反应工程计算题模板
- 格式:docx
- 大小:131.27 KB
- 文档页数:25
1. 某厂生产醇酸树脂是使己二酸与己二醇以等摩尔比在70℃用间歇釜并以H 2SO4作催化剂进行缩聚反应而生产的,实验测得反应动力学方程为:• C A0=4 kmol.m -3若每天处理2400kg 己二酸,每批操作辅助生产时间为1h ,反应器装填系数为0.75,求:(1)转化率分别为X A =0.5,0.6,0.8,0.9时,所需反应时间为多少? (2)求转化率为0.8,0.9时,所需反应器体积为多少?2. 均相气相反应A →3R ,其动力学方程为-r A =kC A ,该过程在185℃,400kPa 下在一平推流反应器中进行,其中k =10-2s -1,进料量F A0=30kmol/h ,原料含50%惰性气,为使反应器出口转化率达80%,该反应器体积应为多大?3. 在一个平推流反应器中,由纯乙烷进料裂解制造乙烯。
年设计生产能力为14万吨乙烯。
反应是不可逆的一级反应,要求达到乙烷转化率为80%,反应器在1100K 等温,恒压600kPa 下操作,已知反应活化能为347.3 kJ·mol -1 ,1000K 时,k =0.0725 s -1。
设计工业规模的管式反应器。
4. 有一分解反应其中k l =lh -1,k 2=l.5m 3kmol -1h -1,C A0 =5 kmol·m -3,C P0=C S0=0,体积流速为5m 3h -1,求转化率为90%时:(1)全混流反应器出口目的产物P 的浓度及所需全混流反应器的体积。
(2)若采用平推流反应器,其出口C P 为多少?所需反应器体积为多少? (3)若采用两釜串联,最佳出口C P 为多少?相应反应器体积为多少?5. 醋酸在高温下可分解为乙烯酮和水,而副反应生成甲烷和二氧化碳:OH CO CHCOOHCH k2231+=−→−2432COCHCOOHCH k+−→−已知在916℃时121174.3,65.4--==sk s k ,试计算:1) 99%的醋酸反应掉的时间;2)在此反应条件下醋酸转化成乙烯酮的选择性。
1. 某催化反应:C D B A +→+,动力学方程为2)1(D D B B A A BA p K p K p K p kp r +++=。
试写出其反应机理、控制步骤并进行验证。
解:反应机理为)4()3()2()1(σσσσσσσσσσ+⇔++→+⇔+⇔+D D C D B A B B A A其中第(3) 步为控制步骤,根据理想吸附模型的假定,除控制步骤以外的其余步骤均达到平衡,所以B A s V D D D V B B B V A A A k r p K p K p K θθθθθθθθ====;;;将 , 代入到第(3)步的计算式中,2V B A B A s p p K K k r θ= 因为1=+++V D B A θθθθ,所以 DD B B A A V p K p K p K +++=11θ最后求得反应速率方程为2)1(D D B B A A B A B A s p K p K p K K K p p k r +++==2)1(D D B B A A BA p K p K p K p kp +++ 其中B A s K K k k =2. 在等温间歇反应器中进行液相反应A+B →R +C ,该反应对反应物A 和B 均为一级反应,反应速率常数)/(2h mol l k ⋅=,进料中A 和B 的摩尔浓度均为l mol /0.3,要求A 的转化率8.0=A X 。
若每天生产产物C 为240 mol ,且每批生产的辅助时间为0.5 h ,试求反应器的有效体积。
解: 因为l mol c c B A /0.300==,B A c c =所以反应速率方程202)1(A A A B A A X kc kc c kc r -=== 反应时间⎰⎰-==A Ax A A AA x A A A X kc dx C r dx C t 020000)1(,其中)/(2h mol l k ⋅=,8.0=A X 解得h t 66.0=进料中A 的摩尔流量为h mol F A /5.128.0242400=⨯=体积流量h l c F Q A A A /17.435.12000===反应器的有效体积)(00t t Q V A r +=,其中辅助时间h t 5.00=l V r 5)5.066.0(17.4=+⨯=3. 两个串联的全混流反应器进行某液相复合反应)/()/(21h l mol C k r SA h l mol C k r P A A S A P ⋅=→⋅=→ ,已知l mol C h h A /5,6.0,4.0021===ττ,第一釜出口处A 的浓度l mol /3,产物P 的浓度为l mol /5.1,求第二个釜出口处Sf Pf Af C C C ,,各为多少。
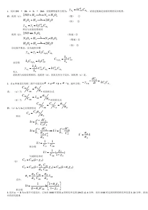
1. 反应2NO + 2H 2= N 2+ 2H 2O ,实验测得速率方程为:222H NO NC kC =γ。
试设定能满足实验结果的反应机理。
