化工原理公式及各个章节总结汇总
- 格式:pdf
- 大小:313.17 KB
- 文档页数:20
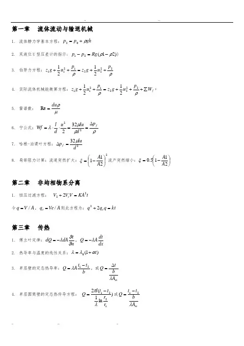
第一章 流体流动与输送机械1. 流体静力学基本方程:gh p p ρ+=022. 双液位U 型压差计的指示: )21(21ρρ-=-Rg p p )3. 伯努力方程:ρρ222212112121p u g z p u g z ++=++4. 实际流体机械能衡算方程:f W p u g z p u g z ∑+++=++ρρ222212112121+ 5. 雷诺数:μρdu =Re6. 宁公式:ρρμλfp d lu u d l Wf ∆==⋅⋅=22322 7. 哈根-泊谡叶方程:232dlup f μ=∆ 8. 局部阻力计算:流道突然扩大:2211⎪⎭⎫ ⎝⎛-=A A ξ流产突然缩小:⎪⎭⎫ ⎝⎛-=2115.0A A ξ第二章 非均相物系分离1. 恒压过滤方程:t KA V V V e 222=+令A V q /=,A Ve q e /=则此方程为:kt q q q e =+22第三章 传热1. 傅立叶定律:n t dAdQ ϑϑλ-=,dxdt A Q λ-= 2. 热导率与温度的线性关系:)1(0t αλλ+= 3. 单层壁的定态热导率:bt t AQ 21-=λ,或mA b tQ λ∆=4. 单层圆筒壁的定态热传导方程: )ln1(21221r r t t l Q λπ-=或m A b tt Q λ21-=5. 单层圆筒壁的温度分布方程:C r l Qt +-=ln 2λπ(由公式4推导) 6. 三层圆筒壁定态热传导方程:34123212141ln 1ln 1ln 1(2r r r r r r t t l Q λλλπ++-=7. 牛顿冷却定律:)(t t A Q w -=α,)(T T A Q w -=α8. 努塞尔数λαl Nu =普朗克数λμCp =Pr 格拉晓夫数223μρβtl g Gr ∆=9. 流体在圆形管做强制对流:10000Re >,1600Pr 6.0<<,50/>d lk Nu Pr Re 023.08.0=,或kCp du d ⎪⎭⎫⎝⎛⎪⎪⎭⎫ ⎝⎛=λμμρλα8.0023.0,其中当加热时,k=0.4,冷却时k=0.3 10. 热平衡方程:)()]([1222211t t c q T T c r q Q p m s p m -=-+=无相变时:)()(12222111t t c q T T c q Q p m p m -=-=,若为饱和蒸气冷凝:)(12221t t c q r q Q p m m -== 11. 总传热系数:21211111d d d d b K m ⋅+⋅+=αλα 12. 考虑热阻的总传热系数方程:212121211111d d R R d d d d b K s s m ⋅++⋅+⋅+=αλα 13. 总传热速率方程:t KA Q ∆=14. 两流体在换热器中逆流不发生相变的计算方程:⎪⎪⎭⎫⎝⎛-=--22111112211lnp m p m p m c q c q c q KA t T t T 15. 两流体在换热器中并流不发生相变的计算方程:⎪⎪⎭⎫ ⎝⎛+=--22111122111lnp m p m p m c q c q c q KA t T t T 16. 两流体在换热器中以饱和蒸气加热冷流体的计算方程:2221ln p m c q KAt T t T =--第四章 蒸发1. 蒸发水量的计算:110)(Lx x W F Fx =-=2. 水的蒸发量:)1(1x x F W -=3. 完成时的溶液浓度:WF F x -=4. 单位蒸气消耗量:rr D W '=,此时原料液由预热器加热至沸点后进料,且不计热损失,r 为加热时的蒸气汽化潜热r ’为二次蒸气的汽化潜热 5. 传热面积:mt K QA ∆=,对加热室作热量衡算,求得Dr h H D Q c =-=)(,1t T t -=∆,T 为加热蒸气的温度,t 1为操作条件下的溶液沸点。
化工原理公式总结
化工原理公式总结如下:
1. 质量平衡公式:
输入质量 = 输出质量 + 累积质量
2. 物质平衡公式:
输入组分质量流率 = 输出组分质量流率 + 生成/消耗组分质量流率 + 储存组分质量流率
3. 能量平衡公式:
输入能量 = 输出能量 + 生成/消耗能量 + 储存能量
4. 平均温度计算公式:
平均温度= ∫(T*dA) / ∫dA,其中 T 为温度,dA 为面积微元
5. 理想气体状态方程:
