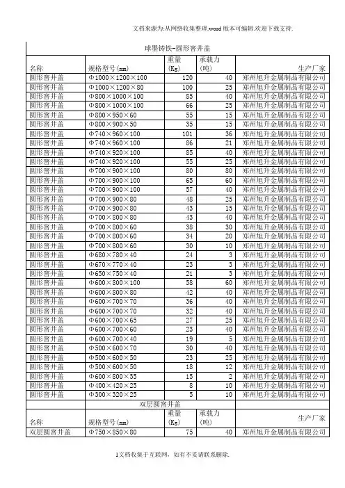
铸铁井盖井座理论重量表
- 格式:doc
- 大小:55.50 KB
- 文档页数:2
采用国家标准图集设计制造的井盖型号表【国家建筑标准设计图集97S501→Q-轻型 Z-重型 H-灰铁 Q-球铁 C-混凝土】批准部门:中华人民共和国建设部批准文号建质【2002】48号主编单位北京市市政工程设计研究部参照行业标准《铸铁检查井盖》( CJ/T3012-93 )(此表引自国家建筑设计研究院 97S501-1 图集)为国家标准设计制造型号( 97S501-1 图集)材质 & 何载等级重量( KG )(盖 + 支座)单价QT500-7 汽 -10 级主车25+27=52 ?Φ 500 ( QQ )轻型球墨铸铁井盖Φ 500 ( ZQ )重型球墨铸QT500-7 超汽 -20 级主车28+32=60 ?铁井盖HT200 汽 -10 级主车31+32=64 ?Φ 500 ( QH )轻型灰口铸铁井盖Φ 500 ( ZH )重型灰口铸HT200 超汽 -20 级主车38+37=75 ?铁井盖QT500-7 汽 -10 级主车34+36=70 ?Φ 600 ( QQ )轻型球墨铸铁井盖Φ 600 ( ZQ )重型球墨铸QT500-7 超汽 -20 级主车39+42=81 ?铁井盖Φ 600 ( QH )轻型灰口铸HT200 汽 -10 级主车45+42=87 ?铁井盖HT200 超汽 -20 级主车54+48=102 ?Φ 600 ( ZH )重型灰口铸铁井盖QT500-7 汽 -10 级主车44+41=85 ?Φ 700 ( QQ )轻型球墨铸铁井盖QT500-7 超汽 -20 级主车53+48=101 ?Φ 700 ( ZQ )重型球墨铸铁井盖HT200 汽 -10 级主车59+48=107 ?Φ 700 ( QH )轻型灰口铸铁井盖Φ 800 ( QQ )轻型球墨铸QT500-7 汽 -10 级主车55+50=105 ?铁井盖QT500-7 超汽 -20 级主车71+54=125 ?Φ 800 ( ZQ )重型球墨铸铁井盖Φ 800 ( QH )轻型灰口铸HT200 汽 -10 级主车77+54=122 ?铁井盖?国家建筑标准设计图集 --- 05S518 《雨水口》60砖砌平箅式单篦雨水口( 450*750 )球墨铸铁 QT500-7/ 灰口铸铁HT250砖砌平箅式双篦雨水口球墨铸铁 QT500-7/ 灰口铸铁?HT250?砖砌偏沟式单篦雨水口球墨铸铁 QT500-7/ 灰口铸铁HT250砖砌偏沟式双篦雨水口球墨铸铁 QT500-7/ 灰口铸铁?HT250砖砌联合式单篦雨水口球墨铸铁 QT500-7/ 灰口铸铁?HT250砖砌偏沟式单篦雨水口球墨铸铁 QT500-7/ 灰口铸铁?HT250?砖砌立箅式双篦雨水口球墨铸铁 QT500-7/ 灰口铸铁HT250?砖砌立箅式多篦雨水口球墨铸铁 QT500-7/ 灰口铸铁HT250?华北地区建筑设计标准《施工安装建筑设备通用图集》 91SB3-1规格外形尺寸表(单位 mm )? ?110 ?600x600 外径: 740*740*60 内径:600*600*60700x500 外径: 860*660*60 内径:112 ?700*500*60172 ?900x600 外径: 1080*780*60 内径:900*600*65115 ?600x600 外径: 722*722*70 内径:600*600*70700x700 外径: 822*822*70 内径:125 ?700*700*70152 ?800x700 外径: 922*822*75 内径:800*700*751000x700 外径: 1122*822*60 内径:1000*700*60。
球墨铸铁井盖标准产品性能及特点随着城市规模的快速发展,市政基础设施的不完善,全国各大城市多次发生井盖被盗及破碎事件,市民不慎掉入窨井而摔伤摔死的惨剧使国家和个人蒙受巨大的损失,我公司生产的新一代卡销式球墨铸铁防盗井盖杜绝了上述事故的发生。
该产品具有防震、防响、防盗、防滑、防移位、防破损等多功能于一体。
