070512陈清子理学院(46人)B11080208章芳媛B12080217许春杰B13080220张 杰B11080221周 杨B12080103冯昕晨B13080217许 鑫B11080122陈桂林B12080203刘胜兰B13080107赵敏钧B11080202卢梦怡B12080123林佳伟B13080331浦耘浩B11080205苏 陈B12080321胡晟明B13080316钟琼瑶B11080106陆琳玲B12080315李 铭B13080319赖颖仪B11080303张 洁B12080302刘 艳B13080313庞 敏B11080404陈海霞B12080318张友业B13080402王露瑶B11080302孙慧敏B12080503岳 灿B13080408杨美静B11080316吴增辉B12080513杜剑平B13080615孙颖异B11080408商亚莉B12080516张 帅B13080515张兴雨B11080605顾娇娇B12080509王康年B13080529徐 鑫B11080602王玉梅B12080607王志锋B13080611王 晗B11080617李逸之B12080510白如琦B13080531梁宏宇B11080507毛德洋B13080110缪 芸B13080629郝思强B12080114薛天舒地理与生物信息学院(65人)B11090705钱 超B12090104李雯萍B13090216刘鹏锐B11090702周海莉B12090103张玉伦B13090318李伟迪B11090711张 驰B12090101方文丽B13090329高 升B11090612吴 红B12090215李鑫驰B13090332曾撑撑B11090601张 宇B12090310穆文文B13090401朱 萌B11090617贾桂庆B12090401王 玲B13090424高云龙B11090611储怡娟B12090329黄志成B13090511赵 敏B11090117刘嘉勋B12090318孙健豪B13090538高 晖B11090120张焕敏B12090416马闪闪B13090608何伊伊B11090204袁 一B12090510孙金涛B13090609汪佳琴B11090206温 怡B12090503陈丹丹B13090612陈烨婷B11090208路 璐B12090605苗丹丹B13090637谢 阳B11090218汪晓傲B12090612吴金慧B13090638谭 毅B11090403季 宁B12090711彭 月B13090701马丽茹B11090423郭 健B12090707柴青青B13090710宋志华B11090303张正霞B12090712许 婷B13090712顾 静B11090304张明霞B12090706李港妹B13090733戴 超B11090416陈振天B12090603张亚萍B13090817刘 胜B11090402张 洋B12090734郑三宝B13090827胡 冬B11090503陈羽茜B13090101卜筱凡B13090107杨文莉B11090504武晨雪B13090103叶凌梦B13090128赵 鑫B11090506谢国静B12090102田 贺传媒与艺术学院(45人)B11100422黄玉珠B12100403王佳艺B13100414胡晓曼B11100409邵倩雯B12100510钱枫嫣B13100432缪云伟B11100404刘文雯B12100516裴文蕾B13100501王玉萍B11100317徐秋榕B12100517薛颖B13100612吴琰B11100408张雯B12100519戴婧婧B13100613邱丽媛B11100307张驰B12100608朱建芳B13100619孟若兰B11100619董丹清B12100708周婧妮B13100620俞苏洺B11100609严海燕B12100709郑雨婷B13100621郭静B11100517徐静佳B12100713梁文郁B13100622董媛媛B11100620蒋文雯B12100716谢蕾B13100703王婧B11100523马少博B13100307时雪B13100705史佳B11100616顾雨蓉B13100324王英杰B13100709张靳B12100302王琳娜B13100402马萍B13100712周文婧B12100325漆雨涵B13100411孟晓妮B13100813姜以文B12100329迟旭B13100410郑甜琪B13100820浦靖雯经济学院(64人)B12110323徐慧B12110109李沁B11112412吴敏B12110217赵玉珠B13120101丁群B11112511徐维B12112421卞茹B13120115郝慧杰B11112402孙思宁B12112419张慧敏B13120206叶素娟B11112210施银桢B12112403孙月B13120221顾吉B11112310曹颖B12112407孙倩倩B13120417金文B11112211王菲菲B12112514崔雯燕B13120337徐备B11112334王锋B12112503宋雅文B13120308孙杨薇B11112208王婷婷B12112537何峰B13120403王安楠B11112209孙璐B12112528王珏B13120331蔡媛梦B11112203王蓓蓓B12112222黎月B13120422凌琳B11112308吴晓雨B12112220郑雅丽B13120515郑颖颖B11110315陈尔冬B12112210陈倩B13120624富 丽B11120128赵晨B12112214朱健乐B13120616周 敏B11110231曹振彪B12112332汪学军B13120638裴增贵B11110325燕小林B12112307曹裕倩B13120511陈 颖B11110230陈雨豪B12112333何鹏B11112430王晨B11110121曹婉秋B12110101马媛媛B11112516叶婷B11110101王东苗B12110124蒯欣欣B11112506 徐夙B11110223韩秋玮B12110121崔思佳B11112522邓琪B11110112周乐意B12110123蒋丽婷B11112513缪慧云B11110206王霁虹B12110116陈艳雯管理学院(192人)B11112019周 婷B12112041陈倩倩B11111725郑 爽B11112109陆超文B12112053张华菲B11111703蒋文婷B11112130张王娟B12112122毛潇逸B13110717范伊蕾B11112133马恒侠B12112130徐 华B13110511苏晓童B11112107曹 雨B12112102孙 阳B13110618金若曦B11112026王苏红B12111119成 岑B13110715陈丽娟B11112001曹新惠B12112042史利平B13110711余盈盈B11112015赵 静B12110609俞玉华B13110625曹 敏B11112014陈天宇B12110422黄 印B13110602马紫薇B11112034叶 程B12110412陈慧敏B13110605王 娟B11112052刘 霍B12110405严兰兰B13110714杨越毅B11111414程 楠B12110401王亚敏B13110608朱妤涵B11111517郑 倩B12110716金曦烨B13110609许 蓉B11111428强恩德B12110707严俊洁B13110503刘 昕B11111511华 娣B12110718赵云蕾B13111802王冰冰B11111409张 艳B12110804李 丽B13111810范梦迪B11111422顾 雷B12110803张爱梅B13111905张绮璇B11111407王思琪B12110814钱晓雨B13111915梅妍霜B11110404孙 悦B12110817戴 文B13111814曹亚丽B11110422蓝筱妮B12110813夏 敏B13111909周明锐B11110405朱嘉玲B12110913梁 好B13111322高梦洁B11110423潘 微B12111201梅 菁B13111326蔡特金B11110611杨映雪B12111318马慧芳B13112004卢加瑞B11110523张占胜B12111202余 丹B13112002方晓纯B11110604孙培庆B12111332施衍龙B13112004刘珂瑗B11110528金 鹏B12111213丁 虹B13112013赵静蕾B11110612陈珏莹B12111316陈 荣B13111226樊 晶B11110627袁子龙B12111309盛文秀B13111109张瑞可B11110726杜万恒B12111326张奚枫B13111218范舒婷B11110715盛梦雅B12111706范 茜B13111314辛恺钰B11110713袁兰兰B12111613蔡 洁B13111323高 媛B11110906吴 思B12111606渠 匀B13111214陆佳妮B11110804刘 璐B12111712杨文芹B13111310吴 昕B11110813盖金玉B12111607邓 荧B13111324蒋佳彤B11110806朱婷婷B12111734余海民B13110101王 菊B11110914薛 莹B12111718彭泽宇B13110104刘 淼B11110807宋雅蓉B12111616何俏芬B13110113胡 婕B11111106何 畅B12111903杨 凯B13110127苏 越B11111107张甜丽B12111806杨 樱B13110202王梦佳B11111104田义秋B12111810陈 颖B13110211李 娟B11111006杨芝乐B12111922孙 超B13110215陈 滢B11111003孙 香B11111808戴媛媛B13110305孙 悦B11111004朱梦兰B11111805晏肖云B13110306张沁威B12110606周 静B11111911凌志星B13110308张 莹B12110601王剑兰B11111910刘 彦B13110411杨子江B12110514蔡晶晶B11111816徐珍珠B13110431姜德志B12110506许一凡B11111908陆晶晶B13110822黄 茵B12110510金梦琦B11111801韩贤冬B13110808刘嘉欣B12111102王冠楠B11111912朱 霞B13110930吴伟伟B12111013徐雅丽B11111301孔令丹B13110917季蕴慧B12111106杨 欢B11111206韩佩芮B13110818赵怡雯B12111105张冰茹B11111338钞贺森B13111009孙雨桐B12111108陈赫岩B11111203丁 敏B13110924崔仲聪B12111416董晓云B11111302朱旭燕B13111012阮伊婷B12111509吕添厦B11111322蒲小英B13111609朱亚琴B12111508严雪梅B11111214韩娇宁B13111405叶海燕B12111409卢爱菲B11111202张 颖B13111417冯童童B12112133刘胜男B11111308范桢怡B13111502邓文敏B12112033刘 露B11111601弓朵阳B13111511袁亚纯B12112111周 