随机过程补充例题
- 格式:doc
- 大小:211.50 KB
- 文档页数:5
随机过程习题一、判断题:5个,10分1、随机过程依照状态空间,可分为离散状态过程和连续状态过程。
2、非齐次泊松过程一定是独立增量过程。
3、设?N(t),t?0?是一个更新过程,Tn是第n次更新发生的时刻,N(t)?n?Tn?t4、任意马尔可夫链都存在极限分布。
5、时齐的连续时间马尔可夫链的转移速率qij有qii?二、填空题:5个,15分?qj?iij。
1、若随机变量X的矩母函数为et2?2,则其期望E(X)为.2、设随机过程X(t)?R?t?C,t?(0,?),C为常数, R服从区间[0,1]上的均匀分布,则其均值函数为.3、设某设备的使用期限为10年, 在前5年内它平均2.5年需要维修一次,后5年平均2年需要维修一次。
则它在使用期内只维修过一次的概率是.4、人的健康状况分为健康和疾病两种状态,设对特定年龄段的人,今年健康、明年保持健康状态的概率为0.8, 而今年患病、明年转为健康状态的概率为0.7,若某人投保时健康, 3年后他仍处于健康状态的概率是.5、设时齐连续时间马尔可夫链{X(t),t?0}是正则的,由状态i经时间t后转移到状态j的概率为Pij(t),则limP(t)? .ijt?0三、计算题:5个,40分1、设数Y在区间(0,1)上随机地取值,当观察到Y=y(02求P{N(1)?2N(1)?1}。
4、设?N(t),t?0?是一个更新过程,Xn是第n?1次更新和第n次更新相距的时间,且P(Xi?1)?1, 3P(Xi?2)?2,i?1,2,?,求P{N(2)?1}。
35、设马尔可夫链的状态空间S?{1,2,3,4},转移概率矩阵为 ?1??4P??0?0??1?14000141001??4?0?, 1??0??试判断状态1是否是常返态。
四、应用题:2个,1题10,2题15分,共25分 1、一队同学顺次等候体检,设每人体检所需要的时间服从均值为2min的指数分布,并且与其他人所需时间是相互独立的,则1h内平均有多少同学接受过体检?在这1h内最多有40名同学接受过体检的概率是多少? 2、我国某种商品在国外销售情况共有连续24个季度的数据(1表示畅销,2表示滞销): 112122111212112211212111 如该商品销售状态满足马尔可夫性和齐次性. 1)确定销售状态的转移概率矩阵; 2)如果现在是畅销,预测这以后第四个季度的销售情况; 3)如果影响销售所有因素不变,预测长期的销售情况. 五、证明题:1个,10分将2个红球放入盒子甲,4个白球放入盒子乙,每次从两个盒子中各取一球交换,以X(n)记第n次交换后盒子甲中的红球数。
一、1.1设二维随机变量(,)的联合概率密度函数为:试求:在时,求。
解:当时,==1.2 设离散型随机变量X服从几何分布:试求的特征函数,并以此求其期望与方差。
解:所以:2.1 袋中红球,每隔单位时间从袋中有一个白球,两个任取一球后放回,对每 对应随机变量一个确定的t⎪⎩⎪⎨⎧=时取得白球如果对时取得红球如果对t e t tt X t 3)(.维分布函数族试求这个随机过程的一2.2 设随机过程,其中是常数,与是相互独立的随机变量,服从区间上的均匀分布,服从瑞利分布,其概率密度为试证明为宽平稳过程。
解:(1)与无关(2),所以(3)只与时间间隔有关,所以为宽平稳过程。
2.3是随机变量,且,其中设随机过程U t U t X 2cos )(=求:,.5)(5)(==U D U E.321)方差函数)协方差函数;()均值函数;((2.4是其中,设有两个随机过程U Ut t Y Ut t X ,)()(32==.5)(=U D 随机变量,且数。
试求它们的互协方差函2.5,试求随机过程是两个随机变量设B At t X B A 3)(,,+=的均值),(+∞-∞=∈T t 相互独若函数和自相关函数B A ,.),()(),2,0(~),4,1(~,21t t R t m U B N A X X 及则且立为多少?3.1一队学生顺次等候体检。
设每人体检所需的时间服从均值为2分钟的指数分布并且与其他人所需时间相互独立,则1小时内平均有多少学生接受过体检?在这1小时内最多有40名学生接受过体检的概率是多少(设学生非常多,医生不会空闲)解:令()N t 表示(0,)t 时间内的体检人数,则()N t 为参数为30的poisson 过程。
