高中数学必修二直线与方程及圆与方程测试题
- 格式:doc
- 大小:483.00 KB
- 文档页数:9
一选择题(共 55 分,每题 5 分)1. 已知直线经过点A(0,4)和点 B ( 1, 2),则直线 AB 的斜率为( )A.3B.-2C. 2D. 不存在2.过点 ( 1,3) 且平行于直线 x2 y3 0 的直线方程为()A . x 2y7 0 B . 2x y 1 0 C . x 2y 5 0 D . 2x y 5 0 3. 在同一直角坐标系中,表示直线y ax 与 yx a 正确的是()yyyyOxOxOxO xABCD4.若直线 x+ay+2=0 和 2x+3y+1=0 互相垂直,则a=()A .2B .2 C .33332D .(25.过 (x , y )和 (x , y )两点的直线的方程是)11 22A. yy 1 x x 1 y 2y 1 x 2 x 1 B.yy 1 x x 1 y 2 y 1x 1 x 2C.( y 2 y 1 )( x x 1) (x 2 x 1 )( y y 1) 0D.( x 2x 1)( x x 1) ( y 2 y 1 )( yy 1 ) 06、若图中的直线 L 1 、 L 2、 L 3 的斜率分别为 K 1、K 2、 K 3 则()A 、 K ﹤ K ﹤ KL 3123LB 、 K ﹤ K ﹤ K2 1 3C 、 K 3﹤ K 2﹤ K 1oxD 、 K 1﹤K 3﹤ K 2L 17、直线 2x+3y-5=0 关于直线 y=x 对称的直线方程为( )A 、 3x+2y-5=0B 、 2x-3y-5=0C 、 3x+2y+5=0D 、 3x-2y-5=08、与直线 2x+3y-6=0 关于点 (1,-1)对称的直线是()A.3x-2y-6=0B.2x+3y+7=0C. 3x-2y-12=0D. 2x+3y+8=0A.a=2,b=5;B.a=2,b= 5 ;C.a= 2 ,b=5;D.a= 2 ,b= 5 .10、直线 2x-y=7 与直线 3x+2y-7=0 的交点是()A (3,-1)B (-1,3)C (-3,-1)D (3,1)11、过点 P(4,-1)且与直线 3x-4y+6=0垂直的直线方程是()A 4x+3y-13=0B 4x-3y-19=0C 3x-4y-16=0D 3x+4y-8=0二填空题(共20 分,每题 5 分)12.过点(1,2)且在两坐标轴上的截距相等的直线的方程_ __________;13 两直线 2x+3y- k=0 和 x- ky+12=0 的交点在y 轴上,则k 的值是14、两平行直线x 3y 4 0与 2x 6 y 9 0 的距离是。
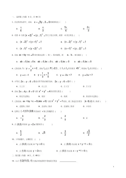
5一、 选择题(每题 3 分,共 54 分)1、在直角坐标系中,直线 x +3y - 3 = 0 的倾斜角是()5 2 A .B .C .D .6 3632、若圆 C 与圆(x + 2)2+ ( y - 1)2 = 1 关于原点对称,则圆 C 的方程是()A . (x - 2)2+ ( y + 1)2 = 1 B . (x - 2)2+ ( y - 1)2 = 1C . (x - 1)2+ ( y + 2)2 = 1D . (x + 1)2+ ( y - 2)2 = 13、直线 ax + by + c = 0 同时要经过第一、第二、第四象限,则 a 、b 、c 应满足( )A . ab > 0, b c < 0B . ab > 0, b c < 0C . ab > 0, b c > 0D . ab < 0, b c < 04、已知直线l 1 : y = 1 x + 2 ,直线l 2 21 过点 P (-2,1) ,且l 1 3到l 2的夹角为 45 ,则直线l 2的方程是( ) A. y = x - 1 B. y = x + 3 5C . y = -3x + 7D . y = 3x + 75、不等式 2x - y - 6 > 0 表示的平面区域在直线 2x - y - 6 = 0 的( )A .左上方B .右上方C .左下方D .左下方6、直线3x - 4 y - 9 = 0 与圆 x 2+ y 2= 4 的位置关系是()A .相交且过圆心B .相切C .相离D .相交但不过圆心7、已知直线 ax + by + c = 0(abc ≠ 0) 与圆 x 2+ y 2= 1相切,则三条边长分别为 a 、b 、c 的三角形()A .是锐角三角形B .是直角三角形C .是钝角三角形D .不存在8、过两点(-1,1)和(3,9) 的直线在 x 轴上的截距是() A.- 32B.- 2 32 C.D .259、点(0,5) 到直线 y = 2x 的距离为()5 3 A .B .C .D .22210、下列命题中,正确的是()A .点(0,0) 在区域 x + y ≥ 0 内B .点(0,0) 在区域 x + y + 1 < 0 内C .点(1,0) 在区域 y > 2x 内D .点(0,1) 在区域 x - y + 1 < 0 内二、填空题(每题 3 分,共 15 分)19、以点 (1,3)和(5,-1) 为端点的线段的中垂线的方程是5⎧b + 3 =a + 3b 4 20、过点 (3,4)且与直线3x - y + 2 = 0 平行的直线的方程是21、直线3x - 2 y + 6 = 0在x 、y 轴上的截距分别为k 22、三点(2,- 3),(4,3)及(5, ) 在同一条直线上,则 k 的值等于223、若方程 x 2+ y 2- 2x + 4 y + 1 + a = 0 表示的曲线是一个圆,则 a 的取值范围是三、解答题(第 24、25 两题每题 7 分,第 26 题 8 分,第 27 题 9 分,共 31 分) 24、若圆经过点 A (2,0), B (4,0), C (0,2) ,求这个圆的方程。
《直线与方程》练习题一、选择题1、若直线1=x 的倾斜角为α,则=α( )A 、ο0B 、ο45C 、ο90D 、不存在2、经过两点)3,2(),12,4(-+B y A 的直线的倾斜角为ο135,则y 的值等于( )A 、1-B 、3-C 、0D 、23、过点(1-,4)作直线l 使点M (1,2)到直线l 距离最大,则直线l 的方程为( )A 、03=-+y xB 、05=++y xC 、01=+-y xD 、05=+-y x4、如果0<ac 且0<bc ,那么直线0=++c by ax 不通过( )A 、第一象限B 、第二象限C 、第三象限D 、第四象限5、经过点A (1,2),且在两坐标轴上的截距相等的直线共有( )A 、1条B 、2条C 、3条D 、4条6、已知直线012)4()4(2=++++--m y m x m m 的倾斜角为ο135,则m 的值是( )A 、2-或4B 、4-或2C 、4或0D 、0或2-7、直线l 与直线0632=-+y x 关于点)1,1(-对称,则直线l 的方程是( )A 、0223=+-y xB 、0732=++y xC 、01223=--y xD 、0832=++y x8、方程2240x y -=表示的图形是( )A 、两条相交而不垂直的直线B 、一个点C 、两条垂直直线D 、两条平行直线9、下列说法正确的是A 、 若直线1l 与2l 的斜率相等,则1l ∥2l ;B 、若直线1l ∥2l ,则1l 与2l 的斜率相等;C 、若一条直线的斜率存在,另一条直线的斜率不存在,则它们一定相交;D 、若直线1l 与2l 的斜率都不存在,则1l ∥2l10、到直线0143=+-y x 的距离为3,且与此直线平行的直线方程为 ( )A 、0443=+-y xB 、02430443=--=+-y x y x 或C 、01643=+-y xD 、0144301643=--=+-y x y x 或11、若直线y x k =+与曲线21y x -=恰有一个公共点,则k 的取值范围是( )A 、;2±=kB 、;22-≤≥k k 或C 、;22<<-kD 、;112≤<--=k k 或12、若直线0ax by c ++=过第一、二、三象限,则a 、b 、c 应满足的条件是A、0,0ab bc >> B 、0,0ab bc <> C 、 0,0ab bc >< D 、0,0ab bc <<二、填空题13、如果直线l 与直线x +y -1=0关于y 轴对称,则直线l 的方程是 。
1、已知圆2522=+y x ,求:(1)过点A (4,-3)的切线方程(2)过点B (-5,2)的切线方程。
2、求直线01543=-+y x 被圆2522=+y x 所截得的弦长。
3、实数y x ,满足)0(422≥=+y y x ,试求y x m +=3的取值范围。
4、已知实数y x ,满足01422=+-+x y x(1)求xy的最大值和最小值;(2)求x y -的最大值和最小值; (3)求22y x +的最大值和最小值。
