【浙江】东阳别墅建筑设计全套图纸
- 格式:dwg
- 大小:973.66 KB
- 文档页数:1
三层带露台别墅全套施工图及效果图
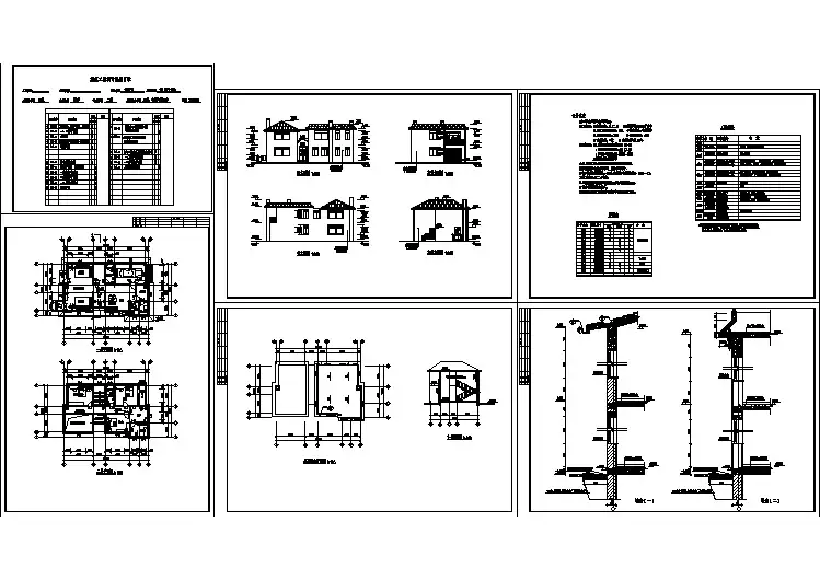
图纸属性
编号:DC0142 层数:三层结构形式:框架结构主体造价:38-45万
开间:12.5米进深:15米占地面积:160.8平方米建筑面积:450平方米
图纸内容
建筑图:建筑设计说明、工程做法表、一层平面图、二层平面图、三层平面图、屋顶平面图、正立面图、背立面图、左立面图、右立面图、1-1剖面图、楼梯详图、门窗详图、门窗表、节点详图
结构图:结构设计说明、基础平面图、基础详图、柱平面图、一层梁平面图、二层梁平面图、三层梁平面图、三层顶板梁平面图、二层结构平面图、三层结构平面图、三层顶板结构平面图、屋顶层结构平面图、楼梯结构图、节点配筋图
给排水图:给排水设计说明及图例、给排水系统图、一层给排水平面图、二层给排水平面图、三层给排水平面图
电气图:电气设计说明及图例、配电系统图、一层强电平面图、二层强电平面图、三层强电平面图、一层弱电平面图、二层弱电平面图、三层弱电平面图
设计功能
一层:客厅、卧室(附卫生间)、卧室、棋牌室、厨房、餐厅、储藏室、卫生间
二层:客厅、卧室(附卫生间,阳台)、卧室(附阳台)、卧室、书房、厨房、餐厅、储藏室、卫生间
三层:会客厅、卧室(附阳台,露台)、卧室、凉亭、卫生间。
东阳楼盘∙楼盘名称:万豪广场∙楼盘地址:东阳市横店镇东永路168号∙区域:东阳横店镇红木产业园区∙建筑面积:150000平方米∙绿化面积:A区:31.1%;B区:11.5% (%)∙占地面积:77480.4平方米∙房屋类型:商铺/排屋∙楼盘展示地址:东阳市横店镇东永路168号售楼部∙楼盘均价:A区10000元/㎡; B区23000元/㎡∙开发商:东阳市万豪房地产开发有限公司∙建筑商/投资商:浙江万利建筑工程有限公司/浙江广丰建设有限公司∙预售许可证:A区:东售许字(2011)第01号;B区:东售许字(2010)第12号∙物业公司:东阳市红动投资控股有限公司∙项目介绍1、整合精品红木家具集群产业优势。
横店红木家具中心依托红木家具庞大的产业基地,全面整合形成红木家具产、销集群。
2、东方好莱坞每年数千万游客必经之地。
结合横店影视城强劲的旅游资源优势,必将成为东方好莱坞数千万游客的又一个旅游亮点。
3、15万方地标性红木家具商业复合体。
万豪地产倾力打造的地标型专业商业体,开创高端精品红木家具产销与投资新纪元。
4、围合式设计,便捷型商业动线。
围合式商业设计,设观光电梯3部,货梯2部,扶梯7部,以流畅便捷配套打造的无阻碍的商业垂直动线。
5、数百家品牌红木厂家展示窗口。
汇聚数百家精品红木家具巨头,必将成为红木家具生产、销售、展示的强大窗口。
6、市场化经营,商场化管理。
统一规划、统一招商、统一推广、统一管理,确保未来永续发展。
7、银行100万无抵押联保贷款。
银行为入驻商家提供一铺100万无抵押联保贷款,助推市场无忧运行。
8、精品红木家具,银行按揭购买,商业运作与人性化消费的完美结合。
在横店红木家具中心购买精品红木家具,银行将提供按揭服务,满足不同消费需求数万亩精品红木家具的品质生产基地。
超过数万亩的精品红木生产基地,中国高端红木家具的核心之所9、500家精品红木连锁销售中心,倾力搭建全球交易平台。
万豪地产将在全国开设500家连锁销售中心,为投资企业倾力搭建辐射全球的交易平台。
2021年1300套不墅设计图纸资料及效果图全套整套图纸共1000余套不墅设计方案,包括不墅效果图和cad格式施工图〔可直截了当修改编辑或者出图〕,真正让你设计无忧;同时本资料内含多套新农村建设房屋方案,适合所有想自己建房的朋友,一定有您中意的方案。