PV = nRT,其中 P 为压力,V 为容积,n 为物质的摩尔数,R 为气体常数,T 为温度
6. 液体体积膨胀公式:
V2 = V1 * (1 + β * ΔT),其中 V1 为初始体积,V2 为最终体积,β 为膨胀系数,ΔT 为温度变化
7. 理想混合气体摩尔分数公式:
Xi = ni / n,其中 Xi 表示组分 i 的摩尔分数,ni 表示组分 i 的摩尔数,n 表示总摩尔数
8. 溶液浓度计算公式:
质量分数 = 溶质质量 / 总溶液质量
摩尔分数 = 溶质摩尔数 / 总溶液摩尔数
体积分数 = 溶质体积 / 总溶液体积
9. 反应速率公式:
反应速率 = k * [A]^m * [B]^n,其中 k 为速率常数,[A] 和[B] 表示反应物 A 和 B 的浓度,m 和 n 为反应级数
10. 溶解度公式(亨利定律):
P = K * C,其中 P 为气体的分压,K 为溶解度常数,C 为溶质的浓度。
第一章 流体流动一、压强1、单位之间的换算关系:221101.3310330/10.33760atm kPa kgf m mH O mmHg ====2、压力的表示(1)绝压:以绝对真空为基准的压力实际数值称为绝对压强(简称绝压),是流体的真实压强。
(2)表压:从压力表上测得的压力,反映表内压力比表外大气压高出的值。
表压=绝压-大气压(3)真空度:从真空表上测得的压力,反映表内压力比表外大气压低多少真空度=大气压-绝压3、流体静力学方程式0p p gh ρ=+二、牛顿粘性定律F du A dyτμ== τ为剪应力;du dy 为速度梯度;μ为流体的粘度; 粘度是流体的运动属性,单位为Pa ·s ;物理单位制单位为g/(cm·s),称为P (泊),其百分之一为厘泊cp111Pa s P cP ==液体的粘度随温度升高而减小,气体粘度随温度升高而增大。
三、连续性方程若无质量积累,通过截面1的质量流量与通过截面2的质量流量相等。
111222u A u A ρρ=对不可压缩流体1122u A u A = 即体积流量为常数。
四、柏努利方程式单位质量流体的柏努利方程式:22u p g z We hf ρ∆∆∆++=-∑ 22u p gz E ρ++=称为流体的机械能 单位重量流体的能量衡算方程:Hf He gp g u z -=∆+∆+∆ρ22z :位压头(位头);22u g :动压头(速度头) ;p gρ:静压头(压力头) 有效功率:Ne WeWs = 轴功率:Ne N η=五、流动类型 雷诺数:Re du ρμ=Re 是一无因次的纯数,反映了流体流动中惯性力与粘性力的对比关系。
(1)层流:Re 2000≤:层流(滞流),流体质点间不发生互混,流体成层的向前流动。
圆管内层流时的速度分布方程:2max 2(1)r r u u R=- 层流时速度分布侧型为抛物线型 (2)湍流Re 4000≥:湍流(紊流),流体质点间发生互混,特点为存在横向脉动。
《化工原理》重要公式第一章 流体流动 牛顿粘性定律 dydu μτ= 静力学方程g z p g z p 2211+=+ρρ机械能守恒式 f e h u g z p h u g z p +++=+++2222222111ρρ 动量守恒 )(12X X m X u u q F -=∑ 雷诺数 μμρdGdu ==Re 阻力损失 22u d l h f λ= ????dq d u h V f ∞∞层流 Re64=λ 或 232d ul h f ρμ=局部阻力 22u h f ζ=当量直径 ∏=Ad e 4孔板流量计 ρP∆=200A C q V , g R i )(ρρ-=∆P第二章 流体输送机械管路特性 242)(8V e q gd d lz g p H πζλρ+∑+∆+∆= 泵的有效功率 e V e H gq P ρ=泵效率 aeP P =η 最大允许安装高度 100][-∑--=f Vg H gp g p H ρρ]5.0)[(+-r NPSH 风机全压换算 ρρ''TT p p =第四章 流体通过颗粒层的流动物料衡算: 三个去向: 滤液V ,滤饼中固体)(饼ε-1V ,滤饼中液体ε饼V过滤速率基本方程 )(22e V V KA d dV +=τ , 其中 φμ012r K S -∆=P 恒速过滤 τ222KA VV V e =+恒压过滤 τ222KA VV V e =+ 生产能力 τ∑=V Q 回转真空过滤 e e q q nKq -+=2ϕ板框压滤机洗涤时间(0=e q ,0=S ) τμμτVV WW W W 8P P ∆∆=第五章 