2020届一轮复习(理)通用版专题突破练(3)三角函数与其他知识的综合应用测试
- 格式:docx
- 大小:112.74 KB
- 文档页数:14
2020年高考理科数学一轮复习题型归纳与变式演练《三角函数的性质及应用》 【题型一】、求函数)sin(ϕω+=x A y (0≠A ,0>ω)的单调区间 【题型二】、三角函数)sin(ϕω+=x A y 的图象及其变换 【题型三】:奇偶性与对称性问题【题型一】、求函数sin()y A x ωϕ=+(0A ≠,0ω>)的单调区间【例1】已知函数()cos (0)f x x x ωωω=+>的图像与直线2y =-的两个相邻公共点之间的距离等于π,则()f x 的单调递减区间是( ) A .2[,],63k k k Z ππππ++∈ B .[,],36k k k Z ππππ-+∈ C .4[2,2],33k k k Z ππππ++∈ D .5[2,2],1212k k k Z ππππ-+∈ 【思路点拨】由已知得到周期,然后根据周期求出ω,可得函数的解析式;再利用正弦函数的单调性得出结论.【解析】因为()cos 2sin()6f x x x x πωωω=+=+的最小值为-2,可知2y =-与()f x 的两个相邻公共点之间的距离就是一个周期,于是2T ππω==,即ω=2,所以()2sin(2)6f x x π=+。
令32[2,2],,622x k k k Z πππππ+∈++∈解得2[,],,63x k k k Z ππππ∈++∈故选A 。
【总结升华】对于较为复杂的三角函数,可先通过恒等变形转化为sin()+y A x B ωϕ=+或cos()+y A x B ωϕ=+的形式,再进行三角函数的单调性的求解.【变式训练】:【变式1】求下列函数的单调递增区间.(1)cos(2)3y x π=-,(2)|sin()|4y x π=-+,(3))tan(33y x π=-.【解析】(1)∵cos(2)3y x π=-,∴递增区间为:27[,]36x k k ππππ∈++(k Z ∈);(2)画出|sin()|4y x π=-+的图象:可知增区间为3[,]44x k k ππππ∈++(k Z ∈);(3)函数在区间5[,]183183k k x ππππ∈-++(k Z ∈)上是增函数. 【变式2】利用单调性比较3cos 2,1sin 10,7cos 4-的大小:【解析】 ∵33cossin()222π=-,77cos 44sin()2π--=,且74130221022πππ->>>->∴7cos413sincos 102>-> 【题型二】、三角函数sin()y A x ωϕ=+的图象及其变换【例2】.已知函数x x y 2cos 32sin += (1)用五点法作出它的图象;(2)指出这个函数的振幅、周期、频率、初相和单调区间; (3)说明该函数的图象可由sin y x =的图象经过怎样的变换而得到?【思路点拨】化简2sin(2)3y x π=+,令320,,,,2322x πππππ+=,分别求出对应的x 值,再描点作图,注意图象变换的时候每一个变换总是对字母x 而言的.【解析】(1))32sin(2)3sin 2cos 3cos 2(sin 2)2cos 232sin 21(2π+=π⋅+π⋅=+=x x x x x y . 列表描点绘图如下:(2)如图可知,此函数的振幅是2,周期为π,频率为π1,初相为3π. 单调增区间为]12,125[π+ππ-πk k k ∈Z , 单调减区间为]127,12[π+ππ+πk k k ∈Z. (3)法一:sin y x=π3−−−−−−−−−−−→图象向左平移个单位纵坐标不变sin()3y x π=+−−−−−−−−−−−−−→横坐标缩短为原来的0.5倍纵坐标不变sin(2)3y x π=+−−−−−−−−−−−−→纵坐标扩大到原来的2倍横坐标不变2sin(2)3y x π=+ 法二:sin y x =−−−−−−−−−−−−−→横坐标缩短为原来的0.5倍纵坐标不变sin 2y x =π6−−−−−−−−−−−→图象向左平移个单位纵坐标不变sin 2()sin(2)63y x x ππ=+=+−−−−−−−−−−−−→纵坐标扩大到原来的2倍横坐标不变2sin(2)3y x π=+【总结升华】①五点法作sin()y A x ωϕ=+(0A >,0ω>)的简图时,五点取法是设t x ωϕ=+,由t 取0、2π、π、32π、2π来求相应的x 值及对应的y 值,再描点作图;②由sin y x =的图象变换出sin()y A x ωϕ=+的图象一般先平移后伸缩,但先伸缩后平移也经常出现,无论哪种变形,请切记每一个变换总是对字母x 而言,即图象变换要看“变量”起多大变化,而不是“角变化”多少;③此处的难点是函数图象的平移,可以选择画出图象后观察;也可以直接由函数式子利用特殊位置点(如:首点、波峰、波谷等)的坐标判定,但其前提是两个函数的名称以及x 的系数是相同的.【变式训练】: 【变式1】为得到函数的图象,只需将函数y =sin2x 的图象( ) A .向左平移个长度单位 B . 向右平移个长度单位 C .向左平移个长度单位D . 向右平移个长度单位【答案】A 【解析】∵,只需将函数y =sin2x 的图象向左平移个单位得到函数的图象.故选A .【变式2】试述如何由1sin(2)33y x π=+的图象得到sin y x =的图象.【解析】方法一:1sin(2)33y x π=+ 2−−−−−−−−−−−−→横坐标扩大为原来的倍纵坐标不变 1s i n ()33y x π=+π3−−−−−−−−−−−→图象向右平移个单位纵坐标不变1sin 3y x =3−−−−−−−−−−−−→纵坐标扩大到原来的倍横坐标不变sin y x =. 方法二:1sin(2)33y x π=+π6−−−−−−−−−−−→图象向右平移个单位纵坐标不变1sin 23y x =2−−−−−−−−−−−−→横坐标扩大为原来的倍纵坐标不变1sin 3y x =3−−−−−−−−−−−−→纵坐标扩大到原来的倍横坐标不变sin y x =.【变式3】若函数sin y x =的图象上的每个点的纵坐标不变,将横坐标缩小为原来的13,再将图象沿x 轴向右平移3π个单位,则新图象对应的函数式是( )A .sin3y x =-B .1πsin 33y x ⎛⎫=+ ⎪⎝⎭C .πsin 33y x ⎛⎫=- ⎪⎝⎭D .πsin 39y x ⎛⎫=- ⎪⎝⎭ 【答案】A【变式4】画出函数3sin(2)4y x π=-在区间[0]π,上的图象.【解析】由3sin(2)4y x π=-知道:故函数在区间[0]π,上的图象:【例3】. 如图,它是函数sin()y A x ωϕ=+(0,0,||)A ωϕπ>><的图象,由图中条件,写出该函数的解析式。
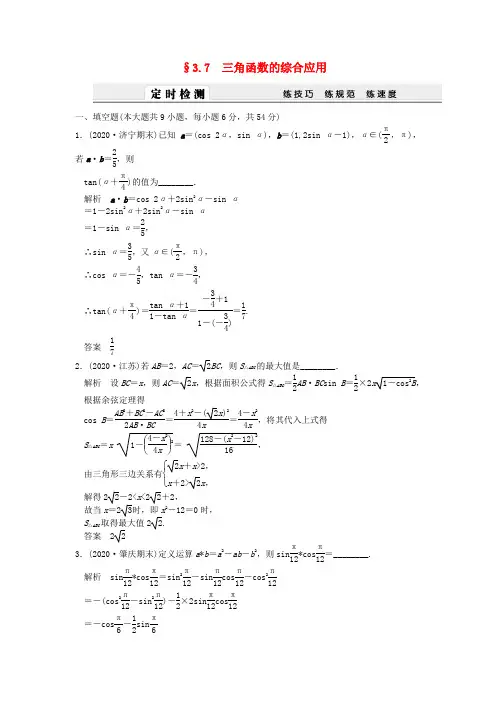
§3.7 三角函数的综合应用一、填空题(本大题共9小题,每小题6分,共54分)1.(2020·济宁期末)已知a =(cos 2α,sin α),b =(1,2sin α-1),α∈(π2,π),若a ·b =25,则tan(α+π4)的值为________.解析 a ·b =cos 2α+2sin 2α-sin α=1-2sin 2α+2sin 2α-sin α=1-sin α=25,∴sin α=35,又α∈(π2,π),∴cos α=-45,tan α=-34,∴tan(α+π4)=tan α+11-tan α=-34+11-(-34)=17.答案 172.(2020·江苏)若AB =2,AC =2BC ,则S △ABC 的最大值是________.解析 设BC =x ,则AC =2x ,根据面积公式得S △ABC =12AB ·BC sin B =12×2x 1-cos 2B ,根据余弦定理得cos B =AB 2+BC 2-AC 22AB ·BC =4+x 2-(2x )24x =4-x 24x,将其代入上式得S △ABC =x1-⎝ ⎛⎭⎪⎫4-x 24x 2= 128-(x 2-12)216,由三角形三边关系有⎩⎨⎧2x +x >2,x +2>2x ,解得22-2<x <22+2,故当x =23时,即x 2-12=0时, S △ABC 取得最大值2 2. 答案 2 23.(2020·肇庆期末)定义运算a *b =a 2-ab -b 2,则sin π12*cos π12=________.解析 sin π12*cos π12=sin 2π12-sin π12cos π12-cos 2π12=-(cos 2π12-sin 2π12)-12×2sin π12cos π12=-cos π6-12sin π6=-1+234.答案 -1+2344.(2020·广州第二次联考)已知a ,b ,x ,y ∈R ,a 2+b 2=4,ax +by =6,则x 2+y 2的最小值为________.解析 因为a 2+b 2=4,可设a =2sin α,b =2cos α, 则x sin α+y cos α=3.故x 2+y 2sin(α+φ)=3(其中tan φ=y x) 即x 2+y 2=3sin(α+φ),故x 2+y 2的最小值为3.即x 2+y 2的最小值为9. 答案 95.(2020·宿州模拟)若函数f (x )=sin(x +α)-2cos(x -α)是偶函数,则cos 2α=________.解析 ∵f (x )=(cos α-2sin α)sin x +(sin α-2cos α)cos x 是偶函数,故cos α-2sin α=0,cos α=2sin α,∴cos 2α+sin 2α=5sin 2α=1,即sin 2α=15,cos 2α=1-2sin 2α=35.答案 356.(2020·泰州调研)函数f (x )=(sin 2x +12 009sin 2x )·(cos 2x +12 009cos 2x)的最小值是________.解析 f (x )=(2 009sin 4x +1)(2 009cos 4x +1)2 0092sin 2x cos 2x=2 0092sin 4x cos 4x +2 009(sin 4x +cos 4x )+12 0092sin 2x cos 2x=sin 2x cos 2x + 2 0102 0092sin 2x cos 2x -22 009≥22 009( 2 010-1). 答案 22 009( 2 010-1)7.(2020·福建文)已知锐角△ABC 的面积为33,BC =4,CA =3,则角C 的大小为________.解析 由题知,12×4×3×sin C =33,∴sin C =32. 又∵0<C <π2,∴C =π3.答案 60°8.(2020·苏南四市模拟)俗话说“一石激起千层浪”,小时候在水上打“水漂”的游戏一定不会忘记吧.现在一个圆形波浪实验水池的中心已有两个振动源,在t 秒内,它们引发的水面波动可分别由函数y 1=sin t 和y 2=sin(t +2π3)来描述,当这两个振动源同时开始工作时,要使原本平静的水面保持平静,则需再增加一个振动源(假设不计其他因素,则水面波动由几个函数的和表达),请你写出这个新增振动源的函数解析式______________.解析 因为y 1+y 2+y 3=sin t +sin(t +2π3)+y 3=0即12sin t +32cos t +y 3=0, 所以y 3=sin(t +4π3)时符合题意.本题也可为y 3=sin(t -2π3)(答案不惟一).答案 y 3=sin(t +4π3)9.(2020·南通模拟)2002年在北京召开的国际数学家大会,会标是以我国古代数学家赵爽的弦图为基础设计的.弦图是由四个全等直角三角形与一个小正方形拼成的一个大正方形(如图).如果小正方形的面积为1,大正方形的面积为25,直角三角形中较小的锐角为θ,那么cos 2θ的值等于____________.解析 ∵大正方形面积为25,小正方形面积为1, ∴大正方形边长为5,小正方形的边长为1. ∴5cos θ-5sin θ=1, ∴cos θ-sin θ=51. ∴1-sin 2θ=251,∴sin 2θ=2524. ∵θ是直角三角形中较小的锐角, ∴0<θ<.2π20,4π<<θ ∴cos 2θ=.2572sin 12=-θ 答案257 二、解答题(本大题共3小题,共46分)10.(14分)(2020·福建)已知向量m =(sin A ,cos A ),n =(3,-1),m·n =1,且A 为锐角.(1)求角A 的大小;(2)求函数f (x )=cos 2x +4cos A sin x (x ∈R )的值域. 解 (1)由题意得m·n =3sin A -cos A =1,即2sin ⎝⎛⎭⎪⎫A -π6=1,所以sin ⎝⎛⎭⎪⎫A -π6=12,由A 为锐角得A -π6=π6,所以A =π3.(2)由(1)知cos A =12,所以f (x )=cos 2x +2sin x =1-2sin 2x +2sin x=-2⎝⎛⎭⎪⎫sin x -122+32. 因为x ∈R ,所以sin x ∈[-1,1],因此,当sin x =12时,f (x )有最大值32;当sin x =-1时,f (x )有最小值-3.所以所求函数f (x )的值域是⎣⎢⎡⎦⎥⎤-3,32.11.(16分)(2020·苏、锡、常、镇四市调研)已知函数f (x )=3sin ωx ·cos ωx -cos 2ωx+32(ω∈R ,x ∈R )的最小正周期为π,且图象关于直线x =π6对称. (1)求f (x )的解析式;(2)若函数y =1-f (x )的图象与直线y =a 在[0,π2]上只有一个交点,求实数a 的取值范围.解 (1)∵f (x )=3sin ωx ·cos ωx -cos 2ωx +32=32sin 2ωx -12(1+cos 2ωx )+32=sin(2ωx -π6)+1, ∵函数f (x )的最小正周期为π, ∴2π|2ω|=π,即ω=±1, ∴f (x )=sin(±2x -π6)+1.①当ω=1时,f (x )=sin(2x -π6)+1,∴f (π6)=sin π6+1不是函数的最大值或最小值,∴其图象不关于x =π6对称,舍去.②当ω=-1时,f (x )=-sin(2x +π6)+1,∴f (π6)=-sin π2+1=0是最小值,∴其图象关于x =π6对称.故f (x )的解析式为f (x )=1-sin(2x +π6).(2)∵y =1-f (x )=sin(2x +π6)在同一坐标系中作出y =sin(2x +π6)和y =a 的图象:由图可知,直线y=a 在a ∈)21,21[-或a=1时,两曲线只有一个交点, ∴a ∈)21,21[-或a=1. 12.(16分) (2020·浙江)在△ABC 中,角A ,B ,C 所对的边分别为a ,b ,c ,且满足cos.3,5522=⋅=A (1)求△ABC 的面积;(2)若b +c =6,求a 的值.解 (1)因为cos A 2=255,所以cos A =2cos 2A 2-1=35,sin A =45. 又由3=⋅得bc cos A =3,所以bc =5,因此S △ABC =12bc sin A =2.(2)由(1)知,bc =5,又b +c =6, 所以b =5,c =1,或b =1,c =5.由余弦定理,得a 2=b 2+c 2-2bc cos A =20, 所以a =2 5.。