以小时为单位。
则((1))30E N =。
40300(30)((1)40)!k k P N e k -=≤=∑。
3.2在某公共汽车起点站有两路公共汽车。
乘客乘坐1,2路公共汽车的强度分别为1λ,2λ,当1路公共汽车有1N 人乘坐后出发;2路公共汽车在有2N 人乘坐后出发。
应用随机过程习题随机过程是概率论和统计学中的一种数学模型,用来描述随机事件在时间上的演化。
应用随机过程的习题有很多,可以涵盖多个领域,例如通信、金融、电力系统等。
下面我将给出一些应用随机过程的习题,并进行详细的解答。
习题1:航空公司的每小时飞行延误时间服从均值为2小时的指数分布。
计算飞行延误时间小于等于3小时的概率。
解答:首先,我们知道指数分布的概率密度函数为f(x)=λe^(-λx),其中λ为参数。
延误时间小于等于3小时的概率可以表示为P(X≤3),其中X为随机变量表示延误时间。
由于题目已经给出了参数λ=1/2小时^-1,我们可以直接代入计算概率。
P(X ≤ 3) = ∫[0, 3] λe^(-λx) dx= ∫[0, 3] (1/2)e^(-(1/2)x) dx=[-e^(-x/2)],0,3=-(e^(-3/2)-1)≈0.7769所以飞行延误时间小于等于3小时的概率约为0.7769习题2:染料厂制造的染料每小时以恒定速率泄漏。
设染料从泄漏口出来的间隔时间服从均值为30分钟的指数分布。
求在1小时内泄漏从未中断的概率。
解答:设泄漏从未中断的概率为P(X>1),其中X为随机变量表示泄漏中断的时间。
由于题目已经给出了参数λ=1/30分钟^-1,我们可以直接代入计算概率。
P(X>1)=1-P(X≤1)= 1 - ∫[0, 1] λe^(-λx) dx= 1 - ∫[0, 1] (1/30)e^(-(1/30)x) dx=1-[-e^(-x/30)],0,1=1-(e^(-1/30)-1)≈0.0335所以在1小时内泄漏从未中断的概率约为0.0335习题3:商店的顾客到达服从均值为10分钟的指数分布,服务时间服从均值为8分钟的指数分布。
求平均每分钟服务完的顾客数。
解答:设顾客到达和服务完的速率为λ和μ,分别表示单位时间内到达和服务完的顾客数。
根据泊松过程的理论,平均每分钟服务完的顾客数为λ/μ。
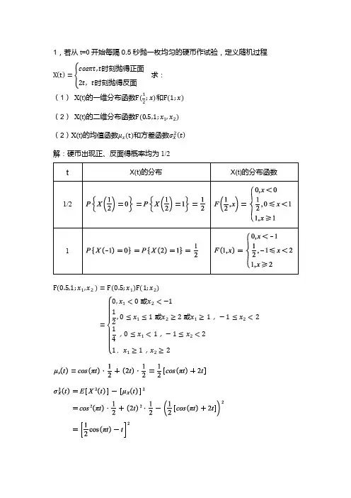
1,若从t=0开始每隔0.5秒抛一枚均匀的硬币作试验,定义随机过程X(t)={cosπt,t时刻抛得正面2t, t时刻抛得反面求:(1)X(t)的一维分布函数F(12;x)和F(1;x)(2)X(t)的二维分布函数F(0.5,1;x1,x2)(2)X(t)的均值函数μx(t)和方差函数σX2(t)解:硬币出现正、反面得概率均为1/2F(0.5,1;x1,x2 )=F(0.5;x1)F(1;x2)={0,x1<0或x2<−112,0≤x1≤1或x2≥2或x1≥1,−1≤x2<214,0≤x1<1,−1≤x2<21,x1≥1,x2≥22,设为参数为σ2的维纳过程, 求积分过程的均值函数和相关函数。
解:设,由与的对称性维纳过程是均方连续, 均方不可导, 均方可积的二阶矩过程.假设乘客按照参数为λ的poisson过程来到一个火车站乘坐某次列车,若火车在时刻t启程,试求在[0,t]内到达车站乘坐该次列车的乘客等待时间总和的数学期望。
设在时间间隔[0,τ]内到达的乘客数为,则时间间隔[0,t]内乘客的总等待时间为某人备有r把伞用于上下班. 如果一天的开始他在家(一天的结束他在办公室)中而且天下雨,只要有伞可取到,他将拿一把到办公室(家)中. 若天不下雨那么他不带伞.假设每天的开始(结束)下雨的概率为p,且与之前下不下雨独立.(1)定义一个有r+1个状态的Markov链并确定转移概率;(2)计算极限分布;(3)这人被雨淋湿的平均次数,所占比率是多少(称天下雨而全部伞却在另一边为被淋湿)?设{Xn}为此人在第n天身边拥有的雨伞数,则I={0, 1,2,…,r},注意到下雨才用伞,而每天的开始下不下雨与之前独立,即知为Markov链.该链的一步转移概率为:于是计算极限分布的状态方程,记显然处于的极限状态才可能被淋湿,但每天的开始(结束)下雨的概率为p, 所以此人被雨淋湿的平均次数,所占比率即被淋湿的概率为某一个只有一名理发师的理发部,至多容纳4名顾客。