颗粒的沉降和流态化斯托克斯沉降公式 μρρ18)(2g d u p p t -=, 2Re <p重力降尘室生产能力 t V u A q 底= 除尘效率 进出进C C C -=η流化床压降 g A mp p)(ρρρ-=∆P第六章 传热傅立叶定律 dndt q λ-= 牛顿冷却定律 )(W T T q -=α努塞尔数 λαl Nu =普朗特数 λμp C =Pr圆管内强制湍流 b dPr Re 023.08.0λα= 受热b=,冷却b=传热系数 2212111111d dR d d R K m αλδα++++=传热基本方程式 m t KA Q ∆=2121ln t t t t t m ∆∆∆-∆=∆ 热量衡算式 )()(21222111t t C q T T C q Q p m p m -=-= 或 r q Q m 1=第七章 蒸发蒸发水量 )1(0ww F W -= 热量衡算 损Q Wr t t FC Dr Q ++-==)(000传热速率 )(t T KA Q -= 溶液沸点 ∆+=0t t第八章 气体吸收亨利定律 Ex p e =,HC p e =; 相平衡 mx y e = 费克定律 dzdC D J AABA -= 传递速率 A A A Nx J N +=; )(21A A BmMA C C C C D N -=δ1212ln B B B B Bm C C C C C -=对流传质 )()()()(x x k y y k C C k p p k N i x i y i L i g A -=-=-=-= 总传质系数 xy y k m k K +=11传质速率方程式 )()(x x K y y K N e x e y A -=-= 吸收过程基本方程式 my y y e y OG OG y y y a K G y y dy a K G N H H ∆-=-==⎰2112 对数平均推动力 22112211ln)()(mx y mx y mx y mx y y m -----=∆吸收因数法 ])1ln[(112221L mGmx y mx y L mG L mG N OG +----=最小液气比 2121min )(x x y y G Le --=物料衡算式 )()(2121x x L y y G -=-第九章 液体精馏 相平衡常数 AAA x y K = 相平衡方程 xxy )1(1-+=αα物料衡算 W D F +=W D f Wx Dx Fx +=轻组分回收率 fDA Fx Dx =η 默弗里板效率 11*++--=n n n n mV y y y y Eq 线方程 11---=q x x q qy f塔内气液流率 qF RD qF L L +=+=F q D R F q V V )1()1()1(--+=--=精馏段操作方程 11+++=R x x R Ry D 提馏段操作方程 V Wx x V Ly W -=最小回流比 ee eD x y y x R --=min芬斯克方程 αln )11ln(min WWD D x x x x N --=第十章 气液传质设备 全塔效率 实际不含釜N N E T T )(=填料塔高度 HETP N H T =第十一章 液液萃取 分配系数 AAA x y k =选择性系数 )1/()1/(//00A A A A B B A A x x y y x y x y --==β 单级萃取 E R S F +=+; A A A fA Ey Rx Sz Fx +=+; S S S Ey Rx Sz +=第十二章 其他传质分离方法总物料衡算式 )()5.0()(21021x x L L c c u B B --=-ρτ 传质区计算式 ⎰-==SB C C e B f ofof c c dc a K u N H L 0第十三章 热、质同时传递的过程 湿度 水汽水汽水汽水汽空气水p p p p p p M M H -=-=622.0相对湿度 Sp p 水汽=ϕ 当p p S <; pp 水汽=ϕ 当p p S >焓 H t H I 2500)88.101.1(++= 比容 273273)184.22294.22(++=t H v H 湿球温度 )(H H r kt t W W H W--=α绝热饱和温度 )(H H C r t t aS HaSaS --=路易斯规则 空气-水系统kg kJ k H/09.1=α℃pH c ≈, W aS t t ≈第十四章 固体干燥 干燥速率 τd dXA G N C A -=恒速段速率 )()(W WW H A t t r H H k N -=-=α间隙干燥 恒速段时间: AC C AN X X G )(11-=τ降速段时间: **ln 22X X X X AK G C X C --=τ (近似处理*)(X X K N X A -=) 连续干燥 物料衡算 )()(1221H H V X X G W C -=-=热量衡算 损补Q Q Q Q Q Q +++=+321; 预热器)(01I I V Q -=;理想干燥12I I =热效率 补Q Q Q Q ++=21η; 当00==损补,Q Q 时 0121t t t t --=η。