解:机理(1):222212O H N H NO k +−→−+ (慢) ① O H H O H k 222222−→−+ (快)②22211HNO N C C k ==γγ所以与实验结果相同机理(2):222O N NO ⇔ (快速)③2222225O H N H O N k +−→−+ (慢速)④OH H O H k 222226−→−+ (快) ⑤③达拟平衡态,④为速控步骤222255H O N N C C k ==γγ由③得23422NOO N C k C k =24322NO O N C k k C =代入22222435H NO H NO N C kC C C k k k ==γ此机理与实验结果相同,选机理(2),因其无叁分子反应,而机理(1)是。
2. 由A 和B 进行均相二级不可逆反应αA A+αBB = αSS ,速率方程:A γ-==-dtdC AB AC kC 。
求: (1)当BAB AC C αα=00时的积分式(2)当B AAB B A C C ααλ≠=0时的积分式解:(1)C A 与C B 之比保持恒定B ABAB AC C C C αα==0所以A BA B C C αα=⎰=0A AC C BA AC C dC kt⎰⎰=⇒=02'2A AA AC C C C AAA AB AC dC t k C dC kt ααkk A Bαα='积分得'11A A C C t k -=写成转化率时)1(10'A A A C t k χχ-=(2))1(0A A A C C χ-=)1()1(1000A B A B A B A B B C C C C C χαχαα-=-=式中: ABAB B A A BC C λααααα==001积分得⎥⎦⎤⎢⎣⎡---=A AB Ckt χχαα11ln )1(11013.反应A → B 为n 级不可逆反应。
49. 现有一有效容积为0.75m 3的搅拌釜反应器,其内设置有换热面积为5.0m 2的冷却盘管。
欲利用改反应器来进行A →R 的一级不可逆的液相反应,其速率常数)(9.5525exp 100788.119-⎥⎦⎤⎢⎣⎡-⨯=h T k ,反应热molA J H r /20921)(=∆-,原料液中A 的浓度l mol C A /2.00=,但不含反应产物R 。
此原料液的密度ρ=1050g/l ;定压比热929.2=P C (J/g ·℃)。
要求原料液的进料流率为h m v /33=,反应器出口的反应液中l mol C A /04.0=。
总传热系数U=209.2(KJ/m 2·h ·℃)。
所用的冷却介质的温度为25℃。
试求满足上述反应要求所需的反应温度以及料液的起始温度T 0。
解: 50.(CH3CO)2 (A) + H 2O(B)2CH 3COOH(C)乙酸酐发生水解,反应温度25℃,k=0.1556min -1,采用三个等体积的串联全混流釜进行反应,每个釜体积为1800 cm 3,求使乙酸酐的总转化率为60%时,进料速度0v 。
解:51.串联全混流反应器进行一级不可逆反应,假定各釜容积、温度相同,,9.0,10),(92.0301===-A x h m h k γ试计算N 为1,2,3的反应有效容积,如不考虑非生产性操作时间的条件下分批式反应器的有效容积。
解:52.应用两个按最优容积比串联的全混流釜进行不可逆的一级液相反应,假定各釜的容积和操作温度都相同,已知此时的速率常数k=0.92h -1,原料液的进料速度0v =10m 3/h ,要求最终转化率=A x 0.9,试求V 1、V 2和总容积V 。
解:对于一级不可逆反应应有21010111)1(1)1(1)1(A A A A A A A x kC x kC x x r -=⎥⎦⎤⎢⎣⎡-∂∂=∂-∂代入⎥⎥⎦⎤⎢⎢⎣⎡----=∂-∂+-i A i A i A iA iA iA r r x x x r ,1,1,,,,111)1(得 ⎥⎦⎤⎢⎣⎡----=-)1(1)1(11)1(1102001210A A A A A A A A x kC x kC x x x kC整理得 022121=+-A A A x x x∵9.02=A x , ∴6838.01=A x ∴)(35.2)6838.01(92.06838.0)1(111h x k x A A =-=-=τ)(5.233101m v V ==τ)(35.2)9.01(92.06838.09.0)1(2122h x k x x A A A =--=--=τ)(5.233202m v V ==τ总容积)(47321m V V V =+=53. 用两串联全混流反应器进行一个二级不可逆等温反应,已知在操作温度下,10,30.2),(92.03030113h m v m kmol C h kmol m k A ===--要求出口x A =0.9,计算该操作最优容积比)(21V V 和总容积V 。
