物理化学第2章 热力学第二定律
- 格式:ppt
- 大小:1.58 MB
- 文档页数:64
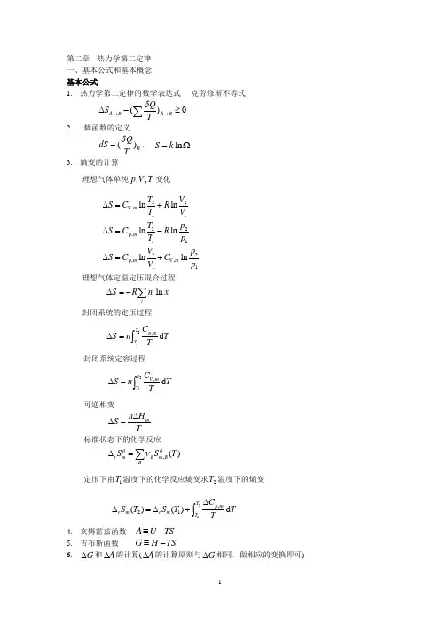
第二章 热力学第二定律 一、基本公式和基本概念 基本公式1. 热力学第二定律的数学表达式----克劳修斯不等式 ()0A B A B QS Tδ→→∆-≥∑2. 熵函数的定义 ()R QdS Tδ=, ln S k =Ω3. 熵变的计算理想气体单纯,,p V T 变化22,1122,1122,,11ln ln ln ln lnln V m p m p m V m T V S C R T V T p S C R T p V p S C C V p ∆=+∆=-∆=+理想气体定温定压混合过程ln i i iS R n x ∆=-∑封闭系统的定压过程21,d T p m T C S n T T∆=⎰封闭系统定容过程 21,d T V m T C S n T T∆=⎰可逆相变 m n H S T∆∆=标准状态下的化学反应 ,()r m Bm B BS S T θθν∆=∑定压下由1T 温度下的化学反应熵变求2T 温度下的熵变 21,21()()d T p m r m r m T C S T S T T T∆∆=∆+⎰4. 亥姆霍兹函数 A U TS ≡-5. 吉布斯函数 G H TS ≡-6. G ∆和A ∆的计算(A ∆的计算原则与G ∆相同,做相应的变换即可)定温过程G H T S ∆=∆-∆组成不变的均相封闭系统的定温过程 21d p p G V p ∆=⎰理想气体定温过程 21ln p G nRT p ∆= 7. 热力学判据熵判据:,()0U V dS ≥亥姆霍兹函数判据:,,'0(d )0T V W A =≤ 吉布斯函数判据:,,'0(d )0T p W G =≤8. 热力学函数之间的关系组成不变,不做非体积功的封闭系统的基本方程d d d d d d d d d d d d U T S p V H T S V pA S T p V G S T V p=-=+=--=-+麦克斯韦关系S VpS T Vp TT p V S T V p S S p V T S V p T ∂∂⎛⎫⎛⎫=- ⎪ ⎪∂∂⎝⎭⎝⎭⎛⎫∂∂⎛⎫= ⎪ ⎪∂∂⎝⎭⎝⎭∂∂⎛⎫⎛⎫= ⎪ ⎪∂∂⎝⎭⎝⎭⎛⎫∂∂⎛⎫=- ⎪ ⎪∂∂⎝⎭⎝⎭9. 吉布斯-亥姆霍兹方程2()pG HT T T ∆⎡⎤∂⎢⎥∆=-⎢⎥∂⎢⎥⎣⎦ 基本概念1. 热力学第二定律在研究化学或物理变化驱动力来源的过程中,人们注意到了热功交换的规律,抓住了事物的共性,提出了具有普遍意义的熵函数。
第二章 热力学第二定律内容提要一、自发过程及其不可逆性(1)自发过程(spontaneous process ):不靠外力就能自动进行的过程。
自发过程都有确定的方向,它的逆过程绝不会自发进行。
若靠外力干涉,使原过程逆相进行,体系恢复原状,则在环境中会留下无论如何也不能消除的后果。
这种不能消除的后果就是自发过程的不可逆性。
即一切自发过程都是不可逆的。
(2)可逆过程(reversible process):可逆过程是由一连串近平衡态的微小变化组成的。
变化的动力与阻力相差无限小,因而可逆变化进行的无限缓慢。
循原过程相反方向无限缓慢变化,可使体系与环境同时恢复原状,可逆过程的后果是可以消除的。
可逆过程中,体系对环境做功最大,环境对体系做功最小。
过程在热力学上是否可逆,最终归结为过程热功的转换问题。
由于热不能完全变为功,所以凡是涉及热的过程都是不可逆的。
二、热力学第二定律的表述及公式1、Kelvin 表述:“不可能从单一热源取热使之完全变为功而不产生其它变化”。
单一热源取热使之完全变为功虽不违背热力学第一定律,但涉及热功转换现象。
此表述也可说成“第二类永动机不可能制成”。
2、Clausius 表述:“热不能自动地由低温热源传到高温热源而不发生其它变化”。
两种表述都断言:一切实际过程都是不可逆的。
3、Clausius (克劳修斯)不等式(Clausius ineauality ):d S ≥δQ/T 或 T d S ≥δQ“=”适用于可逆过程,“>”适用于不可逆过程。
该不等式表示:可逆过程的热温商δQ/T 等于过程的熵变d S ;不可逆过程的热温商δQ/T 小于过程的熵变d S 。
三、熵(entropy )的定义及计算1、熵(entropy )的定义熵是体系的性质,状态函数,以符号S 表示。
⎰=∆BA R T Q S 式中,Q 为可逆过程的热,T 是可逆过程体系的温度。
2、熵的微观解释:体系任一平衡的宏观状态都与一定的微观状态数,即称混乱度相对应。