《化工原理》基本概念、主要公式第一、二、三章(流体流动)基本概念:连续性假定质点拉格朗日法欧拉法稳态与非稳态流动轨线与流线系统与控制体粘性的物理本质质量守恒方程静力学方程总势能理想流体与实际流体的区别可压缩流体与不可压缩流体的区别牛顿流体与非牛顿流体的区别伯努利方程的物理意义动量守恒方程平均流速动能校正因子均匀分布均匀流段层流与湍流的本质区别边界层边界层分离现象因次雷诺数的物理意义泊谡叶方程因次分析实验研究方法的主要步骤摩擦系数完全湍流粗糙管局部阻力当量长度、阻力系数毕托管驻点压强孔板流量计转子流量计的特点非牛顿流体的特性(塑性、假塑性与涨塑性、触变性与震凝性、粘弹性)重要公式:)(0ρρ-=∆Rg P质量衡算:N-S 方程流体输送机械 基本概念:管路特性方程 输送机械的压头或扬程 离心泵主要构件 离心泵理论压头的影响因素 叶片后弯原因tmq q out m in m d d ,,=-g u u ρμρ+∇+-∇=2 D D p t气缚现象 离心泵特性曲线 离心泵工作点 离心泵的调节手段 汽蚀现象 汽蚀余量离心泵的选型(类型、型号) 正位移特性 往复泵的调节手段 离心泵与往复泵的比较(流量、压头) 通风机的全压、动风压 真空泵的主要性能参数 重要公式:泵的有效功率 泵效率 允许安装高度风机全压换算离心泵的串联并联 第六章 基本概念:搅拌目的 搅拌器按工作原理分类 混合效果 调匀度 分隔尺度 宏观混合 微观混合 搅拌器的两个功能H Lη⋅=N N e ==NN e ηN gH Q ρ201,10,1001012f f g p p p p u h H H H z z g g gνρρ----=-=--=-∆-∑∑允允2222112122T e uuH h p p ρρρ==-+-2H 2A-2BQ =串串2Q H A-B 2⎛⎫= ⎪⎝⎭并并旋浆式搅拌器、涡轮式搅拌器、大叶片低转速搅拌器特点及适用范围改善搅拌效果的工程措施(转速、挡板、偏心、导流筒) 搅拌器功率的影响因素搅拌功率的分配搅拌器的放大准则第四、五章(过滤)基本概念:非球形颗粒的当量直径形状系数分布函数频率函数颗粒群平均直径的基准床层比表面床层空隙率数学模型法的主要步骤架桥现象过滤速率基本方程过滤常数及影响因素洗涤速率过滤机的生产能力叶滤机板框压滤机回转真空过滤机加快过滤速率的途径重要公式:()spkK-∆=12第四、五章 (沉降)基本概念:曳力(表面曳力、形体曳力) 曳力系数 斯托克斯定律区 牛顿区 (自由)沉降速度 重力沉降室加隔板离心分离因数 旋风分离器主要评价指标 总效率 粒级效率 分割直径 流化床的特点(混合、压降) 两种流化现象 聚式流化的两种极端情况 起始流化速度 带出速度 气力输送重要公式:)2223160m 6060ee V V Q KA n n n V V t n ϕ===+-∑第七章基本概念:传热过程的三种基本方式载热体三种传热机理的物理本质间壁换热传热过程的三个步骤傅里叶定律导热系数热阻推动力流动对传热的贡献牛顿冷却定律强制对流自然对流(加热、冷却面的位置) 关联式Nu=0.023Re0.8Pr n的定性尺寸、定性温度,n的取值努塞尔数、普朗特数的物理意义大容积自然对流的自动模化区液体沸腾的两个必要条件核状沸腾膜状沸腾临界点沸腾给热的强化蒸汽冷凝的两种形式膜状冷凝给热系数h 排放不凝性气体各种h 的相对大小斯蒂芬-波尔兹曼定律黑体黑度灰体克希霍夫定律角系数传热过程的控制步骤传热操作线K与A的对应对数平均推动力逆流并流冷、热流体流动通道的主要选择原则重要公式:圆筒壁稳定热传导多层传热无相变 只有相变()mA b T T k R L R L R R L R R T T k Q ⋅-⋅=-⋅--⋅=211212122122ln 2πππA A A A A m 1212ln -=)(21T T C W Q h h -=WrQ =()143241122332111ln ln ln l t t Q d d d k d k d k d π-=++。