化学工程基础(武汉大学第二版)1、在间歇反应器中进行等温一级反应A →R+S,已知反应进行30S 时反应物A 的转化率为90%,求转化率达到99%时还需要多少时间?计算结果说明了什么?2、在间歇反应器中进行等温液相反应A+B→R 已知(-r A )=kC A C B molL -1min -1,k=0.3Lmol-1min-1, C A0=C B0=0.2molL -1,试计算反应物A 的转化率分别达到90%和99%时所需要的时间,并做比较。
3、在间歇反应器中用乙酸和丁醇生产乙酸丁酯,其反应式为:3493492CH COOH+C H OH CH COOC H +H O A B C D →反应在100℃等温进行,进料物质的量比为A:B=1:4.97,并以少量硫酸为催化剂。
由于丁醇过量,其动力学方程为(-r A )=kC 2A ,式中k 为1.74×10-2m 3kmol -1min -1。
已知反应物密度ρ为750kg/m 3(反应前后基本不变),若每天生产乙酸丁酯2450kg (不考虑分离过程损失),每批物料的非生产时间取0.5h ,求乙酸转化率为55%时所需间歇反应器的体积(装料系数φ=0.75)。
()3433492A0CH COOH+C H OH CH COOC H +H O F 0.0326/min.kmol →=⨯⨯解:2450由化学反应方程可知:=24601161-05533A0011.753/60174 4.97750F 0.03260.0186/min1.753AO AO C kmol m v m C ==⨯+⨯∴===()()()222020()10.5540.07min 1 1.7410 1.75310.55A A A A A A rA kC kC x x t kC x --==-⇒===-⨯⨯- ()()3030.018640.0730 1.301.301.730.75R RRT V v t t m V V m ϕ'∴=+=+====答:略。
2.在银催化剂上进行甲的醇应:2CH3OH+O2→2HCHO+2H2O 2CH3OH+3O2→2CO2+4H2O进入反应器的原料气中,甲醇:空气:水蒸气=2:4:1.3(摩尔比),反应后甲醇的转化率达72%。
甲醇的收率为69.2%。
试计算(1)反应的选择性;(2)反应器出口气体的组成。
解:(1)由(1.7)式得反应的选择性为S=Y/X=0.692/0.720=0.9611=96.11%(2)进入反应器的原料气中,甲醇:空气:水蒸气=2:4:1.3(摩尔比),当进入反应器的总原料为100mol时,则反应器的进料组成为组分摩尔分率yi0摩尔数ni0(mol)CH3OH0.27427.4空气0.547954.79(O2:11.51,N2:43.28)水0.178117.81总计1100设甲醇的转化率为为XA,甲醇的收率为YP,根据(1.3)和(1.5)式可得反应器出口甲醇,甲醛和二氧化碳摩尔数nA,np,nC,分别为nA=nA0(1-XA)=7.672mol np= nA0YP=18.96molnC= nA0(XA-YP)=0.7672 mol综上所述反应的化学计量式水(nW),氧气(nO,和氮气(nN)的摩尔数为nW= nW0+ nP+2 nC=38.30 mol nO= nO0-1/2 np-3/2nC=0.8792mol nN=nN0=43.28mol所以,反应器出口气体组成为....3.在进行一氧化碳变换反应动力学研究中,采用B106催化剂进行试验,测得正反应活化能为9.629×104J/mol,如果不考虑逆反应,在反应物料组成相同的情况下,试问反应温度为550℃时的速率比反应温度为400℃时的反应速率大多少倍?解:从题中可知,反应条件除了温度不同外,其他条件都相同,而温度的影响表现在反应速率常数k上,故可用反应速率常数之比来描述反应速率之比。
r550/r400=k550/k400=Aexp(-E/RT550)/ Aexp(-E/RT400)=exp[E/R(1/T400-1/T550)]=23(倍)4.甲烷与水蒸气在镍催化剂及750℃等温下的转化反应为:原料气中甲烷与水蒸气的摩尔比为1:4,若是这个反应对各反应物均为1级。
化学反应工程计算题1、80℃时氯乙醇的皂化反应为:CH 2Cl-CH 2OH+NaHCO 3→CH 2OHCH 2OH+NaCl+CO 2 属基元反应,其反应速度常数k =5.2L/mol ·h 现拟用15%(质量)的NaHCO 3水溶液30%(质量)的氯乙醇水溶液为原料,建立一个日产480Kg 的乙二醇的中间工厂,今使用等摩尔比原料,要求氯乙醇转化率为95%,试计算:采用间歇反应器,非生产时间为0.5小时/批时所需有效体积。
反应为等温等容过程,混合物料比重为1.02。