2016随机过程(A )解答1、(15分)设随机过程V t U t X +⋅=)(,),0(∞∈t ,U ,V 是相互独立服从正态分布(2,9)N 的随机变量。
1) 求)(t X 的一维概率密度函数;2) 求)(t X 的均值函数、相关函数和协方差函数。
3) 求)(t X 的二维概率密度函数; 解:由于U ,V 是相互独立服从正态分布(2,9)N 的随机变量,所以V t U t X +⋅=)(也服从正态分布,且: {}{}{}{}()()22m t E X t E U t V t E U E V t ==⋅+=⋅+=+{}{}{}{}22()()99D t D X t D U t V t D U D V t ==⋅+=+=+故: (1) )(t X的一维概率密度函数为:()222218(1)(),x t t t f x ex ---+=-∞≤≤∞(2) )(t X 的均值函数为:()22m t t =+;相关函数为:{}{}(,)()()()()R s t E X s X t E U s V U t V =⋅=⋅+⋅⋅+{}{}{}22()13()413st E U s t E U V E V st s t =⋅++⋅⋅+=⋅++⋅+协方差函数为:(,)(,)()()99B s t R s t m s m t st =-⋅=+(3)相关系数:(,)s t ρρ====)(t X 的二维概率密度函数为:2212222(22)(22)12(1)9(1)4(1),12(,)x s x t s t s t f x x eρ⎧⎫⎡⎤-----⎪⎪⎢⎥⎨⎬-++⎢⎥⎪⎪⎣⎦⎩⎭=2、(12分)某商店8时开始营业,在8时顾客平均到达率为每小时4人,在12时顾客的平均到达率线性增长到最高峰每小时80人,从12时到15时顾客平均到达率维持不变为每小时80人。
问在10:00—14:00之间无顾客到达商店的概率是多少?在10:00—14:00之间到达商店顾客数的数学期望和方差是多少? 解:到达商店顾客数服从非齐次泊松过程。
习题一1.设随机变量X 服从几何分布,即:(),0,1,2,...k P X k pq k ===。
求X 的特征函数、EX 及DX 。
其中01,1p q p <<=-是已知参数。
2.(1)求参数为(p,b )的Γ分布的特征函数,其概率密度函数为(2)求其期望和方差;(3)证明对具有相同的参数b 的Γ分布,关于参数p 具有可加性。
3.设X 是一随机变量,F (x )是其分布函数,且是严格单调的,求以下随机变量的特征函数。
(1)(),(0,)Y aF X b a b =+≠是常数; (2)Z=ln F()X ,并求()k E Z (k 为自然数)。
4.设12,,...,n X X X 相互独立,具有相同的几何分布,试求 的分布。
5.试证函数 为一特征函数,并求它所对应的随机变量的分布。
6.试证函数 为一特征函数,并求它所对应的随机变量的分布。
7.设12,,...,n X X X 相互独立同服从正态分布2(,)N a σ,试求n 维随机向量12,,...,n X X X 的分布,并求出其均值向量和协方差矩阵,再求 的概率密度函数。
8.设X 、Y 相互独立,且(1)分别具有参数为(m, p)及(n, p)的二项分布;(2)分别服从参数为12(,),(,)p b p b 的Γ分布。
求X+Y 的分布。
9.已知随机向量(X, Y )的概率密度函数为试求其特征函数。
10.已知四维随机向量X ,X ,X ,X 1234()服从正态分布,均值向量为0,协方差矩阵为B σ⨯kl 44=(),求(X ,X ,X ,X E 1234)。
11.设X 1,X 2 和X 3相互独立,且都服从(0,1)N ,试求随机变量112Y X X =+和213Y X X =+组成的随机向量(Y 1, Y 2)的特征函数。