1)防震:通过在井圈的止口处设置为U型槽,用T型合成橡胶条,嵌入U型槽中,在井盖与井圈的接触过程中,以起到缓冲作用,减轻振动力。
2)防响:井盖与井圈的接触咬合面,直接作用于T型橡胶条上,以柔克刚,消除噪音。
3)防盗:在井盖外圈上,凸出一方形槽,其井盖内壁端的开口环通过井座固定轴与井盖连接,另一端内壁设销体固定,而起到防盗作用,当井盖打开放置90度时即可取下井盖,便于施工。
暗锁采用尼龙衬套,永不生锈,并配有专用工具开启,安全可靠。
4)防滑:井盖表面采用凸起3mm花纹,从而起到良好的防滑作用。
5)防移位:井圈预留四个铆固螺栓孔,以90度均匀分布,每套使用4个地锚螺栓,免除了在筑路过程中因机械碾压而发生的移位,并且起到了一定的防盗作用。
6)放破损:这是球墨铸铁井盖的最大特点,重型球墨铸铁井盖可承压36T/60T,轻型可承压21T。
即便荷载压力超过它的极限,球铁井盖并不像普通铸铁井盖那样破碎,而是稍有变形,对车子及行人有一定的安全保障。
产品生产技术标准和浇注标准我公司所生产产品符合中华人民共和国建设部发布的CJ/T3012—93行业标准,井盖材料以及生产浇注工艺满足如下技术标准:1)技术标准:a.井盖材料采用球墨铸铁井圈直径密封范围为正负2毫米,井盖与井圈高低配合精度为正负1毫米,配合间隙为3毫米。
b.井圈井盖抗拉强度大于500N/平方毫米,硬度标准为HB190-230。
井盖承压满足建设部CJ/T3012-93《铸铁检查井盖》的行业标准规定,重型井盖承压360KN,轻型井盖210KN。
c.T型橡胶圈采用三元乙丙橡胶,性能指标重型GB-7529-87国家标准。
球墨铸铁井盖等级划分表
一、球墨铸铁井盖的承重标准:
重型球墨铸铁井盖的承载力在安全系数为9的时候承重力为400KN;大于40吨,400KN直径700重型球墨铸铁双层井盖支座重量112Kg,直径700轻型球墨铸铁双层井盖支座重量89Kg o重型井盖承压360KN,轻型井盖210KN。
一般为内径700井盖,50吨车辆按四轴算也要B125级别井盖,重量要达到60公斤。
而重型球墨铸铁双层井座井盖承重大于36OkN或超汽-20级主车。
这是因为球墨铸铁井盖的一个优点,就是由于球墨铸铁强度高、韧性好,使得球墨铸井盖要比同类型的灰口铸铁井盖轻30%左右。
A15盖子能够承受15kN的测试载荷(1.5吨卜
B125盖子能够承受125kN的测试载荷(12.5吨卜
C250盖子能够承受250kN的测试载荷(25吨>>D400盖子能够承受400kN的测试载荷(40吨卜E600盖子能够承受600kN的测试载荷(60吨卜F900盖子能够承受900kN的测试载荷(90吨方二、球墨铸铁井盖的承■等级:
一级:选用A15级一般用于绿化带、人行道等禁止机动车辆驶入的区域。
二级:选用B125一般用于人行道、非机动车、小车停车场及地下停
车场。
三级:选用C250一般用于住宅小区、背街小巷、仅有轻型机动车或者小车行驶的区域,道路两边路缘石0.5m内。
四级:选用D400一般用于城市主干路、公路、高速公路等区域。
五级:选用E600一般用于货运站、码头、机场等区域。
轻型:禁止机动车进入的绿地甬道自行道或人行道。
普通型:汽10级以下的道路或停车场。
重型:机动车通行的道路或停车场。
特重型:机动车主干道。
铸铁井盖承重规格表及重量表
铸铁井盖的承重规格表和重量表通常会根据不同国家、地区和生产厂家的要求和标准而有所不同。
以下是一些常见的铸铁井盖的承重规格表和重量表的示例,但请注意这些数值仅供参考,具体规格和重量可能会根据您所在地区和所采用的标准而有所不同。
铸铁井盖承重规格表:
1. 标准型号:500kg承重
2. 标准型号:800kg承重
3. 标准型号:1000kg承重
4. 标准型号:1200kg承重
5. 标准型号:1500kg承重
6. 标准型号:2000kg承重
7. 标准型号:2500kg承重
8. 标准型号:3000kg承重
9. 标准型号:5000kg承重
铸铁井盖重量表:
1. 500kg承重型号:约60kg
2. 800kg承重型号:约80kg
3. 1000kg承重型号:约100kg