解:V =υ0(t+t 0)投料中氯乙醇量为:2495.0624800.34 kmol/h氯乙醇水溶液量为:23.9130.05.8034.0 kg/h碳酸氢钠水溶液量为:4.19015.08434.0 kg/hυ0=02.14.19023.91 =276.1 l/h t =01kCa XafXaf 1进料中氯乙醇量的浓度:C Ao =1023.11.27634.0 -3kmol/l =1.23 mol/lt =95.0195.023.12.51 2.97 h V =276.1×(2.97+0.5)=958.07 l2、已知氯乙醇2.97的皂化反应为:CH 2Cl-CH 2OH+NaHCO 3→CH 2OHCH 2OH+NaCl+CO 2 属基元反应,其反应速度常数k=5.2L/mol ·h ,现拟用15%(质量)的NaHCO 3水溶液30%(质量)的氯乙醇水溶液为原料,建立一个日产480Kg 的乙二醇的中间工厂,今使用等摩尔比原料,要求氯乙醇转化率为95%,反应为等温等容过程,混合物料比重为1.02,试计算: 采用理想管式流动反应器时所需体积。
解:V =υ0t投料氯乙醇的量为:2495.0624800.34 kmol/hCH 2CL -CH 2OH 的水溶液量为:23.9130.05.8034.0 kg/hNaHCO 3水溶液量为:4.19015.08434.0 kg/hυ0=02.14.19023.91 =276.1 l/h t =01kCa XafXaf 1进料中C Ao =1.2761034.0 =1.23 mol/l∴t =95.0195.023.12.51 2.97 h ∴V =2.97×276.1=820.02 l3、已知基元反应:CH 2Cl-CH 2OH+NaHCO 3→CH 2OHCH 2OH+NaCl+CO 2,其反应速度常数k =5.2L/mol ·h ,现拟用15%(质量)的NaHCO 3水溶液30%(质量)的CH 2Cl-CH 2OH 水溶液为原料,建立一个日产480Kg 的CH 2OHCH 2OH 的中间工厂,反应可视为等温等容过程,混合物料比重为1.02。
1.化学反应工程是一门研究化学反应的工程问题的科学。
2.反应物经过化学反应生成产物的过程用____定量关系__________予以描述时,该定量关系式称为化学反应式。
3.化学工程共同的现象,可概括为“三传一反”,即质量传递,动量传递,能量场地、、及化学反应。
4.混合物的初态体积流量为Vso,反应体积为V R,若按单位反应体积计算空速,则空速SV= Vso/V R 。
5.工业反应器按操作方法分类,可分为:间歇反应器、连续反应器、半间歇反应器。
6.多重反应系统中存在着一定的__独立反应数_________或____关键组分数_______,而其它反应或其它组分均可由物料衡算关系确定。
7.确定独立反应数所采用的方法有:_院子矩阵法________,______简易法___。
8.对于多重反应,反应产物中有目的产物和副产物。
目前一般采用转化率和目的产物的__选择性_______以及____收率_____来评价反应的进程和产物分布。
9.等温等压下关键组分的反应进度由ξ1 变为ξ2 时反应的焓变称为_反应韩_______。
10.固体催化剂一般由__活性组分_____、_助催化剂______和____载体___组成11.目前描述固定床反应器的数学模型可分为___拟均相____和__非均相_____ 的两大类。
12.化学反应工程是一门研究的科学。
13.对于恒容的平推流反应器空时、反应时间、平均停留时间一致。
14.流体的混合程度常用调匀度S 、流体混合态来描述。
15.催化剂在使用过程中,可能因晶体结构变化、融合等导致表面积减少造成的物理失活,也可能由于化学物质造成的中毒或物料发生分解而造成的化学失活。
16.描述流化床的数学模型,对于气、乳两相的流动模式一般认为气相相为平推流。
而对乳相则有种种不同的流型。
17.对于多孔性的催化剂,分子扩散很复杂,当微孔孔径在约0.1um时,分子与孔壁的碰撞为扩散阻力的主要因素。
18.多相反应过程是指同时存在两种或更多相态的反应系统所进行的反应过程。
化学工程基础(武汉大学第二版)1、在间歇反应器中进行等温一级反应 A T R+S,已知反应进行30S 时反应物A 的转化率为90%,求转化率达到99%时还需要多少时间? 计算结果说明了什么?2、 在间歇反应器中进行等温液相反应A+B T R 已知(*) 二kC A C B molL -1min -1,k=0.3Lmol-1min-1,C AO 二C B0=0.2molL -1,试计算反 应物A 的转化率分别达到 90%和99%时所需要的时间,并做比较。
3、 在间歇反应器中用乙酸和丁醇生产乙酸丁酯,其反应式为:CH 3COOH+C 4H 9OHCH 3COOC 4H 9 +H 2OABCD反应在100C 等温进行,进料物质的量比为A:B=1:4.97,并以少量硫酸为催化剂。
由于丁醇过量,其动力学方程为(-「A ) =kC 2A ,式中k 为1.74x 10-2m 3kmol -1min -1。
已知反应物密度p 为750kg/m 3(反应前后基本不变),若每天生产乙酸丁酯 2450kg (不考虑分离过程损 失),每批物料的非生产时间取 0.5h,求乙酸转化率为 55%时所需 间歇反应器的体积(装料系数© =0.75)。
解:CH 3COOH +C 4H 3OHCH 3COOC 4H 9+H 2O2450由化学反应方程可知:F AO =0.0326kmol/minA024 60 116 1-055750 0.0326AO160 1 74 4.971.753kmol /m 30.0186m 3/minV OC AO1.7532 2 2 ( rA) kC A kC A 。
