完整版七年级解方程计算题专项练习
- 格式:docx
- 大小:11.65 KB
- 文档页数:5
七年级数学上册一元一次方程计算题练习 50题(含答案)1.解方程:3x+2=3.去括号得,3x+2=3,移项得,3x=1,系数化为1得,x=1/3.2.解方程:2{3[4(5x-1)-8]-20}-7=1.先化简括号内的式子,4(5x-1)-8=20x-12,代入原式得,2{3[20x-12]-20}-7=1。
化简得,2{60x-56}-7=1,再化简得,60x-56=4,解得,x=1.3.解方程:5x-7(x-1)=3-2(x+3)。
先化简括号内的式子,-7(x-1)=-7x+7,-2(x+3)=-2x-6,代入原式得,5x-7x+7=3-2x-6。
移项合并得,6x=-4,解得,x=-2/3.4.解方程:3x+7=32-2x。
移项得,5x=25,系数化为1得,x=5.5.解方程:2(3x-5)-3(4x-3)=0.先化简括号内的式子,2(3x-5)=6x-10,3(4x-3)=12x-9,代入原式得,6x-10-12x+9=0。
移项合并得,-6x=-1,解得,x=1/6.6.解方程:4-4(x-3)=2(9-x)。
化简得,4-4x+12=18-2x,移项合并得,-2x=2,解得,x=-1.7.解方程:-0.7=6.5-1.3x。
移项得,1.3x=7.2,化系数为1得,x=5.538.8.解方程:-2(3x-3)+5=4x+1.化简得,-6x+6+5=4x+1,移项合并得,-10x=-10,解得,x=1.9.解方程:(x+1)/3-2=(x-1)/2.化简得,2(x+1)-12=3(x-1),移项合并得,2x+2-12=3x-3,解得,x=13.10.解方程:(2x+1)/(x-1)=(x+2)/(x+3)。
化简得,(2x+1)(x+3)=(x-1)(x+2),化简得,2x^2+7x+3=x^2+x-2,移项合并得,x^2+6x+5=0。
解得,x=-1或x=-5.11.解方程:(3x-1)/2-(x+1)/3=1/6.化简得,9x-3-2x-2=1,移项合并得,7x=6,解得,x=6/7.12.解方程:2{3[4(5x-1)-8]-20}-7=1.已在第2题解答过,x=1.13.解方程:(x+2)/3-2=(x-1)/2.化简得,4(x+2)-18=3(x-1),移项合并得,x=5.14.解方程:(x-1)/3+1=(x+2)/4.化简得,4(x-1)+12=3(x+2),移项合并得,x=5.15.删除此题,因为缺少方程。
初一(上)解方程、有理数计算综合一、计算题(本大题共90小题,共540.0分)1.解方程(1)4x−35−1=7x−23;(2)x−40.2−x−30.5=1.2.解方程(1)2−3(x+1)=8(2)5x+34−x−13=−23.解下列方程.(1)2(x+4)=3x−8(2)2x+13−x−56=14.解下列方程:(1)x+3x=−16;(2)16y−2.5y−7.5y=5;(3)3x+5=4x+1;(4)9−3y=5y+5.5.解方程:(1)4x−3=2x+5;(2)20−5x=3x−9−15.6.解下列方程:(1)5x−2x+x=12;(2)12x−32x=6;(3)−3y−7y=10.7.解方程:7+2x=12−2x.8.解方程:x+40.2−x−30.5=2.9.解方程(1)3y+14=2−2y−13(2)x−12+2x+16−x−13=2.10.解下列方程:(1)2x−(x+10)=5x+2(x−1);(2)3x−7(x−1)=3−2(x+3).11.解方程:x−x−22=1+2x−1312.解方程:(1)2(x−4)=5x−6(2)x+34−2x−43=213.解方程:(1)4−3(8−x)=5(x−2)(2)y+24−2y−16=114.解方程:(1)4x−3(20−x)=3;(2)3x−14−1=5x−76。
15.解方程:1−3(8+x)=x−2(15−2x).16.解方程:(1)5x+2=3x−18;(2)2x+12−x−13=1.17.利用等式的性质解下列方程并检验:(1)x−5=6;(2)0.3x=45;(3)5x+4=0;(4)2−14x=3.18.利用等式的性质解方程,并检验:(1)−2x+4=2;(2)5x+2=2x+5.19.解方程(1)3x−5(x−2)=2;(2)2x+13−x−24=1.20.解方程:(1)3x+7=27−2x;(2)1−x3−x−26=1.21.解方程:(1)4(2x−1)−3(x−2)=12;(2)3x+12−2x−23=2x−1.22.(对应目标5)解下列方程:(1)−3(x+3)=24.(2)4x−3=2(x−1).(3)5−(2x−1)=x.(4)5(x−6)=−4x−3.23.解方程:3x+12−2=3x−210−2x+35.24.解方程:x−73−1+x2=1.25.解下列方程:(1)2x−19=7x+6;(2)x−2=13x+43;(3)2.5m+10m−15=6m−21.5;(4)43+112y=3+8y.26.(对应目标4)解下列方程:(1)−3x+3=1−x−4x;(2)5x−3x+7=1−3x;(3)−4x+6=5x−3;(4)−2x−7x+5=3x−x−6.27.解下列方程:(1)3(x+3)=5x−1(2)1−x3=2−x+2528.解方程:x+13+1=x−x−12.29.解方程:(1)x+5(2x−1)=3−2(−x−5)(2)x+32−2=−2x−2530.解下列方程:(1)x+12−1=2+2−x4;(2)3x+x−12=3−2x−13.31.解下列方程:(1)x+325=x−32;(2)3y−14−1=5y−76.32.解下列方程:(1)y+24−1=2y−16;(2)x+74−x−13=x+1.33.解下列方程:(1)3(2x+1)=5−4(x−2);(2)2(2−x)−5(2−x)=9.34.(对应目标6)解方程:(1)4−2(x+4)=2(x−1);(2)13(x+7)=25−12(x−5);(3)0.3x−0.40.2+2=0.5x−0.20.3.35.解方程:(1)2x+13−5x−16=1;(2)1−x+23=x−12.36.解方程:3x+5=30−2x.37.解下列方程:(1)6x−7=4x−5;(2)12x−6=34x.38.解方程:x−12=2+3x4.39.解方程:(1)4y−3(20−y)=6y−7(11−y);(2)2(x+1)3=5(x+1)6−1.40.解方程:(1)3x−2=−6+5x;(2)3x+22−x−53=1.41.(对应目标5,6)解方程:(1)2−3x=0.5(14−2x);(2)x+24−1=3−2x6.42.解方程:x−3=−12x−4.43.解下列方程:(1)6(x−5)=−24;(2)−2x+9=3(x−2);(3)7y+(3y−5)=y−2(7−3y);(4)3x−2(x−1)=2−3(5−2x).44.解方程(1)3(x+1)−x=13−(2x−1)(2)y+12−1=2+2−y445.解方程:0.5x−0.7=6.5−1.3x.46.解下列一元一次方程:(1)4−2x=3(2−x);(2)4x+3(2−x)=12−(x−4);(3)(y−2)+1=5−2(2y−1).47.解下列方程:(1)2x−13=x−34;(2)1+x−12=x+26;(3)y−y+12=2−y+25;(4)3x+x−12=2−2x−13;(5)3x−14−5x−76=1;(6)1−0.1x1.2−x−0.12.4=1.48.解方程:(1)2x−20=−3x;(2)2x+2.5x=−6−1.5x;(3)2x−5=15−3x;(4)−3+y=1.2y−5.49.解方程:12[x−12(x−1)]=23(x−1);50.解方程:2(x−1)=3(x+1);51.解方程3x+22−1=2x−14−2x+1552.解下列方程:(1)19100x=21100(x−2);(2)x+12−2=x4;(3)5x−14=3x+12−2−x3;(4)3x+22−1=2x−14−2x+15.53.解下列方程:(1)43−8x=3−112x;(2)0.5x−0.7=6.5−1.3x;(3)16(3x−6)=25x−3;(4)1−2x3=3x+17−3.54.解下列方程:(1)3x+52=2x−13;(2)x−3−5=3x+415;(3)3y−14−1=5y−76; (4)5y+43+y−14=2−5y−512.55. (人教七上P23练习T1变式2)计算:(1)5−9; (2)(+6)−(−4); (3)(−8)−(−2); (4)0−(−7); (5)(−3.5)−7.5; (6)2.1−(−2.9).56. (人教七上P25习题T4变式2)计算:(1)(+15)−(−45); (2)(−27)−(−57); (3)15−17; (4)(−13)−13; (5)−12−(−56); (6)0−(−35);(7)(−2)−(+14); (8)(−1235)−(−835)−(+25).57. (人教七上P25习题T3变式1)计算:(1)(−6)−6; (2)(−5)−(−5); (3)5−(−5); (4)9−9; (5)0−7; (6)0−(−3); (7)17−37; (8)24−(−54); (9)(−7.8)−(+7); (10)(−7.9)−(−6.9).58. (人教七上P20练习T1变式1)计算:(1)21+(−17)+8+(−23); (2)(−5)+3+1+(−2)+5+(−3).59.计算题:(1)|−12|−(−18)+(−7)+6;(2)−12−(−32)×(34−212+158);(3)16×[1−(−3)2]÷(−13).60.(人教七上P23练习T1变式1)计算:(1)6−8;(2)(+4)−(−9);(3)(−4)−(−10);(4)0−(−9);(5)(−5.5)−9.5;(6)1.9−(−2.9).61.(人教七上P20练习T1变式2)计算:(1)12.4+(−20.4)+37.6+(−6.6);(2)(−4)+2+1+(−5)+2+(−6).62.计算(1)(−79+56−34)×(−36);(2)−14−(1−0.5)×13×|1−(−5)2|.63.(人教七上P25习题T3变式2)计算:(1)(−10)−10;(2)(−7)−(−7);(3)7−(−17);(4)0−0;(5)0−8;(6)0−(−9);(7)18−48;(8)39−(−61);(9)(−9.8)−(+7.8);(10)(−6.9)−(−9.9).64.(人教七上P24习题T2变式2)计算(1)(−18)+20+2+(−4);(2)9+(−6)+4+9+(−4)+(−9);(3)(−2.8)+1.2+(−1.4)+(−2.1)+2.8+3.5; (4)15+(−27)+45+(−12)+(−27).65. 计算:(1)(−1)3−14×[2−(−3)2]; (2)(14+16−12)×12+(−2)3÷(−4).66. (人教七上P24习题T1变式1)计算:(1) 1−4+3−0.5; (2) −2.4+3.5−4.6+3.5; (3) (−7)−(+5)+(−4)−(−10);(4)34−12+(−13)−(−23).67. (人教七上P24习题T2变式1)计算:(1)(−8)+8+2+(−2);(2)6+(−6)+4+9+(−4)+(−9);(3)(−0.18)+1.4+(−0.7)+(−1.4)+0.18+3.7;(4)13+(−15)+45+(−23)+(−35).68. (人教七上P19练习T3变式1)计算:(1)18+(−28); (2)(−21)+(−9); (3)(−1.8)+1.2; (4)13+(−12).69. 计算:(1)−5+(−6)−(−9); (2)(−83)×(−58)÷19;(3)−32−(−2)3÷32; (4)(−43+56−78)×(−24).70. (人教七上P25习题T4变式1)计算:(1)(+27)−(−57); (2)(−23)−(−13); (3)14−13; (4)(−14)−13; (5)−25−(−15); (6)0−(−35); (7)(−2)−(+27); (8)(−1235)−(−1045)−(+115).71. (人教七上P24习题T1变式2)计算:(1)(−10)+(+10); (2)(+12)+(−22); (3)(−17)+(−13); (4)(+16)+(−10); (5)(−1.2)+(−2.8); (6)0.67+(−2.87); (7)(−313)+23; (8)(−215)+(−145). .72. (人教七上P24习题T1变式1)计算:(1)(−8)+(+6); (2)(+3)+(−4); (3)(−5)+(−5); (4)(+7)+(−7); (5)(−0.9)+(−2.1); (6)27+(−37);(7)(−15)+45; (8)(−315)+(−1110).73. (人教七上P24习题T1变式2)计算:(1)3−5+2−3.5; (2)−4.4+2.5−5.6+7.5; (3)(−10)−(+4)+(−5)−(−8); (4)37−74+(−14)−(−47)−1.74.计算(1)2×(−3)3−4×(−3)+15(2)(−2)3+(−3)×[(−4)2+2]−(−3)2÷(−2) 75.(教材P33练习变式1)(1)−85×(−0.25)×(−4)(2)−(222022)×16×10112023(3)(79−38)×36(4)713×(−23)+73×71376.(教材P38习题T7变式1)计算:(1)−12×13×(−14);(2)−16×(−15)×(−17);(3)254×12.5×8;(4)0.2÷(−0.001)÷(−10);(5)23×(−114)÷23;(6)−6×(−0.5)×532;(7)(−9)×(−12)×0÷(−2022);(8)−15×(−14)÷6÷(−2).77.(教材P36练习变式2)(1)12×(−3)+(−152)÷(112)(2)(−14)×2÷13−12(3)6+23−(−12)÷1378.(对应目标4、6)合并同类项:(1)−3x2y+5xy2−6xy2+4−7x2y−9;(2)a3−a2b+ab2+a2b−ab2+b3.79.计算:(1)−7x2+(8x2+3xy)−(2y2−xy+x2);(2)(3x2−xy−2y2)−2(x2+xy−2y2).80.若(a+3)2+|b−2|=0,求3ab2−{2a2b−[5ab2−(6ab2−2a2b)]}的值.81.计算:(1)(3a2+2a+1)−(2a2+3a−5);(2)(−x2+2xy−y2)−2(xy−3x2)+3(2y2−xy).82.化简:(1)4a2+3b2+2ab−4a2−4b2;(2)2(x2+xy−5)−4(2x2−xy).83.计算:(1)x2y−3x2y;(2)10y2+0.5y2;(3)−12a2bc+12cba2;(4)14mn−13mn+7;(5)7ab−3a2b2+7+8ab2+3a2b2−3−7ab;(6)3x3−3x2−y2+5y+x2−5y+y2.84.计算:(1)x2y−3x2y;(2)10y2+0.5y2;(3)−12a2bc+12cba2;(4)14mn−13mn+7;(5)7ab−3a2b2+7+8ab2+3a2b2−3−7ab;(6)3x3−3x2−y2+5y+x2−5y+y2.85.计算:(1)(4a3b−10b3)+(−3a2b2+10b3);(2)(4x2y−5xy2)−(3x2y−4xy2);(3)5a2−[a2+(5a2−2a)−2(a2−3a)];(4)15+3(1−a)−(1−a−a2)+(1−a+a2−a3);(5)(4a2b−3ab)+(−5a2b+2ab);(6)(6m2−4m−3)+(2m2−4m+1);(7)(5a2+2a−1)−4(3−8a+2a2);(8)3x2−[5x−(12x−3)+2x2].86.计算:(1)12x−20x;(2)x+7x−5x;(3)−5a+0.3a−2.7a;(4)13y−23y+2y;(5)−6ab+ba+8ab;(6)10y2−0.5y2.87.计算:(1)(9x−6y)−(5x−4y);(2)3−(1−x)+(1−x+x2);(3)2(x2−y2+1)−2(x2+y2)+xy;(4)(3x−2y)−[−4x+(z+3y)].88.计算:(1)3−2x2+3x+3x2−5x−x2−7(2)−3(2a2−ab)+4(a2+ab−6)89.化简:(1)x−2x.(2)−12(4x−6).(3)2(a2−ab)−3(23a2−ab).90.先化简,再求值.(1)(3x2+y2−5xy)+(−4xy−y2+7x2),其中x=2,y=32.(2)−8m2+[7m2−2m−(3m2−4m)],其中m=−12.答案和解析1.【答案】解:(1)4x−35−1=7x−23去分母得:3(4x−3)−15=5(7x−2),去括号得:12x−9−15=35x−10,移项得:12x−35x=−10+9+15,合并同类项得:−23x=14,系数化为1得:x=−1423;(2)x−40.2−x−30.5=1整理得:5x−20−2x+6=1,移项得:5x−2x=1+20−6,合并同类项得:3x=15,系数化为1得:x=5.【解析】(1)方程去分母,去括号,移项,合并同类项,把x系数化为1,即可求出解;(2)方程整理后,去分母,去括号,移项,合并同类项,把x系数化为1,即可求出解.此题考查了解一元一次方程,熟练掌握一元一次方程的解法是解本题的关键.2.【答案】解:(1)去括号得:2−3x−3=8,移项合并得:−3x=9,系数化为1得:x=−3;(2)去分母得:3(5x+3)−4(x−1)=−24,去括号得:15x+9−4x+4=−24,移项合并得:11x=−37,系数化为1得:x=−3711.