浙大电路原理作业四(二)
- 格式:doc
- 大小:1.70 MB
- 文档页数:6
第三章3-1、在题图3-1所示电路中,已知:264,2S S U V I A ==, 153410,20,R R R R ==Ω==Ω试用叠加定理求支路电流3I 。
U s 2R 5R 3R 4I S6I 33-2、在题图3-2所示电路中,已知:S I =1A ,12E E ==9V ,R=6Ω,试用叠加定理求各支路电流。
题图3-2题图3-13-3、在题图3-3所示电路中,已知:6SI=2A,520SU V=,123410,20,40,R R R R=Ω==Ω=Ω试用叠加定理求电压1U的值。
3-4、题图3-4所示电路方框内为任意线性有源电路。
已知SU=5V,SI=1A,U=15V,若将SU极性反一下,则U=25V;若将SU极性和SI的方向都反一下,则U=5V,,试问若将SI的方向反一下,U为多少?3-5、在题图3-5所示电路中,P为无独立源的电阻网络(可以含受控源),设E S=1V、I S=0A,,测量得I=4A。
问E S=3V、I S=0A时,I为多少?题图3-4R1R2R3R4I S6Us5U1题图3-33-6、题图3-6所示电路中,A为线性有源网络,I1=2A,I2=1/3A,当R增加10Ω时,I1=1.5A,I2=0.5A,求当R减少10Ω时,1I、2I为多少?3-7、题图3-7所示电路中,已知1E=10V,2E=7V,3E=4V,1R=5Ω,2R=7Ω,3R=20Ω,4R=42Ω,5R=2Ω,试求它的戴维南等效电路。
题图3-5题图3-63-8、题图3-8所示电路中,已知1R=40Ω,2R=8Ω,3R=3Ω,4R=16Ω,SI=1000mA,R任意变化,试问:⑴R为多少时,在R上消耗的功率最大?maxP=?⑵R为多少时,通过它的电流最大?maxI=?⑶R为多少时,其上的电压为最大?maxU=?3-9、电路如题图3-9所示,A为有源一端口网络,已知1SU=10V,1R=2Ω,2R=4Ω,当开关k打开时,电流2I=,当开关k闭合时,电流38I=A,求出有源一端口网络A的戴维南等效电路。
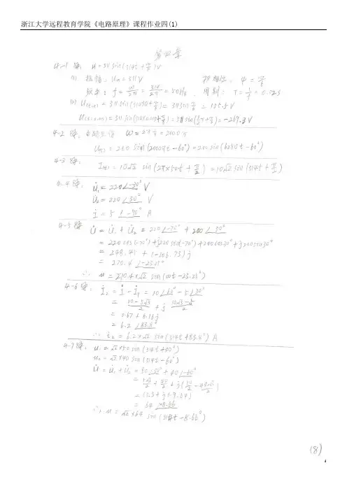
习题四习题四1习题四习题四4-1用叠加定理求图示电路中的电流I 。
答:A 2=I解:(1)电流源单独作用时如图4-14-1′′ A 12131621224//42=´´=´++=¢sI I(2)电压源单独作用时如图4-14-1″″ A 12144//412=´+=¢¢I(3)当两电源同时作用时)当两电源同时作用时A 2=¢¢+¢=I I I4-2用叠加定理求图示电路中的I 1、U 4 。
答:V V33;;A A 55..1141-==U I解:(1)当电压源单独作用时如图4-2′()A 166//24311==++=¢R R R R U I sA 5.02114=´=¢I ;V 14=¢U (2)当电流源单独作用时如图4-2-2″″A 5.0//212432141=+´++´=¢¢R R R R R R R R I I s()[]()[]V 432//24//4////43214-=´+=+=¢¢s I R R R R U 4Ω4Ω2Ω2Ω 12V6A I图4-1 习题4-1题图题图图4-2 习题4-2题图题图R 1 R 2 R 4 R 3 I 1 I 5U 5U 4 4Ω 6V3A 4Ω2Ω 2Ω4Ω4Ω 2Ω 2Ω 6AI ′图4-14-1′′ 2Ω4Ω4Ω 2Ω 12V6A I ″图4-14-1″″ I ′1 R 1 R 2 R 4 R 3 I 5U 54Ω 6V3A 4Ω2Ω 2Ω4U ¢ 图4-24-2′′R 1 R 2R 4 R 3 1I ¢¢I s4U ¢¢ 4Ω 3A 4Ω2Ω 2Ω图4-24-2″″习题四习题四(3)当两电源同时作用时)当两电源同时作用时A 5.15.01111=+=¢¢+¢=I I I V 341444-=-=¢¢+¢=U U U 4-3利用叠加定理求图4-3电路中的电压U 。