1 X Atx A 0.55kC A0 1 x A1.74 10 2 1.753 1 0.55V R v 0 t t 0.0186 40.07 30 1.30m 3V RT VR黑"答:略。
4、在间歇反应器中进行二级液相反应 A+B - R+S,两种反应物的起 始浓度均为1kmol/m 3,反应10min 后的转化率为80%。
1 有一反应在间歇反应器中进行,经过8min 后,反应物转化掉80%,经过18min 后,转化掉90%,求表达此反应的动力学方程式。
解 2A A min 18A0min 8A0AA A0d d 219.019.0181)(218.018.081)(11kc tc kc kc x x c kt =-=-⋅==-⋅=-⋅=为假设正确,动力学方程 2反应O 2H N 2NO 2H 222+→+,在恒容下用等摩尔H 2,NO 进行实验,测得以下数据总压/MPa 0.0272 0.0326 0.0381 0.0435 0.0543 半衰期/s26518613510467求此反应的级数。
解()()()()()205.4644.4905.4226.5580.5ln 304.1526.1658.1814.1995.1ln 671041351862652715.02175.01905.01630.01360.021ln ln 115.01ln 15.015.0115.0111d d d d d d 21A021A0A0210A p 12110A p 121p 1A0110A A0A 21p 1A10A p 1AA p A A p A AA0AA 21t p t p p p t p n n k t p n k t k p p n p p t t t k p p n tk n p tp p tk p p p k tp n nn nn n nn p pn p p t n n n-----==-+--=--=--===--=+-=-=-=---------+---⎰⎰总作图,得直线对A021ln ln p tl n t 1/2ln p A0Y=A+B*X ParameterValue Error A 1.60217 0.01399 B -1.99460.00834三级反应斜率319946.19946.1≈-=--n n3A 和B 在水溶液中进行反应,在25℃下测得下列数据,试确定该反应反应级数和反应速度常数。
反应⼯程课堂例题例1-1某⼚合成聚氯⼄烯所⽤的氯⼄烯单体,由C 2H 2和HCl 以活性炭为载体的氯化汞催化剂上合成制得,其反应式如下:2223C +HC C C H l H l →该⼚所⽤的原料混合⽓中组分摩尔⽐为:22C :HC 1:1.1H l =若反应器出⼝⽓体中氯⼄烯含量为0.85(摩尔分率),试分别计算⼄炔和氯化氢的转化率。
例1-2考虑反应3A P →,其动⼒学⽅程为:A 1()=AA dn n r k V dt V--= 试推导在恒容条件下以总压p 总表⽰的动⼒学⽅程。
例1-3如⽓相基元反应22A B P +→,已知k c ,现以⽓相分压来表⽰速率⽅程,即2A ()=k p AB r p p -,求k p 。
例1-4醋酐稀⽔溶液的液相⽔合为⼆级不可逆反应3223()2CH CO O H O CH COOH +→进⾏⽔合的间歇反应器温度为15?C ,初浓度为432.1610/mol cm -?,装料200L ,反应混合物密度为1.05g/cm 3,反应速率的典型结果如下表所⽰,表中c A 为醋酐浓度(mol/cm 3)求:(1)说明为什么⼆级反应速率可写成如表所⽰的表达式; (2)如反应在15?C 下等温操作,醋酐转化率达到0.7需要多长时间? (3)确定以温度和浓度表⽰的反应速率⽅程式。
解:(3)Arrhenius ⽅程变形:01ln ln ()()a E k k R T=+-将1ln ~k T-进⾏线性拟合得到拟合⽅程5626.717.01y x =+故:700ln 17.01 2.4105627.746788/a ak k E E J mol R=?=?=?=即:7A 46788()=2.410exp()A r c RT-?-某⼚采⽤⼰⼆酸和⼰⼆醇等摩尔⽐⽣产醇酸树脂(催化剂H 2SO 4),反应温度70?C ,测得动⼒学⽅程:2()A A r kc -=,其中:3311301.9710min ,4A k m kmol c kmol m ----=?=要求⼰⼆酸处理量为2400kg/d ,当转化率为0.8和0.9时,求: (1)采⽤间歇釜时,所需反应器体积,每批操作辅助时间为1h ,装填系数为0.75;(2)采⽤平推流反应器的体积;(3)采⽤全混流反应器的体积。
反应工程计算示例1.1在银催化剂上进行甲醇氧化为甲醛的反应:3222CH OH O 2HCHO 2H O +→+32222CH OH 3O 2CO 4H O +→+进入反应器的原料气中,甲醇:空气:水蒸气=2:4:1.3(摩尔比),反应后甲醇的转化率达72%,甲醛的收率为69.2%。