(完整版)化工原理各章节知识点总结第一章流体流动质点含有大量分子的流体微团,其尺寸远小于设备尺寸,但比起分子自由程却要大得多。
连续性假定假定流体是由大量质点组成的、彼此间没有间隙、完全充满所占空间的连续介质。
拉格朗日法选定一个流体质点,对其跟踪观察,描述其运动参数(如位移、速度等)与时间的关系。
欧拉法在固定空间位置上观察流体质点的运动情况,如空间各点的速度、压强、密度等,即直接描述各有关运动参数在空间各点的分布情况和随时间的变化。
定态流动流场中各点流体的速度u 、压强p 不随时间而变化。
轨线与流线轨线是同一流体质点在不同时间的位置连线,是拉格朗日法考察的结果。
流线是同一瞬间不同质点在速度方向上的连线,是欧拉法考察的结果。
系统与控制体系统是采用拉格朗日法考察流体的。
控制体是采用欧拉法考察流体的。
理想流体与实际流体的区别理想流体粘度为零,而实际流体粘度不为零。
粘性的物理本质分子间的引力和分子的热运动。
通常液体的粘度随温度增加而减小,因为液体分子间距离较小,以分子间的引力为主。
气体的粘度随温度上升而增大,因为气体分子间距离较大,以分子的热运动为主。
总势能流体的压强能与位能之和。
可压缩流体与不可压缩流体的区别流体的密度是否与压强有关。
有关的称为可压缩流体,无关的称为不可压缩流体。
伯努利方程的物理意义流体流动中的位能、压强能、动能之和保持不变。
平均流速流体的平均流速是以体积流量相同为原则的。
动能校正因子实际动能之平均值与平均速度之动能的比值。
均匀分布同一横截面上流体速度相同。
均匀流段各流线都是平行的直线并与截面垂直,在定态流动条件下该截面上的流体没有加速度, 故沿该截面势能分布应服从静力学原理。
层流与湍流的本质区别是否存在流体速度u、压强p的脉动性,即是否存在流体质点的脉动性。
稳定性与定态性稳定性是指系统对外界扰动的反应。
定态性是指有关运动参数随时间的变化情况。
边界层流动流体受固体壁面阻滞而造成速度梯度的区域。
化工原理课程综合复习提纲化工原理重要单元主要公式汇总第1章 流体流动一、机械能衡算方程式 本章内容的核心公式是机械能衡算方程式:g2ud L g 2u g P Z H g 2u g P Z 22222e 2111⎪⎭⎫ ⎝⎛++++=+++∑ζλρρ (单位:J/N=m ) (1-1) 应用公式(1-1)注意以下几点:(1) 稳定流动、不可压缩性流体、自1-1至2-2的控制体内流体连续。
(2) Z 1、Z 2选择同一水平基准面,通常选择地平面或控制体1-1、2-2中的较低的一个。
(3) P 1、P 2同时以绝对压计或同时以表压计,并且注意单位均统一到N/m 2 。
(4) 自高位槽或高压容器向其他地方输送流体时一般不需要流体输送机械,此时,H e =0 。
(5) 公式中的每一项均是单位流体的能量,每牛顿流体的能量焦耳,形式上的单位是米。
H e 是流体输送机械加给每牛顿流体的能量焦耳数,阻力损失项亦是每牛顿流体的能量损失焦耳数。
(6) 根据所取的1-1、2-2截面的性质,灵活地确定u 1、u 2的数值。
(7) 阻力损失项中的流速取产生阻力损失的管段上的流速,有时管段不止一段。
(8) 若控制体内的阀门关闭,1-1、2-2截面上的流体能量便不再有任何关系。
(9) 若在等直径的管段,无流体输送机械,阻力损失可以忽略,(1-1)式变成流体静力学的形式。
应用公式(1-1)可解决以下方面的问题:(1) 在确定的控制体中,达到一定的流量,确定流体输送机械加给每牛顿流体的能量焦耳数及功率。
(2) 在确定的控制体中,达到一定的流量,确定起始截面1-1的高度或压强。
(3) 在确定的控制体中,可达到的流量(流速)。
(4) 在确定的控制体中,达到一定的流量,确定管径。
公式(1-1)的另两种形式:2udL2u P g Z w 2u P g Z 22222e 2111⎪⎭⎫ ⎝⎛++++=+++∑ζλρρ (单位:J/kg ) (1-2) ρζλρρρρρ2ud L 2u P g Z g H 2u P g Z 22222e 2111⎪⎭⎫ ⎝⎛++++=+++∑ (单位:J/m 3=N/m 2) (1-3)因为机械能衡算式中的每一项均是单位流体的能量,故计算流体输送机械的功率时应注意流体的总流量V q (单位:m 3/s)。