12.设X 1,X 2 和X 3相互独立,且都服从2(0,)N σ,试求:(1)随机向量(X 1, X 2, X 3)的特征函数;1,0()0,0()p p bxb x e x p x p x --⎧>⎪Γ⎨⎪≤⎩=0,0b p >>1nk k X =∑(1)()(1)jt jnt jt e e f tn e -=-21()1f t t=+11ni i X X n ==∑221[1()],1,1(,)40,xy x y x y p x y ⎧+--<<⎪=⎨⎪⎩其他(2)设112123123,,S X S X X S X X X ==+=++,求随机向量(S 1, S 2, S 3)的特征函数;(3)121Y X X =-和232Y X X =-组成的随机向量(Y 1, Y 2)的特征函数。
一、1.1设二维随机变量(,)的联合概率密度函数为:试求:在时,求。
解:当时,==1.2 设离散型随机变量X服从几何分布:试求的特征函数,并以此求其期望与方差。
解:所以:2.1 袋中红球,每隔单位时间从袋中有一个白球,两个任取一球后放回,对每 对应随机变量一个确定的t⎪⎩⎪⎨⎧=时取得白球如果对时取得红球如果对t e t tt X t 3)(.维分布函数族试求这个随机过程的一2.2 设随机过程,其中是常数,与是相互独立的随机变量,服从区间上的均匀分布,服从瑞利分布,其概率密度为试证明为宽平稳过程。
解:(1)与无关(2),所以(3)只与时间间隔有关,所以为宽平稳过程。
2.3是随机变量,且,其中设随机过程U t U t X 2cos )(=求:,.5)(5)(==U D U E.321)方差函数)协方差函数;()均值函数;((2.4是其中,设有两个随机过程U Ut t Y Ut t X ,)()(32==.5)(=U D 随机变量,且数。
试求它们的互协方差函2.5,试求随机过程是两个随机变量设B At t X B A 3)(,,+=的均值),(+∞-∞=∈T t 相互独若函数和自相关函数B A ,.),()(),2,0(~),4,1(~,21t t R t m U B N A X X 及则且立为多少?3.1一队学生顺次等候体检。
设每人体检所需的时间服从均值为2分钟的指数分布并且与其他人所需时间相互独立,则1小时内平均有多少学生接受过体检?在这1小时内最多有40名学生接受过体检的概率是多少(设学生非常多,医生不会空闲)解:令()N t 表示(0,)t 时间内的体检人数,则()N t 为参数为30的poisson 过程。
以小时为单位。
则((1))30E N =。
40300(30)((1)40)!k k P N e k -=≤=∑。
3.2在某公共汽车起点站有两路公共汽车。
乘客乘坐1,2路公共汽车的强度分别为1λ,2λ,当1路公共汽车有1N 人乘坐后出发;2路公共汽车在有2N 人乘坐后出发。
1、Poisson 过程
2、更新过程
3、Lundberg-Cramer 破产模型
4、鞅
1、设某医院专家门诊,从早上8:00开始就已有无数患者等候,而每次专家只能为一名患者服务,服务的平均时间为20分钟,且每名患者的服务时间是独立的指数分布,求8:00-12:00门诊结束时接受过治疗的患者在医院停留的平均时间。
2、
+1”分,负者记“
-1”分,和局不计分,且当两人中有一人获得2分时结束比赛。
Markov 链。
求
(1)一步转移概率矩阵。
(2)求在甲获得1分的情况下,不超过两局可结束比赛的概率。
1
2、
1元,出现反面则输1元。
假设每次赌博所下赌注将于前面硬币的投掷结果有关,
后所输(赢)的总钱数,
设Markov。
习题一1. 若随机过程()(),X t X t At t =-∞<<+∞为,式中A 为(0,1)上均匀分布的随机变量,求X (t )的一维概率密度(;)X P x t 。
2. 设随机过程()cos(),X t A t t R ωθ=+∈,其中振幅A 及角频率ω均为常数,相位θ是在[,]ππ-上服从均匀分布的随机变量,求X (t )的一维分布。
习题二1. 若随机过程X (t )为X (t )=At t -∞<<+∞,式中A 为(0,1)上均匀分布的随机变量,求12[()],(,)X E X t R t t2. 给定一随机过程X (t )和常数a ,试以X (t )的相关函数表示随机过程()()()Y t X t a X t =+-的自相关函数。
3. 已知随机过程X (t )的均值M X (t )和协方差函数12(,),()X C i t t ϕ是普通函数,试求随机过程()()()Y t X t t ϕ=+是普通函数,试求随机过程()()()Y t X t t ϕ=+的均值和协方差函数。