1、在直角坐标系中,直线033=-+y x 的倾斜角是()A .6πB .3π C .65π D .32π2、若圆C 与圆1)1()2(22=-++y x 关于原点对称,则圆C 的方程是()A .1)1()2(22=++-y x B .1)1()2(22=-+-y x C .1)2()1(22=++-y x D .1)2()1(22=-++y x3、直线0=++c by ax 同时要经过第一、第二、第四象限,则c b a 、、应满足( )A .0,0<>bc abB .0,0<>bc abC .0,0>>bc abD .0,0<<bc ab 5、不等式062>--y x 表示的平面区域在直线062=--y x 的( )A .左上方B .右上方C .左下方D .左下方6、直线0943=--y x 与圆422=+y x 的位置关系是() A .相交且过圆心B .相切C .相离D .相交但不过圆心7、已知直线)0(0≠=++abc c by ax 与圆122=+y x 相切,则三条边长分别为cb a 、、的三角形()A .是锐角三角形 B .是直角三角形C .是钝角三角形D .不存在8、过两点)9,3()1,1(和-的直线在x 轴上的截距是() A .23-B .32-C .52 D .29、点)5,0(到直线x y 2=的距离为()A .25 B .5C .23D .2511、由点)3,1(P 引圆922=+y x的切线的长是 ()A .2B .19 C .1 D .412、三直线102,1034,082=-=+=++y x y x y ax 相交于一点,则a 的值是( )A .2-B .1-C .0D .113、已知直线01:,03:21=+-=+y kx l y x l ,若1l 到2l 的夹角为60,则k 的值是 ()A .03或B .03或-C .3D .3-14、如果直线02012=-+=++y x y ax 与直线互相垂直,那么a 的值等于( )A .1B .31-C .32-D .2-16、由422=+=y x x y 和圆所围成的较小图形的面积是( )A .4πB .πC .43πD .23π17、动点在圆122=+y x 上移动时,它与定点)0,3(B 连线的中点的轨迹方程是( )A .4)3(22=++y x B .1)3(22=+-y x C .14)32(22=+-y x D .21)23(22=++y x19、以点)1,5()3,1(-和为端点的线段的中垂线的方程是 20、过点023)4,3(=+-y x 且与直线平行的直线的方程是 21、直线y x y x 、在0623=+-轴上的截距分别为22、三点)2,5()3,4(32k及),,(-在同一条直线上,则k 的值等于23、若方程014222=+++-+a y x y x 表示的曲线是一个圆,则a 的取值范围是 25、求到两个定点)0,1(),0,2(B A -的距离之比等于2的点的轨迹方程。
直线与圆的方程单元测试题一、选择题(本大题共12小题,每小题5分,共60分)。
1.若直线过点(1,2),(4,2+3),则此直线的倾斜角是( )。
A 30° B 45° C 60° D 90°2.方程x 2+y 2+2a x-by+c=0表示圆心为C (2,2),半径为2的圆,则a ,c b ,的值 依次为( )。
A .2、4、4;B 。
-2、4、4;C 。
2、-4、4;D 。
2、-4、-43. 如果0<AC 且0<BC ,那么直线0=++C By Ax 不通过( )A 、第一象限B 、第二象限C 、第三象限D 、第四象限4.已知M (-2,0), N (2,0), 则以MN 为斜边的直角三角形直角顶点P 的轨迹方程是( )(A) 222=+y x (B) 422=+y x(C) )2(222±≠=+x y x (D) )2(422±≠=+x y x5. 点M(4,m )关于点N(n,-3)的对称点为P(6,-9),则( )A m =-3,n =10 B m =3,n =10 C m =-3,n =5 D m =3,n =56.自点1)3()2()4,1(22=-+--y x A 作圆的切线,则切线长为( ) (A) 5 (B) 3 (C) 10 (D) 57. 设c b a ,,分别为 ABC 中∠A 、∠B 、∠C 对边的边长,则直线x sin A +a y +c =0 与直线bx -y sin B +sin C =0的位置关系( )(A )平行; (B )重合; (C )垂直; (D )相交但不垂直8.M (x 0,y 0)为圆x 2+y 2=a 2(a >0)内异于圆心的一点,则直线x 0x+y 0y=a 2与该圆的位置关系是( )A 、相切B 、相交C 、相离D 、相切或相交9.圆012222=+--+y x y x 上的点到直线2=-y x 的距离最大值是( )。
一、选择题(每题3分,共54分)1、在直角坐标系中,直线033yx 的倾斜角是()A .6B .3C .65D .322、若圆C 与圆1)1()2(22y x 关于原点对称,则圆C 的方程是()A .1)1()2(22y x B .1)1()2(22y x C .1)2()1(22yx D .1)2()1(22yx 3、直线0cbyax 同时要经过第一、第二、第四象限,则c b a 、、应满足()A .0,0bc abB .0,0bcab C .0,0bcabD .,0bc ab 4、已知直线221:1xy l ,直线2l 过点)1,2(P ,且1l 到2l 的夹角为45,则直线2l 的方程是()A .1x y B .5331xyC .73x y D .73xy 5、不等式062yx表示的平面区域在直线062yx 的()A .左上方B .右上方C .左下方D .左下方6、直线0943y x 与圆422yx的位置关系是()A .相交且过圆心B .相切C .相离D .相交但不过圆心7、已知直线)0(0abc c by ax 与圆122yx 相切,则三条边长分别为c b a 、、的三角形()A .是锐角三角形B .是直角三角形C .是钝角三角形D .不存在8、过两点)9,3()1,1(和的直线在x 轴上的截距是()A .23B .32C .52D .29、点)5,0(到直线x y 2的距离为()A .25B .5C .23D .2510、下列命题中,正确的是( )A .点)0,0(在区域0y x 内B .点)0,0(在区域01y x内C .点)0,1(在区域x y2内D .点)1,0(在区域01yx 内二、填空题(每题3分,共15分)19、以点)1,5()3,1(和为端点的线段的中垂线的方程是20、过点023)4,3(y x 且与直线平行的直线的方程是21、直线y x yx、在0623轴上的截距分别为22、三点)2,5()3,4(32k及),,(在同一条直线上,则k 的值等于23、若方程014222a y x yx表示的曲线是一个圆,则a 的取值范围是三、解答题(第24、25两题每题7分,第26题8分,第27题9分,共31分)24、若圆经过点)2,0(),0,4(),0,2(C B A ,求这个圆的方程。
高中数学必修二直线和圆练习一、选择题1.过点(1,3)P -且垂直于直线032=+-y x 的直线方程为( )A .012=-+y xB .052=-+y xC .052=-+y xD .072=+-y x2.已知过点(2,)A m -和(,4)B m 的直线与直线012=-+y x 平行,则m 的值为( )A .0B .8-C .2D .103.已知0,0ab bc <<,则直线ax by c +=通过( )A .第一、二、三象限B .第一、二、四象限C .第一、三、四象限D .第二、三、四象限 4.直线l 与两直线1y =和70x y --=分别交于,A B 两点,若线段AB 的中点为 (1,1)M -,则直线l 的斜率为( )A .23B .32C .32-D . 23-. 5. 圆C 1:x 2+y 2+4x-4y+7=0和圆C 2:x 2+y 2-4x-10y+13=0的公切线有( )A.2条B.3条C.4条D.以上均错6. 已知空间两点A(1,3,5)、B(-3,1,3),则线段AB 的中点坐标为( )A.(-1,2,4)B.(2,1,1)C.(1,0,4)D.(3,3,-1)7.若直线(1+a)x+y+1=0与圆x 2+y 2-2x=0相切,则a 的值为( )A.1、-1B.2、-2C.1D.-18.已知圆C :(x-a)2+(y-2)2=4(a>0)及直线l :x-y+3=0,当直线l 被圆C 截得的弦长为32时,则a 等于( ) A.2 B.22-C.12-D.12+二、填空题1.点(1,1)P - 到直线10x y -+=的距离是________________.2.经过点P(1,2)与圆x 2+y 2=1相切的直线方程为______________.3.与两平行直线x+3y-5=0和x+3y-3=0相切,圆心在直线2x+y+3=0上的圆的方程是________.4. 已知圆x2+y2-4x+6y-12=0的内部有一点A(4,-2),则以A为中点的弦所在的直线方程为______________________.三、解答题1.求经过点(2,2)A-并且和两个坐标轴围成的三角形的面积是1的直线方程。
中学2012-2013学年第一学期高二年级周考数 学时间:100分钟 满分:100分 命卷教师:第Ⅰ卷 (选择题 共40分)一、选择题(每小题4分,共40分。
在每小题给出的四个选项中,只有一项是符合题目要求的。
