多元函数微分学自测题
- 格式:doc
- 大小:199.50 KB
- 文档页数:6
多元函数微分学及其应用(时间:150分钟)一、选择题(每小题3分,共15分)1、二重极限21lim 1x x y x y a x +→∞→⎛⎫- ⎪⎝⎭之值为( ).(A ) 0; (B ) 1; (C ) 1e -; (D ) e .2、设函数),(y x f 在),(00y x 处的偏导数),(y x f x 与),(y x f y 存在,则( ).(A ) ),(y x f 在),(00y x 处可微;(B ) ),(y x f 在),(00y x 处连续;(C ) ),(y x f 在),(00y x 处沿任意方向的方向导数存在;(D ) 以上三个结论都不正确.3、已知矩形的周长为2p ,将它绕其一边旋转而形成一个旋转体,当此旋转体的体积为最大时,矩形两边长分别为( ).(A ),22p p ; (B )2,33p p ; (C ) 3,44p p ; (D ) 23,55p p . 4、假设曲线2121522y x z x =-⎧⎪⎨=-⎪⎩在点(1,-1,-2)处的切线与直线533903210,x y z x y z -+-=⎧⎨-+-=⎩的夹角ϕ=( ).(A ) 0 ; (B )4π; (C ) 3π; (D )2π. 5、设(),()f x g x 是可微函数,且满足(,)(25)(25)u x y f x y g x y =++-, (,0)sin 2u x x =,(,0)0y u x =,则(,)u x y =( ).(A )sin 2cos5x y ; (B )sin 5cos 2x y ; (C )cos5sin 2x y ; (D )cos 2sin 5x y .二、填空题(每小题3分,共15分)1、设y x e u xsin -=,则y x u ∂∂∂2在点)1,2(π处的值为 . 2、设y x y x y x z -+++=arctanln 22,则dz = . 3、函数z y x u 1⎪⎪⎭⎫ ⎝⎛=在点(1,1,1)处的梯度为 . 4、已知⎪⎭⎫ ⎝⎛=z y z x ϕ,其中ϕ为可微分函数,则=∂∂+∂∂yz y x z x . 5、已知曲面xy z =上点p 处的法线l 平行于直线2121326:1-=--=-z y x l ,则法线l 的方程为 . 三、计算题(每小题6分,共30分)1、设)sin ,2(x y y x f z -=,其中),(v u f 具有连续的二阶偏导数,求yx z ∂∂∂2. 2、已知),(),,(z y x y x f z ϕ==,其中ϕ,f 均为可微分函数,求dxdz . 3、假设函数(,,)w f x y z =,其中f 具有二阶连续偏导数,(,)z z x y =由方程5551z xy z -+=所确定,求w x ∂∂,22w x ∂∂. 4、设n 是曲面222y x z +=在P (1,2,3)处指向外侧的法向量,求函数xz y x u 22233++=在点P 处沿方向n 的方向导数.5、在曲面222316x y z ++=上求一点,使曲面在此点处的切平面平行于下列两条直线:1361:458x y z l --+==,2:l x y z ==.四、(8分) 设),,(z y x f u =有连续偏导数,且ϕϕθϕθcos ,sin sin ,cos sin r z r y r x ===, 证明:若0=∂∂+∂∂+∂∂z u z y u y x u x ,则u 与r 无关. 五、(8分)一正圆锥的半径以每分钟7厘米的速度增大,而它的高以每分钟20厘米的速度减小,求当半径45r =厘米,高100h =厘米时该正圆锥的体积的变化率,此时体积是在增大还是减小?六、(8分)设椭圆12322=+y x 的内接等腰三角形之底边平行于椭圆长轴,求其最大面积.七、(8分) 试证光滑曲面0),(=--z y x z F 的所有切平面均与一固定非零向量平行.八、(8分)已知,,x y z 为实数,且2||3x e y z ++=,证明不等式2||1x e y z ⋅⋅≤.。
第九章多元函数微分学自测题一、 填空题(每题3分,共30分)1.已知22),(y x xy y x f -=+ ,则f(x ,y)= ( )。
2.)sin(11lim 00xy xy y x -+→→=( ). 3.已知()=∂∂-=x z y x z 则,2sin ln ( ). 4. 可微函数),(y x f 在点),(00y x 达到极值,则必有( )5.由方程2222=+++z y x xyz 确定的函数z =z (x ,y ),在点(1,0,-1)处的全微分dz =( ).6. 设 22ln arctan y x y x +=,则dy dx=( ) 7. 函数221)ln(y x xx y z --+-=的定义域是( )8.函数222y x z -=是否有极值点,若有,写出该点,否则写无( )9. 设)ln(y x e e z +=,则yz x z ∂∂+∂∂= 10 函数f(x,y)=(6x-x 2)(4y-y 2)的极值点有( ).二、 单项选择题(每题3分,共15分)1. 设2y zx e u -=,则zu ∂∂=( ) A. 2y zx e --; B.2y zx xe --; C. 22y z x e y x --; D. 22y zx e y x - 2.二元函数),(),(00y x y x f z 在点=可导(偏导数存在)与可微的关系是( ).A. 可导必可微;B. 可导一定不可微 ;C.可微不一定可导;D.可微必可导.3.函数其它)0,0(),(0),(22≠⎩⎨⎧=+y x y x f yx xy 在(0,0)处 ( )A. 连续,偏导数存在;B. 连续,偏导数不存在;C. 不连续,偏导数存在;D. 不连续,偏导数不存在。
4. 对函数xy z =,原点(0,0)( ).A.不是驻点; B.是驻点但非极值点;C.是驻点且为极大值点; D.是驻点且为极大值点.5.二元函数(,)z f x y =在00(,)x y 点的两个偏导都存在,则下列说法正确的是( ).A . 0000(,)(,)x y dz f x y dx f x y dy =+;B .函数0(,)z f x y =在0x x =点连续;C .函数0(,)z f x y =在0y y =点不连续;D .函数(,)z f x y =在00(,)x y 点连续.三、计算题(每题5分,共55分)1. 设函数)sin ,2(x y y x f z -=,求yx z ∂∂∂2. 2.设),,,(y x u f z = yxe u = .其中f 具有连续的二阶连续偏导数,求y x z ∂∂∂2. 3.求偏导数 2(,cos ,)xy z f e xy y =4. 由方程0),(=++x z y y z x F 所确定,其中F 为可微函数,求: yz y x z x ∂∂+∂∂。
第八章 多元函数微分学自测题及解答一、选择题1.若函数) ,(y x f 在点) ,( y x 处不连续,则( C )(A )) ,(lim y x f y y x x→→必不存在; (B )) ,( y x f 必不存在;(C )) ,(y x f 在点) ,( y x 必不可微;(D )) ,( y x f x 、) ,( y x f y 必不存在。
2.考虑二元函数) ,(y x f 的下面4 条性质: ①函数) ,(y x f 在点) ,( y x 处连续;②函数) ,(y x f 在点) ,( y x 处两个偏导数连续; ③函数) ,(y x f 在点) ,( y x 处可微;④函数) ,(y x f 在点) ,( y x 处两个偏导数存在。