1-4. 电路如图所示,试求支路电流I.IΩ12解:在上结点列KCL 方程:A I II I I 6.301242543-==+-++解之得: 1-8.求图示电路中电压源发出的功率及电压xU 。
53U解:由KVL 方程:V U U U 5.2,53111=-=-得 由欧姆定律,A I I U 5.0,5111-=-=得所以是电源)(电压源的功率:,05.251123)52(151<-=-⨯-===⨯+=W I P VIU V X1-10.并说明是发出还是消耗源功率试求图示电路两独立电,。
10A解:列KVL 方程:A I I I I 5.0010)4(11101111==++⨯+⨯+-,得电路两独立电源功率:,发出)(,发出。
W I P W I P A V 38411051014110-=⨯⨯+-=-=⨯-= 2-6如图电路:R1=1Ω ,R2=2Ω,R3=4Ω,求输入电阻Rab=解:含受控源输入电阻的求法,有外施电压法。
设端口电流I ,求端口电压U 。
Ω====+-=+=+=9945)(21131211211I UR IU II I R I I R I I I R I IR U ab 所以,得,2-7应用等效变换方法求电流I 。
解:其等效变化的过程为,根据KVL 方程,AI I I I 31,08242-==+++ 3—8.用节点分析法求电路中的xI 和xU .Ω6A3xU 1x I Ω4Ω2Ω2Ω2VΩ1UV 3234解:结点法:A I V U UI U U U U U U U U U U U U U UU U U X X X n n n n X n n n n n n n n n 5.16.72432242)212141(21411321)212111(214234121)4121(3121321321321==-⨯=--==+=+++--=-+++--=--+,解之得:,,补充方程:网孔法:网孔电流和绕行方向如图所示:323132132112224123221212242223m x x m x m m m m m m m m m IU I U I I I I U I I I U I I I I ++-==-⨯=-=+++⨯-⨯-=-+++-=,),(补充方程:)()(3—17.电路如图,试用网孔分析法求解电路中受控源发出的功率。
电路原理作业一1-1:注意电流的方向。
1-2:求电压过程中注意电压的正负。
1-3:U、I为关联参考方向时吸收功率,非关联参考方向时发出功率。
1-4:注意I0和受控电流源的方向相反;求电源发出的功率时或忽略内在电阻R消耗的功率。
1-5:可根据分压和分流的性质得出结论,也可以用支路电流法求。
1-6:先求出电路中的总电阻,列出IS的功率方程,解方程可得。
1-7:两个电源串联后加在R上。
1-8:基尔霍夫电流定律和欧姆定律。
1-9:列出R功率的表达式,然后应用数学方法求解最大值。
1-10:注意分清题目中的受控源是电压源还是电流源;先设法求出通过电阻R的电流,然后再利用基尔霍夫电流定律求I。
1-11:输入电阻是从电路的输入端看进去的等效电阻,等于输入电压和输入电流之比。
一般可以在输入端加一个电压U,然后求出输入电流I,U/I的值就是输入电阻。
1-12:先求各节点电压(设一参考接地点,利用电源电压降可求出另外两节点电压),然后可求出各支路电流。
1-13:首先选定参考接地点,求出R1上的电压,从而求出I1,然后再求U和U ab。
1-14:按从右向左的次序依次求各节点电压和各支路电流,求I时用基尔霍夫电流定律。
或者根据电阻的等效变换关系直接求出(A1+I)(流过最左边0.5欧电阻的电流)和A2的关系。
1-15:功率守恒,先求U s(等于R1两端的电压)。
1-16:选定参考接地点,求出各点电位。
U ab等于a、b两点电位之差。
电路原理作业二2-1:支路电流法。
2-2:支路电流法。
2-3:略。