4. 设()cos sin X t A at B at =+,其中A ,B 是相互独立且服从同一高斯(正态)分布2(0,)N σ的随机变量,a 为常数,试求X (t )的值与相关函数。
习题三1. 试证3.1节均方收敛的性质。
2. 证明:若(),;(),X t t T Y t t T ∈∈均方可微,a ,b 为任意常数,则()()aX t bY t +也是均方可微,且有[()()]()()aX t bY t aX t bY t '''+=+3. 证明:若(),X t t T ∈均方可微,()f t 是普通的可微函数,则()()f t X t 均方可微且[()()]()()()()f t X t f t X t f t X t '''=+4. 证明:设()[,]X t a b 在上均方可微,且()[,]X t a b '在上均方连续,则有()()()b aX t dt X b X a '=-⎰5. 证明,设(),[,];(),[,]X t t T a b Y t t T a b ∈=∈=为两个随机过程,且在T 上均方可积,αβ和为常数,则有[()()]()()b b baaaX t Y t dt X t dt Y t dt αβαβ+=+⎰⎰⎰()()(),b c baacaX t dt X t dt X t dt a c b =+⎰⎰⎰≤≤6. 求随机微分方程()()()[0,](0)0X t aX t Y t t X '+=∈+∞⎧⎨=⎩的()X t 数学期望[()]E X t 。
随机过程习题及部分解答习题一1.若随机过程X(/)为X(0 = A?,-oo<r<+oo,式中4为(0, 1)上均匀分布的随机变量,求X(/)的一维概率密度Px(x;t)。
2.设随机过程X(/) = 4cos(初+ 其中振幅A及角频率①均为常数,相位&是在[-兀,刃上服从均匀分布的随机变量,求X(/)的一维分布。
习题二1.若随机过程X(/)为X(t)=At -00 < r < +00 ,式中4为(0,1)上均匀分布的随机变量,求E[xa)],7?xa』2)2.给定一随机过程X(/)和常数Q,试以X(/)的相关函数表示随机过程y(0 = X(/ + a) —X(/)的自相关函数。
3.已知随机过程X(/)的均值阪⑴和协方差函数Cx (爪© , 0(/)是普通函数,试求随机过程丫⑴=X(/) + 0(/)是普通函数,试求随机过程丫⑴=X(/) + 0(/)的均值和协方差函数。
4.设X(t) = A cos at + B sin at,其中A, B是相互独立且服从同一高斯(正态)分布N(0Q2)的随机变量,a为常数,试求X(/)的值与相关函数。
习题三1.试证3.1节均方收敛的性质。
2.证明:若X(t),twT;Y(t),twT均方可微,a0为任意常数,则aX(t) + bY(t) 也是均方可微,且有[aX (?) + b Y(/)]' = aX'(/) + b Y'(/)3.证明:若X⑴,twT均方可微,/X/)是普通的可微函数,则f(Z)X(Z)均方可微且[f(ox(or-/w(o+/(ox,(o4.证明:设X⑴在[a,b]上均方可微,且X0)在[a,切上均方连续,则有X'⑴ dt = X(b) — X(a)J a5•证明,设X(t\t eT =[a,b];Y{t\t eT = [a,b]为两个随机过程,且在T上均方可积,a和0为常数,则有(*b (*b (*bf [aX(/) + 0Y(/)M = a [ Xit)dt + /3\ Y⑴ dtJ a J a J aeb rc rbaX (t)dt = X (t)dt + XQ) dt,aWcWbJ a J a Jc6.求随机微分方程X'(/) + aX ⑴二丫⑴ze[0,+oo]'X(0) = 0的X(t)数学期望E [X(0]。
随机过程习题集
1. 设随机过程{X(t), t ≥ 0} 是一个马尔可夫过程,且满足转移概率 P{X(t+s) = j | X(t) = i} = P{X(s) = j | X(0) = i}。
证明该随机过程是齐次马尔可夫过程。
2. 设随机过程{X(t), t ≥ 0} 是一个连续时间马尔可夫链,其状态空间为非负整数集合。
