校车乘车人员登记表
- 格式:xls
- 大小:20.00 KB
- 文档页数:2
中小学校园校车基本情况登记表中小学、校园(盖章)2.校车登记事项系指有报当地公安交管和交通运输部门批准登记,并有核发、张贴校车标识的车辆。
3.本表一式3份,中小学校(校园)、教育行政部门、公安交管部门各存1份。
校车基本情况传染病预防知识小插曲1.预防伤风感冒:秋季孩子毛病以此为多,尤其是中秋前后,秋风袭来,孩子体质弱一点的,早晚最容易受凉。
所以预防之道就是要注意气候变化,冷热得当,特别是夜凉之时,要注意为孩子盖被。
白天风大时要加衣服,孩子在外面玩得满头大汗,回家时要注意帮他擦拭,不要把衣服脱掉吹风,否则容易感冒。
除了预防保健外,还要避免孩子接触病人。
2.当心气管炎:很多孩子在感冒伤风之后,跟着来的就是支气管炎,常常咳的喘不过气来,有的孩子甚至咳了两三个月还不见好,主要的原因就是家长们在孩子初咳时没加注意,随便买点药吃,结果越吃越坏,咳得更凶。
由此可见,孩子感冒伤风时要预防支气管炎之中并发症,不吃风,不吃生冷的东西,在家静养,少在外面外跑,要不然孩子的咳嗽不容易好,如果晚上再受凉,或与病人接触,就容易发生肺炎,危及生命。
3.注意扁桃腺炎:10岁以下孩子扁桃腺炎的发病率较高,尤其是那些本来扁桃腺炎肥大的孩子更容易发生扁桃腺炎,所以有的孩子一旦感冒发烧,扁桃腺就肿大,有的甚至高烧40摄氏度以上,连日打针吃药都不能退烧,这是因为有的孩子平时吃药多,产生了抗药性,故孩子有病,如果没有经过医生允许,千万不要乱吃药,至于预防扁桃腺炎的发生,应该尽量避免孩子伤风感冒,不接触病人,增加孩子的营养,增强抵抗力。
4.重视并发症:在患伤风感冒、支气管炎、扁桃腺炎的同时,最容易发生的并发症就是肺炎,很多孩子病未痊愈又因受凉或接触病人,或因扁桃腺炎而并发肺炎,肺炎除了呼吸困难外,并有剧烈的咳嗽和高烧,如不及时治疗就有生命危险,预防本病就是不要忽略病发的初期,有病早医,不自作聪明随便拿药给孩子吃,以致延误了治疗时间,导致病情加重。
校车日常接学生情况登记表基本情况登记车牌号:车上实际人数:出车时刻:收车时刻:驾驶员姓名 联系电话 跟车老师姓名 联系电话 学生随车情况登记序号学生姓名家长电话接送地点交接时刻家长签字备注1 2 3 4 5 6 7 8 9 10 11 跟车人(签名):年月日说明:1、本表由跟车老师负责填写。
跟车老师在送学生出车前要清点好人数2、跟车老师要在随车过程中照顾好每一位学生,维持好车内纪律。
3、到站学生下车,随车老师务必先下车,确认路面安全后才能让学生下车.4、有家长接的学生,随车老师还要和家长做好交接手续,家长要签名确认。
幼儿园校车接送制度一、车辆接送老师必须清楚并遵守接送时间。
早上接孩子时要做好晨检工作。
二、接送过程,老师不能坐车头,锁好前后车门。
要组织好幼儿,不能让幼儿打开窗口、门或打架。
三、态度要和蔼,热情。
家长交代事物必须做好详细记录,并及时向各班班长转交接。
四、接送幼儿时,填好幼儿接送点名表;幼儿上下车时,老师必须亲自下车。
护送幼儿亲自交到家长手中。
督促家长配合幼儿园接送制度的实施;并做好各班事物交接工作。
五、幼儿园的通知或资料单据,必须由接送老师亲自转交家长手里,不能由幼儿转交。
六、接送老师有对家长宣传幼儿园各项活动和兴趣班等的义务和责任。
七、如园车接送时间有变化,接送老师须及时与家长联系。
八、园车接送回来,一定要清点人数,并保持回车干净。
九、接送老师必须凭卡接送幼儿。
如有食物与药物必须听家长交代清楚并做好登记,并要求家长签名。
如有邻居、同事等代接情况,接送老师凭卡送孩子情况下,必须与孩子家长电话确认。
十、出现漏接情况。
当天接送老师与司机同负责任。
十一、司机要安全行车、不开快车、(不超过50公里/小时)、不酒后驾车、不疲劳驾车。
十二、如发现特殊情况及家长意见,必须及时向园长汇报。
幼儿园教师跟车制度一、对所负责的幼儿接送车全程线路及各站点乘车幼儿情况,做到心中有数。
二、无论早接和晚送,到达每个站点一律下车接待。
学校校车使用登记表
简介
学校校车使用登记表是用于记录学校校车的使用情况和相关信息的表格。
通过填写该表格,可以方便地管理校车的使用,并确保校车的安全和合规性。
表格内容
学校校车使用登记表包括以下几个主要内容:
1. 校车基本信息