琪B11111613余 星B13111603东梓旋B12112008黄家唯B11111733郭袁伟B13111720刘瑞鹏B12112021刘云聪B11111625陈凡红B13111615徐 雯B12112044王凤琴B11111715田思心B13111731黄阳江豪B12112022鲁 慧B11111717戴梦婷B13110304史 珂人文与社会科学学院(62人)B11120313毕露B11120507秦 洁B12120718邹玉如B11120216任亚男B11120515张 君B12120602蔡洁B11120223何梦B11120112张夏夏B12120605王煜枫B11120314陆晓燕B11120125郁艺文B12120628张旭东B11120335李运B11120126贺丹B12120609施姝B11120207肖雨恬B12120118杨高慧B13130303王衔B11120217姚敏B12120101王正姗B13130313张子馨B11120222耿南南B12120125郝茹B13130414柯媧B11120718聂琴情B12120129高月云B13130318赵伟君B11120719从光静B12120218王娅B13130416夏双B11120724王烨B12120205王颖B13130417徐朝莉B11120707陈秋宁B12120203刘丛丽B13130510杨雪B11120703钱文静B12120315何祥玲B13130614陈语晶B11120601张苗苗B12120417董凯荣B13130609何烨B11120614张文晗B12120415程勤勤B13130103卢金娟B11120417张春花B12120508石琪B13130727顾雨丹B11120425胡慧霞B12120509李天姝B13130713李晓丹B11120409季冬琴B12120518孙莉B13130704朱 朱B11120420王春梅B12120414赵畅B13130805胡婷婷B11120401白 玉B12120613龚琪琪B13130807王 爽B11120415董 地B12120606汤颖外国语学院(53人)B11130104冯 昳B11130631张书豪B13140308邹 滢B11130106刘 旭B11130712朱明慧B13140317鲁天娇B11130201王 婧B11130701杜 珍B13140319谭诗语B11130206沈嘉煜B11130710周 旋B13140302王珂萍B11130211施玉香B12130108周 哲B13140405吴 真B11130216高 雯B12130219徐 畅B13140414曹晓静B11130223罗 迪B12130211李 盟B13140406张俊利B11130306张彩云B12130222钱丹萍B13140206厉佩逾B11130316脱瑞卿B12130314胡 慧B13140626伍少堃B11130322张中豹B12130411杨林青B13140605叶晶晶B11130402王泽西B12130318顾盼盼B13140706叶 芳B11130508徐锦艳B12130418顾 烨B13140724程杨杨B11130510刘 叶B12130415赵 静B13140726谭 玲B11130517查宝丽B12130715顾丽娟B13140814沈 炜B11130522李小雨B12130621彭星辰B13140812张 婷B11130525陈曼曼B12130620周 晴B13140813张 越B11130530杨明格格B12130718李 云B13140105朱 蓓B11130613蔡 慧B12130618张星星教育科学与技术学院(30人)B12140133陈佳星B13100209陈静静B11100110郁延珍B12140121闫梦奎B13100107肖昵B11100212郑涵B12140109陈静B13100202朱瑞萌B11100215丁濛濛B12140113高怡馨B13100213赵金环B11100106杨春玉B12100105江珊B13150106李琳琳B11140209薛冰芳B12100102王潇凡B13150107杨晶B11140206张苑B12100101王丽君B13150103王备备B11140203王蕾B12100206徐倩B13150201刘佳琪B11140125梁胜昔B12100103朱玉玲B13150124杨苏B11140106宋蕾B13100103朱姣姣B11100103司马钰B11140104李胜艳海外教育学院(72人)H11000401吴冰玉H11000810刘亦君H12000124虞 高H11000201方茜H11001009陈心愉H12000201程义清H11000403宗克勤H11001023陆炯铭H12000205沈 逸H11000117李俊杰H11001113李亚男H12000307赵凌妍H11000221胡昂H11001105吕迪H12000404吴思琪H11000616吴迪隆H11001119周馨雅H12000517陆天宇H11000103张蕾H11001111张婧清H12000403王 韵H11000504赵安琪H12000809韩琭明H12000410陈 祺H11000612孙盟H12000603许珈艺H12000325张 帆H11000203孙艺璇H12000910朱媛媛H12000408蔡 昱H11000223徐子奥H12000909周诗珂H12000427夏文韬H11000305周滢星H12001114刘冰清H12000504徐晓雯H11000409王佳梦H12001016王天祎H12000426吴 尧H11000105胡睿敏H12001108洪玉乔H12000211黄 旭H11000204杭燚灵H12001010刘 杰H12000202戴英姿H11000503周祎H12001103成彦晖H12000804徐艺丹H11000427曹浩彤H12001112孔 茜H12000726周鸣晓H11000417吴奇H12001104邓晓凡H12000720徐双双H11000921易凯祺H12001110黄 莹H12000604姚艳柳H11000805苗慧宇H13000303刘枫荷H12000608丁艺轩H11000804练文蔚H13000305李树妍H13000413谈嘉惠H11000718徐立力H13000107谢宇辰H11000913朱小强H11000803周菲H13000108强梦烨H13000411徐静媛H11000826戴攀H13000408钟庆悦H11000901陈祥薇贝尔英才学院(44人)Q11010318邱敏杰Q12010105黄舒婷Q12010230焦智Q11010309丁文江Q12010208余雪玮Q12010126周裕杰Q11010121赵鹏飞Q12010115杨冠Q13010105张 曼Q11010114孙坚Q12010102王凯Q13010103吴柳青Q11010110王前隆Q12010103邬志东Q13010121张 贤Q11010112乔力Q12010126黄佳Q13010104张小盈Q11010119周昊Q12010127林怡阳Q13010204刘思雨Q11010311史经启Q12010215王恺 Q13010216 束方迅Q11010127谢晓辉Q12010117徐斐Q13010203包秋霞Q11010209丁煜Q12010107顾佩月Q13010209喻渲清Q11010124曹雍Q12010110马宇洁Q13010224赵 亮Q11010120郑良宽Q12010209金梦思Q13010504邓雨倩Q11010211刘薇Q12010210姜静艺Q13010514李丝琦Q11010317李涛B12070420陈陶Q13010521黄小凤Q12010315柳钮滔Q12010203刘波应用技术学院(42人)Z12160630张俊雅Z12160705刘赛男Z12160820邓嘉栋Z12160616王一惠Z12160747丁晓龙Z12160806张义丹Z12160626郭莉缘Z12160731邢振亚Z12160808王琪Z12160911张田田Z12160729宋戈Z12161125李毯毯Z12160937李训东Z12161005刘静Z12161107秦婷Z12160928叶春阳Z12161003黄莹Z12161120许清Z12160922袁莉珍Z12161006周洁Z12160117朱美陵Z12161007徐金银Z12161049李令达Z12160135吴琼Z12160218曹英Z12160321尤小静Z12160125蒋泽群Z12160208何倩Z12160326黄丽娟Z12160102孙佳琪Z12160210徐文Z12160305陈莎莎Z12160430王英Z12160201康华Z12160310何祯桢Z12160423刘仿林Z12160527冯静Z12160525张玉双Z12160403葛佩Z12160501陈雯Z12160528汪元元Z12160420周兰兰三等奖学金(共1673人)通信与信息工程学院(187人)B11010312万 鹏B11011301于慧B12010126徐进B11010704李婷婷B11011424陆驰B12010528郝强B11010217何 森B11011311周怡臻B12010408路晨B11010508熊 毅B11011601吴少琼B12010402张忠娟B11010802乔梦璐B11011505朱丽萍B12010130章康宁B11010102杨晨希B11011506罗媛B12010821束丰B11100129董 彬B11011502兰双双B12010825陈旭东B11010413王佳才B11011503刘婷玮Q12010205朱晓芸B11010507傅 辰B11011615李亚鹏B12010711刘世裕B11010224郦烜杰B12011125陈扬B12010301卫逸梦B11010203李俊瑶B12011024陈季B12010309潘菲B11010424郁 林B12080106沈瑶B12010708赵烨B11010216许钧泽B12011014卢钊B12010106周碧婷B11030715张 鹏B12011105朱雯慧B13011329洪盛B11010722范 博B12011106江春霞B13011027杭鑫伟B11010811王智刚B12011034曾意B13011118毕运蛟B11010109樊雨婷B12011007周青B13011009谢尹B11030507游 悦B12011103吏晗B13011110袁迪B11010311丁健宇B12011110胡珺B13011315刘宏建B11010604许 月B12011120张孝甜B13011123杨骋远B11010926娄 超B12011128姜帅B13011206黄竹雅B11010921周信廉B12011129徐云飞B13011127郁星成B11010807顾源源B12011012王晨潮B13011334魏琛B11010906韩逸婕B12010903孙苗B13011224赵志斌B11010301王诗云B12010904李筱青B13011311马培尧B11010609蒋君妍B12010915左宇涛B13011501毛雨婷B11010524耿志明B12011327郭天生B13011521冯朔B11010525郭 