4. 1200kg承重型号:约120kg
5. 1500kg承重型号:约150kg
6. 2000kg承重型号:约200kg
7. 2500kg承重型号:约250kg
8. 3000kg承重型号:约300kg
9. 5000kg承重型号:约500kg
请注意,这些是一般性的示例,实际的铸铁井盖规格和重量可能会因不同的设计、尺寸和制造工艺而有所不同。
在选购铸铁井盖时,应咨询生产厂家或供应商,以获取具体型号的详细规格和重量信息。
此外,确保所选井盖符合您所在地区的相关法规和标准,以满足承重和安全要求。
球墨铸铁井盖重量标准球墨铸铁井盖是一种常见的井盖材料,被广泛应用于城市道路、人行道、停车场等地方。
它具有承载能力强、耐腐蚀、耐磨损等特点,因此在市政建设中被广泛采用。
那么,球墨铸铁井盖的重量标准是多少呢?首先,我们需要了解球墨铸铁井盖的基本结构和组成。
球墨铸铁井盖主要由井盖盖板和井盖座组成。
井盖盖板是井盖的上部,承受车辆和行人的压力;井盖座则是井盖的下部,固定在井口上。
根据不同的规格和用途,球墨铸铁井盖的重量也会有所不同。
根据国家标准《城市道路排水设施产品质量控制规范》,球墨铸铁井盖的重量应符合以下要求:1. 井盖盖板的重量:根据不同的规格和承载能力要求,井盖盖板的重量有所差异。
一般来说,小型的球墨铸铁井盖盖板重量在25公斤左右,而大型的则可以达到100公斤以上。
2. 井盖座的重量:井盖座是球墨铸铁井盖的下部固定部分,其重量也会因不同规格和用途而有所变化。
一般情况下,井盖座的重量在20公斤左右。
需要注意的是,以上给出的井盖重量仅为参考值,具体重量还需根据实际情况和设计要求进行确定。
在实际应用中,还需考虑到道路等级、交通流量、使用环境等因素,选择合适的球墨铸铁井盖规格和重量。
此外,球墨铸铁井盖的重量还与其材质、生产工艺等因素有关。
球墨铸铁是一种强度高、耐腐蚀、耐磨损的材料,相比传统的灰铁材料更加坚固耐用。
通过球墨化处理,可以使铸铁材料具备更好的抗拉强度和韧性。
因此,相同规格的球墨铸铁井盖相比灰铁井盖来说,其重量通常会更大一些。
总结起来,球墨铸铁井盖的重量标准是根据不同规格和用途而有所差异的。
一般来说,井盖盖板的重量在25公斤到100公斤以上之间,井盖座的重量在20公斤左右。
具体的重量还需根据实际情况和设计要求进行确定。
在选择和使用球墨铸铁井盖时,还需考虑到道路等级、交通流量、使用环境等因素,以确保其安全可靠地发挥作用。
铸铁井盖承重对照表铸铁井盖承重对照表:1. 重力投放:(1)型号A0-600:有单元面积小于等于0.6㎡,投放承重不小于600KG。
(2)型号A1-800:有单元面积大于0.6㎡,但小于1㎡,投放承重不小于800KG。
(3)型号A2-1000:有单元面积大于1㎡,但小于1.6㎡,投放承重不小于1000KG。
(4)型号A3-1200:有单元面积大于1.6㎡,但小于2.3㎡,投放承重不小于1200KG。
(5)型号A4-1400:有单元面积大于2.3㎡,投放承重不小于1400KG。
2. 机械压载:(1)型号B0-6000:有单元面积小于等于0.6㎡,机械压载承重不小于6000KG。
(2)型号B1-8000:有单元面积大于0.6㎡,但小于1㎡,机械压载承重不小于8000KG。
(3)型号B2-10000:有单元面积大于1㎡,但小于1.6㎡,机械压载承重不小于10000KG。
(4)型号B3-12000:有单元面积大于1.6㎡,但小于2.3㎡,机械压载承重不小于12000KG。
(5)型号B4-14000:有单元面积大于2.3㎡,机械压载承重不小于14000KG。
凭借先进的加工技术,使铸铁井盖具备了很高的承载力,可以满足不同的环境应用。
在下面的对照表中,我们可以清楚的看出,相应的铸铁井盖型号,由于尺寸大小的不同,其承载力也会有很大的区别。
首先,我们以重力投放方式来分析:型号A0-600的铸铁井盖具有面积不大于0.6㎡的单元,能够投放总重量不低于600KG;型号A1-800面积大于0.6㎡且不大于1㎡,投放总重量不低于800KG;型号A2-1000的面积大于1㎡且不大于1.6㎡,最低可以投放1000KG;型号A3-1200的面积大于1.6㎡但小于2.3㎡,投放负载总重量不低于1200KG;最后,型号A4-1400面积大于2.3㎡,可以投放最少1400KG的重量。