2-4:网孔电流法,选定四个独立网孔电流回路,列出四个方程求解。
2-5:节点电压法。
2-6:节点电压法。
列节点电压方程时,受控源当作普通电压源处理,最后再加一条受控源电压方程,总共两个方程。
2-7:首先用节点电压法求出各节点电压,然后即可求出所要求的值。
电路原理作业三3-1:在题图所示电路中,电压源单独作用时,电流源开路;电流源单独作用时,电压源短路。
电路原理习题习题作业1一、单项选择题:在下列各题中,有四个备选答案,请将其中唯一正确的答案填入题干的括号中。
(本大题共3小题,总计29分) 1、(本小题6分)电路如图所示, 若R 、U S 、I S 均大于零,, 则电路的功率情况为 A. 电阻吸收功率, 电压源与电流源供出功率 B. 电阻与电压源吸收功率, 电流源供出功率 C.电阻与电流源吸收功率, 电压源供出功率D. 电阻吸收功率, 电流源供出功率,电压源无法确定答( )U I S2、(本小题9分)若电流表A 读数为零, 则R 与I 的值分别为 A. 6 Ω, 2.5 A B. 8 Ω, -2.5 A C. 6 Ω, 1 A D. 0.66 Ω, 15 A 答()ab3、(本小题14分)用叠加定理可求得图示电路中ab 端的开路电压U ab 为A. 8.5 VB. 7.5 VC. 6 VD. 6.5 V答( )ab-二、填充题:在下列各题中,请将题止所要求的解答填入题干中的各横线上方内。
(本大题共2小题,总计31分) 1、(本小题12分)图示电路中的电流=I A ,电压=U V .105Ao2、(本小题19分)图示正弦交流电路,已知t u 310cos 2100=V ,电源向电路提供功率P =200W ,L u 的有效值为50V ,求R 和L 。
Lu + 三、非客观题( 本 大 题40分 )电路及外施电压波形如图所示,求电感贮能的最大值,并表明t >2s 时电阻所消耗的能量等于该值。
t s习题作业2一、单项选择题:在下列各题中,有四个备选答案,请将其中唯一正确的答案填入题干的括号中。
(本大题共3小题,总计34分) 1、(本小题9分)电路如图所示, 若R 、U S 、I S 均大于零,, 则电路的功率情况为 A. 电阻吸收功率, 电压源与电流源供出功率 B. 电阻与电流源吸收功率, 电压源供出功率 C. 电阻与电压源吸收功率, 电流源供出功率 D. 电阻吸收功率,供出功率无法确定答( )U I S2、(本小题8分)用叠加定理可求得图示电路中电压u 为A. ()1+cos t VB. ()5-cos t VC. ()53-cos t VD. 513-⎛⎝ ⎫⎭⎪cos t V答( )3、(本小题17分)图示电路中a 、b 端的等效电阻R ab 为A. 83 ΩB. 3 ΩC. 4 ΩD. 6 Ω答()二、填充题:在下列各题中,请将题止所要求的解答填入题干中的各横线上方内。
浙江大学远程教育学院 《电路原理》课程作业姓名: 学 号: 年级:学习中心:—————————————————————————————第一章1-1. 在题图1-1中,若电压源12S U V =,电阻12R =Ω,试在图示参考方向下求支路电流I 。
1-2. 求图1-2各支路中未知量的值。
题图1-1U s=?4V2Ω10VΩabc题图1-21-3. 在题图1-3a 、b 所规定的参考方向下,若电压U 和电流I 的代数值均为正,试分析两个网络实际发出还是吸收功率?1-4. 题图1-4是一个简化的晶体管电路,求电压放大倍数0/i U U ,再求电源发出的功率和负载L R 吸收的功率。
1-5. 题图1-5所示电路中,电流源6S I A =,电阻11R =Ω,22R =Ω,33R =Ω,46R =Ω,求电流0I 。
题图1-4题图1-3IIUUab1-6. 题图1-6所示电路中,已知电流源S I 发出功率为4W ,试求电阻R 的值。
1-7. 题图1-7所示电路中,电压源分别为1E =6V ,2E =8V ,R=7Ω,试求电流I 。