【解析】(1)方程去括号,移项合并同类项,把x系数化为1,即可求出解;(2)方程去分母,去括号,移项合并同类项,把x系数化为1,即可求出解.此题考查解一元一次方程,熟练掌握运算法则是解本题的关键.3.【答案】解:(1)去括号,得:2x+8=3x−8,移项,得:2x−3x=−8−8,合并同类项,得:−x=−16,系数化为1得:x=16.(2)去分母,得:2(2x+1)−(x−5)=6,去括号,得:4x+2−x+5=6,移项,得:4x−x=6−2−5,合并同类项,得:3x=−1,系数化为1得:x=−1.3【解析】本题主要考查了一元一次方程的解法.(1)去括号,移项,合并同类项,系数化为1即可得到答案;(2)去分母,去括号,移项,合并同类项,系数化为1即可得到答案.4.【答案】解:(1)合并同类项,得4x=−16.系数化为1,得x=−4.(2)合并同类项,得6y=5..系数化为1,得y=56(3)移项,得3x−4x=1−5.合并同类项,得−x=−4.系数化为1,得x=4.(4)移项,得−3y−5y=5−9.合并同类项,得−8y=−4..系数化为1,得y=12【解析】见答案5.【答案】解:(1)4x−3=2x+5移项,得4x−2x=3+5,合并同类项,得2x=8,系数化为1,得x=4.(2)20−5x=3x−9−15移项,得−5x−3x=−9−15−20,合并同类项,得−8x=−44,系数化为1,得x=5.5.【解析】见答案.6.【答案】解:(1)5x−2x+x=124x=12x=3;(2)12x−32x=6−x=6x=−6;(3)−3y−7y=10−10y=10y=−1.【解析】本题考查的是一元一次方程的解法.(1)按照一元一次方程的解法先合并同类项,再系数化为1即可;(2)按照一元一次方程的解法先合并同类项,再系数化为1即可;(3)按照一元一次方程的解法先合并同类项,再系数化为1即可.7.【答案】解:移项,得:2x+2x=12−7,合并同类项,得:4x=5,系数化为1,得:x=54.【解析】根据等式的基本性质依次移项、合并同类项、系数化为1可得.本题主要考查解一元一次方程,解题的关键是掌握解一元一次方程的一般步骤.8.【答案】解:去分母,得5(x+4)−2(x−3)=2,去括号,得5x+20−2x+6=2,移项,得5x−2x=2−20−6,合并同类项,得3x=−24,系数化为1,得x=−8.【解析】本题考查的是一元一次方程的解法,首先对该方程去分母,然后去括号,移项,合并同类项,最后系数化为1即可.9.【答案】解:(1)去分母得:3(3y+1)=24−4(2y−1),去括号得:9y+3=24−8y+4,移项、合并同类项可得:17y=25,;系数化为1,得:y=2517(2)去分母,得:3(x−1)+2x+1−2(x−1)=12,去括号得:3x−3+2x+1−2x+2=12,移项、合并同类项得:3x=12,系数化为1,得:x=4.【解析】(1)依次去分母、去括号、移项、合并同类项、系数化为1可得;(2)依次去分母、去括号、移项、合并同类项、系数化为1可得.本题主要考查解一元一次方程的能力,熟练掌握解一元一次方程的一般步骤:去分母、去括号、移项、合并同类项、系数化为1,是解题的关键.10.【答案】解:(1)2x−(x+10)=5x+2(x−1)去括号,得2x−x−10=5x+2x−2,移项,得2x−x−5x−2x=−2+10,合并同类项,得−6x=8,.系数化为1,得x=−43(2)3x−7(x−1)=3−2(x+3)去括号,得3x−7x+7=3−2x−6,移项,得3x−7x+2x=3−6−7,合并同类项,得−2x=−10,系数化为1,得x=5.【解析】本题考查的是解一元一次方程,熟练掌握解一元一次方程的一般步骤是解答此题的关键.(1)先去括号,然后移项,再合并同类项,把x的系数化为1即可;(2)先去括号,再移项,合并同类项,把x的系数化为1即可.11.【答案】解:x−x−22=1+2x−13去分母,得:6x−3(x−2)=6+2(2x−1)去括号,得:6x−3x+6=6+4x−2移项,得:6x−3x−4x=6−6−2合并同类项,得:−x=−2系数化为1,得:x=2【解析】本题主要考查了解一元一次方程,熟练掌握解一元一次方程的步骤是解答本题的关键.根据解一元一次方程的步骤解答即可.12.【答案】解:(1)去括号得:2x−8=5x−6,移项得:2x−5x=−6+8,合并得:−3x=2,解得:x=−23;(2)去分母得:3(x+3)−4(2x−4)=24,去括号得:3x+9−8x+16=24,移项得:3x−8x=24−9−16,合并得:−5x=−1,解得:x=15.【解析】(1)方程去括号,移项,合并同类项,把x系数化为1,即可求出解;(2)方程去分母,去括号,移项,合并同类项,把x系数化为1,即可求出解.此题考查了解一元一次方程,其步骤为:去分母,去括号,移项,合并同类项,把未知数系数化为1.13.【答案】解:(1)去括号得:4−24+3x=5x−10,移项合并同类项得:−2x=10,化系数为1得:x=−5;(2)去分母得:3(y+2)−2(2y−1)=1×12,去括号得:3y+6−4y+2=12移项合并同类项得:−y=4,化系数为1得:y=−4.【解析】本题主要考查了解一元一次方程,注意在去分母时,方程两端同乘分母的最小公倍数时,不要漏乘没有分母的项,同时要把分子(如果是一个多项式)作为一个整体加上括号.(1)根据一元一次方程的解法,去括号、移项、合并同类项、系数化为1即可得解;(2)这是一个带分母的方程,所以要先去分母,再去括号,最后移项,合并同类项、化系数为1,从而得到方程的解.14.【答案】解:(1)4x−3(20−x)=3去括号得,4x−60+3x=3,移项得,4x+3x=3+60,合并同类项得,7x=63,系数化成1得,x=9;(2)3x−14−1=5x−76去分母得,3(3x−1)−12=2(5x−7),去括号得,9x−3−12=10x−14,移项得,9x−10x=−14+3+12,合并同类项得,−x=1,系数化成1得,x=−1.【解析】本题主要考查了一元一次方程的解法,关键是熟练掌握一元一次方程的解法步骤.(1)先去括号,然后移项,合并同类项,最后系数化成1可得结果;(2)先去分母,然后去括号,移项,合并同类项,最后系数化成1可得结果.15.【答案】解:1−3(8+x)=x−2(15−2x)去括号,得1−24−3x=x−30+4x,移项,得−3x−x−4x=−30−1+24,合并同类项,得−8x=−7,.系数化为1,得x=78【解析】本题主要考查一元一次方程的解法.解一元一次方程的步骤为去分母、去括号、移项、合并同类项、系数化为1.按照解一元一次方程的步骤解答即可.16.【答案】解:(1)移项,得5x−3x=−18−2,合并同类项,得2x=−20,系数化为1,得x=−10;(2)去分母,得3(2x+1)−2(x−1)=6,去括号,得6x+3−2x+2=6,移项,得6x−2x=6−2−3,合并同类项,得4x=1,.系数化为1,得x=14【解析】本题考查一元一次方程的解法,掌握解一元一次方程的基本步骤是解答本题的关键.(1)移项,合并同类项,系数化为1即可;(2)方程去分母,去括号,移项,合并同类项,系数化为1即可.17.【答案】解:(1)方程两边加5,得x=11.检验:将x=11代入方程x−5=6的左边,得11−5=6.方程的左右两边相等,所以x=11是方程的解.(2)方程两边除以0.3,得x =150.检验:将x =150代入方程0.3x =45的左边,得0.3×150=45. 方程的左右两边相等,所以x =150是方程的解. (3)方程两边减4,得5x =−4. 两边除以5,得x =−45.检验:将x =−45代入方程5x +4=0的左边, 得5×(−45)+4=0.方程的左右两边相等,所以x =−45是方程的解. (4)方程两边减2,得−14x =1. 两边除以−14,得x =−4.检验:将x =−4代入方程2−14x =3的左边,得2−14×(−4)=3. 方程的左右两边相等,所以x =−4是方程的解.【解析】见答案18.【答案】解:(1)方程两边同时减去4得−2x =−2, 两边同时除以−2,得x =1,当x =1时,左边=−2×1+4=2,右边=2, 左边=右边,故x =1是方程的解. (2)方程两边同时减去(2x +2)得3x =3, 两边同时除以3得x =1,当x =1时,左边=5×1+2=7,右边=2×1+5=7, 左边=右边,故x =1是方程的解.【解析】见答案.19.【答案】解:(1)去括号得:3x −5x +10=2,移项合并得:−2x =−8, 解得:x =4;(2)去分母得:8x +4−3x +6=12,移项合并得:5x=2,解得:x=25.【解析】(1)方程去括号,移项合并同类项,把x系数化为1,即可求出解;(2)方程去分母,去括号,移项合并同类项,把x系数化为1,即可求出解.此题考查了解一元一次方程,熟练掌握运算法则是解本题的关键.20.【答案】解:(1)3x+7=27−2x,移项,得3x+2x=27−7,合并同类项,得5x=20,系数化1,得x=4;(2)1−x3−x−26=1,去分母,得2(1−x)−(x−2)=6,去括号,得2−2x−x+2=6,移项,得−2x−x=6−2−2,合并同类项,得−3x=2,系数化1,得x=−23.【解析】本题考查了解一元一次方程,解一元一次方程的步骤是:去分母(含有分母的一元一次方程),去括号,移项,合并同类项,系数化1.(1)方程移项,合并同类项,系数化1即可;(2)方程去分母,去括号,移项,合并同类项,系数化1即可.21.【答案】解:(1)4(2x−1)−3(x−2)=12,去括号得:8x−4−3x+6=12,移项得:8x−3x=12−6+4,合并同类项得:5x=10,化系数得:x=2;(2)3x+12−2x−23=2x−1,去分母得:3(3x+1)−2(2x−2)=6(2x−1),去括号得:9x+3−4x+4=12x−6,移项得:9x−4x−12x=−6−3−4,合并同类项得:−7x=−13,化系数得:x=13.7【解析】(1)根据一元一次方程的解法步骤:去括号、移项、合并同类项、系数化为1,即可求解;(2)根据一元一次方程的解法步骤:去分母、去括号、移项、合并同类项、系数化为1,即可求解.本题考查一元一次方程的解法,熟练掌握一元一次方程的解法是解题的关键.22.【答案】解:(1)−3(x+3)=24,去括号得:−3x−9=24,移项,合并同类项得:−3x=33,系数化1得:x=−11.(2)4x−3=2(x−1),去括号得:4x−3=2x−2,移项,合并同类项得:2x=1,.系数化1得:x=12(3)5−(2x−1)=x,去括号得:5−2x+1=x,移项,合并同类项得:−3x=−6,系数化1得:x=2.(4)5(x−6)=−4x−3,去括号得:5x−30=−4x−3,移项,合并同类项得,9x=27,系数化1得:x=3.【解析】见答案23.【答案】解:去分母得,5(3x+1)−20=(3x−2)−2(2x+3),去括号得,15x+5−20=3x−2−4x−6,移项得,15x−3x+4x=−2−6−5+20,合并同类项得,16x=7,系数化为1得,x=716.【解析】本题主要考查了解一元一次方程.先去分母,再去括号,最后移项,化系数为1,从而得到方程的解.24.【答案】解:去分母,得2(x−7)−3(1+x)=6,去括号,得2x−14−3−3x=6,移项,得2x−3x=6+14+3,合并同类项,得−x=23,系数化为1,得x=−23.【解析】方程去分母、去括号、移项、合并同类项、把x系数化为1,即可求出方程的解.此题考查了解一元一次方程,熟练掌握解一元一次方程的步骤是解本题的关键.25.【答案】解:(1)2x−19=7x+62x−7x=6+19−5x=25x=−5;(2)x−2=13x+43x−13x=2+4323x=10 3x=5;(3)2.5m+10m−15=6m−21.5 2.5m+10m−6m=15−21.5 6.5m=−6.5m=−1;(4)43+112y=3+8y112y−8y=3−4 3−52y=53y=−23.【解析】本题考查的是一元一次方程的解法.(1)(2)(3)(4)按照一元一次方程的解法先移项,再合并同类项,系数化为1即可.26.【答案】解:(1)−3x+x+4x=1−32x=−2x=−1(2)5x−3x+3x=1−75x=−6x=−65(3)−4x−5x=−3−6 −9x=−9x=1(4)−2x−7x−3x+x=−6−5−11x=−11 x=1【解析】见答案27.【答案】解:(1)3(x+3)=5x−1,去括号得:3x+9=5x−1,移项得:2x=10,系数化为1得:x=5;(2)1−x3=2−x+25去分母得:5×(1−x)=2×15−3×(x+2),去括号得:5−5x=30−3x−6,移项合并同类项得:2x=−19,.系数化为1得:x=−192【解析】本题主要考查了解一元一次方程,其步骤为:去分母,去括号,移项合并同类项,将未知数系数化为1,即可求出解.28.【答案】解:去分母得:2(x+1)+6=6x−3(x−1),去括号得:2x+2+6=6x−3x+3,移项合并得:−x=−5,解得:x=5.【解析】方程去分母,去括号,移项合并同类项,把x系数化为1,即可求出解.此题考查了解一元一次方程,解方程去分母时注意两边都乘各分母的最小公倍数.29.【答案】解:(1)去括号,得:x+10x−5=3+2x+10,移项,得:x+10x−2x=3+10+5,合并同类项,得:9x=18,系数化为1,得:x=2;(2)去分母,得:5(x+3)−20=−2(2x−2),去括号,得:5x+15−20=−4x+4,移项,得:5x+4x=4−15+20,合并同类项,得:9x=9,系数化为1,得:x=1.【解析】(1)根据解一元一次方程的步骤依次:去括号、移项、合并同类项、系数化为1即可得;(2)根据解一元一次方程的步骤依次:去分母、去括号、移项、合并同类项、系数化为1即可得.本题主要考查解一元一次方程,解题的关键是掌握解一元一次方程的基本步骤:去分母、去括号、移项、合并同类项、系数化为1.30.【答案】解:(1)方程两边同时乘以4得2x+2−4=8+2−x,移项,合并同类项得3x=12,解得x=4;(2)方程两边同时乘以6得18x+3x−3=18−4x+2,移项,合并同类项得25x=23,解得x=2325.【解析】本题主要考查的是一元一次方程的解法的有关知识.(1)先去分母,然后移项,合并同类项,最后将系数化为1求解即可;(2)先去分母,然后移项,合并同类项,最后将系数化为1求解即可.31.【答案】解:(1)去分母得:2(x+3)=25(x−3)去括号得:2x+6=25x−75,移项、合并同类项得:−23x=−81,系数化为1,得:x=8123;(2)去分母得:3(3y−1)−12=2(5y−7),去括号得:9y−3−12=10y−14,移项、合并同类项,得−y=1,系数化为1,得:y=−1.【解析】本题主要考查了一元一次方程的求解,去分母、去括号、移项、合并同类项、化系数为1是常用的解方程方法.(1)先去分母,再去括号,移项、合并同列项,系数化为1,从而得到方程的解;(2)先去分母,再去括号,最后移项,系数化为1,从而得到方程的解.32.【答案】解:(1)y+24−1=2y−16,3(y+2)−12=2(2y−1),3y+6−12=4y−2,3y−4y=−2−6+12,−y=4,y=−4;(2)x+74−x−13=x+1,3(x+7)−4(x−1)=12x+12,3x+21−4x+4=12x+12,3x−4x−12x=12−21−4,−13x=−13,x=1.【解析】本题主要考查一元一次方程的解法.(1)先去分母,再去括号,移项,合并同类项,系数化为1即可;(2)先去分母,再去括号,移项,合并同类项,系数化为1即可.33.【答案】解:(1)3(2x+1)=5−4(x−2)6x+3=5−4x+810x=10x=1(2)2(2−x)−5(2−x)=94−2x−10+5x=93x=15x=5【解析】本题主要考查一元一次方程的解法.(1)方程去括号,移项合并,把x系数化为1,即可求出解;(2)方程去括号,移项合并,把x系数化为1,即可求出解.34.【答案】(1)解:4−2(x+4)=2(x−1)去括号得:4−2x−8=2x−2,移项得:−2x−2x=−2−4+8,合并得:−4x=2,解得x=−0.5;(2)解:13(x+7)=25−12(x−5)去分母得:10(x+7)=12−15(x−5),去括号得:10x+70=12−15x+75,移项得:10x+15x=12+75−70,合并得:25x=17,解得x=1725;(3)解:0.3x−0.40.2+2=0.5x−0.20.3整理得3x−42+2=5x−23去分母得:3(3x−4)+12=2(5x−2),去括号得:9x−12+12=10x−4,移项得:9x−10x=−4+12−12,合并得:−x=−4,解得x=4.【解析】见答案35.【答案】解:(1)2x+13−5x−16=1,2(2x+1)−(5x−1)=6,4x+2−5x+1=6,−x+3=6,x=−3.(2)1−x+23=x−12,6−2(x+2)=3(x−1),6−2x−4=3x−3,−2x+2=3x−3,−5x=−5,x=1.【解析】【分析】本题考查一元一次方程的解法,解题的关键是熟练掌握解方程的方法和步骤.(1)根据一元一次方程的解法即可求出答案.(2)根据一元一次方程的解法即可求出答案.36.【答案】解:3x+5=30−2x,3x+2x=30−5,5x=25,解得:x=5.【解析】此题主要考查了解一元一次方程,掌握解方程的方法和步骤是解题关键.直接移项、合并同类项、系数化为1解方程得出答案.37.【答案】解:(1)移项,得6x−4x=−5+7.合并同类项,得2x=2.系数化为1,得x=1.