1.直线x +y +2=0截圆x 2+y 2=4所得劣弧所对圆心角为( )A .π6B .π3C .π2 D .2π3【答案】D2.已知圆1C :2(1)x ++2(1)y -=1,圆2C 与圆1C 关于直线10x y --=对称,则圆2C 的方程为( )A .2(2)x ++2(2)y -=1B .2(2)x -+2(2)y +=1C .2(2)x ++2(2)y +=1D .2(2)x -+2(2)y -=1【答案】B3. 已知点M 在曲线22430x y x +++=上,点N 在不等式组2034430x x y y -≤⎧⎪+≥⎨⎪-≤⎩所表示的平面区域上,那么|MN|的最小值是(A .1 B.3C.13-D .2【答案】A 4.(2010重庆理)(8) 直线y=3x +与圆心为D 的圆,1x y θθ⎧=+⎪⎨=+⎪⎩())0,2θπ⎡∈⎣交与A 、B 两点,则直线AD 与BD 的倾斜角之和为A. 76π B. 54πC.43π D. 53π 【答案】C5.(2010全国卷1理)(11)已知圆O 的半径为1,PA 、PB 为该圆的两条切线,A 、B 为两切点,那么PA PB ∙的最小值为(A) 4-+3-+(C) 4-+3-+6、(2009金华十校3月模拟)经过圆2220x x y ++=的圆心C ,且与直线0x y +=垂直的直线方程是A 10x y ++=B 10x y +-=C 10x y -+=D 10x y --= 答案 C7、(2009上海十校联考)圆2286160x y x y +-++=与圆2264x y +=的位置关系是 ( )(A) 相交 (B) 相离 (C) 内切 (D) 外切 答案 C8.(2007岳阳市一中高三数学能力题训练) 若圆2225()3(r y x =++-)上有且仅有两个点到直线4x -3y -2=0的距离为1,则半径r 的取值范围是 ( )A .(4,6) B.[4,6) C.(4,6] D.[4,6]答案 A9.已知A (t t t ,1,-1-)、B ),2t t ,(,则AB 两点间的距离的最小值是( ) A .、55 B.555 C.333 D.511答案 C10. 6.(广东省华南师范附属中学2009届高三上学期第三次综合测试)点(4,)t 到直线431x y -=的距离不大于3,则t 的取值范围是 ( )A .13133t ≤≤B .100t <<C .100t ≤≤D .0t <或10t >答案 C第Ⅱ卷 (非选择题 共44分)二、填空题:本大题共4小题,每小题4分,共16分.把答案填在题中横线上. 11.(全国Ⅱ理16)已知A C B D 、为圆O :224x y +=的两条相互垂直的弦,垂足为(1,M ,则四边形A B C D 的面积的最大值为 。
直线与圆的方程单元测试1.(2013·天津高考)已知过点P (2,2) 的直线与圆(x -1)2+y 2=5相切,且与直线ax -y +1=0垂直,则a =( )A .-12B .1C .2D.12解析:选C 由切线与直线ax -y +1=0垂直,得过点P (2,2)与圆心(1,0)的直线与直线ax -y +1=0平行,所以2-02-1=a ,解得a =2.2.(2014·福建高考)已知直线l 过圆x 2+(y -3)2=4的圆心,且与直线x +y +1=0 垂直,则l 的方程是 ( )A .x +y -2=0B .x -y +2=0C .x +y -3=0D .x -y +3=0解析:选D 依题意,得直线l 过点(0,3),斜率为1,所以直线l 的方程为y -3=x -0,即x -y +3=0.故选D.3.(2016·上海高考)已知平行直线l 1:2x +y -1=0,l 2:2x +y +1=0,则l 1,l 2的距离为________.解析:因为l 1∥l 2,所以两直线的距离d =|-1-1|5=255.答案:2551.(2015·北京高考)圆心为(1,1)且过原点的圆的方程是( )A .(x -1)2+(y -1)2=1 B .(x +1)2+(y +1)2=1 C .(x +1)2+(y +1)2=2 D .(x -1)2+(y -1)2=2解析:选D 圆的半径r =1-02+1-02=2,圆心坐标为(1,1),所以圆的标准方程为(x -1)2+(y -1)2=2.2.(2015·全国卷Ⅱ)已知三点A (1,0),B (0,3),C (2,3),则△ABC 外接圆的圆心到原点的距离为( )A. 53 B .213C. 253D. 43解析:选B ∵A (1,0),B (0,3),C (2,3), ∴AB =BC =AC =2,△ABC 为等边三角形, 故△ABC 的外接圆圆心是△ABC 的中心, 又等边△ABC 的高为3,故中心为⎝ ⎛⎭⎪⎫1,233, 故△ABC 外接圆的圆心到原点的距离为1+⎝ ⎛⎭⎪⎫2332=213.3.(2016·全国卷Ⅲ)已知直线l :x -3y +6=0与圆x 2+y 2=12交于A ,B 两点,过A ,B 分别作l 的垂线与x 轴交于C ,D 两点,则|CD |=________.解析:如图所示,∵直线AB 的方程为x -3y +6=0,∴ AB =33,∴∠BPD =30°, 从而∠BDP =60°. 在Rt △BOD 中,∵|OB |=23,∴|OD |=2.取AB 的中点H ,连接OH ,则OH ⊥AB , ∴OH 为直角梯形ABDC 的中位线, ∴|OC |=|OD |,∴|CD |=2|OD |=2×2=4. 答案:44.(2015·山东高考)过点P (1,3)作圆x 2+y 2=1的两条切线,切点分别为A ,B ,则PA ―→·PB ―→=________.解析:如图所示,可知OA ⊥AP ,OB ⊥BP ,|OP |=1+3=2,又|OA |=|OB |=1,可以求得|AP |=|BP |=3,∠APB =60°, 故PA ―→·PB ―→=3×3×cos 60°=32.答案:325.(2016·全国卷Ⅰ)设直线y =x +2a 与圆C :x 2+y 2-2ay -2=0相交于A ,B 两点,若|AB |=23,则圆C 的面积为________.解析:圆C :x 2+y 2-2ay -2=0化为标准方程为x 2+(y -a )2=a 2+2,所以圆心C (0,a ),半径r =a 2+2, 因为|AB |=23,点C 到直线y =x +2a , 即x -y +2a =0的距离d =|0-a +2a |2=|a |2, 由勾股定理得⎝ ⎛⎭⎪⎫2322+⎝ ⎛⎭⎪⎫|a |22=a 2+2,解得a 2=2,所以r =2,所以圆C 的面积为π×22=4π. 答案:4π6.(2017·江苏高考)在平面直角坐标系xOy 中,A (-12,0),B (0,6),点P 在圆O :x 2+y 2=50上.若PA ―→·PB ―→≤20,则点P 的横坐标的取值范围是________.解析:设P (x ,y ),则PA ―→·PB ―→=(-12-x ,-y )·(-x ,6-y )=x (x +12)+y (y -6)≤20. 又x 2+y 2=50,所以2x -y +5≤0,所以点P 在直线2x -y +5=0的上方(包括直线上). 又点P 在圆x 2+y 2=50上,由⎩⎪⎨⎪⎧y =2x +5,x 2+y 2=50,解得x =-5或x =1,结合图象,可得-52≤x ≤1,故点P 的横坐标的取值范围是[-52,1]. 答案:[-52,1]7.(2015·全国卷Ⅰ)一个圆经过椭圆x 216+y 24=1的三个顶点,且圆心在x 轴的正半轴上,则该圆的标准方程为________.解析:由题意知a =4,b =2,上、下顶点的坐标分别为(0,2),(0,-2),右顶点的坐标为(4,0).由圆心在x 轴的正半轴上知圆过点(0,2),(0,-2),(4,0)三点.设圆的标准方程为(x -m )2+y 2=r 2(0<m <4,r >0),则⎩⎪⎨⎪⎧m 2+4=r 2,4-m 2=r 2,解得⎩⎪⎨⎪⎧m =32,r 2=254.所以圆的标准方程为⎝ ⎛⎭⎪⎫x -322+y 2=254.答案:⎝ ⎛⎭⎪⎫x -322+y 2=2548.(2016·全国卷Ⅲ)已知直线l :mx +y +3m -3=0与圆x 2+y 2=12交于A ,B 两点,过A ,B 分别作l 的垂线与x 轴交于C ,D 两点.若|AB |=23,则|CD |=________.解析:由直线l :mx +y +3m -3=0知其过定点(-3,3),圆心O 到直线l 的距离为d =|3m -3|m 2+1.由|AB |=23得⎝ ⎛⎭⎪⎫3m -3m 2+12+(3)2=12,解得m =-33. 又直线l 的斜率为-m =33,所以直线l 的倾斜角α=π6.画出符合题意的图形如图所示, 过点C 作CE ⊥BD ,则∠DCE =π6. 在Rt △CDE 中,可得|CD |=|AB |cos π6=23×23=4.答案:49.(2017·全国卷Ⅲ)已知抛物线C :y 2=2x ,过点(2,0)的直线l 交C 于A ,B 两点,圆M 是以线段AB 为直径的圆.(1)证明:坐标原点O 在圆M 上;(2)设圆M 过点P (4,-2),求直线l 与圆M 的方程. 解:(1)证明:设A (x 1,y 1),B (x 2,y 2),l :x =my +2.由⎩⎪⎨⎪⎧x =my +2,y 2=2x 可得y 2-2my -4=0,则y 1y 2=-4.又x 1=y 212,x 2=y 222,故x 1x 2=y 1y 224=4.因此OA 的斜率与OB 的斜率之积为y 1x 1·y 2x 2=-44=-1,所以OA ⊥OB .故坐标原点O 在圆M 上.(2)由(1)可得y 1+y 2=2m ,x 1+x 2=m (y 1+y 2)+4=2m 2+4. 故圆心M 的坐标为(m 2+2,m ), 圆M 的半径r =m 2+22+m 2.由于圆M 过点P (4,-2),因此AP ―→·BP ―→=0,故(x 1-4)(x 2-4)+(y 1+2)(y 2+2)=0, 即x 1x 2-4(x 1+x 2)+y 1y 2+2(y 1+y 2)+20=0. 由(1)知y 1y 2=-4,x 1x 2=4.所以2m 2-m -1=0,解得m =1或m =-12.当m =1时,直线l 的方程为x -y -2=0,圆心M 的坐标为(3,1),圆M 的半径为10,圆M 的方程为(x -3)2+(y -1)2=10.当m =-12时,直线l 的方程为2x +y -4=0,圆心M 的坐标为⎝ ⎛⎭⎪⎫94,-12,圆M 的半径为854,圆M 的方程为⎝ ⎛⎭⎪⎫x -942+⎝ ⎛⎭⎪⎫y +122=8516.10.(2017·全国卷Ⅲ)在直角坐标系xOy 中,曲线y =x 2+mx -2与x 轴交于A ,B 两点,点C 的坐标为(0,1),当m 变化时,解答下列问题:(1)能否出现AC ⊥BC 的情况?说明理由;(2)证明过A ,B ,C 三点的圆在y 轴上截得的弦长为定值. 解:(1)不能出现AC ⊥BC 的情况,理由如下: 设A (x 1,0),B (x 2,0),则x 1,x 2满足x 2+mx -2=0, 所以x 1x 2=-2. 又C 的坐标为(0,1), 故AC 的斜率与BC 的斜率之积为-1x 1·-1x 2=-12, 所以不能出现AC ⊥BC 的情况.(2)证明:由(1)知BC 的中点坐标为⎝ ⎛⎭⎪⎫x 22,12, 可得BC 的中垂线方程为y -12=x 2⎝ ⎛⎭⎪⎫x -x 22. 由(1)可得x 1+x 2=-m , 所以AB 的中垂线方程为x =-m2. 联立⎩⎪⎨⎪⎧x =-m 2,y -12=x 2⎝ ⎛⎭⎪⎫x -x 22,x 22+mx 2-2=0,可得⎩⎪⎨⎪⎧x =-m 2,y =-12.所以过A ,B ,C 三点的圆的圆心坐标为⎝ ⎛⎭⎪⎫-m 2,-12,半径r =m 2+92.故圆在y 轴上截得的弦长为2r 2-⎝ ⎛⎭⎪⎫m 22=3,即过A ,B ,C 三点的圆在y 轴上截得的弦长为定值.。