2020年高考理科数学一轮复习题型归纳与变式演练《三角函数的最值与综合应用》 【题型一】三角函数的最值【题型二】)sin(ϕω+=x A y 的图象和性质的综合应用 【题型三】三角函数在实际生活中的应用 【题型一】:三角函数的最值【例1】.求函数sin cos 26y x x ππ⎛⎫⎛⎫=+- ⎪ ⎪⎝⎭⎝⎭的最大值.【解析】原式1cos cos cos sin 62x x x x x π⎫⎛⎫=⋅-=+⎪ ⎪⎪⎝⎭⎝⎭21cos sin cos 22x x x =+(1c o s 2)s i 44x x +=+11(s i n 23c o s s i n 2423x x x π⎛⎫=+=++⎪⎝⎭,. 【总结升华】运用三角函数公式化简成22sin sin cos cos y a x b x x x C =+++,通过二倍角降次,整理成)y x C ϕ=++型,再利用有界性处理. 【变式训练】:【变式1】求函数cos y x x =+[0,]x π∈的值域. 【答案】[1,2]-【解析】)6sin(2cos sin 3π+=+=x x x y∵[0,]x π∈, ∴ ]67,6[6ππ∈π+x . 由正弦函数图象可知:当26π=π+x 即3π=x 时,max 2y =;当π=π+676x 即x π=时,min 1y =-. 所以函数值域为[1,2]-.【变式2】函数2()sin cos f x x x x =在区间,42ππ⎡⎤⎢⎥⎣⎦上的最大值是( )A .1BC .32D .【答案】C【解析】1cos 21()sin 2sin 22262x f x x x π-⎛⎫=+=-+ ⎪⎝⎭。
又,42x ππ⎡⎤∈⎢⎥⎣⎦,∴52,636x πππ⎡⎤-∈⎢⎥⎣⎦,∴max 13()122f x =++. 故选C.【变式3】已知函数(x)f 22cos 2sin 4cos x x x =+-。
(1)求()3f π的值;(2)求(x)f 的最大值和最小值。
第八讲 三角函数与其他知识的综合运用考向一 解三角形与三角函数综合【例1】 设△ABC 的内角A ,B ,C 的对边分别为a ,b ,c ,a =b tan A ,且B 为钝角。
(1)证明:B -A =π2;(2)求sin A +sin C 的取值范围。
【举一反三】1. 在△ABC 中,角A ,B ,C 所对的边分别为a ,b ,c ,∠ABC =120°,∠ABC 的平分线交AC 于点D ,且BD =1,则4a +c 的最小值为________。
2.在△ABC 中,内角A ,B ,C 的对边分别为a ,b ,c ,外接圆的半径为1,且tan A tan B =2c -b b ,则△ABC面积的最大值为________。
3.在△ABC 中,a 2+c 2=b 2+2ac 。
(1)求B 的大小;(2)求2cos A +cos C 的最大值。
【修炼套路】---为君聊赋《今日诗》,努力请从今日始考向二 三角函数与平面向量【例2】在△ABC 中,内角A ,B ,C 的对边分别为a ,b ,c ,(8−c )cosB =bcosC ,c =3,a =4,平面内有一点D 满足AD ⃑⃑⃑⃑⃑ =2AC ⃑⃑⃑⃑⃑ ,则线段BD =________.【举一反三】1.已知△ABC 中,AC =6,BC =3,边AB 上一点D 满足CD ⃑⃑⃑⃑⃑ =λ(CA ⃑⃑⃑⃑⃑ +2CB ⃑⃑⃑⃑⃑ ),λ>0. (I)证明:CD 为△ABC 的内角平分线; (Ⅱ)若CD =3,求cosC .考向三 三角函数与圆锥曲线【例3】在直角坐标平面内,已知A(−2,0),B(2,0)以及动点C 是ΔABC 的三个顶点,且sinAsinB −2cosC=0,则动点C的轨迹曲线Γ的离心率是()A.√22B.√32C.√2D.√3【举一反三】1.已知椭圆x 2a2+y2b2=1(a>b>0)的左、右焦点分别为F1,F2,且|F1F2|=2c,若椭圆上存在点M使得△MF1F2中,sin∠MF1F2a =sin∠MF2F1c,则该椭圆离心率的取值范围为( )A.(0,√2-1) B.(√22,1)C.(0,√22)D.(√2-1,1)2.已知圆C:x2+(y−1)2=R2与函数y=2sinx的图像有唯一交点,且交点的横坐标为α,则4cos2α2−α−2sin2α=()A.−2B.−3C.2D.3考向四三角函数与不等式【例4】在△ABC中,角A,B,C的对边分别为a,b,c,已知sin2A+2sin2B=3sin2C,a=3sinA. (1)求△ABC外接圆的面积;(2)求边c的最大值.考向五 三角函数与函数【例5】已知函数()()sin f x A x ωϕ=+,0,0,2A πωϕ⎛⎫>><⎪⎝⎭的部分图象如图所示,则使()()0f a x f a x +--=成立的a 的最小正值为( )A .12πB .6π C .4π D .3π【举一反三】1.函数()=sin 3f x x πω⎛⎫-⎪⎝⎭在区间[]0,2π上至少存在5个不同的零点,则正整数ω的最小值为() A .2 B .3C .4D .52.已知函数f(x)=Acos(ωx+φ)(A>0,ω>0,|φ|<π2)的图象如图所示,令g(x)=f(x)+f′(x),则下列关于函数g(x)的说法中正确的是()A.函数g(x)图象的对称轴方程为x=kπ+5π12(k∈Z)B.函数g(x)的最大值为2C.函数g(x)的图象上存在点P,使得在P点处的切线与直线y=−3x+1平行D.若函数ℎ(x)=g(x)+2的两个不同零点分别为x1,x2,则|x1−x2|最小值为π2考向六古书中三角函数【例6】我国古代数学家刘徽于公元263年在《九章算术注》中提出“割圆术”:割之弥细,所失弥少,割之又割,以至于不可割,则与圆合体,而无所失矣.即通过圆内接正多边形细割圆,并使正多边形的面积无限接近圆的面积,进而来求得较为精确的圆周率.如果用圆的内接正n边形逼近圆,算得圆周率的近似值记为πn,那么用圆的内接正2n边形逼近圆,算得圆周率的近似值π2n可表示成()A.πncos180°n B.πncos360°nC.πnsin360°nD.πncos90°n【举一反三】1.我国南宋著名数学家秦九韶提出了由三角形三边求三角形面积的“三斜求积”,设ABC的三个内角,,A B C 所对的边分别为,,a b c ,面积为S ,则“三斜求积”公式为⎥⎥⎦⎤⎢⎢⎣⎡⎪⎪⎭⎫⎝⎛-+-=222222241b c a c a S ,若222sin 2sin ,()6a C A a c b =+=+,则用“三斜求积”公式求得ABC ∆的面积为( )A .32B .C .12D .11.ΔABC 中,A (−5,0),B (5,0),点C 在双曲线x 216−y 29=1上,则sinA−sinB sinC=( )A .35B .±35C .45D .±452.在数学解题中,常会碰到形如“1x yxy+-”的结构,这时可类比正切的和角公式.如:设b a ,是非零实数,且满足sincos855tan 15cos sin 55a b a b πππππ+=-,则=a b ( )A .4B .15C .2D .33.记函数()x f x e x a =--,若曲线2cos 2cos 1y x x =-++上存在点()00,x y 使得()00f y y =,则a 的取值范围是( ) A .()2,e 4-∞-B .222ln 2,e 4⎡⎤--⎣⎦C .222ln 2,e4-⎡⎤-+⎣⎦D .()2,e4--∞+【运用套路】---纸上得来终觉浅,绝知此事要躬行4.将函数⎪⎭⎫⎝⎛+=32sin )(πx x f 的图象向左平移m (0)m 个单位长度,再将图象上各点的横坐标伸长到原来的2倍(纵坐标不变),得到函数()g x 的图象,若对任意的x ∈R 均有()12g x g π⎛⎫≤ ⎪⎝⎭成立,则m 的最小值为( )A .2324πB .1211πC .12πD .24π 5.若存在唯一的实数(0,)2t π∈,使得曲线cos (0)3y x πωω⎛⎫=-> ⎪⎝⎭关于点)0,(t 对称,则ω的取值范围是( ) A .511[,]33B .511(,]33C .410(,]33D .410[,]336.我国古代数学家僧一行应用“九服晷(gu ǐ)影算法”在《大衍历》中建立了晷影长l 与太阳天顶距θ(0°≤θ≤80°)的对应数表,这是世界数学史上较早的一张正切函数表.根据三角学知识可知,晷影长度l 等于表高ℎ与太阳天顶距θ正切值的乘积,即l =ℎtanθ.已知天顶距θ=1°时,晷影长l ≈0.14.现测得午中晷影长度l ≈0.42,则天顶距θ为( )(参考数据:tan1°≈0.0175,tan2°≈0.0349,tan3°≈0.0524,tan22.8°≈0.4204) A .2°B .3°C .11°D .22.8°7.《海岛算经》是中国学者刘徽编撰的一部测量数学著作,现有取自其中的一个问题:今有望海岛,立两表齐高三丈,前后相去千步,今后表与前表参相直,从前表却行一百二十三步,人目着地,取望岛峰,与表末参合,从后表却行一百二十七步,人目着地,取望岛峰,亦与表末参合,问岛高几何?用现代语言来解释,其意思为:立两个三丈高的标杆BC 和DE ,之间距离为BD =1000步,两标杆的底端与海岛的底端H 在同一直线上,从第一个标杆B 处后退123步,人眼贴地面,从地上F 处仰望岛峰,A 、C 、F 三点共线;从后面的一个标杆D 处后退127步,从地上G 处仰望岛峰,A 、E 、G 三点也共线,则海岛的高为( )(古制:1步=6尺,1里=180丈=1800尺=300步)A.1255步B.1250步C.1230步D.1200步8.已知函数f(x)=Acos(ωx+φ)(A>0,ω>0,|φ|<π2)的图象如图所示,令g(x)=f(x)+f′(x),则下列关于函数g(x)的说法中正确的是()A.函数g(x)图象的对称轴方程为x=kπ+5π12(k∈Z)B.函数g(x)的最大值为2C.函数g(x)的图象上存在点P,使得在P点处的切线与直线y=−3x+1平行D.若函数ℎ(x)=g(x)+2的两个不同零点分别为x1,x2,则|x1−x2|最小值为π29.若函数f(x)=12(cosx+sinx)(cosx−sinx−4a)+(4a−3)x在[0,π2]上单调递增,则实数a的取值范围为()A.a≥32B.32<a<3C.a≥1D.1<a<310.已知函数y=f(x)为R上的偶函数,当x∈[0,1)时f′(x)<0当x∈(1,+∞)时,f′(x)>0且f(x)≥−m 2+2m 对m ∈R 恒成立,函数g(x)=sin(ωx +φ)(ω>0)的一个周期内的图像与函数f(|x|)的图像恰好有两个公共点,则g(x)= ( ) A .−cosπxB .−sinπxC .−cosπx 2D .−sinπx 211.已知函数f(x)=sinx +√3cosx ,把函数f(x)的图象向右平移π6个单位,再把图象上各点的横坐标缩小到原来的一半,纵坐标不变,得到函数g(x)的图象,当x ∈[0,π2]时,方程g(x)−k =0恰有两个不同的实根,则实数k 的取值范围为( ) A .[1,√3]B .[1,2)C .(−2,0)∪(0,2)D .[√3,2)12.已知函数f (x )=2x -1,g (x )={acosx +2,x ≥0x 2+2a,x <0(a ∈R ),若对任意x 1∈[1,+∞),总存在x 2∈R ,使f (x 1)=g (x 2),则实数a 的取值范围是( ) A .(−∞,12)B .(23,+∞)C .(−∞,12)∪[1,2]D .[1,32]∪[74,2]13.已知函数f(x)=asinx −2√3cosx 的一条对称轴为x =−π6,f(x 1)+f(x 2)=0,且函数f(x)在(x 1, x 2)上具有单调性,则|x 1+x 2|的最小值为 A .2π3B .π3C .π6D .4π314.若复数z =cosθ+isinθ,当θ=43π时,则复数z 在复平面内对应的点位于( )A .第一象限B .第二象限C .第三象限D .第四象限15.已知角a 的终边经过点A(a,1),若点A 在抛物线y 2=4√3x 的准线上,则cosα=( )A .√32B .−√32C .12D .−1216.函数()()sin f x x ωϕ=+的导函数()y f x '=的部分图像如图所示,其中,P 为图像与y 轴的交点,A ,C 为图像与x 轴的两个交点,B 为图像的最低点. 若π6ϕ=时,点P 的坐标为330,2⎛⎫ ⎪ ⎪⎝⎭,则ω=______.17.已知函数f(x)=sin(ωx+φ)(ω>0,0<φ<π),对任意x∈R,f(x+2)=−f(x),将函数f(x)的图象向右平移13个单位后,所得图象关于原点中心对称,则函数y=f(x)在[0,1]上的值域为___.18.函数f(x+12)=x3+2019x−2019−x+1,若f(sinθ+cosθ)+f(sin2θ−t)<2对∀θ∈R恒成立,则实数t的取值范围是_____.19.已知f(x)是定义在R上的奇函数,若f(x)的图象向左平移2个单位后关于y轴对称,且f(1)=1,则f(4)+f(5)=_____.20.如图,在边长为2的正方形ABCD中,以AB的中点O为圆心,以√2为半径作圆弧,交边AD,BC于点M,N,从正方形ABCD中任取一点,则该点落在扇形OMN中的概率为_____.21.已知函数f(x)=cosxcos(x−π3)−14,x∈R.(1)求函数f(x)的单调递增区间;(2)在ΔABC中,内角A,B,C的对边分别为a,b,c,f(A)=12,c=2,且AB⃑⃑⃑⃑⃑ ⋅AC⃑⃑⃑⃑⃑ =32,求a的值.22.在△ABC 中,角A ,B ,C 所对的边分别为a ,b ,c .若1tan A ,2tan C ,1tan B成等差数列,则cos C 的最小值为 .23.已知△ABC 的内角A ,B ,C 所对的边分别为a ,b ,c ,且a cos C +c cos A =b sin B ,A =π6,如图,若点D 是△ABC 外一点,DC =2,DA =3,则当四边形ABCD 面积最大时,sin D =________。
第3讲 三角函数的图象与性质1.用五点法作正弦函数和余弦函数的简图。