晗B12011206宋一帆B13011417郭硕B11010803任 玮B12011227程百川B13011804张瑶B11010611王丛超B12011320吴程昊B13011713姚天B11010310蒋 蕊B12011211陈映表B13011809周睿B11010506高 敏B12011311张珍玥B13011819张英华B11010522施 展B12011207李艺雯B13011814黄秋B11010707孟晓宇B12011314桂舟B13011813黄垚B11010606林祎婷B12011329薛建伟B13011803朱彤悦B11010107黄艾洁B12011416邹伟豪B13010533濮睿智B11010511孙天宇B12011411刘宇B13010504宋 晨B11010723胡林曦B12011509王宇然B13010909梁韵方B11010709楚溶菡B12011518张建建B13010201丁诗铭B11010202孙思怡B12011502张雪B13010311于佼良B11010918肖云超B12011412许小徐B13010632温永杰B11010402王志娟B12011525陈传亮B13010805张艺于B11011014张一帆B12010705汪丽青B13010806陈 颖B11060606周莹B12010214朱泊远B13010510殷 悦B11011022黄晓辉B12010605周敏程B13010501王 钥B11011107盛秋艳B12010804汤赟B13010110常 茜B11011210王朝鹏B12010526金泽谦B13010208陆诗缘B11011203杨丹B12030536魏陈佳B13010633葛 波B11011003何蕾B12010327施宇锋B13010405杨兵清B11011208王子恒B12020111滕晓雪B13010706蒋欧阳B11011007陈超B12010220岳洋B13010511王杨芃B11011215吴轩德B12010427唐奔流B13010605吴步娟B11011216张齐B12010529黄偲B13010626凌 峰B11011020耿瑞昌B12010806李妍B13010815宋 敏B11011105李琴娜B12010125徐王骏B13010210丁佳伟B11011221林春B12010115李智B13010219江 泓B11011307祁琦B12010505时圣男B13010807赵 虹B11011332熊永聪B12010209樊雪梅B13010812方垣闰B11011410管琳娜B12010523杨望B13010232陶 巍B11011402王薇薇B12010406龚洁B13010304李亚婷B11011329傅鹏B12010113凡建B13010229郭智超B11011305王婷B12010604李婷B13010714朱欣宇B11011331慕洪飞电子科学与工程学院(85人)B11020305理亚如B11020620蔡函格B13020210窦小曼B11020228黄裔国B11020622周乐俊B13020211魏良玉B11020328钱 威B11020727庞屹林B13020219余 凡B11020321陈霖坤B12020333黄敏豪B13020223张 煜B11020209马冀WEI B12020304杨 洁B13020301邓 玥B11020212王榕炜B12020221宋吉瑞B13020305沈 婷B11020208卫靖夫B12020312万景涛B13020311瞿 颖B11020112史博文B12020301王思玮B13020334黄 杰B11020312朱和平B12020207殷 雯B13020404陈 馨B11020101丁菲菲B12020135霍宥良B13020405欧阳颖洁B11020114刘本超B12020212臧珊珊B13020407胡春晓B11020302石瑶宁B12020204郑乔丹B13020416冯 景B11020119李品炎B12020332渠方超B13020519宋相男B11020405郭羽涵B12020106郑 萍B13020512田江浩B11020501王文清B12020315卢小双B13020604罗舒婷B11020404李梦萧B12020326巫金桐B13020610纪 航B11020429梁雄帆B12020703邹秋瑜B13020615张见哲B11020525林 焰B12020713刘 晨B13020707徐 玭B11020518吴梓境B12020605余 丹B13020708王海涛B11020406黄晨曦B12020720张 菲B13020711华鑫涛B11020415余天尧B12020608赵 蕊B13020722高德彭B11020401朱 萍B13020102刘敏敏B13020725谢锦明B11020508王 波B13020105张国林B13020807傅 婧B11020617刘良浩B13020108顾 娇B13020834路楚涵B11020703吴虹霁B13020111康 娥B13020928高梓喻B11020610陆启乐B13020123周 润B13020932蒋 思B11020607王 超B13020206徐文倩B13021003周 莹B11020709麻 雯B13020208蒋骁迪B13021007熊 欢B11020706张 洁光电工程学院(78人)B13030619吕达文B12030118田 严B11030124郑佳伟B13030406杨 颖B12030130夏从磊B11030233谭启龙B13030109赵紫娟B12030201王 笛B11030125党智勇B13030304吴 婕B12030232蔡 宇B11030201马 琼B13030404宋 依B12030212雷雯婕B11030307袁雪婷B13030504张丹怡B12030213丁嘉毅B11030203田丹丹B13030105张雨茜B12030210郭思婕B11030111王振凯B13030311温 艳B12030607苏倩倩B11030304张冰清B13030218刘子扬B12030604刘 秀B11030119李颇彧B13030135蒋子豪B12030609林钧映B11030227高 律B13030732高 仁B12030421朱浩瀚B11030303朱丽洁B13030405李育文B12030412熊 慧B11030409王 猛B13030620朱益铭B12030425沈 聪B11030623曹文生B13030307陈芸洁B12030506苟 姗B11030519李 乐B13030606沈 彤B12030605江 波B11030716李廷清B13030626杨耀凯B12030401代瑞楠B11030510王 春B13030621张延添B12030504张元方B11030516汤飞鸿B13030526俞春灵B12030511曹 婷B11030707薛凤兰B13030219何 平B12030608陈梦仪B11030708马卓奇B13030410钱伊俐B12030523汪一峰B11030705梁 颖B12030133潘 超B12030413黎 藜B11030608曾灵蕊B12030205张宁澜B12030422吴淑斌B11030709方 圆B12030209姜 媛B11030108陈鸣瑜B11030710毛志豪B12030110闵 丹B11030309谢 琳B11030604何燕梅B12030128周 禹B11030118张煌超B11030704姚 娜B11030619陈 强B11030425章 程B11030402刘亚冰计算机学院、软件学院(171人)B11040101李舒婷B11041415马文娟B12040920沈一州B11040204易 平B11041402张 玮B12040922林剑鸿B11040214刘路飞B11041407朱 琳B12041002陆文玉B11040301王单单B11041401王亚楠B12041105雷 霜B11040225梁 雨B11041508吴 凡B12041019周鸿斌B11040312刘振尧B11041510景 婷B12040919杜 昊B11040313刘智理B11041408王 璐B12041124耿 超B11040307初萍萍B12041412钱香香B12040915吴荣军B11040109藏淑君 B12041406刘亚丽B12040914吴 凡B11040325项文雄B12041506刘海霞B12041122施文义B11040111凤 伟B12041510乔昊昕B13040905侯利萍B11080317张少波B12041502张瞾夏B13040906钱 颖B11040601毛梦娇B12041530刘为成B13040917石明栋B11040502王 轩B12040107余 静B13040930徐忠武B11040611曾梓叶B12040212焦 岩B13041001吴 敏B11040405刘 文B12040104申 颖B13041004郑 亭B11040610周 璇B12040201方凌琳B13041013汤涌泉B11040429周正平B12040231郝一鸣B13041037戴雪龙B11040401王丽菲B12040206吴沐阳B13041103刘 颖B11040432梁师哲B12040123陈 龙B13041231耿成靓B11040410陆 瑶B12040109陈雪倩B13041131顾周超B11040503王林慧B12040217朱希迅B13041209王 琪B11040506吴倩蓉B12040333黄本轩B13041107黄 娟B11040504许 靖B12040202王 宁B13041206蒋瑜歆B11040513王艺迪B12040113薛高倩B13041126罗志添B11040417吕胜超B12040105乔 滟B13041215冯晓彬B11040728韩智培B12040710王 磊B13041412史忠才B11040701王晓宇B12040814孙 霄B13041425林书文B11040724高显强B12040703羊梦娇B13041301张文文B11040801方汝雪B12040727高建祥B13041434蔺永祥B11040822徐 瑞B12040729董银川B13041422杨登辉B11040705周倩茹B12040707王 念B13041428姜桂良B11040725常平儒B12040724洪海诚B13040104吴玉心B11040803田小雨B12040702汤 伟B13040108陈彩云B11041302卢海燕B12040818吴梓进B13040111王 贺B11041201马 蓉B12041304杨婷婷B13040114朱锦浩B11041301万 璐B12041318陈何渊B13040211马学锴B11041305刘佳楠B12041209方昌权B13040318张怡松B11041314李长远B12041324徐 威B13040403李自桢B11041204李旭霞B12041301丁 勉B13040415冯加成B11041216苏子松B12041218李奇畅B13040418吴 象B11041110严 浩B12041310王添奎B13040421张建明B11040906蒋玉娟B12041222钱 