直线与圆的方程习题1、在直角坐标系中,直线033=-+y x 的倾斜角是( ) A .6πB .3πC .65πD .32π2、若圆C 与圆1)1()2(22=-++y x 关于原点对称,则圆C 的方程是( )A .1)1()2(22=++-y xB .1)1()2(22=-+-y xC .1)2()1(22=++-y xD .1)2()1(22=-++y x 3、直线0=++c by ax 同时要经过第一、第二、第四象限,则c b a 、、应满足( )A .0,0<>bc abB .0,0<>bc abC .0,0>>bc abD .0,0<<bc ab5、不等式062>--y x 表示的平面区域在直线062=--y x 的( )A .左上方B .右上方C .左下方D .左下方6、直线0943=--y x 与圆422=+y x 的位置关系是( ) A .相交且过圆心 B .相切 C .相离 D .相交但不过圆心7、已知直线)0(0≠=++abc c by ax 与圆122=+y x 相切,则三条边长分别为c b a 、、的三角形()A .是锐角三角形 B .是直角三角形C .是钝角三角形 D .不存在8、过两点)9,3()1,1(和-的直线在x 轴上的截距是( ) A .23-B .32-C .52D .29、点)5,0(到直线x y 2=的距离为( )A .25 B.5C .23D .2511、由点)3,1(P 引圆922=+y x 的切线的长是 ( ) A .2 B .19 C .1 D .412、三直线102,1034,082=-=+=++y x y x y ax 相交于一点,则a 的值是( )A .2-B .1-C .0D .1 13、已知直线01:,03:21=+-=+y kx l y x l ,若1l 到2l 的夹角为 60,则k 的值是 ( )A .03或 B .03或- C .3 D .3-14、如果直线02012=-+=++y x y ax 与直线互相垂直,那么a 的值等于( )A .1B .31- C .32-D .2-16、由422=+=y x x y 和圆所围成的较小图形的面积是( ) A .4πB .πC .43πD .23π17、动点在圆122=+y x 上移动时,它与定点)0,3(B 连线的中点的轨迹方程是( )A .4)3(22=++y xB .1)3(22=+-y xC .14)32(22=+-y xD .21)23(22=++y x19、以点)1,5()3,1(-和为端点的线段的中垂线的方程是 20、过点023)4,3(=+-y x 且与直线平行的直线的方程是 21、直线y x y x 、在0623=+-轴上的截距分别为22、三点)2,5()3,4(32k及),,(-在同一条直线上,则k 的值等于23、若方程014222=+++-+a y x y x 表示的曲线是一个圆,则a 的取值范围是25、求到两个定点)0,1(),0,2(B A -的距离之比等于2的点的轨迹方程。
一、选择题(本大题共12小题,每小题5分,共60分.在每小题给出的四个选项中,只有一项是符合题目要求的)1.已知两圆的方程是122=+y x 和098622=+--+y x y x ,那么这两个圆的位置关系是( )A .相离B .相交C .外切D .内切2.过点)1,2(的直线中,被圆04222=+-+y x y x 截得的最长弦所在的直线方程为( )A .053=--y xB .073=-+y xC .053=-+y xD .013=+-y x3.若直线01)1(=+++y x a 与圆0222=-+x y x 相切,则a 的值为( )A .1,-1B .2,-2C .1D .-14.经过圆1022=+y x 上一点)6,2(M 的切线方程是( )A .0106=-+y xB.01026=+-y xC .0106=--y xD .01062=-+y x5.垂直于直线1+=x y 且与圆122=+y x 相切于第一象限的直线方程是( )A .02=-+y xB .01=++y xC .01=-+y xD .02=++y x6.关于空间直角坐标系xyz O -中的一点)3,2,1(P 有下列说法:①点P 到坐标原点的距离为13;②OP 的中点坐标为)23,1,21(; ③与点P 关于x 轴对称的点的坐标为)3,2,1(---; ④与点P 关于坐标原点对称的点的坐标为)3,2,1(-;⑤与点P 关于坐标平面xOy 对称的点的坐标为)3,2,1(-,其中正确的个数是( ) A .2B .3C .4D .57.已知点),(b a M 在圆O :122=+y x 外,则直线1=+by ax 与圆O 的位置关系是( )A .相切B .相交C .相离D .不确定8.与圆1O :074422=+-++y x y x 和圆2O :01310422=+--+y x y x 都相切的直线条数是( )A .4B .3C .2D .19.直线l 将圆04222=--+y x y x 平分,且与直线02=+y x 垂直,则直线l 的方程是( )A .02=-y xB .022=--y xC .032=-+y xD .032=+-y x10.圆01442)24(222=+++-+-+m m my x m y x 的圆心在直线04=-+y x 上,那么圆的面积为( )A .π9B .πC .π2D .由m 的值而定11.当点P 在圆122=+y x 上变动时,它与定点)0,3(Q 的连结线段PQ 的中点的轨迹方程是( )A .4)3(22=++y x B .1)3(22=+-y x C .14)32(22=+-y x D .14)32(22=++y x12.曲线241x y -+=与直线4)2(+-=x k y 有两个交点,则实数k 的取值范围是( )A .)125,0( B .),125(+∞ C .]43,31(D .]43,125(二、填空题(本大题共4小题,每小题5分,共20分.把答案填在题中横线上)13.圆122=+y x 上的点到直线02543=-+y x 的距离最小值为____________.14.圆心为)1,1(且与直线4=+y x 相切的圆的方程是________.15.方程02222=-++ay ax y x 表示的圆,①关于直线x y =对称;②关于直线0=+y x 对称;③其圆心在x 轴上,且过原点;④其圆心在y 轴上,且过原点,其中叙述正确的是__________.16.直线032=--y x 与圆9)3()2(22=++-y x 相交于A ,B 两点,则AOB ∆(O 为坐标原点)的面积为________.三、解答题(本大题共6小题,共70分.解答时应写出必要的文字说明、证明过程或演算步骤)17.(10分)自)0,4(A 引圆422=+y x 的割线ABC ,求弦BC 中点P 的轨迹方程.18.(12分)已知圆M :0142222=-++-+m y mx y x 与圆N :022222=-+++y x y x 相交于A ,B 两点,且这两点平分圆N 的圆周,求圆M 的圆心坐标.19.(12分)点M 在圆心为1C 的方程012622=+-++y x y x 上,点N 在圆心为2C 的方程014222=++++y x y x 上,求||MN 的最大值.20.(12分)已知圆C :034222=+-++y x y x ,从圆C 外一点P 向圆引一条切线,切点为M ,O 为坐标原点,且有||||PO PM =,求||PM 的最小值.21.(12分)已知圆C :04514422=+--+y x y x 及点)3,2(-Q ,(1)若点)1,(+m m P 在圆C 上,求PQ 的斜率;(2)若点M 是圆C 上任意一点,求||MQ 的最大值、最小值;(3)若),(b a N 满足关系:0451422=+--+b a b a ,求出23+-=a b t 的最大值.22.(12分)已知曲线C :02010)104(222=++++++k y k kx y x ,其中1-≠k .(1)求证:曲线C 表示圆,并且这些圆心都在同一条直线上; (2)证明曲线C 过定点;(3)若曲线C 与x 轴相切,求k 的值.第四章圆与方程测验题答案(一)一、选择题1. 解析 将圆098622=+--+y x y x ,化为标准方程得16)4()3(22=-+-y x ,∴两圆的圆心距5)40()30(22=-+-,又521=+r r ,∴两圆外切,答案 C 2.