(2)移项,得12x−34x=6,合并同类项.得−14x=6.系数化为1,得x=−24.【解析】见答案38.【答案】解:x−12=2+3x42(x−1)=8+3x 2x−2=8+3x 2x−3x=8+2−x=10x=−10.【解析】本题考查了解一元一次方程,熟练掌握解一元一次方程的步骤是解题的关键.按照解一元一次方程的步骤进行计算即可.39.【答案】解:(1)去括号,得4y−60+3y=6y−77+7y,移项,得4y+3y−6y−7y=−77+60,合并同类项,得−6y=−17,.系数化为1,得y=176(2)去分母,得4(x+1)=5(x+1)−6,去括号,得4x+4=5x+5−6,移项,得4x−5x=5−6−4,合并同类项,得−x=−5,系数化为1,得x=5.【解析】见答案.40.【答案】解:(1)移项,3x−5x=−6+2,合并同类项,可得:−2x=−4,系数化为1,可得:x=2.(2)去分母,可得:3(3x+2)−2(x−5)=6,去括号,可得:9x+6−2x+10=6,移项,合并同类项,可得:7x=−10,.系数化为1,可得:x=−107【解析】此题主要考查了解一元一次方程的方法,要熟练掌握,解一元一次方程的一般步骤:去分母、去括号、移项、合并同类项、系数化为1.(1)移项、合并同类项、系数化为1,即可求出方程的解.(2)去分母、去括号、移项、合并同类项、系数化为1,即可求出方程的解.41.【答案】解:(1)去括号得:2−3x=1−x,8移项得:3x−x=2−1,8合并得:2x=15,8解得:x=15;4(2)去分母得:3(x+2)−12=2(3−2x),去括号得:3x+6−12=6−4x,移项得:3x+4x=12,合并得:7x=12,.解得:x=127【解析】见答案.42.【答案】解:移项,得x+1x=−4+3.2合并同类项,得3x=−1.2.系数化为1,得x=−23【解析】此题考查了解一元一次方程,掌握解方程的步骤是解题的关键.方程移项,合并同类项,将x系数化为1,即可求出解.43.【答案】解:(1)去括号得6x−30=−24移项得6x=−24+30合并同类项得6x=6系数化成1得x=1;(2)去括号得−2x+9=3x−6移项得−2x−3x=−6−9合并同类项得−5x=−15系数化成1得x=3;(3)去括号得7y+3y−5=y−14+6y移项得7y+3y−y−6y=5−14合并同类项得3y=−9系数化成1得y=−3,(4)去括号得3x−2x+2=2−15+6x移项得3x−2x−6x=2−15−2合并同类项得−5x=−15系数化成1得x=3【解析】此题考查了解一元一次方程,其步骤为:去分母,去括号,移项合并,将未知数系数化为1,求出解.(1)方程去括号,移项合并,将x系数化为1,即可求出解;(2)方程去括号,移项合并,将x系数化为1,即可求出解;(3)方程去括号,移项合并,将x系数化为1,即可求出解;(4)方程去括号,移项合并,将x系数化为1,即可求出解.44.【答案】解:(1)3x+3−x=13−2x+13x−x+2x=13+1−34x=11x=11 4(2)2(y+1)−4=8+2−y2y+2−4=8+2−y2y+y=8+2−2+43y=12y=4.【解析】见答案.45.【答案】解:移项得:1.3x+0.5x=0.7+6.5,整理得:1.8x=7.2,解得:x=4.【解析】此题考查了一元一次方程的解法.此题比较简单,解题的关键是掌握解一元一次方程的步骤:去分母,去括号、移项、合并同类项以及系数化为1等.根据解一元一次方程的步骤:移项合并同类项,再把系数化为1,即可求得答案;46.【答案】解:(1)4−2x=3(2−x)去括号,得4−2x=6−3x,移项,得3x−2x=6−4,合并同类项,得x=2;(2)4x+3(2−x)=12−(x−4)去括号,得4x+6−3x=12−x+4,移项,得4x−3x+x=12−6+4,合并同类项,得2x=10,系数化为1,得x=5;(3)(y−2)+1=5−2(2y−1)去括号,得y−2+1=5−4y+2,移项,得y+4y=5+2+2−1,合并同类项,得5y=8,.系数化为1,得y=85【解析】本题主要考查了一元一次方程的解法,根据等式的基本性质和解一元一次方程的步骤求解即可.(1)可先去括号,然后移项,合并同类项即可求解;(2)可先去括号,然后移项,合并同类项,系数化为1即可求解;(3)可先去括号,然后移项,合并同类项,系数化为1即可求解.47.【答案】解:(1)去分母得:4(2x−1)=3(x−3),去括号得:8x−4=3x−9,移项得:8x−3x=−9+4,合并同类项得:5x=−5,系数化为1得:x=−1;(2)去分母得:6+3(x−1)=x+2,去括号得:6+3x−3=x+2,移项得:3x−x=2−6+3,合并同类项得:2x=−1,系数化为1得:x=−0.5;(3)去分母得:10y−5(y+1)=20−2(y+2),去括号得:10y−5y−5=20−2y−4,移项得:10y−5y+2y=20−4+5,合并同类项得:7y=21,系数化为1得:y=3;(4)去分母得:18x+3(x−1)=12−2(2x−1),去括号得:18x+3x−3=12−4x+2,移项得:18x+3x+4x=12+2+3,合并同类项得:25x=17,系数化为1得:x=17;25(5)去分母得:3(3x−1)−2(5x−7)=12,去括号得:9x−3−10x+14=12,移项得:9x−10x=12−14+3,合并同类项得:−x=1,系数化为1得:x=−1;(6)去分母得:2(1−0.1x)−(x−0.1)=2.4,去括号得:2−0.2x−x+0.1=2.4,移项得:−0.2x−x=2.4−2−0.1,合并同类项得:−1.2x=0.3,系数化为1得:x=−1.4【解析】此题考查了解一元一次方程,其步骤为:去分母,去括号,移项合并,把未知数系数化为1,求出解.(1)方程去分母,去括号,移项合并,把x系数化为1,即可求出解;(2)方程去分母,去括号,移项合并,把x系数化为1,即可求出解;(3)方程去分母,去括号,移项合并,把x系数化为1,即可求出解;(4)方程去分母,去括号,移项合并,把x系数化为1,即可求出解;(5)方程去分母,去括号,移项合并,把x系数化为1,即可求出解;(6)方程去分母,去括号,移项合并,把x系数化为1,即可求出解.48.【答案】解:(1)移项,得2x+3x=20合并同类项,得5x=20系数化成1,得x=4;(2)移项,得2x+2.5x+1.5x=−6合并同类项,得6x=−6系数化成1,得x=−1;(3)移项,得2x+3x=15+5合并同类项,得5x=20系数化成1,得x=4;(4)移项,得y−1.2y=−5+3合并同类项,得−0.2y=−2,系数化成1,得y=10.【解析】本题主要考查一元一次方程的解法.其步骤为:去分母,去括号,移项,合并同类项,系数化成1,可得解.(1)方程移项,合并同类项,最后把未知数的系数化成1即可得解;(2)方程移项,合并同类项,最后把未知数的系数化成1即可得解;(3)方程移项,合并同类项,最后把未知数的系数化成1即可得解;(4)方程移项,合并同类项,最后把未知数的系数化成1即可得解.49.【答案】解:原方程可化为12[(x−1)+1−12(x−1)]=23(x−1),去中括号,得12(x−1)+12−14(x−1)=23(x−1),解得x=115.【解析】本题考查解一元一次方程,将原方程可化为12[(x−1)+1−12(x−1)]=23(x−1),再去中括号、移项、合并同类项即可求解.50.【答案】解:去括号得:2x−2=3x+3,移项得:2x−3x=3+2合并得−x=5系数化1得:x=−5.【解析】此题考查了解一元一次方程有关知识.方程去括号,移项,合并同类项,把x系数化为1,即可求出解.51.【答案】解:去分母得:10(3x+2)−20=5(2x−1)−4(2x+1),去括号得:30x+20−20=10x−5−8x−4移项得:30x−10x+8x=−5−4,合并同类项得:28x=−9,系数化1得:x=−928.【解析】此题考查解一元一次方程的解法,一般要通过去分母,去括号,移项,合并同类项,未知数的系数化为1等步骤,把一个一元一次方程“转化”成x=a的形式.先去分母,再去括号,最后移项,化系数为1,从而得到方程的解.52.【答案】解:(1)去分母(方程两边乘100),得19x=21(x−2).去括号,得19x=21x−42.移项,得19x−21x=−42.合并同类项,得−2x=−42.系数化为1,得x=21.(2)去分母(方程两边乘4),得2(x+1)−8=x.去括号,得2x+2−8=x.移项,得2x−x=8−2.合并同类项,得x=6.(3)去分母,得3(5x−1)=6(3x+1)−4(2−x).去括号,得15x−3=18x+6−8+4x.移项,得15x−18x−4x=6−8+3.合并同类项,得−7x=1..系数化为1,得x=−17(4)去分母,得10(3x+2)−20=5(2x−1)−4(2x+1).去括号,得30x+20−20=10x−5−8x−4.移项,得30x−10x+8x=−5−4−20+20.合并同类项,得28x=−9..系数化为1,得x=−928【解析】见答案53.【答案】解:(1)去分母,得8−48x=18−33x.移项,得−48x+33x=18−8.合并同类项,得−15x=10..系数化为1,得x=−23(2)移项,得0.5x+1.3x=6.5+0.7.合并同类项,得1.8x=7.2.系数化为1,得x=4.(3)去括号,得12x−1=25x−3.移项,得12x−25x=−3+1.合并同类项,得110x=−2.系数化为1,得x=−20.(4)去分母,得7(1−2x)=3(3x+1)−63.去括号,得7−14x=9x+3−63.移项、合并同类项,得−23x=−67.系数化为1,得x=6723.【解析】见答案54.【答案】解:(1)去分母,得3(3x+5)=2(2x−1).去括号,得9x+15=4x−2.移项,得9x−4x=−2−15.合并同类项,得5x=−17.系数化为1,得x=−175.(2)去分母,得−3(x−3)=3x+4.去括号,得−3x+9=3x+4.移项、合并同类项,得−6x=−5.系数化为1,得x=56.(3)去分母,得3(3y−1)−12=2(5y−7).去括号,得9y−3−12=10y−14.移项、合并同类项,得−y=1.系数化为1,得y=−1.(4)去分母,得4(5y+4)+3(y−1)=24−(5y−5).去括号,得20y+16+3y−3=24−5y+5.移项、合并同类项,得28y =16. 系数化为1,得y =47.【解析】见答案55.【答案】解:(1)−4;(2)10;(3)−6;(4)7;(5)−11;(6)5.【解析】见答案56.【答案】解:(1)1;(2)37;(3)235;(4)−23;(5)13;(6)35;(7)−94;(8)−425.【解析】见答案57.【答案】解:(1)−12;(2)0;(3)10,(4)0;(5)−7;(6)3;(7)−20;(8)78;(9)−14.8;(10)−1. 【解析】见答案58.【答案】解:(1)−11;(2)−1.【解析】见答案59.【答案】解:(1)|−12|−(−18)+(−7)+6=12+18+(−7)+6 =30+(−7)+6 =23+6=29;(2)−12−(−32)×(34−212+158) =−1+32×(34−52+138) =−1+32×34−32×52+32×138=−1+24−80+52=−5;(3)16×[1−(−3)2]÷(−13)=16×(1−9)×(−3)=16×(−8)×(−3)=4.【解析】本题考查有理数的混合运算,解答本题的关键是明确有理数混合运算的计算方法.(1)根据有理数的加减运算法则即可解答本题;(2)根据有理数的乘方和乘法分配律即可解答本题;(3)根据有理数的乘方、有理数的乘除法和减法的运算法则可以解答本题.60.【答案】解:(1)−2;(2)13;(3)6;(4)9;(5)−15;(6)4.8.【解析】见答案61.【答案】解:(1)23;(2)−10.【解析】见答案62.【答案】解:(1)(−79+56−34)×(−36)原式=−79×(−36)+56×(−36)−34×(−36)=28+(−30)+27=25;(2)−14−(1−0.5)×13×|1−(−5)2|原式=−1−12×13×|1−25|=−1−12×13×24=−1−4=−5.【解析】(1)根据乘法分配律计算即可;(2)先算乘方和括号内的式子、再算乘法、最后算减法即可.本题考查有理数的混合运算,解答本题的关键是明确有理数混合运算的运算法则和运算顺序.63.【答案】解:(1)−20;(2)0;(3)24;(4)0;(5)−8;(6)9;(7)−30;(8)100;(9)−17.6;(10)3.【解析】见答案64.【答案】解:(1)0;(2)3;(3)1.2;(4)−114.【解析】见答案65.【答案】解:(1)原式=−1−14×(2−9)=−1−14×(−7)=−1+7 4=34;(2)原式=14×12+16×12−12×12+(−8)÷(−4)=3+2−6+2=1.【解析】(1)先算乘方,再算乘法,最后算减法;如果有括号,要先做括号内的运算;(2)先算乘方,再算乘除,最后算加减;同级运算,应按从左到右的顺序进行计算,注意运用乘法分配律简便计算.本题考查了有理数的混合运算,有理数混合运算顺序:先算乘方,再算乘除,最后算加减;同级运算,应按从左到右的顺序进行计算;如果有括号,要先做括号内的运算.进行有理数的混合运算时,注意各个运算律的运用,使运算过程得到简化.66.【答案】解:(1)−0.5;(2)0;(3)−6;(4)712.【解析】见答案67.【答案】解:(1)0;(2)0;(3)3;(4)−13.【解析】见答案68.【答案】解:(1)−10;(2)−30;(3)−0.6;(4)−16.【解析】见答案69.【答案】解:(1)−5+(−6)−(−9)=−5−6+9=−2;(2)(−83)×(−58)÷19=(−83)×(−58)×9=15;(3)−32−(−2)3÷3 2=−9−(−8)×2 3=−9+16 3=−113;(4)(−43+56−78)×(−24)=−43×(−24)+56×(−24)−78×(−24)=32−20+21=33.【解析】此题主要考查了有理数的混合运算,要熟练掌握,注意明确有理数混合运算顺序:先算乘方,再算乘除,最后算加减;同级运算,应按从左到右的顺序进行计算;如果有括号,要先做括号内的运算.进行有理数的混合运算时,注意各个运算律的运用,使运算过程得到简化.(1)先将减法转化为加法,再根据有理数加法法则计算即可;(2)先将除法转化为乘法,再根据有理数乘法法则计算即可;(3)先算乘方,再算除法,最后算减法即可;(4)利用乘法分配律计算即可.70.【答案】解:(1)1;(2)−13;(3)−112;(4)−712;(5)−15;(6)35;(7)−167;(8)−3.【解析】见答案71.【答案】解:(1)0;(2)−10;(3)−30;(4)6;(5)−4;(6)−2.2;(7)−83;(8)−4.【解析】见答案72.【答案】解:(1)−2;(2)−1;(3)−10;(4)0;(5)−3;(6)−17;(7)35;(8)−4310.【解析】见答案73.【答案】(1)−3.5;(2)0;(3)−11;(4)−2.【解析】见答案74.【答案】解:(1)原式=2×(−27)+12+15=−54+12+15=−27;(2)原式=−8+(−3)×(16+2)−9÷(−2)=−8+(−3)×18+4.5 =−8−54+4.5=−57.5.【解析】本题考查的是有理数的混合运算,掌握有理数混合运算的顺序是解题关键. (1)根据有理数的运算顺序:首先计算乘方,再算乘除,最后算加减进行计算即可; (2)先算乘方,再算乘除,最后算加减,有括号先算括号里面的即可.75.【答案】解:(1)原式=−85(2)原式=−(40462022)×16×10112023=−16(3)原式=(79−38)×36=28−272=292(4)原式=713×(−23)+73×713=713×(−23+73)=3539【解析】见答案.76.【答案】解:(1)2184(2)−4080(3)625(4)20(5)−54(6)1532(7)0(8)−352【解析】见答案.77.【答案】解:(1)原式=−41(2)原式=−272(3)原式=1283【解析】见答案.78.【答案】解:(1)−3x2y+5xy2−6xy2+4−7x2y−9=−3x2y−7x2y+5xy2−6xy2+4−9=(−3−7)x2y+(5−6)xy2+(4−9)=−10x2y−xy2−5(2)a3−a2b+ab2+a2b−ab2+b3=a3−a2b+a2b+ab2−ab2+b3=a3+(−a2b+a2b)+(ab2−ab2)+b3 =a3+b3【解析】先判断同类项,再根据合并法则进行合并即可.79.【答案】解:(1)原式=−2y2+4xy.(2)原式=x2−3xy+2y2.【解析】见答案。
七年级上解方程练习题解方程是数学中的重要内容,掌握解方程的方法和技巧对于学生来说至关重要。
在七年级上学期,解方程是一个基础且必学的内容。
本文将为大家提供一些七年级上解方程练习题,帮助大家巩固和加深对解方程的理解与应用。
练习题一:一元一次方程1. 3x + 5 = 142. 2(x - 4) = 103. 1/2(3x - 6) = 94. 4 - 2x = 10 - x5. 2(5x - 3) - (x + 2) = 4(2x - 1)练习题二:一元一次方程的应用1. 某数的3倍减去5等于17,求这个数。
2. 小明的年龄比小红大9岁,两年后小红的年龄将是小明的1/2,求他们现在的年龄。
3. 某商品原价为x元,现在正在打6折促销,打折后的价格是21元,求原价x。