则下面结论正确的是( A )(A )②⇒③⇒①;(B )③⇒②⇒①;(C )③⇒④⇒①; D )③⇒①⇒④。
3.设函数⎪⎩⎪⎨⎧=+≠++=0 , 0 0 ,),(2222242y x y x y x yx y x f ,则在)0 ,0(点处( C )(A )连续,偏导数存在; (B )连续,偏导数不存在; (C )不连续,偏导数存在; (D )不连续,偏导数不存在。
解:取2x y =,∵0)0,0(21lim),(lim 4440002=≠=+=→→=→f x x xy x f x x y x ,∴)0,0(f 在)0 ,0(点处不连续,而0)0,0()0,0(==y x f f 。
故应选(C ) 4.设z y x u =,则=∂∂)2,2,3(yu ( C )(A )3ln 4; (B )3ln 8; (C )3ln 324; (D )3ln 162。
5.若函数),(y x f 在区域D 内具有二阶偏导数:22x f ∂∂,22y f ∂∂,y x f ∂∂∂2,xy f∂∂∂2, 则( D ) (A )必有xy f y x f ∂∂∂=∂∂∂22; (B )),(y x f 在D 内必连续; (C )),(y x f 在D 内必可微; (D )以上结论都不对。
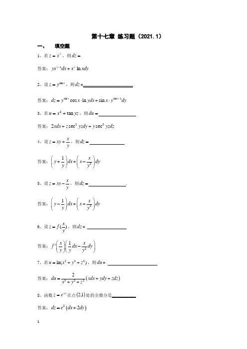
第十七章 练习题(2021.1)一、 填空题1、若yx z =,则_______=dz 答案:xdy x dx yx y y ln 1+-2、设x y z sin =,则dz =_______________________ 答案:sin sin 1cos ln sin -=⋅+⋅xx dz yx ydx x y dy3、若yz x u tan 2+=,则=du 答案:yzdz y yzdy z xdx 22sec sec 2++ 4、设xz xy y=+,则dz = 答案:21x y dx x dy y y ⎛⎫⎛⎫++- ⎪ ⎪⎝⎭⎝⎭ 5、设yxxy z -=,则dz = . 答案:21⎛⎫⎛⎫-++ ⎪ ⎪⎝⎭⎝⎭x y dx x dy y y 6、设)(yx f z =,则dz =答案:21⎛⎫⎛⎫'-⎪⎪⎝⎭⎝⎭x xf dx dy y y y 7、若222ln()u x y z =++,则du =答案:()2222=++++du xdx ydy zdz x y z8、函数xye z =在点()1,2处的全微分是___________ 答案:()22=+dz e dx dy9、dz z dy y dx e du x322-+=,则=∂∂22xu________.答案:xe2210、dz e dy y xdx du z22-+=,则=∂∂22zu________.答案:z e 22-11、dy y x dx y x du )cos ()sin 2(++=,则=∂∂∂23yx u________. 答案:y sin -12、dy y x dx y x du )cos ()sin 2(++=,则=∂∂∂yx u2________.答案:y cos13、设22(,)+=+f xy x y x y ,则(,)=x f x y ________.答案:2-14、设)2ln(),(xy x y x f +=,则=')0,1(x f 答案:115、设t uv z sin +=,而te u =,t v cos =,则=dtdz________. 答案:t t t e t cos )sin (cos +- 16、 设)(22y x f z +=,则=∂∂-∂∂yzx x z y __________. 答案:017、设⎪⎪⎭⎫ ⎝⎛+=y x f z 1ln ,则y zy x z x ∂∂+∂∂2=_________.答案:018、 设函数 yye x z 2=,则=∂∂∂yx z2______________.答案:2(1)+yx y e19、已知()()xyx xy y x f sin1,-+=,则()='0,1x f _______,()='0,1y f ________答案:(1,0)0=x f(1,0)1=y f20、设x y z arctan =,则=∂∂22xz.答案:222)(2y x xy+21、设22v u z +=,而y x u +=,y x v -=,则=∂∂xz_____,=∂∂y z ________.答案:=∂∂xzx 4,=∂∂y z y 422、 ()y x f ,在点()y x ,可微分是()y x f ,在该点连续的_____条件; ()y x f z ,=在点()y x ,可微分是函数在该点的偏导数x z ∂∂及yz ∂∂存在的______条件.(填“充要”或“充分”或“必要”)答案:充分,充分 23、 (),z f x y =的偏导数z x ∂∂及z y∂∂在点(),x y 存在且连续是(),f x y 在该点可微分的_______条件 答案:充分24、xyz e y x z y x f y++=cos ),,(,)1,0,1(0P 则grad =)(0P f . 答案:)0,2,1(25、y z x e ze z y x f yxcos sin ),,(++=,)0,1,0(0P 则grad =)(0P f . 答案:)1cos 1,0,(+e26、xyze y y x z y xf ++=2sin ),,(,)1,0,1(0P 则grad =)(0P f .答案:(0,2,0)27、y z x y xe z y x f zcos sin ),,(2++=,)0,1,0(0P 则=)(0P gradf . 答案:)1cos ,0,2(28、设()23,,32f x y z x y z yz =+-+,则()1,1,1gradf = .答案:()2,10,1-29、y z x y xe z y x f z cos sin ),,(2++=,)0,1,1(=l ,则=∂∂)0,1,0(lf __________.答案:230、设32),,(z y x z y x f ++=,则f 在点)1,1,1(0P 处沿方向()1,2,2:-l 的方向导数是___________. 答案:1331、直线l 与x 轴,y 轴,z 轴夹角分别为3,6,4πππ,则xyz u =在点()1,1,1的方向导数为 .答案:1232、222z y x u ++=在()2,1,1沿方向()γβαcos ,cos ,cos l 的方向导数 答案:2cos 2cos 4cos ++αβγ33、设xyz e y x z y x f y++=cos ),,(,)1,0,1(0P ,1(0,1,0)P ,01:→l P P ,则∂=∂P fl.答案:334、若函数(,)f x y 在)(0,00y x P 存在偏导数,且在0P 取得极值, 则00(,)x f x y '=00(,)y f x y '= . 