解析 依题意知所求直线通过圆心)2,1(-,由直线的两点式方程,得121212--=++x y , 即053=--y x ,答案 A3.解析 圆0222=-+x y x 的圆心)0,1(C ,半径为1,依题意得11)1(|101|2=+++++a a ,即1)1(|2|2++=+a a ,平方整理得1-=a ,答案 D4.解析 ∵点)6,2(M 在圆1022=+y x 上,26=OM k ,∴过点M 的切线的斜率为36-=k . 故切线方程为)2(366--=-x y ,即01062=-+y x ,答案 D5.解析 由题意可设所求的直线方程为k x y +-=,则由12||=k ,得2±=k ,由切点在第一象限知,2=k ,故所求的直线方程2+-=x y ,即02=-+y x ,答案 A6.解析 点P 到坐标原点的距离为14321222=++,故①错;②正确;点P 关于x 轴对称的点的坐标为)3,2,1(--,故③错;点P 关于坐标原点对称的点的坐标为)3,2,1(---,故④错;⑤正确.答案 A7. 解析 ∵点),(b a M 在圆122=+y x 外,122>+∴b a ,又圆心)(0,0到直线1=+by ax 的距离r ba d =<+=1122,∴直线与圆相交.答案 B8.解析 两圆的方程配方得,1O :1)2()2(22=-++y x ,2O :16)5()2(22=-+-y x ,圆心)2,2(1-O ,)5,2(2O O 2,半径11=r ,42=r ,5)25()22(||2221=-++=∴O O ,,521=+r r ,5||2121=+=∴r r O O ,∴两圆外切,故有3条公切线,答案 B9.解析 依题意知直线l 过圆心)(2,1,斜率2=k ,∴l 的方程为)1(22-=-x y ,即02=-y x ,答案 A10. 解析 01442)24(222=+++-+-+m m my x m y x ,222)()12(m m y m x =-+--∴,∴圆心)(m m ,12+,半径||m r =. 依题意知0412=-++m m ,1=∴m ,∴圆的面积ππ=⨯=21S ,答案 B11.解析 设),(11y x P ,)0,3(Q ,设线段PQ 中点M 的坐标为(x ,y ),则231+=x x ,21y y =,321-=∴x x ,y y 21=,又点),(11y x P 在圆122=+y x 上, 14)32(22=+-∴y x ,故线段PQ 中点的轨迹方程为14)32(22=+-y x ,答案 C12.解析 如图所示,曲线241x y -+=,变形为)1(4)1(22≥=-+y y x , 直线4)2(+-=x k y 过定点)4,2(, 当直线l 与半圆相切时,有21|142|2=+-+-k k ,解得125=k ,当直线l 过点)1,2(- 时,43=k ,因此,k 的取值范围是43125≤<k ,答案 D二、填空题13. 解析 圆心)0,0(到直线02543=-+y x 的距离为5,∴所求的最小值为4,答案 414. 解析22|411|=-+=r ,所以圆的方程为2)1()1(22=-+-y x .答案 2)1()1(22=-+-y x15. 解析 已知方程配方,得)0(2)()(222≠=-++a a a y a x ,圆心坐标为),(a a -,它在直线0=+y x 上,∴已知圆关于直线0=+y x 对称.故②正确.答案 ②16. 解析 圆心坐标)3,2(-,半径r =3,圆心到直线032=--y x 的距离5=d ,弦长42||22=-=d r AB ,又原点)0,0(到AB 所在直线的距离53=h ,所以AOB ∆的面积为55653421=⨯⨯=S ,答案 556三、解答题17.(10分)自)0,4(A 引圆422=+y x 的割线ABC ,求弦BC 中点P 的轨迹方程.解 解法1:连接OP ,则BC OP ⊥,设),(y x P ,当0≠x 时,1-=AP OP k k , 即14-=-⋅x yx y ,即0422=-+x y x ①, 当0=x 时,P 点坐标为)0,0(是方程①的解,BC ∴中点P 的轨迹方程为0422=-+x y x (在已知圆内).解法2:由解法1知AP OP ⊥,取OA 中点M ,则)0,2(M ,2||21|PM |==OA ,由圆的定义,知P 点轨迹方程是以)0,2(M 为圆心,2为半径的圆.故所求的轨迹方程为4)2(22=+-y x (在已知圆内).18.(12分)已知圆M :0142222=-++-+m y mx y x 与圆N :022222=-+++y x y x 相交于A ,B 两点,且这两点平分圆N 的圆周,求圆M 的圆心坐标.解 由圆M 与圆N 的方程易知两圆的圆心分别为)2,(-m M ,)1,1(--N .两圆的方程相减得直线AB 的方程为012)1(22=---+m y x m ,A ,B 两点平分圆N 的圆周,AB ∴为圆N 的直径,AB ∴过点)1,1(--N ,01)1(2)1()1(22=---⨯--⨯+∴m m ,解得1-=m ,故圆M 的圆心)2,1(--M .19.(12分) 点M 在圆心为1C 的方程012622=+-++y x y x 上,点N 在圆心为2C 的方程014222=++++y x y x 上,求||MN 的最大值.解 把圆的方程都化成标准形式,得9)1()3(22=-++y x ,4)2()1(22=+++y x , 如图所示,1C 的坐标是)1,3(-,半径长是3;2C 的坐标是)2,1(--,半径长是2. 所以,13)21()13(||2221=+++-=C C ,因此,||MN 的最大值是513+.20.(12分) 已知圆C :034222=+-++y x y x , 从圆C 外一点P 向圆引一条切线,切点为M ,O 为坐标原点,且有||||PO PM =,求||PM 的最小值.解 如图PM ∴为圆C 的切线, 则PM CM ⊥,PMC ∆∴为直角三角形,222|||PC |||MC PM -=∴设),(y x P ,)2,1(-C ,2||=NC ,||||PO PM = ,2)2()1(2222--++=+∴y x y x ,化简得点P 的轨迹方程为0342=+-y x .求||PM 的最小值,即求||PO 的最小值,即求原点O 到直线0342=+-y x 的距离,代入点到直线的距离公式可求得||PM 最小值为1053.21.(12分) 已知圆C :04514422=+--+y x y x 及点)3,2(-Q ,(1)若点)1,(+m m P 在圆C 上,求PQ 的斜率;(2)若点M 是圆C 上任意一点,求||MQ 的最大值、最小值; (3)若),(b a N 满足关系:0451422=+--+b a b a ,求出23+-=a b t 的最大值. 解 圆C :04514422=+--+y x y x 可化为8)7()2(22=-+-y x .(1)点)1,(+m m P 在圆C 上,所以045)1(144)1(22=++--++m m m m ,解得4=m , 故点)5,4(P ,所以PQ 的斜率312435=+-=PQ k(2)如图,点M 是圆C 上任意一点,)3,2(-Q 在圆外,所以||MQ 的最大值、最小值分别是r QC +||,r QC -||, 易求24||=QC ,22=r ,所以26||max =MQ ,22||min =MQ .(3)点N 在圆C :04514422=+--+y x y x 上,23+-=a b t 表示的是定点)3,2(-Q 与圆上的动点N 连线l 的斜率.设l 的方程为)2(3+=-x k y ,即032=++-k y kx ,当直线和圆相切时,d =r , 即221|3272|2=+++-k k k ,解得32±=k ,所以23+-=a b t 的最大值为32+.22.(12分) 已知曲线C :02010)104(222=++++++k y k kx y x ,其中1-≠k .(1)求证:曲线C 表示圆,并且这些圆心都在同一条直线上; (2)证明曲线C 过定点;(3)若曲线C 与x 轴相切,求k 的值.解 (1)证明:原方程可化为222)1(5)52()(+=++++k k y k x .1-≠k ,2)1(5+∴k ,故方程表示圆心为)52,(---k k ,半径为|1|5+k 的圆.设圆心的坐标为),(y x ,则⎩⎨⎧--=-=52k y kx ,消去k ,得052=--y x .∴这些圆的圆心都在直线052=--y x 上.(2)证明:将原方程变形为0)2010()1042(22=++++++y y x k y x ,∵上式对于任意1-≠k 恒成立,⎩⎨⎧=+++=++∴020100104222y y x y x , 解得⎩⎨⎧-==31y x ,∴曲线C 过定点)3,1(-.(3)∵圆C 与x 轴相切,∴圆心)52,(---k k 到x 轴的距离等于半径. 即|1|5|52|+=--k k ,两边平方,得22)1(5)52(+=+k k , 535±=∴k .必修2第四章《圆与方程 》测试题(二)一.选择题(每小题5分,共12小题,共60分)1.方程0122222=-+++++a a ay ax y x 表示圆,则a 的取值范围是 ( ) A .322>-<a a 或 B .232<<-a C . 02<<-a D . 223a -<<2.以)(6,5和),(43-为直径端点的圆的方程是 ( )A .072422=+-++y x y x B .064822=-+++y x y x C .052422=-+-+y x y xD .092822=---+y x y x3.