2Ω题图1-6题图1-51-8. 在题图1-8所示电路中,已知电流源1S I =2A ,2S I =1A ,R=5Ω,1R =1Ω,2R =2Ω,试求电流I 、电压U 为多少?1-9. 题图1-9所示电路中,电流源S I 及其内阻0R 为定值,改变负载电阻R ,求R为何值时它可获得最大功率,最大功率为多少?题图1-9题图1-7题图1-81-10.题图1-10电路中,1S I =0.5A ,S I =1A ,控制系数r=10,电阻R=50Ω。
方框内为任意电路(设不短路),试求电流I ?1-11.电路各参数如题图1-11所示,求输入电阻i R 。
题图1-10I3II I题图1-111-12. 电路各参数如题图1-12所示,试求电流I 为多少?1-13. 题图1-13所示电路中,电压源E 1=24V ,E 2=20V ,α=50,R=50Ω,R 1=500Ω,试求ab U 和U 。
电路原理范承志答案【篇一:浙大电路考试大纲】lass=txt>(一) 直流电路的基本概念和基本定律1. 实际电路与电路模型, 电路变量及其参考方向2. 电路元件及其特性, 基尔霍夫定律3. 无源、有源网络等效变换(二) 网络的基本计算方法和定理1. 图论2. 支路电流法3. 回路电流法, 网孔电流法4. 节点电压法, 改进节点电压法5. 叠加定理、线性定理6. 替代定理7. 戴维南与诺顿定理8. 特勒根定理, 互易定理9. 电源的移动,补偿定理(三) 正弦交流电路1. 正弦交流电量的基本概念, 周期信号的有效值2. 正弦量的相量表示3. 正弦交流电路中的电阻、电感、电流元件4. 相量形式的kcl/kvl5. 正弦无源一端口网络的阻抗、导纳及其等效电路6. 正弦交流电路的功率7. 复杂正弦交流电路的计算(四) 谐振、互感和三相交流电路1. 电路的谐振2. 互感耦合电路3. 理想变压器和实际变压器4. 三相交流电路5. 三相电路的功率及其测量(五) 双口网络1. 双口网络z、y、t参数2. 无源双口网络的等效电路, 双口网络的级联3. 含受控源的双口网络(六) 周期性非正弦电路1. 周期信号与傅里叶级数及其频谱2. 周期性非正弦信号激励下线性电路的稳态分析3. 对称三相电路中的高次谐波(七) 电路中的过渡过程1. 换路定则与初始值计算2. 一阶电路的零输入、零状态和全响应3. 电容电压、电感电流的跳变情况5. 二阶电路的全响应6. 复杂电路的经典法(八) 拉普拉斯变换、卷积积分和状态方程1. 拉斯变换及其基本性质2. 运算电路模型3. 基本定律的运算形式及运算法4. 网络函数与各响应的关系及电路频率特性5. 卷积积分与叠加积分6. 状态变量法(九) 网络的矩阵分析1. 电路的矩阵表示2. 基尔霍夫定律的矩阵表示3. 典型支路,节点电压法的矩阵方程4. 回路电流法的矩阵方程(十) 分布参数电路1. 均匀传输线方程2. 均匀传输线的正弦稳态分析3. 均匀传输线的入端阻抗4. 均匀传输线中的行波5. 无反射均匀传输线6. 无畸变均匀传输线7. 无损耗均匀传输线 (十一) 非线性电路1. 直流非线性电阻电路2. 交流非线性稳态电路,小信号分析法3. 分段线性法四.教材及主要参考书2004年8月2.?电路原理?第二版,周庭阳、江维澄编,浙大出版社,19973.?电路?第四版, 邱关源,高等教育出版社,1999年6月【篇二:2016年浙大电路考研大纲】ass=txt>(一) 直流电路的基本概念和基本定律(七) 电路中的过渡过程1. 换路定则与初始值计算2. 一阶电路的零输入、零状态和全响应1. 实际电路与电路模型, 电路变量及其参3. 电容电压、电感电流的跳变情况考方向 4.阶跃响应、冲激响应2. 电路元件及其特性, 基尔霍夫定律 5.二阶电路的全响应3. 无源、有源网络等效变换6. 复杂电路的经典法 (二) 网络的基本计算方法和定理 (八) 拉普拉斯变换、卷积积分和状态方程 1. 图论1. 拉斯变换及其基本性质2. 支路电流法2. 运算电路模型 3. 回路电流法, 网孔电流法4. 节点电压法, 改进节点电压法5. 