答案:035、若函数y xy ax x y x f 22),(22+++=在点()1,1-处取得极值,则常数=a答案:5-二、选择题1、 设(,)z f x y =,则00(,)=y f x y ( B ) A. yy x f y y x x f y ∆-∆+∆+→∆),(),(lim00000B. y y x f y y x f y ∆-∆+→∆),(),(lim 00000C. xy x f y x x f y ∆-∆+→∆),(),(lim00000D. y y x f y y x f y ∆-∆-→∆),(),(lim 000002、 设(,)z f x y =,则00(,)=x f x y ( C ) A. yy x f y y x x f x ∆-∆+∆+→∆),(),(lim00000B. y y x f y y x f y ∆-∆+→∆),(),(lim 00000C. x y x f y x x f x ∆-∆+→∆),(),(lim00000D. xy x f y x x f x ∆-∆-→∆),(),(lim 000003、 设 (),z f x y =在 ()00,x y 处的全增量为 z ∆,若 (),z f x y =在 ()00,x y 处可微,则在 ()00,x y 处( D ).A. z dz ∆=B.x y z f x f y ''∆=∆+∆C. x y z f dx f dy ''∆=+D. z dz η∆=+( η.4、曲线⎪⎩⎪⎨⎧=+=4422y y x z 在点)5,4,2(处的切线与x 轴正向的夹角是( A ) A.4πB. 2arctanC. 1D. 2 5、设()=-x z f y,且)(x f 可导,则=∂∂xz( C ) A .)(y x f -' B .)(2y x f y x -' C .)(1y x f y -'- D .)(yx f x -'- 6、设()=-xz f y,且)(x f 可导,则∂=∂zy( B ) A .)(y x f -' B .)(2y x f y x -' C .)(1y x f y -'- D .)(yx f x -'- 7、设)(22y x f z -=且f 具有导数,则∂∂+=∂∂z zx y( C ) A. y x 22- B. )()22(22y x f y x --C. )()22(22y x f y x -'-D. )()22(22y x f y x -'+ 8、设 )ln(xy z =,则dz =( A )A.dy y dx x 11+ B. dy xy dx xy 11+ C. ydy xdx + D. dy x dx y 11+9、设222),,(zx yz xy z y x f ++=,则=)1,0,2(yz f ( C )A .3B .0C .2D . 110、 对于函数,),(22y x y x f -=点)0,0(( B ) A. 不是驻点; B. 是驻点却非极值点; C. 是极小值点; D. 是极大值点.11、关于函数()()224,y x y x y x f ---=的极值,下列说法正确的是( D )A 、极小值()82,2=-fB 、极大值()00,0=fC 、极小值()00,0=fD 、极大值()82,2=-f 12、二元函数 225y x z --= 的极大值点是( C ).A. ()0 , 1B. ()1 , 0C. ()0 , 0D. ()1 , 1 13、下列说法错误的是( C ).A.若),(y x f 在),(00y x 可微,则),(y x f 在),(00y x 连续.B.若),(y x f 在),(00y x 可微,则),(y x f x ,),(y x f y 存在.C.若),(y x f x ,),(y x f y 存在,则),(y x f 在),(00y x 可微.D.若),(y x f x ,),(y x f y 在),(00y x 连续,则),(y x f 在),(00y x 可微. 14、两个偏导数00(,)∂∂x y zx 和00(,)∂∂x y z y 存在是函数),(y x f 在点),(000y x P 连续的( D )A 、充分而非必要条件;B .必要而非充条件;C .充分必要条件;D .既非充分条件又非必要条件; 15、两个偏导数00(,)∂∂x y zx 和00(,)∂∂x y z y 存在,函数),(y x f z =在点),(000y x P ( C )A. 连续B. 可微C. 不一定连续D. 一定不连续16、两个偏导数00(,)∂∂x y zx 和00(,)∂∂x y z y 存在是),(y x f z =点),(000y x P 可微的( B )A. 充分条件B. 必要条件C. 充要条件D. 无关条件17、若),(y x f 在),(000y x P 可微,则0),(),(0000==y x f y x f y x 是),(y x f 在),(000y x P 取得极值( B )A. 充要条件B.必要条件C.充分条件D. 既非充分又非必要条件 18、 设函数 ),(y x f z =在 ),(00y x 处不连续,则),(y x f 在该点处( D ) A. 必无定义; B. 极限必不存在; C. 偏导数必不存在; D 全微分必不存在.19、 函数 ),(y x f z =在 ),(00y x 处连续是函数在),(00y x 可微的( D ) A. 必要条件; B. 充分条件; C. 充要条件; D. 既非充分又非必要条件. 20、下列说法正确的是( A )A. 若),(y x f xy 和),(y x f yx 都在点),(00y x 连续,则 ),(),(0000y x f y x f yx xy =B. 若),(y x f xy 存在,则),(y x f yx 存在。
第七章多元函数微积分简介自测题—选择题1.二元函数z=f(x,y)在点(心,儿)处可微的充分条件是()f(x,y)在点(x QJ y 0 )处连续;£'(兀刃拆(兀刃在(站儿的某邻域存在;Az 負兀(),y 0)Ar - f ;(x 0, y 0)Ay,+△),° 时,是无穷小量;餐’答,则趙3) oxoy cxoyCf(x,y)+ 0(文 +0(y) D f(x,y)+ 换文 ^(y)4. 已知(axy 3-y 2cosk dx+(l+bysinx+3x y 2 )2dy 为某一函数 f(x,y)的全微分,则 a 和 b的值分别是 ()A ・2和2,B 2和・2,C ・3和3D 3和・3.Q = x 2 +y 2 H 05. 设函数/(“)= J"*/,则/(匕刃()x 2 + y 2 =0、(A)处处连续; (B)处处有极限,但不连续;(C)仅在(0,0)点连续;(D)除(0,0)点外处处连续 66 函数z 二f(x,y)在点(x 0,y 0)处具有偏导数是它在该点存在全微分的()3. J" +△), (x 2 + y 2)sin 化当阿7乔-0时,严则在原点x 2 + y 2=0o0,偏导数不存在;B 不可微 C 偏导数存在口连续 D设换文为任意一个x 的可微两数,是无穷小量。
(0,0)处 f(x,y)()可微©(y)为任意一个y 的可微函数,若已知(A)必要而非充分条件; (B) 充分而非必要条件;A f(x,y)+ 0(丈B f(x,y)+ 泌y) 2.7.设函数z = l-jF+b ,则点(o,o)是函数z的(A)极大值点但非最大值点;(B)极人值点且是最人值点;(C)极小值点但非最小值点;(D)极小值点口是最小值点。
8.函数./*(兀,刃=丽,在点(0,0)处/(x, y)(04天津竞赛题)()A.可微B.偏导数存在C.连续,但偏导数不存在D.不连续且偏导数不存在9.考虑二元函数/(X, y)的下面四个性质:①/(x, y)在点(兀° ,儿)处连续;②/(兀,刃在点(心,)'o)处的两个偏导数连续;®/(x,刃在点(兀0 ,儿)处可微;④/(X, y)在点(X。