成B13040433谢慧B11041122赵学斌B12041302马智颖B13040502史夏琰B11040926薛 凯B12040504杨雪婷B13040508赵徐艺B11040927魏嘉酉B12040420李文杰B13040616刘鹏晖B11041004位苏祎B12040528高 扬B13040620张龙洋B11041020顾 伟B12040520李瑞锋B13040635靖世铭B11041008朱天任B12040508周琼漾B13040705李思颖B11041120宣 杰B12040405汪亚兰B13040716宇世康B11040922高 磊B12040615祁凌涛B13040721李 涛B11041009严 勇B12040411蔺 岩B13040812卜浙浪B11041404顾梦婷B12040402刘露瑶B13040823陈及煜B11041505吴笑笑B12040501王 萌B13040825罗汉新B11041409徐桃林B12040607侯小宇B13040827姚 远B11041406吴青青B12040604杨 珊B13040830徐 帅B11041506严 朦B12040613王 鹏B13040834曾庆伟自动化学院(94人)B11050106杨 敏B11051002冯晨晨B12050713李建成B11050108刘 克B11051003夏梦洁B12050719周鹏B11050228戴俊翔B11051024贾庆宇B12050805陈灿B11050304陆 静B11051101于飞燕B12050826姚江松B11050319麦观桂B11051107葛昱彤B12050923陈铮B11050325戚 彬B11051110马 腾B12051007周灵B11050405周美君B11051125范科达B12050914任豪B11050425高凌峰B11051131袁少伟B12051024袁俊梁B11050501王 洁B12050116杨新伟B12050910满飞B11050504张绪芹B12050217张志舜B12050901马小兰B11050505杨雨诗B12050106黄文颖B12051105贡玲霞B11050507林鸿雁B12050222施佳卫B12051124周鑫B11050516巩伟杰B12050224姚鹏B12051104刘梦雅B11050517许佳炜B12050118张显B12051116邓旸旸B11050520宗玉杰B12050215李亮蓉B13050313王弦B11050604臧 静B12050113刘轶川B13050331葛晟宇B11050614张东晴B12050102张玮婷B13050332葛健B11050611朱岚康B12050101杨咏仪B13050403李芳琳B11050624翁伟涵B12050227徐炜B13050205李端B11050704翟丽蓉B12050117张启义B13050214王嘉文B11050801王 慧B12050318肖斌B13050105夏秋敏B11050802张 莹B12050507方川B13050228陆弘锴B11050804蔡 文B12050504韩晓玲B13050318严超B11050808刘 彬B12050513杨达B13050111于凯东B11050814李天宇B12050401刘新怡B13050505张思远B11050820鱼黄泽先B12050515吴昌建B13050701吴当当B11050822施欢欢B12050601王敏B13050801杨雪。
闽幼高专学〔2013〕192号关于表彰奖励2012-2013学年学校“先进集体”、“先进个人”的决定在2012-2013学年中,我校深入贯彻落实中共中央、国务院《关于进一步加强和改进大学生思想政治教育的意见》精神,加强和改进大学生思想政治教育,全面推进素质教育,涌现出了一大批团结进取、奋发向上的先进班集体和品学兼优的优秀学生。
为表彰先进,树立典型,经研究,决定授予学前教育系2011级(1)班等12个班级为“先进班级”,艺术系2009级艺教(2)班等5个班级为“优良学风班”,人文科学系2011级计算机教育(1)班等5个班级为“优良学风进步班”,叶少华等16名同学为“优秀三好生”,丘凌凌等118名同学为“三好学生”,黄如炘等139名同学为“优秀学生干部”,张子逸等289名同学为“学风建设之星”的荣誉称号,颁给龚静怡等750名同学奖学金。
希望受到表彰的集体和个人珍惜荣誉,戒骄戒躁,再接再厉,不断进步,同时希望其他班级和同学向受到表彰奖励的先进班级及个人学习,锐意进取,刻苦学习,努力提高自身综合素质,成为德、智、体、美全面发展的社会主义事业建设者和接班人。
附件:2012-2013学年受表彰的先进集体和先进个人名单福建幼儿师范高等专科学校2013年11月13日主送:各系福建幼儿师范高等专科学校办公室2013年11月13日印发附件2012-2013学年受表彰的先进集体和先进个人名单一、先进集体(一)先进班级(12个)1、学前教育系2011级(1)班、2011级(2)班2011级(5)班、2012级(105)班2012级(107)班、2012级(110)班;2、外语系2012级幼英(1)班、2012级幼英(2)班3、艺术系2010级艺教(2)班4、人文科学系2011级中文(2)班、2011级数学(1)班2011级计算机(1)班(二)“优良学风班”(5个)学前教育系2011级(6)班、2012级(1)班艺术系2009级艺教(2)班外语系2012级(2)班人文科学系2011级初教中文(2)班(三)“优良学风进步班”(5个)学前教育系2012级(6)班、2012级(4)班艺术系2011级美教(1)班外语系2011级(6)班人文科学系2011级计算机教育(1)班二、先进个人(一)优秀三好学生(16人)1、学前教育系(7人)欧雪艳、何乐霞、陈梅玲、张凰、丘凌凌、郑雅雯、杨小玉2、外语系(3人)叶少华、龚静怡、林柳妃3、艺术系(3人)张子逸、龚梦予、刘瑾瑜4、人文科学系(3人)许晓庆、夏佳玉、陈雪芳(二)三好学生(118人)1、学前教育系(61人)欧雪艳、马行东、周燕、严冬琳、丁若彤、黄丽萍、王塑清、叶明雪、黄冬梅、蔡园雅、叶珊、林鸿莺、何乐霞、郑舒颖、陈梅玲、张凰、肖娜娜、邓思、吴佳娟、林玉琼、李小花、张美亭、胡佳梦、沈玉莺、方娇、林美秀、李丽芳、陈月莲、张晓靖、林惠玲、丘凌凌、李震、陈嘉磊、翁建霞、徐芬、张琰、林晓岚、陈秋霞、卓林诗雨、符云霏、吴云婷,陆泽英、徐君瑜、陈蓉、林颖、林怡凡、岳芳茜、杨小玉、林琼红、黄小珍、林丽霞、朱敏霞、谢琳琳、胡慎怡、庄超颖、张佳玲、林婕妤、郑雅雯、薛思佳、陈韵杰、高钰莹2、外语系(20人)曹茜、林梅清、陈荧莹、林蓉、郑文彬、林丽华、王烨、郑月琴、黄晓丽、蔡婉君、叶燕林、郑芳、肖静雯、詹鸿、邓水梅、黄诗婷、锜秀萍、江诗瑶、王碧贤、王舒泓3、艺术系(16人)张子逸、龚梦予、许舒婷、陈心如、唐琴、刘瑾瑜、王丽婕、林佳、丘如诗、吕红红、肖一欢、颜晶、姚曾莲、陈静、吴诗倩、林琳4、人文科学系(21人)许晓庆、尤孟晴、何梦丽、林丽玲、夏佳玉、蔡滢滢、陈伶俐、陈雪芳、任瑶瑶、熊琳凯、周淑娟、陈爱丁、许燕云、高楚婷、陈婷婷、蔡思玲、吴丽丹、彭世纳、林志娟、杨青、何珍琪(三)优秀学生干部:(139人)1、学前教育系(61人)肖娜娜、邓思、丁若彤、叶星莹、程晨、黄冬梅、赵立丹、黄丽叶、詹林娜、蔡绿苗、莫小丹、童炜琴、沈玉莺、方娇、马倩男、李锦燕、吴逸凡、林悦、徐芬、林欢、王文秀、喻文静、陈秋霞、李露蕾、张涵颖、何思琦、卢怀慈、杨小玉、马行东、严冬琳、林晓燕、傅艺瑶、叶明雪、蔡园雅、林秉玲、黄丽萍、陈雪玲、陈晓琴、陈艳、张海燕、阮品丹、沈玲玲、林美秀、王雅梅、王娜双、任晓雪、李颖、叶晨、翁建霞、林晓岚、徐艳君、张偲卉、王锦星、王萍、林小云、朱敏霞,苏艳艳、黄非砖、陈韵杰、郭宇珊、胡慎怡2、外语系(27人)陈榕、林燕梅、叶琪、林敏、洪禾闲、朱艺颖、胡金英、林秀珍、陈舸遥、游钰芳、吴菊燕、黄艺婷、施萍萍、曾秀琳、王明琴、朱道芬、魏云霞、陈慧玲、高林薇、张莹颖、吴小苗、涂晓真、周韵娴、邱玉华、张敏珍、杨陈芸、吴海英3、艺术系(22人)郭育权、兰小烨、吴丹、黄砾莹、林爱萍、何思婕,杨琳,麻舒意、李明华、刘君瑶、黄晓芹、钟雪梅、郭秋玉、邓微、陈雅婷、周海燕、夏烨、陈金萍、黄秀灵、项丹敏、黄艺鸿、包卓然4、人文科学系(22人)游伍璐、乐柳臻、陈松娜、郝媛媛、陈佳、许娟、翁数凤、郭玲梅、林丽丽、黄如炘、黄玉玲、林娉婷、许延、王碧玲、谢娜萍、陈柳青、黄薇、吴许慧、周敏萍、何艺华、林炜、蒋荣榕5、校学生会干部单列(4人)杨秋芸、付停、颜心炜、顾舒婷6、校团委学生干部单列(3人)王舒丹、林冰晶、王诗然(四)一等奖学金(143人)1、学前教育系(67人)2011级:欧雪艳、马行东、周燕、严冬琳、丁若彤、黄丽萍、王塑清、叶明雪、黄冬梅、蔡园雅、叶珊、林鸿莺、何乐霞、郑舒颖、陈梅玲、张凰、肖娜娜、邓思、吴佳娟、林玉琼、李小花、张美亭、王华玉、胡佳梦、沈玉莺2012级:方娇、林美秀、李丽芳、陈月莲、张晓靖、林惠玲、叶晨、江晓晓、丘凌凌、李震、陈嘉磊、何思琦、翁建霞、徐芬、张琰、林晓岚陈秋霞、卓林诗雨、符云霏、吴云婷、陆泽英、徐君瑜、陈蓉、林颖、林怡凡、岳芳茜、杨小玉、林琼红、黄小珍、林丽霞、朱敏霞、谢琳琳、胡慎怡、林丽云、庄超颖、李梦倩、张佳玲、林婕妤、郑雅雯、薛思佳、陈韵杰、高钰莹2、外语系(28人)2011级:曹茜、林梅清、陈荧莹、林蓉、郑文彬、林丽华、王烨、郑月琴、叶少华、黄晓丽、吴菊燕2012级:蔡婉君、叶燕林、龚静怡、郑芳、肖静雯、詹鸿、邓水梅、黄诗婷、锜秀萍、林玲芳、邱雅姗、周榕、江诗瑶、林柳妃、王碧贤、王舒泓、李雅彬3、艺术系(27人)2009级:张子逸、郭育权、龚梦予2010级:吴晓君、许舒婷、陈心如、唐琴2011级:江夏婷、刘洁、刘瑾瑜、王丽婕、林佳、丘如诗、吕红红、陈俐、肖一欢、郑亚萍2012级:颜晶、周海燕、姚曾莲、夏烨、陈静、吴诗倩、项丹敏、戴钰冰、林琳、陈欣妮4、人文科学系(21人)2011级:许晓庆、尤孟晴、何梦丽、林丽玲、夏佳玉、蔡滢滢、陈伶俐、陈雪芳、任瑶瑶、熊琳凯2012级:周淑娟、陈爱丁、许燕云、高楚婷、陈婷婷、蔡思玲、吴丽丹彭世纳、林志娟、杨青、何珍琪(五)二等奖学金:(271人)1、学前教育系(128人)2011级:叶星莹、程晨、张铃芳、顾舒婷、黄锐雯、王舒丹、吴琪琪、王莹莹、何婷、吴诗、伍巧玲、李绮萍、颜心炜、陈雪梅、詹林娜、陈玉、林冰晶、王诗然、林晓燕、傅艺瑶、陈劲虹、刘缘军、赵立丹、赖梦玲、衷沁怡、林秉玲、黄丽叶、张伟、林淑芳、卢幸芳、陈艳、蔡绿苗、陈辉玲、陈晓琴、叶周忆、莫小丹、陈雪玲、童炜琴、许丽兰、林秀妹、黄凤、张海燕、叶海却、沈玲玲、何雅慧、黄金姗、阮品丹、席凌晨、林洁2012级:卓郎心倩、张涵颖、徐文靓、蔡丽霞、陈晓莹、蔡冰冰、黄小青、王雅梅、程欢欢、梁玉瑶、庄燕燕、邹丽娜、王娜双、郑玲、郭思雅、卢怀慈、任晓雪、白荣妹、林悦、戴玉华、廖静婷、李颖、陈晓婷、何喜梅、黄小婷、林欢、吕香琴、李芳、喻文静、李露蕾、施凡、陈晶、傅雪、王文秀,林江楠、徐艳君、陈杨、王新花、张偲卉、王锦星、谢少贞、王萍、马倩男、李锦燕、郭金铭、康少娟、林小云、严小莉、白秋婷、郑霖、苏艳艳、魏丹婷、吴逸凡、张玲玲、黄非砖、赵丽英、林雪真、黄倩倩、杜艳秋、肖宇倩、施静怡、江云霞、张茜、杨秋芸、郭宇珊、张颖、李慧绮、龚林珊、洪海敏、施艺琦、陈书怡、陈芊慧、李筱彤、刘晓燕