过两圆:04622=+++y x y x 及042422=-+++y x y x 的交点的直线的方程 ( ) A .02=++y x B .02=-+y x C .0235=-+y x D .不存在4.若曲线04)1(2222=--+++y a x a y x 关于直线0=-x y 的对称曲线仍是其本身,则实数=a ( )A .21±B .22±C .21或22-D .21-或225.若直线0234=--y x 与圆01242222=-++-+a y ax y x 总有两个不同交点,则a 的取值范围是( )A. 73<<-aB. 46<<-aC. 37<<-aD. 1921<<-a6.已知直线)0(0≠=++abc c by ax 与圆122=+y x 相切,则三条边长分别为||a 、||b 、c 的三角形( )A .是锐角三角形B .是直角三角形C .是钝角三角形D .不存在7.两圆1.C :044422=+-++y x y x ,2.C :01310422=+--+y x y x 的公切线有( )A .2条B .3条C .4条D .以上都不对8.经过点)2,5(A ,)2,3(B ,圆心在直线032=--y x 上的圆的方程为 ( ).A 10)5()4(22=-+-y x .B 10)5()4(22=-++y x .C 10)5()4(22=++-y x .D 10)5()4(22=+++y x9.若0433222=-+c b a ,则直线0=++c by ax 被圆122=+y x 所截得的弦长为 ( )A.32B.1C.21D.4310.设),(y x P 是曲线.C :03422=+++x y x 上任意一点,则xy的取值范围是 ( ) A .]3,3[- B .),3[)3,(+∞--∞ C .]3333[- D .),33[)33,(+∞--∞11.已知点),(b a M (0≠ab )是圆C :222r y x =+内一点,直线l 是以M 为中点的弦所在的 直线,直线l '的方程是2r by ax =+,那么 ( ) A .l ∥l '且l '与圆C 相离 B .l ⊥l '且l '与圆C 相离 C .l ∥l '且l '与圆C 相切 B .l ⊥l '且l '与圆C 相切12.直线b x y +=与曲线21y x -=有且仅有一个公共点,则b 的取值范围是 ( ) A .2||=b B .11≤<-b 或2-=b C .21≤≤-b D .以上都错二.填空题(每小题5分,共20分)13.已知)1,2,1(-A ,),,(222B ,轴上在点Z P ,||||PB PA =且,的坐标为则点P14.已知BC 是圆2522=+y x 的动弦,且6||=BC ,则BC 的中点的轨迹方程是 ____15.过)2,1(P 的直线l 把圆05422=--+x y x 分成两个弓形当其中劣孤最短时直线l 的方程为 _____16.圆034222=-+++y x y x 上到直线234=-y x 的距离为2的点数共有三.解答题(共6小题,共70分)17.(12分)求经过点)7,1(- 与圆2522=+y x 相切的切线方程.18.(12分) 直线l 经过点)5,5(P 且和圆C :2522=+y x 相交,截得弦长为54,求l 的方程.19.(12分)求圆心在直线x y 4-=上,并且与直线l :01=-+y x 相切于点)2,3(-P 的圆的方程. 20.(12分)有一种大型商品,A 、B 两地都有出售,且价格相同,某地居民从两地之一购得商品后回运的运费是:每单位距离A 地的运费是B 地运费的3倍,已知A 、B 两地相距km 10,居民选择A 或B 地购买这种商品的标准是:包括运费和价格的总费用较低.求A 、B 两地的售货区域的分界线的曲线形状,并指出曲线上、曲线内、曲线外的居民应如何选择购货地点.21.(12分)已知圆C :044222=-+-+y x y x ,是否存在斜率为1的直线L ,使以L 被圆C截得的弦AB 为直径的圆过原点,若存在求出直线L 的方程,若不存在说明理由.22.(14分)已知圆满足:①截y 轴所得弦长为2=y ;②被x 轴分成两段圆弧,其弧长的比为3:1;③圆心到直线l :02=-y x 的距离为55的圆的方程.必修2第四章测试题答案与提示(二)一.选择题1-4. DDAB 5-8. BBAA 9-12.BCAB 提示:1.因为方程0122222=-+++++a a ay ax y x 表示圆,所以222(2)4(21)0a a a a +-+->,解得223a -<<.2.因为以(5,6)和(3,-4)为直径端点,所以圆心为(4,1). 3.提示一:由圆的方程,解出交点的坐标,由直线方程的两点式,得出直线方程. 提示二:两圆的方程相减,得出直线方程.4.因为曲线x 2+y 2+a 2x +(1–a 2)y –4=0关于直线y –x =0的对称曲线仍是其本身,所以直线y –x =0过圆心. 5.提示一:将直线方程代入圆的方程,根的判别式大于0.提示二:圆心到直线的距离小于圆的半径.6.因为直线)0(0≠=++abc c by ax 与圆122=+y x 相切,所以圆心到直线的距离等于半径,整理得222a b c +=.7.两圆圆心分别为(-2,2),(2,5),所以圆心距为5,两圆半径为2,4,所以两圆位置关系为:相交.其公切线为两条.8.提示一:设圆心为(,)a b ,半径为r ,则230a b --=,222(5)(2)a a r -+-=,222(3)(2)a a r -+-=解出,即可.提示二:设为圆的一般方程,代入解出.9.圆心到直线的距离为 1,由勾股定理,得弦长为1. 10.x y 可看成圆上的点与原点的斜率,画图可知,x y取值范围是 ]33,33[-. 11.因点),(b a M (0≠ab )是圆C :222r y x =+内一点,故222a b r +<.直线l 是以M 为中点的弦所在的直线,直线l 的方程为()ay b x a b-=--,其与直线l '平行圆心到直线l '的距离2d r =>,l '与圆C 相离.12.曲线x 圆221x y +=的y 轴右侧部分,直线y = x + b 与曲线x =21y -有且仅有一个公共点,则或者相交一个交点,此时b 大于-1小于等于1;或者两者相切此时b =. 二.填空题13.(0,0,3); 14.1622=+y x ; 15.032=+-y x ; 16.4个. 提示:13.设的坐标P 为(0,0,Z )则222222)-222-121Z Z ()(++=++,解得Z=3. 14.弦BC 的中点到圆心的距离不变为4,故其轨迹为1622=+y x .15.过P (1,2)的直线l 把圆05422=--+x y x 分成两个弓形当其中劣孤最短时,P 为直线截圆所成弦的中点,由斜率公式得出直线l 的斜率,l 的方程为032=+-y x .16.直线4x-3y=2过圆的圆心,圆的半径为因此,圆上有4个点到直线4x-3y=2. 三.解答题17.解法1: 设切线的斜率为k ,由点斜式有:y +7 = k(x- 1),即y = k(x- 1) –7 ①将①式代入圆方程2225x y += 得:()221725x k x +--=⎡⎤⎣⎦,整理得:()()2222121414240kx k k x k k +-++++=()()()22222144114240k k k k k ∆=+-+++=,解得34=k 或 43-=k ∴切线方程为:4x-3y-25 = 0或3x + 4y + 25 = 0 .解法2 : 设所求切线斜率为k ,∴所求直线方程为:y+7= k(x- 1) 整理成一般式为:kx – y – k - 7 = 0,∴517002=+---kk ,化简为2127120k k --= 0,∴34=k 或43-=k 切线方程为:4x - 3y - 25 = 0或3x + 4y + 25 = 0.18.解法1:设直线l 的方程为y-5 = k(x-5),且与圆C 相交于()11,A x y 、()22,B x y ,则有⎩⎨⎧-+-=-25)5(522y x x k y ,消去y 得()()()2211012520k x k k x k k ++-+-= ∴()()()22101412520k k k k k ∆=--+->⎡⎤⎣⎦,解得:k>0.()1221011k k x x k -+=-+,()1222521k k x x k -=+ 由斜率公式,得:()1212y y k x x -=-∴()()()()22221212121AB x x y y k x x =-+-=+-]4)[(1(21212x x x x k -++=1)2(254)1()1(100)[1(22222+-⋅-+-+=k k k k k k k 45= 两边平方,整理得:22520k k -+=,解得:21=k 或K=2合题意. ∴直线 的方程为:x - 2y + 5 = 0或2x – y – 5 = 0.解法2:如图所示,OM 是圆心到直线l 的距离,OA 是圆的半径,AH 是弦长AB 的一半,在Rt AHO ∆中,5OA =,52542121=⨯==AB AH , ∴225OH OAAM=-=51)1(52=+-k k 解得21=k 或k=2.∴直线 的方程为:x-2y +5 = 0或2x-y-5=0.19.解法1: 设所求圆方程为 ()()222x a y b r -+-=,则依题意有⎪⎪⎩⎪⎪⎨⎧==--+--=-+rr b a a b b a 21222)2()3(4,解方程组得a=1,b=-4,22r =, 所求圆的方程为 ()()22148x y -++=.