高等数学:第八章多元函数微分学自测题答案《高等数学》单元自测题答案第八章多元函数微分学一.填空题1.3ln 3xy y ;2.503-; 3.y x z y ++-; 4.x x e e cos ; 5.dy dx 3131+; 6. 3 ; 7.22; 8.k j i 345++.二.选择题1.B ;2.D ;3. C ;4.D ;5.A ;6.B ;7. B ;8.A .三.解答题1. 解 22222222222211)221(1y x yx y x x y x x y x x y x x x z +=+++++=++++=??, 22222222221y x x y x y y x y y x x y z +++=+++=??. 2. 解22222)(11y x y x y x y x z +-=-+=??, 2222111y x x x x y y z +=+=??, 22222222)(2)(2y x xy y x x y x z +=+?--=??, 22222222)(2)(2y x xy y x y x y z +-=+?-=??, 222222222222)()(2)(y x x y y x y y y x x y z y x z +-=+?++-==. 3. 解设z z y x z y x F 4),,(222-++=,有 2422''--=--=-=??z x z x F F x z zx . 4. 证明 rx z y x x x r =++=??22222, 3222211r x r x r r x r x r -=??-=??, 同理 32221r y r y r -==??, 32221r z r z r -=??, 所以 r r r r rz y x r z r y r x r 233323222222222=-=++-=??+??+??.5. 解 '22'1f xy yf x z -=??, )1(1)1(''22''212'22''12''11'12f x xf xy f x f x xf y f y x z +--++= =''223''11'22'11f xy xyf f x f -+-. 6. 解令=+-==-+=,063,09632'2'y y f x x f y x 得驻点 (1,0), (1,2), (-3,0), (-3,2) 又66''+=x f xx , 0''=xy f , 66''+-=y f yy ,在点(1,0)处,0722>=-B AC ,012>=A ,所以5)0,1(-=f 为极小值; 在点(1,2)处,0722<-=-B AC , ,所以)2,1(f 不是极值;在点(-3,0)处,0722<-=-B AC , 所以)0,3(-f 不是极值;在点(-3,2)处,0722>=-B AC ,012<-=A ,所以31)2,3(=-f 为极大值.7. 解设 14),,(222-++=z y x z y x F , 则=n }2,2,2{},,{'''z y x F F F z y x =,}6,4,2{)3,2,1(=n ,切平面方程为0)3(6)2(4)1(2=-+-+-z y x , 即 01432=-++z y x , 法线方程为332211-=-=-z y x . 8. 解设长,宽,高为 z y x ,,,由题设 xyV z =,水箱的表面积 )11(2)(2),(y x V xy z y x xy y x S S ++=++==, 问题成为求 ),(y x S 在区域 0,0:>>y x D 的最小值问题.令=-==-=,02,022'2'y V x S x V y S y x得D 内唯一驻点3002V y x ==,由问题实际意义知 ),(y x S 在D内的最小值一定存在,因此可断定),(00y x S 就是最小值,此时 33304 22V V V Vz =?=.。
考研数学专题—多元函数自测题(1)一、 选择题 (单选或多选) 1.设()22,,,xyy x f x y f x y x y =则⎛⎫= ⎪-⎝⎭( )。
42xyAy x- 2244x y B y x- 2244x y C y x+- 2244y x D y x-- 2.若函数),(y x f 在区域D 内具有二阶偏导数,则结论正确的是( )。
A 必有22f fx y y x∂∂=∂∂∂∂ B (,)f x y D 在内必可微 C (,)f x y D 在内必连续 D A ,B ,C 都不对3.二元函数(),f x y 在点()00,x y 处的两个偏导数''x 00y 00f(x ,y ),f(x ,y )存在是 00函数f(x,y)在点(x ,y )连续的( )。
A 必要而非充分条件;B 充分而非必要条件;C 充分必要条件;D 既非充分又非必要条件。
4.''x 00y0000f(x ,y )=0,f(x ,y )=0是函数f(x,y)在点(x ,y ) 取得极值的( )。
A 必要条件 B 充分条件 C 充分必要条件 D 既非充分又非必要条件 5.设323(,)(1)(1)tan (1,0)y f x y x y x f =-+-=则( )。
A 1- B 1 C 2 D 06.设区域{}222(,),0,(a D x y x y a y =+≤≥>0).则xy dxdy =⎰⎰D( ).A.0aa-⎰B.0aaxydy xydy -+⎰⎰C 30(cos sin )ad r dr πθθθ-⎰⎰ D.23302cos sin cos sin a ad r dr d r dr πππθθθθθθ-⎰⎰⎰⎰7.222{(,),0}D x y x y R y =+≤≥,下列积分值( )为零.A. 2Dyx d σ⎰⎰ B. 2Dxy d σ⎰⎰C. 22()Dx y d +σ⎰⎰ D. ()Dx y d +σ⎰⎰二、 填空题1.函数arcsin y z x =的定义域为 ___.2.若1),1z f z x f x z z x y ===如果当y 时,,则()和(,)的表达式分别为 ___.3.设由(1,1,1)(1,1,1)(,,)0(,),1,2,F F F x y z z f x y xy∂∂===-=∂∂确定了二元函数且已知(1,1,1)(1,1,1)1,zz yx∂∂==∂∂则___.4.设22(),z f x y f =+且可微,则zx∂∂= ___. 5.交换积分顺序⎰⎰-122),(y ydx y x f dy= ___,6.累次积分211y xdx e dy -⎰⎰= ___.三、计算题1.求函数 )]ln(ln[x y x z -= 的定义域并画出定义域草图。
第九章 多元函数微分法及其应用1、 填空题1) 设()xy y x z -+=22arcsin ,其定义域为(){}0,1,22≥>≤+x y y xy x2) 函数223z x xy y =++的偏导数x z =y x 32+,y z =y x 23+3) 函数xyz e =在点(2,1)处的全微分dz =dy e dx e 222+4) 设sin z uv t =+,而,cos t u e v t ==,则dzdt=t t u ve t cos sin +- 5) ()y x f z ,=在点()y x ,的偏导数x z ∂∂及yz ∂∂存在是()y x f ,在该点可微分的 必要 条件 6)()()xy xy y x 42lim0,0,+-→=41-7) 函数xy x y z 2222-+=在(){}02,2=-x y y x 间断8) 设2lnx y z +=,则在点()1,1,10M 的法线方程为111111--=-=-z y x9) 曲面1232222=++z y x 上点()1,2,1-处的切平面方程为()()()0162812=-++--z y x10) 设()222ln zy x u ++=在点()2,2,1-M 处的梯度=M