叠加定理、线性定理6. 替代定理7. 戴维南与诺顿定理8. 特勒根定理, 互易定理9. 电源的移动,补偿定理 (三) 正弦交流电路 1. 正弦交流电量的基本概念, 周期信号的有效值 2. 正弦量的相量表示 3. 正弦交流电路中的电阻、电感、电流元件 4. 相量形式的kcl/kvl 5. 正弦无源一端口网络的阻抗、导纳及其等效电路 6. 正弦交流电路的功率 7. 复杂正弦交流电路的计算 (四) 谐振、互感和三相交流电路 1. 电路的谐振 2. 互感耦合电路 3. 理想变压器和实际变压器 4. 三相交流电路 5. 三相电路的功率及其测量(五) 双口网络 1. 双口网络z、y、t参数2. 无源双口网络的等效电路, 双口网络的级联3. 含受控源的双口网络 (六) 周期性非正弦电路 1.周期信号与傅里叶级数及其频谱 2. 周期性非正弦信号激励下线性电路的稳态分析3. 对称三相电路中的高次谐波3.基本定律的运算形式及运算法4.网络函数与各响应的关系及电路频率特性5. 卷积积分与叠加积分6. 状态变量法 ( 九 ) 网络的矩阵分析 1.电路的矩阵表示 2. 基尔霍夫定律的矩阵表示3. 典型支路,节点电压法的矩阵方程 4.回路电流法的矩阵方程 ( 十 )分布参数电路1. 均匀传输线方程 2. 均匀传输线的正弦稳态分析 3. 均匀传输线的入端阻抗 4. 均匀传输线中的行波 5. 无反射均匀传输线 6. 无畸变均匀传输线7. 无损耗均匀传输线 ( 十一 )非线性电路 1. 直流非线性电阻电路2. 交流非线性稳态电路,小信号分析法3. 分段线性法四.教材及主出版社,2014年8月2.?电路原理?第二版,周庭阳、江维澄编,浙大出版社,19973.?电路?第四版, 邱关源,高等教育出版社,1999年6月【篇三:电气工程学院关于2009级主修专业预确认、】class=txt>“爱迪生实验班”选拔工作日程安排根据2010年4月28日本科生院教务处《关于做好2009级学生主修专业预确认工作的通知》,经电气工程学院本科教学指导委员会讨论决定,现将电气工程学院2009级主修专业预确认、“爱迪生实验班”选拔等工作的具体安排通知如下:1.2009年4月28日-5月15日,请预确认电气学院各专业的2009级学生通过现代教务管理系统“主修专业确认”一栏报名,自主选择主修专业。
第四章 4-1 正弦电压311sin 3146u t V π⎛⎫=+ ⎪⎝⎭,求:(1)振幅、初相位,频率和周期值;(2)当0t =和0.015t s =时的电压瞬时值。
4-2 正弦交流电压的振幅为200V ,变化一次所需时间为0.001s ,初相位为-60°,试写出电压瞬时表达式。
4-3 有一正弦交流电流,它的有效值为10A ,频率为50Hz ,若时间起点取在它的正向最大值处,试写出此正弦电流的瞬时表达式。
4-4 一组同频率的正弦量,1220sin(31430)u t V =- , 2220sin(31430),u t V =+5sin(31490)t A i =- 。
试写出电压和电流的向量表达式。
4-5 一条串联支路中包含二个元件,第一个元件的电压1220sin(70)u t V ω-,第二个元件的电压2200sin(30)u t V ω=+ ,试求支路电压12u u u =+。
4-6 二条支路并联,已知总电流10sin(31460)i t A =+ ,支路1的电流5sin(31430)i t A =+ ,求支路2电流2i 。
4-7 二个正弦电压的频率均为50Hz ,它们的相量分别为15030,U V =∠ 24060,U V =∠- 试写出12,u u 和12u u u =+的瞬时表达式。
4-8 线性电阻30R =Ω,其上加正弦交流电压sin u t ω=,测得电阻消耗功率为3kW ,求正弦交流电压的有效值。
4-9 电阻120R =Ω,电阻230R =Ω,将二电阻串联后接在220V , 50Hz 的电网上,试求各电阻上的电压值及电阻消耗的功率。