试计算(1) (1) 反应的选择性;(2) (2) 反应器出口气体的组成。
解:(1)由(1.7)式得反应的选择性为:0.629Y S 0.961196.11%X 0.720====(2)进入反应器的原料气中,甲醇:空气:水蒸气=2:4:1.3(摩尔比),当进入反应器的总原料量为100mol 时,则反应器的进料组成为A P 口甲醇、甲醛和二氧化碳的摩尔数n A 、n P 和n c 分别为:n A =n A0(1-X A )=7.672 mol n P =n A0Y P =18.96 moln C =n A0(X A -Y P )=0.7672 mol结合上述反应的化学计量式,水(n W )、氧气(n O )和氮气(n N )的摩尔数分别为:n W =n W0+n P +2n C =38.30 mol n O =n O0-1/2n P -3/2n C =0.8788 mol n N =n N0=43.28 mol所以,反应器出口气体组成为:2.14在Pt 催化剂上进行异丙苯分解反应:65326636()⇔+C H CH CH C H C H以A,B 及R 分别表示异丙苯,苯及丙烯,反应步骤如下:(1)σσ+⇔A A (2)σσ⇔+A B R(3)σσ⇔+B B若表面反应为速率控制步骤,试推导异丙苯分解的速率方程。
解:根据速率控制步骤及定态近似原理,除表面反应外,其它两步达到平衡,描述如下:θσσθθθ+⇔==A VA A A A VAp A A K K pσσθθ⇔+=-A A R B A B Rr k kpθσσθθθ⇔+==B V B B B B VBp B B K K p以表面反应速率方程来代表整个反应的速率方程:θθ=-A A R B r k kp由于1θθθ++=A B V将,θθA B 代入上式得: 1θθθ++=A A V B B V V K p K p整理得:11θ=++V A A B BK p K p将,,θθθA B V 代入速率方程中()/111-=-=++++++A A R B B A B R PA A AB B A A B B A A B B kK p kp K p k p p p K r K p K p K p K p K p K p其中/==AP A B k kK K kK kK2.15在银催化剂上进行乙烯氧化反应:2422422+→C H O C H O化作22()()2()+→A B R 其反应步骤可表示如下:(1)σσ+⇔A A (2)222σσ+⇔B B (3)σσσσ+⇔+A B R(4)σσ⇔+R R若是第三步是速率控制步骤,试推导其动力学方程。
1. 某工厂在间歇反应器中进行两次试验,初始浓度相同并达到相同的转化率,第一次试验在20℃下进行8天,第二次试验在120℃下进行10分钟,试估算该反应的活化能。
2. 一般情况下,反应温度上升10℃,反应速率增大一倍(即为原来的2倍)。
为了使这一规律成立,活化能与温度间应保持关系?并求出下列温度下的活化能。
温度(K ):300,400,600.3. 醋酸和乙醇的反应为二级反应,在间歇反应器中进行,转化率达到50%时需要5min ,问,转化率为75%时需要增加多长时间?4. 证明一级反应在等温条件下转化率99.9%所需要的反应时间为转化率为50%所需时间的10倍。
5. 现有0.5级反应A→P ,10min 后转化率为0.75,问半小时后转化率为多少?6. 在等温间歇反应器中进行下列液相反应:P B A →+ )/(23h m kmol c r A P ⋅=R A →2)/(5.032h m kmol c r A R ⋅=A 和B 的初始浓度均为2 kmol /m 3,P 为目标产物,试计算反应2 h 时A 的转化率和产物P 的收率。
7. 在一理想管式反应器中进行二级反应,当进料初始浓度从0.3降到0.04,而要求反应器出口的残余浓度维持在0.001。
请问进料体积流率应作如何调整?8. 四氟乙烯是生产聚四氟乙烯所用的单体,可以将一氯二氟甲烷进行热分解得到,反应方程为:HCl F C CHClF 22222+→若在0.10133Mpa ,700℃的等温条件下,用直径为100 mm 的管式反应器进行分解纯的一氯二氟甲烷,原料流量为0.4 kmol/min 。
试计算分解率为0.8时所需管长。
已知反应为一级,700℃时反应的速率常数k =0.97 s -1.9. 在理想管式反应器中进行反应P A →,反应温度555 K 、压力0.294 Mpa 。
已知进料中含有30%的A (摩尔分率),其余为惰性气体。
A 的加料流率为6.3 mol/s ,动力学方程为A A kc r =-)(为了达到转化率95%,试求该反应器的体积。