gradu()2,2,192- 11) 设()xz y x z y x f ++=2,,,则()z y x f ,,在()1,0,1沿方向→→→→+-=k j i l 22的方向导数为35 2、 求ln()z x x y =+的二阶偏导数解:y x x y x x z +++=∂∂)ln( yx xy z +=∂∂2222)(2)(1y x y x y x y y x x z ++=+++=∂∂ 222)()(1y x yy x x y x y x z +=+-+=∂∂∂ 22)(y x y x y z +=∂∂∂ 222)(y x xy z +-=∂∂ 3、 sin uz e v =,而,u xy v x y ==+,求z x ∂∂和z y∂∂ 解:)cos()sin(cos sin y x e y x ye v e v ye xv v z x u u z x z xy xy u u +++=+=∂∂∂∂+∂∂∂∂=∂∂ )cos()sin(cos sin y x e y x xe v e v xe yv v z y u u z y z xy xy u u +++=+=∂∂∂∂+∂∂∂∂=∂∂ 4、 已知20xyzez e --+=,求z x ∂∂,z y ∂∂,22xz∂∂解:令z xy e z e z y x F +-=-2),,( 则xy x ye F --= xyy xeF --= z z e F +-=2所以 2-=-=∂∂-z xy z x e ye F F x z 2-=-=∂∂-zxyz y e xe F F y z 322222222)2(])2[()2(2)2()2()2(-+--=-----=-∂∂---=∂∂-------z xy z z xy z z xyz xy z xy z zxyz xye e e e e y e e ye e ye e e y e x z eye e ey x z5、 设0,1,xu yv yu xv -=⎧⎨+=⎩求,,,u u v vx y x y ∂∂∂∂∂∂∂∂ 解:将方程的两边对X 求导并移项,得⎪⎩⎪⎨⎧-=∂∂+∂∂-=∂∂-∂∂vx v x xu y u x v y x ux 在条件下022≠+=-y x x y y x 则22y x yv xu xy y x x v yu x u ++-=----=∂∂22y x xvyu xy y x v y u x xv +-=---=∂∂将方程的两边对y 求导并移项,得⎪⎪⎩⎪⎪⎨⎧-=∂∂+∂∂=∂∂-∂∂u y v x yu y v yv y y ux 在条件下022≠+=-y x xy y x22y x yu xv x y y x x u y v y u +-=---=∂∂22y x yvxu xy y x u y vxyv++-=--=∂∂6、 求曲线⎩⎨⎧=-+-=-++0453203222z y x x z y x 在点()1,1,1处的切线及法平面方程.解:⎪⎩⎪⎨⎧-=+--=+2532322dx dz dx dy x dx dz z dx dyy则z y z x z y z x dx dy 61041015532252223++-=---=z y xy z y xy dx dz 610694532223232+-+-=----=169)1,1,1(=dxdy 161)1,1,1(-=dxdz 故所求切线方程为:1)1(169)1(1611--=-=-z y x 所求法平面方程为:0)1()1(9)1(16=---+-z x x7、 求旋转抛物面221z x y =+-在点(2,1,4)处的切平面及法线方程. 解:令1),,(22--+=z y x z y x F 则}1,2,2{},,{-==y x F F F n z y x}1,2,4{)4,1,2(-=n切平面方程:0)4()1(2)2(4=---+-z y x法线方程:142142--=-=-z y x 8、 求函数2yz xe =在点(1,0)P 处沿从点(1,0)P 到点)1,2(Q 的方向的方向导数.解:}1,1{=PQ 则与PQ 同向的单位向量是}22,22{1)0,1(2)0,1(==∂∂ye xz22)0,1(2)0,1(==∂∂yxe yz故方向导数为223)0,1(=∂∂lz9、 问函数z xy u 2=在点()2,1,1-P 处沿什么方向的方向导数最大?并求此方向导数的最大值.解:→→→+-=k j i g r a d u 42是方向导数取最大值的方向,此方向导数的最大值为21=gradu10、求函数y x y x y x f 44),(22+-+=的极值解:⎩⎨⎧=+==-=042042y f x f yx 得驻点(2,-2)2=xx f 0=xy f 2=yy f 在(2,-2)点002>>-A B AC 且函数在(2,-2)有极小值 -811、欲选一个无盖的长方形水池,已知底部造价为每平方米a 元,侧面造价为每平方米b 元,现用A 元造一个容积最大的水池,求它的尺寸. 解:设长为x 宽为y 高为z问题可看作xyz V =在条件byz bxz axy A 22++=下的最值 令())22(,,,A byz bxz axy xyz z y x F -+++=λλ⎪⎪⎩⎪⎪⎨⎧++==++==++==++=)(22)(022)(02)1(024 3 2 byz bxz axy A y b x b xy F z b x a xz F z b y a yz F z yx λλλλλλ 由(1)—(2)可得 y x =或)-y x (与实际意义矛盾,舍去可推出=-=λa z 将y x =代入(3)得 λb y x 4-==(5) 将(5)代入(1)得到 λa z 2-= (6) 将(5)(6)代入(4)可以得到 2248abA=λ,分别代入(5)(6)可得 a A y x 3==宽长,aA b a z 32=高 12、抛物面22y x z +=被平面1=++z y x 截成一椭圆,求原点到这个椭圆的最长与最短距离.解:问题可看作2222z y x d ++=在条件⎩⎨⎧=+++=122z y x y x z 下的最值,令()()()1,,,,22222-+++-++++=z y x u z y x z y x u z y x F λλ⎪⎪⎪⎩⎪⎪⎪⎨⎧=-+++==+-==++==++=)(01)()(02)(022)1(022225 4 3 2 z y x y x z u z F u y y F u x x F z y x λλλ 由(1)(2)知 )1(2λμ+-==y x (6),由(3)得 2μλ-=z (7)由(4)(5)得x x 2122-= (8) 将(6)(7)代入(8)得到)31)(1(±-+=λμ (9)将(9)代入(1)得到 231 -==y x (10) 由(5)得到 3221±=-=x z (11)将(10)(11)代入 2222z y x d ++=求得最长距离为:359+,最短距离为:359-。
第2章 多元函数微分学一、二元函数的极限专题练习:1.求下列二元函数的极限: (1)()11(,)2,2lim2;y xy x y xy +⎛⎫→- ⎪⎝⎭+ (2)()()2222(,),3limsin;x y x y x y →∞∞++(3) ()(,)0,1sin lim;x y xyx →(4)((,)0,0limx y →解: (1) 当1(,)2,2x y ⎛⎫→- ⎪⎝⎭时,10xy +→,因此()[]1112(1)11(,)2,(,)2,22lim2lim1(1)e yxy y xy x y x y xy xy -++⎛⎫⎛⎫→-→- ⎪⎪⎝⎭⎝⎭⎧⎫+=++=⎨⎬⎩⎭。