化⼯原理公式及各个章节总结汇总第⼀章流体流动与输送机械1. 流体静⼒学基本⽅程:gh p p ρ+=022. 双液位U 型压差计的指⽰: )21(21ρρ-=-Rg p p )3. 伯努⼒⽅程:ρρ222212112121p u g z p u g z ++=++4. 实际流体机械能衡算⽅程:f W p u g z p u g z ∑+++=++ρρ222212112121+ 5. 雷诺数:µρdu =Re6. 范宁公式:ρρµλfp dlu u d l Wf ?==??=22322 7. 哈根-泊谡叶⽅程:232d lup f µ=8. 局部阻⼒计算:流道突然扩⼤:2211??-=A A ξ流产突然缩⼩:??? ??-=2115.0A A ξ第⼆章⾮均相物系分离1. 恒压过滤⽅程:t KA V V V e 222=+令A V q /=,A Ve q e /=则此⽅程为:kt q q q e =+22第三章传热1. 傅⽴叶定律:n t dAdQ ??λ-=,dxdtQ 21-=λ,或mA b tQ λ?=4. 单层圆筒壁的定态热传导⽅程: )ln1(21221r r t t l Q λπ-=或m A b t t Q λ21-=5. 单层圆筒壁内的温度分布⽅程:C r l Qt +-=ln 2λπ(由公式4推导) 6. 三层圆筒壁定态热传导⽅程:34123212141ln 1ln 1ln 1(2r r r r r r t t l Q λλλπ++-=7. ⽜顿冷却定律:)(t t A Q w -=α,)(T T A Q w -=α8. 努塞尔数λαl Nu =普朗克数λµCp =Pr 格拉晓夫数223µρβtl g Gr ?= 9. 流体在圆形管内做强制对流:10000Re >,1600Pr 6.0<<,50/>d lk Nu Pr Re 023.08.0=,或kCp du d??=λµµρλα8.0023.0,其中当加热时,k=0.4,冷却时k=0.3 10. 热平衡⽅程:)()]([1222211t t c q T T c r q Q p m s p m -=-+=⽆相变时:)()(12222111t t c q T T c q Q p m p m -=-=,若为饱和蒸⽓冷凝:)(12221t t c q r q Q p m m -== 11. 总传热系数:21211111d d d d b K m ?+?+=αλα 12. 考虑热阻的总传热系数⽅程:212121211111d d R R d d d d b K s s m ?++?+?+=αλα 13. 总传热速率⽅程:t KA Q ?=14. 两流体在换热器中逆流不发⽣相变的计算⽅程:p m p m p m c q c q c q KA t T t T 15. 两流体在换热器中并流不发⽣相变的计算⽅程:+=--22111122111ln p m p m p m c q c q c q KA t T t T 16. 两流体在换热器中以饱和蒸⽓加热冷流体的计算⽅程:2221ln p m c q KAt T t T =--第四章蒸发1.蒸发⽔量的计算:110)(Lx x W F Fx =-= 2.⽔的蒸发量:)1(1x x F W -=3. 完成时的溶液浓度:WF F x -=04.单位蒸⽓消耗量:rr D W '=,此时原料液由预热器加热⾄沸点后进料,且不计热损失,r 为加热时的蒸⽓汽化潜热r ’为⼆次蒸⽓的汽化潜热 5.传热⾯积:mt K QA ?=,对加热室作热量衡算,求得Dr h H D Q c =-=)(,1t T t -=?,T 为加热蒸⽓的温度,t 1为操作条件下的溶液沸点。
一、流体力学及其输送1.单元操作:物理化学变化的单个操作过程,如过滤、蒸馏、萃取。
2.四个基本概念:物料衡算、能量衡算、平衡关系、过程速率。
3.牛顿粘性定律:F=±τA=±μAdu/dy ,(F :剪应力;A :面积;μ:粘度;du/dy :速度梯度)。
4.两种流动形态:层流和湍流。
流动形态的判据雷诺数Re=duρ/μ;层流—2000—过渡—4000—湍流。
当流体层流时,其平均速度是最大流速的1/2。
5.连续性方程:A1u1=A2u2;伯努力方程:gz+p/ρ+1/2u2=C 。
6.流体阻力=沿程阻力+局部阻力;范宁公式:沿程压降:Δpf=λlρu2/2d ,沿程阻力:Hf=Δpf/ρg=λl u2/2dg(λ:摩擦系数);层流时λ=64/Re ,湍流时λ=F(Re ,ε/d),(ε:管壁粗糙度);局部阻力hf=ξu2/2g ,(ξ:局部阻力系数,情况不同计算方法不同)7.流量计:变压头流量计(测速管、孔板流量计、文丘里流量计);变截面流量计。
孔板流量计的特点;结构简单,制造容易,安装方便,得到广泛的使用。
其不足之处在于局部阻力较大,孔口边缘容易被流体腐蚀或磨损,因此要定期进行校正,同时流量较小时难以测定。