设转移速率为λi>0,即
P{X(t+s) = i+1 | X(t) = i} = λi·s + o(s),其中 o(s) 表示当
s 趋于 0 时,o(s)/s 无界。
证明该随机过程是无记忆的。
3. 设随机过程{X(t), t ≥ 0} 是一个马尔可夫过程,其状态空间为有限集合 S = {1, 2, ..., n},转移概率矩阵为 P = [pij],即 P{X(t+s) = j | X(t) = i} = pij。
证明当 t 趋于无穷大时,P(t) = [Pij(t)] 是一个稳态过程,即其转移概率与时间 t 无关。
4. 设随机过程{X(t), t ≥ 0} 是一个马尔可夫过程,其状态空间为非负整数集合。
记τ0 = 0 且τ1 = inf{t > 0: X(t) = 0}。
证明条件P{τ1 < ∞ | X(0) = i} = 1 当且仅当 i > 0。
5. 设随机过程{X(t), t ≥ 0} 是一个服从泊松过程的随机过程,其到达速率为λ。
证明对于任意t ≥ 0,有P{X(t) ≥ 2} = 1 - e^(-λt) - λt e^(-λt)。
这是一些关于随机过程的习题,希望能对你有帮助!如果
你还有其他问题,可以继续提问。
随机过程复习题一、填空题:1.设}),({0≥t t X 是泊松过程,且对于任意012≥>t t ,)()]()([12123t t t X t X E -=-,则15486}6)5(,4)3(,2)1({-====e X X X P ,618}4)3(|6)5({-===e X X P2. 已知马尔可夫链的状态空间为},,{321=I ,初始分布为),,(412141,⎥⎥⎥⎥⎥⎥⎥⎦⎤⎢⎢⎢⎢⎢⎢⎢⎣⎡=43410313131043411)(P 则167)2(12=P ,161}2,2,1{210====X X X P 3.强度λ的泊松过程的协方差函数},min{),(t s t s C X λ= 4.已知平稳过程)(t X 的自相关函数为πττcos )(=X R , 则)]()([)(πωδπωδπω-++=X S5.对于平稳过程X (t)若)()]()([)()(τττX R t X t X E t X t X =+>=+<以概率1成立,则称)(t X 的自相关函数具有各态历经性。
6.已知平稳过程)(t X 的谱密度为23242++=ωωωω)(S ,则)(t X 的均方值=2222- 7. 随机相位过程),cos()(Θω+=t a t X 其中ω,a 为常数,Θ为),(π20上服从均匀分布的随机变量,则0)(>=<t X ,ωττcos 2)()(2a t X t X >=+<8.设马尔可夫链},2,1,0,{ =n X n 的状态空间}1,0{=I ,则一步转移概率矩阵为⎥⎦⎤⎢⎣⎡=9.01.01.09.0P ,初始分布为)31,32()0(=p ,则2X 的分布律为 (2)P = (0.547,0.453),234(1,1,0)________P X X X ====0.099.设...)2,1,0(=n Xn是只有两个状态的齐次马氏链,其n步转移概率矩阵为⎪⎪⎪⎪⎭⎫ ⎝⎛-=n n n nD C n P 21311)(,则n n C D ==nn 21,31二、计算与证明:1.设任意相继两天中,雨天转晴天的概率为31,晴天转雨天的概率为21,任一天晴或雨是互为逆事件,以0表示晴天状态,以1表示雨天状态,nX 表示第n 天的状态(0或1)。
随机过程补充例题
例题1 设袋中有a 个白球b 个黑球。
甲、乙两个赌徒分别有n 元、m 元,他们不知道那一种球多。
他们约定:每一次从袋中摸1个球,如果摸到白球甲给乙1元,如果摸到黑球乙给甲1元,直到两个人有一人输光为止。
求甲输光的概率。
解 此问题是著名的具有两个吸收壁的随机游动问题,也叫赌徒输光问题。
由题知,甲赢1元的概率为b p a b
=+,输1元的概率为
a q a b
=+,设n f 为甲输光的概率,t X 表示赌t 次后甲的赌金,
inf{:0 }t t t X or X m n τ===+,即τ
表示最终摸球次数。
如果
inf{:0 }t t t X or X m n τ===+=Φ(Φ为空集),则令τ=∞。