(2) 当()(,),x y →-∞+∞时,2230x y →+,因此222233sin ~x y x y++, ()()()()22222222(,),(,),33limsinlim 3x y x y x y x y x y x y →∞∞→∞∞+=+⋅=++。
(3) 当()(,)0,1x y →时,0xy →,因此sin ~xy xy ,()()(,)0,1(,)0,1sin limlim 1x y x y xy xyx x →→==。
(4) 当()(,)0,0x y →10,0xy →→,因此,(())())(,)0,0(,)0,0(,)0,01limlimlim12x y x y x y xy xy→→→===。
2.证明:当()(,)0,0x y →时,()44344(,)x y f x y xy=+的极限不存在。
证明: 取2(0)y kx k =≠,则()()()()()()()444484433334444444(,)0,0(,)0,0(,)0,0limlimlim11x y x y x y x y k x x k k xyxk xk k →→→===++++显然此极限值与k 的取值相关,因此当()(,)0,0x y →时,()44344(,)x y f x y xy=+的极限不存在。
多元函数微分学练习题一、判断题(正确的在括号内打√,错误 的在括号内打⨯)( )1.(,)lim2x y →=( )2.z =的定义域为221x y +≥( )3. 若函数(,)z f x y =在点00(,)x y 处0000(,),(,)x y f x y f x y 存在,则(,)z f x y =在点00(,)x y 连续.( )4. 函数z =2x 2+4y 2在点(0, 0)处有极大值.( )5. 在有界闭区域D 上的多元连续函数, 必定在D 上有界, 且能取得它的最大值和最小值.( )6. 在有界闭区域D 上的多元连续函数必取得介于最大值和最小值之间的任何值.( )7. 函数2222222 0(,)0 0x y x y x y f x y x y ⎧+≠⎪+=⎨⎪+=⎩在(0,0)连续( )8. 设函数(,)z f x y =的全微分为2(1)dz x dx y dy =--,则(,)f x y 在(1,0)点处无极值( )9. 若二元函数z =f (x , y )在点(x , y ) 偏导数x z ∂∂、yz ∂∂连续,则函数在该点可微.( )10. 若二元函数z =f (x , y )的全微分dz xdx ydy =+,则(0,0)不是z =f (x , y )的连续点. ( )11. 二元函数的驻点一定是极值点. ( )12. 设44z x y =+,则(0,0)0dz=二、选择题(将最佳答案的序号填写在括号内)1. 函数(),f x y 在点()00,x y 处的两个偏导数()()0000,,,x y f x y f x y 都存在是 函数(),f x y 在该点可微的( )A 、 充分条件B 、 必要条件C 、 充要条件D 、无关条件2. 二元函数()222222,0,0,0xy x y x y f x y x y ⎧+≠⎪+=⎨⎪+=⎩在()0,0处( )A 、 极限存在B 、 连续C 、 可微D 、 关于,x y 得偏导数存在 3 设函数2x z x y y =+,则z x∂=∂( ) A 、2yxy x+B 、 2xy y +C 、 22x xy y -D 、12xy y +4. 曲面()2222321,0x y z z ++=>上某点的切平面平行于已知平面460x y z ++=则该点的坐标为( )A 、()1,2,2B 、 ()1,2,2---C 、()1,2,2±±±D 、()1,2,2-5. 点()2,2-为函数()()22,4f x y x y x y =---的( )A 、极大值点B 、极小值点C 、临界点但非极值点D 、无法确定6. 设(,)x yf x y x y+=-,则下列命题不正确的是( ) A 、00lim (,)x y f x y →→不存在 B 、0lim (,)1x f x y →=C 、0lim (,)1x f x y →=- D 、0lim (,)1y f x y →=7.设(,)f x y 在00(,)x y 点的充分小邻域内可微,且(,)f x y 在00(,)x y 点 取得极值,则下列命题正确的是( )A 、(,)f x y 在00(,)x y 点不连续B 、(,)f x y 在00(,)x y 点可能连续,也可能不连续C 、00(,)0df x y =D 、0000(,)(,)f f x y x y x y∂∂≠∂∂ 8. 若Z=f(x,y)有连续的二阶偏导数,且(,)()xyx y Kf =''常数,则(,)y f x y '=( )A 、22kB 、K yC 、 )(x ky ϕ+D 、)(y kx ϕ+9. 下列结论不正确的是( ) A、函数z =在点(0, 0)处有极小值.B 、函数(1)(1)z x y =--在点(1, 1)处既取不到极大值也取不极小值.C 、若二元函数z =f (x , y )在点(x , y ) 可微,则函数在该点的偏导数x z ∂∂、yz ∂∂存在且连续.D 、22z x y =-在(0,0)点处有极小值三、填空题(将最佳答案填写在横线中)1. ()101lim 1xx y xy →→+= .2. 设函数z=x 2+y 2,当x=1,y=1,时01.0,02.0=∆=∆y x ,全微分dz= . 3.()22(,)(0,0)1limsinx y xy y→+= 4. 函数z =f (x , y )在点(x 0, y 0)具有偏导数, 则在点(x 0, y 0)处有极值的必要条件是 5. 设ln(1)xz y =+,则11x y dz === 6. 若点1(,1)4是函数2ln ()()z y x x y a x y b =+++-的一个极值点,则a = 7. 设(,)f x y xy =,其中221x y +=,则(,)f x y 的极大值为 8. 设函数()y f x =由方程2cos()1x y e xy e +-=-确定,则曲线()y f x =在点(0,1)处的法线方程为9. 设ln cos z u v t =+,其中,cos tu e v t ==,则dzdt= 10. 若cos xz e y =,则zx∂=∂ ,z y ∂=∂11. 若22arctan()z x y =+,则zx∂=∂ ,z y ∂=∂12.若z =,则22z z x y ⎛⎫∂∂⎛⎫+= ⎪ ⎪∂∂⎝⎭⎝⎭ 13. 若sin xz y y =则2z x y∂∂∂在点(,2)π处的值为14. 若sin xz xye=,则22zx∂=∂15、设cos ,uz e v =而,,y x v xy u +==则zx∂=∂ ,z y ∂=∂16、设(,)z z x y =而cos ,sin x r y r θθ==,则zr∂=∂ zθ∂=∂ 17、设22ln()xyz x y e =-+,则zx∂=∂ ,z y ∂=∂18、设y z u xye -=,其中3sin ,,x t y t z t ===,则dudt= 四、证明题1. 若1111,f z x y x ⎛⎫-=- ⎪⎝⎭证明:222z z xy z x y ∂∂+=∂∂. 2. 设()()y x at x at ϕψ=++- (其中ϕ,ψ具有二阶连续导数)证明:22222y y a t x∂∂=∂∂ 3. 