4. 一辆自行车先后以8km/h和15km/h的速度连续行驶了3小时,求自行车总共行驶的距离。
练习题三:一元二次方程1. x^2 + 4x - 5 = 02. 2x^2 - 3x + 1 = 03. 3x^2 + 2x - 5 = 04. 2(x^2 + 1) = 3(x + 2)练习题四:一元二次方程的应用1. 某地的长方形花坛的长是宽的2倍,花坛的面积是32平方米,求长和宽分别是多少米。
2. 甲乙两数之和为7,甲的平方加上乙的平方等于41,求甲和乙分别是多少。
3. 某商店的电视机原价为x元,现在正在打8折促销,打折后的价格是3000元,求原价x。
4. 一架飞机以360km/h的速度飞行了t小时,总飞行距离为600千米,求时间t。
练习题五:含有分式的方程1. 2/(x - 3) - 3/(x + 2) = 12. 1/(2x + 1) + 2/(3x - 1) = 33. (x + 2)/(x - 3) + (2x - 1)/(x + 4) = 24. 4/(x - 1) + 3/(x + 2) - 5/(x - 3) = 0以上是一些七年级上解方程的练习题,通过反复练习这些题目,相信大家对解方程的理解和应用能力会有较大提升。
初中数学解一元一次方程精选计算题专题训练含答案姓名:__________ 班级:__________考号:__________一、计算题(共38题)1、解方程:2、计算:.3、4、利用等式的性质解下列方程:5、解方程:6、7、 x﹣4=2﹣5x8、9、解方程: 9-10x=10-9x10、解方程:11、-2(x-1)=4.12、解关于x的方程b(a+x)-a=(2b+1)x+ab(a≠0).13、解下列方程2y+l=5y+714、 2x+4=-1215、16、-2(x-1)=4.17、 3x-7+4x=6x-218、 -19、20、 4-2(1-x)=-2x21、解方程:22、23、 5x-6=3x+224、;25、;26、用等式的性质解方程3x+1=7.27、解下列方程:12-3(9-x)=5(x-4)-7(7-x); 28、;29、y-=y+330、31、32、.33、34、;35、 ax-1=bx36、 5(x-1)-2(x+1)=3(x-1)+x+1;37、38、============参考答案============一、计算题1、 X=22、分析:,,=1.解:原式.点拨:根据零指数幂、负整数指数幂的运算规律计算即可.3、-----3分4、 x=4.5、6、解:(1)原方程可化为:……2分,解得:………4分7、移项合并得:6x=6,解得:x=1;8、 .解:(1)合并同类项,得2x=6.系数化为1,得x=3.9、解:9-10=10x-9x x=-110、11、 x=-112、解:适当去括号,得ab+bx-a=(2b+1)x+ab,移项,得bx-(2b+1)x=a+ab-ab,合并同类项,得(b-2b-1)x=a,即-(b+1)x=a,当b≠-1时,有b+1 ≠0,方程的解为x=.当b=-1 时,有b+1=0,又因为a≠0,所以方程无解.(想一想,若a=0,则如何?13、14、解:X=-815、 x=1y=-116、 x=-117、 x=518、 x= -2219、解:…………………………2分………………………………2分………………………………1分20、 4-2(1-x)=-2x解:4-2+2x=-2x2x+2x=2-4……2′4x=-2………3′x=…………4′21、22、23、 x=424、(一)解:去分母,得2x - 20 = 60 +3x-移项,得 2x-3x = 60 +20合并同类项,得- x = 80化简,得x = - 80解:移项,得合并同类项化简,得x = - 8025、解:去括号,得 4x– 4 = 2 – 6x -12移项,得 4x + 6x = 2 -12 + 4合并同类项 10x = - 6化简,得26、【考点】等式的性质.【分析】根据等式的性质,可得答案.【解答】解:方程两边都减去1,得3x+1﹣1=7﹣1,化简,得3x=6两边除以3,得x=2.【点评】本题考查了等式的性质,利用等式的性质是解题关键.27、解:去括号,合并-15+3x=12x-69,移项合并,得9x=54,解得x=6;28、;29、解:X=-2130、解: x=3Y=431、32、去分母,…………1分去括号,移项,…………2分合并,…………3分…………5分33、 t=-934、解:先把系数化为整数,得,再去分母,两边都乘以60,得,去括号,合并同类项,得,;35、当a≠b时,方程有惟一解x=;当a=b时,方程无解;36、解:∵5(x-1)-2(x+1)=3(x-1)+x+1∴3x-7 = 3x-3+x+1∴x =-537、=2;38、。
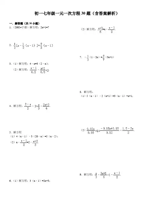
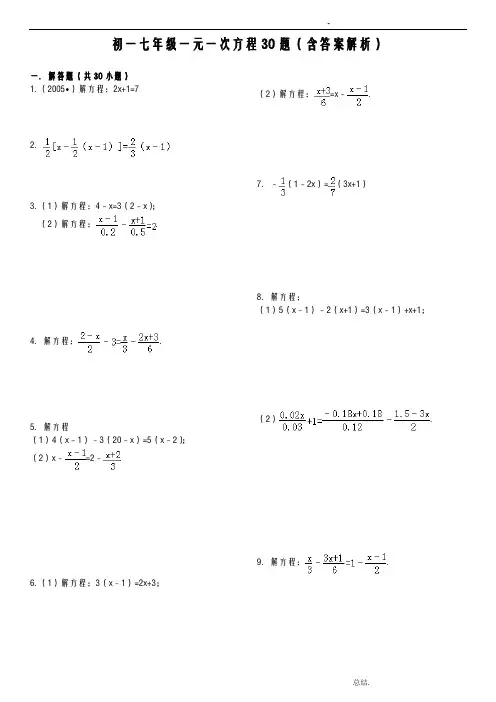
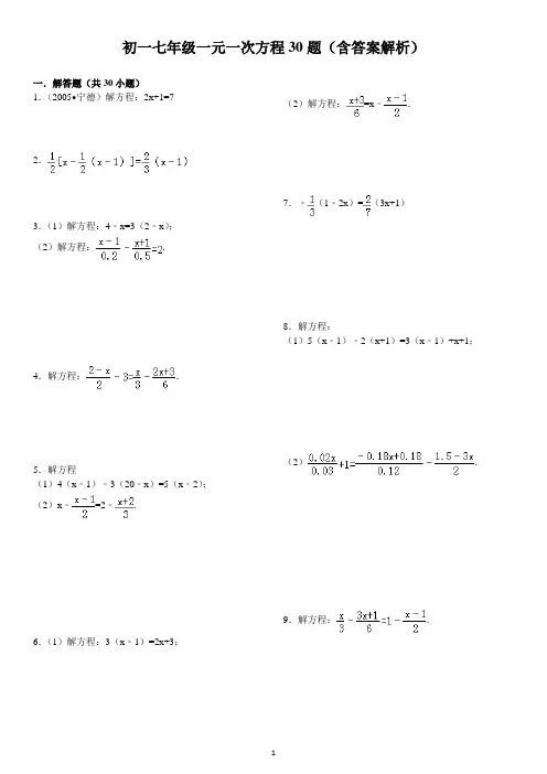
初一七年级一元一次方程30题(含答案解析)一.解答题(共30小题)1.(2005•宁德)解方程:2x+1=72.3.(1)解方程:4﹣x=3(2﹣x);(2)解方程:.4.解方程:.5.解方程(1)4(x﹣1)﹣3(20﹣x)=5(x﹣2);(2)x ﹣=2﹣.6.(1)解方程:3(x﹣1)=2x+3;(2)解方程:=x ﹣.7.﹣(1﹣2x)=(3x+1)8.解方程:(1)5(x﹣1)﹣2(x+1)=3(x﹣1)+x+1;(2).9.解方程:.10.解方程:(1)4x﹣3(4﹣x)=2;(2)(x﹣1)=2﹣(x+2).11.计算:(1)计算:(2)解方程:12.解方程:13.解方程:(1)(2)14.解方程:(1)5(2x+1)﹣2(2x﹣3)=6(2)+2(3)[3(x﹣)+]=5x ﹣115.(A类)解方程:5x﹣2=7x+8;(B类)解方程:(x﹣1)﹣(x+5)=﹣;(C类)解方程:.16.解方程(1)3(x+6)=9﹣5(1﹣2x )(2)(3)(4)17.解方程:(1)解方程:4x ﹣3(5﹣x)=13(2)解方程:x﹣﹣318.(1)计算:﹣42×+|﹣2|3×(﹣)3(2)计算:﹣12﹣|0.5﹣|÷×[﹣2﹣(﹣3)2](3)解方程:4x﹣3(5﹣x)=2;(4)解方程:.19.(1)计算:(1﹣2﹣4)×;(2)计算:÷;(3)解方程:3x+3=2x+7;(4)解方程:.20.解方程(1)﹣0.2(x﹣5)=1;(2).21.解方程:(x+3)﹣2(x﹣1)=9﹣3x.22.8x﹣3=9+5x.5x+2(3x﹣7)=9﹣4(2+x)...23.解下列方程:(1)0.5x﹣0.7=5.2﹣1.3(x﹣1);(2)=﹣2.24.解方程:(1)﹣0.5+3x=10;(2)3x+8=2x+6;(3)2x+3(x+1)=5﹣4(x﹣1);(4).25.解方程:.26.解方程:(1)10x﹣12=5x+15;(2)27.解方程:(1)8y﹣3(3y+2)=7(2).28.当k为什么数时,式子比的值少3.29.解下列方程:(I)12y﹣2.5y=7.5y+5(II).30.解方程:.6.2.4解一元一次方程(三)参考答案与试题解析一.解答题(共30小题)1.(2005•宁德)解方程:2x+1=7考点:解一元一次方程.专题:计算题;压轴题.分析:此题直接通过移项,合并同类项,系数化为1可求解.解答:解:原方程可化为:2x=7﹣1 合并得:2x=6系数化为1得:x=3点评:解一元一次方程,一般要通过去分母,去括号,移项,合并同类项,未知数的系数化为1等步骤,把一个一元一次方程“转化”成x=a的形式.2.考点:解一元一次方程.专题:计算题.分析:这是一个带分母的方程,所以要先去分母,再去括号,最后移项,化系数为1,从而得到方程的解.解答:解:左右同乘12可得:3[2x﹣(x﹣1)]=8(x﹣1),化简可得:3x+3=8x﹣8,移项可得:5x=11,解可得x=.故原方程的解为x=.点评:若是分式方程,先同分母,转化为整式方程后,再移项化简,解方程可得答案.3.(1)解方程:4﹣x=3(2﹣x);(2)解方程:.专题:计算题.分析:(1)先去括号,然后再移项、合并同类型,最后化系数为1,得出方程的解;(2)题的方程中含有分数系数,应先对各式进行化简、整理,然后再按(1)的步骤求解.解答:解:(1)去括号得:4﹣x=6﹣3x,移项得:﹣x+3x=6﹣4,合并得:2x=2,系数化为1得:x=1.(2)去分母得:5(x﹣1)﹣2(x+1)=2,去括号得:5x﹣5﹣2x﹣2=2,移项得:5x﹣2x=2+5+2,合并得:3x=9,系数化1得:x=3.点评:(1)本题易在去分母、去括号和移项中出现错误,还可能会在解题前产生害怕心理.因为看到小数、分数比较多,学生往往不知如何寻找公分母,怎样合并同类项,怎样化简,所以我们要教会学生分开进行,从而达到分解难点的效果.(2)本题的另外一个重点是教会学生对于分数的分子、分母同时扩大或缩小若干倍,值不变.这一性质在今后常会用到.4.解方程:.考点:解一元一次方程.专题:计算题.分析:此题两边都含有分数,分母不相同,如果直接通分,有一定的难度,但将方程左右同时乘以公分母6,难度就会降低.解答:解:去分母得:3(2﹣x)﹣18=2x﹣(2x+3),去括号得:6﹣3x﹣18=﹣3,移项合并得:﹣3x=9,∴x=﹣3.点评:本题易在去分母和移项中出现错误,学生往往不知如何寻找公分母,怎样合并同类项,怎样化简,所以我们要教会学生分开进行,从而达到分解难点的效果.5.解方程(1)4(x﹣1)﹣3(20﹣x)=5(x﹣2);(2)x﹣=2﹣.考点:解一元一次方程.专题:计算题.分析:(1)先去括号,再移项、合并同类项、化系数为1,从而得到方程的解;(2)先去分母,再去括号,最后移项,化系数为1,从而得到方程的解.合并得:2x=54(5分)系数化为1得:x=27;(6分)(2)去分母得:6x﹣3(x﹣1)=12﹣2(x+2)(2分)去括号得:6x﹣3x+3=12﹣2x﹣4(3分)移项得:6x﹣3x+2x=12﹣4﹣3(4分)合并得:5x=5(5分)系数化为1得:x=1.(6分)点评:去分母时,方程两端同乘各分母的最小公倍数时,不要漏乘没有分母的项,同时要把分子(如果是一个多项式)作为一个整体加上括号.去括号时要注意符号的变化.6.(1)解方程:3(x﹣1)=2x+3;(2)解方程:=x﹣.考点:解一元一次方程.专题:计算题.分析:(1)是简单的一元一次方程,通过移项,系数化为1即可得到;(2)是较为复杂的去分母,本题方程两边都含有分数系数,如果直接通分,有一定的难度,但对每一个式子先进行化简、整理为整数形式,难度就会降低.解答:解:(1)3x﹣3=2x+33x﹣2x=3+3x=6;(2)方程两边都乘以6得:x+3=6x﹣3(x﹣1)x+3=6x﹣3x+3x﹣6x+3x=3﹣3﹣2x=0∴x=0.点评:本题易在去分母、去括号和移项中出现错误,还可能会在解题前不知如何寻找公分母,怎样合并同类项,怎样化简,所以要学会分开进行,从而达到分解难点的效果.去分母时,方程两端同乘各分母的最小公倍数时,不要漏乘没有分母的项,同时要把分子(如果是一个多项式)作为一个整体加上括号.7.﹣(1﹣2x)=(3x+1)考点:解一元一次方程.专题:计算题.分析:这是一个带分母的方程,所以要先去分母,再去括号,最后移项,化系数为1,从而得到方程的解.解解:﹣7(1﹣2x)=3×2(3x+1)x=﹣.点评:解一元一次方程的一般步骤是去分母、去括号、移项、合并同类项和系数化为1.此题去分母时,方程两端同乘各分母的最小公倍数时,不要漏乘没有分母的项,同时要把分子(如果是一个多项式)作为一个整体加上括号.8.解方程:(1)5(x﹣1)﹣2(x+1)=3(x﹣1)+x+1;(2).考点:解一元一次方程.专题:计算题.分析:(1)可采用去括号,移项,合并同类项,系数化1的方式进行;(2)本题方程两边都含有分数系数,如果直接通分,有一定的难度,但对每一个式子先进行化简、整理为整数形式,难度就会降低.解答:解:(1)5(x﹣1)﹣2(x+1)=3(x﹣1)+x+13x﹣7=4x﹣2∴x=﹣5;(2)原方程可化为:去分母得:40x+60=5(18﹣18x)﹣3(15﹣30x),去括号得:40x+60=90﹣90x﹣45+90x,移项、合并得:40x=﹣15,系数化为1得:x=.点评:(1)本题易在去分母、去括号和移项中出现错误,还可能会在解题前产生害怕心理.因为看到小数、分数比较多,学生往往不知如何寻找公分母,怎样合并同类项,怎样化简,所以我们要教会学生分开进行,从而达到分解难点的效果;(2)本题的另外一个重点是教会学生对于分数的分子、分母同时扩大或缩小若干倍,值不变.这一性质在今后常会用到.9.解方程:.考点:解一元一次方程.专题:计算题.分析:这是一个带分母的方程,所以要先去项,化系数为1,从而得到方程的解.解答:解:,去分母得:2x﹣(3x+1)=6﹣3(x﹣1),去括号得:2x﹣3x﹣1=6﹣3x+3,移项、合并同类项得:2x=10,系数化为1得:x=5.点评:去分母时,方程两端同乘各分母的最小公倍数时,不要漏乘没有分母的项,同时要把分子(如果是一个多项式)作为一个整体加上括号.10.解方程:(1)4x﹣3(4﹣x)=2;(2)(x﹣1)=2﹣(x+2).考点:解一元一次方程.专题:计算题.分析:(1)先去括号,再移项,合并同类项,系数化1,即可求出方程母,再去括号,移项,合并同类项,系数化1可求出方程的解.解答:解:(1)4x﹣3(4﹣x)=2去括号,得4x﹣12+3x=2移项,合并同类项7x=14系数化1,得x=2.(2)(x﹣1)=2﹣(x+2)去分母,得5(x﹣1)=20﹣2(x+2)去括号,得5x﹣5=20﹣2x﹣4移项、合并同类项,得7x=21系数化1,得x=3.点评:(1)此题主要是去括号,移项,合并同类项,系数化1.(2)方程两边每一项都要乘各分母的最小公倍数,方程两边每一项都要乘各分母的最小公倍数,切勿漏乘不含有分母的义,一方面它是除号,另一方面它又代表着括号,所以在去分母时,应该将分子用括号括上.11.计算:(1)计算:(2)解方程:考点:解一元一次方程;有理数的混合运算.专题:计算题.分析:(1)根据有理数的混合运算法则计算:先算乘方、后算乘除、再算加减;(2)两边同时乘以最简公分母4,即可去掉分母.解答:解:(1)原式=,=,=.(2)去分母得:2(x﹣1)解得:x=3.点评:解答此题要注意:(1)去分母时最好先去中括号、再去小括号,以减少去括号带来的符号变化次数;(2)去分母就是方程两边同时乘以分母的最简公分母.12.解方程:考点:解一元一次方程.专题:计算题.分析:(1)这是一个带分母的方程,所以要先去分母,再去括号,最后移项,化系数为1,从而得到方程的解.(2)解一元一次方程的一般步骤:去分母、去括号、移项、合并同类项、化系数为1.解答:解:(1)去分母得:3(3x﹣1)+18=1﹣5x,去括号得:9x移项、合并得:14x=﹣14,系数化为1得:x=﹣1;(2)去括号得:x﹣x+1=x,移项、合并同类项得:x=﹣1,系数化为1得:x=﹣.点评:本题考查解一元一次方程,正确掌握解一元一次方程的一般步骤,注意移项要变号、去分母时“1”也要乘以最小公倍数.13.解方程:(1)(2)考点:解一元一次方程.专题:计算题.分析:(1)去分母、去括号、移项、合并同类项、化系数为1.(2)去分母、项、化系数为1.解答:(1)解:去分母得:5(3x+1)﹣2×10=3x﹣2﹣2(2x+3),去括号得:15x+5﹣20=3x﹣2﹣4x﹣6,移项得:15x+x=﹣8+15,合并得:16x=7,解得:;(2)解:,4(x﹣1)﹣18(x+1)=﹣36,4x﹣4﹣18x﹣18=﹣36,﹣14x=﹣14,x=1.点评:本题考查解一元一次方程,正确掌握解一元一次方程的一般步骤,注意移项要变号、去分母时“1”也要乘以最小公倍数.14.解方程:(1)5(2x+1)﹣2(2x﹣3)=6 (2)+2考点:解一元一次方程.专题:计算题.分析:(2)通过去括号、移项、合并同类项、系数化为1,解得x的值;(3)乘最小公倍数去分母即可;(4)主要是去括号,也可以把分数转化成整数进行计算.解答:解:(1)去括号得:10x+5﹣4x+6=6移项、合并得:6x=﹣5,方程两边都除以6,得x=﹣;(2)去分母得:3(x﹣2)=2(4﹣3x)+24,去括号得:3x﹣6=8﹣6x+24,移项、合并得:9x=38,方程两边都除以9,得x=;(3)整理得:[3(x﹣)﹣1,移项、合并得:x=0.点评:一元一次方程的解法:一般要通过去分母、去括号、移项、合并同类项、未知数的系数化为1等步骤,把一个一元一次方程“转化”成x=a的形式.解题时,要灵活运用这些步骤.15.(A类)解方程:5x﹣2=7x+8;(B类)解方程:(x﹣1)﹣(x+5)=﹣;(C类)解方程:.考点:解一元一次方程.专题:计算题.分析:通过去分母、去括号、移项、系数化为1等方法,求得各方程的解.解答:解:A类:5x﹣2=7x+8移项:5x﹣7x=8+2化简:﹣2x=10即:x=﹣5;B类:(x﹣1)﹣(x+5)去括号:x﹣﹣x﹣5=﹣化简:x=5即:x=﹣;C类:﹣=1去分母:3(4﹣x)﹣2(2x+1)=6去括号:12﹣3x﹣4x﹣2=6化简:﹣7x=﹣4即:x=.点评:本题主要考查一元一次方程的解法,比较简单,但要细心运算.16.解方程(1)3(x+6)=9﹣5(1﹣2x)(2)(3)(4)解一元一次方程.考点:计算题.