4-10 一个线圈的电阻10L R =Ω,电感L=50mH ,接到220V , 50Hz 的正弦交流电路中,求线圈的阻抗Z 和流过线圈的电流L I ,并画出相量图。
4-11 一个电阻与一个线圈相串联,已知电阻值20R =Ω,线圈电感0.1L H =,线圈电阻10L R =Ω,外加电压220sin314u tV =,求流过线圈的电流i , 电阻上电压R u 及线圈二端电压。
题2.4.18 试用负边沿JK 触发器和“与-或-非”门构成一个四位数码并行寄存和一个四位数码串行输入右移移位寄存器。
解:令C 是并行寄存数据和实现右向移位操作的控制端,其用JK 触发器构成的框图如图所示:令C=1并行存数,C=0时为右移串入后,得出各组合电路的逻辑函数,现以1J 3和1K 3函数为例,列出真值表,求出函数式,其它式子也照此类推。
输 入 输 出 C Q 2 D 3 1J 3 1K 30 0 0 0 1 0 0 1 0 1 0 1 0 1 0 0 1 1 1 0 1 0 0 0 1 1 0 1 1 0 1 1 0 0 1 1 1 11 0233311Q C CD K J +==122211Q C CD K J +==011111Q C CD K J +==SRD C CD K J +==00011由四个函数式画出的电路图如图所示:题2.4.19 图题2.4.19是一个实现串行加法的电路图,被加数11011及加数10111已分别存入二个五位被加数和加数移位寄存器中。
试分析并画出在六个时钟脉冲作用下全加器输出S i 端、进位触发器Q 端以及和数移位寄存器中左边第一位寄存单元的输出波形(要求时间一一对应)。
1D 2D 3DFF3 FF2 FF1 FF0 SR D 1J C1 1K 组合 逻辑电路 1JC1 1K 组合 逻辑电路1J C1 1K 组合 逻辑电路 1J C1 1K 组合 逻辑电路 CP0D0Q 1Q 2Q 3Q C D 1 D S1J QC11K11J Q C11K11J Q C11K11J Q C11K1CPC Q 3Q 2Q 1Q 0D 3 D 2 D 0≥1 &≥1 &≥1 &≥1 &图题2.4.19解:解该题时,注意全加器是一个合逻辑电路,而移位寄存器和触发器是一个时序电路,要注意时序关系。
其波形如图:题2.4.20 (1)试分析图题2.4.20(a)、(b)所示计数器的模是多少?采用什么编码进行计数?(2)若计数脉冲频率f CP 为700Hz 时,从Q 2端、Q 0端输出时的频率各为多少?图题2.4.20解:分析计数器电路有多种方法,列表法:以CP 为顺序,依次列出触发器的初态、输入,和次态,可以得出结论。
《应用电子学》总结第一章 电路和电路元件1. (1)电流、电压实际方向的定义;(2)参考方向的定义;实际方向与参考方向之间的关系; (3)关联参考方向;例:图示电路中,已知I=0.2A ,则U S = 。
2. 电路的功率:计算公式;吸收和放出的判断例:见上题,U S 和10V 电源的功率的计算和判断 3. 电路元件的伏安特性: a) 定义:注意是在关联情况下定义的; b) 常用元件的特性:无源元件:R 、L 、C理想电源:电压源和电流源实际电源:-伏安特性 -电压源模型 -电流源模型-例:习题1.3.1和1.3.4二极管:(1)特性与模型(2)如何判断二极管的通和断?可 与第三章的二极管组成的与 门和或门联系例:习题1.4.2和1.4.3例:右图所示电路,设二极管D 1、D 2、D 3均为理想二极管,则输出电压u o = 。
A. -2V B. 0V C. 6VD. 12V稳压管:特性与模型第二章 电路分析基础 1. 直流电路的分析方法a) 基尔霍夫定律及支路电流法:方法及适用范围。
b) 叠加原理:方法——如何通过除源,求单个独立电源的作用结果。
——适用范围。
其通式为:I k =G k1.U S1+ G k2U S2+……Gkm U Sm +B k1 I S1+ B k2 I S2+ ……B kn I Sn例:习题2.2.31. 例:右图电路中,A 为包含独立源的网络。