已知 (,)0(,),(,),(,)x yF z z x y F u v z x y z z==确定其中均有连续编导数,求证z yz y x z x=∂∂+∂∂ 4. 函数22ln y x z +=满足方程02222=∂∂+∂∂y z x z 五、计算题1. 设3xyz x y e =+,求 222,z zx x y∂∂∂∂∂. 2. 设()sin ln tz t =,求dz dt. 3. 设arctan 0x y y -+=,求22d ydx.4. 求曲线226,12y x z x ==在12x =处的切线方程及法平面方程. 5. 已知2sin(x+2y-3z)=x+2y-3z ,求zy∂∂6. 设23,sin ,u vzeu x v x -===,求全导数dzdx.7. 设函数(,())z f xy yg x =,其中函数f 具有二阶连续偏导数,函数()g x 可导且在1x =处取得极小值(1)1g =,求211x y zx y==∂∂∂.8.设2ln(zz y y x∂=+∂∂求9. 设()x y z x y z e-++++=确定(,)z z x y =,求全微分dz10 求曲线 2223023540x y z x x y z ++-=⎧⎨⎩-+-= 在点(1,1,1)处的切线与法平面方程11. 设 ),(v u f 具有二阶连续偏导数,且满足,12222=∂∂+∂∂v fu f2222221(,),(),2g g g x y f xy x y x y ∂∂⎡⎤=-+⎢⎥∂∂⎣⎦求 12. 求函数22442y xy x y x z ---+=的极值第十章 重积分一、填空题1. 交换⎰⎰--21222),(x x xdy y x f dx 得2. 求曲线2,422ayx ax y ==所围成图形的面积为 ,(a >0) 3. 设D 为0),0(222≥>≤+y a a y x 围成闭区域,则dxdy x D⎰⎰2化为化为极坐标下的二次积分的表达式为 4. 设Ω:2222R z y x ≤++,则dxdydz z D⎰⎰⎰2= 二、选择题1. 设积分区域D :是圆环:,4122≤+≤y x 则二重积分⎰⎰+Ddxdy y x 22=(A )dr r d ⎰⎰πθ2012(B )dr d r⎰⎰πθ204(C )dr r d ⎰⎰πθ20212(D )dr r d ⎰⎰πθ20212.下列结果中正确的是( )A 、若D :122≤+y x ,D 1:122≤+y x ,x,y ≥0,则⎰⎰--Ddxdy y x 221=4⎰⎰--1221D dxdy y xB 、若D :122≤+y x ,D 1:122≤+y x ,x,y ≥0,则⎰⎰Dxydxdy =4⎰⎰1D xydxdyC 、二重积分⎰⎰D dxdy y x f ),(的几何意义是以Z=f(x,y)为曲顶,以O 为底的曲顶柱体的体积。
多元函数微分习题-(1)多元函数微分法及其应⽤同步测试(2009年4⽉)注:红⾊的题⽬超出范围,不做.测试1⼀、填空题(3分×4=12分)1、设22,y x x y y x f -=??? ?+,则=),(y x f 。
2、=+→222)0,0(),(sin lim y x yx y x 。
3、设xyze z y xf =),,(,则=zy x f 3 。
4、曲线==zx x y 22在点)1,1,1(0P 处的切线⽅程为。
⼆、选择题(4分×3=12分)1、设有⼆元函数=≠+=),0,0(),(,0),0,0(),(,),(242y x y x y x yx y x f 则 [ ]。
A 、),(lim)0,0(),(y x f y x →存在, ),(y x f 在(0,0)处不连续; B 、),(lim )0,0(),(y x f y x →不存在, ),(y x f 在(0,0)处不连续; C 、),(lim )0,0(),(y x f y x →存在, ),(y x f 在(0,0)处连续;D 、),(lim )0,0(),(y x f y x →不存在, ),(y x f 在(0,0)处连续。
2、函数),(y x f 在),(000y x P 连续是),(y x f 在),(000y x P 各⼀阶偏导数存在的[ ]。
A 、必要条件;B 、充分条件;C 、充要条件;D 、既⾮必要也⾮充分条件。
3、点)0,0(O 的函数xyz=的[ ]。
A 、极⼩值点;B 、驻点但⾮极值点;C 、极⼤值点;D 、最⼤值点。
三、计算题(6分×5=30分)1、设=+≠++=.00,0),ln(),(222222y x y x y x x y x f 求),(y x f 各⼀阶偏导数。
2、设+=y x x y x f ln ),(,求此函数在点)1,1(0P 处的全微分。
3、设),(y x f z =由⽅程0=-++++y x z e y x z 所确定,求dz 。
第七章-多元函数微积分简介-自测题第七章 多元函数微积分简介 自测题一.选择题1.二元函数z=f(x,y)在点(0,x y )处可微的充分条件是 ( )A f(x,y)在点(0,x y )处连续;B 00(,),(,),x y f x y f x y x y ''在()的某邻域存在;C 220000(,)(,),0x y f x y x f x y y x y ''∆∆-∆∆+∆→z-当时,是无穷小量;D2222(,)(,)0f x y x f x y yx y x y''∆∆-∆∆+∆∆+∆z-,当时,是无穷小量。
2.22221()sin ,(,)0,x y x y f x y ⎧+⎪+=⎨⎪⎩222200x y x y +≠+=,。
则在原点(0,0)处f(x,y) ( )A 偏导数不存在;B 不可微C 偏导数存在且连续D 可微3.设x ϕ()为任意一个x 的可微函数,ψ(y )为任意一个y 的可微函数,若已知22F f,(,)F x y x y x y∂∂≠∂∂∂∂则是 ( ) A f(x,y)+x ϕ() B f(x,y)+ψ(y )C f(x,y)+x ϕ()+ψ(y )D f(x,y)+ x ϕ()ψ(y )4.已知3222(axy -y cosx )dx+(1+bysinx+3x y )dy 为某一函数f(x,y)的全微分,则a 和b 的值分别是 ( ) A -2和2, B 2和-2, C -3和3 D 3和-3. 5.设函数f x y xy x y x y x y (,)=++≠+=⎧⎨⎪⎩⎪222222000,则(,)f x y( )(A) 处处连续; (B) 处处有极限,但不连续;(C) 仅在(0,0)点连续; (D) 除(0,0)点外处处连续6.函数z f x y =(,)在点(,)x y 0处具有偏导数是它在该点存在全微分的 ( )(A)必要而非充分条件; (B)充分而非必要条件;(C)充分必要条件; (D)既非充分又非必要条件 7.设函数z x y =-+122,则点(,)00是函数 z 的( )(A )极大值点但非最大值点; (B )极大值点且是最大值点;(C )极小值点但非最小值点; (D )极小值点且是最小值点。
第九章多元函数微分学自测题
一、 填空题
1.已知22),(y x x
y y x f -=+ ,则f(x ,y)= ( )。
2.)
sin(11lim 00xy xy y x -+→→=( ). 3.设xy y x z -+=1arctan ,则y
x z ∂∂∂2=( ). 4. 设函数x y z arctan
=,则dz =( ). 5.由方程2222=+++z y x xyz 确定的函数z =z (x ,y ),在点(1,0,-1)处的全微分dz =( ).