专题:分(1)去括号以后,移项,合并同类项,系数化为1即可求解;解答:解:(1)去括号得:3x+18=9﹣5+10x移项得:3x﹣10x=9﹣5﹣18合并同类项得:﹣7x=﹣14则x=2;(2)去分母得:2x+1=x+3﹣5移项,合并同类项得:x=﹣3;(3)去分母得:10y+2(y+2)=20﹣5(y﹣1)去括号得:10y+2y+4=20﹣5y+5移项,合并同类项得:17y=21系数化为1得:;(4)原方程可以变形为:﹣5x=﹣1去分母得:17+20x﹣15x=﹣3移项,合并同类项得:5x=﹣20系数化为1得:x=﹣4.点评:解方程的过程中要注意每步的依据,这几个题目都是基础的题目,需要熟练掌握.17.解方程:(1)解方程:4x﹣3(5﹣x)=13(2)解方程:x﹣﹣3考点:解一元一次方程.专题:计算题.分析:(1)先去括号,再移项,化系数为1,从而得到方程的解.(2)这是一个带分母的方程,所以要先去分母,再去括号,最后移项,化系数为1,从而得到方程的解.解答:解:(1)去括号得:4x﹣15+3x=13,系数化为1得:得x=4;(2)原式变形为x+3=,去分母得:5(2x﹣5)+3(x﹣2)=15(x+3),去括号得10x﹣25+3x﹣6=15x+45,移项合并得﹣2x=76,系数化为1得:x=﹣38.点评:本题考查解一元一次方程,解一元一次方程的一般步骤是:去分母、去括号、移项、合并同类项、化系数为1.注意移项要变号.18.(1)计算:﹣42×+|﹣2|3×(﹣)3(2)计算:﹣12﹣|0.5﹣|÷×[﹣2﹣(﹣3)2](3)解方程:4x﹣3(5﹣x)=2;(4)解方程:.考点:解一元一次方程;有理数的混合运算.分析:(1)利用平定义进行计算.(2)按四则混合运算的顺序进行计算.(3)主要是去括号,移项合并.(4)两边同乘最小公倍数去分母,再求值.解答:解:(1)﹣42×+|﹣2|3×(﹣)3==﹣1﹣1=﹣2.(2)﹣12﹣|0.5﹣|÷×[﹣2﹣(﹣3)2]====.(3)解方程:4x﹣3(5﹣x)=2﹣15+3x)=2移项,得4x+3x=2+15合并同类项,得7x=17系数化为1,得.(4)解方程:去分母,得15x﹣3(x﹣2)=5(2x﹣5)﹣3×15去括号,得15x﹣3x+6=10x﹣25﹣45移项,得15x﹣3x﹣10x=﹣25﹣45﹣6合并同类项,得2x=﹣76系数化为1,得x=﹣38.点评:前两道题考查了学生有理数的混合运算,后两道考查了学生解一元一次方程的能力.19.(1)计算:(1﹣2﹣4)×;(2)计算:÷;(3)解方程:3x+3=2x+7;(4)解方程:.考点:解一元一次方程;有理数专题:计算题.分析:(1)和(2)要熟练掌握有理数的混合运算;(3)和(4)首先熟悉解一元一次方程的步骤:去分母,去括号,移项,合并同类项,系数化为1.解答:解:(1)(1﹣2﹣4)×=﹣=﹣13;(2)原式=﹣1×(﹣4﹣2)×(﹣)=6×(﹣)=﹣9;(3)解方程:3x+3=2x+7移项,得3x﹣2x=7﹣3合并同类项,得x=4;(4)解方程:去分母,得6(x+15)=15﹣10(x﹣7)去括号,得6x+90=15﹣10x+70移项,得6x+10x=15+7合并同类项,得16x=﹣5系数化为1,得x=.点评:(1)和(2)要注意符号的处理;(4)要特别注意去分母的时候不要发生数字漏乘的现象,熟练掌握去括号法则以及合并同类项法则.20.解方程(1)﹣0.2(x﹣5)=1;(2).考点:解一元一次方程.分析:(1)通过去括号、移项、系数化为1等过程,求得x的值;(2)通过去分母以及去括号、移项、系数化为1等过程,求得x的值.解答:解:(1)﹣0.2(x﹣5)=1;去括号得:﹣0.2x+1=1,∴﹣0.2x=0,∴x=0;(2).2(x﹣2)+6x=9(3x+5)﹣(1﹣2x),∴﹣21x=48,∴x=﹣.点评:此题主要考查了一元一次方程解法,解一元一次方程常见的过程有去括号、移项、系数化为1等.21.解方程:(x+3)﹣2(x﹣1)=9﹣3x.考点:解一元一次方程.专题:计算题.分析:先去括号得x+3﹣2x+2=9﹣3x,然后移项、合并同类得到2x=4,然后把x的系数化为1即可.解答:解:去括号得x+3﹣2x+2=9﹣3x,移项得x﹣2x+3x=9﹣3﹣2,合并得2x=4,系数化为1得x=2.点评:本题考查了解一元一次方程:先去分母,再去括号,接着移项,把含未知数的项移到方程左边,不项移到方程右边,然后合并同类项,最后把未知数的系数化为1得到原方程的解.22.8x﹣3=9+5x.5x+2(3x﹣7)=9﹣4(2+x)...考点:解一元一次方程.专题:方程思想.分析:本题是解4个不同的一元一次方程,第一个通过移项、合并同类项及系数化1求解.第二个先去括号再通过移项、合并同类项及系数化1求解.第三个先去分母再同第二个.第四个先分子分母乘以10,再同第三个求解.解答:8x﹣3=9+5x,解:8x﹣5x=9+3,3x=12,∴x=4.∴x=4是原方程的解;=9﹣4(2+x),解:5x+6x﹣14=9﹣8﹣4x,5x+6x+4x=9﹣8+14,15x=15,∴x=1.∴x=1是原方程的解..解:3(x﹣1)﹣2(2x+1)=12,3x﹣3﹣4x﹣2=12,3x﹣4x=12+3+2,﹣x=17,∴x=﹣17.∴x=﹣17是原方程的解.,解:,5(10x﹣3)=4(10x+1)+40,50x﹣15=40x+4+40,50x﹣40x=4+40+15,10x=59,∴x=是原方程的解.点评:此题考查的知识点是解一元一次方程,关键是注意解方程时的每一步都要认真仔细,如移项时要变符号.23.解下列方程:(1)0.5x﹣0.7=5.2﹣1.3(x ﹣1);(2)=﹣2.考点:解一元一次方程.分析:(1)首先去括号,然后移项、合并同类项,系数化成1,即可求解;(2)首先去分母,然后去括号,移项、合并同类项,系数化成1,即可求解解答:解:(1)去括号,得:0.5x﹣0.7=5.2﹣1.3x+1.3移项,得:0.5x+1.3x=5.2+1.3+0.7合并同类项,得:1.8x=7.2,则x=4;(2)去分母得:7(1﹣2x)42,去括号,得:7﹣14x=9x+3﹣42,移项,得:﹣14x﹣9x=3﹣42﹣7,合并同类项,得:﹣23x=﹣46,则x=2.点评:本题考查解一元一次方次方程的一般步骤是:去分母、去括号、移项、合并同类项、化系数为1.注意移项要变号.24.解方程:(1)﹣0.5+3x=10;(2)3x+8=2x+6;(3)2x+3(x+1)=5﹣4(x﹣1);(4).考点:解一元一次方程.分析:(1)移项,合并同类项,然后系数化成1即可求解;(2)移项,合并同类项,然后系数化成1即可求解;(3)去括号、移项,合并同类项,然后系数化成1即可求解;(4)首先去分母,然后去括号、移项,合并同类项,然后系数化成1即可求解.解答:解:(1)3x=10.5,x=3.5;2x=6﹣8,x=﹣2;(3)2x+3x+3=5﹣4x+4,2x+3x+4x=5+4﹣3,9x=6,x=;(4)2(x+1)+6=3(3x﹣2),2x+2+6=9x﹣6,2x﹣9x=﹣6﹣2﹣6,﹣7x=﹣14,x=2.点评:本题考查解一元一次方程,解一元一次方程的一般步骤是:去分母、去括号、移项、合并同类项、化系数为1.注意移项要变号.25.解方程:.考点:解一元一次方程.专题:计算题.分析:方程两边乘以10去分母后,去括号,移项合并,将x系数化为1,解答:解:去分母得:5(3x﹣1)﹣2(5x﹣6)=2,去括号得:15x﹣5﹣10x+12=2,移项合并得:5x=﹣5,解得:x=﹣1.点评:此题考查了解一元一次方程,其步骤为:去分母,去括号,移项合并,将未知数系数化为1,求出解.26.解方程:(1)10x﹣12=5x+15;(2)考点:解一元一次方程.专题:计算题.分析:(1)先移项,再合并同类项,最后化系数为1,从而得到方程的解;(2)先去括号,再移项、合并同类项,最后化系数为1,从而得到方程的解.解答:解:(1)移项,得10x﹣5x=12+15,合并同类项,得5x=27,方程的两边同时除以5,得x=;(2)去括号,得=,方程的两边同时乘以6,得x+1=4x﹣2,移项、合并同类项,得3x=3,方程的两边同时除以3,得x=1.点评:本题考查解一元一次方程,解一元一次方程的一般步骤:去分母、去括号、移项、合并同类项、化系数为1.注意移项要变号.27.解方程:(1)8y﹣3(3y+2)=7(2).考点:解一元一次方程.专题:计算题.分析:(1)根据一元一次方程的解法,去括号,移项,合并同类项,系数化为1即可得解;(2)这是一个带分母的方程,所以要先去分母,再去括号,最后移项,合并同类项,系数化为1,从而得到方程的解.解答:解:(1)去括号得,8y ﹣9y﹣6=7,移项、合并得,﹣y=13,系数化为1得,y=﹣13;(2)去分母得,3(3x﹣1)﹣12=2(5x﹣7),去括号得,9x﹣3﹣12=10x﹣14,移项得,9x ﹣10x=﹣14+3+12,合并同类项得,﹣x=1,系数化为1得,x=﹣1.点评:本题主要考查了解一元一次方程,注意在去分母时,方程两端同乘各分母的最小公倍数时,不要漏乘没有分母的项,同时要把分子(如果是一个多项式)作为一个整体加上括号.28.当k为什么数时,式子比的值少3.考点:解一元一次方程.专题:计算题.分析:先根据题意列出方程,再根据一元一次方程的解法,去分母,去括号,移项,合并同类项,系数化为1即可得解.解答:解:依题意,得=+3,去分母得,5(2k+1)=3(17﹣k)+45,去括号得,10k+5=51﹣3k+45,移项得,10k+3k=51+45﹣5,合并同类项得,13k=91,系数化为1得,k=7,∴当k=7时,式子比的值少3.点评:本题主要考查了解一元一次方程,注意在去分母时,方程两端同乘各分母的最小公倍数时,不要漏乘没有分母的项,同时要把分子(如果是一个多项式)作为一个整体加上括号.29.解下列方程:(I)12y﹣2.5y=7.5y+5(II).考点:解一元一次方程.专题:计算题.分析:(Ⅰ)根据一元一次方程的解法,移项,合并同类项,系数化为1即可得解;(Ⅱ)是一个带分母的方程,所以要先去分母,再去括号,最后移项,合并同类项,系数化为1,从而得到方程的解.解答:解:(Ⅰ)移项得,12y﹣2.5y﹣7.5y=5,合并同类项得,2y=5,系数化为1得,y=2.5;(Ⅱ)去分母得,5(x+1)﹣10=(3x﹣2)﹣2(2x+3),去括号得,5x+5﹣10=3x﹣2﹣4x﹣6,移项得,5x﹣3x+4x=﹣2﹣6﹣5+10,合并同类项得,6x=﹣3,系数化为1得,x=﹣.点评:本题主要考查了解一元一次方程,注意在去分母时,方程两端同乘各分母的最小公倍数时,不要漏乘没有分母的项,同时要把分子(如果是一个多项式)作为一个整体加上括号.30.解方程:.考点:解一元一次方程.专题:计算题.分析:由于方程的分子、分母均有小数,利用分数的基本性质,分子、分母同时扩大相同的倍数,可将小数化成整数.解答:解:原方程变形为,(3分)去分母,得3×(30x﹣11)﹣4×(40x﹣2)=2×(16﹣70x),(4分)去括号,得90x﹣33﹣160x+8=32﹣140x,(5分)移项,得90x﹣160x+140x=32+33﹣8,(6分)合并同类项,得70x=57,(7分)系数化为1,得.(8分)点评:本题考查一元一次方程的解法.解一元一次方程的一般步骤:去分母,去括号,移项,合并同类项,系数化为1.本题的难点在于方程的分子、分母均有小数,将小数化成整数不同于去分母,不是方程两边同乘一个数,而是将分子、分母同乘一个数.。
新人教版七年级一元一次解方程计算题100道经典题型全部新人教版七年级一元一次解方程计算题100道经典题型(全部)一、解方程(移项与合并同类项)20分1、x-2=3-2x2、3x-1.3x+5x-2.7x=-12×3-6×43、-x=1-2x4、5=5-3x5、x-5=16、5-3x=8x+17、7x=3+2x8、x-3x-1.2=4.8-5x9、3x-7+4x=6x-210、11x+64-2x=100-9x11、x-7+8x=9x-3-4x12、2x-x+3=1.5-2x13、0.5x-0.7=6.5-1.3x14、-4x+6x-0.5x=-0.315、-x=-x+1/516、x-6=-x+3/517、(32/23)x=1/418、x=1+2/319、(x/3)+(1/x)=2/2420、x-2x=1-(2/3)x二、解方程(去括号)30分1、2(x-1)=42、10(x-1)=53、-(x-3)=5x+94、3(x-2)+1=x-(2x-1)5、5(x+2)=2(5x-1)6、2(x-1)-(x+2)=3(4-x)7、4x+3=2(x-1)+18、(x+1)-2(x-1)=1-3x9、2(x-2)-6(4x-1)=3(1-x)10、4(x-2)-3(5x-1)=9(1-x)11、1-2(2x+3)=-3(2x+1)12、(x+1)-2(x-1)=1-3x13、4x-3(20-x)=6x-7(9-x)14、2(x-2)=-(x+3)15、2(x-4)+2x=7-(x-1)16、2x-(5x+16)=3-2(3x-4)17、-3(x-2)+1=4x-(2x-1)18、4x+2(x-2)=12-(x+4)19、2(x-2)-3(4x-1)=9(1-x)20、2(y+2)-3(4y-1)=9(1-y)21、4x-3(20-x)=6x-7(9-x)22、2{3[4(5x-1)-8]-20}-7=123、x-(x-1)=(x-1)24、(2/3)x-1/2=1/225、(2/3)x-1/2=1/426、(1/3)[(x-1)/(4/5)]-6+4=127、(x-1)^2=228、6(x-4)+2x=7-(x-1)1.232.113.解方程(去分母)50分3x-6) = x-35y-17/63 = 2x+1)/x+1 = 132x-1)(10x+1) = -364x-2)/(x+2) = 2-55x^2)/(2x-3) = 262x)/(2x+1) = -17x-10)/(x-6) = 80.1x+0.2x)/(1-0.3x) = 195-3x)/(3-5x) = 10x-3)/(2x+5) = -1.6112x+1)/(x+1) = 212y+4)/(y-2) - (y+5)/(y-2) = 2-13 y-1)/(y+2) = 2-14x-1)/(x+3) + 1 = 2-15x-1)/(x+1) = 16x-1)/(x+1) + 1 = 2-17x-2)/(x+2) = 181-x)/(x+1) - 1 = 19x-1)/(2-x) - 1 = 3-205x-13)/(x+2) - 12/(x-1) = -215x+19)/(x+2) + 11/(x-1) = -222x+1)/(x+2) - 123 = 03x+2)/(2x-1) - 1 = -243x-2/(x-2) - 5/(x+3) = 2-25x-1)/(x+2) = 2-26x-2/(3x-2) = -(2x-3) - 274x-15/x+5 = 28x-1)/(x+1) - 2x-1/(x-1) = -293x+243/(x-2)(x+3) - (2x-3)/(2x-5) + 3 = 30 2/(x+2) - 5/(x+3) = 2317x-15/13x+2 = 2-320.8-9x/1.3-3x + 5x-1 = 33x+1)/(x-4) + 2 = 3419x-2 = 351.8-8x/1.3-3x + 5x-0.4 = 36x-4/(x-3)(x-1) = x-2/x = 3738.0.1x-0.27x+0.18 = 1x+4)/(x+3) - (x-5)/(x-2) = 532/41140.-7x = 341.x = -1/242.y+1/y-1 = -y/643.x-2/(3x-2) = -144.x^2+5x-4/(2x-4) = -145.x-4/x-3 = -2.5/2.051.题目未给出具体内容,无需改写。