当U S =10V 时,I=2.5A ;当U S =20V 时,I=3.5A 。
问,当I=0A 时,电源U S =。
2.如图示电路,已知:U S2=U S3=24 V ,当开关S 合在A 点时,I=1 A ;当开关S 合在B 点时,I=- 1A 。
试求开关合在C 点时该支路的电流。
等效电源定理:戴维南定理:——内容——戴维南等效电路的求取:U 0、R 0诺顿定理:——内容——诺顿等效电路的求取:I sc 、R 0 R 0的求取:——串、并联法——取压求流法或取流求压法(含受控源电路必须采用该法) ——开路、短路法 ——实验法例:右图所示电路中,D 为理想二极管,流过D 电流为 。
浙 江 大 学2007年攻读硕士学位研究生入学考试试题考试科目: 电路 编号: 448一、(18%)图一所示电路,已知()12R =Ω,()26R =Ω,()9V S U =,1=α,非线性电阻伏安特性)0(2≥-=I I I U ,求:(1)电路a-b 端左侧的戴维南等效电路;(2)非线性电阻上的电流I 。
R R ab图一: 【考点分析及解题指南】本题属于简单非线性电阻电路的研究,对于单一非线性电阻电路,一般而言先将非线性电阻以外的线性二端网络用戴维南等效电路代替,这也是问题的关键和核心。
之后,再根据非线性元件的特点,采用不同的方法,具体有如下三类:(一)、利用元件的特性方程,采用解析方程法。
(二)、利用曲线相交法确定直流工作点。
(三)、若为理想二极管,可以先判断工作状态。
在求戴维南等效电路时,要求先求开路电压,当然若开路电压不好求,可以先求短路电流,进而利用等效变换。
再求等效电阻时,要根据电路的不同特点采用不同的方法:对于含有单一受控源的电路,可以利用等效变换的方法,直接求R ,也可以利用间接法,将端口电压、电流用控制量表示,此外,利用节点法、回路法对于分析复杂电路十分快捷。
在本题中,还要注意多余元件的处理方法。
【具体解答】 解:(1) 思路一:直接求戴维南等效电路:R R ocabI 1R aI图1-1 图1-2 A 求开路电压:如图1-1: 由KVL 知:112)62(29I I ⨯++= ∴()10.5A I = ()1626V OC U I =⨯= B 求等效电阻:如图1-2: 法一:间接法:设流过6Ω电阻的电流为2I :则有I I I +=122;由KVL 知06222211=+⨯+I I I 则13I I -=, 1266I I U -== ∴()2UR I==Ω 法二:节点法:12121)2121(I U U n n =-+I U U n n =++-21)2161(211121n U I -=则有:U U I n 21212== ∴()2ΩR =法三:等效变换+直接法: ○1控制量转移如图:如图1-3:I 1R ab图1-3 ○2等效变换:如图1-4,1-5,1-6:-+U-+U-+U图1-4 图1-5 图1-6 C 则戴维南等效电路,如图1-7:ab图1-7 思路二:先求诺顿等效电路,再利用等效变换: ○1求短路电流:如图1-8:R R SCI图1-8 则由KVL 知:222911⨯+=I I ∴()13A 2I =()123A SC I I == ○2求等效电阻(方法同思路一) 则()2ΩR =诺顿等效电路: 戴维南等效电路:abab图1-9 图1-10 (2)由(1)知等效电路为:图1-11 则I I I U I -+=+=2226 ∴()12A I = ()23A I =-(舍)二、(18%)图二所示电路,已知无源二端口网络P 在电源频率为ω时的开路参数(Z 参数)为()1610104j j j j --⎡⎤Ω⎢⎥--⎣⎦,若()120V S U =∠ ,()12S R =Ω,()3L R =Ω,试求: (1)11'-端右侧电路的等效阻抗111U Z I =;(2)22'-端电压2U 。
作业四(二)
4-1电路如图所示,已
知
100sin(),
()S t V t u ω=110,R L ω==Ω
