平面向量基础题
- 格式:docx
- 大小:624.62 KB
- 文档页数:14
A + 2 = 2mA2一cos2 a = m +22,设± = k代入方程组可得<mkm 4-2 = 2mk2m2 - cos2a = m + 2sina 平面向量高考经典试一、选择题1.(全国1文理)已知向量方=(-5,6),方= (6,5),则Z与方A.垂直B.不垂直也不平行C.平行且同向D.平行且反向解.己知向量a = (-5,6), & = (6,5), = —30 + 30 = 0,则U与片垂直,2、(山东文5)已知向量G = (1, 〃),b = (—1, 〃),若2a -b与b垂直,则a =( )A. 1B. y/2C. 2D. 4【分析】:2a-b = (3,n),由2a-b^jb垂直可得:(3,〃)・(—1,〃) = -3 + 〃2 =o=> 〃 = ±右,a = 2 o3、(广东文4理10)若向量履满足修|=|方|二1 3,5的夹角为60。
,则溢+混=解析:aa + a-b= l + lxlx—=—,2 24、(天津理10)设两个向量。
=(A + 2, /i? 一cos2Q)和方=(m, y + sin a),其中人,a为一一人实数.若。
=2上则-的取值范围是mA. [-6,1]B. [4,8]C. (-oo,l]D. [-1,6][分析】由« = (/! +2, A2 - cos2a) ,h = (tn,— + sin a = 2片,可得2去〃7化简得2k ] - cos2a = + 2sin cr,再化简得{2-kJ 2-k2 + 4 ] 一cos2a + ------ 2 sin。
= 0 再令一— = t代入上式得、k - 2) k — 2 k — 2(sin2。
一顶 + (16产 +18/ + 2) = 0 可得一(16产 +18, + 2)c [0,4]解不等式得Z G[-1,--]8(B)\bc^ = ba-bc则入= 2 (A)-■) 1 (B)- ■) (号2 (D)-- ■)解.在左ABC 中,己知D 是AB 边上一点,若AD=2DB , cB=-G5 + XCB,则3CD = CA + AD = CA+-^B = CA + -(CB-CA)=-CA^-CB , 4X=-,选 A 。
平面向量专题练习(带答案详解) 平面向量专题练(附答案详解)一、单选题1.已知向量 $a=(-1,2)$,$b=(1,1)$,则 $a\cdot b$ 等于()A。
3 B。
2 C。
1 D。
02.已知向量 $a=(1,-2)$,$b=(2,x)$,若 $a//b$,则 $x$ 的值是()A。
-4 B。
-1 C。
1 D。
43.已知向量 $a=(1,1,0)$,$b=(-1,0,2)$,且 $ka+b$ 与 $2a-b$ 互相垂直,则 $k$ 的值是()A。
1 B。
5/3 C。
3/5 D。
7/54.等腰直角三角形 $ABC$ 中,$\angle ACB=\frac{\pi}{2}$,$AC=BC=2$,点 $P$ 是斜边 $AB$ 上一点,且 $BP=2PA$,那么 $CP\cdot CA+CP\cdot CB$ 等于()A。
-4 B。
-2 C。
2 D。
45.设 $a,b$ 是非零向量,则 $a=2b$ 是成立的()A。
充分必要条件 B。
必要不充分条件 C。
充分不必要条件 D。
既不充分也不必要条件6.在 $\triangle ABC$ 中 $A=\frac{\pi}{3}$,$b+c=4$,$E,F$ 为边 $BC$ 的三等分点,则 $AE\cdot AF$ 的最小值为()A。
$\frac{8}{3}$ B。
$\frac{26}{9}$ C。
$\frac{2}{3}$ D。
$3$7.若 $a=2$,$b=2$,且 $a-b\perp a$,则 $a$ 与 $b$ 的夹角是()A。
$\frac{\pi}{6}$ B。
$\frac{\pi}{4}$ C。
$\frac{\pi}{3}$ D。
$\frac{\pi}{2}$8.已知非零向量 $a,b$ 满足 $|a|=6|b|$,$a,b$ 的夹角的余弦值为 $\frac{1}{3}$,且 $a\perp (a-kb)$,则实数 $k$ 的值为()A。
18 B。
第六章 6.4 6.4.1 6.4.2A 级——基础过关练1.两个大小相等的共点力F 1,F 2,当它们夹角为90°时,合力大小为20 N ,则当它们的夹角为120°时,合力大小为( )A .40 NB .10 2 NC .20 2 ND .10 3 N【答案】B 【解析】|F 1|=|F 2|=|F |cos 45°=102,当θ=120°时,由平行四边形法则知|F 合|=|F 1|=|F 2|=10 2 N.2.(2020年北京期末)已知正方形ABCD 的边长为1,设AB →=a ,BC →=b ,AC →=c ,则|a -b +c|等于( )A .0B .2C .2D .22【答案】C 【解析】如图,a +b =c ,则|a -b +c|=|2a|.又|a|=1,∴|a -b +c|=2.故选C .3.点O 是三角形ABC 所在平面内的一点,满足OA →·OB →=OB →·OC →=OC →·OA →,则点O 是△ABC 的( )A .三个内角的角平分线的交点B .三条边的垂直平分线的交点C .三条中线的交点D .三条高的交点【答案】D 【解析】∵OA →·OB →=OB →·OC →,∴(OA →-OC →)·OB →=0.∴OB →·CA →=0.∴OB ⊥AC .同理OA ⊥BC ,OC ⊥AB ,∴O 为三条高的交点.4.(2020年深圳期中)已知两个力F 1,F 2的夹角为90°,它们的合力大小为10 N ,合力与F 1的夹角为60°,那么F 2的大小为( )A .5 3 NB .5 NC .10 ND .5 2 N【答案】A 【解析】由题意可知对应向量如图.由于α=60°,∴F 2的大小为|F 合|·sin60°=10×32=5 3 N .故选A .5.已知直角梯形ABCD 中,AB ⊥AD ,AB =2,DC =1,AB ∥DC ,则当AC ⊥BC 时,AD =( )A .1B .2C .3D .4【答案】A 【解析】建立平面直角坐标系,如图所示.设AD =t (t >0),则A (0,0),C (1,t ),B (2,0),则AC →=(1,t ),BC →=(-1,t ).由AC ⊥BC 知AC →·BC →=-1+t 2=0,解得t =1,故AD =1.6.一纤夫用牵绳拉船沿直线方向前进60 m ,若牵绳与行进方向夹角为30°,纤夫的拉力为50 N ,则纤夫对船所做的功为________J.【答案】1 5003 【解析】所做的功W =60×50×cos 30°=1 5003(J).7.在平面直角坐标系xOy 中,若定点A (1,2)与动点P (x ,y )满足OP →·OA →=4,则y 与x 的函数关系式为________.【答案】y =-12x +2 【解析】OP →·OA →=(x ,y )·(1,2)=x +2y =4,∴x +2y -4=0,则y=-12x +2.8.在四边形ABCD 中,已知AB →=(4,-2),AC →=(7,4),AD →=(3,6),则四边形ABCD 的面积是________.【答案】30 【解析】BC →=AC →-AB →=(3,6)=AD →,又因为AB →·BC →=(4,-2)·(3,6)=0,所以四边形ABCD 为矩形.又|AB →|=42+(-2)2=25,|BC →|=32+62=35,所以S =|AB→||BC →|=25×35=30.9.如图,平行四边形ABCD 中,已知AD =1,AB =2,对角线BD =2,求对角线AC 的长.解:设AD →=a ,AB →=b ,则BD →=a -b ,AC →=a +b ,而|BD →|=|a -b|=a 2-2a·b +b 2=1+4-2a·b =5-2a·b =2,所以5-2a·b =4.所以a·b =12.又|AC →|2=|a +b|2=a 2+2a·b +b 2=1+4+2a·b =6,所以|AC →|=6,即AC = 6.10.质量m =2.0 kg 的木块,在平行于斜面向上的拉力|F|=10 N 的作用下,沿倾斜角θ=30°的光滑斜面向上滑行|s |=2.0 m 的距离(g 取9.8 N/kg).(1)分别求物体所受各力对物体所做的功;(2)在这个过程中,物体所受各力对物体做功的代数和是多少?解:(1)木块受三个力的作用,重力G ,拉力F 和支持力F N ,如图所示.拉力F 与位移s 方向相同,所以拉力对木块所做的功为W F =F·s =|F|·|s |cos 0°=20(J).支持力F N 的方向与位移方向垂直,不做功,所以W N =F N ·s =0.重力G 对物体所做的功为W G =G·s =|G||s |cos(90°+θ)=-19.6(J).(2)物体所受各力对物体做功的代数和为W =W F +W N +W G =0.4(J).B 级——能力提升练11.△ABC 中,若动点D 满足CA →2-CB →2+2AB →·CD →=0,则点D 的轨迹一定通过△ABC 的( )A .外心B .内心C .垂心D .重心【答案】A 【解析】取AB 的中点E ,则CA →2-CB →2+2AB →·CD →=(CA →+CB →)·(CA →-CB →)+2AB →·CD →=2CE →·BA →+2AB →·CD →=2AB →·(CD →-CE →)=2AB →·ED →=0,∴AB ⊥ED ,即点D 在AB 的垂直平分线上.∴点D 的轨迹一定通过△ABC 的外心.12.如图,用两根分别长52米和10米的绳子,将100 N 的物体吊在水平屋顶AB 上,平衡后,G 点距屋顶距离恰好为5米,绳子的重量忽略不计,则A 处所受力的大小为( )A .1202-50 6 NB .1502-50 6 NC .1203-50 2 ND .1503-50 2 N【答案】B 【解析】如图,由已知条件可知AG 与垂直方向成45°角,BG 与垂直方向成60°角.设A 处所受力为F a ,B 处所受力为F b ,物体的重力为G ,∠EGC =60°,∠EGD =45°,则有|F a |·cos 45°+|F b |cos 60°=G =100①,且|F a |·sin 45°=|F b |sin 60°②.由①②解得|F a |=1502-50 6.故选B .13.(2020年太原月考)在△ABC 中,若AD →=13AB →+12AC →,记S 1=S △ABD ,S 2=S △ACD ,S 3=S △BCD ,则下列结论正确的是( )A .S 3S 1=23B .S 2S 3=12C .S 2S 1=23D .S 1+S 2S 3=163【答案】C 【解析】如图,作AE →=13AB →,AF →=12AC →,则AD →=AE →+AF →,∴四边形AEDF是平行四边形.∴S △ADE =S △ADF .设△ABD 的边AB 上的高为h 1,△ACD 的边AC 上的高为h 2,则12|AE →|h 1=12|AF →|h 2,∴13·⎝⎛⎭⎫12|AB →|h 1=12·⎝⎛⎭⎫12|AC →|h 2.∴13S 1=12S 2.∴S 2S 1=1312=23.故选C .14.如图所示,已知点A (4,0),B (4,4),C (2,6),则AC 和OB 的交点P 的坐标为________.(3,3) 【解析】设P (x ,y ),OB →=(4,4),OP →=(x ,y ),由于OB →∥OP →,所以x -y =0.AC →=(-2,6),AP →=(x -4,y ),由于AP →∥AC →,所以6(x -4)+2y =0.可得x =3,y =3,故P 的坐标是(3,3).15.已知P ,Q 为△ABC 内的两点,且AQ →=14AC →+12AB →,AP →=12AC →+14AB →,则△APQ 的面积与△ABC 的面积之比为________.【答案】316 【解析】如图,根据题意,P ,Q 为△ABC 中位线DE ,DF 的中点,PQ =12EF =14BC ,而A 到PQ 的距离是到BC 距离的34,根据三角形的面积公式可知,S △APQ =316S △ABC .16.若a ,b 是两个不共线的非零向量,t ∈R .(1)t 为何值时,共起点的三个向量a ,t b ,13(a +b )的终点在一条直线上?(2)若|a|=|b|且a 与b 的夹角为60°,t 为何值时,|a -t b |最小?解:(1)由题意得a -t b 与a -13(a +b )共线,则设a -t b =m ⎣⎡⎦⎤a -13(a +b ),m ∈R ,化简得⎝⎛⎭⎫23m -1a =⎝⎛⎭⎫m 3-t b .因为a 与b 不共线,所以⎩⎨⎧23m -1=0,m 3-t =0,解得⎩⎨⎧m =32,t =12.所以当t =12时,a ,t b ,13(a +b )三个向量的终点在一条直线上.(2)因为|a|=|b|,所以|a -t b |2=(a -t b )2=|a |2+t 2|b |2-2t |a||b |cos 60°=(1+t 2-t )|a |2=⎣⎡⎦⎤⎝⎛⎭⎫t -122+34·|a |2.所以当t =12时,|a -t b |有最小值32|a |.17.某人骑车以每小时a 千米的速度向东行驶,感到风从正北方向吹来;而当速度为每小时2a 千米时,感到风从东北方向吹来,试求实际风速和方向.解:设a 表示此人以每小时a 千米的速度向东行驶的向量,无风时此人感到风速为-a .设实际风速为v ,那么此时人感到风速为v -a ,设OA →=-a ,OB →=-2a ,PO →=v .因为PO →+OA →=P A →,所以P A →=v -a ,这就是感到由正北方向吹来的风速.因为PO →+OB →=PB →,所以PB →=v -2a .于是当此人的速度是原来的2倍时所感受到由东北方向吹来的风速就是PB →.由题意∠PBO =45°,P A ⊥BO ,BA =AO ,从而,△POB 为等腰直角三角形,所以PO =PB =2a ,即|v |=2a .所以实际风速是每小时2a 千米的西北风.C 级——探索创新练18.在△ABC 中,AC =BC =33AB =1,且CE →=xCA →,CF →=yCB →,其中x ,y ∈(0,1),且x +4y =1.若M ,N 分别为线段EF ,AB 中点,则线段MN 的最小值为________.【答案】77【解析】如图,连接CM ,CN ,∵等腰三角形ABC 中,AC =BC =1,AB =3,∴∠ACB =120°.∴CA →·CB →=|CA →|·|CB →|cos 120°=-12.又CM 是△CEF 的中线,∴CM →=12(CE→+CF →)=12(xCA →+yCB →).同理可得CN →=12(CA →+CB →),∴MN →=CN →-CM →=1-x 2CA →+1-y 2CB →.∴MN→2=(1-x )24+(1-x )(1-y )2×⎝⎛⎭⎫-12+(1-y )24.由x +4y =1,得1-x =4y ,代入上式得MN →2=214y 2-32y +14.又x ,y ∈(0,1),∴当y =17时,MN →2取得最小值17,此时|MN →|的最小值为77,即线段MN 的最小值为77.。
平面向量练习题一.填空题。
1.AC DB CD BA 等于________.2.若向量a=( 3,2), b=(0,-1),则向量2b-a的坐标是________.3.平面上有三个点A( 1,3),B( 2,2),C( 7,x),若∠ ABC =90°,则 x 的值为 ________.4.向量 a、b 知足 |a|=1,|b|= 2 ,(a+b)⊥(2a-b),则向量a与b的夹角为________.5.已知向量 a=( 1, 2), b=( 3, 1),那么向量 2a-1b 的坐标是 _________.26.已知 A(- 1, 2),B( 2, 4), C(4,- 3), D ( x,1),若AB与CD共线,则 | BD |的值等于 ________.7.将点 A( 2, 4)按向量 a=(- 5,- 2)平移后,所获得的对应点A′的坐标是 ______.8.已知 a=(1, -2), b =(1,x), 若 a⊥b,则 x 等于 ______9.已知向量 a, b 的夹角为120,且 |a|=2,| b |=5,则( 2a- b)· a=______10.设 a=(2, - 3), b =(x,2x), 且 3a· b =4, 则 x 等于 _____11.已知 AB( 6,1), BC ( x, y), CD ( 2, 3), 且 BC ∥DA,则x+2y的值为_ ____12.已知向量a+3 b, a-4 b 分别与 7a-5 b,7a-2 b 垂直,且 |a|≠ 0,| b |≠ 0,则 a 与 b 的夹角为 ____uuur uuur uuur13.在△ ABC中, O 为中线 AM 上的一个动点,若AM=2 ,则OA OB OC 的最小值是.14.将圆x2y 2 2 按向量v=(2,1)平移后,与直线 x y0 相切,则λ的值为.二.解答题。