初一七年级一元一次方程30题(含答案解析)一.解答题(共30小题)1.(2005•)解方程:2x+1=72.3.(1)解方程:4﹣x=3(2﹣x);(2)解方程:.4.解方程:.5.解方程(1)4(x﹣1)﹣3(20﹣x)=5(x﹣2);(2)x﹣=2﹣.6.(1)解方程:3(x﹣1)=2x+3;(2)解方程:=x﹣.7.﹣(1﹣2x)=(3x+1)8.解方程:(1)5(x﹣1)﹣2(x+1)=3(x﹣1)+x+1;(2).9.解方程:.10.解方程:(1)4x﹣3(4﹣x)=2;(2)(x﹣1)=2﹣(x+2).11.计算:(1)计算:(2)解方程:12.解方程:13.解方程:(1)(2)14.解方程:(1)5(2x+1)﹣2(2x﹣3)=6 (2)+2(3)[3(x﹣)+]=5x﹣115.(A类)解方程:5x﹣2=7x+8;(B类)解方程:(x﹣1)﹣(x+5)=﹣;(C类)解方程:.16.解方程(1)3(x+6)=9﹣5(1﹣2x)(2)(3)(4)17.解方程:(1)解方程:4x﹣3(5﹣x)=13 (2)解方程:x﹣﹣3 18.(1)计算:﹣42×+|﹣2|3×(﹣)3(2)计算:﹣12﹣|0.5﹣|÷×[﹣2﹣(﹣3)2](3)解方程:4x﹣3(5﹣x)=2;(4)解方程:.19.(1)计算:(1﹣2﹣4)×;(2)计算:÷;(3)解方程:3x+3=2x+7;(4)解方程:.20.解方程(1)﹣0.2(x﹣5)=1;(2).21.解方程:(x+3)﹣2(x﹣1)=9﹣3x.22.8x﹣3=9+5x.5x+2(3x﹣7)=9﹣4(2+x)...23.解下列方程:(1)0.5x﹣0.7=5.2﹣1.3(x﹣1);(2)=﹣2.24.解方程:(1)﹣0.5+3x=10;(2)3x+8=2x+6;(3)2x+3(x+1)=5﹣4(x﹣1);(4).25.解方程:.26.解方程:(1)10x﹣12=5x+15;(2)27.解方程:(1)8y﹣3(3y+2)=7 (2).28.当k为什么数时,式子比的值少3.29.解下列方程:(I)12y﹣2.5y=7.5y+5(II).30.解方程:.6.2.4解一元一次方程(三)参考答案与试题解析一.解答题(共30小题)1.(2005•)解方程:2x+1=7考点:解一元一次方程.专题:计算题;压轴题.分析:此题直接通过移项,合并同类项,系数化为1可求解.解答:解:原方程可化为:2x=7﹣1 合并得:2x=6系数化为1得:x=3点评:解一元一次方程,一般要通过去分母,去括号,移项,合并同类项,未知数的系数化为1等步骤,把一个一元一次方程“转化”成x=a的形式.2.考点:解一元一次方程.专题:计算题.分析:这是一个带分母的方程,所以要先去分母,再去括号,最后移项,化系数为1,从而得到方程的解.解答:解:左右同乘12可得:3[2x﹣(x﹣1)]=8(x﹣1),化简可得:3x+3=8x﹣8,移项可得:5x=11,解可得x=.故原方程的解为x=.点评:若是分式方程,先同分母,转化为整式方程后,再移项化简,解方程可得答案.3.(1)解方程:4﹣x=3(2﹣x);(2)解方程:.考点:解一元一次方程.专题:计算题.分析:(1)先去括号,然后再移项、合并同类型,最后化系数为1,得出方程的解;(2)题的方程中含有分数系数,应先对各式进行化简、整理,然后再按(1)的步骤求解.解答:解:(1)去括号得:4﹣x=6﹣3x,移项得:﹣x+3x=6﹣4,合并得:2x=2,系数化为1得:x=1.(2)去分母得:5(x﹣1)﹣2(x+1)=2,去括号得:5x﹣5﹣2x﹣2=2,移项得:5x﹣2x=2+5+2,合并得:3x=9,系数化1得:x=3.点评:(1)本题易在去分母、去括号和移项中出现错误,还可能会在解题前产生害怕心理.因为看到小数、分数比较多,学生往往不知如何寻找公分母,怎样合并同类项,怎样化简,所以我们要教会学生分开进行,从而达到分解难点的效果.(2)本题的另外一个重点是教会学生对于分数的分子、分母同时扩大或缩小若干倍,值不变.这一性质在今后常会用到.4.解方程:.考点:解一元一次方程.专题:计算题.分析:此题两边都含有分数,分母不相同,如果直接通分,有一定的难度,但将方程左右同时乘以公分母6,难度就会降低.解答:解:去分母得:3(2﹣x)﹣18=2x﹣(2x+3),去括号得:6﹣3x﹣18=﹣3,移项合并得:﹣3x=9,∴x=﹣3.点评:本题易在去分母和移项中出现错误,学生往往不知如何寻找公分母,怎样合并同类项,怎样化简,所以我们要教会学生分开进行,从而达到分解难点的效果.5.解方程(1)4(x﹣1)﹣3(20﹣x)=5(x﹣2);(2)x﹣=2﹣.考点:解一元一次方程.专题:计算题.分析:(1)先去括号,再移项、合并同类项、化系数为1,从而得到方程的解;(2)先去分母,再去括号,最后移项,化系数为1,从而得到方程的解.解答:解:(1)去括号得:4x﹣4﹣60+3x=5x﹣10(2分)移项得:4x+3x﹣5x=4+60﹣10(3分)合并得:2x=54(5分)系数化为1得:x=27;(6分)(2)去分母得:6x﹣3(x﹣1)=12﹣2(x+2)(2分)去括号得:6x﹣3x+3=12﹣2x﹣4(3分)移项得:6x﹣3x+2x=12﹣4﹣3(4分)合并得:5x=5(5分)系数化为1得:x=1.(6分)点评:去分母时,方程两端同乘各分母的最小公倍数时,不要漏乘没有分母的项,同时要把分子(如果是一个多项式)作为一个整体加上括号.去括号时要注意符号的变化.6.(1)解方程:3(x﹣1)=2x+3;(2)解方程:=x﹣.考点:解一元一次方程.专题:计算题.分析:(1)是简单的一元一次方程,通过移项,系数化为1即可得到;(2)是较为复杂的去分母,本题方程两边都含有分数系数,如果直接通分,有一定的难度,但对每一个式子先进行化简、整理为整数形式,难度就会降低.解答:解:(1)3x﹣3=2x+33x﹣2x=3+3x=6;(2)方程两边都乘以6得:x+3=6x﹣3(x﹣1)x+3=6x﹣3x+3x﹣6x+3x=3﹣3﹣2x=0∴x=0.点评:本题易在去分母、去括号和移项中出现错误,还可能会在解题前不知如何寻找公分母,怎样合并同类项,怎样化简,所以要学会分开进行,从而达到分解难点的效果.去分母时,方程两端同乘各分母的最小公倍数时,不要漏乘没有分母的项,同时要把分子(如果是一个多项式)作为一个整体加上括号.7.﹣(1﹣2x)=(3x+1)考点:解一元一次方程.专题:计算题.分析:这是一个带分母的方程,所以要先去分母,再去括号,最后移项,化系数为1,从而得到方程的解.解答:解:﹣7(1﹣2x)=3×2(3x+1)﹣7+14x=18x+6﹣4x=13x=﹣.点评:解一元一次方程的一般步骤是去分母、去括号、移项、合并同类项和系数化为1.此题去分母时,方程两端同乘各分母的最小公倍数时,不要漏乘没有分母的项,同时要把分子(如果是一个多项式)作为一个整体加上括号.8.解方程:(1)5(x﹣1)﹣2(x+1)=3(x﹣1)+x+1;(2).考点:解一元一次方程.专题:计算题.分析:(1)可采用去括号,移项,合并同类项,系数化1的方式进行;(2)本题方程两边都含有分数系数,如果直接通分,有一定的难度,但对每一个式子先进行化简、整理为整数形式,难度就会降低.解答:解:(1)5(x﹣1)﹣2(x+1)=3(x﹣1)+x+13x﹣7=4x﹣2∴x=﹣5;(2)原方程可化为:去分母得:40x+60=5(18﹣18x)﹣3(15﹣30x),去括号得:40x+60=90﹣90x﹣45+90x,移项、合并得:40x=﹣15,系数化为1得:x=.点评:(1)本题易在去分母、去括号和移项中出现错误,还可能会在解题前产生害怕心理.因为看到小数、分数比较多,学生往往不知如何寻找公分母,怎样合并同类项,怎样化简,所以我们要教会学生分开进行,从而达到分解难点的效果;(2)本题的另外一个重点是教会学生对于分数的分子、分母同时扩大或缩小若干倍,值不变.这一性质在今后常会用到.9.解方程:.考点:解一元一次方程.专题:计算题.分析:这是一个带分母的方程,所以要先去分母,再去括号,最后移项,化系数为1,从而得到方程的解.解答:解:,去分母得:2x﹣(3x+1)=6﹣3(x﹣1),去括号得:2x﹣3x﹣1=6﹣3x+3,移项、合并同类项得:2x=10,系数化为1得:x=5.点评:去分母时,方程两端同乘各分母的最小公倍数时,不要漏乘没有分母的项,同时要把分子(如果是一个多项式)作为一个整体加上括号.10.解方程:(1)4x﹣3(4﹣x)=2;(2)(x﹣1)=2﹣(x+2).考点:解一元一次方程.专题:计算题.分析:(1)先去括号,再移项,合并同类项,系数化1,即可求出方程的解;(2)先去分母,再去括号,移项,合并同类项,系数化1可求出方程的解.解答:解:(1)4x﹣3(4﹣x)=2去括号,得4x﹣12+3x=2移项,合并同类项7x=14系数化1,得x=2.(2)(x﹣1)=2﹣(x+2)去分母,得5(x﹣1)=20去括号,得5x﹣5=20﹣2x﹣4移项、合并同类项,得7x=21系数化1,得x=3.点评:(1)此题主要是去括号,移项,合并同类项,系数化1.(2)方程两边每一项都要乘各分母的最小公倍数,方程两边每一项都要乘各分母的最小公倍数,切勿漏乘不含有分母的项,另外分数线有两层意义,一方面它是除号,另一方面它又代表着括号,所以在去分母时,应该将分子用括号括上.11.计算:(1)计算:(2)解方程:考点:解一元一次方程;有理数的混合运算.专题:计算题.分析:(1)根据有理数的混合减;(2)两边同时乘以最简公分母4,即可去掉分母.解答:解:(1)原式=,=,=.(2)去分母得:2(x﹣1)﹣(3x﹣1)=﹣4,解得:x=3.点评:解答此题要注意:(1)去分母时最好先去中括号、再去小括号,以减少去括号带来的符号变化次数;(2)去分母就是方程两边同时乘以分母的最简公分母.12.解方程:考点:解一元一次方程.专题:计算题.分析:(1)这是一个带分母的为1,从而得到方程的解.(2)解一元一次方程的一般步骤:去分母、去括号、移项、合并同类项、化系数为1.解答:解:(1)去分母得:3(3x﹣1)+18=1﹣5x,去括号得:9x﹣3+18=1﹣5x,移项、合并得:14x=﹣14,系数化为1得:x=﹣1;(2)去括号得:x﹣x+1=x,移项、合并同类项得:x=﹣1,系数化为1得:x=﹣.点评:本题考查解一元一次方程,正确掌握解一元一次方程的一般步骤,注意移项要变号、去分母时“1”也要乘以最小公倍数.13.解方程:(2)考点:解一元一次方程.专题:计算题.分析:(1)去分母、去括号、移项、合并同类项、化系数为1.(2)去分母、去括号、移项、合并同类项、化系数为1.解答:(1)解:去分母得:5(3x+1)﹣2×10=3x﹣2﹣2(2x+3),去括号得:15x+5﹣20=3x﹣2﹣4x﹣6,移项得:15x+x=﹣8+15,合并得:16x=7,解得:;(2)解:,4(x﹣1)﹣18(x+1)=﹣36,4x﹣4﹣18x﹣18=﹣36,﹣14x=﹣14,x=1.点评:本题考查解一元一次方程,正确掌握解一元一次项要变号、去分母时“1”也要乘以最小公倍数.14.解方程:(1)5(2x+1)﹣2(2x﹣3)=6 (2)+2(3)[3(x﹣)+]=5x﹣1考点:解一元一次方程.专题:计算题.分析:(2)通过去括号、移项、合并同类项、系数化为1,解得x的值;(3)乘最小公倍数去分母即可;(4)主要是去括号,也可以把分数转化成整数进行计算.解答:解:(1)去括号得:10x+5﹣4x+6=6移项、合并得:6x=﹣5,方程两边都除以6,得x=﹣;(2)去分母得:3(x﹣2)=2(4﹣3x)+24,去括号得:3x﹣6=8﹣6x+24,移项、合并得:9x=38,方程两边都除以9,得(3)整理得:[3(x﹣)+]=5x﹣1,4x﹣2+1=5x﹣1,移项、合并得:x=0.点评:一元一次方程的解法:一般要通过去分母、去括号、移项、合并同类项、未知数的系数化为1等步骤,把一个一元一次方程“转化”成x=a的形式.解题时,要灵活运用这些步骤.15.(A类)解方程:5x﹣2=7x+8;(B类)解方程:(x﹣1)﹣(x+5)=﹣;(C类)解方程:.考点:解一元一次方程.专题:计算题.分析:通过去分母、去括号、移项、系数化为1等方法,求得各方程的解.解答:解:A类:5x﹣2=7x+8移项:5x﹣7x=8+2化简:﹣2x=10即:x=﹣5;=﹣去括号:x﹣﹣x﹣5=﹣化简:x=5即:x=﹣;C类:﹣=1去分母:3(4﹣x)﹣2(2x+1)=6去括号:12﹣3x﹣4x﹣2=6化简:﹣7x=﹣4即:x=.点评:本题主要考查一元一次方程的解法,比较简单,但要细心运算.16.解方程(1)3(x+6)=9﹣5(1﹣2x)(2)(3)(4)考点:解一元一次方程.专题:计算题.分析:(1)去括号以后,移项,合并同类项,系数化为1即可求解;(2)(3)首先去掉分母,再去括号以后,移项,合并同类项,系数化为1以后即可求解;(4)首先根据分数的基本性质,把第一项分母中的0.3化为整数,再去分母,求解.合并同类项得:﹣7x=﹣14则x=2;(2)去分母得:2x+1=x+3﹣5移项,合并同类项得:x=﹣3;(3)去分母得:10y+2(y+2)=20﹣5(y﹣1)去括号得:10y+2y+4=20﹣5y+5移项,合并同类项得:17y=21系数化为1得:;(4)原方程可以变形为:﹣5x=﹣1去分母得:17+20x﹣15x=﹣3移项,合并同类项得:5x=﹣20系数化为1得:x=﹣4.解方程的过程中要注意每步的依据,这几个题目都是基础的题目,需要熟练掌握.点评:17.解方程:(1)解方程:4x﹣3(5﹣x)=13(2)解方程:x﹣﹣3考点:解一元一次方程.专题:计算题.分析:(1)先去括号,再移项,化系数为1,从而得到方程的解.(2)这是一个带分母的方程,所以要先去分母,再去括号,最后移项,化系数为1,从而得到方程的解.解答:解:(1)去括号得:4x﹣15+3x=13,移项合并得:7x=28,系数化为1得:得x=4;(2)原式变形为,去分母得:5(2x﹣5)+3(x﹣2)=15(x+3),去括号得10x﹣25+3x﹣6=15x+45,移项合并得﹣2x=76,系数化为1得:x=﹣38.点评:本题考查解一元一次方程,解一元一次方程的一般步骤是:去分母、去括号、移项、合并同类项、化系数为1.注意移项要变号.18.(1)计算:﹣42×+|﹣2|3×(﹣)3(2)计算:﹣12﹣|0.5﹣|÷×[﹣2﹣(﹣3)2] (3)解方程:4x﹣3(5﹣x)=2;(4)解方程:.考点:解一元一次方程;有理数的混合运算.分析:(1)利用平方和立方的定义进行计算.(2)按四则混合运算的顺序进行计算.(3)主要是(4)两边同乘最小公倍数去分母,再求值.解答:解:(1)﹣42×+|﹣2|3×(﹣)3==﹣1﹣1=﹣2.(2)﹣12﹣|0.5﹣|÷×[﹣2﹣(﹣3)2]====.(3)解方程:4x﹣3(5﹣x)=2去括号,得4x﹣15+3x)=2移项,得4x+3x=2+15合并同类项,得7x=17系数化为1,去分母,得15x﹣3(x﹣2)=5(2x﹣5)﹣3×15去括号,得15x﹣3x+6=10x﹣25﹣45移项,得15x﹣3x﹣10x=﹣25﹣45﹣6合并同类项,得2x=﹣76系数化为1,得x=﹣38.点评:前两道题考查了学生有理数的混合运算,后两道考查了学生解一元一次方程的能力.19.(1)计算:(1﹣2﹣4)×;(2)计算:÷;(3)解方程:3x+3=2x+7;(4)解方程:.考点:解一元一次方程;有理数的混合运算.专题:计算题.分析:(1)和(2)要熟练掌握有理数的混合运算;(3)和(4)首先熟悉解一元一次方程的步骤:去分母,去括号,移项,合并同类项,系数化为1.解答:解:(1)(1﹣2﹣4)×=﹣=﹣13;(2)原式=﹣1×(﹣4﹣2)×(﹣)=6×(﹣)=﹣9;(3)解方程:3x+3=2x+7移项,得3x﹣2x=7﹣3合并同类项,得x=4;(4)解方程:去分母,得6(x+15)=15﹣10(x﹣7)去括号,得6x+90=15﹣10x+70移项,得6x+10x=15+70﹣90合并同类项,得16x=﹣5系数化为1,得x=.点评:(1)和(2)要注意符号的处理;(4)要特别注意去分母的时候不要发生数字漏乘的现象,熟练掌握去括号法则以及合并同类项法则.20.解方程(1)﹣0.2(x﹣5)=1;(2).考点:解一元一次方程.分析:(1)通过去括号、移项、系数化为1等过程,求得x的值;(2)通过去分母以及去括号、移项、系数化为1等过程,求得x的值.解答:解:(1)﹣0.2(x﹣5)=1;去括号得:﹣0.2x+1=1,∴﹣0.2x=0,∴x=0;(2).去分母得:2(x﹣2)+6x=9(3x+5)﹣(1﹣2x),∴﹣21x=48,∴x=﹣.点评:此题主要考查了一元一次方程解法,解一元一次方程常见的过程有去括号、移项、系数化为1等.21.解方程:(x+3)﹣2(x﹣1)=9﹣3x.考点:解一元一次方程.专题:计算题.分析:先去括号得﹣3x,然后移项、合并同类得到2x=4,然后把x的系数化为1即可.解答:解:去括号得x+3﹣2x+2=9﹣3x,移项得x﹣2x+3x=9﹣3﹣2,合并得2x=4,系数化为1得x=2.点评:本题考查了解一元一次方程:先去分母,再去括号,接着移项,把含未知数的项移到方程左边,不含未知数的项移到方程右边,然后合并同类项,最后把未知数的系数化为1得到原方程的解.22.8x﹣3=9+5x.5x+2(3x﹣7)=9﹣4(2+x)...考点:解一元一次方程.专题:方程思想.分析:本题是解4个不同的一元一次方程,第一个通过移项、合并同类项及系数化1求解.第二个通过移项、合并同类项及系数化1求解.第三个先去分母再同第二个.第四个先分子分母乘以10,再同第三个求解.解答:8x﹣3=9+5x,解:8x﹣5x=9+3,3x=12,∴x=4.∴x=4是原方程的解;5x+2(3x﹣7)=9﹣4(2+x),解:5x+6x﹣14=9﹣8﹣4x,5x+6x+4x=9﹣8+14,15x=15,∴x=1.∴x=1是原方程的解..解:3(x﹣1)﹣2(2x+1)=12,3x﹣3﹣4x﹣2=12,3x﹣4x=12+3+2,﹣x=17,∴x=﹣17.∴x=﹣17是原方程的解.,解:,5(10x﹣3)=4(10x+1)+40,50x﹣15=40x+4+40,50x﹣40x=4+40+15,10x=59,∴x=.∴x=是原方程的解.点评:此题考查的知识点是解一元一次方程,关键是注意解方程时的每一步都要认真仔细,如移项时要变符号.23.解下列方程:(1)0.5x﹣0.7=5.2﹣1.3(x﹣1);(2)=﹣2.考点:解一元一次方程.分析:(1)首先去括号,然后移项、合并同类项,系数化成1,即可求解;(2)首先去分母,然后去括号,移项、合并同类项,系数化成1,即可求解解答:解:(1)去括号,得:0.5x ﹣0.7=5.2﹣1.3x+1.3移项,得:0.5x+1.3x=5.2+1.3+0.7合并同类项,得:1.8x=7.2,则x=4;(2)去分母得:7(1﹣2x)=3(3x+1)﹣42,去括号,得:7﹣14x=9x+3﹣42,移项,得:﹣14x﹣9x=3﹣42﹣7,合并同类项,得:﹣23x=﹣46,则x=2.点评:本题考查解一元一次方程,解一元一次方程的一般步骤是:去分母、去括号、移项、合并同类项、化系数为1.注意移项要变号.24.解方程:(1)﹣0.5+3x=10;(2)3x+8=2x+6;(3)2x+3(x+1)=5﹣4(x﹣1);(4).考点:解一元一次方程.分析:(1)移项,合并同类项,然后系数化成1即可求解;(2)移项,合并同类项,然后系数化成1即可求解;(3)去括号、移项,合并同类项,然后系数化成1即可求解;(4)首先去分母,然后去括号、移项,合并同类项,然后系数化成1即可求解.解答:解:(1)3x=10.5,x=3.5;(2)3x﹣2x=6﹣8,x=﹣2;(3)2x+3x+3=5﹣4x+4,2x+3x+4x=5+4﹣3,9x=6,x=;(4)2(x+1)+6=3(3x﹣2),2x+2+6=9x﹣6,2x﹣9x=﹣6﹣2﹣6,﹣7x=﹣14,x=2.