正弦函数y =sin x ,x ∈[0,2π]的图象上,五个关键点是:(0,0),⎝ ⎛⎭⎪⎫π2,1,(π,0),⎝ ⎛⎭⎪⎫3π2,-1,(2π,0).余弦函数y =cos x ,x ∈[0,2π]的图象上,五个关键点是:(0,1),⎝ ⎛⎭⎪⎫π2,0,(π,-1),⎝ ⎛⎭⎪⎫3π2,0,(2π,1).2.正弦函数、余弦函数、正切函数的图象和性质1.概念辨析(1)y =tan x 在整个定义域上是增函数.( )(2)正弦曲线、余弦曲线相邻两对称中心之间的距离是半个周期.( ) (3)由sin ⎝ ⎛⎭⎪⎫π6+2π3=sin π6知,2π3是正弦函数y =sin x (x ∈R )的一个周期.( )(4)三角函数中奇函数一般可化为y =A sin ωx 或y =A tan ωx 的形式,偶函数一般可化为y =A cos ωx +b 的形式.( )答案 (1)× (2)√ (3)× (4)√ 2.小题热身(1)(2017·全国卷Ⅱ)函数f (x )=sin ⎝ ⎛⎭⎪⎫2x +π3的最小正周期为( ) A .4π B .2π C .π D.π2 答案 C解析 函数f (x )=sin ⎝ ⎛⎭⎪⎫2x +π3的最小正周期T =2π2=π.故选C.(2)函数y =1-2cos x 的单调递减区间是________. 答案 [2k π-π,2k π](k ∈Z )解析 y =1-2cos x 的单调递减区间就是y =cos x 的单调递增区间,即[2k π-π,2k π](k ∈Z ).(3)函数y =3-2sin ⎝ ⎛⎭⎪⎫x +π4的最大值为________,此时x =________.答案 5 5π4+2k π(k ∈Z )解析 函数y =3-2sin ⎝ ⎛⎭⎪⎫x +π4的最大值为3+2=5,此时x +π4=3π2+2k π,即x =5π4+2k π(k ∈Z ).(4)cos23°,sin68°,cos97°从小到大的顺序是________. 答案 cos97°<cos23°<sin68° 解析 sin68°=sin(90°-22°)=cos22°.因为余弦函数y =cos x 在[0,π]上是单调递减的, 且22°<23°<97°,所以cos97°<cos23°<cos22°. 即cos97°<cos23°<sin68°.题型 一 三角函数的定义域和值域1.函数f (x )=-2tan ⎝ ⎛⎭⎪⎫2x +π6的定义域是( )A .{x ⎪⎪⎪⎭⎬⎫x ≠π6B .[x ⎪⎪⎪⎭⎬⎫x ≠-π12C .{x ⎪⎪⎪⎭⎬⎫x ≠k π+π6(k ∈Z ) D .{x ⎪⎪⎪⎭⎬⎫x ≠k π2+π6(k ∈Z ) 答案 D解析 由2x +π6≠k π+π2,k ∈Z , 解得x ≠k π2+π6,k ∈Z ,所以函数f (x )=-2tan ⎝ ⎛⎭⎪⎫2x +π6的定义域是{x ⎪⎪⎪⎭⎬⎫x ≠k π2+π6,k ∈Z . 2.函数y =2sin ⎝ ⎛⎭⎪⎫π6x -π3(0≤x ≤9)的最大值与最小值之和为( )A .2- 3B .0C .-1D .-1- 3 答案 A解析 因为0≤x ≤9,所以-π3≤π6x -π3≤7π6, 所以sin ⎝ ⎛⎭⎪⎫π6x -π3∈⎣⎢⎡⎦⎥⎤-32,1.所以y ∈[-3,2],所以y max +y min =2- 3.3.(2018·长沙质检)函数y =sin x -cos x +sin x cos x 的值域为________. 答案 ⎣⎢⎡⎦⎥⎤-12-2,1解析 令t =sin x -cos x ,则t =2sin ⎝ ⎛⎭⎪⎫x -π4∈[-2,2].由(sin x -cos x )2=1-2sin x cos x 得 sin x cos x =12(1-t 2),所以y =t +12(1-t 2),t ∈[-2,2]的值域即为所求. 因为y =t +12(1-t 2)=-12(t -1)2+1, 当t =-2时,y min =-12-2, 当t =1时,y max =1,所以原函数的值域为⎣⎢⎡⎦⎥⎤-12-2,1.1.三角函数定义域的求法求三角函数的定义域实际上是构造简单的三角不等式(组),常借助三角函数线或三角函数图象来求解.2.三角函数最值或值域的三种求法1.函数y =cos x -32的定义域为( )A.⎣⎢⎡⎦⎥⎤-π6,π6 B.⎣⎢⎡⎦⎥⎤k π-π6,k π+π6(k ∈Z ) C.⎣⎢⎡⎦⎥⎤2k π-π6,2k π+π6(k ∈Z ) D .R 答案 C解析 由cos x -32≥0,得cos x ≥32, ∴2k π-π6≤x ≤2k π+π6,k ∈Z .2.已知函数f (x )=sin ⎝ ⎛⎭⎪⎫x +π6,其中x ∈⎣⎢⎡⎦⎥⎤-π3,a ,若f (x )的值域是⎣⎢⎡⎦⎥⎤-12,1,则实数a 的取值范围是________.答案 ⎣⎢⎡⎦⎥⎤π3,π解析 因为x ∈⎣⎢⎡⎦⎥⎤-π3,a ,所以x +π6∈⎣⎢⎡⎦⎥⎤-π6,a +π6.因为x +π6∈⎣⎢⎡⎦⎥⎤-π6,π2时,f (x )的值域是⎣⎢⎡⎦⎥⎤-12,1,由函数y =sin x 的图象和性质可知,π2≤a +π6≤7π6, 解得a ∈⎣⎢⎡⎦⎥⎤π3,π.3.函数y =-cos 2x +3cos x -1的最大值为________. 答案 1解析 由题意可得y =-⎝ ⎛⎭⎪⎫cos x -322+54,-1≤cos x ≤1,所以当cos x =1时,y max =1.题型 二 三角函数的单调性1.(2018·乌鲁木齐一模)已知π3为函数f (x )=sin(2x +φ)⎝ ⎛⎭⎪⎫0<φ<π2的零点,则函数f (x )的单调递增区间是( )A.⎣⎢⎡⎦⎥⎤2k π-5π12,2k π+π12(k ∈Z ) B.⎣⎢⎡⎦⎥⎤2k π+π12,2k π+7π12(k ∈Z ) C.⎣⎢⎡⎦⎥⎤k π-5π12,k π+π12(k ∈Z ) D.⎣⎢⎡⎦⎥⎤k π+π12,k π+7π12(k ∈Z ) 答案 C解析 由于π3为函数f (x )=sin(2x +φ)⎝ ⎛⎭⎪⎫0<φ<π2的零点,则f ⎝ ⎛⎭⎪⎫π3=0,所以sin ⎝ ⎛⎭⎪⎫2π3+φ=0,解得φ=π3,故f (x )=sin ⎝ ⎛⎭⎪⎫2x +π3,令-π2+2k π≤2x +π3≤2k π+π2(k ∈Z ), 解得k π-5π12≤x ≤k π+π12(k ∈Z ),故函数f (x )的单调递增区间为⎣⎢⎡⎦⎥⎤k π-5π12,k π+π12(k ∈Z ).2.已知ω>0,函数f (x )=sin ⎝ ⎛⎭⎪⎫ωx +π4在⎝ ⎛⎭⎪⎫π2,π上单调递减,则ω的取值范围是( )A.⎣⎢⎡⎦⎥⎤12,54 B.⎣⎢⎡⎦⎥⎤12,34 C.⎝ ⎛⎦⎥⎤0,12 D .(0,2]答案 A解析 由π2<x <π得π2ω+π4<ωx +π4<πω+π4,由题意知⎝ ⎛⎭⎪⎫π2ω+π4,πω+π4⊆⎝ ⎛⎭⎪⎫2k π+π2,2k π+3π2(k ∈Z ), 当k =0时,由⎩⎨⎧π2ω+π4≥π2,ω+π4≤3π2,求得12≤ω≤54.3.函数y =|tan x |在⎝ ⎛⎭⎪⎫-π2,3π2上的单调减区间为________.答案 ⎝ ⎛⎦⎥⎤-π2,0和⎝ ⎛⎦⎥⎤π2,π解析 如图,观察图象可知,y =|tan x |在⎝ ⎛⎭⎪⎫-π2,3π2上的单调减区间为⎝ ⎛⎦⎥⎤-π2,0和⎝ ⎛⎦⎥⎤π2,π.条件探究1 将举例说明1中的函数改为f (x )=sin ⎝ ⎛⎭⎪⎫-2x +π3,求其单调减区间.解 由已知函数为y =-sin ⎝ ⎛⎭⎪⎫2x -π3,欲求函数的单调减区间,只需求y =sin ⎝ ⎛⎭⎪⎫2x -π3的单调增区间. 由2k π-π2≤2x -π3≤2k π+π2,k ∈Z ,得 k π-π12≤x ≤k π+5π12,k ∈Z .故所给函数的单调减区间为⎣⎢⎡⎦⎥⎤k π-π12,k π+5π12(k ∈Z ).条件探究2 若举例说明1中函数的定义域改为[0,π],求其单调递增区间.解 记A ={x ⎪⎪⎪⎭⎬⎫k π-5π12≤x ≤k π+π12,k ∈Z ,B =[0,π].观察数轴可知A ∩B =⎣⎢⎡⎦⎥⎤0,π12∪⎣⎢⎡⎦⎥⎤7π12,π所以函数y =f (x ),x ∈[0,π]的单调递增区间为⎣⎢⎡⎦⎥⎤0,π12和⎣⎢⎡⎦⎥⎤7π12,π.求三角函数单调区间的两种方法(1)复合函数法(2)图象法画出三角函数的正、余弦曲线,结合图象求它的单调区间.1.在下列给出的函数中,以π为周期且在⎝ ⎛⎭⎪⎫0,π2上是减函数的是( )A .y =cos x2 B .y =cos(-2x ) C .y =sin ⎝ ⎛⎭⎪⎫2x +π4D .y =tan ⎝ ⎛⎭⎪⎫x -π4答案 B解析 y =cos x2的周期为4π,不符合要求.y =cos(-2x )=cos2x ,令t =2x ,t =2x 在x ∈⎝ ⎛⎭⎪⎫0,π2上为增函数,y =cos t 在t ∈(0,π)上为减函数,所以y =cos(-2x )在⎝ ⎛⎭⎪⎫0,π2上为减函数,符合要求.同理可得y =sin ⎝ ⎛⎭⎪⎫2x +π4在⎝ ⎛⎭⎪⎫0,π2上先增后减,y =tan ⎝ ⎛⎭⎪⎫x -π4在⎝ ⎛⎭⎪⎫0,π2上为增函数.2.已知函数f (x )=2sin ⎝ ⎛⎭⎪⎫x +7π3,设a =f ⎝ ⎛⎭⎪⎫π7,b =f ⎝ ⎛⎭⎪⎫π6,c =f ⎝ ⎛⎭⎪⎫π3,则a ,b ,c 的大小关系是________.答案 c <a <b解析 f (x )=2sin ⎝ ⎛⎭⎪⎫x +π3+2π=2sin ⎝ ⎛⎭⎪⎫x +π3,a =f ⎝ ⎛⎭⎪⎫π7=2sin 10π21,b =f ⎝ ⎛⎭⎪⎫π6=2sin π2,c =f ⎝ ⎛⎭⎪⎫π3=2sin 2π3=2sin π3,因为y =sin x在⎣⎢⎡⎦⎥⎤0,π2上单调递增, 且π3<10π21<π2,所以sin π3<sin 10π21<sin π2,即c <a <b . 题型 三 三角函数的周期性、奇偶性、对称性角度1 三角函数的周期性 1.(2018·全国卷Ⅲ)函数f (x )=tan x1+tan 2x的最小正周期为( )A.π4B.π2 C .π D .2π 答案 C解析 由已知得f (x )=tan x 1+tan 2x =sin x cos x 1+⎝ ⎛⎭⎪⎫sin x cos x 2=sin x cos x =12sin2x ,f (x )的最小正周期T =2π2=π.故选C.角度2 三角函数的奇偶性2.(2018·烟台检测)若函数f (x )=cos ⎝ ⎛⎭⎪⎫2x +φ-π3(0<φ<π)是奇函数,则φ=________.答案 5π6解析 因为f (x )为奇函数,所以φ-π3=π2+k π(k ∈Z ),φ=5π6+k π,k ∈Z .又因为0<φ<π,故φ=5π6.角度3 三角函数图象的对称性 3.函数y =2sin ⎝ ⎛⎭⎪⎫2x +π3的图象( )A .关于原点对称B .关于点⎝ ⎛⎭⎪⎫-π6,0对称C .关于y 轴对称D .关于直线x =π6对称答案 B解析 当x =0时,y =2sin π3=3,所以A ,C 错误; 当x =-π6时,y =2sin ⎝ ⎛⎭⎪⎫-π3+π3=0,所以B 正确;当x =π6时,y =2sin ⎝ ⎛⎭⎪⎫π3+π3=3,所以D 错误.1.周期的计算方法:利用函数y =A sin(ωx +φ),y =A cos(ωx +φ)(ω>0)的周期为2πω,函数y =A tan(ωx +φ)(ω>0)的周期为πω求解.2.函数具有奇偶性的充要条件函数y =A sin(ωx +φ)(x ∈R )是奇函数⇔φ=k π(k ∈Z ); 函数y =A sin(ωx +φ)(x ∈R )是偶函数⇔φ=k π+π2(k ∈Z ); 函数y =A cos(ωx +φ)(x ∈R )是奇函数⇔φ=k π+π2(k ∈Z ); 函数y =A cos(ωx +φ)(x ∈R )是偶函数⇔φ=k π(k ∈Z ). 3.与三角函数有关的图象的对称性问题对于函数y =A sin(ωx +φ),其图象的对称轴一定经过函数图象的最高点或最低点,对称中心一定是函数的零点,因此在判断x =x 0或点(x 0,0)是否是函数的对称轴或对称中心时,可通过检验f (x 0)的值进行判断.1.关于函数y =tan ⎝ ⎛⎭⎪⎫2x -π3,下列说法正确的是( )A .是奇函数B .在区间⎝ ⎛⎭⎪⎫0,π3上单调递减C.⎝ ⎛⎭⎪⎫π6,0为其图象的一个对称中心D .最小正周期为π 答案 C解析 y =tan ⎝ ⎛⎭⎪⎫2x -π3是非奇非偶函数,A 错误;y =tan ⎝ ⎛⎭⎪⎫2x -π3在区间⎝ ⎛⎭⎪⎫0,π3上单调递增,B 错误;由2x -π3=k π2得x =k π4+π6(k ∈Z ),得函数y =tan ⎝ ⎛⎭⎪⎫2x -π3的对称中心为⎝ ⎛⎭⎪⎫k π4+π6,0,k ∈Z ,故C 正确;函数y =tan ⎝ ⎛⎭⎪⎫2x -π3的最小正周期为π2,D 错误.2.(2016·浙江高考)函数y =sin x 2的图象是( )答案 D解析 由y =sin x 2为偶函数,其图象关于y 轴对称,可以排除A ,C ;当x =π2时,y =sin ⎝ ⎛⎭⎪⎫π22=sin π24≠1,排除B ,故选D.3.(2018·江苏高考)函数f (x )满足f (x +4)=f (x )(x ∈R ),且在区间(-2,2]上,f (x )=⎩⎪⎨⎪⎧cos πx 2,0<x ≤2,⎪⎪⎪⎪⎪⎪x +12,-2<x ≤0,则f [f (15)]的值为________. 答案 22解析 因为f (x +4)=f (x ),函数的周期为4,所以f (15)=f (-1),f (-1)=⎪⎪⎪⎪⎪⎪-1+12=12, 所以f [f (15)]=f ⎝ ⎛⎭⎪⎫12=cos π4=22.高频考点 三角函数的图象与性质考点分析 纵观近年高考中三角函数的试题,其有关性质几乎每年必考,题目较为简单,综合的知识多数为三角函数本章内的知识,通过有效地复习完全可以掌握此类题型的解法,并在高考中拿全分.[典例1] (2017·全国卷Ⅲ)设函数f (x )=cos ⎝ ⎛⎭⎪⎫x +π3,则下列结论错误的是( )A .f (x )的一个周期为-2πB .y =f (x )的图象关于直线x =8π3对称 C .f (x +π)的一个零点为x =π6 D .f (x )在⎝ ⎛⎭⎪⎫π2,π上单调递减答案 D解析 因为f (x )=cos ⎝ ⎛⎭⎪⎫x +π3的周期为2k π(k ∈Z ),所以f (x )的一个周期为-2π,A 项正确.因为f (x )=cos ⎝ ⎛⎭⎪⎫x +π3的图象的对称轴为直线x =k π-π3(k ∈Z ),所以y=f (x )的图象关于直线x =8π3对称,B 项正确.f (x +π)=cos ⎝ ⎛⎭⎪⎫x +4π3.令x +4π3=k π+π2(k ∈Z ),得x =k π-56π,当k =1时,x =π6,所以f (x +π)的一个零点为x =π6,C 项正确.因为f (x )=cos ⎝ ⎛⎭⎪⎫x +π3的递减区间为⎣⎢⎡⎦⎥⎤2k π-π3,2k π+2π3(k ∈Z ),递增区间为⎣⎢⎡⎦⎥⎤2k π+2π3,2k π+5π3(k ∈Z ),所以⎝ ⎛⎭⎪⎫π2,2π3是减区间,⎣⎢⎡⎭⎪⎫2π3,π是增区间,D 项错误.故选D.[典例2] (2018·北京高考)设函数f (x )=cos ⎝ ⎛⎭⎪⎫ωx -π6(ω>0).若f (x )≤f ⎝ ⎛⎭⎪⎫π4对任意的实数x 都成立,则ω的最小值为________.答案 23解析 结合余弦函数的图象得π4ω-π6=2k π,k ∈Z ,解得ω=8k +23,k ∈Z .又∵ω>0,∴当k =0时,ω取得最小值,最小值为23.方法指导 函数y =A sin(ωx +φ)(A >0,ω>0)的性质(1)奇偶性:φ=k π(k ∈Z )时,函数y =A sin(ωx +φ)为奇函数;φ=k π+π2(k ∈Z )时,函数y =A sin(ωx +φ)为偶函数.(原理:诱导公式、y =A sin ωx 为奇函数、y =A cos ωx +b 为偶函数)(2)周期性:y =A sin(ωx +φ)存在周期性,其最小正周期为T =2πω.(3)单调性:根据y =sin t 和t =ωx +φ的单调性来研究,由-π2+2k π≤ωx +φ≤π2+2k π,k ∈Z 得单调递增区间;由π2+2k π≤ωx +φ≤3π2+2k π,k ∈Z 得单调递减区间.(原理:复合函数同增异减)(4)对称性:利用y =sin x 的对称中心为(k π,0)(k ∈Z )求解,令ωx +φ=k π(k ∈Z ),求得x .利用y =sin x 的对称轴为x =k π+π2(k ∈Z )求解,令ωx +φ=k π+π2(k ∈Z ),求得其对称轴.(原理:对称中心、对称轴处函数值的特点)注意:明确推导以上结论的原理,可以类似推出y =A cos(ωx +φ)、y =A tan(ωx +φ)的相关性质.。