15.设平面三点A( 1, 0), B( 0,1), C( 2, 5).(1)试求向量 2 AB+AC的模;(2)试求向量AB 与 AC 的夹角;(3)试求与BC垂直的单位向量的坐标.16.已知向量a=( sin,cos)(R ),b=(3,3 )(1)当为什么值时,向量a、b 不可以作为平面向量的一组基底1(2)求 |a -b|的取值范围17.已知向量 a 、 b 是两个非零向量,当 a+tb(t ∈R)的模取最小值时,(1)求 t 的值(2)已知 a 、 b 共线同向时,求证b 与 a+tb 垂直18. 设向量 OA (3,1), OB ( 1,2) ,向量 OC 垂直于向量 OB ,向量 BC 平行于 OA ,试求 OD OA OC 时,OD 的坐标 .19.将函数 y= - x 2 进行平移, 使获得的图形与函数 y=x 2- x - 2 的图象的两个交点对于原点 对称 .(如图 )求平移向量 a 及平移后的函数分析式 .20.已知平面向量 a( 3, 1), b (1, 3).若存在不一样时为零的实数k 和 t,使2 2x a (t 23)b, y ka t b, 且 x y.( 1)试求函数关系式 k=f ( t )( 2)求使 f ( t )>0 的 t 的取值范围 .21 11. 02.(- 3,- 4)3.74.90°5.( 2 , 3 2 ).6.73 . 7.(- 3, 2).8.- 29.12110. 311.012. 90 ° 13.214.1或 515. ( 1)∵AB =( 0- 1, 1-0)=(- 1, 1), AC =( 2- 1, 5- 0)=( 1,5).∴ 2 AB + AC = 2(- 1, 1)+( 1, 5)=(- 1, 7).∴ |2AB + AC |= ( 1)2 72 = 50.(2)∵ | AB |=( 1)212= 2 .|AC |= 12 52 = 26 ,AB ·AC =(- 1)× 1+ 1×5= 4.AB AC4 2 13∴ cos = | AB | | AC | = 226= 13 .(3)设所求向量为m =( x , y ),则 x 2+ y 2= 1. ①又 BC =( 2- 0, 5- 1)=( 2,4),由 BC ⊥ m ,得 2 x + 4 y = 0.②x 2 5x -2555y5 . y5 .2 55 2 555 55)或(- 55)即由①、②,得 5 或 ∴ ( ,-,为所求.16.【解】(1)要使向量 a 、 b 不可以作为平面向量的一组基底,则向量 a 、 b 共线3sin3 cos30 tan∴3k(k Z ) k(kZ ) 故6,即当6基底时,向量 a 、b 不可以作为平面向量的一组(2) | a b | (sin 3) 2 (cos 3)2 13 2( 3 sin3cos )而 2 33 sin3cos2 3∴ 2 3 1 | a b | 2 3 1317.【解】(1)由 ( a tb) 2| b |2 t 22a bt| a |2t2a b| a |cos(是a与b的夹角)当2 | b |2| b |时 a+tb(t ∈ R)的模取最小值| a |t(2)当 a、 b共线同向时,则0,此时| b |∴ b (a tb) b a tb2b a | a ||b | | b || a | | a || b | 0∴b⊥ (a+tb)18.解:设OC(x, y),OC OB OCOB 0 2 y x0①又BC // OA,BC(x1, y2)3( y 2)( x 1) 0即:3y x7②x14,联立①、②得y710分OC(14,7),于是 OD OC OA(11,6) .19.解法一:设平移公式为x x hy y k 代入 y x2,获得y k( x h) 2 .即 y x22hx h 2k ,把它与 y x 2x2联立,y x 22hx h 2k得yx 2x 2设图形的交点为(x1, y1),( x2, y2),由已知它们对于原点对称,x1x2即有:y1y2 由方程组消去y得:2x2(12h) x 2 h 2k 0.4x 1 x 21 2h且x 1x 20得h1 . 由22又将(x 1, y1 ),( x 2, y 2 )分别代入①②两式并相加,得: y 1 y 2x 12 x 22 2hx 1 x 2 h 2 k 2.0 (x 2x 1 )( x 2x 1 ) (x 1x 2 ) 1 k 2k9.a ( 1 , 9)4. 解得42 4 .xx12y y9x2得: yx 2平移公式为:4 代入 yx2 .解法二:由题意和平移后的图形与y x 2x2交点对于原点对称,可知该图形上全部点都能够找到对于原点的对称点在另一图形上,所以只需找到特点点即可.y x2x2的极点为(1, 9)1 , 924 ,它对于原点的对称点为 ( 2 4 ),即是新图形的极点 .因为新图形由 yx 2h1 0 1, k 99平移获得, 所以平移向量为22 44 以下同解法一 .20.解:( 1)xy, x y 0.即[( at 2 3)b]( k a tb)0.a b0, a 221,4k t(t23) 0,即k1t(t 23).4,b1t (t 24( 2)由 f(t)>0, 得3) 0,即t (t3)(t3)0,则3t 0或t3.45。
高中平面向量经典练习题【编著】黄勇权一、填空题1、向量a=(2,4),b=(-1,-3),则向量3a-2b的坐标是。
2、已知向量a与b的夹角为60°,a=(3,4),|b | =1,则|a+5b | = 。
3、已知点A(1,2),B(2,1),若→AP=(3,4),则→BP= 。
4、已知A(-1,2),B(1,3),C(2,0),D(x,1),若AB与CD共线,则|BD|的值等于________。
5、向量a、b满足|a|=1,|b|= 2 ,(a+b)⊥(2a-b),则向量a与b的夹角为________。
6、设向量a,b满足|a+b|= 10,|a-b|= 6 ,则a·b=。
7、已知a、b是非零向量且满足(a-2b)⊥a,(b-2a)⊥b,则a与b的夹角是。
8、在△ABC中,D为AB边上一点,→AD =12→DB,→CD =23→CA + m→CB,则m= 。
9、已知非零向量a,b满足|b|=4|a|,a⊥(2a+b),则a与b的夹角是。
10、在三角形ABC中,已知A(-3,1),B(4,-2),点P(1,-1)在中线AD上,且→AP= 2→PD,则点C的坐标是()。
二、选择题1、设向量→OA=(6,2),→OB=(-2,4),向量→OC垂直于向量→OB,向量→BC平行于→OA,若→OD +→OA=→OC,则→OD坐标=()。
A、(11,6)B、(22,12)C、(28,14)D、(14,7)2、把A(3,4)按向量a(1,-2)平移到A',则点A'的坐标()A、(4 , 2)B、(3,1)C、(2,1)D、(1,0)3、已知向量a,b,若a为单位向量, 且 | a| = | 2b| ,则(2a+ b)⊥(a-2b),则向量a与b的夹角是()。
A、90°B、60°C、30°D、0°4、已知向量ab的夹角60°,| a|= 2,b=(-1,0),则| 2a-3b|=()A、 15B、 14C、 13D、 115、在菱形ABCD中,∠DAB=60°,|2·→0C +→CD|=4,则,|→BC+→CD|=______.A、12B、8C、4D、26题、7题、8、若向量a=(3,4),向量b=(2,1),则a在b方向上的投影为________.A、2B、4C、8D、169题、10、已知正方形ABCD的边长为2,E为CD的中点,则→AE·→BD=.A、-1B、1C、-2D、2三、解答题1、在△ABC中,M是BC的中点,AM=3,BC=10,求→AB·→AC的值。
6.1平面向量的概念——精选题目练习1.下列命题中,正确命题的个数是( ) ①单位向量都共线; ②长度相等的向量都相等; ③共线的单位向量必相等;④与非零向量a 共线的单位向量是a|a|. A .3 B .2 C .1D .02.下列说法正确的是( )A .若a 与b 平行,b 与c 平行,则a 与c 一定平行B .终点相同的两个向量不共线C .若|a|>|b|,则a>bD .单位向量的长度为13.如图,在正六边形ABCDEF 中,点O 为其中心,则下列判断错误的是( )A.AB→=OC → B.AB →∥DE → C .|AD→|=|BE →| D.AD→=FC → 4.设O 是△ABC 的外心,则AO →,BO →,CO →是( )A .相等向量B .模相等的向量C .平行向量D .起点相同的向量5.若a 是任一非零向量,b 是单位向量,下列各式:①|a |>|b |;②a ∥b ;③|a |>0;④|b |=±1;⑤a|a |=b ,其中正确的有( )A .①④⑤B .③C .①②③⑤D .②③⑤6.如图,已知正方形ABCD 的边长为2,O 为其中心,则|OA →|=________.7.如果在一个边长为5的正△ABC 中,一个向量所对应的有向线段为AD →(其中D 在边BC 上运动),则向量AD→长度的最小值为________. 8.已知A ,B ,C 是不共线的三点,向量m 与向量AB →是平行向量,与BC →是共线向量,则m =________.9.在平行四边形ABCD 中,E ,F 分别为边AD ,BC 的中点,如图.(1)在每两点所确定的向量中,写出与向量FC →共线的向量;(2)求证:BE→=FD →. 10.已知在四边形ABCD 中,AB →∥CD →,求AD →与BC →分别满足什么条件时,四边形ABCD 满足下列情况.(1)四边形ABCD 是等腰梯形; (2)四边形ABCD 是平行四边形.答案:DDDBB 2 532 0⃗ 9.(1)由共线向量满足的条件得与向量FC →共线的向量有:CF →,BC →,CB →,BF →,FB→,ED →,DE →,AE →,EA →,AD →,DA →. 在▱ABCD 中,AD //BC 且.AD =BC 又E ,F 分别为AD ,BC 的中点, 所以ED //BF ,ED =BF所以四边形BFDE 是平行四边形, 所以BE //FD ,BE =FD 所以BE→=FD →.10.解:(1)|AD →|=|BC →|,且AD →与BC →不平行.因为AB→∥CD →,所以四边形ABCD 为梯形或平行四边形.若四边形ABCD 为等腰梯形,则|AD→|=|BC →|,同时两向量不平行.(2)AD→=BC →(或AD →∥BC →). 若AD →=BC →,即四边形的一组对边平行且相等,此时四边形ABCD 为平行四边形.。
练习11 平面向量的概念一、单选题1.给出下列物理量:①质量;②速度;③位移;④力;⑤路程;⑥功;⑦加速度.其中是向量的有()A.4个B.5个C.6个D.7个【答案】A【解析】【分析】根据向量的定义即可判断;【详解】解:速度、位移、力、加速度4个物理量是向量,它们都有大小和方向.故选:A【点睛】本题考查向量的定义的理解,属于基础题.2.下列各说法:①有向线段就是向量,向量就是有向线段;②向量的大小与方向有关;③任意两个零向量方向相同;④模相等的两个平行向量是相等向量.其中正确的有( )A.0个B.1个C.2个D.3个【答案】A【分析】根据向量的基本概念分析即可.【详解】有向线段是向量的几何表示,二者并不相同,故①错误;②向量不能比较大小,故②错误;③由零向量方向的任意性知③错误;④向量相等是向量模相等,且方向相同,故④错误.故选:A.【点睛】本题主要考查了向量中的基本概念,属于基础题型.3.如图,在O中,向量,,OB OC AO是()A.有相同起点的向量B.共线向量C.模相等的向量D.相等向量【答案】C【分析】向量是既有大小又有方向的量,通过大小和方向两个方面逐一判断即可.【详解】解:,,OB OC AO起点并不全相同,故A错误;,,OB OC AO的方向均不相同,也不相反,故BD 错误;||||||OB OC AO===圆的半径,故C正确,故选C.【点睛】本题考查向量的概念,是基础题.4.下列说法正确的是( )A.有向线段AB与BA表示同一向量B.两条有公共终点的有向线段表示的向量是平行向量C.零向量与单位向量是平行向量D.对任一向量a,aa是一个单位向量【答案】C【分析】由平面向量的定义、平行向量及单位向量的可依次对选项判断.【详解】对于选项A,向量AB与BA方向相反,不是同一向量,故选项A错误;对于选项B ,有公共终点的有向线段的方向不一定相同或相反,故B 错误;对于选项C ,零向量与任意向量都是平行向量,故C 正确;对于选项D ,当0a =时,a a 无意义,故D 错误. 故选:C 【点睛】本题考查了平面向量的定义与平行向量的应用,属于基础题.二、多选题5.如图所示,梯形ABCD 为等腰梯形,则下列关系正确的是( )A .AB DC =B .AB DC = C .AB DC >D .BC AD ∥【答案】BD【分析】 根据向量的模及共线向量的定义解答即可;【详解】解:AB 与DC 显然方向不相同,故不是相等向量,故A 错误;AB 与DC 表示等腰梯形两腰的长度,所以AB DC =,故B 正确;向量无法比较大小,只能比较向量模的大小,故C 错误;等腰梯形的上底BC 与下底AD 平行,所以//BC AD ,故D 正确;故选:BD .【点睛】本题考查共线向量、相等向量、向量的模的理解,属于基础题.6.下列说法正确的是( )A .长度相等的向量是相等向量B .若a b =,b c =,则a c =C.共线向量是在一条直线上的向量D.向量AB与CD共线是A,B,C,D四点共线的必要不充分条件【答案】BD【分析】根据向量的相关概念判断可得.【详解】解:相等向量不仅要求长度相等,还要求方向相同,故A说法错误;B说法显然正确;共线向量可以是在一条直线上的向量,也可以是所在直线互相平行的向量,故C说法错误;A,B,C,D四点共线⇒向量AB与CD共线,反之不成立,所以向量AB与CD共线是A,B,C,D四点共线的必要不充分条件,故D说法正确.故选:BD【点睛】本题考查向量的相关概念的理解,相等向量、共线向量,属于基础题.三、填空题7.下列结论正确的序号是_______.=;①若a,b都是单位向量,则a b②物理学中作用力与反作用力是一对共线向量;③方向为南偏西60°的向量与北偏东60°的向量是共线向量;④直角坐标平面上的x轴,y轴都是向量.【答案】②③【分析】根据题意,对题目中的命题进行分析、判断正误即可.【详解】解:对于①,a,b都是单位向量,则不一定有a b=,①错误;对于②,物理学中的作用力与反作用力大小相等,方向相反,是一对共线向量,②正确;对于③,如图所示,方向为南偏西60︒的向量与北偏东60︒的向量在一条直线上,是共线向量,③正确;对于④,直角坐标平面上的x 轴、y 轴只有方向,没有大小,不是向量,④错误;综上,正确的命题序号是②③.故答案为:②③.【点睛】本题通过命题真假的判断考查了平面向量的概念与应用问题,属于基础题.8.把同一平面内所有模不小于1,不大于2的向量的起点,移到同一点O ,则这些向量的终点构成的图形的面积等于__________.【答案】3π【解析】【分析】本题首先可以通过题意确定向量的终点构成的图形的形状,然后根据圆的面积公式即可得出结果.【详解】由题意可知,这些向量的终点构成的图形是一个圆环,圆环的小圆半径为1,圆环的大圆半径为2,所以圆环的面积为22213πππ⨯-⨯=,故答案为3π.【点睛】本题考查向量的定义的应用,考查圆的面积公式的使用,向量是有方向和大小的量,考查推理能力与运算能力,是简单题.四、解答题9.如图的方格由若干个边长为1的小正方形组成,方格中有定点A ,点C 为小正方形的顶点,且5AC =,画出所有的向量AC.【答案】见解析【分析】利用向量模长的几何意义,即可画出图形.【详解】AC ,∴C点落在以A为圆心,以5为半径的圆上,又∵点C为小正方形的顶点,∵||5根据该条件不难找出满足条件的点C,解析所有的向量AC,如图所示:【点睛】本题考查了向量模长的几何意义,轨迹问题,属于基础题.10.如图所示,平行四边形ABCD 中,O 是两对角线AC ,BD 的交点,设点集{}S A B C D O =,,,,,向量集合{|,,}T MN M N S M N =∈且,不重合,试求集合T 中元素的个数.【答案】12【分析】本题首先可根据题意明确集合T 中所包含的元素,然后根据平行四边形法则找出其中的相等向量,最后根据集合元素的互异性即可得出结果。