其次,以机械压载方式比较:型号B0-6000的铸铁井盖单元面积不大于0.6㎡,最低承重不小于6000KG;型号B1-8000面积大于0.6㎡但小于1㎡,最低承重不低于8000KG;型号B2-10000面积大于1㎡但小于1.6㎡,最低承重不低于10000KG;型号B3-12000的面积大于1.6㎡,最低承重不低于12000KG;最后,型号B4-14000的面积大于2.3㎡,最低承重不低于14000KG。
球墨铸铁井盖承重对照表
球墨铸铁井盖是一种用于道路、人行道和其他场所的排水系统
和井盖系统的重要材料。
它们的承重能力是根据其尺寸、材料和设
计来确定的。
一般来说,球墨铸铁井盖的承重对照表是由制造商根
据相关标准和规范进行测试和制定的。
根据国家标准GB/T23858-2009《球墨铸铁排水系统产品》中的
规定,球墨铸铁井盖的承重等级通常分为A15、B125、C250、D400、E600和F900六个等级。
每个等级对应着不同的承重能力,具体如下:
A15等级,1.5吨。
B125等级,12.5吨。
C250等级,25吨。
D400等级,40吨。
E600等级,60吨。
F900等级,90吨。
这些承重能力是根据球墨铸铁井盖在实验室条件下的受压承载能力来确定的。
在实际使用中,制造商通常会提供详细的产品参数表,其中包括不同规格和尺寸的球墨铸铁井盖的承重能力等信息,以便用户根据具体需要进行选择。
除了承重能力外,球墨铸铁井盖的安装和使用也需要符合相关的标准和规范,以确保其在实际应用中能够发挥预期的作用。
用户在选择和安装球墨铸铁井盖时,应当严格按照制造商提供的参数和要求进行,以确保其承重能力和使用寿命符合设计要求。
总之,球墨铸铁井盖的承重能力是根据其规格、材料和设计来确定的,用户在选择和使用时应当仔细阅读制造商提供的产品参数表,并严格按照相关标准和规范进行选择和安装。
砖砌偏偏沟式单篦雨火心球朱铸铁QT500-7/灰心
铸铁HT250
砖砌坐箅式单篦雨火心球朱铸铁QT500-7/灰心
铸铁HT250
砖砌坐箅式多篦雨火心球朱铸铁QT500-7/灰心
铸铁HT250
华北天区修筑安排尺度《动工拆置修筑设备通用图集》91SB3-1
规格形状尺寸表(单位mm)
600x600 中径:740*740*60内
110
径:600*600*60
112
700x500 中径:860*660*60内
径:700*500*60
172
900x600 中径:1080*780*60内
径:900*600*65
600x600 中径:722*722*70内
115
径:600*600*70
125
700x700 中径:822*822*70内
径:700*700*70
152
800x700 中径:922*822*75内
径:800*700*75
1000x700 中径:1122*822*60内
180
径:1000*700*60
以下产品为数码照片支集
之阳早格格创做
Φ600(QQ)沉型球朱铸铁井盖Φ700(QQ)沉型球朱铸铁井盖
Φ700(QQ)沉型球朱铸铁井盖Φ700(QQ)沉型球朱铸铁井盖支座仄箅式单篦雨火心(450*750)仄箅式单篦雨火心(450*750)支座。
球墨铸铁井盖重量的标准规格
球墨铸铁井盖的重量标准规格可以根据不同的规格、尺寸和厚度而有所变化。
以下是一些常见的球墨铸铁井盖的重量标准规格:
1. 尺寸为600mm × 600mm × 50mm的球墨铸铁井盖,一般重
量为84kg。
2. 尺寸为800mm × 800mm × 50mm的球墨铸铁井盖,一般重
量为150kg。
3. 尺寸为1000mm × 1000mm × 50mm的球墨铸铁井盖,一般
重量为210kg。
4. 尺寸为1200mm × 1200mm × 50mm的球墨铸铁井盖,一般
重量为290kg。
以上重量标准仅供参考,具体的规格和重量还要根据井盖的设计要求、使用环境和负荷要求等因素进行确定。
在实际使用中,可以根据需要选择合适的规格和型号的球墨铸铁井盖。