241
10,L L C
ωωω===Ω35,L M ωω==Ω 求电流1()t i 。
解:0
110sin(45)()t A t i ω=-
4-2 对称三相电路如图所示,已知0
010030,1,a V R =∠=ΩU (99),
Z j ∆=+Ω求负载的相电流ab I 。
解:ab I A =
4-3电路如图所示,已知0.001,C F =电源电压())S t t V u = , 开关闭合时,电流i 等于零。
开关打开时,电阻电压等于电源电压。
求电感12,L L 的值。
解:3
3
1210,10L H L H --==
i S u L 2
4-4电路如图6所示,已
知
100sin(),()S t V t u ω=5,M ω=Ω
1210,R L L ωω===Ω求电压0()t u 。
解:0
0()50sin(45)t t u ω=+
4-5对称三相电路如图7所示,已知相电压0
01000,1,a V R =∠=ΩU
(99),Z j ∆=+Ω 求三相电源发出的有功功率P 。
解:4800P W =
4-6 RLC 串联谐振电路中,已知R=100Ω,L=0.1H ,C=0.1μF ,则电路谐振角频率 ω0和品质因素Q 为
解:4
010,10Q ω==
4-7对称三相电路如图所示,已知0
010030,1,a V Z =∠=ΩU (1010),Z j =+Ω求
电流0,I I 的值。
解:0,0I I A ==
i S u a
b
0()
t u I .
4-8 对称三相电路如图7所示,已知0
10030,a V =∠U (129),Z j ∆=+Ω求负载
的相电流和线电流。
解:,20I A I A ==相线
4-9 图示电路中,已知20R =Ω,1215L L ωω==Ω,5M ω=Ω,10s I =∠,则开路电压U 等于
解:20U V =
4-10 图示正弦交流电路中,电流源
()30S 2sin 100t i =+A ,则电感电流L
i
等于
解:(
)3
2sin 1090t -︒A
4-11 图示电路,外加正弦交流电源,有效值为,电流表1A 的读数为零,则电流表2A 的读数为
解:1A
F
μu I .s
R
L 2
.i S
F
μ
4-12图示电路,1R =Ω,0.01L H =,1C F μ=,谐振频率O f 和品质因数Q 为
解:4
10/2,100O f Hz Q π==
4-13对称三相电路如图所示,若在实际电路中测得线电流大小关系为
A C
B I I I ==
,试分析三相负载可能存在的故障。
4-14有一RLC 串联电路,已知5R =Ω,L=10mH ,1C F μ=,求该电路的谐振角频率和品质因数。
解:4
010,20Q ω==
4-15 电路如题所示,已知100sin1000,50,50,u tV R L mH =
=Ω= 20C F μ=,试求
当S 打开和闭合时,流过电阻上的电流I 。
解:打开2I A =;闭合0I =;
L
4-16 RLC 串联电路,已知10R =Ω,L=10mH ,1C F μ=,当外加电压有效值为10V, 角频率为410ω=时,求电感和电容上的电压值。
解:100L C U U V ==
4-17 题图4-18所示电路,已知10R =Ω,为使得入端阻抗等于160Ω,求理想变压器的匝数比
12:N N 。
解:1
2
4N N =
4-18 题图所示电路,理想变压器匝数比为12:N N ,求ab 端的等效阻抗。
4-19 Y 连接的三相对称负载,相电压为100V,则线电压为
解:V
4-20 Y 连接的三相对称负载,相电流为10A ,则线电流为
解:10A
4-21 ∆连接的三相对称负载,相电压为100V,则线电压为 解:100V
12
:N N 1'
1
12
:N N
4-22 ∆连接的三相对称负载,相电流为10A ,则线电流为
解:
4-23 互感线圈如题图所示,试判别每组线圈之间的同名端。
解:'
'
'
12,23,13---
1。