2020年高考理科数学一轮复习题型归纳与变式演练《三角函数的图像与性质》 【题型一】定义域问题 【题型二】值域问题 【题型三】奇偶性问题 【题型四】周期性问题 【题型五】单调区间问题 【题型六】三角函数综合问题 【题型一】、定义域问题【例1】.求函数=y . 【思路点拨】根据要使偶次根式有意义只需偶次根式下大于等于零即可,同时对数要有意义,再结合单位圆中的三角函数线解不等式即可.【解析】为使函数有意义,需满足21log 10,sin sin 0.⎧-≥⎪⎨⎪>⎩x x ,解得10sin 2<≤x ,由单位圆,如图所示:故函数的定义域为5{|22,}{|22,}66x k x k k Z x k x k k Z πππππππ<≤+∈+≤<+∈. 【总结升华】求函数的定义域通常是解不等式组,利用“数形结合”.在求解三角函数中,我们可以在单位圆中画三角函数线,求表示各三角不等式解集的扇形区域的交集来完成. 【变式训练】:【变式】求函数=y .【解析】为使函数有意义,需满足22sin cos 10+-≥x x ,即22cos cos 10--≤x x ,解得1cos 12-≤≤x ,由单位圆,如图所示:函数的定义域为22{|22,}33x k x k k Z ππππ-<<+∈. 【例2】.求函数sin log (2sin 1)x y x =-的定义域.【思路点拨】只需2250x -≥,同时对数要有意义,即底sin 0x >且sin 1x ≠,真数2sin 10x ->.【解析】由题有⎪⎪⎩⎪⎪⎨⎧>-≠>≥-01sin 21sin 0sin 0252x x x x ⇒ ⎪⎪⎪⎩⎪⎪⎪⎨⎧∈+≠∈+<<+≤≤-)(22)(6526255Z k k x Z k k x k x ππππππ 将上面的每个不等式的范围在数轴上表示出来,然后取公共部分,由于x ∈[-5,5],故下面的不等式的范围只取落入[-5,5]之内的值,即:∴因此函数的定义域为:3375[5,)(,)(,)(,)2266226πππππππ----【总结升华】①sinx 中的自变量x 的单位是“弧度”,x ∈R ,不是角度.求定义域时,若需先把式子化简,一定要注意变形时x 的取值范围不能发生变化.②求三角函数的定义域,要解三角不等式,常用的方法有二:一是图象,二是三角函数线.【变式训练】:【变式1】求函数的定义域:(1)y = (2)tan(4lg(2cos 1)x y x π-=-. 【解析】(1)要使得函数有意义,需满足042log 012tan 02x x k x k x πππ<≤+≥⇒≤<+≥⎧⎧⎪⎪⎨⎨⎪⎪⎩⎩,解得20x π<<或4x π≤≤,∴定义域为:(0,)[,4]2x ππ∈.(2)要使得函数有意义,需满足42sin 02cos 102cos 11x k x x x πππ⎧-≠+⎪⎪⎪≥⎨⎪->⎪-≠⎪⎩解得π22,3k x k k Z ππ<<+∈∴定义域为:π{|22,}3x k x k k Z ππ<<+∈.【变式2】已知()f x 的定义域为[0,1],求(cos )f x 的定义域. 【解析】∵()f x 中[0,1]x ∈,∴(cos )f x 中cos [0,1]x ∈,解得ππ22,22k x k k Z ππ-≤≤+∈,∴(cos )f x 的定义域为:ππ{|22,}22x k x k k Z ππ-≤≤+∈. 【题型二】、值域问题 【例3】.求下列函数的值域:(1) 1sin cos y x x =+ (2)cos y x x =+ 2([,])63x ππ∈ 【思路点拨】(1)解析式利用二倍角的正弦公式化简后求值域;(2)利用两角和公式对函数解析式化简整理,进而根据正弦函数的性质求得函数的最大值与最小值,注意自变量的取值范围.【解析】(1)根据11sin cos sin 222x x x =≤可知1322y ≤≤, 故函数的值域为1322y y ⎧⎫≤≤⎨⎬⎩⎭.(2)cos 2sin()6y x x x π==+,由263x ππ≤≤知5366x πππ≤+≤,由正弦函数的单调性可知1sin()126x π≤+≤, 故函数的值域为{}12y y ≤≤.【总结升华】①形如sin +y a x b =或cos +y a x b =,可根据sin ,cos x x 的有界性来求最值;②形如2sin +sin +y a x b x c =或2cos +cos +y a x b x c =可看成关于sin ,cos x x 的二次函数,但也要注意它与二次函数求最值的区别,其中sin 1,cos 1x x ≤≤;③形如sin +cos y a x b x =可化为(+)y x ϕ=(其中tan =baϕ)的形式来确定最值.【变式训练】: 【变式】已知44x ππ-≤≤且0x ≠,求函数tan()2y x π=-的值域.【解析】44x ππ-≤≤,且0x ≠,3424x πππ≤-≤且22x ππ-≠,由正切函数的单调性可知1y≥或1y≤-,故函数的值域为{}11y y y≥≤-或.【题型三】、奇偶性问题【例4】.判断下列函数的奇偶性:(1)(=sin(cos)f x x)(2)1-sin (=1+sinx f xx )【思路点拨】(1)先观察定义域为R,再判断f(x)与f(-x)的关系,可得答案;(2)先观察定义域,注意到定义域区间不关于原点对称,易得出答案.【解析】(1)函数的定义域为R,(-=sin[cos(-)]=sin(cos)=(f x x x f x))(=sin(cos)f x x∴)是偶函数.(2)由题意有1+sin0x≠,故-1<sin1x≤,所以函数的定义域为32-2x x R x kππ⎧⎫∈≠⎨⎬⎩⎭且,显然函数的定义域区间不关于原点对称,所以函数1-sin(=1+sinxf xx)既不是奇函数也不是偶函数.【总结升华】定义域关于原点对称是函数具有奇偶性的必要不充分条件。
第八讲 三角函数与其他知识的综合运用考向一 解三角形与三角函数综合【例1】 设△ABC 的内角A ,B ,C 的对边分别为a ,b ,c ,a =b tan A ,且B 为钝角。
(1)证明:B -A =π2;(2)求sin A +sin C 的取值范围。
【答案】见解析【解析】(1)证明:由a =b tan A 及正弦定理,得sin A cos A =a b =sin Asin B,所以sin B =cos A ,即sin B =sin ⎝ ⎛⎭⎪⎫π2+A 。
因为B 为钝角,所以A 为锐角,所以π2+A ∈⎝ ⎛⎭⎪⎫π2,π,则B =π2+A ,即B -A =π2。
(2)由(1)知,C =π-(A +B )=π-⎝ ⎛⎭⎪⎫2A +π2=π2-2A >0,所以A ∈⎝⎛⎭⎪⎫0,π4。
于是sin A +sin C =sin A +sin ⎝⎛⎭⎪⎫π2-2A =sin A +cos2A =-2sin 2A +sin A +1=-2⎝ ⎛⎭⎪⎫sin A -142+98。
因为0<A <π4,所以0<sin A <22,因此22<-2⎝⎛⎭⎪⎫sin A -142+98≤98。
由此可知sin A +sin C 的取值范围是⎝ ⎛⎦⎥⎤22,98。
【举一反三】1. 在△ABC 中,角A ,B ,C 所对的边分别为a ,b ,c ,∠ABC =120°,∠ABC 的平分线交AC 于点D ,且BD =1,则4a +c 的最小值为________。
【答案】9【解析】因为∠ABC =120°,∠ABC 的平分线交AC 于点D ,所以∠ABD =∠CBD =60°,由三角形的面积公式可得12ac sin120°=12a sin60°+12c sin60°,化简得ac =a +c ,又a >0,c >0,所以1a +1c=1,则4a +c =(4a +c )·⎝ ⎛⎭⎪⎫1a +1c =5+c a +4a c≥5+2c a ·4ac=9,当且仅当c =2a 时取等号,故4a +c 的最小值为9。
第三章 三角函数、解三角形(时间120分钟,满分150分)一、选择题(本大题共12小题,每小题5分,共60分.在每小题给出的四个选项中,只有一项是符合题目要求的) 1.集合M ={x |x =sinnπ3,n ∈Z},N ={x |x =cosnπ2,n ∈N},则M ∩N 等于 ( )A.{-1,0,1}B.{0,1}C.{0}D.∅ 解析:∵M ={x |x =sinnπ3,n ∈Z}={-32,0,32}, N ={-1,0,1},∴M ∩N ={0}. 答案:C2.已知α∈(π2,π),sin α=35,则tan(α+π4)等于 ( )A.17B.7C.-17D.-7 解析:由α∈(π2,π),sin α=35,得tan α=-34,tan(α+π4)=1+tan α1-tan α=17.答案:A3.若函数f (x )=(1+3tan x )cos x,0≤x <π2,则f (x )的最大值为 ( )A.1B.2C.3+1D.3+2 解析:f (x )=(1+3tan x )cos x =cos x +3sin x =2sin(x +π6),∵0≤x <π2,∴f (x )max =2.答案:B4.(2020·温州模拟)函数f (x )=2sin(2x +π6)在[-π2,π2]上对称轴的条数为 ( )A.1B.2C.3 D .0 解析:∵当-π2≤x ≤π2,∵-5π6≤2x +π6≤76π,∴函数的对称轴为:2x +π6=-π2,π2,∴x =-π3,或x =π6.答案:B5.要得到y =sin(2x -π3)的图象,只要将y =sin2x 的图象 ( )A.向左平移π3个单位B.向右平移π3个单位C.向左平移π6个单位 D.向右平移π6个单位 解析:∵y =sin(2x -π3)=sin2(x -π6),∴只要将y =sin2x 的图象向右平移π6个单位便得到y =sin(2x -π3)的图象.答案:D6.使奇函数f (x )=sin(2x +θ)+3cos(2x +θ)在[-π4,0]上为减函数的θ 值为( )A.-π3B.-π6C.5π6D.2π3解析:由已知得:f (x )=2sin(2x +θ+π3),由于函数为奇函数,故有θ+π3=kπ⇒θ=kπ-π3(k ∈Z),可淘汰B 、C 选项,然后分别将A和D 选项代入检验,易知当θ=2π3时,f (x )=-2sin2x 其在区间[-π4,0]上递减,故选D.答案:D7.给定函数①y =x cos(3π2+x ),②y =1+sin 2(π+x ),③y =cos(cos(π2+x ))中,偶函数的个数是 ( )A.3B.2C.1D.0解析:对于①y =x cos(32π+x )=x sin x ,是偶函数,故①正确;对于②y =1+sin 2(π+x )=sin 2x+1,是偶函数,故②正确;对于③y =cos(cos(π2+x ))=cos(-sin x )=cos(sin x ),∵f (-x )=cos(sin(-x ))=cos(-sin x )=cos(sin x )=f (x ), ∴函数是偶函数,故③正确.答案:A8.在△ABC 中,若sin 2A +sin 2B -sin A sin B =sin 2C ,且满足ab =4,则该三角形的面积为( ) A.1 B.2 C. 2 D. 3 解析:∵sin 2A +sin 2B -sin A sin B =sin2C ,∴a 2+b 2-ab =c 2,∴cos C =a 2+b 2-c 22ab =12,∴C =60°,∴S △ABC =12ab sin C =12×4×32= 3.答案:D9.有一种波,其波形为函数y =sin(π2x )的图象,若在区间[0,t ]上至少有2个波峰(图象的最高点),则正整数t 的最小值是 ( ) A.3 B.4 C.5 D.6解析:由T =2πω=2ππ2=4,可知此波形的函数周期为4,显然当0≤x ≤1时函数单调递增,x=0时y =0,x =1时y =1,因此自0开始向右的第一个波峰所对的x 值为1,第二个波峰对应的x 值为5,所以要区间[0,t ]上至少两个波峰,则t 至少为5. 答案:C10.设集合M ={平面内的点(a ,b )},N ={f (x )|f (x )=a cos2x +b sin2x ,x ∈R},给出从M 到N 的映射f :(a ,b )→f (x )=a cos2x +b sin2x ,则点(1,3)的象f (x )的最小正周期为( ) A.π B.π3 C.π2 D.π4解析:f (x )=cos2x +3sin2x =2sin(2x +π6),则最小正周期为π.答案:A11.函数y =sin(2x -π3)在区间[-π2,π]上的简图是 ( )解析:当x =-π2时,y =sin(-π-π3)=sin π3=32>0,排除B 、D ,当x =π6时,y =sin(π3-π3)=sin0=0,排除C. 答案:A12.设函数f (x )=A sin(ωx +φ),(A ≠0,ω>0,-π2<φ<π2)的图象关于直线x =2π3对称,它的周期是π,则 ( ) A.f (x )的图象过点(0,12) B.f (x )的图象在[5π12,2π3]上递减C.f (x )的最大值为AD.f (x )的一个对称中心是点(5π12,0)解析:T =π,∴ω=2.