转子流量计的特点——恒压差、变截面。
8.离心泵主要参数:流量、压头、效率(容积效率ηv :考虑流量泄漏所造成的能量损失;水力效率ηH :考虑流动阻力所造成的能量损失;机械效率ηm :考虑轴承、密封填料和轮盘的摩擦损失。
)、轴功率;工作点(提供与所需水头一致);安装高度(气蚀现象,气蚀余量);泵的型号(泵口直径和扬程);气体输送机械:通风机、鼓风机、压缩机、真空泵。
9. 常温下水的密度1000kg/m3,标准状态下空气密度1.29 kg/m31atm =101325Pa=101.3kPa=0.1013MPa=10.33mH2O=760mmHg(1)被测流体的压力 > 大气压 表压 = 绝压-大气压(2)被测流体的压力 < 大气压 真空度 = 大气压-绝压= -表压10. 管路总阻力损失的计算 11. 离心泵的构件: 叶轮、泵壳(蜗壳形)和 轴封装置离心泵的叶轮闭式效率最高,适用于输送洁净的液体。
第一章 流体流动与输送机械1. 流体静力学基本方程:gh p p ρ+=022. 双液位U 型压差计的指示: )21(21ρρ-=-Rg p p )3. 伯努力方程:ρρ222212112121p u g z p u g z ++=++4. 实际流体机械能衡算方程:f W p u g z p u g z ∑+++=++ρρ222212112121+ 5. 雷诺数:μρdu =Re6. 范宁公式:ρρμλfp d lu u d l Wf ∆==⋅⋅=22322 7. 哈根-泊谡叶方程:232d lup f μ=∆ 8. 局部阻力计算:流道突然扩大:2211⎪⎭⎫ ⎝⎛-=A A ξ流产突然缩小:⎪⎭⎫ ⎝⎛-=2115.0A A ξ第二章 非均相物系分离1. 恒压过滤方程:t KA V V V e 222=+令A V q /=,A Ve q e /=则此方程为:kt q q q e =+22第三章 传热1. 傅立叶定律:n t dAdQ ϑϑλ-=,dxdt A Q λ-= 2. 热导率与温度的线性关系:)1(0t αλλ+= 3. 单层壁的定态热导率:bt t AQ 21-=λ,或mA b tQ λ∆=4. 单层圆筒壁的定态热传导方程: )ln1(21221r r t t l Q λπ-=或m A b tt Q λ21-=5. 单层圆筒壁内的温度分布方程:C r l Qt +-=ln 2λπ(由公式4推导)6. 三层圆筒壁定态热传导方程:34123212141ln 1ln 1ln 1(2r r r r r r t t l Q λλλπ++-=7. 牛顿冷却定律:)(t t A Q w -=α,)(T T A Q w -=α8. 努塞尔数λαl Nu =普朗克数λμCp =Pr 格拉晓夫数223μρβtl g Gr ∆= 9. 流体在圆形管内做强制对流:10000Re >,1600Pr 6.0<<,50/>d lk Nu Pr Re 023.08.0=,或kCp du d ⎪⎭⎫⎝⎛⎪⎪⎭⎫ ⎝⎛=λμμρλα8.0023.0,其中当加热时,k=,冷却时k= 10. 热平衡方程:)()]([1222211t t c q T T c r q Q p m s p m -=-+=无相变时:)()(12222111t t c q T T c q Q p m p m -=-=,若为饱和蒸气冷凝:)(12221t t c q r q Q p m m -== 11. 总传热系数:21211111d d d d b K m ⋅+⋅+=αλα 12. 考虑热阻的总传热系数方程:212121211111d d R R d d d d b K s s m ⋅++⋅+⋅+=αλα 13. 总传热速率方程:t KA Q ∆=14. 两流体在换热器中逆流不发生相变的计算方程:⎪⎪⎭⎫⎝⎛-=--22111112211lnp m p m p m c q c q c q KA t T t T 15. 两流体在换热器中并流不发生相变的计算方程:⎪⎪⎭⎫ ⎝⎛+=--22111122111lnp m p m p m c q c q c q KA t T t T 16. 两流体在换热器中以饱和蒸气加热冷流体的计算方程:2221ln p m c q KAt T t T =--第四章 蒸发1. 蒸发水量的计算:110)(Lx x W F Fx =-=2. 水的蒸发量:)1(1x x F W -= 3. 完成时的溶液浓度:WF F x -=4. 单位蒸气消耗量:rr D W '=,此时原料液由预热器加热至沸点后进料,且不计热损失,r 为加热时的蒸气汽化潜热r ’为二次蒸气的汽化潜热 5. 传热面积:mt K QA ∆=,对加热室作热量衡算,求得Dr h H D Q c =-=)(,1t T t -=∆,T 为加热蒸气的温度,t 1为操作条件下的溶液沸点。