点评:本题考查解一元一次方程,解一元一次方程的一般步骤是:去分母、去括号、移项、合并同类项、化系数为1.注意移项要变号.25.解方程:.考点:解一元一次方程.专题:计算题.分析:方程两边乘以10去分母后,去括号,移项合并,将x系数化为1,即可求出解.解答:解:去分母得:5(3x﹣1)﹣2(5x﹣6)=2,去括号得:15x﹣5﹣10x+12=2,移项合并得:5x=﹣5,解得:x=﹣1.点评:此题考查了解一元一次方程,其步骤为:去分母,去括号,移项合并,将未知数系数化为1,求出解.26.解方程:(1)10x﹣12=5x+15;(2)考点:解一元一次方程.专题:计算题.分析:(1)先移项,再合并同类项,最后化系数为1,从而得到方程的解;(2)先去括号,再移项、合并同类项,最后化系数为1,从而得到方程的解.解答:解:(1)移项,得10x﹣5x=12+15,合并同类项,得5x=27,方程的两边同时除以5,得x=;(2)去括号,得=,方程的两边同时乘以6,得x+1=4x﹣2,移项、合并同类项,得3x=3,方程的两边同时除以3,得x=1.点评:本题考查解一元一次方程,解一元一次方程的一般步骤:去分母、去括号、移项、合并同类项、化系数为1.注意移项要变号.27.解方程:(1)8y﹣3(3y+2)=7 (2).考点:解一元一次方程.专题:计算题.分析:(1)根据一元一次方程的解法,去括号,移项,合并同类项,系数化为1即可得解;(2)这是一个带分母的方程,所以要先去分母,再去括号,最后移项,合并同类项,系数化为1,从而得到方程的解.解答:解:(1)去括号得,8y﹣9y﹣6=7,移项、合并得,﹣y=13,系数化为1得,y=﹣13;(2)去分母得,3(3x﹣1)﹣12=2(5x﹣7),去括号得,9x﹣3﹣12=10x﹣14,移项得,9x﹣10x=﹣14+3+12,合并同类项得,﹣x=1,系数化为1得,x=﹣1.点评:本题主要考查了解一元一次方程,注意在去分母时,方程两端同乘各分母的最小公倍数时,不要漏乘没有分母的项,同时要把分子(如果是一个多项式)作为一个整体加上括号.28.当k为什么数时,式子比的值少3.考点:解一元一次方程.专题:计算题.分析:先根据题意列出方程,再根据一元一次方程的解法,去分母,去括号,移项,合并同类项,系数化为1即可得解.解答:解:依题意,得=+3,去分母得,5(2k+1)=3(17﹣k)+45,去括号得,10k+5=51﹣3k+45,移项得,10k+3k=51+45﹣5,合并同类项得,13k=91,系数化为1得,k=7,∴当k=7时,式子比的值少3.点评:本题主要考查了解一元一次方程,注意在去分母时,方程两端同乘各分母的最小公倍数时,不要漏乘没有分母的项,同时要把分子(如果是一个多项式)作为一个整体加上括号.29.解下列方程:(I)12y﹣2.5y=7.5y+5(II).考点:解一元一次方程.专题:计算题.分析:(Ⅰ)根据一元一次方程的解法,移项,合并同类项,系数化为1即可得解;(Ⅱ)是一个带分母的方程,所以要先去分母,再去括号,最后移项,合并同类项,系数化为1,从而得到方程的解.解答:解:(Ⅰ)移项得,12y﹣2.5y﹣7.5y=5,合并同类项得,2y=5,系数化为1得,y=2.5;(Ⅱ)去分母得,5(x+1)﹣10=(3x﹣2)﹣2(2x+3),去括号得,5x+5﹣10=3x﹣2﹣4x﹣6,移项得,5x﹣3x+4x=﹣2﹣6﹣5+10,合并同类项得,6x=﹣3,系数化为1得,x=﹣.点评:本题主要考查了解一元一次方程,注意在去分母时,方程两端同乘各分母的最小公倍数时,不要漏乘没有分母的项,同时要把分子(如果是一个多项式)作为一个整体加上括号.30.解方程:.考点:解一元一次方程.专题:计算题.分析:由于方程的分子、分母均有小数,利用分数的基本性质,分子、分母同时扩大相同的倍数,可将小数化成整数.解答:解:原方程变形为-,(3分)去分母,得3×(30x﹣11)﹣4×(40x﹣2)=2×(16﹣70x),(4分)去括号,得90x﹣33﹣160x+8=32﹣140x,(5分)移项,得90x﹣160x+140x=32+33﹣8,(6分)合并同类项,得70x=57,(7分)系数化为1,得.(8分)点评:本题考查一元一次方程的解法.解一元一次方程的一般步骤:去分母,去括号,移项,合并同类项,系数化为1.本题的难点在于方程的分子、分母均有小数,将小数化成整数不同于去分母,不是方程两边同乘一个数,而是将分子、分母同乘一个数.总结.。
七年级解方程的计算题引言解方程是数学中的基本概念,也是数学学习中的重要内容。
在七年级的数学课上,解方程是一个非常重要的知识点。
通过解方程,学生可以培养逻辑思维能力、分析问题的能力和解决问题的能力。
本文将给出一些七年级解方程的计算题,帮助学生巩固和提高解方程的能力。
一元一次方程计算题1.某正整数的十分之一加上它本身等于14,求这个正整数是多少?解:设正整数为x,根据题意可得方程:x/10 + x = 14。
做如下运算:x/10 + x = 14 (10x + x) / 10 = 14 11x / 10 = 14 11x = 14 * 10 x = 140 /11 x ≈ 12.727所以,这个正整数约等于12.727。
2.一只包含红球和白球的盒子中,红球的个数是白球的2倍加3,盒子共有15个球,求白球的个数。
解:设白球的个数为x,根据题意可得方程:2x + 3 + x = 15。
做如下运算:2x + 3 + x = 15 3x + 3 = 15 3x = 12 x = 12 / 3 x = 4所以,白球的个数为4。
3.酒精浓度为35%的溶液100毫升,需要加入多少毫升的水,使得酒精浓度变为20%?解:设需要加入的水的毫升数为x,根据题意可得方程:35% * 100 = 20% * (100 + x)。
做如下运算:35% * 100 = 20% * (100 + x) 0.35 * 100 = 0.2 * (100 + x) 35 = 20 +0.2x 0.2x = 35 - 20 0.2x = 15 x = 15 / 0.2 x = 75所以,需要加入75毫升的水。
两个未知数的一元一次方程计算题1.某两个数的和是14,两者的差是8,求这两个数分别是多少?解:设两个数分别为x和y,根据题意可得以下两个方程:x + y = 14 (方程1) x - y = 8 (方程2)可以通过联立或代入的方法求解,这里使用代入法:将方程1中的x表示为y + 8,代入方程2得:(y + 8) - y = 8 2y + 8 - y = 8 y + 8 = 8 y = 0将y = 0代入方程1得:x + 0 = 14 x = 14所以,这两个数分别是14和0。
解方程练习题100道题带答案一、一元一次方程1. 解方程:2x + 3 = 7解:首先将常数项移到方程的右边,得到2x = 7 - 3然后将系数移到方程的右边,得到x = (7 - 3) / 2所以x = 22. 解方程:5x - 1 = 19解:首先将常数项移到方程的右边,得到5x = 19 + 1然后将系数移到方程的右边,得到x = (19 + 1) / 5所以x = 43. 解方程:3(x + 2) = 15解:首先将括号内的表达式展开,得到3x + 6 = 15然后将常数项移到方程的右边,得到3x = 15 - 6最后将系数移到方程的右边,得到x = (15 - 6) / 3所以x = 34. 解方程:2(3x - 1) = 10解:首先将括号内的表达式展开,得到6x - 2 = 10然后将常数项移到方程的右边,得到6x = 10 + 2最后将系数移到方程的右边,得到x = (10 + 2) / 6所以x = 25. 解方程:4(x + 3) - 2(x - 4) = 14解:首先将括号内的表达式展开,得到4x + 12 - 2x + 8 = 14然后将常数项移到方程的右边,得到4x - 2x = 14 - 12 - 8最后将系数移到方程的右边,得到2x = -6所以x = -3二、一元二次方程6. 解方程:x^2 + 2x + 1 = 0解:这是一个完全平方的形式,可以直接写成(x + 1)^2 = 0所以x + 1 = 0,即x = -17. 解方程:2x^2 - 5x + 2 = 0解:可以使用因式分解法或配方法来解这个方程。
因式分解法:需要找到两个数的乘积为2,同时它们的和为-5,经过计算得到-1和-2满足条件。
所以可以将方程写成(2x - 1)(x - 2) = 0这样得出两个解:2x - 1 = 0,即x = 1/2;x - 2 = 0,即x = 28. 解方程:3x^2 + 7x - 6 = 0解:可以使用因式分解法或配方法来解这个方程。
七年级解方程计算题及答案一、一步方程题目一解方程:2x + 5 = 17解答一我们要解决方程2x + 5 = 17。
首先,我们会观察到方程中只有一个未知数x,并且x前面的系数是2。
为了消去常数5,我们将方程两边都减去5,得到方程2x = 12。
现在,我们只需要消去x前面的系数2。
为了实现这一目标,我们可以将方程两边都除以2,得到方程x = 6。
因此,方程2x + 5 = 17的解为x = 6。
题目二解方程:3y - 7 = 14解答二我们要解决方程3y - 7 = 14。
根据方程我们可以发现,方程中只有一个未知数y,并且y前面的系数是3。
为了去掉常数-7,我们将方程两边都加上7,得到方程3y = 21。
现在,我们只需要消去y前面的系数3。
为了实现这一目标,我们可以将方程两边都除以3,得到方程y = 7。
因此,方程3y - 7 = 14的解为y = 7。
二、两步方程题目三解方程:2x + 3 = 5x - 4解答三我们要解决方程2x + 3 = 5x - 4。
首先,我们要将方程中的x项移到一边,将常数项移到另一边。
为了实现这一目标,我们可以将方程两边都减去2x,并且将方程两边都加上4,得到方程7 = 3x。
现在,我们只需要消去x前面的系数3。
为了实现这一目标,我们可以将方程两边都除以3,得到方程x = 7/3。
因此,方程2x + 3 = 5x - 4的解为x = 7/3。
题目四解方程:4y + 2 = 3(y - 1)解答四我们要解决方程4y + 2 = 3(y - 1)。
首先,我们要将方程中的y项展开,化简方程。
为了实现这一目标,我们可以将方程右边的3(y - 1)乘以3,得到方程4y + 2 = 3y - 3。
然后,我们将方程两边都减去3y,得到方程y + 2 = -3。
现在,我们可以将方程两边都减去2,得到方程y = -5。
因此,方程4y + 2 = 3(y - 1)的解为y = -5。
三、多项式方程题目五解方程:2x^2 + 3x - 2 = 0解答五我们要解决方程2x^2 + 3x - 2 = 0。
初一七年级一元一次方程30题(含答案解析)一.解答题(共30小题)1.(2005•宁德)解方程:2x+1=72.3.(1)解方程:4﹣x=3(2﹣x);(2)解方程:.4.解方程:.5.解方程(1)4(x﹣1)﹣3(20﹣x)=5(x﹣2);(2)x ﹣=2﹣.6.(1)解方程:3(x﹣1)=2x+3;(2)解方程:=x ﹣.7.﹣(1﹣2x)=(3x+1)8.解方程:(1)5(x﹣1)﹣2(x+1)=3(x﹣1)+x+1;(2).9.解方程:.10.解方程:(1)4x﹣3(4﹣x)=2;(2)(x﹣1)=2﹣(x+2).11.计算:(1)计算:(2)解方程:12.解方程:13.解方程:(1)(2)14.解方程:(1)5(2x+1)﹣2(2x﹣3)=6 (2)+2(3)[3(x ﹣)+]=5x﹣115.(A类)解方程:5x﹣2=7x+8;(B 类)解方程:(x﹣1)﹣(x+5)=﹣;(C 类)解方程:.16.解方程(2)(3)(4)17.解方程:(1)解方程:4x﹣3(5﹣x)=13 (2)解方程:x ﹣﹣3 18.(1)计算:﹣42×+|﹣2|3×(﹣)3(2)计算:﹣12﹣|0.5﹣|÷×[﹣2﹣(﹣3)2](3)解方程:4x﹣3(5﹣x)=2;(4)解方程:.19.(1)计算:(1﹣2﹣4)×;(2)计算:÷;(3)解方程:3x+3=2x+7;(4)解方程:.20.解方程(1)﹣0.2(x﹣5)=1;(2).21.解方程:(x+3)﹣2(x﹣1)=9﹣3x.22.8x﹣3=9+5x.5x+2(3x﹣7)=9﹣4(2+x)...23.解下列方程:(1)0.5x﹣0.7=5.2﹣1.3(x﹣1);(2)=﹣2.24.解方程:(1)﹣0.5+3x=10;(2)3x+8=2x+6;(3)2x+3(x+1)=5﹣4(x﹣1);(4).25.解方程:.26.解方程:(1)10x﹣12=5x+15;(2)27.解方程:(1)8y﹣3(3y+2)=7(2).28.当k 为什么数时,式子比的值少3.29.解下列方程:(I)12y﹣2.5y=7.5y+5(II ).30.解方程:.6.2.4解一元一次方程(三)参考答案与试题解析一.解答题(共30小题)1.(2005•宁德)解方程:2x+1=7考点:解一元一次方程.专题:计算题;压轴题.分析:此题直接通过移项,合并同类项,系数化为1可求解.解答:解:原方程可化为:2x=7﹣1合并得:2x=6系数化为1得:x=3点评:解一元一次方程,一般要通过去分母,去括号,移项,合并同类项,未知数的系数化为1等步骤,把一个一元一次方程“转化”成x=a的形式.2.考点:解一元一次方程.专题:计算题.分析:这是一个带分母的方程,所以要先去分母,再去括号,最后移项,化系数为1,从而得到方程的解.解答:解:左右同乘12可得:3[2x﹣(x﹣1)]=8(x﹣1),化简可得:3x+3=8x﹣8,移项可得:5x=11,解可得x=.故原方程的解为x=.点评:若是分式方程,先同分母,转化为整式方程后,再移项化简,解方程可得答案.3.(1)解方程:4﹣x=3(2﹣x);(2)解方程:.考点:解一元一次方程.专题:计算题.分析:(1)先去括号,然后再移项、合并同类型,最后化系数为1,得出方程的解;(2)题的方程中含有分数系数,应先对各式进行化简、整理,然后再按(1)的步骤求解.解答:解:(1)去括号得:4﹣x=6﹣3x,移项得:﹣x+3x=6﹣4,合并得:2x=2,系数化为1得:x=1.(2)去分母得:5(x﹣1)﹣2(x+1)=2,去括号得:5x﹣5﹣2x﹣2=2,移项得:5x﹣2x=2+5+2,合并得:3x=9,系数化1得:x=3.点评:(1)本题易在去分母、去括号和移项中出现错误,还可能会在解题前产生害怕心理.因为看到小数、分数比较多,学生往往不知如何寻找公分母,怎样合并同类项,怎样化简,所以我们要教会学生分开进行,从而达到分解难点的效果.(2)本题的另外一个重点是教会学生对于分数的分子、分母同时扩大或缩小若干倍,值不变.这一性质在4.解方程:.考点:解一元一次方程.专题:计算题.分析:此题两边都含有分数,分母不相同,如果直接通分,有一定的难度,但将方程左右同时乘以公分母6,难度就会降低.解答:解:去分母得:3(2﹣x)﹣18=2x﹣(2x+3),去括号得:6﹣3x﹣18=﹣3,移项合并得:﹣3x=9,∴x=﹣3.点评:本题易在去分母和移项中出现错误,学生往往不知如何寻找公分母,怎样合并同类项,怎样化简,所以我们要教会学生分开进行,从而达到分解难点的效果.5.解方程(1)4(x﹣1)﹣3(20﹣x)=5(x﹣2);(2)x﹣=2﹣.考点:解一元一次方程.专题:计算题.分析:(1)先去括号,再移项、合并同类项、化系数为1,从而得到方程的解;(2)先去分母,再去括号,最后移项,化系数为1,从而得到方程的解.解答:解:(1)去括号得:4x﹣4﹣60+3x=5x﹣10(2分)移项得:4x+3x﹣5x=4+60﹣10(3分)合并得:2x=54(5分)系数化为1得:x=27;(6分)(2)去分母得:6x﹣3(x﹣1)=12﹣2(x+2)(2分)去括号得:6x﹣3x+3=12﹣2x﹣4(3分)移项得:6x﹣3x+2x=12﹣4﹣3(4分)合并得:5x=5(5分)系数化为1得:x=1.(6分)点评:去分母时,方程两端同乘各分母的最小公倍数时,不要漏乘没有分母的项,同时要把分子(如果是一个多项式)作为一个整体加上括号.去括号时要注意符号的变化.6.(1)解方程:3(x﹣1)=2x+3;(2)解方程:=x﹣.考点:解一元一次方程.专题:计算题.分析:(1)是简单的一元一次方程,通过移项,系数化为1即可得到;(2)是较为复杂的去分母,本题方程两边都含有分数系数,如果直接通分,有一定的难度,但对每一个式子先进行化简、整理为整数形式,难度就会降低.解答:解:(1)3x﹣3=2x+33x﹣2x=3+3x=6;x+3=6x﹣3x+3x﹣6x+3x=3﹣3﹣2x=0∴x=0.点评:本题易在去分母、去括号和移项中出现错误,还可能会在解题前不知如何寻找公分母,怎样合并同类项,怎样化简,所以要学会分开进行,从而达到分解难点的效果.去分母时,方程两端同乘各分母的最小公倍数时,不要漏乘没有分母的项,同时要把分子(如果是一个多项式)作为一个整体加上括号.7.﹣(1﹣2x)=(3x+1)考点:解一元一次方程.专题:计算题.分析:这是一个带分母的方程,所以要先去分母,再去括号,最后移项,化系数为1,从而得到方程的解.解答:解:﹣7(1﹣2x)=3×2(3x+1)﹣7+14x=18x+6﹣4x=13x=﹣.点评:解一元一次方程的一般步骤是去分母、去括号、移项、合并同类项和系数化为1.此题去分母时,方程两端同乘各分母的最小公倍数时,不要漏乘没有分母的项,同时要把分子(如果是一个多项式)作为一个整体加上括号.8.解方程:(1)5(x﹣1)﹣2(x+1)=3(x﹣1)+x+1;(2).考点:解一元一次方程.专题:计算题.