∵图象关于直线x =2π3对称,∴sin(2π3ω+φ)=±1,即2π3×2+φ=π2+kπ,k ∈Z 又∵-π2<φ<π2,∴φ=π6∴f (x )=A sin(2x +π6).再用检验法.答案:D二、填空题(本大题共4小题,每小题4分,共16分.请把正确答案填在题中横线上) 13.已知扇形内切圆半径与扇形半径之比为1∶3,则内切圆面积与扇形面积之比为 . 解析:如图,设内切圆半径为r ,则扇形的半径为3r ,计算可 得扇形中心角为π3,故S 内切圆∶S 扇形=πr 2∶12·3r ·(π3·3r )=2∶3.答案:2∶314.已知函数f (x )=2sin(ωx +φ)的图象如下图所示,则f (7π12)= .解析:由图象知,函数的周期为32×T =π,∴T =2π3.∵f (π4)=0,∴f (7π12)=f (π4+π3)=f (π4+T 2)=-f (π4)=0. 答案:015.设△ABC 的内角A ,B ,C 所对的边长分别为a ,b ,c 且a cos B -b cos A =35c .则tan Atan B 的值为 .解析:由a cos B -b cos A =35c 及正弦定理可得sin A cos B -sin B cos A =35sin C ,即sin A cos B -sin B cos A =35sin(A +B ),即5(sin A cos B -sin B cos A )=3(sin A cos B +sin B cos A ),即sin A cos B =4sin B cos A ,因此tan A =4tan B ,所以tan Atan B =4.答案:416.下面有五个命题:①函数y =sin 4x -cos 4x 的最小正周期是π; ②终边在y 轴上的角的集合是{α|α=kπ2,k ∈Z};③在同一坐标系中,函数y =sin x 的图象和函数y =x 的图象有三个公共点; ④把函数y =3sin(2x +π3)的图象向右平移π6个单位得到y =3sin2x 的图象;⑤函数y =sin(x -π2)在[0,π]上是减函数. 其中真命题的序号是 .解析:①y =sin 2x -cos 2x =-cos2x ,故最小正周期为π,①正确; ②k =0时,α=0,则角α终边在x 轴上,故②错;③由y =sin x 在(0,0)处切线为y =x ,所以y =sin x 与y =x 的图象只有一个交点,故③错; ④y =3sin(2x +π3)的图象向右平移π6个单位得到y =3sin[2(x -π6)+π3]=3sin2x ,故④正确;⑤y =sin(x -π2)=-cos x 在[0,π]上为增函数,故⑤错.综上,①④为真命题. 答案:①④三、解答题(本大题共6小题,共74分.解答时应写出必要的文字说明、证明过程或演算步骤)17.(本小题满分12分)已知AC u u u r =(cos x 2+sin x 2,-sin x 2),BC u u u r =(cos x 2-sin x 2,2cos x2).(1)设f (x )=AC u u u r ·BC u u u r,求f (x )的最小正周期和单调递减区间;(2)设有不相等的两个实数x 1,x 2∈⎣⎢⎡⎦⎥⎤-2π2,π2,且f (x 1)=f (x 2)=1,求x 1+x 2的值.解:(1)由f (x )=AC u u u r ·BC u u u r得f (x )=(cos x 2+sin x 2)·(cos x 2-sin x 2)+(-sin x 2)·2cos x2=cos 2x2-sin 2x 2-2sin x 2cos x2=cos x -sin x =2cos(x +π4),所以f (x )的最小正周期T =2π. 又由2k π≤x +π4≤π+2k π,k ∈Z ,得-π4+2k π≤x ≤3π4+2k π,k ∈Z.故f (x )的单调递减区间是[-π4+2kπ,3π4+2kπ](k ∈Z).(2)由f (x )=1得2cos(x +π4)=1,故cos(x +π4)=22.又x ∈⎣⎢⎡⎦⎥⎤-π2,π2,于是有x +π4∈⎣⎢⎡⎦⎥⎤-π4,34π,得x 1=0,x 2=-π2, 所以x 1+x 2=-π2.18.(本小题满分12分)在△ABC 中,角A 、B 、C 所对的边分别是a 、b 、c ,tan A =12,cos B =31010.(1)求角C ;(2)若△ABC 的最短边长是5,求最长边的长. 解:(1)∵tan A =12,∴A 为锐角,则cos A =255,sin A =55.又cos B =31010,∴B 为锐角,则sin B =1010,∴cos C =-cos(A +B )=-cos A cos B +sin A sin B =-255×31010+55×1010=-22.又C ∈(0,π),∴C =34π.(2)∵sin A =55>sin B =1010, ∴A >B ,即a >b , ∴b 最小,c 最大, 由正弦定理得b sin B =csin C, 得c =sin C sin B ·b =221010·5=5.19.(本小题满分12分)在△ABC 中,A 、B 为锐角,角A 、B 、C 所对的边分别为a 、b 、c ,且sin A =55,sin B =1010. (1)求A +B 的值;(2)若a -b =2-1,求a 、b 、c 的值. 解:(1)∵A 、B 为锐角,sin A =55,sin B =1010, ∴cos A =1-sin 2A =255, cos B =1-sin 2B =31010,∴cos(A +B )=cos A cos B -sin A sin B =255×31010-55×1010=22.∵0<A +B <π,∴A +B =π4.(2)由(1)知C =3π4,∴sin C =22.由正弦定理αsin A =b sin B =csin C 得5a =10b =2c ,即a =2b ,c =5b , ∵a -b =2-1,∴2b -b =2-1,∴b =1, ∴a =2,c = 5.20.(本小题满分12分)如图,点A ,B 是单位圆上的两点,A ,B 点分别在第一、二象限,点C 是圆与x 轴正半轴的交点,△AOB 是正三角形,若点A 的坐标为(35,45),记∠COA =α.(1)求1+sin2α1+cos2α的值;(2)求|BC |2的值.解:(1)∵A 的坐标为(35,45),根据三角函数的定义可知,sin α=45,cos α=35,∴1+sin2α1+cos2α=1+2sin αcos α2cos 2α=4918. (2)∵△AOB 为正三角形,∴∠AOB =60°.∴cos ∠COB =cos(α+60°)=cos αcos60°-sin αsin60° =35×12-45×32=3-4310, ∴|BC |2=|OC |2+|OB |2-2|OC |·|OB |cos ∠COB =1+1-2×3-4310=7+435.21.(本小题满分12分)已知函数f (x )=A sin(ωx +φ)+B (A >0,ω>0)的一系列对应值如下表:xπ6π35π6 4π3 11π6 7π317π6 y-1131-113(1)根据表格提供的数据求函数f (x )的一个解析式;(2)根据(1)的结果,若函数y =f (kx )(k >0)周期为2π3,当x ∈[0,π3]时,方程f (kx )=m 恰有两个不同的解,求实数m 的取值范围; 解:(1)设f (x )的最小正周期为T ,得T =11π6 -(-π6)=2π,由T =2πω,得ω=1.又32,.11B A A B A B +==⎧⎧⎨⎨-=-=⎩⎩解得令ω·5π6+φ=π2,即5π6+φ=π2,解得φ=-π3,∴f (x )=2sin(x -π3)+1.(2)∵函数y =f (kx )=2sin(kx -π3)+1的周期为2π3,又k >0,∴k =3. 令t =3x -π3,∵x ∈[0,π3],∴t ∈[-π3,2π3]如图sin t =s 在[-π3,2π3]上有两个不同的解的充要条件是s ∈[32,1),∴方程f (kx )=m 在x ∈[0,π3]时恰好有两个不同的解的充要条件是m ∈[3+1,3),即实数m 的取值范围是[3+1,3).22.(本小题满分14分)(2020·长沙模拟)长沙市某棚户区改造 建筑用地平面示意图如图所示.经规划调研确定,棚改规划建 筑用地区域近似地为半径是R 的圆面.该圆面的内接四边形ABCD 是原棚户建筑用地,测量可知边界AB =AD =4万米, BC =6万米,CD =2万米.(1)请计算原棚户区建筑用地ABCD 的面积及圆面的半径R 的值;(2)因地理条件的限制,边界AD 、DC 不能变更,而边界AB 、BC 可以调整,为了提高棚户区改造建筑用地的利用率,请在圆弧ABC 上设计一点P ;使得棚户区改造的新建筑用 地APCD 的面积最大,并求最大值.解:(1)因为四边形ABCD 内接于圆,所以∠ABC +∠ADC =180°,连接AC ,由余弦定理:AC 2=42+62-2×4×6×cos∠ABC=42+22-2×2×4cos∠ADC .所以cos∠ABC =12,∵∠ABC ∈(0,π),故∠ABC =60°.S 四边形ABCD =12×4×6×sin60°+12×2×4×sin120°=83(万平方米). 在△ABC 中,由余弦定理:AC 2=AB 2+BC 2-2AB ·BC ·cos∠ABC=16+36-2×4×6×12.AC =27.由正弦定理a sin A =bsin B=2R ,∴2R =AC sin∠ABC =2732=4213,∴R =2213(万米).(2)∵S 四边形APCD =S △ADC +S △APC , 又S △ADC =12AD ·CD ·sin120°=23,设AP =x ,CP =y .则S △APC =12xy ·sin60°=34xy .又由余弦定理AC 2=x 2+y 2-2xy cos60° =x 2+y 2-xy =28.∴x 2+y 2-xy ≥2xy -xy =xy . ∴xy ≤28,当且仅当x =y 时取等号 ∴S 四边形APCD =23+34xy ≤23+34×28=93, ∴最大面积为93万平方米.。
2020年高考数学(理)一轮复习讲练测 专题4.3 三角函数的图象与性质1.(湖南师范大学附属中学2018-2019学年期中)给出如下四个函数:①())cos sin f x x xx x =+-;②()44sin cos f x x x =+;③()2sin sin f x x b x c =++,b ,c 为常数;④()sin 2cos2f x x x =+.其中最小正周期一定为π的函数个数为( ) A .0 B .1C .2D .3【答案】B 【解析】())()cos sin 2sin 23f x x xx x x π⎛⎫=+-=+ ⎪⎝⎭周期为π.()44222131sin cos 12sin cos 1sin 2cos 4244f x x x x x x x =+=-=-=+周期为2π;对()2sin sin f x x b x c =++,当0b ≠时,易知()()f x f x π+=不恒成立,()sin 2cos 224f x x x x π⎛⎫=+=+ ⎪⎝⎭周期为2π;因此仅有())cos sin f x x xx x =+-满足,故选B 。
2.(山西省临汾第一中学2018-2019学年期中)若0ω>,函数cos()3y x πω=+的图像向右平移3π个单位长度后关于原点对称,则ω的最小值为( ) A .112B .52C .12D .32【答案】B【解析】函数cos()3y x πω=+的图像向右平移3π个单位长度后,对应图像的解析式为()cos()33g x x πωπω=+-,因为()g x 的图像关于原点对称,所以,332k k Z πωπππ-=+∈,故13,2k k Z ω=--∈,因0ω>,故ω的最小值为52,故选B 。
3.(福建省三明市第一中学2018-2019学年期中)已知函数(2sin(2)3f x x π=+),则下列关于该函数()f x 图象对称性的描述正确的是( ) A .关于点(,0)6π对称 B .关于点5(,0)12π-对称 C .关于直线3x π=对称 D .关于直线12x π=对称【答案】D 【解析】令232x k πππ+=+,其中k Z ∈,所以,212k x k Z ππ=+∈,当0k =时,12x π=,故()f x 的图像关于直线12x π=对称,因为2123k πππ+=无整数解k ,故直线3x π=不是函数图像的对称轴。
湖北省2020届高三数学理一轮复习典型题专项训练三角函数一、选择、填空题1、(荆、荆、襄、宜四地七校考试联盟2019届高三2月月考)已知函数()2sin 0)f x x w w =>(在区间,23ππ⎡⎤-⎢⎥⎣⎦上是增函数,且在区间[]0,p 上存在唯一的0x 使得()02f x =,则w 的取值不可能为( ) A.13 B. 23 C. 45D. 12、(鄂州市2019届高三上学期期中考试)计算 75sin 15sin ⋅的结果是( )A.21 B. 41 C. 426- D.426+ 3、(华中师范大学第一附属中学2019届高三5月押题考)设函数)232s i n ()322c o s ()(ππ---=x x x f ,将函数)(x f 的图像向左平移ϕ (ϕ>0)个单位长度,得到函数)(x g 的图像,若)(x g 为偶函数,则ϕ的最小值是A. 6πB. 3πC. 32πD.65π4、(黄冈、黄石等八市2019届高三3月联考)在△ABC 中,角A ,B ,C 的对边分别为a ,b ,c ,若a =2,c=32,tan 2tan B A =,则△ABC 的面积为 A. 2 B. 3 C.32 D.425、(黄冈中学、华师一附中等八校2019届高三第二次(3月)联考)函数])0,2[)(cos (sin cos 2)(π-∈+=x x x x x f 的最大值为A.2-1B.1C.2D.21+6、(黄冈中学、华师一附中等八校2019届高三第一次(12月)联考)已知()sin()3f x x πωϕ=++同时满足下列三个条件:①12()()2f x f x -=时12x x -最小值为2π,②()3y f x π=-是奇函数,③(0)()6f f π>.若()f x 在[)0,t 上没有最大值,则实数t 的范围是( )A .0,6π⎛⎤⎥⎝⎦B .110,6π⎛⎤⎥⎝⎦C .11,612ππ⎛⎤⎥⎝⎦D .511,612ππ⎛⎤ ⎥⎝⎦7、(荆门市2019届高三元月调研)若将函数()cos(2)f x x ϕ=+的图象向右平移6π个单位长度,得到函数()g x 的图象,且()g x 的图象关于原点对称,则ϕ的最小值为 A .6πB .3πC .23πD .56π 8、(荆州市2019届高三上学期质量检查(一))已知ABC ∆的面积为1,角A ,B ,C 的对边分别为a ,b ,c ,且23a =,4b c +=,则角A 的大小为( )A .4π B .3π C.2πD .23π9、(七市(州)教研协作体2019届高三3月联考)函数()cos()(0)4f x x πωω=+>在[0,π ]内的值域为[-1,22], 则ω 的取值范围是 ▲ . 