第六章 6.2 6.2.2A 级——基础过关练1.(多选)如图,在平行四边形ABCD 中,下列结论正确的是( )A .AB →=DC → B .AD →+AB →=AC → C .AB →-AD →=BD → D .AD →+CB →=0【答案】ABD 【解析】A 项显然正确;由平行四边形法则知B 正确;C 项中AB →-AD →=DB →,故C 错误;D 项中AD →+CB →=AD →+DA →=0.故选ABD .2.化简以下各式:①AB →+BC →+CA →;②AB →-AC →+BD →-CD →;③OA →-OD →+AD →;④NQ →+QP →+MN →-MP →.结果为零向量的个数是( )A .1B .2C .3D .4【答案】D 【解析】①AB →+BC →+CA →=AC →+CA →=AC →-AC →=0; ②AB →-AC →+BD →-CD →=(AB →+BD →)-(AC →+CD →)=AD →-AD →=0; ③OA →-OD →+AD →=(OA →+AD →)-OD →=OD →-OD →=0; ④NQ →+QP →+MN →-MP →=NP →+PM →+MN →=NM →-NM →=0. 3.(2020年北京期末)如图,向量a -b 等于( )A .3e 1-e 2B .e 1-3e 2C .-3e 1+e 2D .-e 1+3e 2【答案】B 【解析】如图,设a -b =AB →=e 1-3e 2,∴a -b =e 1-3e 2.故选B .4.对于菱形ABCD ,给出下列各式:①AB →=BC →;②|AB →|=|BC →|;③|AB →-CD →|=|AD →+BC →|;④|AD →+CD →|=|CD →-CB →|. 其中正确的个数为( ) A .1 B .2 C .3D .4【答案】C 【解析】由菱形的图形,可知向量AB →与BC →的方向是不同的,但它们的模是相等的,所以②正确,①错误;因为|AB →-CD →|=|AB →+DC →|=2|AB →|,|AD →+BC →|=2|BC →|,且|AB →|=|BC →|,所以|AB →-CD →|=|AD →+BC →|,即③正确;因为|AD →+CD →|=|BC →+CD →|=|BD →|,|CD →-CB →|=|CD →+BC →|=|BD →|,所以④正确.综上所述,正确的个数为3.故选C .5.若|AB →|=8,|AC →|=5,则|BC →|的取值范围是( ) A .[3,8] B .(3,8) C .[3,13]D .(3,13)【答案】C 【解析】由于BC →=AC →-AB →,则有|AB →|-|AC →|≤|BC →|≤|AB →|+|AC →|,即3≤|BC →|≤13.6.若非零向量a 与b 互为相反向量,给出下列结论:①a ∥b ;②a ≠b ;③|a|≠|b|;④b =-a.其中所有正确命题的序号为________.【答案】①②④ 【解析】非零向量a ,b 互为相反向量时,模一定相等,因此③不正确.7.若a ,b 为相反向量,且|a|=1,|b|=1,则|a +b|=________,|a -b|=________. 【答案】0 2 【解析】若a ,b 为相反向量,则a +b =0,所以|a +b|=0.又a =-b ,所以|a|=|-b|=1.因为a 与-b 共线,所以|a -b|=2.8.如图,已知向量a 和向量b ,用三角形法则作出a -b +a .解:如图所示,作向量OA →=a ,向量OB →=b ,则向量BA →=a -b ;作向量AC →=a ,则BC →=a -b +a .9.如图,已知OA →=a ,OB →=b ,OC →=c ,OD →=d ,OF →=f ,试用a ,b ,c ,d ,f 表示以下向量:AC →,AD →,AD →-AB →,AB →+CF →,BF →-BD →. 解:AC →=OC →-OA →=c -a . AD →=AO →+OD →=OD →-OA →=d -a . AD →-AB →=BD →=OD →-OB →=d -b .AB →+CF →=OB →-OA →+OF →-OC →=b -a +f -c . BF →-BD →=OF →-OB →-(OD →-OB →)=OF →-OD →=f -d .10.如图,在四边形ABCD 中,对角线AC ,BD 交于点O ,且|AB →|=|AD →|=1,OA →+OC →=OB →+OD →=0,cos ∠DAB =12,求|DC →+BC →|与|CD →+BC →|.解:∵OA →+OC →=OB →+OD →=0, ∴OA →=CO →,OB →=DO →.∴四边形ABCD 为平行四边形.又|AB →|=|AD →|=1,∴▱ABCD 为菱形. ∵cos ∠DAB =12,∠DAB ∈(0,π),∴∠DAB =π3,∴△ABD 为正三角形.∴|DC →+BC →|=|AB →+BC →|=|AC →|=2|AO →|=3,|CD →+BC →|=|BD →|=|AB →|=1.B 级——能力提升练11.在平面上有A ,B ,C 三点,设m =AB →+BC →,n =AB →-BC →,若m 与n 的长度恰好相等,则有( )A .A ,B ,C 三点必在一条直线上 B .△ABC 必为等腰三角形且∠B 为顶角 C .△ABC 必为直角三角形且∠B 为直角D .△ABC 必为等腰直角三角形【答案】C 【解析】以BA →,BC →为邻边作平行四边形ABCD ,则m =AB →+BC →=AC →,n =AB →-BC →=AB →-AD →=DB →,由m ,n 的长度相等可知,两对角线相等,因此平行四边形一定是矩形.故选C .12.平面内有四边形ABCD 和点O ,若OA →+OC →=OB →+OD →,则四边形ABCD 的形状是( )A .梯形B .平行四边形C .矩形D .菱形【答案】B 【解析】因为OA →+OC →=OB →+OD →,所以OA →-OB →=OD →-OC →,即BA →=CD →.所以AB CD .故四边形ABCD 是平行四边形.13.平面上有一个△ABC 和一点O ,设OA →=a ,OB →=b ,OC →=c .又OA →,BC →的中点分别为D ,E ,则向量DE →等于( )A .12(a +b +c )B .12(-a +b +c )C .12(a -b +c )D .12(a +b -c )【答案】B 【解析】DE →=DO →+OE →=-12a +12(b +c )=12(-a +b +c ).14.如图,在正六边形ABCDEF 中,与OA →-OC →+CD →相等的向量有________.①CF →;②AD →;③DA →;④BE →;⑤CE →+BC →;⑥CA →-CD →;⑦AB →+AE →.【答案】① 【解析】OA →-OC →+CD →=CA →+CD →=CF →;CE →+BC →=BC →+CE →=BE →≠CF →;CA →-CD →=DA →≠CF →;AB →+AE →=AD →≠CF →.15.已知|a|=7,|b|=2,且a ∥b ,则|a -b|的值为________.【答案】5或9 【解析】当a 与b 方向相同时,|a -b|=||a|-|b||=7-2=5;当a 与b 方向相反时,|a -b|=|a|+|b|=7+2=9.16.如图所示,点O 是四边形ABCD 内任一点,试根据图中给出的向量,确定a ,b ,c ,d 的方向(用箭头表示),使a +b =BA →,c -d =DC →,并画出b -c 和a +d .解:因为a +b =BA →,c -d =DC →,所以a =OA →,b =BO →,c =OC →,d =OD →.如图所示,作平行四边形OBEC ,平行四边形ODF A .根据平行四边形法则可得,b -c =EO →,a +d =OF →.17.如图所示,O 是平行四边形ABCD 的对角线AC ,BD 的交点,若AB →=a ,DA →=b ,OC →=c ,试证明:b +c -a =OA →.证明:(方法一)因为b +c =DA →+OC →=OC →+CB →=OB →,OA →+a =OA →+AB →=OB →,所以b +c =OA →+a ,即b +c -a =OA →.(方法二)OA →=OC →+CA →=OC →+CB →+CD →=c +DA →+BA →=b +c -AB →=b +c -a .(方法三)因为c -a =OC →-AB →=OC →-DC →=OC →+CD →=OD →=OA →+AD →=OA →-DA →=OA →-b ,所以b +c -a =OA →.C 级——探索创新练18.已知|a |=8,|b |=15. (1)求|a -b |的取值范围;(2)若|a -b |=17,则表示a ,b 的有向线段所在的直线所成的角是多少? 解:(1)由向量三角不等式||a |-|b ||≤|a -b |≤|a |+|b |,得7≤|a -b |≤23. 当a ,b 同向时,不等式左边取等号, 当a ,b 反向时,不等式右边取等号. (2)易知|a |2+|b |2=82+152=172=|a -b |2. 作OA →=a ,OB →=b ,则|BA →|=|a -b |=17, 所以△OAB 是直角三角形,其中∠AOB =90°. 所以表示a ,b 的有向线段所在的直线成90°角.。
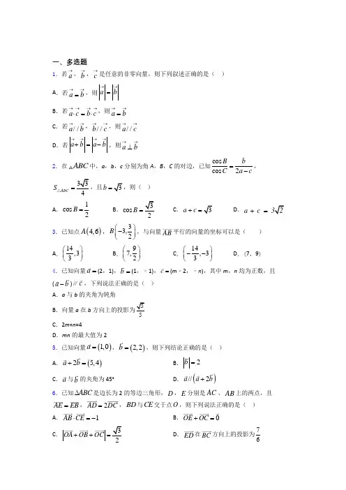
一、多选题1.若a →,b →,c →是任意的非零向量,则下列叙述正确的是( ) A .若a b →→=,则a b →→= B .若a c b c →→→→⋅=⋅,则a b →→= C .若//a b →→,//b c →→,则//a c →→D .若a b a b →→→→+=-,则a b →→⊥2.在ABC 中,a ,b ,c 分别为角A ,B ,C 的对边,已知cos cos 2B bC a c=-,4ABC S =△,且b = )A .1cos 2B =B .cos 2B =C .a c +=D .a c +=3.已知点()4,6A ,33,2B ⎛⎫- ⎪⎝⎭,与向量AB 平行的向量的坐标可以是( )A .14,33⎛⎫ ⎪⎝⎭B .97,2⎛⎫ ⎪⎝⎭C .14,33⎛⎫-- ⎪⎝⎭D .(7,9)4.已知向量a =(2,1),b =(1,﹣1),c =(m ﹣2,﹣n ),其中m ,n 均为正数,且(a b -)∥c ,下列说法正确的是( ) A .a 与b 的夹角为钝角B .向量a 在bC .2m +n =4D .mn 的最大值为25.已知向量()1,0a =,()2,2b =,则下列结论正确的是( ) A .()25,4a b += B .2b = C .a 与b 的夹角为45°D .()//2a a b +6.已知ABC ∆是边长为2的等边三角形,D ,E 分别是AC 、AB 上的两点,且AE EB =,2AD DC =,BD 与CE 交于点O ,则下列说法正确的是( )A .1AB CE ⋅=- B .0OE OC +=C .3OA OB OC ++=D .ED 在BC 方向上的投影为767.设P 是ABC 所在平面内的一点,3AB AC AP +=则( ) A .0PA PB += B .0PB PC += C .PA AB PB += D .0PA PB PC ++=8.在△ABC 中,角A ,B ,C 所对边分别为a ,b ,c ,b =15,c =16,B =60°,则a 边为( )A .B .C .8D .839.设向量a ,b 满足1a b ==,且25b a -=,则以下结论正确的是( ) A .a b ⊥B .2a b +=C .2a b -=D .,60a b =︒10.给出下列命题正确的是( ) A .一个向量在另一个向量上的投影是向量 B .a b a b a +=+⇔与b 方向相同 C .两个有共同起点的相等向量,其终点必定相同D .若向量AB 与向量CD 是共线向量,则点,,,A B C D 必在同一直线上 11.有下列说法,其中错误的说法为( ). A .若a ∥b ,b ∥c ,则a ∥cB .若PA PB PB PC PC PA ⋅=⋅=⋅,则P 是三角形ABC 的垂心 C .两个非零向量a ,b ,若a b a b -=+,则a 与b 共线且反向D .若a ∥b ,则存在唯一实数λ使得a b λ=12.在ABCD 中,设AB a =,AD b =,AC c =,BD d =,则下列等式中成立的是( ) A .a b c +=B .a d b +=C .b d a +=D .a b c +=13.某人在A 处向正东方向走xkm 后到达B 处,他向右转150°,然后朝新方向走3km 到达C处,,那么x 的值为( )A B .23C .D .314.化简以下各式,结果为0的有( ) A .AB BC CA ++ B .AB AC BD CD -+-C .OA OD AD -+D .NQ QP MN MP ++-15.题目文件丢失!二、平面向量及其应用选择题16.在ABC 中,()2BC BA AC AC +⋅=,则ABC 的形状一定是( ) A .等边三角形B .等腰三角形C .等腰直角三角形D .直角三角形17.若O 为ABC 所在平面内任意一点,且满足()20BC OB OC OA ⋅+-=,则ABC 一定为( )A .锐角三角形B .直角三角形C .等腰三角形D .钝角三角形18.若△ABC 中,2sin()sin()sin A B A B C +-=,则此三角形的形状是( ) A .直角三角形B .等腰三角形C .等边三角形D .等腰直角三角形19.三角形ABC 所在平面内一点P 满足PA PB PB PC PC PA ⋅=⋅=⋅,那么点P 是三角形ABC 的( ) A .重心B .垂心C .外心D .内心20.已知在ABC 中,内角A 、B 、C 所对的边分别为a 、b 、c ,若ABC 的面积为S ,且222()S a b c =+-,则tan C =( )A .43-B .34-C .34D .4321.a ,b 为单位向量,且27a b +=,则向量a ,b 夹角为( )A .30B .45︒C .60︒D .90︒22.已知点O 是ABC 内部一点,并且满足2350OA OB OC ++=,OAC 的面积为1S ,ABC 的面积为2S ,则12S S = A .310 B .38C .25D .421 23.在ABC ∆中,D 为BC 中点,且12AE ED =,若BE AB AC λμ=+,则λμ+=( ) A .1B .23-C .13- D .34-24.已知两不共线的向量()cos ,sin a αα=,()cos ,sin b ββ=,则下列说法一定正确的是( )A .a 与b 的夹角为αβ-B .a b ⋅的最大值为1C .2a b +≤D .()()a b a b +⊥-25.如图所示,在山底A 处测得山顶B 的仰角为45︒,沿倾斜角为30的山坡向山顶走1000米到达S 点,又测得山顶的仰角为75︒,则山高BC =( )A .500米B .1500米C .1200米D .1000米26.题目文件丢失!27.设(),1A a ,()2,1B -,()4,5C 为坐标平面上三点,O 为坐标原点,若OA 与OB 在OC 方向上的投影相同,则a =( )A .12-B .12C.-2 D .228.已知D ,E ,F 分别是△ABC 的边BC ,CA ,AB 的中点,且BC a CA b ==,,AB c =,则①AD =-b -12a ;②BE =a +12b ;③CF =-12a +12b ;④AD +BE +CF =0.其中正确的等式的个数为( ) A .1 B .2 C .3 D .429.已知,m n 是两个非零向量,且1m =,2||3m n +=,则||+||m n n +的最大值为 A .5B .10C .4D .530.已知点O 是ABC ∆内一点,满足2OA OB mOC +=,47AOB ABC S S ∆∆=,则实数m 为( ) A .2B .-2C .4D .-431.奔驰定理:已知O 是ABC ∆内的一点,BOC ∆,AOC ∆,AOB ∆的面积分别为A S ,B S ,C S ,则0A B C S OA S OB S OC ⋅+⋅+⋅=.“奔驰定理”是平面向量中一个非常优美的结论,因为这个定理对应的图形与“奔驰”轿车(Mercedes benz )的logo 很相似,故形象地称其为“奔驰定理”若O 是锐角ABC ∆内的一点,A ,B ,C 是ABC ∆的三个内角,且点O 满足OA OB OB OC OC OA ⋅=⋅=⋅,则必有( )A .sin sin sin 0A OAB OBC OC ⋅+⋅+⋅=B .cos cos cos 0A OA B OBC OC ⋅+⋅+⋅= C .tan tan tan 0A OA B OB C OC ⋅+⋅+⋅=D .sin 2sin 2sin 20A OA B OB C OC ⋅+⋅+⋅=32.已知平面向量a ,b ,c 满足2a b ==,()()20c a c b ⋅--=,则b c ⋅的最大值为( )A .54B .2C .174D .433.ABC 中,内角,,A B C 所对的边分别为,,a b c .若()226,c a b =-+3C π=,则ABC 的面积为( )A .6B .332C .33D .334.已知ABC 中,1,3,30a b A ︒===,则B 等于( )A .60°B .120°C .30°或150°D .60°或120°35.如图,在ABC 中,60,23,3C BC AC ︒===,点D 在边BC 上,且27sin 7BAD ∠=,则CD 等于( )A 23B 3C 33D 43【参考答案】***试卷处理标记,请不要删除一、多选题 1.ACD 【分析】根据平面向量的定义、数量积定义、共线向量定义进行判断. 【详解】对应,若,则向量长度相等,方向相同,故,故正确; 对于,当且时,,但,可以不相等,故错误;对应,若,,则方向相同 解析:ACD 【分析】根据平面向量的定义、数量积定义、共线向量定义进行判断. 【详解】对应A ,若a b =,则向量,a b 长度相等,方向相同,故||||a b =,故A 正确; 对于B ,当a c ⊥且b c ⊥时,··0a c b c ==,但a ,b 可以不相等,故B 错误; 对应C ,若//a b ,//b c ,则,a b 方向相同或相反,,b c 方向相同或相反, 故,a c 的方向相同或相反,故//a c ,故C 正确;对应D ,若||||a b a b +=-,则22222?2?a a b b a a b b ++=-+,∴0a b =,∴a b ⊥,故D 正确.故选:ACD 【点睛】本题考查平面向量的有关定义,性质,数量积与向量间的关系,属于中档题.2.AD 【分析】利用正弦定理,两角和的正弦函数公式化简,结合,可求,结合范围,可求,进而根据三角形的面积公式和余弦定理可得. 