设A =“第一局甲赢”,则()b
p A a b
=
+,()a
p A a b
=
+,且第一局甲赢的条件下(因甲有1n +元),甲最终输光的概率为1n f +,第一局甲输的条件下(因甲有1n -元),甲最终输光的概率为1n f -,由全概率公式,得到其次一元二次常系数差分方程与边界条件 11n n n f pf qf +-=+
01f =,0m n f +=
解具有边界条件的差分方程 由特征方程
2()p q p q λλ+=+
(1)当q p ≠时,上述方程有解121,q p
λλ==,所以差分方程的
通解为
212()n q
f c c p
=+
代入边界条件得
1()11()n
n n m
q p
f q p
+-=-
-
(2)当q p =时,上述方程有解121λλ==,所以差分方程的通解为
12n f c c n =+
代入边界条件得
1n n
f n m
=-
+ 综合(1)(2)可得
1()11()
1n n m n q p p q
q f p n p q
n m +⎧
-⎪-
≠⎪⎪
-=⎨⎪
⎪-=⎪
+⎩
若乙有无穷多的赌金,则甲最终输光概率为
()
lim 1n jia
n m q p q p p f p q
→∞
⎧>⎪==⎨⎪≤⎩
由上式可知,如果赌徒只有有限的赌金,而其对手有无限的赌金,当其每局赢的概率p 不大于每局输的概率q ,即p q ≤时,
他以正的概率()n q p
输光,只是他的最初赌金n 越大输光的概率
越小。
然而一个赌徒他面临的对手是各个可能的赌场,他的赌金跟各个可能的赌场的赌金之和比起来是微不足道的,而且每一局他是占不到便宜的,即一般是p q ≤时,因此,最终他必将输光。
这也是俗话所说的“十赌九输”。
因此,奉劝大家远离赌博。
例2 在历史上有不少显赫的家族与民族消失了。
人们自然会问:一个群体最终灭绝的概率有多大?它与什么有关系?
解 设n X 为某群体第n 代的个体数,0n ≥,并设不同个体的“子
女”(直接后代)数是独立同分布的随机变量。
以n i Z 表示第n 代的第i 个成员的“子女”数,且设有
11n
X n
n i i X Z +==∑
上式表示第1n +代成员数是第n 所有成员的“子女”数之和。
显然,当n X 已知时,1n X +与1n X -,2n X -,3n X -,,0X 无关,所以是马尔科夫链,成为离散分支过程。
现在来讨论,当01X =时,该群体灭绝的概率。
为此,设 (){},,0,1,2,
k n p n p X k k n ===,则
011(1){}{}k k p p X k p Z k p =====
记1n X +的概率母函数(PGF )为1()n A s +,即
1
110
()(){},||1n X k n n k A s E s
s p X k s +∞
++====≤∑
则
1
110
1()()(|){}
[()],0,1,2,
n n X X n n n k n A s E s
E s X k p X k A A s n ++∞
+=======
∑
设1
n Z 的概率母函数为()A s ,即1
()(),||1n Z k k k A s E s
p s s ∞
===≤∑,因为不
同个体的子女数独立同分布,且011X Z =,所以
11()()()Z A s E s A s ==
由上式递推得
1111112231()[()]{[()]}
[()][()][()]
n n n n n n A s A A s A A A s A A s A A s A A s +---======
=
因为第n 代成员数为0,则第1n +代成员数肯定也为0,即
1{0}{0}n n X X +=⊂=
所以000()(1)1p n p n ≤≤+≤,从而数列0{(),0}p n n ≥的极限存在,记
为0π,即00lim ()n p n π→∞
=。
由定理 当01X =时,上述群体最终灭绝的概率0π是方程()s A s =的最小正根。
其中()A s 为01Z 即1X 得概率母函数。
且该群体最终肯定灭绝的充分必要条件是一个成员的平均“子女”数不超过1,即
011πμ=⇔≤
其中011[]()(),1,2,3,;1,2,3,
n i E Z E X E Z n i μ=====。