、柯昕蕾、蔡翔林、陈兴丽、陈绮馨、张文文;2、外语系(52人)2011级:陈榕、林燕梅、叶琪、林敏、洪禾闲、朱艺颖、周侠、胡金英、林秀珍、陈舸遥、颜新琦、游钰芳、黄艺婷、施萍萍、薛恩华、林婷婷、曾秀琳、王明琴、朱道芬、魏云霞、魏媛华、詹梦丽2012级:陈慧玲、叶轩婷、周颖丽、高林薇、张莹颖、吴小苗、陈希琴、胡雪雯、涂晓真、周韵娴、邱玉华、陈桂彬、林文惠、张敏珍、杨陈芸、娄洪思、宋虹雨、罗夏芳、施文怡、翁秀莹、叶培杉、陈清玮、陈昕燕、伍敏琳、吴海英、龚娟娟、吴婷婷、黄文馨、范家文、彭燕红3、艺术系(45人)2009级:兰小烨、叶张悦、吴小丹、吴丹、黄砾莹、林爱萍2010级:陈偲悦、林竹心、陈欣、何欣怡、蔡丽蓉、温倩2011级:钟铃、包卓然、张婕、何思婕、杨琳、汤阿华、麻舒意、李明华、刘君瑶、陈青青、付婷、郭秋玉、黄晓芹、钟雪梅、邓微、陈雅婷、严小梅、林雅婷2012级:关振强、游雯婷、何郑英、陈金萍、赖珊美、王小雪、黄秀灵、黄艺鸿、李开、林雅静、方欣悦、王好、黄越菡、林子琛、佘洁欣4、人文科学系(46人)2011级:游伍璐、乐柳臻、陈松娜、郝媛媛、陈佳、许娟、翁数凤、郭玲梅、林丽丽、黄如炘、高丽花、凌之卉、吴芳艺、吴圣灵、黄玉玲、林娉婷、许延、王碧玲、谢娜萍、陈柳青2012级:林炜、蒋荣榕、黄薇、林增英、朱惠敏、林明珠、周春、吴许慧、王琦、陈秀珠、赖苇洁、査淑凤、高聆娜、林晓文、韩金玲、郑佳佳、陈雪玉、李丽菊、王丽红、周敏萍、何艺华、陈婷、游文晴、阮妙敏、洪婷婷、陈小宝(六)三等奖学金(336人)1、学前教育系(170人)2011级:许思灵、张春莹、陈嫦玥、陈华雯、谢子今、陈路、张璐瑶、邱晨敏、潘俞升、林莉、杨佳怡、王榕坊、杨小乐、张婷、王岐、蓝明月、李予芃、颜楚琪、陈怡婷、袁晓云、俞晨露、林丽英、叶长青、李卉、郇月圆、洪柳君、周雪娜、蔡晓苹、陈艳艳、高婷婷、张月华、苏婷婷、汤丽芬、林艺琨、吴晓莲、蒋旭玲、袁媛、邱少凡、张木苗、傅晓婷、许淑芳、黄燕萍、陈玉婷、吴丽香、陈雨、徐凤娟、郑肖、郭思怡、张小兰、阮林芳、李佳媛、郑芳婷、林桂芳、苏敏、黄灵靖、丁叶楠、张梅、陈冬冬、刘雅虹、王娟冰、林晓钉、孙音灵、吴淑金、谢倩虹、林丽、魏梦敏、詹佳佳、林梦婷;2012级:陈美霞、张玉梅、吴惠琴、伍潘虹、沈韦洪、蒋润沂、徐芳、刘丽芳、林倩、钟萍玉、严惠婷、谢如惠、陈晓、梁敏、郑佩、刘贤红、詹芳芳、邱晓倩、陈静怡刘佳佳、林菡冰、刘静、陈铃琴、郑晓丹、杨清、陈丹、叶小倩、刘燕红、李燕群、吴巧缘、吴秋云、黄敏恋、徐丽云、黄晶、陈倩雯、吴佳丽、曹婷玲、张荣荣、涂莉丽、邓晓玲邵倩倩、周娜、黄圆圆、欧琳达、邱雅婷、李凤婷、庄琴、彭静文、李小绮、吴容妹、徐义端、韦曼莹、刘燕敏、郑琪、范娇娜、张君妮、黄幼梅、郑艳英、林儒馨、叶晓芳、朱雅丹、张丽、谭婉琳、黄珠莲、叶晴丽、洪小琪、姜艳、詹晨、吴彬、谢芳丽、季志红、何冰霞、黄婉茹、郑淑娟、暨晓颖、赖菊芳、朱巧玲、王丽玲、邱丽萍、魏琦琦、黄晓漪、高艺宸、刘勤希、郑丽敏、梁雯、陈玉婷、谢小亮、林梓桑、林思敏、黄峘谕、程菁、陈心琳、胡雨晴、庄子欣、周芯宇、邓纯美、叶颖、钟丹盈、姜澜、郑克兰、何巧如、吴娜虹2、外语系(69人)2011级:吴恬恬、谢珊珊、黄世菲、黄志芬、陈琴、张静、郑幼香、夏秀慧、杨梨香、沈有犁、沈静香、江淑枫、曾嘉丽、徐惠玲、杨思婷、颜玉林、杨涵、柯玲玲、江少娜、周修莲、蔡秋婷、吴文娟、曾建超、张燕燕、林妙红、王秀秀、傅燕辉、林巧珍、胡建香、李倩2012级:杨晓红、吴欣、卢淑鸿、张婕、林诗棋、李咪咪、饶楠、林淑娟、陈冬婷、陈晓霞、苏丹、王佳梦、林玲、陈筱彤、陈虹、陈烁、蔡思媚、叶婷、郭秀珠、郭雪婧、李鸣明、王梦露、滕榕、林聪、赵敏、丁雅琦、林媛、应梦琳、谢雪芝、王妹玲、余文英、周燕婷、周茜翎、杨锦华、邵秀玲、林琴、王欣、蔡雪薇、杨晓青3、艺术系(47人)2009级:卓妙琴、廖瑾、陈希、陈文月、郭宝华、刘彦麟、周雪龙、丘彤、陈哲妍、练文琦2010级:钟心倩、严晓丹、林彰颖、李菁、王韦佳、林永珊2011级:郑楠、吴思怡、刘琳琳、陈雨霖、黄茹虹、阙晓芳、吴燕婷、程仕郁、张奕阳、杨玲、林娥全、余婷、俞晓婷、林子人、鲍林惠、林雨薇、邱丽芳、张娇娇、叶梓、洪裕欣2012级:林露露、吴晓娟、杨浩、陈希敏、傅筱昕、何玮祎、赵桢倩、陈恬雨、王小丹、吕雨翰、唐婉婷4、人文科学系(50人)2011级:翁倩雯、叶少君、姚娆纯、陈群英、林泽邦、林蓉、戴雅雯、侯玉梅、吴佩娟、黄承强、卢妙芬、杨艳烽、陈嘉敏、张明杰、叶秋兰、黄丽兰、黄少妹、卢浩、洪振焜、张达林、谢亚琳、王丽娇、张玲珊、周燕玲、甘小芳、沈亚娜、苏君弘、迟顺明2012级:陈梅芳、吴小珠、陈伟晗、蔡月惠、林玲玲、车丽萍、张晓芳、杜玉珠、林炜珊、林丹玲、陈虹、张美玲、林烟菊、吴莉莉、沈默、唐敏、陈榕榕、颜云珍、李雅红、李春燕、吴文群、林星(七)学风建设之星(289人)1、学前教育系(138人)李小玲、张永、洪宝凤、卞彬云、林云清、陈仕婵、王玲、朱军宜、曾柳青、周雪娜、李卉、邵艺娟、袁晓云、郭晓漾、李绮萍、黄巧花、林娟、吴佳萍、洪淑静、陈艺慧、郑肖、李钰、陈艳萍、黄婷、谢兴龙、吴佳娟、邓思、江丽超、朱燕芳、蔡璐璐、郭思怡、陈雨、张小兰、黄丽萍、林桂芳、曾小兰、肖敏敏、黄金姗、雷琴、林榕、刘晓玲、马行东、欧雪艳、周燕、丁若彤、吴琪琪、何婷、严冬琳、叶星莹、程晨、张铃芳、顾舒婷、黄锐雯、方娇、林美秀、李丽芳、卓郎心倩、张涵颖、张晓靖、陈月莲、蔡冰冰、黄小青、程欢欢、梁玉瑶、庄燕燕、王娜双、邹丽娜、陈晓、叶晨、林惠玲、江晓晓、邱晓倩、陈静怡、陈嘉磊、丘凌凌、何思琦、李震、白荣妹、翁建霞、徐芬、张琰、吴巧缘、林飞燕、林晓岚陈秋霞李芳林燕璇卓林诗雨、陈兰英、王晏佳、符云霏、吴霞、王欣、吴容妹、王锦星、邱文燕、王新花、徐君瑜、林怡凡、周琳、岳芳茜、王韵如、陈蓉、林琼红、黄小珍、董巧慧、杨小玉、付刘芳、冯星娥、林婷、谢琳琳、吴亚瑜、谢芳丽、邱丽萍、杜艳秋、林丽端、许婷、陈雅萍、胡慎怡、林丽云、肖宇倩、张茜、杨秋芸、庄超颖、张颖、陈韵杰、龚林珊、陈芊慧、陈琦馨、陈兴丽、张佳玲、高钰滢、林婕妤、薛思佳、李慧绮、郑雅雯、洪海敏、施艺琦2、艺术系(50人)张子逸、叶张悦、兰小烨、龚梦予、黄砾莹、吴丹、许舒婷、林竹心、温倩、陈心如、王韦佳、陈欣、付婷、丘如诗、林子人、余婷、李明华、林佳、肖一欢、陈雅婷、郑亚萍、张娇娇、江夏婷、刘洁、钟玲、包卓然、何思婕、王丽婕、杨琳、刘瑾瑜、陈俐、钟秀梅、黄仕英、王秋子禾、姚雪梅、吴峥岚、陈金萍、黄丽芳、邓小洁、马紫瑶、高帆、吴妍、林博雅、林若诗、林萃敏、朱颖琳、王之琛、周凯宁、李嘉杰、张元3、外语系(54人)郑幼香、黄沣华、洪禾闲、张静、胡金英、江淑枫、陈荧莹、吴卫婷、严如萍、林秀珍、林丽华、吴菊燕、黄艺婷、林颖、林碧琼、郑月琴、曾建超、甘淑平、叶少华、魏晔、李倩、朱晓灵、王鹭芳、魏思婷、林媛媛、纪宁梦、林晓晴、徐庭芳、陈宝珍、徐倩林锦、孙晓敏、林璐璐、邱炼凤、胡凤霞、钟小玲、康凯悦、江雅梅、林冬青、官华娟、何华源、郑玉芳、吴璇璇、吴菲雪、洪婷、龚珍珍、张林妹、江丽莺、赖梦娇、林笳榕、王碧贤、蔡雪薇、龚娟娟、朱慧敏4、人文科学系(47人)林蓉、翁数凤、叶少君、游伍璐、何梦丽、林丽玲、许晓庆、尤孟晴、陈玲莉、高丽花、郭玲梅、吴芳艺、黄少妹、夏佳玉、蔡滢滢、任瑶瑶、熊琳凯、陈雪芳、林娉婷、谢娜萍、张玲珊、高楚婷、林炜、许燕云、林晓文、陈爱丁、黄薇、林明珠、周春、吴许慧、蔡思玲、吴丽丹、蒋荣榕、周淑娟、朱惠敏、陈婷婷、陈梅芳、陈秀珠、林彬铭、林志娟、杨青、黄辉煌、许丽萍、彭世纳、何珍琪、林晓燕、林烟菊。
2012-2013学年度普通高等学校国家奖学金获奖学生初审名单表哲学社会学院卢奥蓝贾开一韦雨含孔秋怡王迪吕慧如蔡重阳文学院程远图林依俐宋美霖范梦婷陈卓毛贺祺于通马天娇白映莎丁硕张洋宋甜甜冯扬骅李怡璇程小雪车东妮何旭李朵王冰蒋子郁蔡麒龙外国语学院江小蓉华淑敏王馨梓张容朱美硕李曦熊怡萱刘斯媛吴丽娟柯咏杉马赫王瑶郭姝雨杜晓航艺术学院关健张言杰张晗吴瀚刘悦明孙圣雄朱健建杜昱玮经济学院毕一博郭雅婷张超磊赵翔实侯德鑫樊华董美辰刘琛聂翠云许晴梁蕴兮张鹤马皓喆丁方潘文杰付昊东法学院马宁沈洁张丽婷李秋麟张婷张慧刘大芬路小洒刘燎原李凯文方天皓张晓荣张雅璇金慧光王君徐明阳行政学院韦姮慧张孟歌聂长芳王铧翊骆文杰李思宇商学院孙彦林李妍邱宏刘天楚刘天目陈星汶于素平孙文琛苑玉梅孙玮璘杜婧卜丹丹梁珣郝子霖汪文昊郑雨佳刘思雨管理学院侯晓宇殷凯奇高钰莉扆兆琳伊雅丽刘荣媛朴玲兰易兴悦司湘云周益萍纪翔阁王俊怡李冠颖数学学院龚铮田田杜燕张艺耀赵泽王瑞姝黄开银于未希臧艺茗沙凝玉逯文琪物理学院孔文洁姜慧李四华严稀韩丽丽李策吴玉龙戴天缘王轶杰石尚齐少锦李学勋杨好好李大卫化学科学学院王佩玺郎双雁徐静张娜孙琳琳周竟博张炳陈鑫杨青韩冰范宇晴曹博成冯靖靖田昊陶淞源生命科学学院耿瑞曹颖孙越郭樊华刘瑜陈欣欣许嘉桐马晓途刘振颖黄陆林肖浚哲机械科学与工程学院冯超刘陶然张永红孙尽举杨雪露张尧金超黄佑佳朱宝行王亚萍张鲁宏李威锋白雅洁林垟钵于丹阳刘炳彤闫冠宇高秋华王耀园王成川刘栋朱锐杨宇汽车工程学院冯兆玄杜倩倩康丹纪成龙邓文哲黄健齐世迁张光攀钟鸿敏杨益段京良李超周奇艳韩嘉懿董文龙苏江平马信张思涛何晓临夏天刚晓新曹冠宁张悦程晋刘璐材料科学与工程学院王怡王青月于蕾叶纯纯任超陈俊汪硕孙鹏李沁芬李玉凡王睿郭涛党剑臣裴长浩王惠民孙博文张沛沛杨斌交通学院薛若男范炜炜樊朋光姜沈阳崔可萌张印熊萌丁泽伟李泊霖叶颖俊李猜李策姜海涛曹沛杨慧敏生物与农业工程学院刘晗朱倩文关欢欢周云虎黄玛嘉杜一民栗华王嘉宁吴思阳王洪雨电子科学与工程学院张经纬卜祥玺张洁刘华鹏张恒隋越刘中梅郭若淼王禹迪张金慧田东徐琳穆相豪黄小华张禹刘芳董超芮鼎然胡腾飞毛廷运陈明凤纪一鹏王新哲谢精玉刘洋李若宁通信工程学院安强周浩麻颖俊康睿孔令晓冯宇东付洋常文超吴星瞾韩珊王恩东柴媛李丰硕胡昕欣刘思源陈华杨涵璐杨露露于汪洋张江南厍睿贾丹丹苏俞頔陈琳娜苗璐南童凌宋翔潘非张毅周苏湮杜臣冯玉芽纪玮毕心怡胡成洋孙宇航马宁唐潇胡颖博佟月计算机科学与技术学院姜云涛陈海敏张禹周家豪牛潇荣黄沛白离张明华孙雨罗建豪左祥麟常成娟罗闪徐煦王沙沙高源应文豪田凇宋天赐刘明洋刘丰石洋穆丽文王亚洲地球科学学院冯婉仪范晶晶余娜赵海士彭卫刚祝庆敏范庆凯赵景辉林超赵娜张英男地球探测科学与技术学院孟雪田富有郭莹高潇朱洪翔李长伟张栋林晨曦张平巴倩倩黎汉民张永博刘嘉蕾建设工程学院陈崇栓张震邓小虎韩婧朱兴运刘尧伍马冰胡倩倩李亚奇张宜伟李永超徐浩迪樊梓元环境与资源学院朱弘琳柳雷曹彤彤梁玉凯李悦刘梦娜雅赵西萌崔斌孟莹孟雪仪器科学与电气工程学院裴利然李娇阳朴冠宇王顺月孙鹏琨邱硕宋继斌蔡珊珊陈雨薇周晖护理学院黄歆梅马俊霞王西鸽王佳姝王滢李卉口腔医学院尹程程相星辰郭润智周祉延范娜娜公共卫生学院王东洲王钰涵于多昝春芳赵雪莲周阳文庞博陈司霖付晓燕吴功华孙莹药学院王文华张菡冯瑞盛巍覃石风郑伟李涛临床医学院塔淞方强尤久琳常笑语王志成杨倩谢建连王冬音李楠郭寒菲齐明然罗浩闫新赵旭彤王思睿王珍杨营营高倩宫萍杜世也张斯文宋晓梁帅王承芯李清月李梓菲应用技术学院景振广刘阳臧琦润张强任印川闫贺王鹏俊李洋洋胡旭李悦贾得凯石中玉隽增明常倩倩陈树利段秀稳王楚然张丰李双晨魏澜体育学院蒋宇乐衣文涛胡煜强丛驰金融学院路京京王畅王星淇常恺翀游岳洲许玲动物医学学院程黎庆薛春玲张冰吕大维王婷王海豫动物科学学院公丽岩肖洋宋浩杨素素索金龙吴至竞王鹤植物科学学院刘桥叶彬彬程彤梁炜薇陈日红岳晏竹张立钊韩雪张家燕贾攀刘芳军需科技学院肖轲薛萌朱冠霖高维羽石云谢媛李卓张婧张亚军贺云昊喻博峰杨祎杜志阳郭宇芹李科软件学院高思伟王玲玲沈家星隋鹏马振国孙晨许元超李晟洁吕林朋刘泽伟孟伟彬药剡蔡健刘强强陈振华。