化工原理公式知识点总结一、物质转化1. 化学反应速率公式化学反应速率是描述化学反应进行速度的物理量。
化学反应速率公式通常表示为:r = k * C^n其中,r表示反应速率,k表示反应速率常数,C表示反应物浓度,n表示反应级数。
该公式描述了反应速率与反应物浓度之间的关系,根据不同的反应类型和反应条件,反应级数n可以为整数、分数或负数。
2. 反应热平衡公式化学反应通常伴随着放热或吸热现象,反应热平衡公式描述了反应热量与反应物质量之间的关系。
反应热平衡公式通常表示为:ΔH = Σ(ν_i * H_i)其中,ΔH表示反应热,ν_i表示反应物物质量系数,H_i表示反应物的燃烧热。
该公式描述了反应热与反应物质量之间的线性关系,根据反应类型和反应条件的不同,反应热可以是正值或负值。
二、能量平衡1. 热传导公式热传导是物质内部热量传递的过程,热传导公式描述了热传导速率与温度梯度之间的关系。
热传导公式通常表示为:q = -k * A * ΔT/Δx其中,q表示热传导速率,k表示材料的热导率,A表示热传导的面积,ΔT表示温度差,Δx表示热传导距离。
该公式描述了热传导速率与温度梯度之间的线性关系,根据材料性质和传导距离的不同,热传导速率可以有所变化。
2. 热交换公式热交换是物质之间热量传递的过程,热交换公式描述了热交换速率与温度差之间的关系。
热交换公式通常表示为:q = U * A * ΔT其中,q表示热交换速率,U表示传热系数,A表示热交换面积,ΔT表示温度差。
该公式描述了热交换速率与温度差之间的线性关系,根据传热系数和热交换面积的不同,热交换速率可以有所变化。
三、质量平衡1. 流体流动公式流体流动是化工过程中常见的一种运动形式,流体流动公式描述了流体流动速度与流体性质之间的关系。
流体流动公式通常表示为:v = ΔP * L / (μ * A)其中,v表示流体流动速度,ΔP表示压差,L表示管道长度,μ表示流体的粘度,A表示管道横截面积。
化工原理课程综合复习提纲化工原理重要单元主要公式汇总第1章 流体流动一、机械能衡算方程式 本章内容的核心公式是机械能衡算方程式:g2ud L g 2u g P Z H g 2u g P Z 22222e 2111⎪⎭⎫ ⎝⎛++++=+++∑ζλρρ (单位:J/N=m ) (1-1) 应用公式(1-1)注意以下几点:(1) 稳定流动、不可压缩性流体、自1-1至2-2的控制体内流体连续。
(2) Z 1、Z 2选择同一水平基准面,通常选择地平面或控制体1-1、2-2中的较低的一个。
(3) P 1、P 2同时以绝对压计或同时以表压计,并且注意单位均统一到N/m 2 。
(4) 自高位槽或高压容器向其他地方输送流体时一般不需要流体输送机械,此时,H e =0 。
(5) 公式中的每一项均是单位流体的能量,每牛顿流体的能量焦耳,形式上的单位是米。
H e 是流体输送机械加给每牛顿流体的能量焦耳数,阻力损失项亦是每牛顿流体的能量损失焦耳数。
(6) 根据所取的1-1、2-2截面的性质,灵活地确定u 1、u 2的数值。
(7) 阻力损失项中的流速取产生阻力损失的管段上的流速,有时管段不止一段。
(8) 若控制体内的阀门关闭,1-1、2-2截面上的流体能量便不再有任何关系。
(9) 若在等直径的管段,无流体输送机械,阻力损失可以忽略,(1-1)式变成流体静力学的形式。
应用公式(1-1)可解决以下方面的问题:(1) 在确定的控制体中,达到一定的流量,确定流体输送机械加给每牛顿流体的能量焦耳数及功率。
(2) 在确定的控制体中,达到一定的流量,确定起始截面1-1的高度或压强。
(3) 在确定的控制体中,可达到的流量(流速)。
(4) 在确定的控制体中,达到一定的流量,确定管径。
公式(1-1)的另两种形式:2udL2u P g Z w 2u P g Z 22222e 2111⎪⎭⎫ ⎝⎛++++=+++∑ζλρρ (单位:J/kg ) (1-2) ρζλρρρρρ2ud L 2u P g Z g H 2u P g Z 22222e 2111⎪⎭⎫ ⎝⎛++++=+++∑ (单位:J/m 3=N/m 2) (1-3)因为机械能衡算式中的每一项均是单位流体的能量,故计算流体输送机械的功率时应注意流体的总流量V q (单位:m 3/s)。