10、(武汉市2019届高中毕业生二月调研)已知函数()2sin 4f x x πω⎛⎫=+ ⎪⎝⎭在区间0,8π⎛⎫⎪⎝⎭上单调递增,则ω的最大值为( ) A .12B .1C .2D .411、(武汉市2019届高中毕业生四月调研)为了得到函数y =sin2x 的图象,可以将cos(2)6y x π=-的图象A.向右平移6π个单位长度B.向右平移3π个单位长度C.向左平移6π个单位长度D.向左平移3π个单位长度12、(武汉市2019届高中毕业生五月训练题)函数f (x )=A sin (ωx ﹣φ),其部分图象如图所示,则f (x )的表达式是( ) A . B .C .D .13、(武汉市武昌区2019届高三元月调研)已知函数()3sin cos (0)f x x x ωωω=->的最小正周期为2π,则()f x 的单调递增区间是( ) A .2,2()66k k k Z ππππ⎡⎤-+∈⎢⎥⎣⎦B .22,2()33k k k Z ππππ⎡⎤-+∈⎢⎥⎣⎦ C .22,2()33k k k Z ππππ⎡⎤-+∈⎢⎥⎣⎦D .52,2()66k k k Z ππππ⎡⎤-+∈⎢⎥⎣⎦14、(湖北省重点高中联考协作体2019届高三上学期期中考试)已知函数()sin 232f x x πϕ⎛⎫=+- ⎪⎝⎭是奇函数,其中0,2πϕ⎛⎫∈ ⎪⎝⎭,则函数()()cos 2g x x ϕ=-的图象( )A.关于点,03π⎛⎫⎪⎝⎭对称B. 关于轴56x π=-对称C.可由函数()f x 的图象向右平移6π个单位得到 D.可由函数()f x 的图象向左平移3π个单位得到15、(宜昌市2019届高三元月调研)将函数的图象向右平移个单位长度,再把纵坐标伸长到原来的2倍,得到函数,则函数在区间上的取值范围是( )A.B.C.D.16、(黄冈、黄石等八市2018届高三3月联考)在平面直角坐标系xOy 中,点00()P x y ,在单位圆O 上,设xOP α∠=,且 62ππα⎛⎫∈⎪⎝⎭,.若11cos()313πα+=-,则0x 的值为________.17、(黄冈中学2018届高三5月二模)在ABC ∆中,角,,A B C 所对的边分别为,,a b c ,已知6a c +=,(3cos )tansin 2BA A -=,则ABC ∆的面积的最大值为 . 18、(荆州市2018届高三第一次质量检查)已知角α的终边经过点P (-5,-12),则3πs i n ()2α+的值等于 A .513- B .1213- C .513D .1213参考答案:1、A2、B3、A4、B5、C6、D7、A8、C9、10、C11、A 12、B 13、B 14、A 15、D 16、26117、【答案】22(3cos )tansin2B A A -=,∴sin (3cos )sin 1cos B A A B-=+,整理得 3sin sin sin B A C =+,则3b a c =+ 又6a c +=,∴2b =.又2222cos b a c ac B =+-,则24()22cos 362(1cos )a c ac ac B ac B =+--=-+,∴16cos 1B ac=- ∴21116cos 1(1)86422ABC S ac B ac ac ac∆==--=- ,6a c +=,∴9ac ≤∴726422ABC S ∆≤-=,当且仅当3a c ==时取等号.18、C二、解答题1、(荆、荆、襄、宜四地七校考试联盟2019届高三2月月考)如图, A B C D 、、、四点共圆,A ∠为钝角且3sin 5A =, 10BA BC ==,65BD =,(1)求AD ;(2)设BDC α∠=,CBD β∠=,求sin(2)αβ+的值.2、(鄂州市2019届高三上学期期中考试)在ABC ∆中,角,,A B C 所对的边分别为,,a b c ,且cos cos 1A B a b c+=. (Ⅰ)证明:,,a c b 成等比数列; (Ⅱ)若3=c ,且4sin()cos 16C C π-=,求ABC ∆的周长.3、(华中师范大学第一附属中学2019届高三5月押题考)在△ABC 中,090=∠BAC ,AD 是∠BAC 的内角平分线,点D 在线段BC 上,且BD=2CD. (1)求sinB 的值;(2)若AD=1,求△ABC 的面积.4、(黄冈中学、华师一附中等八校2019届高三第一次(12月)联考)在ABC 中,已知点D 在边BC 上,且0AD AC ⋅=,22cos 3DAB ∠=,32AB =. (1)若43BC =,求sin C 的值; (2)若2AC =,求BC 边上的中线AE 的长.5、(荆门市2019届高三元月调研)在ABC ∆中,角A 、B 、C 所对的边分别为a 、b 、c ,且3cos sin a bA B=. (Ⅰ)求角A 的值;(Ⅱ)若ABC ∆的面积为33,且14a =,求ABC ∆的周长.6、(荆州市2019届高三上学期质量检查(一))已知函数213()cos sin cos 22f x x x x =+,x R ∈. (1)求函数()f x 的最小值,并写出()f x 取得最小值时x 的集合;(2)将函数()f x 的图象向右平移6π个单位长度,得到函数()g x 的图象,求函数()g x 的单调递增区间。
广东省2020届高三一轮复习典型题专项训练:三角函数数 学(理科)一、选择、填空题1、(广州市2018()0ϕϕ>个单位,所得图象对应的函数恰为奇函数,则ϕ的最小值为 A .6πB .12πC .4π D .3π 2、(珠海市2019届高三9月摸底考试)函数()sin(2)(0)f x x ϕϕ=+<的图像向左平移6π个单位长度,得到偶函数()g x 的图像,则ϕ的最大值为_________.3、(华附、省实、广雅、深中2019届高三上学期期末联考)已知函数()sin f x x x =,x ∈R ,先将()f x 图像上所有点的横坐标缩短到原来的13(纵坐标不变),再将得到的图像上所有点向右平移θ()0θ>个单位长度,得到的图像关于y 轴对称,则θ的最小值为A.9πB.3πC.518πD.23π 4、(惠州市2019届高三第二次(10月)调研)为了得到函数 y = sin 2x 的图象,只需把函数 sin 26y x π=+()的图象(). A 、向左平移12π个单位长度 B 、 向右平移12π个单位长度C 、向左平移6π个单位长度D 、 向右平移6π个单位长度5、(深圳实验、珠海一中等六校2019届高三第二次联考)函数3sin 23y x π⎛⎫=- ⎪⎝⎭的单调递增区间是( )A .2,2,22k k k Z ππππ⎡⎤-+∈⎢⎥⎣⎦ B . 511,,1212k k k Z ππππ⎡⎤++∈⎢⎥⎣⎦ C .5,,1212k k k Z ππππ⎡⎤-+∈⎢⎥⎣⎦D .32,2,22k k k Z ππππ⎡⎤++∈⎢⎥⎣⎦ 6、(深圳市宝安区2019届高三9月调研)已知函数2lg(54)y x x =++的零点是1tan x α=和2tan x β=,则tan()αβ+=( )A .53 B .53-C .52D .52-7、(佛山市2019届高三教学质量检测(二))将函数⎪⎭⎫ ⎝⎛+=42sin 2πx y 的图像向右平移12π单位后,所得图像对应的函数解析式为( )A .⎪⎭⎫ ⎝⎛-=1252sin 2πx yB .⎪⎭⎫ ⎝⎛+=1252sin 2πx yC .⎪⎭⎫ ⎝⎛-=122sin 2πx yD .⎪⎭⎫ ⎝⎛+=122sin 2πx y8、(广州市2019年普通高中毕业班综合测试(二))已知:,其中,则tan2α=A.B.C.D.9、(揭阳市2019届高三第二次模拟)设函数()cos 2sin(2)2f x x x π=++,则下列结论错误..的是: A .−2π为f (x )的一个周期 B .y =f (x )的图像关于直线x =2π对称 C .f (x )的一个零点为x =4πD .()f x 的最大值为210、(湛江市2019届高三调研)函数|sin y x x =|在[],-ππ的图像大致为11、(中山一中等七校2019届高三第二次(11月)联考)已知sin 2cos 0αα+=,则tan 2α=( )A .34B .43 C .43- D .34-12、(深圳市宝安区2019届高三9月调研)已知2)4πtan(-=+α,则=-αα2cos 2sin 113、(广州市2019年普通高中毕业班综合测试(二))函数的部分图像如图所示,先把函数y =f(x)图像上各点的横坐标缩短到原来的倍,纵坐标不变,再把得到的图像向右平移个单位长度,得到函数y =g(x)的图像,则函数y =g(x)的图像的一条对称轴为A.x =B. x = C . x = - D .x = -14、(广州市2019届高三12月调研考试)由()y f x =的图象向左平移3π个单位,再把所得图象上所有点的横坐标伸长到原来的2倍得到1sin 36y x π⎛⎫=- ⎪⎝⎭的图象,则()f x = A .31sin 26x π⎛⎫+⎪⎝⎭ B .1sin 66x π⎛⎫- ⎪⎝⎭C .31sin 23x π⎛⎫+ ⎪⎝⎭D .1sin 63x π⎛⎫+ ⎪⎝⎭15、(惠州市2019届高三第三次调研考试)在[]0,π内的,则ω的取值范围为( )A B C D .(]0,116、(江门市 2019届普通高中高三调研)已知函数()sin()0,2f x x πωϕωϕ⎛⎫=+<< ⎪⎝⎭的最小正周期为π,且其图像向左平移3π个单位后得到函数()cos g x x ω=的图像,则函数()f x 的图像( ) A .关于直线12x π=对称 B .关于直线512x π=对称C .关于点,012π⎛⎫⎪⎝⎭对称 D .关于点5,012π⎛⎫⎪⎝⎭对称 17、(茂名市2019届高三上期末)已知函数()cos(2)6f x x π=-,把()y f x =的图像向左平移6π个单位得到函数g(x)的图像,则下列说法正确的是( )A 、g (3π B 、 g(x)的图像关于直线2x π=对称 C 、g(x)的一个零点为(3π,0) D 、g(x)的一个单调减区间为5[,]1212ππ- 18、(清远市2019届高三上期末)将函数)sin()(ϕω+=x A x f 的图象向左平移6π个单位长度后得到函数g(x)的图象如图所示,则函数f(x)的解析式是A.)62sin()(π-=x x f ; B.)62sin()(π+=x x fC.)32sin()(π-=x x f ; D.)32sin()(π+=x x f19、(汕尾市2019届高三上学期期末)在∆ABC 中,内角A ,B ,C 的对边分别为,,a b c ,已知1,2,3π=+==c b A ,则=BA .4π B .6πC .34πD .4π或34π20、(汕头市2019届高三第一次(3月)模拟考试)将函数()sin 24f x x π⎛⎫=+⎪⎝⎭的图象向右平移3π个单位长度,得到函数()y g x =的图象,则()g x 在3,88ππ⎡⎤-⎢⎥⎣⎦上的最小值为( )A .1-B .C .12-D .021、(广东省2019届高三3月一模)已知函数f (x )=sin (ωx+6π)+(ω>0),点P ,Q ,R 是直线y =m (m >0)与函数f (x )的图象自左至右的某三个相邻交点,且2|PQ |=|QR |=23π,则ω+m =( )A.52B.2+2C. 3D.52+22、(广州市2019届高三3月综合测试(一))已知函数()()cos f x x ωϕ=+()0,0ωϕπ>≤≤是奇函数,且在,43ππ⎡⎤-⎢⎥⎣⎦上单调递减,则ω的最大值是 A.12 B.23 C.32D.2二、解答题1、(广州市2018高三上期末调研)△ABC 的内角A ,B ,C 的对边分别为a ,b ,c ,且满足2a =,cos (2)cos a B c b A =-.(1)求角A 的大小;(2)求△ABC 周长的最大值.2、(珠海市2019届高三9月摸底考试)ABC ∆中,内角A B C ,,的对边分别为a b c ,,,ABC ∆的面积为S ,若222b c a =+- (1)求角A ;(2)若2a =,b =C .3、(华附、省实、广雅、深中2019届高三上学期期末联考)如图,在ABC ∆中,角A ,B ,C 的对边分别为a ,b ,c ,且()sin cos a c B B =+.(1)求ACB ∠的大小; (2)若A C B A B C ∠=∠,点A 、D 在BC 的异侧,2DB =,1DC =,求平面四边形ABDC面积的最大值.ABCD4、(惠州市2019高三第二次调研)已知函数(ω > 0 )的最小正周期为π . (1)求ω 的值; (2)求函数 f ( x ) 在区间上的取值范围.5、(深圳实验、珠海一中等六校2019届高三第二次联考) 已知向量)()2,1,sin ,cos m x n x x =-=u r r ,函数()12f x m n =⋅+u r r .(1)若()0,,4x f x π⎡⎤∈=⎢⎥⎣⎦,求cos2x 的值;(2)在ABC ∆中,角A,B,C 对边分别是,,a b c ,且满足2cos 2b A c ≤, 求()f B 的取值范围.6、(揭阳市2019届高三第二次模拟)已知ABC ∆的三个内角A 、B 、C 的对边分别为a 、b 、c ,ABC ∆的面积为S ,且2a =.(1)若060C =且1b =,求a 边的值;(2)当2cb=+A ∠的大小.7、(湛江市2019届高三调研)在△ABC 中,a 、b 、c 分别是角A 、B 、C 的对边,且222b c a +=,32c a =(Ⅰ)求C sin 的值;(Ⅱ)若6a =,求△ABC 的面积.8、(清远市2019届高三上期末)在ABC ∆中,角C B A 、、的对边分别为c b a 、、,且03s in 2s in 322=-+A A. (I )求角A 的大小;(II )已知ABC ∆面积为3,且外接圆半径3=R ,求ABC ∆的周长.9、(肇庆市2019届高三上学期期末)在ΔABC 中,8AC =,7BC =,1cos 7B =-. (1)求角A 的大小; (2)求ΔABC 的面积.10、(珠海市2019届高三上学期期末)如图,在△ABD 中,AB =2,AD =1,∠A 平面ABD内的动点C 与点A 位于直线BD 的异侧,且满足∠C (1)求sin ∠ADB ;(2)求四边形ABCD 面积的最大值。