2008-2009学年第二学期优秀、单项奖学金名单公示根据《学生奖学金评定条例》,经上海应用技术学院奖学金评审小组审核,现将获得2008~2009学年第二学期优秀、单项(含社会活动奖、单科奖)奖学金的学生名单公示如下:材料工程学院一等奖:羊怡雯韩丽仙范灵聪宋施施郝楠葛娇艳周莉张清漪付思昱吴超沈燕谢翠萍杨波波唐胜程张悦悦高圩黄宇轩王彬二等奖:王丽袁佳敏周艺黄佳婧顾佳雯张栋华施婕张佳丽施勤黄庆陈洁黄洪亮周雯洁丁昊姜键陈丽烟李峥戴冬瑶黄邹杰唐佳珮江燕飞倪魏费雯丽王振钱敏华费红霞杨磊孙龙霞曹芸张辉连廷文王永强张宁徐光申君辉陈文陆昕宇申晓璇李晓辉周志鹏林安健吕仙姿程洁羚任春高庄宇雷华跃刘心仪陈旻琦朱晔邵杰俊曹雪芳潘杰三等奖:时赛燕黄瑛宋静张婷婷凌晓燕陈凤贤宋晨绯刘漪徐春燕闻爱丽王洁菲闵丽华刘慧敏韩佳咪潘涛费煜蓓徐爱丽傅君凤朱伟凯冯美龙顾红娟姚春燕梅莉文喻沁雯范妍艳胡玮娜黄英沈岳崔荣耀任佳怡邱月婷曹思勤高孟莉蒋雪吟乔晓燕朱臻姚舒平蒋慧朱杨康倩文陈彩虹韩婷婷王雯怡刘琳茅玉婷陈丽莉马青陆鹏刘宇房文静张雯婷赵美月陆欣张圆圆陈丹燕张蝶张绳延任娴萍高聪朱蕾宋维王依雯祝莉莉由佳郭怡敏周慧婷马琴琴邓雪宋睿瑾陆怡青汪双灿施骁燕刘惠敏李京原单旸杜敏沈凯雷阳磊方颖嵇燕唐凤苏彦宇徐伟李祥勇张晶雯周浩安星州徐芸玉罗晓丽刘鹏常玉龙楼岳霖马一群文瑞黄陈刚屈晓田王丹叶献明李敏沈佳萍吴丹峰何玉婷田颖钱陈玘瑫钱宇翔秦秋红胡佳雯陈莉莉冯旭晶陈岑岑孟星吴丽君冯云飞单小俊黄鹤龙裴相松朱海姜鲁锋社会活动奖:刘秋梅乔江叶春全方超陈寅静陈强郑文静顾月顾建华董惠施春花潘燕莉邵岚周佳杨波波朱怡芸徐光申晓旋钱宇翔嵇燕田颖钱沈佳萍申君辉程洁羚张佳骏单科奖:无机电学院一等奖:宋妍陈杰章云龙卢俊滨吴玉进张浩董祝君樊文娟周笛宋奇林高小童孙乐萍吴畏廖玲英周茂云孟慧君杨姣张文杭周建飞刘天盈刘攀谢李彬汤旭华程常凯常怀见张乐许语诗刘晨皓盛桂芝苏颖陈琳姚璐婧李俊倪若愚陈嘉南二等奖:何鋆张维朱孟明朱彩花龚克张耀君朱文峰瞿薇杨华杰李依娜曹春蓝陆思聪蒋晨杰周丽珏方祺欣吴晓雯罗燕吴雯婷祖馨璐周嵩岑吴昊健覃银红邱晨潘晓玮朱锦栋鲁飘飘陆燕王静朱言悦张越衡张丹凤王天辰张耀宗陈超周志浩祖林均倪玮瑾刘锐林凯李雅雯蔡超段厉蛟伍晓晶刘妍赵斐王春星姜珊李晨璐朱佳丽姚宇金妮何雨珊卢竹君葛俊麟费玉兰史晓丹颜微刘承泽王亚杰丰晟徐聿青顾倩白瑜杜倩丁威傅瓅徐小龙李朋朋夏飞王方青李想王洪岩蔡军徐薇黄佳妮段美玲李兵何敏曦邓志旼郭刚杨钱刘建慧刘新金东尚清文超王俊杰祝世峰刘旭晨吴骏谢荣虎路攀李振凯彭国杰沈丹霞包良邱晨王陈韩斌黄晋依杨建禹卢程晨李磊许超张婷刘倩王炎高鹏丽顾嘉琦陈伟卫王俊杰徐寒倩李菲贺睿王伊芬陆星星徐国检张晓蕴张晓文马宁蒋金豪卢皓赵舒涛詹发启康玲张辉汤振耀三等奖:严佳伟钱佳敏顾振东胡健志唐伟贤赵宛露吴盛超祁啸东周炎朱一鸣邱金华张方惠徐忠沈前阳王建宣华继黄徐振王晓轩黄欢王一凡陈斌姚忆藩于飞彭城傅世晟张亚经曹伟亮赵偲佶张宸立罗元周黎跃鸣许志强章铮兆尹成卫冬沈君金霞秦姣胡敏珺陈寅邵倩苏伟文刘志杰高晓燕闵闻枭沈德军汤春燕朴正贤朱嘉程叶娇高毅徐伟杰段晓青周超陆晓玮孙群王玄潘玲玲徐雅娟范晓清陈忠伟杨珺朱骋捷邓凯计君慧缪晶莹凌晨费捷郁君陈洁李玲张微吴晓燕吴伟严晓诚朱奇王立强孙皓杰吴佳玮沈广义胡珀范良俊金大伟姜峰明束叶康陈伟华王冰玉叶春海张蔚冉孟丽丽姚建芬傅明莉蔡彬彬王福冯雅琴史蓓华晨江敏张成李祝青杨艾婷杨彬苏筱筱陈艳琳胡家玮熊文飞戴艳虹孙陈高陈燕萍胡玲张燕清魏兵任静茹杜敏琪刘伟超周梦皓庄能朱夏婷王岚张洁钟秀隆徐惠栋苟有伟甘骏卢慧芳黄金森萧雅雯辛亮陈一峰吴晓康左晓辰蔡昱骕姜力韩伟炜任杰金逸如张顺崔志颖陈娇董琦杨晶吴瑛顾丹凤黄丽徐娟周佳萍朱渊郑彬丁伊超陆美杜馨婷徐清施俊杰闫春晖郭翰邵可刘一杰刘海涛王丽霞刘宇杰宫琳清张勇斌谢林华杨晓英陈文生徐业竞邹东旭张晓马玉龙菅坤杰陆晓芸任威平贺均金晓涛王心逸喻希熊妍祯田亮鲁怡钟庆寿顾红霞姚万里王雪陈佳伟赵晨王正佳张瓅元冯云裳张海英朱文峰章程杰宁玉琦张鹤雷震谢俊张致捷胡鸿吴培华董坤澎钱涛陈家帆沈鑫崔继鹏张理朋陈璐尚新妍李凤军吕刚徐少杰陆文杰喻飞飞张成功曹鹏刘志强谢小龙洪鸿毛逸铭陆彦杰姚叶虹庄严张天宇岳阳牟然戴旭姣董佩佩许蓓华谷岩薛晓飞刘军刘军宋添麟全彦旭熊峥琦丁磊蔡慧吴徐蕾许宁王通张君谦敖袁斌郭柳清任斌凌晓汶卢品祯苏俊娴丁莉莉许威张海丹宋欢欢张小鹏陆天玲金炜李龙杜伟岑雯吴陈钏刘伟东景洁陈亚斌李蔚操月常黄洁晨张梦杰洪超平杨英李伟伟严骐平邵丹宫伟吕腾飞陈娇蔡金昌蒋爽沈恩聪郭元龙秦远洋王欢张文超朱丽汤旭霞吴永骋黄天驰翁立元林楠郑应捷陆懿婷张佳怡陶伟中刘珊王润霞王志浩姜燕章天天姚佳芸刘璐柴宗训姚敏王盛达杨鑫袁洋刘璇蔡晓斌蒋婧周文超陈佳黎张辰迪宋佳何壹成朱敬亮朱俊杰王涛社会活动奖:宋妍何鋆张维朱孟明严佳伟钱佳敏顾振东胡健志唐伟贤赵宛露张敏娟陆佳皓张琼周笛宋奇林朱言悦张越衡张丹凤丰晟金逸如陆仲晨须春晖景云丁思君袁敏裴恒倪轶徐维伟吴越周阳金磊丁威傅瓅徐小龙闫春晖郭翰邵可杨牒舒飞孙瀚青吴军李婕王骏飞杨子剑谢鸣张哲瑜高超峰王文旭潘鑫吴梦雨王帆凌骅雯李逍翔黄晋伊曹旭峰陶盛杰蒋文婷王龙姚璐婧王伊芬陈婷婷王帅孙雄李敞单科奖:张阳龚佳伶李树恒孙振陶盛杰2骆宇杨周岳姜昭吕孝骏施鸿艳施鸿艳马铖超彭冬梅彭冬梅许晓峰曹旭峰李其元李衍君朱未峰杨如昕陈砆兴王斐鲍怡静杨骁刘俨韩立志沈剑鸿吴思远王孙计算机系一等奖:喻超刘莉桦李晓琴金晶刘树春李欢陆立惠赵霖通程晨吴雅岳陈晨李竞葛吉强耿琪秦婉李金凤陈晨二等奖:李平洪艺琼王佳乐佳鑫杨泽方陆正浩林莉莉秦天朋陈想王晓东陆文杰朱元雯刘祥李一帆常华苓宋丹武伯超杨彩云李檀宋佳忆宋凯左鑫鑫张非凡宋杰林圭毅徐成城任立伟王妮刘思娇王光远冯玮陆叶锋李军彭黛琳秦祥王嘉窦晨超黄柳燕沈嫒娌赵莉卞宇江孙亮陈飞飞朱雯君张璐王明亮邬豪褚昳超沈苑青吴雁林潘洁樊莉莉包如梦邱嘉其徐佳徐丽邢婷璐杜增富孟晓杰蒋春晖苏婕项亚玲张毅林颖吴莉莉陈庆三等奖:赵映瑞陆超健朱翔霍炜堃李斯阳刘骏华英俊王旖旎刁世杰朱佳妮张露茜沈琦刘雯雯黄安琪周婕刘志立苏龚敏明星沈丹谢超男温卉胡婧逸徐沈敏陈婉卿王毅李诗怡茅晓瑜王浩黄宇陈骁张震钦周彤陆俞连杨维龚瑾於雪霏宋惠强高光明宣昊旸黄素娟杨力胡听赵晓燕李璐周晓春范婧婧孙佳珂姚静李贞黄小红徐明姚恒星姚瑞邵伟余盼军李昊正倪丹卿王春辉唐秋萍吴雪婷沈晓燕张荷婷吴芸娴胡旦王开旭季莉婷杨梦婷李梅张宁福金音周爱剑黄聪陈瑜颜劼朱海明石蕾顾胜花顾燕婷龚龑杭诚管磊文王晓燕周邦杰张李静李翊飞顾华邓亚炜辛耀俊王伊韵殷而俊陈蚁帆翟伟明陈佳乐张真陈昱澄韦峰项志慧龚夏章轶轩陆晓俊梁星施磊沈盈张涵樊花彭秋萍瞿祎成瑜杨旻明叶英杨易钱君崔建旻冯婧苏青王婷岚刘丁陈宏明孙寅张天译杨君华何玮琳刘洁沈奕君乔子辰张昳群杨成元高磊廖丽项磊王志辛汤文许莹董杰钱秦吴敩隽王迪斐曹玮勇高浩姚颖君史琪玉姚敏敏孙亚萍王佳丽盛文洁奚美蓉王翰灵孙婵妮潘婧超姜钰陆晓梅代玫陈骁索菲管超陈楚行社会活动奖:刘莉桦陆立惠林莉莉李一帆武伯超张非凡李诗怡王浩陈仁旻李韬陆柏婷阮大鹏黄佳怡诸越琦程晨陈晨冯玮姚恒星胡旦颜劼李坤陈君伟李金凤陈晨张璐王明亮邬豪包如梦邱嘉其邢婷璐杜增富孟晓杰崔建旻单科奖:张冬王雳凌江文杰刘赟建安学院一等奖:张田田潘洁关一辉张世昌高阳梁大为刘敏捷陈幸董玉辉邵莉莉夏华王骁朱雯玥赵朝文谢博宇孟祥进张雯曹宏泰胡晓晶许震阳周佳美二等奖:朱文雯顾储洁陆兰馨卢玲孙晶瑾陈声鸿丁月张昕蕾刘聪刘惟晟廖英诚张莉成雯桢周纯嘉李吉勇蔡倩倩蔡玉君石益萧文雅邬逸帆褚伟青伍海丽臧怡蓉王迟蓓徐梦婕张继辰俞玲华黄凯雯董赛红蔡诗杨骏周思佳陈琳刘佳丽欧德福李梅芳顾晓菁冯宇杨自平崔云刘文卿董玉靖俞艳吴佳嫣袁莅珺张俊谢丽敏陈旭龙陆玉倩朱佳丽张冬全訾佳慧胡益晶姚雪常潇方郜文灿姚威张琴田超严浩文黄媛媛龚卫丽化春宝褚睿陈华金文超翁超伟陈会婷凌平黄斌峰于浩赵静陈嘉丁一帆陆虹沈丽艳张建青冯吉王沈桦三等奖:孟隽豪王永强蔡晨俊刘牧夫崔仁杰庞珍邱东顾晓芸谭小文李昕鹏乐嘉霄张宪林旭丁宁赵天颖张晓丽王霞彭海锋蒋儒钢沈艳婷郭晓君施黛艳沈肖霞沈佩群王小珑周喆越蔡晗婕毛辰芸徐阳高天娇陈臻姜凌志黄乐张梦怡黄佳胡欣俊曾明杰杨睿沈盈郭睿旖潘莹云瞿燕高洁郭正彦黄佳卿周正佳邱俊炜阳远游东臻周文娟陈朝敏江武涛叶琳许敏顾晓陆心园王辰张霞郑旖旎吴鸿燕于洋卫兰君金玲袁文君陈冉缪羽刘静静万忆佳张凡董瑜张念金雯崔永昌汤其垠阳弘涛彭丹罗鹏王刚刘倜张婷徐玥桑舒舒吴晓丹陈青陈轶沈骏李远春陈扬舰伏雷达李婷陈晨褚阳杨刚开元蒋家俊乔盛双沈磊蒋程琳李建寒朱菊妹孙明彤全佩蓓陈晓文顾秀莉严晓斐王金安陈志永范文亮周晓骏沈敏捷丁晨章晓翟礼波赖斌徐景成曹正仲龚苗杨洋朱婕赵子豪赵辅尧许霄辰顾盈盈杨骥彦周庚佳吴星雯田治畅周莹陆玫戈佳丽汪逸琪陈琼秦洁黄晓颖焦侃刘恝昳邰刘宾邵兴王来兵孙钰婕许萍田雪刘锦栋吴光玉徐丽陈晓敏姜海鹰王沛斌陈晓升吴维曹瑛王真珍武安邦朱俊李文彬卢征浪张恒勇陶惠袁越群黄蔚沈碧莲刘张昱方海博王军付伟哲李源宏侯玉涵夏岚宋一吟施展胡瑛珏顾爱莉邱靖雯钱一尘朱祺洁徐雯倪天明陈蓓许肖琳赵婷婷谭丽娴张啸聪施杰傅俊文陆天一朱佳樑蒋顺峰蔡春一沈明陈秋晨陈梦雨黄睿濮慧超计亮夏敏杰魏烨应平暘倪晔吴雅琴施圣伟马敏吴隽熙王伟平徐良庄稼社会活动奖:张田田潘洁关一辉张世昌高阳梁大为刘敏捷朱文雯顾储洁陆兰馨卢玲孙晶瑾陈声鸿丁月张昕蕾刘聪刘惟晟廖英诚张莉成雯桢孟隽豪王永强蔡晨俊刘牧夫崔仁杰庞珍邱东顾晓芸谭小文李昕鹏乐嘉霄张宪林旭陆佳巍张帅陈才栋蒋吉庭陈波单科奖:李龙飞陈清龙刘勤陈波孔妮2化学工程系一等奖:顾燕沈鑫杨幸韵倪玉婷甘思文王玮谢颖星曹玲程婷婷张曼丽刘玉燕江涛张晋王英于单宋燕华吴月洁杨秋月崔佳苏锋曹吉周萍黄晨明张婷婷二等奖:王歆竹刘欢吉家俊陆晓倩彭波朱冬春毕雅琴江海涵高燕白凤娇王雅真李龙周林地汪鸾姣蒋文蕾陆晓红赵婷储晓磊薛正倩庄明霞郑楠胡汶叶申慧杰李瑜婷黄夏阳洪宇伟姜萍刘梦莹丁露来霜霜王博伟芮磊磊项俊陆漪雯吴叶刘世梦陈莉君胡习乐戴玮刘朋陈丽丹廖舒萍邓泽鹏蒋春骅殷继圆王慧妮丁珏莹孙丽胡烨佳张瑜徐晨阳朱信龙白炜苏双吴峥祺朱峰陈炫名赵红沈晓晓周欣彬彭丽颖周洪宇顾春艳刘娟娟杨瑜郭浩卞正伟任丽丽殷秋军胡正慰江营周晓青王毅蚁超琼俞晨花孟亮蒋燕芬朱樨寅赵青董成梁程妍雯朱丹妮王芸石高旗朱瑾瑜钱玉婷严帅钱瑛瞿孝星闵晓颖沈婷婷陆晓芬朱贇周坤三等奖:陈忠武祝伶枫海国龙钱志强王佳李中郭宗庆赵永凯杨颖频曹晓丛廉佳邹宝珍嬴继彬陆迪秦懿钰王雅屏杨宇慧林倩雯王晨吴思琪魏巍汪奎顾瑛超张韵如吴佳孙璐璐陆佳怡徐凯强张亚楠倪骎张权曾祥鑫张静宜严桂圆陈燕静吴茵顾斯文严舒红王頔王欣玮沈高莹郑晓华陈奇潘虹沙鑫应启明高柳王世钰陈雅静卞旻昱方肖倩孙颖李垒潘芳琳凌学韬谢先涛张勤胡春艳黄纯如卢春莉吴陈莉王志良何娟徐丽娟陈懿珺过迟秦沁姚培雯王盛何嫦嵘何煜琰赵越王诗倩张丽赵兆沈婷婷秦逸川杨再文唐游洋蒋能张明阳宋丹丹李云英武文江燕武琳蒋璐张云霞刘娱徐一春杨志王婧婷朱亦青朱博王曦顾风云岳慧敏王瑶吴宇闻迟璐然李恩霞吴叶飞潘蓓蓓俞颖菲王静刘毅陆佳杰唐露蓉干秋贤杨引娣庄戈诗吴家发居佳茜王妙钱维波张炼敏茅富燕周琼杨超杰管辰亮陈珺王印印陈龙朱晨旭蔡雯婕马盛力金旭东顾筱霞邹玮冯烨徐伟斌俞杰浩吴枫王月乐平陆敏迪沈莉莉陈双美朱婷沈端萍胥明一毛奕蕾金琼贻柳悦徐博淳谢文依滕越李琳陆旖周辰颖周敏周盛罗柳谞富宇颜玲玲丁燕琼吴文志张良周玲高敏董皓卓乐佳妮付杰吴丹林冰洁郑倩瑾施静瑶柏卫欣郭梦娇王志刚邱