【详解】 ∵,整理可得:, 可得,∵A 为三角形内角,, ∴,故A 正确解析:AD 【分析】利用正弦定理,两角和的正弦函数公式化简cos cos 2B bC a c=-,结合sin 0A ≠,可求1cos 2B =,结合范围()0,B π∈,可求3B π=,进而根据三角形的面积公式和余弦定理可得a c += 【详解】 ∵cos sin cos 22sin sin B b BC a c A C==--, 整理可得:sin cos 2sin cos sin cos B C A B C B =-,可得()sin cos sin cos sin sin 2sin cos B C C B B C A A B +=+==,∵A 为三角形内角,sin 0A ≠, ∴1cos 2B =,故A 正确,B 错误, ∵()0,B π∈, ∴3B π=,∵ABC S =△3b =,∴11sin 42224ac B a c ac ==⨯⨯⨯=, 解得3ac =,由余弦定理得()()2222939a c ac a c ac a c =+-=+-=+-,解得a c +=C 错误,D 正确. 故选:AD. 【点睛】本题主要考查正弦定理,余弦定理以及两角和与差的三角函数的应用,还考查了运算求解的能力,属于中档题.3.ABC 【分析】先求出向量的坐标,然后由向量平行的条件对选项进行逐一判断即可. 【详解】 由点,,则选项A . ,所以A 选项正确. 选项B. ,所以B 选项正确. 选项C . ,所以C 选解析:ABC 【分析】先求出向量AB 的坐标,然后由向量平行的条件对选项进行逐一判断即可. 【详解】由点()4,6A ,33,2B ⎛⎫- ⎪⎝⎭,则972,AB ⎛⎫=-- ⎪⎝⎭选项A . 91473023⎛⎫-⨯--⨯= ⎪⎝⎭,所以A 选项正确. 选项B. 9977022⎛⎫-⨯--⨯= ⎪⎝⎭,所以B 选项正确.选项C . ()91473023⎛⎫⎛⎫-⨯---⨯-= ⎪ ⎪⎝⎭⎝⎭,所以C 选项正确. 选项D. 979702⎛⎫-⨯--⨯≠ ⎪⎝⎭,所以选项D 不正确 故选:ABC 【点睛】本题考查根据点的坐标求向量的坐标,根据向量的坐标判断向量是否平行,属于基础题.4.CD 【分析】对于A ,利用平面向量的数量积运算判断;对于B ,利用平面向量的投影定义判断;对于C ,利用()∥判断;对于D ,利用C 的结论,2m+n=4,结合基本不等式判断. 【详解】 对于A ,向量(解析:CD 【分析】对于A ,利用平面向量的数量积运算判断; 对于B ,利用平面向量的投影定义判断;对于C ,利用(a b -)∥c 判断;对于D ,利用C 的结论,2m +n =4,结合基本不等式判断. 【详解】对于A ,向量a =(2,1),b =(1,﹣1),则2110a b ⋅=-=>,则,a b 的夹角为锐角,错误;对于B ,向量a =(2,1),b =(1,﹣1),则向量a 在b 方向上的投影为22a b b⋅=,错误;对于C ,向量a =(2,1),b =(1,﹣1),则a b -= (1,2),若(a b -)∥c ,则(﹣n )=2(m ﹣2),变形可得2m +n =4,正确;对于D ,由C 的结论,2m +n =4,而m ,n 均为正数,则有mn 12=(2m •n )12≤ (22m n +)2=2,即mn 的最大值为2,正确; 故选:CD. 【点睛】本题主要考查平面向量的数量积运算以及基本不等式的应用,属于基础题.5.AC 【分析】利用向量线性的坐标运算可判断A ;利用向量模的坐标求法可判断B ;利用向量数量积的坐标运算可判断C ;利用向量共线的坐标表示即可求解.【详解】 由向量,, 则,故A 正确; ,故B 错误;解析:AC 【分析】利用向量线性的坐标运算可判断A ;利用向量模的坐标求法可判断B ;利用向量数量积的坐标运算可判断C ;利用向量共线的坐标表示即可求解. 【详解】由向量()1,0a =,()2,2b =,则()()()21,022,25,4a b +=+=,故A 正确;222b =+=,故B 错误;2cos ,1a b a b a b⋅<>===⋅+又[],0,a b π<>∈,所以a 与b 的夹角为45°,故C 正确; 由()1,0a =,()25,4a b +=,140540⨯-⨯=≠,故D 错误. 故选:AC 【点睛】本题考查了向量的坐标运算,考查了基本运算能力,属于基础题.6.BCD 【分析】以E 为原点建立平面直角坐标系,写出所有点的坐标求解即可. 【详解】由题E 为AB 中点,则,以E 为原点,EA ,EC 分别为x 轴,y 轴正方向建立平面直角坐标系,如图所示: 所以,,解析:BCD 【分析】以E 为原点建立平面直角坐标系,写出所有点的坐标求解即可. 【详解】由题E 为AB 中点,则CE AB ⊥,以E 为原点,EA ,EC 分别为x 轴,y 轴正方向建立平面直角坐标系,如图所示:所以,123(0,0),(1,0),(1,0),3),()3E A B C D -, 设123(0,),3),(1,),(,33O y y BO y DO y ∈==--,BO ∥DO , 所以2313y y =-,解得:3y =, 即O 是CE 中点,0OE OC +=,所以选项B 正确;322OA OB OC OE OC OE ++=+==,所以选项C 正确; 因为CE AB ⊥,0AB CE ⋅=,所以选项A 错误;123(3ED =,(1,3)BC =,ED 在BC 方向上的投影为127326BC BCED +⋅==,所以选项D 正确.故选:BCD 【点睛】此题考查平面向量基本运算,可以选取一组基底表示出所求向量的关系,对于特殊图形可以考虑在适当位置建立直角坐标系,利于计算.7.CD 【分析】转化为,移项运算即得解 【详解】 由题意: 故 即 , 故选:CD 【点睛】本题考查了向量的线性运算,考查了学生概念理解,转化划归,数学运算能力,属于基础题.解析:CD 【分析】转化3AB AC AP +=为())(AB AP AC AP AP +=--,移项运算即得解 【详解】由题意:3AB AC AP += 故())(AB AP AC AP AP +=-- 即PB PC AP +=0C PA PB P ++=∴,PA AB PB +=故选:CD 【点睛】本题考查了向量的线性运算,考查了学生概念理解,转化划归,数学运算能力,属于基础题.8.AC 【分析】利用余弦定理:即可求解. 【详解】在△ABC 中,b =15,c =16,B =60°, 由余弦定理:, 即,解得. 故选:AC 【点睛】本题考查了余弦定理解三角形,需熟记定理,考查了基解析:AC 【分析】利用余弦定理:2222cos b a c ac B =+-即可求解. 【详解】在△ABC 中,b =15,c =16,B =60°, 由余弦定理:2222cos b a c ac B =+-,即216310a a -+=,解得8a = 故选:AC 【点睛】本题考查了余弦定理解三角形,需熟记定理,考查了基本运算,属于基础题.9.AC 【分析】由已知条件结合向量数量积的性质对各个选项进行检验即可. 【详解】,且,平方得,即,可得,故A 正确; ,可得,故B 错误; ,可得,故C 正确; 由可得,故D 错误; 故选:AC 【点睛】解析:AC 【分析】由已知条件结合向量数量积的性质对各个选项进行检验即可. 【详解】1a b ==,且25b a -=,平方得22445b a a b +-⋅=,即0a b ⋅=,可得a b ⊥,故A正确;()22222a b a b a b +=++⋅=,可得2a b +=,故B 错误; ()22222a b a b a b -=+-⋅=,可得2a b -=,故C 正确;由0a b ⋅=可得,90a b =︒,故D 错误; 故选:AC 【点睛】本题考查向量数量积的性质以及向量的模的求法,属于基础题.10.C 【分析】对A ,一个向量在另一个向量上的投影是数量; 对B ,两边平方化简;对C ,根据向量相等的定义判断; 对D ,根据向量共线的定义判断. 【详解】A 中,一个向量在另一个向量上的投影是数量,A解析:C 【分析】对A ,一个向量在另一个向量上的投影是数量; 对B ,两边平方化简a b a b +=+; 对C ,根据向量相等的定义判断; 对D ,根据向量共线的定义判断. 【详解】A 中,一个向量在另一个向量上的投影是数量,A 错误;B 中,由a b a b +=+,得2||||2a b a b ⋅=⋅,得||||(1cos )0a b θ⋅-=, 则||0a =或||0b =或cos 1θ=,当两个向量一个为零向量,一个为非零向量时,a 与b 方向不一定相同,B 错误;C 中,根据向量相等的定义,且有共同起点可得,其终点必定相同,C 正确;D 中,由共线向量的定义可知点,,,A B C D 不一定在同一直线上,D 错误. 故选:C 【点睛】本题考查了对向量共线,向量相等,向量的投影等概念的理解,属于容易题.11.AD 【分析】分别对所给选项进行逐一判断即可. 【详解】对于选项A ,当时,与不一定共线,故A 错误; 对于选项B ,由,得,所以,,同理,,故是三角形的垂心,所以B 正确; 对于选项C ,两个非零向量解析:AD 【分析】分别对所给选项进行逐一判断即可. 【详解】对于选项A ,当0b =时,a 与c 不一定共线,故A 错误;对于选项B ,由PA PB PB PC ⋅=⋅,得0PB CA ⋅=,所以PB CA ⊥,PB CA ⊥, 同理PA CB ⊥,PC BA ⊥,故P 是三角形ABC 的垂心,所以B 正确;对于选项C ,两个非零向量a ,b ,若a b a b -=+,则a 与b 共线且反向,故C 正确;对于选项D ,当0b =,0a ≠时,显然有a ∥b ,但此时λ不存在,故D 错误. 故选:AD 【点睛】本题考查与向量有关的命题的真假的判断,考查学生对基本概念、定理的掌握,是一道容易题.12.ABD 【分析】根据平行四边形及向量的加法法则即可判断. 【详解】由向量加法的平行四边形法则,知成立,故也成立;由向量加法的三角形法则,知成立,不成立. 故选:ABD 【点睛】 本题主要考查解析:ABD 【分析】根据平行四边形及向量的加法法则即可判断. 【详解】由向量加法的平行四边形法则,知a b c +=成立, 故a b c +=也成立;由向量加法的三角形法则,知a d b +=成立,b d a +=不成立. 故选:ABD 【点睛】本题主要考查了向量加法的运算,数形结合,属于容易题.13.AB 【分析】由余弦定理得,化简即得解. 【详解】由题意得,由余弦定理得, 解得或. 故选:AB. 【点睛】本题主要考查余弦定理的实际应用,意在考查学生对这些知识的理解掌握水平.解析:AB 【分析】由余弦定理得293cos306x x︒+-=,化简即得解.【详解】由题意得30ABC ︒∠=,由余弦定理得293cos306x x︒+-=,解得x =x 故选:AB. 【点睛】本题主要考查余弦定理的实际应用,意在考查学生对这些知识的理解掌握水平.14.ABCD【分析】根据向量的线性运算逐个选项求解即可. 【详解】 ; ; ; .故选:ABCD 【点睛】本题主要考查了向量的线性运算,属于基础题型.解析:ABCD 【分析】根据向量的线性运算逐个选项求解即可. 【详解】0AB BC CA AC CA ++=+=;()()0AB AC BD CD AB BD AC CD AD AD -+-=+-+=-=; ()0OA OD AD OA AD OD OD OD -+=+-=-=; 0NQ QP MN MP NP PM MN NM NM ++-=++=-=.故选:ABCD 【点睛】本题主要考查了向量的线性运算,属于基础题型.15.无二、平面向量及其应用选择题16.D 【分析】先根据向量减法与向量数量积化简得边之间关系,再判断三角形形状. 【详解】因为()()()222BC BA AC BC BA BC BA BC BA AC +⋅=+⋅-=-=,所以222a c b -=,即ABC 是直角三角形,选D.【点睛】判断三角形形状的方法①化边:通过因式分解、配方等得出边的相应关系,从而判断三角形的形状. ②化角:通过三角恒等变形,得出内角的关系,从而判断三角形的形状,此时要注意应用πA B C ++=这个结论.17.C 【分析】由向量的线性运算可知2OB OC OA AB AC +-=+,所以()0BC AB AC ⋅+=,作出图形,结合向量加法的平行四边形法则,可得BC AD ⊥,进而可得AB AC =,即可得出答案. 【详解】由题意,()()2OB OC OA OB OA OC OA AB AC +-=-+-=+, 所以()0BC AB AC ⋅+=,取BC 的中点D ,连结AD ,并延长AD 到E ,使得AD DE =,连结BE ,EC ,则四边形ABEC 为平行四边形,所以AB AC AE +=. 所以0BC AE ⋅=,即BC AD ⊥, 故AB AC =,ABC 是等腰三角形. 故选:C.【点睛】本题考查三角形形状的判断,考查平面向量的性质,考查学生的计算求解能力,属于基础题. 18.A 【分析】已知等式左边第一项利用诱导公式化简,根据sin C 不为0得到sin()sin A B C -=,再利用两角和与差的正弦函数公式化简. 【详解】ABC ∆中,sin()sin A B C +=,∴已知等式变形得:2sin sin()sin C A B C -=,即sin()sin sin()A B C A B -==+,整理得:sin cos cos sin sin cos cos sin A B A B A B A B -=+,即2cos sin 0A B =,cos 0A ∴=或sin 0B =(不合题意,舍去),0A π<< 90A ∴=︒,则此三角形形状为直角三角形. 故选:A 【点睛】此题考查了正弦定理,以及三角函数中的恒等变换应用,熟练掌握公式是解本题的关键,属于中档题. 19.B 【分析】先化简得0,0,0PA CB PB CA PC AB ⋅=⋅=⋅=,即得点P 为三角形ABC 的垂心. 【详解】由于三角形ABC 所在平面内一点P 满足PA PB PB PC PC PA ⋅=⋅=⋅, 则()()()0,0,0PA PB PC PB PA PC PC PB PA ⋅-=⋅-=⋅-= 即有0,0,0PA CB PB CA PC AB ⋅=⋅=⋅=, 即有,,PA CB PB CA PC AB ⊥⊥⊥, 则点P 为三角形ABC 的垂心. 故选:B. 【点睛】本题主要考查向量的运算和向量垂直的数量积,意在考查学生对这些知识的理解掌握水平. 20.A 【分析】由三角形面积公式和余弦定理可得C 的等式,利用二倍角公式求得tan2C,从而求得tan C . 【详解】∵222222()2S a b c a b ab c =+-=++-,即22212sin 22ab C a b ab c ⨯⋅=++-, ∴222sin 2ab C ab a b c ⋅-=+-,又222sin 2sin cos 1222a b c ab C ab CC ab ab +-⋅-===-,∴sin cos 12C C +=, 即22cos sin cos 222C C C =,则tan 22C =,∴222tan2242tan 1231tan 2CC C ⨯===---, 故选:A . 【点睛】本题考查三角形面积公式,余弦定理,考查二倍角公式,同角间的三角函数关系,掌握相应的公式即可求解.属于中档题,考查了学生的运算求解能力. 21.C 【分析】首先根据题的条件27a b +=,得到2()7a b +=,根据a ,b 为单位向量,求得12a b ⋅=,进而求得向量夹角. 【详解】 因为27a b +=,所以2()7a b +=,即22447a a b b +⋅+=, 因为221a b ==,所以12a b ⋅=, 所以1cos ,2a b <>=,因为向量a ,b 夹角的范围为[0,180]︒︒, 所以向量a ,b 夹角的范围为60︒, 故选:C. 【点睛】该题考查的是有关向量的问题,涉及到的知识点有向量的平方与向量模的平方是相等的,已知向量数量积求向量夹角,属于简单题目. 22.A 【解析】∵2350OA OB OC ++=,∴()()23OA OC OB OC +=-+. 设AC 中点为M ,BC 中点为N ,则23OM ON =-, ∵MN 为ABC 的中位线,且32OM ON=, ∴36132255410OACOMCCMNABC ABC SSSS S ⎛⎫==⨯=⨯= ⎪⎝⎭,即12310S S =.选A . 23.B 【分析】选取向量AB ,AC 为基底,由向量线性运算,求出BE ,即可求得结果. 【详解】13BE AE AB AD AB =-=-,1()2AD AB AC =+ , 5166BE AB AC AB AC λμ∴=-+=+,56λ∴=-,16μ=,23λμ∴+=-.故选:B. 【点睛】本题考查了平面向量的线性运算,平面向量基本定理,属于基础题. 24.D 【分析】由向量夹角的范围可判断A 选项的正误;计算出a b ⋅,利用余弦函数的值域以及已知条件可判断B 选项的正误;利用平面向量模的三角不等式可判断C 选项的正误;计算()()a b a b +⋅-的值可判断D 选项的正误.综合可得出结论.【详解】()cos ,sin a αα=,()cos ,sin b ββ=,则2cos 1a α==,同理可得1b =,a 与b 不共线,则()sin cos cos sin sin 0αβαβαβ-=-≠,则()k k Z αβπ-≠∈.