“三角函数及其恒等变换”双基过关检测一、选择题1.(2018·杭州模拟)如图所示,在直角坐标系xOy 中,射线OP 交单位圆O 于点P ,若∠AOP =θ,则点P 的坐标是( )A .(cos θ,sin θ)B .(-cos θ,sin θ)C .(sin θ,cos θ)D .(-sin θ,cos θ)解析:选A 由三角函数的定义知x P =cos θ,y P =sin θ,故选A.2.若α=k ·360°+θ,β=m ·360°-θ(k ,m ∈Z),则角α与β的终边的位置关系是( ) A .重合 B .关于原点对称 C .关于x 轴对称D .关于y 轴对称解析:选C 角α与θ终边相同,β与-θ终边相同. 又角θ与-θ的终边关于x 轴对称. ∴角α与β的终边关于x 轴对称.3.已知sin ⎝⎛⎭⎫π2+α=12,α∈⎝⎛⎭⎫-π2,0,则cos ⎝⎛⎭⎫α-π3的值是( ) A. 12B. 23C .-12D .1解析:选C 由已知得cos α=12,sin α=-32,∴cos ⎝⎛⎭⎫α-π3=12cos α+32sin α=-12. 4.(2018·淄博调研)已知tan α=2,则sin 2α-sin αcos α的值是( ) A.25 B .-25C .-2D .2解析:选A sin 2α-sin αcos α=sin 2α-sin αcos αsin 2α+cos 2α=tan 2α-tan αtan 2α+1,把tan α=2代入,原式=25.5.设函数f (x )=sin ⎝⎛⎭⎫2x -π2,x ∈R ,则f (x )是( ) A .最小正周期为π的奇函数B .最小正周期为π的偶函数C .最小正周期为π2的奇函数D .最小正周期为π2的偶函数解析:选B ∵f (x )=sin ⎝⎛⎭⎫2x -π2=-cos 2x , ∴f (x )是最小正周期为π的偶函数.6.已知函数f (x )=sin ⎝⎛⎭⎫ωx +π3(ω>0)的最小正周期为π,则该函数的图象( ) A .关于直线x =π3对称B .关于点⎝⎛⎭⎫π3,0对称 C .关于直线x =-π6对称D .关于点⎝⎛⎭⎫π6,0对称解析:选B ∵f (x )=sin ⎝⎛⎭⎫ωx +π3(ω>0)的最小正周期为π, ∴ω=2,即f (x )=sin ⎝⎛⎭⎫2x +π3. 经验证可知f ⎝⎛⎭⎫π3=sin ⎝⎛⎭⎫2π3+π3=sin π=0, 即⎝⎛⎭⎫π3,0是函数f (x )的一个对称点.7.将函数y =3sin ⎝⎛⎭⎫2x +π3的图象向右平移π2个单位长度,所得图象对应的函数( ) A .在区间⎣⎡⎦⎤π12,7π12上单调递减 B .在区间⎣⎡⎦⎤π12,7π12上单调递增 C .在区间⎣⎡⎦⎤-π6,π3上单调递减 D .在区间⎣⎡⎦⎤-π6,π3上单调递增 解析:选B 平移后的函数为y =3sin ⎣⎡⎦⎤2⎝⎛⎭⎫x -π2+π3=3sin ⎝⎛⎭⎫2x -2π3, 增区间:-π2+2k π≤2x -2π3≤π2+2k π,k ∈Z ,即π12+k π≤x ≤7π12+k π,k ∈Z ,令k =0时,π12≤x ≤7π12,故所得图象对应的函数在⎣⎡⎦⎤π12,7π12上单调递增,在⎣⎡⎦⎤-π6,π3上不单调,故选B.8.(2018·河北衡水中学调研)已知函数f (x )=A cos(ωx +φ)(A >0,ω>0)的部分图象如图所示,下面结论错误的是( )A .函数f (x )的最小正周期为2π3B .函数f (x )的图象可由g (x )=A cos ωx 的图象向右平移π12个单位长度得到 C .函数f (x )的图象关于直线x =π12对称D .函数f (x )在区间⎝⎛⎭⎫π4,π2上单调递增解析:选D 函数的最小正周期T =2⎝⎛⎭⎫11π12-7π12=2π3,选项A 正确; 由T =2π3得ω=3.又f ⎝⎛⎭⎫7π12=A cos ⎝⎛⎭⎫7π4+φ=0,所以φ=k π-5π4(k ∈Z). 又f ⎝⎛⎭⎫π2=A cos ⎝⎛⎭⎫3π2+φ=A sin φ=-23,所以sin φ<0,φ=-π4+2k π(k ∈Z), 即f (x )=A cos ⎝⎛⎭⎫3x -π4,函数g (x )=A cos 3x 的图象向右平移π12个单位长度得到的图象对应的函数的解析式为y =g ⎝⎛⎭⎫x -π12=A cos ⎣⎡⎦⎤3⎝⎛⎭⎫x -π12=A cos ⎝⎛⎭⎫3x -π4=f (x ),选项B 正确; 当x =π12时,f (x )=A ,因此函数f (x )的图象关于直线x =π12对称,选项C 正确;当x ∈⎝⎛⎭⎫π4,π2时,3x -π4∈⎝⎛⎭⎫π2,5π4,故函数f (x )在⎝⎛⎭⎫π4,π2上不是单调递增的,选项D 错误.二、填空题9.函数f (x )=sin x -4sin 3x 2cos x2的最小正周期为________.解析:f (x )=sin x -2sin 2x 2sin x =sin x cos x =12sin 2x ,所以函数的最小正周期T =π.答案:π10.在平面直角坐标系xOy 中,以x 轴为始边作锐角α,它的终边与单位圆相交于点A ,且点A 的横坐标为513,则tan ⎝⎛⎭⎫π-α2的值为________.解析:由题意知cos α=513,因为α为锐角,所以cos α2=1+cos α2=313,sin α2= 1-cos 2α2=213,所以tan ⎝⎛⎭⎫π-α2=-tan α2=-sinα2cos α2=-23. 答案:-2311.已知函数y =A sin(ωx +φ)⎝⎛⎭⎫ω>0,|φ|<π2的部分图象如图所示,则φ=________.解析:由图象知A =1,T =4⎝⎛⎭⎫7π12-π3=π, 故ω=2,再由2×π3+φ=π2,得φ=-π6.答案:-π612.函数f (x )=log 21+sin 2xsin x +cos x的最大值为________.解析:因为1+sin 2xsin x +cos x =(sin x +cos x )2sin x +cos x=sin x +cos x =2sin ⎝⎛⎭⎫x +π4∈(0,2], 又因为函数y =log 2x 是增函数,所以,当1+sin 2x sin x +cos x =2时,函数f (x )=log 2 1+sin 2x sin x +cos x 取得最大值为12.答案:12三、解答题13.设函数f (x )=3sin ⎝⎛⎭⎫ωx +π6()ω>0,x ∈R 的最小正周期为π2. (1)求f (x )的解析式;(2)利用“五点作图法”,画出f (x )在长度为一个周期的闭区间上的简图; (3)已知f ⎝⎛⎭⎫α4+π12=95,求cos α的值.解:(1)∵T =2πω=π2⇒ω=4, ∴f (x )=3sin ⎝⎛⎭⎫4x +π6.(2)列表:图象如图所示:(3)∵f ⎝⎛⎭⎫α4+π12=3sin ⎣⎡⎦⎤4⎝⎛⎭⎫α4+π12+π6 =3sin ⎝⎛⎭⎫α+π2=3cos α=95,∴cos α=35. 14.已知向量m =⎝⎛⎭⎫3sin x 4,1,n =⎝⎛⎭⎫cos x 4,cos 2x4 ,记f (x )=m ·n . (1)若f (x )=1,求cos ⎝⎛⎭⎫x +π3的值; (2)在锐角△ABC 中,(2a -c )cos B =b cos C ,求f (2A )的取值范围.解:(1)f (x )=m ·n =3sin x 4cos x 4+cos 2x 4=32sin x 2+12cos x 2+12=sin ⎝⎛⎭⎫x 2+π6+12, 由f (x )=1,得sin ⎝⎛⎭⎫x 2+π6=12, 所以cos ⎝⎛⎭⎫x +π3=1-2sin 2⎝⎛⎭⎫x 2+π6=12. (2)因为(2a -c )cos B =b cos C ,由正弦定理得(2sin A -sin C )cos B =sin B cos C , 所以2sin A cos B -sin C cos B =sin B cos C ,所以2sin A cos B =sin(B +C ),因为A +B +C =π, 所以sin(B +C )=sin A ,且sin A ≠0,所以cos B =12,又0<B <π2,所以B =π3.则A +C =2π3,A =2π3-C ,又0<C <π2,0<A <π2,则π6<A <π2,得π3<A +π6<2π3, 所以32<sin ⎝⎛⎭⎫A +π6≤1, 又因为f (2A )=sin ⎝⎛⎭⎫A +π6+12, 故函数f (2A )的取值范围是⎝⎛⎦⎥⎤3+12,32.15.(2018·青岛模拟)已知函数f (x )=4cos ωx ·sin ωx +π6+a (ω>0)图象上最高点的纵坐标为2,且图象上相邻两个最高点的距离为π.(1)求a 和ω的值;(2)求函数f (x )在[0,π]上的单调递减区间. 解:(1)f (x )=4cos ωx ·sin ⎝⎛⎭⎫ωx +π6+a =4cos ωx ·32sin ωx +12cos ωx +a=23sin ωx cos ωx +2cos 2ωx -1+1+a =3sin 2ωx +cos 2ωx +1+a =2sin2ωx +π6+1+a .当sin ⎝⎛⎭⎫2ωx +π6=1时,f (x )取得最大值2+1+a =3+a , 又f (x )图象上最高点的纵坐标为2,∴3+a =2, ∴a =-1.又f (x )图象上相邻两个最高点的距离为π, ∴f (x )的最小正周期T =π,∴2ω=2πT =2,∴ω=1.(2)由(1)得f (x )=2sin ⎝⎛⎭⎫2x +π6, 由π2+2k π≤2x +π6≤3π2+2k π,k ∈Z , 得π6+k π≤x ≤2π3+k π,k ∈Z. 令k =0,得π6≤x ≤2π3,∴函数f (x )在[0,π]上的单调递减区间为⎣⎡⎦⎤π6,2π3.。
平阳县鳌江中学2020届高三一轮复习全能测试专题三 三角函数本试卷分第Ⅰ卷和第Ⅱ卷两部分,满分150分,考试时间120分钟.注意事项:1. 答题前,考生务必用0.5毫米黑色签字笔将自己的姓名、座号、准考证号、科类填写在答题卡和试卷规定的位置上.2. 第Ⅰ卷每小题选出答案后,用2B 铅笔把答题卡上对应题目的答案标号涂黑,如需改动,用橡皮擦干净后,再选涂其他答案标号,答案不能答在试卷上.参考公式:如果事件A,B 互斥,那么P (A+B )=P (A )+P (B );球的表面积公式:24R S π=(其中R 表示球的半径);球的体积公式:343V R π=(其中R 表示球的半径); 锥体的体积公式:Sh V 31=(其中S 表示锥体的底面积,h 表示锥体的高);柱体的体积公式Sh V =(其中S 表示柱体的底面积,h 表示柱体的高);台体的体积公式:)(312211S S S S h V ++=(其中21,S S 分别表示台体的上,下底面积,h 表示台体的高).第Ⅰ卷(选择题,共50分) 一、选择题:(本大题共10小题,每小题5分,共50分.在每小题给出的四个选项中,只有一项是符合题目要求) 1、为了得到函数sin 2y x =图象,可将函数sin(2)6y x π=+图象( )A .向右平移6π个单位 B .向左平移6π个单位 C .向右平移12π个单位D .向左平移12π个单位2、若tan 3α=,则2sin 2cos αα值为( ) A.2 B.3 C.4 D.63、在ABC ∆中,若,24,34,60==︒=AC BC A 则角B 大小为 ( )A .30°B .45°C .135°D .45°或135°4、(2020重庆理)设tan ,tan αβ是方程2320x x -+=的两个根,则tan()αβ+的值为( )A .3-B .1-C .1D .35、已知函数()sin (0)f x x ωωπ⎛⎫=+> ⎪3⎝⎭的最小正周期为π,则该函数的图象( ) A .关于点0π⎛⎫⎪3⎝⎭,对称B .关于直线x π=4对称C .关于点0π⎛⎫⎪4⎝⎭,对称D .关于直线x π=3对称6、已知角α的终边上有一点21(,)(0)4P t t t +>,则tan α的最小值为 ( ) A .12B .1C .2D .27、如果函数3cos(2)y x ϕ=+的图象关于点4(,0)3π中心对称,那么||ϕ的最小值为 ( )A .6πB .4πC .3πD .2π 8、(2020浙江理)把函数y=cos2x+1的图象上所有点的横坐标伸长到原来的2倍(纵坐标不变),然后向左平移1个单位长度,再向下平移 1个单位长度,得到的图像是9、ABC ∆中,A 、B 、C 对应边分别为a 、b 、c .若x a =,2=b ,︒=45B ,且此三角形有两解,则x 的取值范围为 ( ) A.)22,2( B.22 C.),2(+∞ D. ]22,2(10、已知O 是锐角ABC ∆内一点,满足||||||==,且ο30=∠A ,若m BCC B 2sin cos sin cos =+,则实数=m ( )A .23- B .32C . 12- D . 3非选择题部分(共100分)注意事项:1.用黑色字迹的签字笔或钢笔将答案写在答题纸上,不能答在试题卷上. 2.在答题纸上作图,可先使用2B 铅笔,确定后必须使用黑色字迹的签字笔或钢笔描黑.二、填空题:本大题共7小题,每小题4分,共28分.11、如图所示,在平面直角坐标系xOy ,角α的终边与单位圆交于点A ,已知点A 的纵坐标为45,则cos α= 。