静洁梁科凡曹智盛戚叶红冯国寅陈建芳张燕萍董方李陵隽张丽倩唐霄云陆嬿韩思莉章龙飞杨丹尼夏添盛磊朱莉傅杨珊黄惠新文佩李悦庭姚承杰徐爽陈怡洁钱莉蓓袁明珠朱灵霖石璐燕李欣烨彭明佳钱洁颖陆影清肖静雯吴芳超毛谆惠张弋文戴凌浩李莉潘洁王婷吴文莉钟莺张慧萍倪嵩杨婷婷朱晓英鲁娟李腾飞韦晓露茅倩沈逸陈安琪周林哲高迪曹琳吕雅蓉吴龙张琳沈文婧陈怡雯陈虹陈素珺顾卿社会活动奖:顾燕沈鑫杨幸韵倪玉婷甘思文王歆竹刘欢吉家俊陆晓倩彭波朱冬春毕雅琴江海涵高燕秦逸川陆佳杰杨超杰管辰亮陈珺胥明一周辰颖郭梦娇董方茅倩曹琳冯喆刘巍丁宁亮吴雪风汤海嘉陈敏杰陈怡何小龙陆巳岚杨雯莹袁梦绯张希嘉马诗潇焦雁俊王聪刘理聪夏思远方诚康悦姣孔宇骏胡方远黄诗玮范舜彦朱峰顾蓓莉单科奖:诸家桦瞿伟刘天齐陶溢涛王天琪韩贇闵頔经管学院一等奖:徐烜何潇韩晓薛琼严俊沈美玲李清莹奚芸张寅蕾袁洁云翁江璐吴冠仪包丽陈豫伟季慧中范晓佳吴丹邸一方盛佳琦王亚龄徐佳倩曾美华葛欢杨佳郭晓濛郭沙杨丹点徐悟二等奖:李薇程夏薇郁丹玉张丽萍萧信杨怡蕾王欢董谦王婷姚婧陈颖玮杨慧华李佳莉杨飞云孙冬梅杨昊林宇晨杨扬朱丹萍曾逸邓倩赵恺朱珺李昌靛田孝宗沈燕郁爱倩王洁程鎏潘英杰刘洋金可文王敏应君任鉴蓉张忆张恒驰徐晨李怡晨谢英徐艳门佳王馨罗乔岑杨颖丽郭欢盛俊郑芸菲陈丽萍肖艳华徐嘉骏吕澜青陈思媛宋冉冉黄佳烨陆琼韵李青翎刘一沁陈丽丽葛君陈丝乐陈倩婕盛洋仰林婵丹沙正美王梦婷周琳琳何昱旻曹晓颖李玉枝陈宏雯杨晞张晨范青果韩梦遐马瑜胡江莉吴赛君沈丹丽徐天宇高曙红范露珍刘霞高沁郭鑫佳缪明明张文萍卜茜茜三等奖:朱靖竺佳谢轶超刘丹周培杰王楠高嵩瞿志燕郑月姣归思佳王成琳施晨朱瑛婕翁晓辰陈玲玉丁雪璐池勤婕张庭蓉王越陈凯玲何英豪钱依依乐叶黄鹿虞涂颖曦王家煜孙凤蓉戴亦诚吴清如张蓓袁杨阳庄园刘海莉刘心悦黄双梦金晓璐蔡丹潘尔一印樱邱婉芬俞力平郑吉徐丹罗耀赡胡超琼陈希思王春雨韩笑张雯滢侯祺玥谢珏慧谈思启褚贞贞李怡虹黄明娟王婧婧葛之文吴怡樱严竹珺王浩丽肖露章若佳曹艺俞佳妮奚诗凤丁枫乐琪崔雯詹志超施文依傅敏王明辉刘琼宋晓梅沈抒云沈芬慧林籽言毛成燕刘燕芳龚燕张琳莉于一菲黄希瑜贾飞宇陆婧陆婷婷高岚朱颖雯邵佳燕朱永森徐雨婷倪胜辰章循查理思阅周虹郑玥璐项琳凤金静洁赵俪陈赟陈培玲季春艳张良馨郑野俞庆黄雯倩陈云菲顾春霞卓书帆陈方闻李晓峰李婷纪佳佳袁薇周琪胡王燕许悦勾愫痕赵静修范青青马鑫顾雯佳吴佳丽武佳杨舒晴王璐郑宏宇张贵友潘华卫曹怿星毛倩茹乐伯豪王路路薛仕栋苏晓山周宜骏俞佳欢潘媛舒佳昊陈佳王蓓薇厉茁项雪晴龚英姿鲍裔琳申瑞李羚婷周晓琳周晓艳陶季佳陆文婷何婷许超方彦郎超陈颖李嫣然张晓韵茆雁秋潘蒙娜沈文超熊叶徐倩倩黄丽燕竺蓓黎慧明严琦潘慧曹薇黄惠婷沈蔚薇李杰魏吴桑张燕毛筱瑞梁换马孟颖董德骏王一怡陈大维曹冬喆顾梅艳傅珊珊曹婷婷沈洁王星郑瑜徐洁毛蝶斐黄雪婷姚蕾方海燕黄蓓蕾王卫沁金莉莉姚恒刘长勇谢春蕾朱圣音刘丽君詹丁丁林娟文章煜瞿珍燕龚文倩苏懿娴吴梦帆赵春燕顾燕妮陆晴华王轶华马燕杰严忻宋娅社会活动奖:徐烜何潇丁雪璐朱靖竺佳施晨高嵩杨青薛琼严俊罗耀赡华夏王春雨杨阳吴怡樱周欣蕊郁爱倩俞庆张靖麟刘洋金可文蔡闻杰庄喆栋陈豫伟王馨杨颖丽张敏杰徐艳龚燕周林光孙旭张晨施乐乐孙凯源刘忻怡曾美华马云飞吴明宇张磊章伟李艳秋隋若竹钟璐菁贾秀颖单科奖:田惠莉李漪雯陈祖望张芸芸2李玉萍赵琦玮欧阳晨姚凌云沈益施冰王皓雯葛玉菲蔡辰唐燕青张倍铭黄海燕朱怿帆外语系一等奖:郁巍巍茅昱冰金宇虹陈莹吴玉婷王晓夏二等奖:张培琪嵇敏徐若霜桂旻余刚余筱雅金晶汤佳玮陈忠贤郑丽李玫赵文婷何湘张梦涵贾红宁梅冬妮张嵩松毕林颖三等奖:于佳敏成媛朱洪臧露王炜李晓萍沈佳青姜玉娟赵思诺徐珺任妍蓓吴惠贞李雨洲葛丽丹丁莉莉马牧野杨恺陈玥夏珺曹斌黄知量史玉娟胡澄于骞朱怡雯陈雪婷范春群胡青武琛琛崔莹王诗诗严喆张琳陆佳琳蔡云洁徐成平庄添瑶李墨青叶琰杨艳陈赟谭舒芸何露周海妮钱丽媛唐庆丽赵佳英王文婷王晓君方晓芸黄佳璐熊佳一社会活动奖:余刚夏李晟武琛琛林伯伟吕洁刘骏单科奖:徐悦林丽琴2万健李翚陈帆孙芝静李静杨莹陶吉周琳林家珍徐燕蒋叔君张诗雨赵佳丽余士敏龚瑜青杨振翔人文学院一等奖:陈靖邓丽郭晋芳刘然马陈洁汪润泉龚家凤二等奖:汤姣顾辰晨庞晓辰顾琳李雯孙丹杰王世君卢英陈晨李一帆徐骏刘怡赵文婷马啸丹王如王清清胡昱陈思静宁雪霏杨佳悦胡芳芳郭丽敏任抗抗周欣李雅妮徐芳琴三等奖:杨冰张秀明李秀红刘亚丹周忆曼张祎吕敏范嘉韻吴颖黄炜嫣王悦闵莉丽虞慧艳王丽萍张艳董夕芸施雯琼沈佩佩吴怡雯赵茹雁王超任意徐晨佳朱燕张瑛ying 朱少婷宋晓玲张纯一施柳杨承欢李榕武晨辰宋海燕王广三朱倩雅宋雪娟叶熙王珏刘逸舒朱琼宋磊丹李妍妍李婷陈澜季敏姚珍妮景雪妮蒋琳李靖冯诗蕴刘引青朱芸李辉肖小武郑雯珺贾钰桢钱洁蔡秋瑾胡娜翁俊良陶意祖黄晶莹熊兰飞蔡沁怡赖虹伊社会活动奖:刘然庞晓辰李一帆徐骏刘怡闵莉丽武晨辰邵佳晶顾陈晨孙咏筠蔡文超朱令仪单科奖:石慧陆陈佳冯丹孙园沈军勇朱玲吴丹丹李悠悠李佳俪谈金磊艺术与设计学院一等奖:崔友福郑玉婷翁雯君张晨程姚杰康徐菁朱慧潘磊陈天意金烨倪奕孙晓洁杨洁敏虞米娜荣星颜忆文袁尧俞博洋薛慧雯王珣周潘晨殷家伟王玲黄怡娜潘雯周涤黄雍春夏梦周心怡陈晗琦戚嵘岑二等奖:沈伊莎钟媚瞿葛琴薄金烨徐秋实顾永陈妍超袁莺黄冰清程洁明徐婧吉皓娄胜静李莺沈琦杨莉君朱辰怡吴斐张琪吴嘉礼王天晨倪晋聪朱旻怡江梦钰曹玉颖施懿吴静静毛娅龚销陈晓慧三等奖:王艳卿季颖唐欣璐唐丽韵陆彦徳陈晓宠徐婷沈珺沈茜周嘉媛顾屹倩顾春琳杨彦喆龚凯陈晨赵寅琪汤璟雯张妮陈怡梅何艳顾原涌唐晓珺王丽琳廖朝汉秦浩舟邢文婷徐丽婷黄世钦邹立静楼佳宋文洁刘海捷施姣姣杨俊杰王静张萍李莉张孝雯庄雯雯顾仁李迪峰励珺卿陈夏迪吴绯王家树施仲杰许丽丽蒋丽娜陶晓雯陈梦娇李宓庄文怡胡骞予毛莉丽邵晓燕周婷婷何一鸣黄海安陈玲琳周晓云邱娟陈云单钟波谷超沈璐吴颖朱俊张钰胤李蓉谭彬浩陆雯雯吴佳华周婷杨艳凌志红李丹凤邢智君史玉婷王雯蝉刘蔚鸿向颖炜袁彦珺李双娇顾佳丽金之钧黄培辉田茜蓝波顾丽丽杨艳夏伊菁张佳音殷田包世駉陆梁雨朱丽韵朱颖江博卫亚婵姚俊秀李茹俞珊陈文静赵舜陈晓辰郑清社会活动奖:潘磊薄金烨顾永唐欣璐顾屹倩张妮李莉郏仕杰张培佳孙晓洁荣星徐婧李莺吴斐庄雯雯许丽丽陈云姚律卢竑菁周涤吴嘉礼王天晨朱旻怡殷田卫亚婵徐士杰徐贝易邱灿江朱艳婷张明明张超单科奖:胡文倢高蔚吴瑾曹鲁飞王烨董建刚李翔周睿冯辰黄瑆陈黎炜高纯菲干良璐孙瑞峰李黛琳周芬姚实凌陈永华薛薇宋嘉杰罗璐金诗慧俞惠珍刘素一陆凤陆抒琴陈玉婷刘欣垚莫怡菁姚律宋露璐郑梦逸李莎莎王奕陈启晨范英王婕庄庆李凤霞王雅琳张卫东赵丽娟汪一薇曹春勇吴颖孙远雯张元张颖珠陈杰陈昊飞袁潇杨洁如高莹韩旭张初许宏杰朱婷婷王韵罗晶晶2莫少宇何婉媚费梦佳管清瑾陈密贺然章傅俊卿樊婷蔡亚鸣孙思鸣陈子扬余辰良王炎封辉华晓伟陈冰聪2奚云冠2陈妮芸2石汗青2陆枫2叶琳2蒋璇姚晨亮2崔政2胡信2薛君骁2陈婷婷2诸逸婷2朱辰3马勇3沈杰3陈成3陆彬3朱艳婷张明明张超。
上海市教育委员会、上海市财政局关于公布2012―2013年度上海市奖学金获得者名单的通知文章属性•【制定机关】上海市教育委员会,上海市财政局•【公布日期】2013.11.25•【字号】沪教委学[2013]63号•【施行日期】2013.11.25•【效力等级】地方规范性文件•【时效性】现行有效•【主题分类】教育其他规定正文上海市教育委员会、上海市财政局关于公布2012-2013年度上海市奖学金获得者名单的通知(沪教委学〔2013〕63号)各高等学校:为激励本市普通本科高等学校、高等职业学校学生勤奋学习、努力进取,在德、智、体、美等方面得到全面发展,根据《上海市财政局、上海市教育委员会关于印发<上海市奖学金管理实施办法(试行)>的通知》(沪财教〔2008〕7号)精神,本市开展了2012-2013年度上海市奖学金评审工作。
经各高校初评、公示,上海市奖学金评审委员会评审,复旦大学张鹏等998名同学获得2012-2013年度上海市奖学金,现将获奖学生名单予以公布(详见附件)。
希望各高校积极宣传获奖学生的先进事迹,号召广大学生向获奖学生学习,进一步引导广大学生坚定信念、志存高远,刻苦钻研、勇于创新,努力成为社会主义事业的合格建设者和接班人。
附件:2012-2013年度上海市奖学金获奖学生名单上海市教育委员会上海市财政局2013年11月25日附件2012-2013年度上海市奖学金获奖学生名单复旦大学(29人)张鹏马伊莎宋壬初王正一王烁刘亦悦黄明田博毅张凌霄付筱茜杨承润倪天昱王洁莹周心圆张文丽楼靖吕珮琳吴馨瑜王炳凯金圣明郭丹浩杜世超杨乐曾济人陈晨周兴胡晨李成蹊史珮珍上海交通大学(36人)翁昊森张洪广陈一滔尹恺阳舒在悦杨艺菲胡宇琪陈心湛牛牧青顾问胡培栋李赞马磊鑫朱翀瑶孙锴唐一禾杨应彬顾婕昱董明凯叶蕾金帝赵数煜李哲奇付涵刘泽洲刘烨茹代思宇羊茜刘哲黎幸东陶文杰刘炳元张文信白雪张瀛舟马睿同济大学(43人)靳凯淇徐潇潇傅家范黄闽君张芹张丙炀陈艳毓李倩钰李糜刘英杰李天骄沈琳嫣孙琦王琪徐美琳张伊安李静思黄荣李晨璐党明召田博文陆智尧王之琪常成孟思琪蒋凯佟雪丽方勇陆戴汀朱麟钦张卓滢傅丹墨韩倩文薛炳晟张天宇罗晶丁潇喻翔飞刘婵吴敬祥李少杰周梦园兰丁滋校华东理工大学(37人)庞慧谢李斯琪吴腾鲁彦飞陶颖卿江洋潘逸青田梦王娇婕邢维龙代天资孟昭李倩倩丁楠范芳怡丁鹏张喆喆钱全张远倪悦黄青云蔡亦许文龙王祎樊悦张紫优施昶陈真儒岑冠男单志昊穆佩琼宋杨冯楚莹张军凯施鸿裕陆蔡影王恩龙东华大学(34人)邢菡箫李春雨孟茹月刘婧颖徐立豪张峥烨范域廷胡昳辰叶天瑜朱逸安杨立翔顾嘉琦王珂李梓嘉庄乐杨亚捷王安琪陈凯凯赵益周佳雯徐俊美胡世贤徐磊袁旻昊王迪王心如张珍珍李华清胡金莎张静如张颖王雪琛袁恬云赵佩怡华东师范大学(33人)张燕龚宜丹任倩孙泓毅郝玉凤张闻宇陈菲王路遥赵凌烨李婷罗玉清葛佳宁李翔璇陆杨吴钰琦刘璐迟欣欣华嘉逊王宇航周燕张欣然孔璐徐茹茹张明心杨留陈新林雯华王小雪周子闵魏心玥励媛媛杨普晰曾庆平上海外国语大学(15人)杨家齐夏倩雯李诗怡尤宇碟周秋材朱熠洋邓沁陈灵怡秦臻楼晓晶贾诗慧丁洁闵晓哲王瑛珺朱绮芸上海财经大学(18人)龚洁王泫斐朱莹莹王艳商行秦佳鑫杨绍康蒋悦玲徐赫王雨荻杜娟黄海林金嘉捷李倩云胡天梓孙佳琳刘洪涛诸可佳维上海海关学院(4人)刘霜晴唐倩梁颖王超杰上海民航职业技术学院(1人)张嘉颖上海理工大学(42人)孙妍妍胡旭赵文竹杨天童李坤林颖峥郑羽荞王景曾诗雯曾一芦亿韩枫张蕾陈吕菡史碧菡俞海彬欧阳针李晓宇张文明闫钰周敏牛浩然刘桐桐申树仁李超苏捷唐静唐超孙康风孙良柱曹双迎耿婉懿龚学海刘莲李萍黎翰丹田芳马浩腾刘娟徐秋怡徐利超马雅莲郑诗雨上海交通大学医学院(8人)奚静虞菲李一棵王宇轩倪剑书金海姣孟庆慧陈帆上海大学(63人)姚乃嘉董文思安立聪沈心蔚刘隽葛宏婧蔺维静李奥韩超凡王紫瑶徐益峰韩雪祥孙妍吴翔张雯君文静曹俊丽陈阳彭松鹏胡申旦朱雯灵陈特峰顾圣慧陈金豹文维张舒婷谢奇强张逸伦王梦雨冀晓楠陆晓雯强佳丽梁倡华杜璇肖任吴文意李轶承杜志颖杨俊梅商苏苏刘媛媛陈楚廷陈洁琼杨星宇王嘉辰史任飞徐莹何磊林书翰高霞菲钱佳平赵青松王杰邓芸燕刘嘉怡卢永晨钱智婷曹洁羽缪旭旭张任飞韩含俞晓玲皇甫斯琪上海工程技术大学(40人)王磊吴依婷马婷婷黄燕蒋振胡媛媛孔迪菲胡征尹腾飞秦华田紫娟赵晓滢杨天慈陈义章张伶金叶于华栋董皓陈燕冯柳谭宗毅周珺峣张磊胡馨如单东方李智贺正果艾昕李广章华艳吴一帆于玮毛月婷姚晨迪赵俊伟刘峰钱智臻金慧婕朱明珵张俊俊上海中医药大学(10人)孟梅杰孟刘晶丁同凤李扬白洋杜雪高春洁单静怡蔡沁怡张馨语上海师范大学(54人)杨可周洋赵紫依陈瑜恬曾智伟李洁萍汪婉邓燕沈思涵陈丹凤方可金伊雯张蕊章碧兰刘鼎陆垲毕俊