对于A 选项,由题意知,a 与b 的夹角的范围为()0,π,而()R αβ-∈且()k k Z αβπ-≠∈,A 选项错误;对于B 选项,设向量a 与b 的夹角为θ,则0θπ<<,所以,()cos cos 1,1a b a b θθ⋅=⋅=∈-,B 选项错误;对于C 选项,由于a 与b 不共线,由向量模的三角不等式可得2a b a b +<+=,C 选项错误; 对于D 选项,()()22220a b a b a b a b +⋅-=-=-=,所以,()()a b a b +⊥-,D选项正确. 故选:D. 【点睛】本题考查平面向量有关命题真假的判断,涉及平面向量的夹角、数量积与模的计算、向量垂直关系的处理,考查运算求解能力与推理能力,属于中等题. 25.D 【分析】作出图形,过点S 作SE AC ⊥于E ,SH AB ⊥于H ,依题意可求得SE 在BDS ∆中利用正弦定理可求BD 的长,从而可得山顶高BC . 【详解】解:依题意,过S 点作SE AC ⊥于E ,SH AB ⊥于H ,30SAE ∠=︒,1000AS =米,sin30500CD SE AS ∴==︒=米,依题意,在Rt HAS ∆中,453015HAS ∠=︒-︒=︒,sin15HS AS ∴=︒, 在Rt BHS ∆中,30HBS ∠=︒,22000sin15BS HS ∴==︒, 在Rt BSD ∆中,sin75BD BS =︒2000sin15sin75=︒︒2000sin15cos15=︒︒1000sin30=⨯︒500=米, 1000BC BD CD ∴=+=米,故选:D . 【点睛】本题主要考查正弦定理的应用,考查作图与计算的能力,属于中档题.26.无27.A 【分析】根据平面向量的投影的概念,结合向量的数量积的运算公式,列出方程,即可求解. 【详解】由题意,点(),1A a ,()2,1B -,()4,5C , O 为坐标原点, 根据OA 与OB 在OC 方向上的投影相同,则OA OC OB OC OCOC⋅⋅=,即OA OC OB OC ⋅=⋅,可得4152415a +⨯=⨯-⨯,解得12a =-. 故选:A. 【点睛】本题主要考查了平面向量的数量积的坐标运算,以及向量的投影的定义,其中解答中熟记向量投影的定义,以及向量的数量积的运算公式,列出方程是解答的关键,着重考查运算与求解能力. 28.D 【分析】本题考查的知识点是向量的加减法及其几何意义、及零向量,我们根据已知中的图形,结合向量加减法的三角形法则,对题目中的四个结论逐一进行判断,即可得到答案. 【详解】①如图可知AD =AC +CD =AC +12CB =-CA -12BC =-b -12a ,故①正确. ②BE =BC +CE =BC +12CA =a +12b ,故②正确. ③CF =CA +AE =CA +12AB =b +12(-a -b ) =-12a +12b ,故③正确. ④AD +BE +CF =-DA +BE +CF=-(DC +CA )+BE +CF=-(12a +b )+a +12b -12a +12b =0,故④正确. 故选D.【点睛】本题考查的主要知识点是向量加减法及其几何意义,关键是要根据向量加减法及其几何意义,将未知的向量分解为已知向量.29.B【分析】先根据向量的模将||+||m n n +转化为关于||n 的函数,再利用导数求极值,研究单调性,进而得最大值.【详解】()22224419||=1||3m m n m nn m n =+∴+=+⋅+=,,,22n m n +⋅=,()2222=52-m n m m n n n ∴+=++⋅,25||+||m n n n n ∴+=-+, 令()2(05),5x x f x x x n =<≤=-,则()2'125f x x =-,令()'0f x =,得102x =∴当1002x <<时, ()'0f x >,当1052x << ()'0f x <, ∴当10x =时, ()f x取得最大值1010f ⎛⎫= ⎪ ⎪⎝⎭,故选B. 【点睛】 向量的两个作用:①载体作用:关键是利用向量的意义、作用脱去“向量外衣”,转化为我们熟悉的数学问题;②工具作用:利用向量可解决一些垂直、平行、夹角与距离问题. 30.D 【分析】将已知向量关系变为:12333m OA OB OC +=,可得到3m OC OD =且,,A B D 共线;由AOB ABC O S S D CD∆∆=和,OC OD 反向共线,可构造关于m 的方程,求解得到结果. 【详解】 由2OA OB mOC +=得:12333m OA OB OC += 设3m OC OD =,则1233OA OB OD += ,,A B D ∴三点共线 如下图所示:OC 与OD 反向共线 3ODm m CD ∴=- 734AOB ABC OD m m C S S D ∆∆∴==-= 4m ⇒=- 本题正确选项:D【点睛】本题考查向量的线性运算性质及向量的几何意义,关键是通过向量线性运算关系得到三点共线的结果,从而得到向量模长之间的关系.31.C【分析】利用已知条件得到O 为垂心,再根据四边形内角为2π及对顶角相等,得到AOB C π∠=-,再根据数量积的定义、投影的定义、比例关系得到::cos :cos :cos OA OB OC A B C =,进而求出::A B C S S S 的值,最后再结合“奔驰定理”得到答案.【详解】如图,因为OA OB OB OC OC OA ⋅=⋅=⋅,所以()00OB OA OC OB CA ⋅-=⇒⋅=,同理0OA BC ⋅=,0OC AB ⋅=, 所以O 为ABC ∆的垂心。
新课程必修第二册《6.2平面向量的运算》基础检测及答案解析一、判断题:正确的打“√”,错误的打“×”1.实数λ与向量a 的积还是向量.( )2.对于非零向量a ,向量-6a 与向量2a 方向相反.( )3.向量-8a 的模是向量4a 的模的2倍.( )4.若b =λa (a ≠0),则a 与b 方向相同或相反.( )5.若a ∥b ,则存在λ∈R ,使得b =λa .( )[答案] (1)√ (2)√ (3)√ (4)× (5)×二、选择题1.如图所示,在平行四边形ABCD 中,BC →+DC →+BA →=( )①AD →;②DB →;③BC →;④CB →.A .①③B .②④C .①④D .②③答案:A解析:[∵四边形ABCD 为平行四边形,∴BC →=AD →,∴BC →+DC →+BA →=AD →+DC →+BA →=AC →+BA →=BC →.]2.对于任意一个四边形ABCD ,下列式子不能化简为BC →的是( )A .BA →+AD →+DC →B .BD →+DA →+AC → C .AB →+BD →+DC →D .DC →+BA →+AD → 答案:C解析:[在A 中,BA →+AD →+DC →=BD →+DC →=BC →;在B 中,BD →+DA →+AC →=BA →+AC →=BC →;在C 中,AB→+BD →+DC →=AD →+DC →=AC →;在D 中,DC →+BA →+AD →=DC →+BD →=BD →+DC →=BC →.] 3.已知向量a ,b ,且AB →=a +2b ,BC →=-5a +6b ,CD →=7a -2b ,则一定共线的三点是( )A .A ,B ,DB .A ,B ,C C .B ,C ,DD .A ,C ,D答案:A 解析:[AB →+BC →+CD →=a +2b +(-5a +6b )+(7a -2b )=3a +6b =3(a +2b )=AD →=3AB →.所以A ,B ,D 三点共线.]4.如图所示,在平行四边形ABCD 中,下列结论中错误的是( )A.AB →=DC →B.AD →+AB →=AC →C.AB →-AD →=BD →D.AD →+CB →=0 答案:C解析:[A 项显然正确,由平行四边形法则知B 项正确.AB →-AD →=DB →,故C 项错误.D 项中AD →+CB →=AD →+DA →=0.]5.若O ,E ,F 是不共线的任意三点,则以下各式中成立的是( )A.EF →=OF →+OE →B.EF →=OF →-OE →C.EF →=-OF →+OE →D.EF →=-OF →-OE → 答案:B解析:[因为O ,E ,F 三点不共线,所以在△OEF 中,由向量减法的几何意义,得EF →=OF →-OE →,故选B.]6.下列等式错误的是( )A .a +0=0+a =aB.AB →+BC →+AC →=0C.AB →+BA →=0D.CA →+AC →=MN →+NP →+PM →答案: B解析:对于A ,根据0加任何向量都等于原向量,且向量加法满足交换律,所以A 正确;对于B ,根据向量的三角形加法运算可得AB →+BC →=AC →,故原式等于AC →+AC →≠0.故B 错误;对于C ,可知AB →与BA→共线且方向相反,所以AB →+BA →=0,所以C 正确;对于D ,可知MN →+NP →+PM →=MP →+PM →=0,又CA →+AC →=0,可知D 正确.故选B.7.设P 是△ABC 所在平面内一点,且BC →+BA →=BP →+BP →,则( )A.P A →+PB →+PC →=0B.P A →+PB →=0C.PC →+P A →=0D.PB →+PC →=0答案 C8.若|a |=3,|b |=4,a ,b 的夹角为135°,则a ·b =( )A.-3 2B.-6 2C.6 2D.2解析 ∵a ·b =|a ||b |cos 135°=3×4×⎝ ⎛⎭⎪⎫-22=-6 2.答案 B9.已知向量|a |=10,|b |=12,且a ·b =-60,则向量a 与b 的夹角为() A.60° B.120° C.135° D.150°答案 B解析 设a 与b 的夹角为θ,则cos θ=a ·b |a ||b |=-6010×12=-12,又0°≤θ≤180°,∴θ=120°.10.若向量a 与b 的夹角为60°,则向量-a 与-b 的夹角是( )A.60°B.120°C.30°D.150°答案 A解析 向量-a 与-b 的夹角与a 与b 的夹角相等,为60°.11.已知|a |=1,|b |=2,a 与b 的夹角为π3,则a ·b 等于( )A.1B.2C.3D.4答案 A解析 a ·b =1×2×cos π3=1,故选A.12.在等腰直角三角形ABC 中,若∠C =90°,AC =2,则BA→·BC →的值等于( ) A.-2B.2C.-2 2D.22答案 B解析 BA→·BC →=|BA →||BC →|cos ∠ABC =2×2×cos 45°=2. 13.已知|a |=8,|b |=4,a 与b 的夹角为120°,与a 同向的单位向量为e ,则向量b 在a 方向上的投影向量为( )A.4eB.-4eC.2eD.-2e答案 D解析 向量b 在a 方向上的投影向量为|b |cos θ e =4×cos 120°e =-2e .三、填空题1.已知a ,b 为非零向量,则下列命题中真命题的序号是________.①若|a |+|b |=|a +b |,则a 与b 方向相同;②若|a |+|b |=|a -b |,则a 与b 方向相反;③若|a |+|b |=|a -b |,则a 与b 有相等的模;④若||a |-|b ||=|a -b |,则a 与b 方向相同.①②④ [当a ,b 方向相同时有|a |+|b |=|a +b |,||a |-|b ||=|a -b |,当a ,b 方向相反时有||a | -|b ||=|a +b |,|a |+|b |=|a -b |.因此①②④为真命题.]2.在△ABC 中,AB →=a ,BC →=b ,则a +b =________.答案:AC →解析:[a +b =AB →+BC →=AC →.]3.在平行四边形ABCD 中,若|BC →+BA →|=|BC →+AB →|,则四边形ABCD 是________.答案:矩形解析:[由图知|BC →+BA →|=|BD →|.又|BC →+AB →|=|AD →+AB →|=|AC →|,∴|BD →|=|AC →|.∴四边形ABCD 为矩形.]4.若a 等于“向东走8 km ”,b 等于“向北走8 km ”,则|a +b |=________,a +b 的方向是________. 答案 8 2 km 北偏东45°解析 如图所示,设AB →=a ,BC →=b ,则AC →=a +b ,且△ABC 为等腰直角三角形.则|AC →|=82,∠BAC =45°.5.在菱形ABCD 中,∠DAB =60°,|A B →|=1,则|BC →+CD →|=________.答案 1解析 由题意知△ABD 为等边三角形,∴|BC →+CD →|=|BD →|=1.6.若|a |=5,b 与a 的方向相反,且|b |=7,则a =________b .答案:-57 解析:[因为|a |=5,|b |=7,所以|a ||b |=57.又因为b 与a 的方向相反,所以a =-57b .]7.已知a ,b 的夹角为θ,|a |=2,|b |=3.(1)若θ=135°,则a ·b =________;(2)若a ∥b ,则a ·b =________;(3)若a ⊥b ,则a ·b =________.答案 (1)-32 (2)±6 (3)0四、解答题1.化简:(1)CD →+BC →+AB →;(2)AB →+DF →+CD →+BC →+FG →.(3)化简:(AB →-CD →)-(AC →-BD →).解析 因为P 是△ABC 所在平面内一点,BC →+BA →=BP →+BP →,所以P 是AC 的中点,所以PC →+P A →=0.[解] (1)CD →+BC →+AB →=(AB →+BC →)+CD →=AC →+CD →=AD →.(2)AB →+DF →+CD →+BC →+FG →=(AB →+BC →)+(CD →+DF →)+FG →=AC →+CF →+FG →=AF →+FG →=AG →.(3)法一:(AB →-CD →)-(AC →-BD →)=AB →-CD →-AC →+BD →=AB →+DC →+CA →+BD →=(AB →+BD →)+(DC →+CA →)=AD →+DA →=0.法二:(AB →-CD →)-(AC →-BD →)=AB →-CD →-AC →+BD →=(AB →-AC →)+(DC →-DB →)=CB →+BC →=0.2.如图所示,已知AP →=43AB →,用OA →,OB →表示OP →.解析: OP →=OA →+AP →=OA →+43AB →=OA →+43(OB →-OA →)=-13OA →+43OB →.3.如图,在正六边形OABCDE 中,OA →=a ,OE →=b ,试用向量a ,b 将OB →,OC →,OD →表示出来.解 设正六边形的中心为P ,则四边形ABPO ,AOEP ,ABCP ,OPDE 均为平行四边形,由向量加法的平行四边形法则得OP →=OA →+OE →=a +b . ∵AB →=OP →=ED →,∴AB →=ED →=a +b .在△AOB 中,根据向量加法的三角形法则得OB →=OA →+AB →=a +a +b . 同理,在△OBC 中,OC →=OB →+BC →=a +a +b +b ,在△OED 中,OD →=OE →+ED →=OE →+OP →=b +a +b .4.如图所示,设O 为正六边形ABCDEF 的中心,求下列向量:(1)OA →+OC →;(2)BC →+FE →.[解] (1)由题图可知,四边形OABC 为平行四边形.由向量加法的平行四边形法则,得OA →+OC →=OB →.(2)由题图可知,BC →=FE →=OD →=AO →,∴BC →+FE →=AO →+OD →=AD →.5.如图,在边长为1的菱形ABCD 中,∠ABC =60°,求(1)AB→·AC →;(2)AB →·AD →;(3)BC →·AC →. 解 (1)由菱形的性质知,∠BAD =120°,∠BAC =60°,∠ACB =60°. ∴△ABC 为等边三角形.∴AB →·AC →=|AB →||AC →|cos 60°=1×1×12=12. (2)∵AB→与AD →的夹角为120°, ∴AB →·AD →=|AB →||AD →|cos 120°=1×1×⎝ ⎛⎭⎪⎫-12=-12. (3)∵BC →与AC →的夹角为60°,∴BC →·AC →=|BC →||AC →|cos 60°=1×1×12=12.。