- 校车牌照号码
- 校车品牌和型号
- 校车座位数
- 校车所属部门
2. 使用日期和时间
- 使用的具体日期(年/月/日)
- 使用的具体时间(时:分)
3. 使用目的
- 使用校车的目的,如班级郊游、学生考察等
4. 使用人员
- 使用校车的人员名单,包括负责人、学生和教职员工等
5. 行车路线
- 使用校车的行车路线和站点信息
6. 使用时长
- 使用校车的时间长度,以小时为单位
7. 其他事项
- 其他需要记录的事项或注意事项
使用步骤
1. 填写校车基本信息
2. 填写使用日期和时间
3. 填写使用目的
4. 填写使用人员
5. 填写行车路线
6. 填写使用时长
7. 填写其他事项
注意事项
- 使用校车前,请提前预约并填写登记表
- 使用校车时,要确保每位乘车人员按规定进行安全带系好
- 行车途中要遵守交通规则,确保行车安全
- 使用校车完毕后,请及时归还并填写归还登记表
以上为学校校车使用登记表的相关信息,请根据实际情况填写并妥善保管。
如有任何疑问,请及时联系相关负责人。
Note: The word count of the above document is 293 words.。
校车日常接学生情况登记表基本情况登记学生随车情况登记跟车人(签名):年月日说明:1、本表由跟车老师负责填写。
跟车老师在送学生出车前要清点好人数2、跟车老师要在随车过程中照顾好每一位学生,维持好车内纪律。
最新疫情资料3、到站学生下车,随车老师务必先下车,确认路面安全后才能让学生下车.4、有家长接的学生,随车老师还要和家长做好交接手续,家长要签名确认。
传染病预防知识小插曲1.预防伤风感冒:秋季孩子毛病以此为多,尤其是中秋前后,秋风袭来,孩子体质弱一点的,早晚最容易受凉。
所以预防之道就是要注意气候变化,冷热得当,特别是夜凉之时,要注意为孩子盖被。
白天风大时要加衣服,孩子在外面玩得满头大汗,回家时要注意帮他擦拭,不要把衣服脱掉吹风,否则容易感冒。
除了预防保健外,还要避免孩子接触病人。
最新疫情资料最新疫情资料2.当心气管炎:很多孩子在感冒伤风之后,跟着来的就是支气管炎,常常咳的喘不过气来,有的孩子甚至咳了两三个月还不见好,主要的原因就是家长们在孩子初咳时没加注意,随便买点药吃,结果越吃越坏,咳得更凶。
由此可见,孩子感冒伤风时要预防支气管炎之中并发症,不吃风,不吃生冷的东西,在家静养,少在外面外跑,要不然孩子的咳嗽不容易好,如果晚上再受凉,或与病人接触,就容易发生肺炎,危及生命。
3.注意扁桃腺炎:10岁以下孩子扁桃腺炎的发病率较高,尤其是那些本来扁桃腺炎肥大的孩子更容易发生扁桃腺炎,所以有的孩子一旦感冒发烧,扁桃腺就肿大,有的甚至高烧40摄氏度以上,连日打针吃药都不能退烧,这是因为有的孩子平时吃药多,产生了抗药性,故孩子有病,如果没有经过医生允许,千万不要乱吃药,至于预防扁桃腺炎的发生,应该尽量避免孩子伤风感冒,不接触病人,增加孩子的营养,增强抵抗力。
最新疫情资料4.重视并发症:在患伤风感冒、支气管炎、扁桃腺炎的同时,最容易发生的并发症就是肺炎,很多孩子病未痊愈又因受凉或接触病人,或因扁桃腺炎而并发肺炎,肺炎除了呼吸困难外,并有剧烈的咳嗽和高烧,如不及时治疗就有生命危险,预防本病就是不要忽略病发的初期,有病早医,不自作聪明随便拿药给孩子吃,以致延误了治疗时间,导致病情加重。
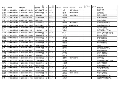
附表一英贤 学校(中学\小学\幼儿园)学生乘车登记表填写要求:在 “□”图标处勾选自己的出行方式,如“□”填写要求:在 “□”图标处勾选自己的出行方式,如“□”填写要求:在 “□”图标处勾选自己的出行方式,如“□”填写要求:在 “□”图标处勾选自己的出行方式,如“□”填写要求:在 “□”图标处勾选自己的出行方式,如“□”填写要求:在 “□”图标处勾选自己的出行方式,如“□”填写要求:在 “□”图标处勾选自己的出行方式,如“□”填写要求:在 “□”图标处勾选自己的出行方式,如“□”填写要求:在 “□”图标处勾选自己的出行方式,如“□”填写要求:在 “□”图标处勾选自己的出行方式,如“□”填写要求:在 “□”图标处勾选自己的出行方式,如“□”填写要求:在 “□”图标处勾选自己的出行方式,如“□”填写要求:在 “□”图标处勾选自己的出行方式,如“□”填写要求:在 “□”图标处勾选自己的出行方式,如“□”填写要求:在 “□”图标处勾选自己的出行方式,如“□”填写要求:在 “□”图标处勾选自己的出行方式,如“□”填写要求:在 “□”图标处勾选自己的出行方式,如“□”填写要求:在 “□”图标处勾选自己的出行方式,如“□”填写要求:在 “□”图标处勾选自己的出行方式,如“□”填写要求:在 “□”图标处勾选自己的出行方式,如“□”填写要求:在 “□”图标处勾选自己的出行方式,如“□”填写要求:在 “□”图标处勾选自己的出行方式,如“□”填写要求:在 “□”图标处勾选自己的出行方式,如“□”填写要求:在 “□”图标处勾选自己的出行方式,如“□”填写要求:在 “□”图标处勾选自己的出行方式,如“□”填写要求:在 “□”图标处勾选自己的出行方式,如“□”填写要求:在 “□”图标处勾选自己的出行方式,如“□”填写要求:在 “□”图标处勾选自己的出行方式,如“□”填写要求:在 “□”图标处勾选自己的出行方式,如“□”填写要求:在 “□”图标处勾选自己的出行方式,如“□”填写要求:在 “□”图标处勾选自己的出行方式,如“□”填写要求:在 “□”图标处勾选自己的出行方式,如“□”填写要求:在 “□”图标处勾选自己的出行方式,如“□”填写要求:在 “□”图标处勾选自己的出行方式,如“□”填写要求:在 “□”图标处勾选自己的出行方式,如“□”填写要求:在 “□”图标处勾选自己的出行方式,如“□”填写要求:在 “□”图标处勾选自己的出行方式,如“□”填写要求:在 “□”图标处勾选自己的出行方式,如“□”填写要求:在 “□”图标处勾选自己的出行方式,如“□”英贤 学校(中学\小学\幼儿园)学生乘车登记表填写要求:在 “□”图标处勾选自己的出行方式,如“□”英贤 学校(中学\小学\幼儿园)学生乘车登记表填写要求:在 “□”图标处勾选自己的出行方式,如“□”英贤 学校(中学\小学\幼儿园)学生乘车登记表填写要求:在 “□”图标处勾选自己的出行方式,如“□”英贤 学校(中学\小学\幼儿园)学生乘车登记表填写要求:在 “□”图标处勾选自己的出行方式,如“□”英贤 学校(中学\小学\幼儿园)学生乘车登记表填写要求:在 “□”图标处勾选自己的出行方式,如“□”英贤 学校(中学\小学\幼儿园)学生乘车登记表四 年级 班级填写要求:在 “□”图标处勾选自己的出行方式,如“□”英贤 学校(中学\小学\幼儿园)学生乘车登记表英贤 学校(中学\小学\幼儿园)学生乘车登记表英贤 学校(中学\小学\幼儿园)学生乘车登记表填写要求:在 “□”图标处勾选自己的出行方式,如“□”英贤 学校(中学\小学\幼儿园)学生乘车登记表英贤 学校(中学\小学\幼儿园)学生乘车登记表在 “□”图标处勾选自己的出行方式,如“□”填写要求:。
学校校车乘客登记表
1. 背景
为了确保学校校车乘车的安全和管理,我们需要建立一份学校校车乘客登记表。
该登记表将记录学生乘坐校车的基本信息和乘车时段,以便对其安全进行监控和管理。
2. 目的
通过学校校车乘客登记表,我们希望实现以下目标:
- 提供学生乘坐校车的基本信息,并确保他们的安全;
- 统计学生乘坐校车的数量,为校车资源的规划提供依据;
- 为学校管理层提供学生乘车情况的报告,以便进行相关政策制定和改进。
3. 内容
学校校车乘客登记表应包括以下内容:
- 学生姓名;
- 学生班级;
- 家长联系电话;
- 乘车时段(起始时间和结束时间);
- 乘车日期。
4. 使用方法
学校校车乘客登记表的使用方法如下:
- 校车司机应在每次学生上下车时,仔细核对学生信息并填写登记表;
- 学校应设立专门负责收集和管理登记表的部门或人员;
- 登记表应妥善保存,必要时可以进行备份。
5. 数据保护
学校校车乘客登记表所涉及到的个人信息应严格遵守相关的数据保护法律法规,并采取合理的安全措施保护学生信息的安全。
6. 总结
学校校车乘客登记表是管理学生乘车情况和保障学生安全的重要工具。
通过准确记录学生的乘车信息,学校可以更好地管理校车资源,并能进行必要的报告和决策。
我们期待学校各部门和校车司机共同遵守和执行校车乘客登记表的规定,以营造安全和舒适的研究环境。
以上是关于学校校车乘客登记表的简要说明。
如有任何疑问或需要进一步细化,请及时与学校管理层或相关部门联系。
谢谢!。