解法2: 由于圆心在直线 4y x =-上,又在过切点(3,-2)与切线x+y-1=0垂直的直线y+2=(x-3),即x-y-5=0上,解方程组⎩⎨⎧-==--xy y x 405可得圆心(1,-4),于是()()22134222r =-+-+=所求圆的方程为()()22148x y -++=.20.解:以AB 所在直线为x 轴,线段AB 的中点为原点建立直角坐标系,则A (-5,0),B (5,0).设某地P 的坐标为(x ,y ),且P 地居民选择A 地购买商品的费用较低,并设A 地的运费为3a 元/km ,则B 地运费为a 元/km. 由于P 地居民购买商品的总费用满足条件:价格+A 地运费≤价格+B 地运费 ,即22)5(3y x a ++22)5(y x a +-≤,整理得222)415()425(≤++y x . 所以,以点C )0,425(-为圆心,415为半径的圆就是两地居民购货的分界线. 圆内的居民从A 地购货费用较低,圆外的居民从B 地购货费用较低,圆上的居民从A 、B 两地购货的总费用相等,因此可以随意从A 、B 两地之一购货.21.解:圆C 化成标准方程为:2223)2()1(=++-y x假设存在以AB 为直径的圆M ,圆心M 的坐标为(a ,b ) 由于CM ⊥L ,∴k CM k L =-1 ∴k CM =112-=-+a b , 即a+b+1=0,得b= -a -1 ①直线L 的方程为y -b=x -a ,即x -y+b -a=0 ∴ CM=2|3|+-a b∵以AB 为直径的圆M 过原点,∴OMMB MA ==2)3(92222+--=-=a b CMCB MB ,222b a OM +=∴2222)3(9b a a b +=+-- ② 把①代入②得 0322=--a a ,∴123-==a a 或当25,23-==b a 时此时直线L 的方程为:x -y -4=0;当0,1=-=b a 时此时直线L 的方程为:x -y+1=0故这样的直线L 是存在的,方程为x -y -4=0 或x -y+1=0. 22.解:设圆的方程为:当时,, ∵ ∴, ∴,, ∴①当时,∵∴∴②由①、②得:又∵到的距离为∴∴∴或∴或∴或∴或.%。
一、 选择题(每题3分,共54分) 1、在直角坐标系中,直线033=-+y x 的倾斜角是()A .6πB .3π C .65π D .32π2、若圆C 与圆1)1()2(22=-++y x 关于原点对称,则圆C 的方程是()A .1)1()2(22=++-y x B .1)1()2(22=-+-y x C .1)2()1(22=++-y xD .1)2()1(22=-++y x3、直线0=++cby ax 同时要经过第一、第二、第四象限,则c b a 、、应满足( )A .0,0<>bc abB .0,0<>bc abC .0,0>>bc abD .0,0<<bc ab4、已知直线221:1+=x y l ,直线2l 过点)1,2(-P ,且1l 到2l 的夹角为 45,则直线2l 的方程是( )A .1-=x yB .5331+=x y C .73+-=x y D .73+=x y5、不等式062>--y x 表示的平面区域在直线062=--y x 的( )A .左上方B .右上方C .左下方D .左下方6、直线0943=--y x 与圆422=+y x 的位置关系是()A .相交且过圆心B .相切C .相离D .相交但不过圆心7、已知直线)0(0≠=++abc cby ax 与圆122=+y x 相切,则三条边长分别为c b a 、、的三角形()A .是锐角三角形B .是直角三角形C .是钝角三角形D .不存在8、过两点)9,3()1,1(和-的直线在x 轴上的截距是()A .23-B .32-C .52 D .29、点)5,0(到直线x y 2=的距离为()A .25 B .5C .23 D .2510、下列命题中,正确的是( )A .点)0,0(在区域0≥+y x 内B .点)0,0(在区域01<++y x 内C .点)0,1(在区域x y 2>内D .点)1,0(在区域01<+-y x 内二、填空题(每题3分,共15分)19、以点)1,5()3,1(-和为端点的线段的中垂线的方程是20、过点023)4,3(=+-y x 且与直线平行的直线的方程是21、直线y x y x 、在0623=+-轴上的截距分别为22、三点)2,5()3,4(32k及),,(-在同一条直线上,则k 的值等于 23、若方程014222=+++-+a y x y x表示的曲线是一个圆,则a 的取值范围是三、解答题(第24、25两题每题7分,第26题8分,第27题9分,共31分) 24、若圆经过点)2,0(),0,4(),0,2(C B A ,求这个圆的方程。
一选择题(共55分,每题5分)1. 已知直线经过点A(0,4)和点B (1,2),则直线的斜率为( )A.3 2 C. 2 D. 不存在 2.过点(1,3)-且平行于直线032=+-y x 的直线方程为( )A .072=+-y xB .012=-+y xC .250x y --=D .052=-+y x3. 在同一直角坐标系中,表示直线y ax =与y x a =+正确的是( )x y O x y O x y O xyOA B C D 4.若直线2=0和231=0互相垂直,则( ) A .32- B .32 C .23- D .23 5.过(x 1,y 1)和(x 2,y 2)两点的直线的方程是( )112121112112211211211211...()()()()0.()()()()0y y x x A y y x x y y x x B y y x x C y y x x x x y y D x x x x y y y y --=----=-------=-----=6、若图中的直线L 1、L 2、L 3)A 、K 1﹤K 2﹤K 3B 、K 2﹤K 1﹤K 3C 、K 3﹤K 2﹤K 1xoD 、K 1﹤K 3﹤K 27、直线235=0关于直线对称的直线方程为( ) A 、325=0 B 、235=0 C 、325=0 D 、325=08、与直线236=0关于点(11)对称的直线是( ) A.326=0 B.237=0 C. 3212=0 D. 238=09、直线5210=0在x 轴上的截距为a,在y 轴上的截距为b,则( ) 25; 25-; 2-5; 2-5-.10、直线27与直线327=0的交点是( ) A (31) B (-1,3) C (-31) D (3,1)11、过点P(41)且与直线346=0垂直的直线方程是( ) A 4313=0 B 4319=0 C 3416=0 D 348=0二填空题(共20分,每题5分)12. 过点(1,2)且在两坐标轴上的截距相等的直线的方程 _ ;13两直线23y -0和x -12=0的交点在y 轴上,则k 的值是L 114、两平行直线0962043=-+=-+y x y x 与的距离是 。
一选择题(共55分,每题5分)1. 已知直线经过点A (0,4)和点B(1,2),则直线AB 的斜率为( )A.3 B.-2 C . 2 D . 不存在 2.过点(1,3)-且平行于直线032=+-y x 的直线方程为( )A.072=+-y x B.012=-+y x C.250x y --= D .052=-+y x 3. 在同一直角坐标系中,表示直线y ax =与y x a =+正确的是( )x y O x y O x y O xyOA B C D 4.若直线x +a y+2=0和2x+3y+1=0互相垂直,则a =( ) A .32-B .32 C.23- D .235.过(x 1,y 1)和(x2,y 2)两点的直线的方程是( )112121112112211211211211...()()()()0.()()()()0y y x x A y y x x y y x x B y y x x C y y x x x x y y D x x x x y y y y --=----=-------=-----=6、若图中的直线L 1、L2、L 3的斜率分别为A 、K 1﹤K2﹤K 3B、K2﹤K1﹤K 3C 、K 3﹤K 2﹤K1D 、K 1﹤K 3﹤K 27、直线2x +3y -5=0关于直线y=x A、3x+2y-5=0 B、2x-3y -5=0 C 、3x+2y +5=0 D、3x-2y-5=08、与直线2x+3y-6=0关于点(1,-1)对称的直线是( )A.3x-2y-6=0 B.2x+3y+7=0 C. 3x -2y -12=0 D. 2x+3y+8=09、直线5x -2y-10=0在x 轴上的截距为a,在y 轴上的截距为b,则( )xA.a=2,b=5; B.a=2,b=5-; C .a=2-,b=5; D .a =2-,b =5-.10、直线2x-y=7与直线3x+2y-7=0的交点是( ) A (3,-1) B (-1,3) C (-3,-1) D (3,1)11、过点P(4,-1)且与直线3x -4y +6=0垂直的直线方程是( ) A 4x+3y-13=0 B 4x-3y-19=0 C 3x-4y-16=0 D 3x+4y -8=0二填空题(共20分,每题5分)12. 过点(1,2)且在两坐标轴上的截距相等的直线的方程 _ __________;13两直线2x +3y -k=0和x -ky+12=0的交点在y轴上,则k的值是14、两平行直线0962043=-+=-+y x y x 与的距离是 。
15空间两点M1(-1,0,3),M 2(0,4,-1)间的距离是三计算题(共71分)16、(15分)已知三角形ABC 的顶点坐标为A(-1,5)、B (-2,-1)、C(4,3),M是B C边上的中点。