含解析高中数学《平面向量》专题训练30题(精)含解析高中数学《平面向量》专题训练30题(精)1.已知向量.(1)若,求x的值;(2)记,求函数y=f(x)的最大值和最小值及对应的x的值.【答案】(1)(2)时,取到最大值3;时,取到最小值.【解析】【分析】(1)根据,利用向量平行的充要条件建立等式,即可求x的值.(2)根据求解求函数y=f(x)解析式,化简,结合三角函数的性质即可求解最大值和最小值及对应的x的值.【详解】解:(1)∵向量.由,可得:,即,∵x∈[0,π]∴.(2)由∵x∈[0,π],∴∴当时,即x=0时f(x)max=3;当,即时.【点睛】本题主要考查向量的坐标运用以及三角函数的图象和性质,利用三角函数公式将函数进行化简是解决本题的关键.2.已知中,点在线段上,且,延长到,使.设.(1)用表示向量;(2)若向量与共线,求的值.【答案】(1),;(2)【解析】【分析】(1)由向量的线性运算,即可得出结果;(2)先由(1)得,再由与共线,设,列出方程组求解即可.【详解】解:(1)为BC的中点,,可得,而(2)由(1)得,与共线,设即,根据平面向量基本定理,得解之得,.【点睛】本题主要考查向量的线性运算,以及平面向量的基本定理,熟记定理即可,属于常考题型.3.(1)已知平面向量、,其中,若,且,求向量的坐标表示;(2)已知平面向量、满足,,与的夹角为,且(+)(),求的值.【答案】(1)或;(2)【解析】【分析】(1)设,根据题意可得出关于实数、的方程组,可求得这两个未知数的值,由此可得出平面向量的坐标;(2)利用向量数量积为零表示向量垂直,化简并代入求值,可解得的值.【详解】(1)设,由,可得,由题意可得,解得或.因此,或;(2),化简得,即,解得4.已知向量,向量.(1)求向量的坐标;(2)当为何值时,向量与向量共线.【答案】(1)(2)【解析】【详解】试题分析:(1)根据向量坐标运算公式计算;(2)求出的坐标,根据向量共线与坐标的关系列方程解出k;试题解析:(1)(2),∵与共线,∴∴5.已知向量与的夹角,且,.(1)求,;(2)求与的夹角的余弦值.【答案】(1),;(2).【解析】【分析】(1)利用平面向量数量积的定义可计算得出的值,利用平面向量数量积的运算性质计算得出的值;(2)计算出的值,利用平面向量夹角的余弦公式可求得与的夹角的余弦值.【详解】(1)由已知,得,;(2)设与的夹角为,则,因此,与的夹角的余弦值为.6.设向量,,记(1)求函数的单调递减区间;(2)求函数在上的值域.【答案】(1);(2).【解析】【详解】分析:(1)利用向量的数量积的坐标运算式,求得函数解析式,利用整体角的思维求得对应的函数的单调减区间;(2)结合题中所给的自变量的取值范围,求得整体角的取值范围,结合三角函数的性质求得结果.详解:(1)依题意,得.由,解得故函数的单调递减区间是.(2)由(1)知,当时,得,所以,所以,所以在上的值域为.点睛:该题考查的是有关向量的数量积的坐标运算式,三角函数的单调区间,三角函数在给定区间上的值域问题,在解题的过程中一是需要正确使用公式,二是用到整体角思维.7.在中,内角,,的对边分别是,,,已知,点是的中点.(Ⅰ)求的值;(Ⅱ)若,求中线的最大值.【答案】(Ⅰ);(Ⅱ).【解析】【分析】(1)由正弦定理,已知条件等式化边为角,结合两角和的正弦公式,可求解;(2)根据余弦定理求出边的不等量关系,再用余弦定理把用表示,即可求解;或用向量关系把用表示,转化为求的最值.【详解】(Ⅰ)由已知及正弦定理得.又,且,∴,即.(Ⅱ)方法一:在中,由余弦定理得,∵,当且仅当时取等号,∴.∵是边上的中线,∴在和中,由余弦定理得,,①.②由①②,得,当且仅当时,取最大值.方法二:在中,由余弦定理得,∵,当且仅当时取等号,∴.∵是边上的中线,∴,两边平方得,∴,当且仅当时,取最大值.【点睛】本题考查正弦定理、余弦定理在三角形中应用,考查基本不等式和向量的模长公式的灵活运用,是一道综合题.8.已知平面向量,.(1)若,求的值;(2)若,与共线,求实数m的值.【答案】(1);(2)4.【解析】(1)求出,即可由坐标计算出模;(2)求出,再由共线列出式子即可计算.【详解】(1),所以;(2),因为与共线,所以,解得m=4.9.已知向量.(Ⅰ)若,求的值;(Ⅱ)若,求向量与夹角的大小.【答案】(Ⅰ);(Ⅱ).【解析】【分析】(Ⅰ)首先求出的坐标,再根据,可得,即可求出,再根据向量模的坐标表示计算可得;(Ⅱ)首先求出的坐标,再根据计算可得;【详解】解:(Ⅰ)因为,所以,由,可得,即,解得,即,所以;(Ⅱ)依题意,可得,即,所以,因为,所以与的夹角大小是.10.如图,在中,,,,,.(1)求的长;(2)求的值.【答案】(1);(2).【解析】(1)将用和表示,利用平面向量数量积的运算律和定义计算出的值,即可得出的长;(2)将利用和表示,然后利用平面向量数量积的运算律和定义计算出的值.【详解】(1),,,,,,.;(2),,,.【点睛】本题考查平面向量模与数量积的计算,解题的关键就是选择合适的基底将题中所涉及的向量表示出来,考查计算能力,属于中等题.11.如图所示,在中,,,,分别为线段,上一点,且,,和相交于点.(1)用向量,表示;(2)假设,用向量,表示并求出的值.【答案】(1);(2),.【解析】【分析】(1)把放在中,利用向量加法的三角形法则即可;(2)把,作为基底,表示出,利用求出.【详解】解:由题意得,,所以,(1)因为,,所以.(2)由(1)知,而而因为与不共线,由平面向量基本定理得解得所以,即为所求.【点睛】在几何图形中进行向量运算:(1)构造向量加、减法的三角形法则和平行四边形法则;(2)树立“基底”意识,利用基向量进行线性运算.12.已知向量与的夹角为,且,.(1)若与共线,求k;(2)求,;(3)求与的夹角的余弦值【答案】(1);(2),;(3).【解析】【分析】(1)利用向量共线定理即可求解.(2)利用向量数量积的定义:可得数量积,再将平方可求模.(3)利用向量数量积即可夹角余弦值.【详解】(1)若与共线,则存在,使得即,又因为向量与不共线,所以,解得,所以.(2),,(3).13.已知.(1)当为何值时,与共线(2)当为何值时,与垂直?(3)当为何值时,与的夹角为锐角?【答案】(1);(2);(3)且.【解析】【分析】(1)利用向量共线的坐标表示:即可求解.(2)利用向量垂直的坐标表示:即可求解.(3)利用向量数量积的坐标表示,只需且不共线即可求解.【详解】解:(1).与平行,,解得.(2)与垂直,,即,(3)由题意可得且不共线,解得且.14.如图,在菱形ABCD中,,.(1)若,求的值;(2)若,,求.(3)若菱形ABCD的边长为6,求的取值范围.【答案】(1);(2);(3).【解析】【分析】(1)由向量线性运算即可求得值;(2)先化,再结合(1)中关系即可求解;(3)由于,,即可得,根据余弦值范围即可求得结果.【详解】解:(1)因为,,所以,所以,,故.(2)∵,∴∵ABCD为菱形∴∴,即.(3)因为,所以∴的取值范围:.【点睛】(1)应用平面向量基本定理表示向量的实质是利用平行四边形法则或三角形法则进行向量的加、减或数乘运算;(2)用向量基本定理解决问题的一般思路是:先选择一组基底,并运用该基底将条件和结论表示成向量的形式,再通过向量的运算来解决.15.已知,,与夹角是.(1)求的值及的值;(2)当为何值时,?【答案】(1);(2)【解析】【分析】(1)利用数量积定义及其向量的运算性质,即可求解;(2)由于,可得,利用向量的数量积的运算公式,即可求解.【详解】(1)由向量的数量积的运算公式,可得,.(2)因为,所以,整理得,解得.即当值时,.【点睛】本题主要考查了数量积定义及其运算性质、向量垂直与数量积的关系,其中解答中熟记向量的数量积的运算公式,以及向量垂直的坐标运算是解答的关键,着重考查了推理能力与计算能力,属于中档题.16.设向量(I)若(II)设函数【答案】(I)(II)【解析】【详解】(1)由=(sinx)2+(sinx)2=4sin2x,=(cosx)2+(sinx)2=1,及,得4sin2x=1.又x∈,从而sinx=,所以x=.(2)sinx·cosx+sin2x=sin2x-cos2x+=sin+,当x∈时,-≤2x-≤π,∴当2x-=时,即x=时,sin取最大值 1.所以f(x)的最大值为.17.化简.(1).(2).【答案】(1);(2).【解析】(1)利用平面向量加法的三角形法则化简可得所求代数式的结果;(2)利用平面向量加法的三角形法则化简可得所求代数式的结果.【详解】(1);(2).18.已知点,,,是原点.(1)若点三点共线,求与满足的关系式;(2)若的面积等于3,且,求向量.【答案】(1)(2)或【解析】【分析】(1)由题意结合三点共线的充分必要条件确定m,n满足的关系式即可;(2)由题意首先求得n的值,然后求解m的值即可确定向量的坐标.【详解】(1),,由点A,B,C三点共线,知∥,所以,即;(2)由△AOC的面积是3,得,,由,得,所以,即,当时,,?解得或,当时,,方程没有实数根,所以或.【点睛】本题主要考查三点共线的充分必要条件,向量垂直的充分必要条件等知识,意在考查学生的转化能力和计算求解能力.19.如图,在直角梯形中,为上靠近B的三等分点,交于为线段上的一个动点.(1)用和表示;(2)求;(3)设,求的取值范围.【答案】(1);(2)3;(3).【解析】【分析】(1)根据给定条件及几何图形,利用平面向量的线性运算求解而得;(2)选定一组基向量,将由这一组基向量的唯一表示出而得解;(3)由动点P设出,结合平面向量基本定理,建立为x的函数求解.【详解】(1)依题意,,,;(2)因交于D,由(1)知,由共起点的三向量终点共线的充要条件知,,则,,;(3)由已知,因P是线段BC上动点,则令,,又不共线,则有,,在上递增,所以,故的取值范围是.【点睛】由不共线的两个向量为一组基底,用该基底把相关条件和结论表示成向量的形式,再通过向量的运算来解决.20.设向量满足,且.(1)求与的夹角;(2)求的大小.【答案】(1);(2)【解析】【分析】(1)由已知得,展开求得,结合夹角公式即可求解;(2)由化简即可求解.【详解】(1)设与的夹角为θ由已知得,即,因此,得,于是,故θ=,即与的夹角为;(2)由.21.已知,,(t∈R),O是坐标原点.(1)若点A,B,M三点共线,求t的值;(2)当t取何值时,取到最小值?并求出最小值.【答案】(1)t;(2)当t时,?的最小值为.【解析】【分析】(1)求出向量的坐标,由三点共线知与共线,即可求解t的值.(2)运用坐标求数量积,转化为函数求最值.【详解】(1),,∵A,B,M三点共线,∴与共线,即,∴,解得:t.(2),,,∴当t时,?取得最小值.【点睛】关键点点睛:(1)由三点共线,则由它们中任意两点构成的向量都共线,求参数值.(2)利用向量的数量积的坐标公式得到关于参数的函数,即可求最值及对应参数值.22.设向量,,.(1)求;(2)若,,求的值;(3)若,,,求证:A,,三点共线.【答案】(1) 1(2)2(3)证明见解析【解析】【分析】(1)先求,进而求;(2)列出方程组,求出,进而求出;(3)求出,从而得到,得到结果.(1),;(2),所以,解得:,所以;(3)因为,所以,所以A,,三点共线.23.在平面直角坐标系中,已知,.(Ⅰ)若,求实数的值;(Ⅱ)若,求实数的值.【答案】(Ⅰ);(Ⅱ).【解析】(Ⅰ)求出向量和的坐标,然后利用共线向量的坐标表示得出关于的方程,解出即可;(Ⅱ)由得出,利用向量数量积的坐标运算可得出关于实数的方程,解出即可.【详解】(Ⅰ),,,,,,解得;(Ⅱ),,,解得.【点睛】本题考查平面向量的坐标运算,考查利用共线向量和向量垂直求参数,考查计算能力,属于基础题.24.在中,,,,点,在边上且,.(1)若,求的长;(2)若,求的值.【答案】(1);(2).【解析】【分析】(1)先设,,根据题意,求出,,再由向量模的计算公式,即可得出结果;(2)先由题意,得到,,再由向量数量积的运算法则,以及题中条件,得到,即可求出结果.【详解】(1)设,,则,,因此,所以,,(2)因为,所以,同理可得,,所以,∴,即,同除以可得,.【点睛】本题主要考查用向量的方法求线段长,考查由向量数量积求参数,熟记平面向量基本定理,以及向量数量积的运算法则即可,属于常考题型.25.已知向量,,,且.(1)求,;(2)求与的夹角及与的夹角.【答案】(1),;(2),.【解析】【分析】(1)由、,结合平面向量数量积的运算即可得解;(2)记与的夹角为,与的夹角为,由平面向量数量积的定义可得、,即可得解.【详解】(1)因为向量,,,且,所以,所以,又,所以;(2)记与的夹角为,与的夹角为,则,所以.,所以.【点睛】本题考查了平面向量数量积的运算与应用,考查了运算求解能力,属于基础题.26.平面内给定三个向量,,.(1)求满足的实数,;(2)若,求实数的值.【答案】(1),;(2).【解析】【分析】(1)依题意求出的坐标,再根据向量相等得到方程组,解得即可;(2)首先求出与的坐标,再根据向量共线的坐标表示计算可得;【详解】解:(1)因为,,,且,,,,.,解得,.(2),,,.,,,.,解得.27.如图,已知中,为的中点,,交于点,设,.(1)用分别表示向量,;(2)若,求实数t的值.【答案】(1),;(2).【解析】(1)根据向量线性运算,结合线段关系,即可用分别表示向量,;(2)用分别表示向量,,由平面向量共线基本定理,即可求得t的值.【详解】(1)由题意,为的中点,,可得,,.∵,∴,∴(2)∵,∴∵,,共线,由平面向量共线基本定理可知满足,解得.【点睛】本题考查了平面向量的线性运算,平面向量共线基本定理的应用,属于基础题.28.已知,向量,.(1)若向量与平行,求k的值;(2)若向量与的夹角为钝角,求k的取值范围【答案】(1)或;(2).【解析】(1)利用向量平行的坐标表示列式计算即得结果;(2)利用,且不共线,列式计算即得结果.【详解】解:(1)依题意,,,又,得,即解得或;(2)与的夹角为钝角,则,即,即,解得或.由(1)知,当时,与平行,舍去,所以.【点睛】思路点睛:两向量夹角为锐角(或钝角)的等价条件:(1)两向量夹角为锐角,等价于,且不共线;(2)两向量夹角为钝角,等价于,且不共线.29.已知.(1)若,求的值;(2)若,求向量在向量方向上的投影.【答案】(1)(2)【解析】【分析】(1)先得到,根据可得,即可求出m;(2)根据求出m=2,再根据求在向量方向上的投影.【详解】;;;;;;;在向量方向上的投影为.【点睛】本题主要考查了向量坐标的加法和数量积的运算,向量垂直的充要条件及向量投影的计算公式,属于中档题.30.平面内给定三个向量.(1)求;(2)求满足的实数m和n;(3)若,求实数k.【答案】(1)6;(2);(3).【解析】(1)利用向量加法的坐标运算得到,再求模长即可;(2)先写的坐标,再根据使对应横纵坐标相等列方程组,解方程组即得结果;(3)利用向量垂直则数量积为零,再利用数量积的坐标运算列关系求出参数即可.【详解】解:(1)由,得,;(2),,,,故,解得;(3),,,,,,即,解得.【点睛】结论点睛:若,则等价于;等价于.试卷第1页,共3页试卷第1页,共3页。
基础测试(一)选择题(第题4分,共24分)1.计算BA++等于().DBAC+CD(A)0 (B)0(C)2DB(D)2 AC【提示】+=(CDAC+)+(BABA+AC+CDDBAD+=0.DB+)=DA【答案】(B).【点评】本题考查向量的加法及运算律,相反向量,零向量的表示方法.2.若向量a=(3,2),b=(0,-1),则向量2b-a的坐标是().(A)(3,-4)(B)(-3,4)(C)(3,4)(D)(-3,-4)【提示】2b-a=2(0,-1)-(3,2)=(-3,-4).【答案】(D).【点评】本题考查向量的坐标运算.3.下列各组向量中,共线的是().(A)a=(-2,3),b=(4,6)(B)a=(1,-2),b=(7,14)(C)a=(2,3),b=(3,2)(D)a=(-3,2),b=(6,-4)【提示】若a=(x,y),b=(x2,y2),则a与b共线的充要条件是x1 y2-x2 y1 =0.这里(-3)×(-4)-2×6=0.故选(D).【答案】(D).【点评】本题以坐标的形式考查向量共线的充要条件.对于(A),(-2)×6-3×4=-24≠0,排除(A);对于(B),1×14-(-2)×7=28≠0,排除(B);对于(C),2×2-3×3=-5≠0,排除(C).4.平面上有三个点A (1,3),B (2,2),C (7,x ),若∠ABC =90°,则x 的值为( ).(A )5 (B )6 (C )7 (D )8 【提示】∠ABC =90°,即AB ⊥BC ,因AB =(1,-1),BC =(5,x -2),得1×5+(-1)×(x -2)=0,解出x =7. 【答案】(C ).【点评】本题考查向量的坐标运算及向量垂直的充要条件.5.设s 、t 为非零实数,a 与b 均为单位向量时,若|s a +t b |=|t a -s b |,则a 与b 的夹角θ 的大小为( ).(A )30° (B )45° (C )60° (D )90° 【提示】由|s a +t b |=|t a -s b |,得s 2a 2+t 2b 2+2 st a · b =t 2a 2+s 2b 2-2 st a b . 又a 、b 均为单位向量,|a |=1,|b |=1, 即a 2=1,b 2=1.∴ 4 s t a ·b =0,有|a |·|b |cos θ =0,得cos θ =0.∴ θ =90°. 【答案】(D ).【点评】本题主要考查平面向量的数量积及运算律.6.如图,D 、C 、B 三点在地面同一条直线上,从C 、D 两点测得A 点仰角分别为α、β, (α >β),则A 点距地面高度AB 等于( ).(A ))sin(cos sin βαβα-m (B ))cos(cos sin βαβα-m(C ))sin(cos cos βαβα-m (D ))cos(cos cos βαβα-m【提示】在△ACD 由正弦定理,得AC =)(sin sin βαβ-s m ,再在直角三角形中求AB .【答案】(A ).【点评】本题主要考查应用正弦定理解三角形的有关知识.(二)填空题(每题4分,共20分)1.已知向量a =(1,2),b =(3,1),那么向量2a -21b 的坐标是_________.【提示】 2a -21b=2(1,2)-21(3,1)=(2,4)-(23,21)=(2-23,4-21)=(21,321). 【答案】(21,321).【点评】本题考查平面向量的坐标运算.2.