专题突破练(3)三角函数与其他知识的综合应用一、选择题1.若f(cos x)=cos2x,则f(sin15°)=()A.12B.-12C.-32D.32答案C解析f(sin15°)=f(cos75°)=cos150°=-cos30°=-32.故选C.2.点P从(2,0)点出发,沿圆x2+y2=4按逆时针方向运动4π3弧长到达点Q,则点Q的坐标为()A.(-1,3) B.(-3,-1)C.(-1,-3) D.(-3,1)答案A解析4π3弧长所对的圆心角为α=4π32=2π3,设点Q的坐标为(x,y),∴x=2cos 2π3=-1,y=2sin2π3=3.故选A.3.有四个关于三角函数的命题:p1:∃x0∈R,sin2x02+cos2x02=12;p2:∃x0,y0∈R,sin(x0-y0)=sin x0-sin y0;p3:∀x∈[0,π],1-cos2x2=sin x;p4:sin x=cos y⇒x+y=π2.其中是假命题的是()A.p1,p4B.p2,p4C.p1,p3D.p3,p4答案A解析p1是假命题,∵∀x∈R,sin2x2+cos2x2=1;p2是真命题,如x=y=0时成立;p3是真命题,∵∀x∈[0,π],sin x≥0,∴1-cos2x2=sin2x=|sin x|=sin x;p4是假命题,x=π2,y=2π时,sin x=cos y,但x+y≠π2.故选A.4.△ABC中,a,b,c分别是角A,B,C的对边,向量p=(1,-3),q =(cos B,sin B),p∥q且b cos C+c cos B=2a sin A,则C=()A.30°B.60°C.120°D.150°答案A解析∵p∥q,∴-3cos B=sin B,即得tan B=-3,∴B=120°,∵b cos C+c cos B=2a sin A,由正弦定理得sin B cos C+sin C cos B=2sin2A,即sin A=sin(B+C)=2sin2A,sin A≠0得sin A=12,∴A=30°,C=180°-A-B=30°.故选A.5.(2018·福州五校联考二)已知a=2-13,b=(2log23)-12,c=cos50°cos10°+cos140°·sin170°,则实数a,b,c的大小关系是() A.a>c>b B.b>a>c C.a>b>c D.c>b>a答案C解析因为a=2-13=1213=1416,b=(2log23)-12=3-12=1312=12716,所以a>b,排除B,D;c=cos50°·cos10°+cos140°sin170°=sin40°cos10°-cos40°sin10°=sin30°=12=1412,所以b>c,所以a>b>c.选C.6.(2018·河北保定一模)国际数学家大会会标是以我国古代数学家赵爽的弦图为基础设计的.弦图是由四个全等的直角三角形与一个小正方形拼成的一个大正方形(如图).如果小正方形的边长为2,大正方形的边长为10,直角三角形中较小的锐角为θ,则sinθ+π2-cosθ+π3=()A .4+3310B .4-3310C .-4+3310 D .-4-3310答案 A解析 设直角三角形中较小的直角边长为a ,则a 2+(a +2)2=102,解得a =6,所以sin θ=610=35,cos θ=810=45,sin θ+π2-cos θ+π3=cos θ-12cos θ+32sin θ=12cos θ+32sin θ=12×45+32×35=4+3310.故选A .7.(2018·河南十所名校测试)已知函数f (x )=2sin ωx +π3的两个极值点为α,β,且|α-β|min =π2,则函数f (x )在0,π2上的最大值为( )A .- 3B .1C . 3D .2 答案 D解析 由题意得f (x )的最小正周期为T =π,所以ω=2,即f (x )=2sin2x +π3,因为x ∈0,π2,所以2x +π3∈π3,4π3,所以f (x )的最大值为2.故选D .8.(2018·江西吉安模拟)已知函数f (x )=⎩⎨⎧πcos x ,x <0,f (x -π),x ≥0,则函数g (x )=sin ⎣⎢⎡⎦⎥⎤2x -f ⎝ ⎛⎭⎪⎫2π3的一个单调递增区间为( )A .⎣⎢⎡⎦⎥⎤0,π2B .⎣⎢⎡⎦⎥⎤π2,πC .⎣⎢⎡⎦⎥⎤π4,3π4D .⎣⎢⎡⎦⎥⎤3π4,5π4答案 A解析 ∵f ⎝ ⎛⎭⎪⎫2π3=f ⎝ ⎛⎭⎪⎫2π3-π=f ⎝ ⎛⎭⎪⎫-π3=π·cos -π3=π2,∴g (x )=sin ⎣⎢⎡⎦⎥⎤2x -f ⎝ ⎛⎭⎪⎫2π3=sin2x -π2=-cos2x ,令2k π≤2x ≤2k π+π,求得k π≤x ≤k π+π2,可得g (x )的增区间为⎣⎢⎡⎦⎥⎤k π,k π+π2,k ∈Z ,令k =0,可得增区间为⎣⎢⎡⎦⎥⎤0,π2.故选A .9.(2018·山东济南二模)如图,半径为1的圆O 中, A ,B 为直径的两个端点,点P 在圆上运动,设∠BOP =x ,将动点P 到A ,B 两点的距离之和表示为x 的函数f (x ),则y =f (x )在[0,2π]上的图象大致为( )答案 A解析 由余弦定理,当0≤x ≤π时,PB =1+1-2cos x =2(1-cos x )=2×2sin 2x2=2sin x 2,P A =1+1-2cos (π-x )=2(1+cos x )=2cos x 2, ∴PB +P A =2sin x 2+2cos x 2=22sin x 2+π4, 当π≤x ≤2π时,PB =1+1-2cos (2π-x ) =2(1-cos x )=2sin x2,P A =1+1-2cos (x -π)=2(1+cos x)=-2cos x2,∴PB+P A=2sinx2-2cosx2=22sinx2-π4.故选A.10.(2018·南昌一模)函数f(x)=(e x+e-x)sin xe2(-π≤x≤π)的图象大致为()答案A解析由f(-x)=(e-x+e x)sin(-x)e2=-f(x),知函数f(x)为奇函数,图象关于原点对称,排除B;由于e x+e-x>0,0≤x≤π时,sin x≥0,所以f(x)≥0,排除D;考查函数g(x)=e x+e-x,则g′(x)=e x-e-x=e2x-1e x,当x>0时,g′(x)>0,所以函数g(x)在(0,+∞)上单调递增,则g π4<gπ2,且y=sin x在0,π2上单调递增,所以f π4<fπ2,排除C.故选A.11.(2019·湖南十校联考)已知函数f(x)=x+sin x(x∈R),且f(y2-2y+3)+f(x2-4x+1)≤0,则当y≥1时,yx+1的取值范围是()A.14,34B.14,1C.[1,32-3]D.13,+∞答案A解析函数f(x)=x+sin x(x∈R)为奇函数,又f′(x)=1+cos x≥0,所以函数f(x)在实数范围内单调递增,则f(x2-4x+1)≤f(-y2+2y-3),即(x-2)2+(y-1)2≤1,当y≥1时表示的区域为半圆及其内部,令k=yx+1=yx-(-1),其几何意义为过点(-1,0)与半圆相交或相切的直线的斜率,斜率最小时直线过点(3,1),此时k min=13-(-1)=14,斜率最大时直线刚好与半圆相切,圆心到直线的距离d =|2k -1+k |k 2+1=1(k >0),解得k max =34.故选A . 12.(2018·邯郸摸底)若函数f (x )= ⎩⎪⎨⎪⎧sin2x -π6,-π≤x <m ,cos2x -π6,m ≤x ≤π2恰有4个零点,则实数m 的取值范围为( )A .-11π12,-π6∪π12,π3B .-11π12,-2π3∪-5π12,-π6∪π12,π3C .-11π12,-π6∪π12,π3D .-11π12,-2π3∪-5π12,-π6∪π12,π3 答案 B解析 令g (x )=sin2x -π6,h (x )=cos2x -π6,在同一坐标系中作出g (x ),h (x )在-π,π2上的图象,如图所示.g (x )在-π,π2上的零点为-11π12,-5π12,π12; h (x )在-π,π2上的零点为-2π3,-π6,π3.由题f (x )在-π,π2上恰有4个零点,结合图象可知,当m ∈-11π12,-2π3∪-5π12,-π6∪π12,π3时,满足题意.故选B .二、填空题13.(2019·湖南衡阳模拟)如图,圆O与x轴的正半轴的交点为A,点C,B在圆O上,且点C位于第一象限,点B的坐标为45,-35,∠AOC=α,若|BC|=1,则3cos2α2-sinα2cosα2-32的值为________.答案3 5解析由452+-352=1及点B在圆O上,知圆O为单位圆,所以△OCB为正三角形,所以∠BOC=π3,∠AOB=π3-α,由三角函数定义知sinπ3-α=35,所以3cos2α2-sinα2cosα2-32=32cosα-12sinα=sinπ3-α=35.14.(2018·南昌二模)如图,有一块半径为20 m,圆心角∠AOB=2π3的扇形展示台,展示台分成了四个区域:三角形OCD,弓形CMD,扇形AOC和扇形BOD(其中∠AOC=∠BOD),某次菊花展分别在这四个区域摆放:泥金香、紫龙卧雪、朱砂红霜、朱砂红霜.预计这三种菊花展示带来的日效益分别是50元/m2、30元/m2、40元/m2.为使预计日总效益最大,∠COD的余弦值应等于________.答案1 2解析由题知半径r=20,设∠COD=α,则日总效益为f(α)=12r2sinα×50+α2π×πr 2-12r 2sin α×30+2π3-α2π×πr 2×40=4000sin α-2000α+160003π,而f ′(α)=4000cos α-2000,令f ′(α)=0,可得cos α=12,易知此时日总效益f (α)取得最大值.15.(2018·河北唐山摸底)△ABC 的垂心H 在其内部,∠A =60°,AH =1,则BH +CH 的取值范围是________.答案 (3,2]解析 因为△ABC 为锐角三角形,设∠BAH =θ,且θ∈(0°,60°),所以BH =2AH ·sin θ=2sin θ,CH =2AH ·sin(60°-θ)=2sin(60°-θ),所以BH +CH =2sin θ+2sin(60°-θ)=2sin θ+32cos θ-12sin θ=2sin(θ+60°),又由θ∈(0°,60°),则θ+60°∈(60°,120°),所以2sin(θ+60°)∈(3,2],即BH +CH 的取值范围是(3,2].16.(2018·河南一模)如图,OA ,OB 为扇形湖面OAB 的湖岸,现欲利用渔网和湖岸在湖中隔出两个养殖区——区域Ⅰ和区域Ⅱ,点C 在AB 上,∠COA =θ,CD ∥OA ,其中AC ,半径OC 及线段CD 需要用渔网制成.若∠AOB =π3,OA =1,则所需渔网的最大长度为________.答案 π+6+236解析 由CD ∥OA ,∠AOB =π3,∠COA =θ可得∠OCD =θ,∠ODC =2π3,∠COD =π3-θ,在△OCD 中利用正弦定理可得CD =23sin π3-θ,θ∈0,π3,设渔网的长度为f (θ),则f (θ)=θ+1+23sin π3-θ, ∴f ′(θ)=1-23cos π3-θ,∵θ∈0,π3,则π3-θ∈0,π3,令f ′(θ)=0,则cos π3-θ=32,π3-θ=π6,θ=π6.则f (θ)∈2,π+6+236,故所需渔网的最大长度为π+6+236. 三、解答题17.(2018·河北石家庄质检一)已知△ABC 的内角A ,B ,C 的对边分别为a ,b ,c ,且(a -c )2=b 2-34ac .(1)求cos B 的值;(2)若b =13,且sin A ,sin B ,sin C 成等差数列,求△ABC 的面积. 解 (1)由(a -c )2=b 2-34ac ,可得a 2+c 2-b 2=54ac .∴a 2+c 2-b 22ac =58,即cos B=58.(2)∵b =13,cos B =58,∴b 2=13=a 2+c 2-54ac =(a +c )2-134ac ,又sin A ,sin B ,sin C 成等差数列,由正弦定理,得a +c =2b =213,∴13=52-134ac ,∴ac =12.由cos B =58,得sin B =398,∴△ABC 的面积S △ABC =12ac sin B =12×12×398=3394.18.(2018·湖北八市联考)函数f (x )=sin(ωx +φ)ω>0,|φ|<π2在它的某一个周期内的单调递减区间是5π12,11π12.将y =f (x )的图象先向左平移π4个单位长度,再将图象上所有点的横坐标变为原来的12(纵坐标不变),所得到的图象对应的函数记为g (x ).(1)求g (x )的解析式;(2)设△ABC 的三边a ,b ,c 满足b 2=ac ,且边b 所对角为x ,若关于x 的方程g (x )=k 有两个不同的实数解,求实数k 的取值范围.解 (1)由题意得函数f (x )的最小正周期T =2πω, 且T 2=11π12-5π12=π2,则T =π,∴ω=2, 又sin2×5π12+φ=1,|φ|<π2,∴φ=-π3. ∴f (x )=sin2x -π3,∴g (x )=sin4x +π6.(2)∵cos x =a 2+c 2-b 22ac ≥2ac -ac 2ac =12(当且仅当a =c 时,取等号),∴0<x ≤π3, ∴π6<4x +π6≤3π2,则由图象可得12<k <1.19.(2018·安徽六校联考二)△ABC 的三个内角A ,B ,C 所对的边分别为a ,b ,c ,满足1+tan A tan B =2c b .(1)求A 的大小;(2)若△ABC 为锐角三角形,求函数y =2sin 2B -2cos B cos C 的值域. 解 (1)由1+tan A tan B =2cb ,得1+sin A cos B cos A sin B =sin (A +B )cos A sin B =sin C cos A sin B =2c b =2sin C sin B ,因为A ,B ,C 为△ABC 的内角,所以cos A =12,所以A =π3.(2)因为A +B +C =π,A =π3,所以B +C =2π3,则y =2sin 2B -2cos B cos C =1-cos2B -2cos B cos 2π3-B =32-sin2B +π6,又△ABC 为锐角三角形,所以π6<B <π2, 所以π2<2B +π6<7π6,所以sin2B +π6∈-12,1,所以所求函数的值域为12,2.20.(2018·云南师大附中月考)在公比为2的等比数列{a n }中,a 2与a 5的等差中项是93.(1)求a 1的值;(2)若函数y =|a 1|sin ⎝ ⎛⎭⎪⎫π4x +φ,|φ|<π的一部分图象如图所示,M (-1,|a 1|),N (3,-|a 1|)为图象上的两点,设∠MPN =β,其中点P 与原点O 重合,0<β<π,求tan(φ-β)的值.解 (1)由题可知a 2+a 5=183,又a 5=8a 2,故a 2=23,∴a 1=3.(2)∵点M (-1,|a 1|)在函数y =|a 1|sin ⎝ ⎛⎭⎪⎫π4x +φ的图象上,∴sin ⎝ ⎛⎭⎪⎫-π4+φ=1. 又∵|φ|<π,∴φ=3π4.如图,连接MN ,在△MPN 中,由余弦定理,得cos β=|PM |2+|PN |2-|MN |22|PM ||PN |=4+12-2883=-32.又∵0<β<π,∴β=5π6,∴φ-β=-π12, ∴tan(φ-β)=-tan π12=-tan ⎝ ⎛⎭⎪⎫π4-π6=-2+3. 21.(2018·河南洛阳统考)如图,在平面四边形ABDC 中,∠CAD =∠BAD =30°.(1)若∠ABC =75°,AB =10,且AC ∥BD ,求CD 的长;(2)若BC =10,求AC +AB 的取值范围.解 (1)依题有∠ACB =45°,在△ABC 中,由正弦定理知10sin45°=CB sin60°,从而CB =56.因为AC ∥BD ,故∠CAD =∠ADB ,∠ACB =∠CBD .在△ABD 中,∠ADB =30°=∠BAD ,所以DB =AB =10.在△BCD中,CD=CB2+DB2-2CB·DB cos45°=510-43.(2)在△ABC中,易知AC+AB>BC=10,由余弦定理知cos60°=AB2+AC2-1002AB·AC,整理知(AB+AC)2-100=3AB·AC,由基本不等式知AB·AC≤AB+AC22.(AB+AC)2-1003≤AB+AC22,解得AB+AC≤20.故AB+AC的取值范围为(10,20].。