---------------------------------------------------------精品 文档---------------------------------------------------------------------71.应用脉冲示踪法测定一容积为12 l 的反应装置,进入此反应器的流体流速0v =0.8(l/min ),在定常态下脉冲的输入80克的示踪剂A ,并同时测其出口物料中A 的浓度C A 随时间的变化,实测数据如下: t (min ) 0 5 10 15 20 25 30 35 C A (g/l )355421试根据实验数据确定E (t )曲线的方差2t σ和2θσ。
解:首先对实验数据进行一致性检验,此时应满足:1008.080000====⎰∞C v M dt C A100)]0253(4)145(20[35=+++++++=⎰∞dt C A∴实验数据的一致性检验是满足的。
∵222)(t dt t E t t -=⎰∞σ其中(min)158.0120===v V t由数据计算得如下表: t (min ) 0 5 10 15 20 25 30 35 E (t )=C A /C 00 0.03 0.05 0.05 0.04 0.02 0.01 0 t 2E (t )0.75511.251612.59263)]05.1225.1175.0(4)9165(20[35)(02=+++++++=⎰∞dt t E t∴38)15(26322=-=t σ169.015382222===t t σσθ72.有一管式反应装置经脉冲示踪法实验测得如下表所示的数:0v =0.8 m 3/min ;m=80kg ;∴0C =80/0.8=100t(分) 0 2 4 6 8 10 12 14 16 C A (kg/m 3) 06.512.512.5105.02.51.0试根据表列数据确定该装置的有效容积V 、平均停留时间t 、方差2t σ和2θσ。
1
有一反应在间歇反应器中进行, 经过8min 后, 反应物转化掉80%, 经过18min 后, 转化掉90%, 求表示此反应的动力学方程式。
解
2
A A min 18A0min 8A0A
A A0d d 2
19.019.0181)(21
8.018.081)(11kc t
c kc kc x x c kt =-
=-⋅==
-⋅=-⋅=
为假设正确,动力学方程 2
反应O 2H N 2NO 2H
222
+→+, 在恒容下用等摩尔
H 2, NO 进行实验, 测
得以下数据
总压/MPa 0.0272 0.0326 0.0381 0.0435 0.0543 半衰期/s
265
186
135
104
67
求此反应的级数。
解
()
()
()()
()205
.4644
.4905
.4226
.5580
.5ln 304.1526.1658.1814.1995.1ln 671041351862652715
.02175.01905.01630.01360
.02
1ln ln 115.01ln 15.015.0115.01
11d d d d d d 2
1A021A0A02
10A p 12
110A p 121p 1A0110A A0
A 21p 1A
10A p 1A
A p A A p A A
A0
A
A 2
1t p t p p p t p n n k t p n k t k p p n p p t t t k p p n t
k n p t
p p t
k p p p k t
p n n
n n
n n n
n p p
n p p t n n n
-----=
=-+--=--=--===--=+-=-=-=-
--------+---⎰⎰总
作图,得直线对A021ln ln p t
Y=A+B*X
Parameter
Value Error A 1.60217 0.01399 B -1.9946
0.00834
三级反应斜率3
19946.19946
.1≈-=--n n
3
A 和
B 在水溶液中进行反应, 在25℃下测得下列数据, 试确定该反应反应级数和反应速度常数。
时间/s
116.8 319.8 490.2 913.8 1188 ∞ c A /kmol ·m -3 99.0 90.6 83.0 70.6 65.3 42.4 c B /kmol ·m -3
56.6
48.2
40.6
28.2
22.9
解
由c A -c B =42.4可知反应应按下列方式A+B →产物进行
l n t 1/2
ln p A0
设为二级反应
B A A
d d c kc t
c =-
积分得: B A0B0A B0A0ln 1c c c c c c kt -=
以B
A
B0A0ln 1c c
c c -对t 作图若为直线, 则假设正确。
由c A0-c B0=42.4整理得数据如下:
t
116.8 319.8 490.2 913.8 1188 B
A B0A0ln 1c c
c c y -= 0.013
2
0.0149
0.0169
0.0216
0.0247
线性回归:
Y=A+B*X
Parameter
Value Error A 0.01166 1.84643E-4 B
1.08978E-5
2.55927E-7
01166.0100898.15+⨯=-t y
B
A 5
A 1
135100898.1d d s kmol m 100898.1c c t