已知A (-1,2),B (2,4),C (4,-3),D (x ,1),若AB 与CD 共线,则|BD |的值等于________.【提示】由AB 与CD 共线,先得x =10,再求|BD |的长. 【答案】73.【点评】本题考查向量的模、向量的坐标运算及向量共线的充要条件.3.已知点P 1(1,2),P 2(-2,1),直线P 1P 2与x 轴相交于点P ,则点P 分21P P 所成的比λ 的值为_____.【提示】由直线P 1P 2与x 轴相交于点P ,得点P 的纵坐标为0,于是0=λλ+⨯+112,即λ =-2.【答案】-2.【点评】本题考查线段的定比分点的坐标公式.4.将点A (2,4)按向量a =(-5,-2)平移后,所得到的对应点A ′的坐标是______. 【提示】由已知,x =2,y =4,h =-5,k =-2,代入平移公式⎩⎨⎧+='+='ky y h x x ,得x ′=-3,y ′=2. 【答案】(-3,2).【点评】本题考查点的平移公式.主要应分清平移前后点的坐标.5.在△ABC 中,已知a =2,b =22,c =6+2.则这个三角形的最小角的度数是___________. 【提示】先由已知条件判断△ABC 三条边中的最短的边,它所对的角便是该三角形的最小角.由于c >b >a ,则a 对的角A 为最小.利用余弦定理,得cos A =bcac b 2222-+=)26(2222)26()22(222+⨯⨯-++=23,∴ A =30°. 【答案】30°.【点评】本题主要考查应用余弦定理解决三角形的有关问题.(三)解答题(每题14分,共56分)1.设平面三点A (1,0),B (0,1),C (2,5).(1)试求向量2AB +AC 的模; (2)试求向量AB 与AC 的夹角; (3)试求与BC 垂直的单位向量的坐标. 【提示】AB 、AC 的坐标为终点坐标与始点坐标的差,求出AB 、AC 的坐标后,可得2AB +AC 的坐标,(1)可解,对于(2),可先求AB 、AC 的值,代入 cos θ ,即可;对于(3),设所求向量的坐标为(x ,y ),根据题意,可得关于x 、y 的二元方程组,解出x ,y . 【答案】(1)∵ AB =(0-1,1-0)=(-1,1),AC =(2-1,5-0)=(1,5). ∴ 2AB +AC =2(-1,1)+(1,5)=(-1,7). ∴ |2AB +AC |=227)1(+-=50. (2)∵ |AB |=221)1(+-=2.|AC |=2251+=26,AB ·AC =(-1)×1+1×5=4. ∴ cos θ AC AB ⋅=2624⋅=13132.(3)设所求向量为m =(x ,y ),则 x 2+y 2=1. ①又 BC =(2-0,5-1)=(2,4),由BC ⊥m ,得 2 x +4 y =0. ②由①、②,得⎪⎪⎩⎪⎪⎨⎧-==.55552y x 或⎪⎪⎩⎪⎪⎨⎧==.-55552y x∴ (552,-55)或(-552,55)即为所求.【点评】本题考查向量的模,向量的坐标运算、向量的数量积,向量垂直的充要条件以及运算能力.2.如图,已知AB =DC =a ,BC =b ,且|a |=|b |.(1)用a ,b 表示AD ,AO ,OB ; (2)求AC ·BD .【提示】由AB =DC ,可判定四边形ABCD 为平行四边形,于是利用平行四边形的性质.可求AD ,AO ,OB .又AC =AB +BC .BD =AD -AB ,AD =BC 利用数量积的运算性质及已知条件|a |=|b |.可求AC ·BD . 【答案】(1)∵ AB =DC ,∴ 四边形ABCD 为平行四边形. ∴ AD =BC =b .∴ AC =AB +BC =a +b ,BD =AD -AB =b -a , 而 AO =21AC ,OB =-21BD ,∴ AO =21a +21b ,OB =21a -21b .(2)∵ AC =a +b ,BD =b -a ,∴ AC ·BD =(b +a )(b -a ) =b 2-a 2=|b |2-|a |2=0.【点评】本题考查平面向量的加减法,基本定理、数量积及运算律.解题时注意结合平面图形的几何特征,寻求向量之间的联系.由题目的条件及结论可知,四边形ABCD 为菱形. 3.一只船按照北偏西30°方向,以36海里/小时的速度航行,一灯塔M 在船北偏东15°,经40分钟后,灯塔在船北偏东45°.求船与灯塔原来的距离. 【提示】先画船航行的示意图,将题目的已知条件分别与三角形内的边、角对应起来,从而确定三角形内的边角关系,运用正弦定理或余弦定理解决.【答案】如图,设船原来的位置为A ,40分钟后的位置为B ,则AB =36×32=24(海里).在△ABM 中,∠BAM =30°+15°=45°. ∠ABM =180°-(45°+30°)=105°,∴ ∠AMB =180°-(∠ABM +∠BAM )=30°. 由正弦定理,得 AM =AMB AB ∠sin · sin ∠ABM=︒30sin 24· sin 105°=12(2+6)(海里).答:船与灯塔原来的距离为12(2+6)海里. 【点评】本题考查解斜三角形的应用问题.关键是画出示意图(这里必须弄清方位角的概念),建立数学模型,将实际问题转化为解斜三角形的问题.4.在□ABCD 中,对角线AC =65,BD =17,周长为18,求这个平行四边形的面积. 【提示一】要求得平行四边形的面积,须知两条邻边及它的夹角.由周长为18,知两条邻边的和为9,可据两条已知的对角线,利用余弦定理求得两条邻边及夹角. 【提示二】在△AOB 和△BOC 中利用余弦定理求解.【解法一】如图,在□ABCD 中,设AB =x ,则BC =9-x ,在△ABC 中,据余弦定理,得 AC 2=AB 2+BC 2-2 AB BC cos ABC . 在△ABD 中,据余弦定理,得 BD 2=AB 2+AD 2-2 AB · AD cos DAB .由已知 AC =65,BD =17,∠DAB +∠ABC =180°,BC =AD . 故角 65=x 2 +(9-x ) 2-2 AB BC cos ABC , 17=x 2 +(9-x 2)+2 AB BC cos ABC , 二式相加,得 82=4 x 2-36 x +162 即 x 2-9 x +20=0 解得 x =4,或x =5, 在△ADB 中,由余弦定理,得 cos ∠DAB =ABAD BDAB AD ⋅-+2222=542175422⨯⨯-+=53.∴ s in ∠DAB =54.∴ sin □ABCD =AB · AD s in DAB=4×5×54=16.【解法二】在△AOB 和△BOC 中,由余弦定理,得AB 2=OA 2+OB 2-2 OA · OB cos ∠AOB , BC 2=OC 2+OB 2-2 OC · OB cos ∠BOC , 可设 AB =x ,则BC =9-x , 而OA =OC =21AC ,OB =21BD ,∠AOB +∠BOC =180°,代入后化简,可求得 x =4或x =5.在△ADB 中,由余弦定理,得 cos ∠DAB =ABAD BDAB AD ⋅-+2222=542175422⨯⨯-+=53.∴ s in ∠DAB =54.∴ sin □ABCD =AB · AD s in DAB=4×5×54=16.【点评】本题考查余弦定理的灵活运用.3.如图,某观测站C 在城A 的南偏西20°方向上,从城A 出发有一条出路,走向是南偏东40°,在C 处测得距C 处31千米的公路上的B 处有一人正沿着公路向城A 走去.走20千米后到达D 处.测得CD =21千米,这时此人距城A 多少千米.【提示】要求AD 的长,在△ACD 中,应用正弦定理,只需求∠ACD ,而∠CDB 是△ACD 的一个外角,∠CAD 已知,故只需求∠CDB ,在△CDB 中,已知两边,可利用余弦定理求角.【答案】由已知,在△CDB 中,CD =21,DB =20,BC =31,据余弦定理,有 cos ∠CDB =DBCD BCDBCD⋅-+2222=-71.∴ sin ∠CDB =CDB 2cos 1-=374.在△ACD 中,∠CAD =20°+40°=60°, ∴ ∠ACD =∠CDB -∠CAD =∠CDB -60°. ∴ sin ∠ACD =sin (∠CDB -60°)=sin ∠CDB cos 60°-cos ∠CDB sin 60° =374×21-(-71)×23=1435.由正弦定理,得 AD =CADCD ∠sin · sin ∠ACD =15(千米).答:此人距A 城15千米. 【点评】本题结合三角函数的知识,主要考查了正弦、余弦定理的应用.解此类应用问题的关键是正确理解题意,建立数学模型,将实际问题转化为解斜三角形的问题,再根据正弦、余弦定理予以解决.4.已知平面向量a =(7,9),若向量x 、y 满足2x +y =a ,x ⊥y ,|x |=|y |,求x 、y 的坐标.【提示】设x =(x 1,x 2),y =(y 1,y 2),由已知,可以得到含有x 1,x 2,y 1,y 2的四个关系式,建立方程组,解之即可. 【答案】设x =(x 1,x 2),y =(y 1,y 2).由2x +y =a ,得 2(x 1,x 2)+(y 1,y 2)=(7,9), 即⎩⎨⎧=+=+)2(92)1(722211y x y x 由x ⊥y ,得x 1y 1+x 2y 2=0. ③ 由 |x |=|y |,得 x 12+x 22=y 12+y 22=0. ④ 将(1)式化为 y 1=7-2 x 1,(2)式化为 y 2=9-2 x 2, 代入③式,得 x 1(7-2 x 1)+x 2(9-2 x 2)=0, 即 2(x 12+x 22)=7 x 1+9 x 2, ⑤ 代入④式,得 x 12+x 22=(7-2 x 1) 2 +(9-2 x 2) 2, 即 3(x 12+x 22)=28 x 1+36 x 2-130. ⑥ 由⑤、⑥,得⎩⎨⎧=+=+.529726212221x x x x 解之得,⎪⎪⎩⎪⎪⎨⎧==51152321x x 或⎩⎨⎧==.5121x x 分别代入(1)、(2),得⎪⎪⎩⎪⎪⎨⎧=-=52351121y y 或⎩⎨⎧-==.1521y y ∴ x =(523,511),y =(-511,523).或 x =(1,5),y =(5,-1)即为所求.【点评】本题考查向量的坐标运算,向量垂直的充要条件,两点间距离公式及运算能力.。
平面向量小题基础练-新高考数学复习分层训练(新高考通用)一、单选题1.(2023·江苏泰州·统考一模)已知向量,a b 满足2π1,2,,3a b a b ==<>= ,则()a ab ⋅+= ()A .-2B .-1C .0D .22.(2023·湖北·荆州中学校联考二模)已知向量()3,4m =- ,()12,5n =- ,则m n n ⋅+=()A .56-B .69C .43-D .433.(2023·江苏·二模)在ABC 所在平面内,D 是BC 延长线上一点且4BD CD =,E 是AB 的中点,设AB a =,AC b = ,则ED = ()A .1455a b + B .3144a b + C .5463a b -+ D .5564a b -+ 4.(2023·江苏泰州·泰州中学校考一模)已知平面单位向量a ,b ,c 满足2π,,,3a b b c c a 〈〉=〈〉=〈〉=r r r r r r ,则32a b c ++=r r r ()A .0B .1CD 5.(2023·江苏南通·统考模拟预测)若向量,a b 满足||||||a b a b +=+ ,则向量,a b 一定满足的关系为()A .0a =B .存在实数λ,使得a bλ= C .存在实数,m n ,使得ma nb= D .||||||a b a b -=- 6.(2023·湖北武汉·统考模拟预测)平面向量()()2,,2,4a k b =-= ,若a b ⊥ ,则a b -=r r ()A .6B .5C .D .7.(2023·湖南邵阳·统考二模)已知向量()1,3a = ,()1,1b =- ,()4,5c = .若a 与b cλ+ 垂直,则实数λ的值为()A .219B .411C .2D .47-8.(2023·湖南·模拟预测)如图,在平行四边形ABCD 中,AB a =,AD b = ,若23AE AC = ,则DE = ()A .1233a b -B .2133a b -C .1233a b +D .2133a b + 9.(2023·湖南常德·统考一模)已知向量a 为单位向量,向量()1,1b = ,()()21a b a b +⋅-= ,则向量a 与向量b 的夹角为()A .π6B .π4C .π3D .π210.(2023·广东佛山·统考一模)已知单位向量a ,b 满足0a b ⋅= ,若向量c a = ,则cos ,a c = ()A B .12C D .1411.(2023·广东深圳·统考一模)已知a ,b 为单位向量,且357a b -= ,则a 与a b - 的夹角为()A .π3B .2π3C .π6D .5π612.(2023·广东茂名·统考一模)在ABC 中,AB c = ,AC b = ,若点M 满足2MC BM =uuu r uuu r ,则AM = ()A .1233b c + B .2133b c - C .5233c b - D .2133b c + 13.(2023·广东湛江·统考一模)在平行四边形ABCD 中,E 为边BC 的中点,记AC a = ,DB b = ,则AE = ()A .1124a b - B .2133a b + C .12a b + D .3144a b + 14.(2023·浙江金华·浙江金华第一中学校考模拟预测)若向量(),2a x = ,()1,2b =- ,且a b ⊥ ,则a = ()A .B .4C .D .15.(2023·浙江·校联考模拟预测)已知向量,a b 满足||1a = ,||3b = ,(3,1)a b -= ,则|3|a b -= ()A .B C .D .16.(2023·浙江嘉兴·统考模拟预测)等边ABC 的边长为3,若2AD DC = ,BF FD = ,则AF = ()A .2B .2C .2D .217.(2023·江苏南通·二模)在平行四边形ABCD 中,12BE BC = ,13AF AE = .若AB mDF nAE =+ ,则m n +=()A .12B .34C .56D .43二、填空题18.(2023·湖北·校联考模拟预测)已知向量(2,4),(,1)m n x =-=- ,若m n ∥,则x =__________.19.(2023·湖北·统考模拟预测)已知()4,2a = ,()1,1b = ,则a 在b 方向上的投影向量的坐标为__________.20.(2023·湖南湘潭·统考二模)已知向量(,2),(1,3)a m b =-= ,若()a b b -⊥ ,则m =__________.21.(2023·广东惠州·统考模拟预测)已知平面向量(2,4)a =- ,(,1)b λ= ,若a 与b 垂直,则实数λ=__________.22.(2023·广东广州·统考一模)已知向量()()1,2,3,,a b x a == 与a b + 共线,则a b -=r r __________.23.(2023·浙江·校联考模拟预测)已知向量(4,),(3,1)a m m b =+= ,且//a b r r ,则m =______.24.(2023·浙江温州·统考二模)已知向量()()1,2,2,a b λ== ,若()()a b a b +- ∥,则λ=__________.25.(2023·江苏·统考一模)在ABC 中,已知2BD DC = ,CE EA = ,BE 与AD 交于点O .若CO xCB yCA =+(),R x y ∈,则x y +=________.26.(2023·江苏·统考一模)已知向量a ,b 满足2a = ,3b = ,0a b ⋅= .设2c b a =- ,则cos ,a c = ___________.27.(2023·山东·烟台二中校联考模拟预测)已知1e ,2e是夹角为120°的单位向量,若1223m e e =+ ,124n e e =- ,则m ,n 的夹角为__________.28.(2023·山东济宁·统考一模)已知平面向量()1,2a =- ,(),3b m =- ,若2a b + 与a 共线,则m =______.29.(2023·湖南张家界·统考二模)已知a 是单位向量,()1,1b =- ,若向量a 与向量b 夹角π0,4α⎛⎫∈ ⎪⎝⎭,写出一个满足上述条件的向量a ______.30.(2023·广东·统考一模)已知向量,a b 满足()2,4,0a b b a a ==-⋅= ,则a 与b 的夹角为___________.。
高中数学平面向量习题五篇篇一:高中数学平面向量练习题一.填空题。