6.y xe z 2=在点)0,1(1M 处沿从点)0,1(1M 到点)1,2(2-M 的方向的方向导数( ).
7.设z =),(y x f 具有一阶连续偏导数,则梯度grad ),(y x f =( ).; z =),(y x f 沿梯度方向的方向导数为( ). 。
8. 设函数),(y x z z =由函数y z z x ln =确定,则x
z ∂∂=( ). 9. 求球面62
22=++z y x 在点(1,2,1)处的切平面方程( ). 10 函数f(x,y)=(6x-x 2)(4y-y 2)的极值点有( ). 二、 单项选择题
1. 设2y z
x e u -=,则z
u ∂∂=( ) A. 2y z
x e --; B.2y z
x xe --; C. 22y z x e y x --; D. 22y z
x e y x - 2.二元函数),(),(00y x y x f z 在点=可导(偏导数存在)与可微的关系是( ).
A. 可导必可微;
B. 可导一定不可微 ;
C.可微不一定可导;
D.可微必可导.
3.函数其它)0,0(),(0),(22≠⎩⎨⎧=+y x y x f y
x xy 在(0,0)处 ( )
A. 连续,偏导数存在;
B. 连续,偏导数不存在;
C. 不连续,偏导数存在;
D. 不连续,偏导数不存在。
4.函数z x y y x u 642822++-=在原点沿向量{}1,3,2=a
方向的方向导数为( ) A.148- B.148 C.143 D.14
3- 5.函数xy z =,原点(0,0)( ).
A.不是驻点; B.是驻点但非极值点;
C.是驻点且为极大值点; D.是驻点且为极大值点.
6.方程ln 1xz xy z y e -+=,根据隐函数存在定理,存在点(0,1,1)的一个邻域,在此邻域内该方程( ).
A .只能确定一个具有连续偏导数的隐函数(,)z z x y =;
B .可确定两个具有连续偏导数的隐函数(,)y y x z =和(,)z z x y =;
C .可确定两个具有连续偏导数的隐函数(,)x x y z =和(,)z z x y =;
D .可确定两个具有连续偏导数的隐函数(,)x x y z =和(,)y y x z =.
7. 曲线22231
x y z x y z ⎧++=⎨-+=⎩,在点(1,1,1)处的切向量T =( ).
A .(1,1,1);
B .(1,0,1)-;
C .(1,1,1)-;
D .(1,1,1)-.
三、计算题
1. 设函数)sin ,2(x y y x f z -=,求y
x z ∂∂∂2. 2.设),,,(y x u f z = y
xe u = .其中f 具有连续的二阶连续偏导数,求y x z ∂∂∂2. 3.数),(y x f 具有一阶连续偏导数,)1,1(f =1,b f a f ='=')1,1(,)1,1(21
)]},(,[,{)(x x f x f x f x =ϕ,求)1();1(ϕϕ'
4. 由方程0),(=++x z y y z x F 所确定,其中F 为可微函数,求: y
z y x z x ∂∂+∂∂。
5. 曲面632222
=++z y x 在点)1,1,1(P 处指向外侧的法向量,求函数
z
y x u 2
286+=在点P 处沿方向的方向导数。
6. 32=+-xy e z z 在点(1,2,0)的切平面方程
7.⎩
⎨⎧=--+=++030z ay x b y x 在平面π上,而平面π与曲面22y x z +=相切于点)5,2,1(-,求a ,b 的值.
8.求2
2324y xy x x z -+-=的极值.
9. 求表面积为2a 而体积为最大的长方体的体积.
10.三角形的周长为2P ,求出这样的三角形当它绕着自己的一边旋转时所生成的体体积最大。
答案
一、填空题
1. 2(1)1x y y
-+; 2. 12;3. 0;4. 22ydx xdy x y -++;5.22ydx xdy x y -++ 6. 2-
7. ((,),(,))x y f x y f x y 8. z x z
+ 9. 260x y z ++-=;10. (3,2)
二、选择题
1.C ;
2. D ;
3.C ;
4.B ;
5.B ;
6.D ;
7.B
二、计算题
1. 11
122222(2sin cos )cos sin cos f x y x f y x xf xf '''''''-+-++. 2. 211
1321231y y y y xe f e f xe f f e f '''''''''++++. 3. 23(1)1;(1)a ab ab b ϕϕ'==+++.
4. xy z -.
5.
117 . 6. 240x y +-=. 7. 5,2a b =-=-。
8. 在(0,0)点达到极大值(0,0)0f =).
9.
3
. 10. 当三边长分别是313,,424
p p p 时,旋转体体积最大,最大体积为3
12p π
部分较难题解答提示
三 、解答题
3. )]},(,[,{)(x x f x f x f x =ϕ
(1){1,[1,(1,1)]}f f f ϕ={1,[1,1]}{1,1}1f f f ===.
1(){,[,(,)]}
x f x f x f x x ϕ''=21212{,[,(,)]}{[,(,)][,(,)][(,)(,)]}f x f x f x x f x f x x f x f x x f x x f x x '''''+++ (1)[()]a b a b a b ϕ'=+++23a ab ab b =+++. 4. z x ∂∂1221211z F F x F F y x
''-=-''+,z y ∂∂1221211z F F y F F y x ''-+=-''+ y z y x z x ∂∂+∂∂=2212121212x yF zyF xzF xy F xF yF xF yF ''''--+=--''''
++=xy z =-+. 7. 过已知直线的平面束方程为
(3)0x y b x ay z λ++++--=。
即 (1)(1)30x a y z b λλλλ+++-+-=。
(1)
而过(1,2,5)-,曲面2
2y x z +=切平面的法向量是 (1,2,5)(2,2,1)|(2,4,1)n x y -=-=--
所以 11241
a λλλ++-==--,得1, 5.a λ==- 又因为平面过点(1,2,5)-,带入(1)式得 2.
b =-
10. 设三角形的三边分别是,,x y z .不妨设绕AC 边旋转,见图,AC 边上的高记为h ,面积是S ,于是
C
==
2 yh S
旋转体的体积为 214()()().33p p x p y p z V yh p y
ππ---== 其中 2x y z p ++=。
考虑求 ln()ln()ln()ln U p x p y p z y =-+-+--
在条件2x y z p ++=的驻点。
令ln()ln()ln()ln (2)F p x p y p z y x y z p λ=-+-+--+++-
解方程组 10x F p x
λ=-+=- 110y F p y y
λ=--+=- 10z F p z
λ=-+=- 20F x y z p κ=++-= 得31,42
x z p y p ===。
(注:本资料素材和资料部分来自网络,仅供参考。
请预览后才下载,期待你的好评与关注!)。