c k ----⨯=-⨯= 4
在间歇搅拌槽式反应器中, 用醋酸与丁醇生产醋酸丁酯, 反应式为:
()()()()
S R B A O H H COOC CH OH H C COOH CH 2943SO H 9434
2+−−→−+
y
t
反应物配比为: A(mol):B(mol)=1:4.97, 反应在100℃下进行。
A 转化率达50%需要时间为24.6min, 辅助生产时间为30min, 每天生产2400kg 醋酸丁酯( 忽略分离损失) , 计算反应器体积。
混合物密度为750kg ·m -3, 反应器装填系数为0.75。
解
3
31
31
11
1
1
1i 1.2m 0.75
0.8949
总体积
反应0.8949m 0.910.9834有效体积反应0.91hr
60
54.6
折合54.6min 3024.6总生产时间hr 0.9834m 750
737.5
换算成体积流量hr 737.5kg 634.1103.4总投料量hr 634.1kg 744.97724.1B 4.97:1B :A hr 103.4kg 601.724折算成质hr 1.724kmol 0.5
0.862
的投料量
A ,则50%转化率hr 0.862kmol 116
100
hr 100kg 2400/24R 116 74 60 M S R B A ==⨯==+=⋅=+⋅=⨯⨯=⋅=⨯⋅=⋅=⋅=+→+-------器器投料量则量流量产量
5
液相一级不可逆分解反应A →B+C 于常温下在一个2m 3全混流反应器( CSTR, MFR, 连续搅拌槽式反应器) 中等温进行。
进口反应物浓度为1kmol ·m -3, 体积流量为1m 3hr -1, 出口转化率为80%。
因后续工段设备故障, 出口物流中断。
操作人员为此紧急停止反应器进料。
半小时后故障排除, 生产恢复。
试计算生产恢复时反应器内物料的转化率为多少?
解
9264.01
0736
.01m kmol 0736.02
.0hr 22.02.01120A A A0A 3
A 5.02A
0A A
1
Af A A00=-=-=
⋅====-=--=-⨯---c c c x c e c e c c k k r c c V V kt 料即为间歇反应器
全混流反应器切断进出首先求反应速率常数
6
反应A+B →R+S, 已知V R =0.001m 3, 物料进料速率V 0=0.5×10-3m 3min -1, c A0=c B0=5mol ·m 3, 动力学方程式为−r A =kc A c B , 其中k =100m 3kmol -1min -1。
求: (1)反应在平推流反应器中进行时出口转化率为多少? (2)欲用全混流反应器得到相同的出口转化率, 反应器体积应多大?(3)若全混流反应器体积V R =0.001m 3, 可达到的转化率为多少?
已知k =1m 3kmol -1hr -1, c B0=3kmol ·m -3, c A 饱和=0.02kmol ·m -3, 水溶液流量为10m 3hr -1。
解 平推流
5
.00005
.051.0001.011
1111)111(1)1(d 10A0R Af Af 0A 02A A 0A 0R Af =⨯⨯+
-=+-
=--=-=⎰V kc V x x kc x x kc V V x (1) 全混流
3
330R 2B A A A0A A A00R m 1024105.040025.01000025
.0005.0--⨯=⨯⨯===⨯-=-=--=τV V c kc c c r c c V V
(2) ()()
()3820
.0111005.0100105.0m 001.01A 2
A A 2
A A
33
R 2A 20A A A0B A A A0A A A00R =-=
-⨯⨯==-=-=--=-x x x x x V x kc x c c kc c c r c c V V
第二章
3.一级反应A →P, 在一体积为V P 的平推流反应器中进行, 已知进料温度为150℃, 活化能为84kJ ·mol -1, 如改用全混流反应器, 其所需体积设为V m , 则V m /V p 应有何关系?当转化率为0.6时, 如果使V m =V p , 反应温度应如何变化?如反应级数分别为n =2, 1/2, −1时, 全混流反应器的体积将怎样改变? 解:
)
1ln()1()
exp(
)1ln()1()
1(CSTR
)1ln(11d 1)(d PFR )exp()(A A A
p m A A A p m A 0A A A0m A A00A A A00A A A0P A 0A A A A x x x RT E RT E x x k k x V V x k c x F V x k c x x k c r x F V c RT E
k kc r x x ----=---=
-=
--=-=-=-==-⎰⎰
)
1ln()1()1ln()1( IF A A A A A P m m
p x x x x x k k x V V T T A
---=
---==。