全套资料共计13G,千余套方案,是目前为止最全面的不墅设计参考资料内容:1中国最经典现代风格不墅——万科17英里,〔可领会最经典现代风格海景不墅风采〕2中国最经典中式风格不墅图纸——深圳万科第五园〔可领会国学与现代艺术的最完美结合〕3国内超级豪宅——深圳瞧澜地块不墅建筑全套〔包括建筑、结构、水、电等各个专业〕4国内顶尖豪宅装修施工图纸130套〔港台最顶级大师作品,尽对一流〕现在跟大伙儿介绍几款新农村户型图,在农村有地的,手头上有二十万要建房的〔不含精装修〕,全然上下面的户型是能够建筑的。
哈哈。
实现从农村包围都市,农村的豪宅是第一步!户型参考造价1、毛胚房砖混400-1000/㎡,框架600-1600/㎡2、毛胚房+精装修砖混1200-3000元/㎡,框架1500-4000元/㎡因此精装修只是讲按照一般的好的装修,奢华的装修就不是那个价格了,以上价格不包括前后花园栽花种草等费用。
下面的户型,一般只给了建筑图,没有结构图,要是施工时候不清楚配筋,能够留言询咨询。
一般框架结构,根底好的,能够采纳天然地基,不行的,就要做整板根底或桩根底,通常板宜采纳双层配筋,现浇,屋面板可不用抗渗混凝土,也能够不做防水,但屋面板要做好一点,瓦要盖好点。
以下的户型只是本人收集的一局部,我收集了几十种户型,压缩包有20M,有相当一局部有CAD图,只是许多根基上建筑图,配筋自己要考虑。
一、独栋不墅户型农村的爆发户,链子特别粗的新贵,能够考虑如此的户型。
大气!户型一提高幸福指数的要害户型二一座豪宅旺三代〔(*^__^*)嘻嘻……,这么像房产公司的广告?!〕凉风习习,池塘的知了叽叽喳喳喊着,能够给后代一个不错的童年想象。
非常好看的农村二层别墅图纸设计范例精选汇总(建议收藏)今天为大家推荐几套不可错过的流行图纸。
下面就一起来看看吧。
图纸编号:gg057别墅风格:中式占地面积:320㎡建筑占地:11.9m×26.9m建筑面积:428㎡建筑整体为中式风格,该栋建筑并非是传统的方正格局,造型较为奇特。
立面多方位开窗设计,使得房屋舒适度更高。
一层入户门居中设计,开门便是挑空客厅,让室内显得敞亮阔气。
一层设有一间卧室,邻近公卫,便于居住者使用。
二层设有三间卧室,均设有阳台,可满足居住者多角度观景的需求。
大露台的设计为居住提供晾衣晒被和休闲的场所。
三层主要是阁楼空间,可灵活进行设计。
图纸链接:12x27二层中式庭院带阁楼别墅图纸编号:yg645别墅风格:中式占地面积:109㎡建筑占地:11.9m×9.2m 建筑面积:334㎡建筑整体为新中式风格,颜色选择上极为淡雅,底部采用面砖配合二层部分的白色真石漆形成舒适视觉感。
屋顶颜色与面砖相近,整体颜色运用突出不同空间。
地下空间相对私密,设计有汗蒸房、健身房、影音室和茶室,相对齐全的功能配合卧室可作业主自用空间。
考虑到卧室需要采光,在东侧和南侧设计有高窗,配合围墙的降低,使得地下空间也有极好居住环境。
一层入户空间利用出挑平台克服高差问题,平台作为室外活动区域,与室内环境相辅相成。
老人房占据东南角采光最好空间,并配有独立卫生间,方便老人日常生活使用。
客餐厅一体化设计让公共空间更加大气,多向采光也使得室内干燥通透,更利于身体健康。
二层为起居空间,共有两间卧室。
西侧卧室配有大面积衣帽间,并与书房紧邻,方便业主家人学习及生活使用。
整层阳台采用连通设计,增加各个房间之间的联系,使得平面更为整体。
图纸链接:占地12x9二层带庭院自建别墅设计全套施工图图纸编号:yg848别墅风格:欧式占地面积:251㎡建筑占地:18.6m×13.5m建筑面积:367㎡通过形体的错落来呼应实现造型的丰富,入口处加入欧式敞廊,作为雨篷强调了入口处的形式感,增加了住宅的华贵气息。