(1)求AB 边所在的直线方程;(2)求中线AM的长(3)求AB 边的高所在直线方程。
17、(12分)求与两坐标轴正向围成面积为2平方单位的三角形,并且两截距之差为3的直线的方程。
18.(12分) 直线062=++y m x 与直线023)2(=++-m my x m 没有公共点,求实数m 的值。
19.(16分)求经过两条直线04:1=-+y x l 和02:2=+-y x l 的交点,且分别与直线012=--y x (1)平行,(2)垂直的直线方程。
20、(16分)过点(2,3)的直线L 被两平行直线L1:2x-5y+9=0与 L 2:2x -5y -7=0所截线段AB的中点恰在直线x-4y-1=0上,求直线L 的方程高中数学必修二 第三章直线方程测试题答案1-5 BACAC 6-10 AADBA 11 A 12.y=2x 或x+y-3=0 13.±614、201016、解:(1)由两点式写方程得121515+-+=---x y ,……………………3分 即 6x -y+11=0……………………………………………………4分或 直线AB 的斜率为 616)1(251=--=-----=k ……………………………1直线AB的方程为 )1(65+=-x y ………………………………………3分即 6x -y+11=0…………………………………………………………………4分 (2)设M 的坐标为(00,y x ),则由中点坐标公式得1231,124200=+-==+-=y x 故M(1,1)………………………6分 52)51()11(22=-++=AM …………………………………………8分(3)因为直线AB 的斜率为k A B=51632+=--+········(3分)设AB 边的高所在直线的斜率为k则有1(6)16AB k k k k ⨯=⨯-=-∴=··········(6分) 所以AB 边高所在直线方程为13(4)61406y x x y -=--+=即········(10分) 17.解:设直线方程为1x y a b +=则有题意知有1342ab ab =∴=又有①314(a b b b -===-则有或舍去)此时4a =直线方程为x+4y-4=0 ②341440b a b a x y -===+-=则有或-1(舍去)此时直线方程为 18.方法(1)解:由题意知260(2)320x m y m x my m m ⎧++=⎨-++=⎩⇒∴23232即有(2m -m +3m)y=4m-12因为两直线没有交点,所以方程没有实根,所以2m -m +3m =0(2m-m +3)=0m=0或m=-1或m=3当m=3时两直线重合,不合题意,所以m=0或m=-1方法(2)由已知,题设中两直线平行,当2222322303116132316m m m m mm m m m mm m m m m --≠≠==-≠≠±=-时,=由=得或由得所以当m=0时两直线方程分别为x+6=0,-2x=0,即x=-6,x=0,两直线也没有公共点, 综合以上知,当m=-1或m=0时两直线没有公共点。
19解:由⎩⎨⎧=+-=-+0204y x y x ,得⎩⎨⎧==31y x ; (2)∴1l 与2l 的交点为(1,3)。
…………………………………………………….3′ (1) 设与直线012=--y x 平行的直线为02=+-c y x ………………4′ 则032=+-c ,∴c=1。
…………………………………………………..6′ ∴所求直线方程为012=+-y x 。
…………………………………………7′ 方法2:∵所求直线的斜率2=k ,且经过点(1,3),…………………..5′ ∴求直线的方程为)1(23-=-x y ,……………………….. …………..…6′ 即012=+-y x 。
………………………………………….….. ……………7′ (2) 设与直线012=--y x 垂直的直线为02=++c y x ………………8′ 则0321=+⨯+c ,∴c=-7。
…………………………………………….9′ ∴所求直线方程为072=-+y x 。
……………………………………..…10′ 方法2:∵所求直线的斜率21-=k ,且经过点(1,3),………………..8′ ∴求直线的方程为)1(213--=-x y ,……………………….. ………….9′ 即072=-+y x 。
………………………………………….….. ……….10′20、解:设线段AB的中点P 的坐标(a,b ),由P到L1,、L 2的距离相等,得⎣⎦=++-2252952b a ⎣⎦2252752+--b a经整理得,0152=+-b a ,又点P 在直线x -4y-1=0上,所以014=--b a解方程组⎩⎨⎧=--=+-0140152b a b a 得⎩⎨⎧-=-=13b a 即点P的坐标(-3,-1),又直线L 过点(2,3)所以直线L的方程为)3(2)3()1(3)1(----=----x y ,即0754=+-y x一、选择题1. 圆22(2)5x y ++=关于原点(0,0)P 对称的圆的方程为 ( ) A. 22(2)5x y -+= ﻩﻩﻩ B.22(2)5x y +-= C.22(2)(2)5x y +++=ﻩﻩD.22(2)5x y ++= 2. 若)1,2(-P 为圆25)1(22=+-y x 的弦AB 的中点,则直线AB 的方程是( ) A. 03=--y x B . 032=-+y x C. 01=-+y x ﻩD. 052=--y x3. 圆012222=+--+y x y x 上的点到直线2=-y x 的距离最大值是( ) A. 2 B. 21+ C.221+D. 221+4. 将直线20x y λ-+=,沿x 轴向左平移1个单位,所得直线与圆22240x y x y ++-=相切,则实数λ的值为( )A. 37-或ﻩ B . 2-或8ﻩ C. 0或10 ﻩ D. 1或115. 在坐标平面内,与点(1,2)A 距离为1,且与点(3,1)B 距离为2的直线共有( )A. 1条 B. 2条 C. 3条 D. 4条6. 圆0422=-+x y x 在点)3,1(P 处的切线方程为( ) A. 023=-+y x B. 043=-+y xC.043=+-y x D. 023=+-y x二、填空题1. 若经过点(1,0)P -的直线与圆032422=+-++y x y x 相切,则此直线在y 轴上的截距是 . .2. 由动点P 向圆221x y +=引两条切线,PA PB ,切点分别为0,,60A B APB ∠=,则动点P 的轨迹方为 .3. 圆心在直线270x y --=上的圆C 与y 轴交于两点(0,4),(0,2)A B --,则圆C 的方程 为 .4. 已知圆()4322=+-y x 和过原点的直线kx y =的交点为,P Q 则OQ OP ⋅的值为________________.5. 已知P 是直线0843=++y x 上的动点,,PA PB 是圆012222=+--+y x y x 的切线,,A B 是切点,C 是圆心,那么四边形PACB 面积的最小值是________________. 三、解答题 1. 点(),P a b 在直线01=++y x 上,求22222+--+b a b a 的最小值.2. 求以(1,2),(5,6)A B --为直径两端点的圆的方程.3. 求过点()1,2A 和()1,10B 且与直线012=--y x 相切的圆的方程.4. 已知圆C 和y 轴相切,圆心在直线03=-y x 上,且被直线x y =截得的弦长为72,求圆C 的方程.高中数学必修二 圆与方程练习题答案一、选择题1. A (,)x y 关于原点(0,0)P 得(,)x y --,则得22(2)()5x y -++-= 2. A 设圆心为(1,0)C ,则,1,1,12CP AB AB CP k k y x ⊥=-=+=-3. B 圆心为max (1,1),1,21C r d ==4. A 直线20x y λ-+=沿x 轴向左平移1个单位得220x y λ-++=圆22240x y x y ++-=的圆心为2(1,2),5,5,3,75C r d λλλ-+-====-=或5. B 两圆相交,外公切线有两条6. D2224x y -+=()的在点)3,1(P 处的切线方程为(12)(2)34x y --+= 二、填空题1. 1 点(1,0)P -在圆032422=+-++y x y x 上,即切线为10x y -+= 2.224x y += 2OP = 3.22(2)(3)5x y -++= 圆心既在线段AB 的垂直平分线即3y =-,又在 270x y --=上,即圆心为(2,3)-,5r =4. 5 设切线为OT ,则25OP OQ OT ⋅==5. 22 当CP 垂直于已知直线时,四边形PACB 的面积最小 三、解答题1. 22(1)(1)a b -+-(1,1)到直线01=++y x 的距离而3222d ==,22min 32222)a b a b +--+=.2. 解:(1)(5)(2)(6)0x x y y +-+-+=得2244170x y x y +-+-= 3. 解:圆心显然在线段AB 的垂直平分线6y =上,设圆心为(,6)a ,半径为r ,则222()(6)x a y r -+-=,得222(1)(106)a r -+-=,而r =22(13)(1)16,3,5a a a r --+===22(3)(6)20x y ∴-+-=.4. 解:设圆心为(3,),t t 半径为3r t=,令d ==而22222,927,1r d t t t =--==± 22(3)(1)9x y ∴-+-=,或22(3)(1)9x y +++=。