杰程贾曾静黄怡璐吴博文崔卓缘蔡敏芳王怡萍孙佳王烨中朱金梅黄溥君笑顾励赖兰兰卢琪琪王丽珺刘佩佩张如怡张俊婷张怡吴璐娜姚丹婧仇霞龚璐高子男宋鹏敖晓琴郝思嘉吕太良武班笑薇吴正阳张克玉宋俞茜王茜顾陈婷李恭杨孙羽晞金秋上海对外经贸大学(23人)陈灼廖鑫林影曹溶容陈晓隽陈韵翔高慈君傅冰颖殳佳薏华梦凡顾晓毅施艳谭鸿尘朱佳慧王超巧许童童汪文王欢陈薇吉王燕徐愿杨斌王加上海应用技术学院(39人)王樱王拂晓赵盼东谭佳丽宋明慧王春荣黄一沈陆璐许志成代强夏灵强沈新张子勋宫宝祥林皓通文乐王兆基陈婷婷杨曜飞楼筱彬王杰高佳明汤瑞瑞苏钇李远智吉佳惠徐婧吟张珺吴燕敏戴宗琰郑志强熊馨王丹丹李丙华牛璐璐卫夏芸何静邱潘玉何嘉文上海海事大学(44人)申彩云李忱煜李珠李浩博林家耀唐婷包晓刘西安易鑫钱莉龚丽楼晓成甄远迪李娟远秋丽何梦晓冯雨辰高宇吕绍杰张圣启张丽雯高健李生壮仇继斌邵秋捷刘秉李嘉琪张盼龙杜莹莹于唯一王小蕾姚昌沈丹丹郑青刘畅黄飞陈沛然张洪伟潘世阳杜亚茹陈淑彬罗梦翾陆成杜垣达上海电力学院(25人)刘昌邢保玲田灿史哲曹魁苏炫辅吴梦欣吴烨陈桢鹏于威振戴海锋申阿瑟陈秋萍徐楠彭瑜卿张俊徐玥徐琪黄海方郑宝国杨海枫徐傲李奇夏崔平平郭少杰上海海洋大学(31人)苏怡珺李小清陆悦顾晶莹过阳红盛晚霞姬煜琦曹强刘省荣黄佳颖胡水清赵怡慈张文娜王宇琛张馨茹周怡雯朱贝妮张天天徐旻晟刘超刘莉尤其嘉陈辰胡城辰祁乐姜丽金琦秀吴薇琦张婷强茹艳许锦妍华东政法大学(30人)高芳姣李睿劼舒方王昱李杭杭王婉晴林凯张文嘉吴慧玲张玉玲高艺林李栋徐玮董昕怡钱佳蕾朱意桦陈珺琦黄雨健张梦怡汪洁璐谭惠曦施寰宁郑雅铟何昕申雨阳许斐梁午霄王泓力陆屹洲刘巧慧上海体育学院(10人)吴梦梦吴佳舟孙倩颜炳国朱炫璇夏婷顾必琛帅星宇吴潘园柯丹丹上海戏剧学院(4人)黄一超施艺麒林霄琳何雨婷上海音乐学院(4人)侯晓云胡贝茜李迪运韩焱洁上海杉达学院(25人)王颖冯雪芳孙怡杨柳房萸邢安妮孙立马靓靓桑呈芸徐丹丹叶秋英景蔚琦顾许甜王海燕马洁冰许小敏蒋婷王朝玉徐诗云吴燕蔡晓芸洪一鸣聂玮傅昕星陶鑫淼上海立信会计学院(23人)孙冬丽韩咏春章文李荣建顾琳婕徐婷婷刘金洋樊帆郑雁翔朱斌海方兰兰迟炜栋胡宝宾马丽娜刘菁龚玮雯宋薇刘恋康旭佳兰琳玮王胤奎郭怡文蔡程上海电机学院(25人)孙杰杰谭小乾林贞汛白芃樊藜赵鑫赵慧哲王宗良方进高杨朱凌红玮丽范佳颖赵齐林金叶俊顾平凡尹建成肖进彬张雁蓉王诗雯李芸芸崔圆裴富倩黄雅雯唐林加上海金融学院(19人)朱晓红陈绍新白盈捷刘茜娜刘中梅段金勇张翼云郎珈艺廖佳唯黎冉李慧芳郭金城陈倩倩周莹吴璇蔡林森郭力君夏青戴向国上海政法学院(20人)杨肖肖徐浪蜜桂辛许亚楠姚启男张梦莹惠晨吴群芳周甄妮许亚菲杨林邓冰洁王蕾徐怡静徐璐徐桥龚哲王玺钟旭芬陈威仪上海第二工业大学(25人)吴迪崔娜陈贯诚 XXX萍吴洁萍郝佳琦陈孟军万芹郝佳伟苏伟全陆艳欢王佳谞张虹黄晓丽姚亚楠成倩陆萌葛梦溪沈师豪周亚伦卢静徐晓蕾杨洁王恺悦陆越上海商学院(20人)彭杏朱平何立郑晨马树玲刘思颖文敏王丽雯刘雪燕曹芸方京涛孙晓婷张敏涛闫梦杜晓兰陈诗潆张麒胡丽张鹏罗玲莲上海建桥学院(26人)马翠婷钱静俞洋石宵晨孙湘君陈佳沈洁吕灵媛程怡怡徐刘燕丰一帆范晨姜秋梅钟露陈文倩吕文婷夏雪黄贝贝桂争先赵雯婷吴超刘敏倩邹瑾沈佳秀陈萍萍翁晔上海视觉艺术学院(9人)陈思梦徐强董艺琳潘程程段智华韩斌凤解一鸣郑稼轩吴怡婷上海外国语大学贤达经济人文学院(14人)王亚萍徐诗琼陈如韵周晓蕾杨晓蔚王瑞炜宋佳星周嘉琪刘裴徐泽颖李玉婷全美玲徐梁燕何阳斌上海师范大学天华学院(18人)沈威廷凌雅竹李玉凤范松丽顾青青祁彦宁吕思琦余仕豪吴玲玲闵佳青盛子豪刘珊珊王智渊翁倩瑶黄丽娜宋臻兰聂正梁毕卿上海医疗器械高等专科学校(4人)王周阳赵晨晖庄原汤其宇上海出版印刷高等专科学校(4人)曹倩成青朱旻卿曹峰上海旅游高等专科学校(3人)胡玉清宋佳萍孙希龙上海公安高等专科学校(2人)陈俊强陶瑜上海医药高等专科学校(4人)汪沁缘张丽君徐嘉旭江露上海行健职业学院(4人)王佳妮邬蕴文周育宇朱秀上海城市管理职业技术学院(3人)达莉娜薛萌萌闫梦洁上海交通职业技术学院(4人)袁婧婧陆静波张晓蕾毛振华上海海事职业技术学院(4人)邵家琛马辛晔全宏作彭斌上海电子信息职业技术学院(5人)成怡明蔡润邹航余丹萍李润东上海科学技术职业学院(4人)张霞张慧何晓顾嘉杰上海农林职业技术学院(3人)王肖熊顺平陈敏上海工艺美术职业学院(4人)孙佳彭家记黄倩雯张里娟上海建峰职业技术学院(3人)李兵叶黛云缪怡上海工会管理职业学院(4人)白海银李斌李建辉朱聪上海健康职业技术学院(2人)江成辰王康莹上海东海职业技术学院(4人)李赟滟王骏闻吴飞李诗雨上海新侨职业技术学院(4人)华敏傅强王怡璇黄梓洢上海震旦职业学院(3人)周雪张晔诸慧上海民远职业技术学院(2人)沈佳怡倪海波上海欧华职业技术学院(1人)王海燕上海思博职业技术学院(5人)沈大程徐慧敏王雪燕林君君茅金鑫上海立达职业技术学院(4人)蔡喆莹姚燕飞陈浩何慧上海济光职业技术学院(4人)易加伟杜艳芳胡佳莹章校琴上海工商外国语职业学院(5人)郑思颖张佳艺许晶张钱王咏聆上海邦德职业技术学院(2人)陈雯婷孙青上海兴韦信息技术职业学院(1人)王佶霆上海中侨职业技术学院(3人)严佳琳陆倩杨琴上海电影艺术职业学院(2人)刘娟姚静雯。
北京航空航天大学2012-2013学年奖学金初评公示
学院:电子信息工程学院
等级奖励金额备注序号年级姓名学号获奖学金名称(包括优秀奖
学金和北航之友奖学金)
1 大二郁文1202103
2 国家奖学金8000
2 大二张鸣旭12021081 国家奖学金8000
3 大二王皓天12021092 国家奖学金8000
4 大二宿慧婷12021112 国家奖学金8000
5 大二周姝睿12021113 国家奖学金8000
6 大二王天为12021125 国家奖学金8000
7 大二杨甜甜12021139 国家奖学金8000
8 大二范垚12021021 国家励志奖学金5000
9 大二宇文丽12021031 国家励志奖学金5000
10 大二田文倩12021060 国家励志奖学金5000
11 大二张原12021072 国家励志奖学金5000
12 大二陈玉莹12021114 国家励志奖学金5000
13 大二齐腾飞12021173 国家励志奖学金5000
14 大二贺哲12021201 国家励志奖学金5000
15 大二周高祥12021323 国家励志奖学金5000
16 大二徐三嘉12021052 三星奖学金5000
17 大二郭佳12021065 光华奖学金1000
18 大二张宇12021178 星网宇达奖学金二等奖5000
19 大二范垚12021021 学习优秀奖二等奖1500
20 大二冯昊帆12021029 学习优秀奖二等奖1500
21 大二郁文12021032 学习优秀奖二等奖1500
22 大二徐三嘉12021052 学习优秀奖二等奖1500
23 大二张鸣旭12021081 学习优秀奖二等奖1500
24 大二王皓天12021092 学习优秀奖二等奖1500
25 大二宿慧婷12021112 学习优秀奖二等奖1500
26 大二王天为12021125 学习优秀奖二等奖1500
27 大二杨甜甜12021139 学习优秀奖二等奖1500
28 大二何海韵12021141 学习优秀奖二等奖1500
29 大二刘彪12021174 学习优秀奖二等奖1500
30 大二张宇12021178 学习优秀奖二等奖1500
31 大二贺哲12021201 学习优秀奖二等奖1500
32 大二高海强12021202 学习优秀奖二等奖1500
33 大二刘钊瑄12021306 学习优秀奖二等奖1500
34 大二霍亮宇12021011 学习优秀奖三等奖1000
35 大二赵强仪12021044 学习优秀奖三等奖1000
36 大二于丽婷12021057 学习优秀奖三等奖1000
37 大二陆嘉欣12021059 学习优秀奖三等奖1000
38 大二郭佳12021065 学习优秀奖三等奖1000
39 大二张原12021072 学习优秀奖三等奖1000
40 大二周姝睿12021113 学习优秀奖三等奖1000
41 大二吴雨航12021122 学习优秀奖三等奖1000
42 大二石华锋12021157 学习优秀奖三等奖1000
43 大二张华盛12021163 学习优秀奖三等奖1000
44 大二程雪娇12021166 学习优秀奖三等奖1000
45 大二廖天12021187 学习优秀奖三等奖1000
46 大二黄钟胤12021191 学习优秀奖三等奖1000
47 大二王悦萌12021196 学习优秀奖三等奖1000
48 大二姜予名12021225 学习优秀奖三等奖1000
49 大二李麦思12021229 学习优秀奖三等奖1000
50 大二庞文博12021233 学习优秀奖三等奖1000
51 大二刘雪飞12021302 学习优秀奖三等奖1000
52 大二陈玉莹12021114 学习优秀奖三等奖1000
53 大二周高祥12021323 学习优秀奖三等奖1000
54 大二梁潇12021017 学习优秀奖四等奖500
55 大二宇文丽12021031 学习优秀奖四等奖500
56 大二田文倩12021060 学习优秀奖四等奖500
57 大二张吉豪12021077 学习优秀奖四等奖500
58 大二宋宇婷12021083 学习优秀奖四等奖500
59 大二高原12021105 学习优秀奖四等奖500
60 大二贾信育12021138 学习优秀奖四等奖500
61 大二曹思远12021147 学习优秀奖四等奖500
62 大二李惟12021220 学习优秀奖四等奖500
63 大二汪亨12021326 学习优秀奖四等奖500
64 大二李伟11005016 科技竞赛奖一等奖1500
65 大二王子钰12021181 科技竞赛奖一等奖1500
66 大二杨韧12021063 科技竞赛奖二等奖1000
67 大二张小雪12021084 文艺优胜奖一等奖1500
68 大二黄子桥12021307 文艺优胜奖一等奖1500
69 大二宋金明12021001 社会工作优秀奖三等奖500
70 大二马抒恒12021030 社会工作优秀奖三等奖500
71 大二夏祎12021033 社会工作优秀奖三等奖500
72 大二王莉12021034 社会工作优秀奖三等奖500
73 大二陈浩楠12021069 社会工作优秀奖三等奖500
74 大二杜逸雯12021169 社会工作优秀奖三等奖500
75 大二杨立凡12021176 社会工作优秀奖三等奖500
76 大二张宇12021178 社会工作优秀奖三等奖500
77 大二张书宇12021210 社会工作优秀奖三等奖500
78 大二蔺涛12021230 社会工作优秀奖三等奖500
79 大二王皓天12021092 学科竞赛奖一等奖1500
80 大二何海韵12021141 学科竞赛奖一等奖1500
81 大二周姝睿12021113 学科竞赛奖三等奖500
1、以上获奖情况为我院(系)奖学金初评结果,如有异议请在公示期间内进行反映,
地点:沙河3#N110 电话: 010-********
2、公示时间: 10 月 15 日 12 时 00 分- 10 月 16 日 24 时 00 分
3、公示地点:辅导员办公室,大班论坛
学院(系)(盖章) 2013 年 10 月 15 日。