分析:(1)可采用去括号,移项,合并同类项,系数化1的方式进行;(2)本题方程两边都含有分数系数,如果直接通分,有一定的难度,但对每一个式子先进行化简、整理为整数形式,难度就会降低.解答:解:(1)5(x﹣1)﹣2(x+1)=3(x﹣1)+x+13x﹣7=4x﹣2∴x=﹣5;(2)原方程可化为:去分母得:40x+60=5(18﹣18x)﹣3(15﹣30x),去括号得:40x+60=90﹣90x﹣45+90x,移项、合并得:40x=﹣15,系数化为1得:x=.点评:(1)本题易在去分母、去括号和移项中出现错误,还可能会在解题前产生害怕心理.因为看到小数、分数比较多,学生往往不知如何寻找公分母,怎样合并同类项,怎样化简,所以我们要教会学生分开进行,从而达到分解难点的效果;(2)本题的另外一个重点是教会学生对于分数的分子、分母同时扩大或缩小若干倍,值不变.这一性质在今后常会用到.9.解方程:.考点:解一元一次方程.专题:计算题.分析:这是一个带分母的方程,所以要先去分母,再去括号,最后移项,化系数为1,从而得到方程的解.解答:解:,去分母得:2x﹣(3x+1)=6﹣3(x﹣1),去括号得:2x﹣3x﹣1=6﹣3x+3,移项、合并同类项得:2x=10,系数化为1得:x=5.点评:去分母时,方程两端同乘各分母的最小公倍数时,不要漏乘没有分母的项,同时要把分子(如果是一个多项式)作为一个整体加上括号.10.解方程:(1)4x﹣3(4﹣x)=2;(2)(x﹣1)=2﹣(x+2).考点:解一元一次方程.专题:计算题.分析:(1)先去括号,再移项,合并同即可求出方程的解;(2)先去分母,再去括号,移项,合并同类项,系数化1可求出方程的解.解答:解:(1)4x﹣3(4﹣x)=2去括号,得4x﹣12+3x=2移项,合并同类项7x=14系数化1,得x=2.(2)(x﹣1)=2﹣(x+2)去分母,得5(x﹣1)=20﹣2(x+2)去括号,得5x﹣5=20﹣2x﹣4移项、合并同类项,得7x=21系数化1,得x=3.点评:(1)此题主要是去括号,移项,合并同类项,系数化1.(2)方程两边每一项都要乘各分母的最小公倍数,方程两边每一项都要乘各分母的最小公倍数,切勿漏乘不含有分母的项,另外分数线有两层意义,一方面它是除号,另一方面它又代表着括号,所以在去分母时,应该将分子用括号括上.11.计算:(1)计算:(2)解方程:考点:解一元一次方程;有理数的混合运算.专题:计算题.分析:(1)根据有理数的混合运算法则计算:先算乘方、后算乘除、再算加减;(2)两边同时乘以最简公分母4,即可去掉分母.解答:解:(1)原式=,=,=.(2)去分母得:2(x﹣1)﹣(3x﹣1)=﹣4,解得:x=3.点评:解答此题要注意:(1)去分母时最好先去中括号、再去小括号,以减少去括号带来的符号变化次数;(2)去分母就是方程两边同时乘以分母的最简公分母.12.解方程:考点:解一元一次方程.专题:计算题.分析:(1)这是一个带分母的方程,所以要先去分母,再去括号,最后移项,化系数为1,从而得到方程的解.(2)解一元一次方程的一般步骤:去分母、去括号、移项、合并同类项、化系数为1.解答:解:(1)去分母得:3(3x﹣1)+18=1﹣5x,去括号得:9x﹣3+18=1﹣5x,移项、合并得:14x=﹣14,系数化为1得:x=﹣1;(2)去括号得:x﹣x+1=x,移项、合并同类项得:x=﹣1,系数化为1得:x=﹣.点评:本题考查解一元一次方程,正确掌握解一元一次方程的一般步骤,注意移项要变号、去分母时“1”也要乘以最小公倍数.13.解方程:(1)(2)考点:解一元一次方程.专题:计算题.分析:(1)去分母、去括号、移项、合并同类项、化系数为1.(2)去分母、去括号、移项、合并同类项、化系数为1.解答:(1)解:去分母得:5(3x+1)﹣2×10=3x﹣2﹣2(2x+3),去括号得:15x+5﹣20=3x﹣2﹣4x﹣6,移项得:15x+x=﹣8+15,合并得:16x=7,解得:;(2)解:,4(x﹣1)﹣18(x+1)=﹣36,4x﹣4﹣18x﹣18=﹣36,﹣14x=﹣14,x=1.点评:本题考查解一元一次方程,正确掌握解一元一次方程的一般步骤,注意移项要变号、去分母时“1”也要乘以最小公倍数.14.解方程:(1)5(2x+1)﹣2(2x﹣3)=6 (2)+2(3)[3(x﹣)+]=5x﹣1考点:解一元一次方程.专题:计算题.分析:(2)通过去括号、移项、合并同类项、系数化为1,解得x的值;(3)乘最小公倍数去分母即可;(4)主要是去括号,也可以把分数转化成整数进行计算.解答:解:(1)去括号得:10x+5﹣4x+6=6移项、合并得:6x=﹣5,方程两边都除以6,得x=﹣;(2)去分母得:3(x﹣2)=2(4﹣3x)+24,去括号得:3x﹣6=8﹣6x+24,移项、合并得:9x=38,方程两边都除以9,得x=;(3)整理得:[3(x﹣)+]=5x﹣1,4x﹣2+1=5x﹣1,移项、合并得:x=0.点评:一元一次方程的解法:一般要通过去分母、去括号、移项、合并同类项、未知数的系数化为1等步骤,把一个一元一次方程“转化”成x=a的形式.解题时,要灵活运用这些步骤.15.(A类)解方程:5x﹣2=7x+8;(B类)解方程:(x﹣1)﹣(x+5)=﹣;(C类)解方程:.考点:解一元一次方程.专题:计算题.分析:通过去分母、去括号、移项、系数化为1等方法,求得各方程的解.解答:解:A类:5x﹣2=7x+8移项:5x﹣7x=8+2化简:﹣2x=10即:x=﹣5;B类:(x﹣1)﹣(x+5)=﹣去括号:x﹣﹣x﹣5=﹣化简:x=5即:x=﹣;C类:﹣=1去分母:3(4﹣x)﹣2(2x+1)=6去括号:12﹣3x﹣4x﹣2=6化简:﹣7x=﹣4即:x=.点评:本题主要考查一元一次方程的解法,比较简单,但要细心运算.16.解方程(1)3(x+6)=9﹣5(1﹣2x)(2)(3)(4)考点:解一元一次方程.专题:计算题.分析:(1)去括号以后,移项,合并同类项,系数化为1即可求解;(2)(3)首先去掉分母,再去括号以后,移项,合并同类项,系数化为1以后即可求解;(4)首先根据分数的基本性质,把第一项分母中的0.3化为整数,再去分母,求解.解答:解:(1)去括号得:3x+18=9﹣5+10x移项得:3x﹣10x=9﹣5﹣18合并同类项得:﹣7x=﹣14则x=2;(2)去分母得:2x+1=x+3﹣5移项,合并同类项得:x=﹣3;(3)去分母得:10y+2(y+2)=20﹣5(y﹣1)去括号得:10y+2y+4=20﹣5y+5移项,合并同类项得:17y=21系数化为1得:;(4)原方程可以变形为:﹣5x=﹣1去分母得:17+20x﹣15x=﹣3移项,合并同类项得:5x=﹣20系数化为1得:x=﹣4.点评:解方程的过程中要注意每步的依据,这几个题目都是基础的题目,需要熟练掌握.17.解方程:(1)解方程:4x﹣3(5﹣x)=13(2)解方程:x﹣﹣3考点:解一元一次方程.专题:计算题.分析:(1)先去括号,再移项,化系数为1,从而得到方程的解.(2)这是一个带分母的方程,所以要先去分母,再去括号,最后移项,化系数为1,从而得到方程的解.解答:解:(1)去括号得:4x﹣15+3x=13,移项合并得:7x=28,系数化为1得:得x=4;(2)原式变形为x+3=,去分母得:5(2x﹣5)+3(x﹣2)=15(x+3),去括号得10x﹣25+3x﹣6=15x+45,移项合并得﹣2x=76,系数化为1得:x=﹣38.点评:本题考查解一元一次方程,解一元一次方程的一般步骤是:去分母、去括号、移项、合并同类项、化系数为1.注意移项要变号.18.(1)计算:﹣42×+|﹣2|3×(﹣)3(2)计算:﹣12﹣|0.5﹣|÷×[﹣2﹣(﹣3)2](3)解方程:4x﹣3(5﹣x)=2;(4)解方程:.考点:解一元一次方程;有理数的混合运算.分析:(1)利用平方和立方的定义进行计算.(2)按四则混合运算的顺序进行计算.(3)主要是去括号,移项合并.(4)两边同乘最小公倍数去分母,再求值.解答:解:(1)﹣42×+|﹣2|3×(﹣)3==﹣1﹣1=﹣2.(2)﹣12﹣|0.5﹣|÷×[﹣2﹣(﹣3)2]====.(3)解方程:4x﹣3(5﹣x)=2去括号,得4x﹣15+3x)=2移项,得4x+3x=2+15合并同类项,得7x=17系数化为1,得.(4)解方程:去分母,得15x﹣3(x﹣2)=5(2x﹣5)﹣3×15去括号,得15x﹣3x+6=10x﹣25﹣45移项,得15x﹣3x﹣10x=﹣25﹣45﹣6合并同类项,得2x=﹣76系数化为1,得x=﹣38.点评:前两道题考查了学生有理数的混合运算,后两道考查了学生解一元一次方程的能力.19.(1)计算:(1﹣2﹣4)×;(2)计算:÷;(3)解方程:3x+3=2x+7;(4)解方程:.考点:解一元一次方程;有理数的混合运算.专题:计算题.分析:(1)和(2)要熟练掌握有理数的混合运算;(3)和(4)首先熟悉解一元一次方程的步骤:去分母,去括号,移项,合并同类项,系数化为1.解答:解:(1)(1﹣2﹣4)×=﹣=﹣13;(2)原式=﹣1×(﹣4﹣2)×(﹣)=6×(﹣)=﹣9;(3)解方程:3x+3=2x+7移项,得3x﹣2x=7﹣3合并同类项,得x=4;(4)解方程:去分母,得6(x+15)=15﹣10(x﹣7)去括号,得6x+90=15﹣10x+70移项,得6x+10x=15+70﹣90合并同类项,得16x=﹣5系数化为1,得x=.点评:(1)和(2)要注意符号的处理;(4)要特别注意去分母的时候不要发生数字漏乘的现象,熟练掌握去括号法则以与合并同类项法则.20.解方程(1)﹣0.2(x﹣5)=1;(2).考点:解一元一次方程.分析:(1)通过去括号、移项、系数化为1等过程,求得x的值;(2)通过去分母以与去括号、移项、系数化为1等过程,求得x的值.解答:解:(1)﹣0.2(x﹣5)=1;去括号得:﹣0.2x+1=1,∴﹣0.2x=0,∴x=0;(2).去分母得:2(x﹣2)+6x=9(3x+5)﹣(1﹣2x),∴﹣21x=48,∴x=﹣.点评:此题主要考查了一元一次方程解法,解一元一次方程常见的过程有去括号、移项、系数化为1等.21.解方程:(x+3)﹣2(x﹣1)=9﹣3x.考点:解一元一次方程.专题:计算题.分析:先去括号得x+3﹣2x+2=9﹣3x,然后移项、合并同类得到2x=4,然后把x的系数化为1即可.解答:解:去括号得x+3﹣2x+2=9﹣3x,移项得x﹣2x+3x=9﹣3﹣2,合并得2x=4,系数化为1得x=2.点评:本题考查了解一元一次方程:先去分母,再去括号,接着移项,把含未知数的项移到方程左边,不含未知数的项移到方程右边,然后合并同类项,最后把未知数的系数化为1得到原方程的解.22.8x﹣3=9+5x.5x+2(3x﹣7)=9﹣4(2+x)...考点:解一元一次方程.专题:方程思想.分析:本题是解4个不同的一元一次方程,第一个通过移项、合并同类项与系数化1求解.第二个先去括号再通过移项、合并同类项与系数化1求解.第三个先去分母再同第二个.第四个先分子分母乘以10,再同第三个求解.解答:8x﹣3=9+5x,解:8x﹣5x=9+3,3x=12,∴x=4.∴x=4是原方程的解;5x+2(3x﹣7)=9﹣4(2+x),解:5x+6x﹣14=9﹣8﹣4x,5x+6x+4x=9﹣8+14,15x=15,∴x=1.∴x=1是原方程的解..解:3(x﹣1)﹣2(2x+1)=12,3x﹣3﹣4x﹣2=12,3x﹣4x=12+3+2,﹣x=17,∴x=﹣17.∴x=﹣17是原方程的解.,解:,5(10x﹣3)=4(10x+1)+40,50x﹣15=40x+4+40,50x﹣40x=4+40+15,10x=59,∴x=.∴x=是原方程的解.点评:此题考查的知识点是解一元一次方程,关键是注意解方程时的每一步都要认真仔细,如移项时要变符号.23.解下列方程:(1)0.5x﹣0.7=5.2﹣1.3(x﹣1);(2)=﹣2.考点:解一元一次方程.分析:(1)首先去括号,然后移项、合并同类项,系数化成1,即可求解;(2)首先去分母,然后去括号,移项、合并同类项,系数化成1,即可求解解答:解:(1)去括号,得:0.5x﹣0.7=5.2﹣1.3x+1.3移项,得:0.5x+1.3x=5.2+1.3+0.7合并同类项,得:1.8x=7.2,则x=4;(2)去分母得:7(1﹣2x)=3(3x+1)﹣42,去括号,得:7﹣14x=9x+3﹣42,移项,得:﹣14x﹣9x=3﹣42﹣7,合并同类项,得:﹣23x=﹣46,则x=2.点评:本题考查解一元一次方程,解一元一次方程的一般步骤是:去分母、去括号、移项、合并同类项、化系数为1.注意移项要变号.24.解方程:(1)﹣0.5+3x=10;(2)3x+8=2x+6;(3)2x+3(x+1)=5﹣4(x﹣1);(4).考点:解一元一次方程.分析:(1)移项,合并同类项,然后系数化成1即可求解;(2)移项,合并同类项,然后系数化成1即可求解;(3)去括号、移项,合并同类项,然后系数化成1即可求解;(4)首先去分母,然后去括号、移项,合并同类项,然后系数化成1即可求解.解答:解:(1)3x=10.5,x=3.5;(2)3x﹣2x=6﹣8,x=﹣2;(3)2x+3x+3=5﹣4x+4,2x+3x+4x=5+4﹣3,9x=6,x=;(4)2(x+1)+6=3(3x﹣2),2x+2+6=9x﹣6,2x﹣9x=﹣6﹣2﹣6,﹣7x=﹣14,x=2.点评:本题考查解一元一次方程,解一元一次方程的一般步骤是:去分母、去括号、移项、合并同类项、化系数为1.注意移项要变号.25.解方程:.考点:解一元一次方程.专题:计算题.分析:方程两边乘以10去分母后,去括号,移项合并,将x系数化为1,即可求出解.解答:解:去分母得:5(3x﹣1)﹣2(5x﹣6)=2,去括号得:15x﹣5﹣10x+12=2,移项合并得:5x=﹣5,解得:x=﹣1.点评:此题考查了解一元一次方程,其步骤为:去分母,去括号,移项合并,将未知数系数化为1,求出解.26.解方程:(1)10x﹣12=5x+15;(2)考点:解一元一次方程.专题:计算题.分析:(1)先移项,再合并同类项,最后化系数为1,从而得到方程的解;(2)先去括号,再移项、合并同类项,最后化系数为1,从而得到方程的解.解答:解:(1)移项,得10x﹣5x=12+15,合并同类项,得5x=27,方程的两边同时除以5,得x=;(2)去括号,得=,方程的两边同时乘以6,得x+1=4x﹣2,移项、合并同类项,得3x=3,方程的两边同时除以3,得x=1.点评:本题考查解一元一次方程,解一元一次方程的一般步骤:去分母、去括号、移项、合并同类项、化系数为1.注意移项要变号.27.解方程:(1)8y﹣3(3y+2)=7(2).考点:解一元一次方程.专题:计算题.分析:(1)根据一元一次方程的解法,去括号,移项,合并同类项,系数化为1即可得解;(2)这是一个带分母的方程,所以要先去分母,再去括号,最后移项,合并同类项,系数化为1,从而得到方程的解.解答:解:(1)去括号得,8y﹣9y﹣6=7,移项、合并得,﹣y=13,系数化为1得,y=﹣13;(2)去分母得,3(3x﹣1)﹣12=2(5x﹣7),去括号得,9x﹣3﹣12=10x﹣14,移项得,9x﹣10x=﹣14+3+12,合并同类项得,﹣x=1,系数化为1得,x=﹣1.点评:本题主要考查了解一元一次方程,注意在去分母时,方程两端同乘各分母的最小公倍数时,不要漏乘没有分母的项,同时要把分子(如果是一个多项式)作为一个整体加上括号.28.当k 为什么数时,式子比的值少3.考点:解一元一次方程.专题:计算题.分析:先根据题意列出方程,再根据一元一次方程的解法,去分母,去括号,移项,合并同类项,系数化为1即可得解.解答:解:依题意,得=+3,去分母得,5(2k+1)=3(17﹣k)+45,去括号得,10k+5=51﹣3k+45,移项得,10k+3k=51+45﹣5,合并同类项得,13k=91,系数化为1得,k=7,∴当k=7时,式子比的值少3.点评:本题主要考查了解一元一次方程,注意在去分母时,方程两端同乘各分母的最小公倍数时,不要漏乘没有分母的项,同时要把分子(如果是一个多项式)作为一个整体加上括号.29.解下列方程:(I)12y﹣2.5y=7.5y+5 (II ).考点:解一元一次方程.专题:计算题.分析:(Ⅰ)根据一元一次方程的解法,移项,合并同类项,系数化为1即可得解;(Ⅱ)是一个带分母的方程,所以要先去分母,再去括号,最后移项,合并同类项,系数化为1,从而得到方程的解.解答:解:(Ⅰ)移项得,12y﹣2.5y﹣7.5y=5,合并同类项得,2y=5,系数化为1得,y=2.5;(Ⅱ)去分母得,5(x+1)﹣10=(3x﹣2)﹣2(2x+3),去括号得,5x+5﹣10=3x﹣2﹣4x﹣6,移项得,5x﹣3x+4x=﹣2﹣6﹣5+10,合并同类项得,6x=﹣3,系数化为1得,x=﹣.点评:本题主要考查了解一元一次方程,注意在去分母时,方程两端同乘各分母的最小公倍数时,不要漏乘没有分母的项,同时要把分子(如果是一个多项式)作为一个整体加上括号.30.解方程:.考点:解一元一次方程.专题:计算题.分析:由于方程的分子、分母均有小数,利用分数的基本性质,分子、分母同时扩大相同的倍数,可将小数化成整数.解答:解:原方程变形为,(3分)去分母,得3×(30x﹣11)﹣4×(40x﹣2)=2×(16﹣70x),(4分)去括号,得90x﹣33﹣160x+8=32﹣140x,(5分)移项,得90x﹣160x+140x=32+33﹣8,(6分)合并同类项,得70x=57,(7分)系数化为1,得.(8分)点评:本题考查一元一次方程的解法.解一元一次方程的一般步骤:去分母,去括号,移项,合并同类项,系数化为1.本题的难点在于方程的分子、分母均有小数,将小数化成整数不同于去分母,不是方程两边同乘一个数,而是将分子、分母同乘一个数.。