1. +++等于________.2.若向量=(3,2),=(0,-1),则向量2-的坐标是________. 3.平面上有三个点A (1,3),B (2,2),C (7,x ),若∠ABC =90°,则x 的值为________.4.向量a 、b 满足|a|=1,|b|=2,(a+b)⊥(2a-b),则向量a 与b 的夹角为________.5.已知向量=(1,2),=(3,1),那么向量2-21的坐标是_________. 6.已知A (-1,2),B (2,4),C (4,-3),D (x ,1),若与共线,则||的值等于________.7.将点A (2,4)按向量=(-5,-2)平移后,所得到的对应点A ′的坐标是______.8. 已知a=(1,-2),b=(1,x),若a ⊥b,则x 等于______9. 已知向量a,b 的夹角为120,且|a|=2,|b|=5,则(2a-b )·a=______ 10. 设a=(2,-3),b=(x,2x),且3a ·b=4,则x 等于_____11. 已知y x 且),3,2(),,(),1,6(--===∥,则x+2y 的值为_____ 12. 已知向量a+3b,a-4b 分别与7a-5b,7a-2b 垂直,且|a|≠0,|b|≠0,则a 与b 的夹角为____13. 在△ABC 中,O 为中线AM 上的一个动点,若AM=2,则()OA OB OC +的最小值是 .14.将圆222=+y x 按向量v=(2,1)平移后,与直线0=++λy x 相切,则λ的值为 .二.解答题。
1.设平面三点A (1,0),B (0,1),C (2,5).(1)试求向量2+的模; (2)试求向量与的夹角; (3)试求与垂直的单位向量的坐标.2.已知向量a=(θθcos ,sin )(R ∈θ),b=(3,3)(1)当θ为何值时,向量a 、b 不能作为平面向量的一组基底 (2)求|a -b|的取值范围3.已知向量a、b是两个非零向量,当a+tb(t∈R)的模取最小值时,(1)求t的值(2)已知a、b共线同向时,求证b与a+tb垂直4. 设向量)2,11,3(-=,向量垂直于向量,向量平行于,=(),试求OD=时+的坐标.OAOCOD,5.将函数y=-x 2进行平移,使得到的图形与函数y=x 2-x -2的图象的两个交点关于原点对称.(如图)求平移向量a 及平移后的函数解析式.6.已知平面向量).23,21(),1,3(=-=若存在不同时为零的实数k 和t,使.,,)3(2t k t ⊥+-=-+=且 (1)试求函数关系式k=f (t ) (2)求使f (t )>0的t 的取值范围.参考答案1.2.(-3,-4)3.74.90°(21,321).6.73.7.(-3,2). 8.-2 9.1210.3111.0 12. 90° 13.2-14.51--或(1)∵ AB =(0-1,1-0)=(-1,1),=(2-1,5-0)=(1,5). ∴ 2+=2(-1,1)+(1,5)=(-1,7). ∴ |2AB +|=227)1(+-=50.(2)∵ ||=221)1(+-=2.||=2251+=26,·AC =(-1)×1+1×5=4.∴ cos=||||AC AB ⋅=2624⋅=13132.(3)设所求向量为m =(x ,y ),则x 2+y 2=1. ①又 =(2-0,5-1)=(2,4),由⊥,得2 x +4 y =0. ②由①、②,得⎪⎪⎩⎪⎪⎨⎧-==.55552y x 或⎪⎪⎩⎪⎪⎨⎧==.-55552y x ∴ (552,-55)或(-552,55)即为所求.13.【解】(1)要使向量a 、b 不能作为平面向量的一组基底,则向量a 、b 共线∴33tan 0cos 3sin 3=⇒=-θθθ故)(6Z k k ∈+=ππθ,即当)(6Z k k ∈+=ππθ时,向量a 、b 不能作为平面向量的一组基底(2))cos 3sin 3(213)3(cos )3(sin ||22θθθθ+-=-+-=-b a 而32cos 3sin 332≤+≤-θθ ∴ 132||132+≤-≤-b a14.【解】(1)由2222||2||)(a bt a t b tb a +⋅+=+当的夹角)与是b a b a b b a t αα(cos ||||||222-=⋅-=时a+tb(t ∈R)的模取最小值(2)当a 、b 共线同向时,则0=α,此时||||b a t -=∴0||||||||||||)(2=-=-⋅=+⋅=+⋅b a a b b a a b tb a b tb a b ∴b ⊥(a+tb)18.解:设020),,(=-=⋅∴⊥=x y OB OC OB OC y x OC ①又0)1()2(3)2,1(,//=+---+=x y y x 即:73=-x y ②联立①、②得⎩⎨⎧==7,14y x ………10分 )6,11(),7,14(=-==∴OA OC OD OC 于是.19.解法一:设平移公式为⎩⎨⎧-'=-'=k y y hx x 代入2x y -=,得到k h hx x y h x k y +-+-=-'-=-'2222.)(即,把它与22--=x x y 联立,得⎪⎩⎪⎨⎧--=+-+-=22222x x y k h hx x y设图形的交点为(x 1,y 1),(x 2,y 2), 由已知它们关于原点对称,即有:⎩⎨⎧-=-=2121y y x x 由方程组消去y 得:02)21(222=++-+-k h x h x .由.2102212121-==++=+h x x h x x 得且又将(11,y x ),),(22y x 分别代入①②两式并相加,得:.22221222121-+--++-=+k h x hx x x y y241)())((0211212-+-+-+-=∴k x x x x x x . 解得)49,21(.49-==a k . 平移公式为:⎪⎪⎩⎪⎪⎨⎧-'=+'=4921y y x x 代入2x y -=得:22+--=x x y . 解法二:由题意和平移后的图形与22--=x x y 交点关于原点对称,可知该图形上所有点都可以找到关于原点的对称点在另一图形上,因此只要找到特征点即可.22--=x x y 的顶点为)49,21(-,它关于原点的对称点为(49,21-),即是新图形的顶点.由于新图形由2x y -=平移得到,所以平移向量为49049,21021=-=-=--=k h 以下同解法一.20.解:(1).0)(])3[(.0,2=+-⋅-+=⋅∴⊥t k t 即 ).3(41,0)3(4,1,4,02222-==-+-∴===⋅t t k t t k 即(2)由f(t)>0,得.303,0)3()3(,0)3(412><<-->+>-t t t t t t t 或则即篇二:高中数学平面向量习题及答案第二章 平面向量 一、选择题1.在△ABC 中,AB =AC ,D ,E 分别是AB ,AC 的中点,则( ). A .与共线 B .与共线 C .与相等 D .与相等2.下列命题正确的是( ). A .向量与是两平行向量 B .若a ,b 都是单位向量,则a =bC .若=,则A ,B ,C ,D 四点构成平行四边形 D .两向量相等的充要条件是它们的始点、终点相同3.平面直角坐标系中,O 为坐标原点,已知两点A(3,1),B(-1,3),若点C 满足,其中R 1,则点C 的轨迹方程为( ).A .3x +2y -11=0B .(x -1)2+(y -1)2=5C .2x -y =0D .x +2y -5=04.已知a 、b 是非零向量且满足(a -2b)⊥a ,(b -2a)⊥b ,则a 与b 的夹角是( ).A .6πB .3πC .23πD .56π5.已知四边形ABCD 是菱形,点P 在对角线AC 上(不包括端点A ,C),则=( ).(第1题)A .λ(+),λ∈(0,1)B .λ(+),λ∈(0,22) C .λ(-),λ∈(0,1)D .λ(-BC ),λ∈(0,22)6.△ABC 中,D ,E ,F 分别是AB ,BC ,AC 的中点,则=( ). A .+ B .- C .+D .+7.若平面向量a 与b 的夹角为60°,|b|=4,(a +2b)·(a -3b)=-72,则向量a 的模为( ). A .2B .4C .6D .128.点O 是三角形ABC 所在平面内的一点,满足OA ·OB =OB ·OC =OC ·OA ,则点O 是△ABC 的( ). A .三个内角的角平分线的交点B .三条边的垂直平分线的交点C .三条中线的交点D .三条高的交点9.在四边形ABCD 中,=a +2b ,=-4a -b ,C =-5a -3b ,其中a ,b 不共线,则四边形ABCD 为( ). A .平行四边形B .矩形C .梯形D .菱形10.如图,梯形ABCD 中,|AD |=|BC |,EF ∥AB ∥CD 则相等向量是( ). A .AD 与BC B .OA 与OB C .AC 与BD D .EO 与OF二、填空题11.已知向量OA =(k ,12),OB =(4,5),OC =(-k ,10),且A ,B ,C 三点(第10题)共线,则k=.12.已知向量a=(x+3,x2-3x-4)与MN相等,其中M(-1,3),N(1,3),则x=.13.已知平面上三点A,B,C满足|AB|=3,||=4,||=5,则AB·BC +BC·CA+CA·AB的值等于.14.给定两个向量a=(3,4),b=(2,-1),且(a+mb)⊥(a-b),则实数m等于.15.已知A,B,C三点不共线,O是△ABC内的一点,若OA+OB+OC=0,则O是△ABC的.16.设平面内有四边形ABCD和点O,OA=a,OB=b,OC=c, OD=d,若a +c=b+d,则四边形ABCD的形状是.三、解答题17.已知点A(2,3),B(5,4),C(7,10),若点P满足AP=AB+λ(λ∈R),试求λ为何值时,点P在第三象限内?18.如图,已知△ABC,A(7,8),B(3,5),C(4,3),M,N,D分别是AB,AC,BC的中点,且MN与AD交于F,求DF.(第18题)19.如图,在正方形ABCD 中,E ,F 分别为AB ,BC 的中点,求证:AF ⊥DE(利用向量证明).20.已知向量a =(cos θ,sin θ),向量b =(3,-1),则|2a -b|的最大值.(第19题)参考答案 一、选择题 1.B解析:如图,与,与不平行,与共线反向. 2.A解析:两个单位向量可能方向不同,故B 不对.若=,可能A ,B ,C ,D 四点共线,故C 不对.两向量相等的充要条件是大小相等,方向相同,故D 也不对. 3.D解析:提示:设OC =(x ,y),OA =(3,1),OB =(-1,3)OA =(3)OB =(3)OAOB =(33),∴ (x ,y)=(33),∴⎩⎨⎧βαβα33+=-=y x1,由此得到答案为D . 4.B解析:∵(a -2b)⊥a ,(b -2a)⊥b ,∴(a -2b)·a =a2-2a ·b =0,(b -2a)·b =b2-2a ·b =0,∴ a2=b2,即|a|=|b|.∴|a|2=2|a||b|cos θ=2|a|2cos θ.解得cos θ=21.∴ a 与b 的夹角是3π.(第1题)5.A解析:由平行四边形法则,+=,又+=,由λ的范围和向量数乘的长度,λ∈(0,1).6.D解析:如图,∵=,∴=+=+.(第6题)7.C解析:由(a+2b)·(a-3b)=-72,得a2-a·b-6b2=-72.而|b|=4,a·b=|a||b|cos 60°=2|a|,∴ |a|2-2|a|-96=-72,解得|a|=6.8.D解析:由OA·OB=OB·OC=OC·OA,得OA·OB=OC·OA,即OA·(OC-OB)=0,故BC·OA=0,BC⊥OA,同理可证AC⊥OB,∴ O是△ABC的三条高的交点.9.C解析:∵AD=++C=-8a-2b=2BC,∴∥BC且||≠|BC|.∴四边形ABCD为梯形.10.D解析:AD与BC,AC与BD,OA与OB方向都不相同,不是相等向量.二、填空题11.-32.解析:A ,B ,C 三点共线等价于,BC 共线,AB =OB -OA =(4,5)-(k ,12)=(4-k ,-7),BC =OC -OB =(-k ,10)-(4,5)=(-k -4,5),又 A ,B ,C 三点共线,∴ 5(4-k)=-7(-k -4),∴ k =-32.12.-1.解析:∵ M(-1,3),N(1,3), ∴ MN =(2,0),又a =MN ,∴ ⎩⎨⎧0=4-3-2=3+2x x x 解得⎩⎨⎧4=1=-1=-x x x 或 ∴ x =-1. 13.-25.解析:思路1:∵ 3=4,5,∴ △ABC 为直角三角形且∠ABC =90°,即⊥,∴·=0, ∴ ·BC +BC ·CA +CA · =·+· =CA ·(BC +) =-(CA )2=-25.思路2:∵3=4=5,∴∠ABC =90°,∴ cos ∠CAB53,cos ∠BCA=54.根据数积定义,结合图(右图)知·=0,BC ·CAcos ∠ACE =4×5×(-54)=-16, CA ·cos ∠BAD =3×5×(-53)=-9.∴ ·+·+·=0―16―9=-25.14.323.解析:a +mb =(3+2m ,4-m),a -b =(1,5). ∵ (a +mb)⊥(a -b),∴ (a +mb)·(a -b)=(3+2m)×1+(4-m)×5=0 m =323.15.答案:重心.解析:如图,以OA ,OC 为邻边作□AOCF 交AC 于点E ,则OF =OA +OC ,又 OA +OC =-OB , ∴ =2OE =-OB .O 是△ABC 的重心. 16.答案:平行四边形.(第15题)D(第13题)解析:∵ a +c =b +d ,∴ a -b =d -c ,∴BA =CD . ∴ 四边形ABCD 为平行四边形. 三、解答题 17.λ<-1.解析:设点P 的坐标为(x ,y),则=(x ,y)-(2,3)=(x -2,y -3).+λAC =(5,4)-(2,3)+λ[(7,10)-(2,3)=(3,1)+λ(5,7) =(3+5λ,1+7λ). ∵ AP =+λAC ,∴ (x -2,y -3)=(3+5λ,1+7λ).∴ ⎩⎨⎧+=-+=-λλ713532y x 即⎩⎨⎧+=+=λλ7455y x要使点P 在第三象限内,只需⎩⎨⎧<+<+074055λλ 解得 λ<-1.18.=(47,2).解析:∵ A(7,8),B(3,5),C(4,3),=(-4,-3),=(-3,-5).又 D 是BC 的中点,∴ =21(+AC )=21(-4-3,-3-5) =21(-7,-8)=(-27,-4).又 M ,N 分别是AB ,AC 的中点,(第18题)∴ F 是AD 的中点,∴ DF =-FD =-21AD =-21(-27,-4)=(47,2). 19.证明:设=a ,AD =b ,则AF =a +21b ,ED =b -21a . ∴ AF ·ED =(a +21b)·(b -21a)=21b2-21a2+43a ·b .又AB ⊥,且,∴ a2=b2,a ·b =0.∴ AF ·ED =0,∴AF ⊥ED .本题也可以建平面直角坐标系后进行证明.20.分析:思路1:2a -b =(2cos θ-3,2sin θ+1),∴ |2a -b|2=(2cos θ-3)2+(2sin θ+1)2=8+4sin θ-43cos θ.又4sin θ-43cos θ=8(sin θcos 3π-cos θsin 3π)=8sin(θ-3π),最大值为8,∴ |2a -b|2的最大值为16,∴|2a -b|的最大值为4.思路2:将向量2a ,b 平移,使它们的起点与原点重合,则|2a -b|表示2a ,b 终点间的距离.|2a|=2,所以2a 的终点是以原点为圆心,2为半径的圆上的动点P ,b 的终点是该圆上的一个定点Q ,由圆的知识可知,|PQ|的最大值为直径的长为4.(第19题)篇三:平面向量练习题精心汇编选择题:1.已知平行四边形ABCD ,O 是平行四边形ABCD 所在平面内任意一点,=,=,=,则向量等于 ( )A .++B .+-C .-+D .--2.已知向量a 与b 的夹角为120o,3,13,a ab =+=则b等于( )(A )5 (B )4 (C )3 (D )13.设a ,b 是两个非零向量.下列正确的是( ) A .若|a +b|=|a|-|b|,则a ⊥b B .若a ⊥b ,则|a +b|=|a|-|b|C .若|a +b|=|a|-|b|,则存在实数λ,使得b =λ aD .若存在实数λ,使得b =λa ,则|a +b|=|a|-|b|高☆考♂资♀源€网 4.已知→a =(sin θ,1+cos θ),→b =(1,1-cos θ),其中θ∈(π,3π2),则一定有 ( )A .→a ∥→bB .→a ⊥→bC .→a 与→b 夹角为45°D .|→a |=|→b | 5.已知向量a →=(6,-4),b →=(0,2),c →=a →+λb →,若C 点在函数y =sin π12x 的图象上,实数λ=( ) A .52 B .32C .-52D .-326. 已知∈Z k ,(,1),(2,4)==AB k AC ,若≤10AB ABC 是直角三角形的概率为( )A .17B .27C .37D .477.将π2cos 36x y ⎛⎫=+ ⎪⎝⎭的图象按向量π24⎛⎫=-- ⎪⎝⎭,a 平移,则平移后所得图象的解析式为( )A.π2cos 234x y ⎛⎫=+- ⎪⎝⎭ B.π2cos 234x y ⎛⎫=-+ ⎪⎝⎭ C.π2cos 2312x y ⎛⎫=-- ⎪⎝⎭D.π2cos 2312x y ⎛⎫=++ ⎪⎝⎭8.在ABC ∆中,M 是BC 的中点,AM=1,点P 在AM 上且满足−→−=−→−PM AP 2,则()PA PB PC ⋅+等于( )(A )49 (B )43 (C )43- (D) 49-9.已知O 是ABC △所在平面内一点,D 为BC 边中点,且2OA OB OC ++=0,那么( ) A.AO OD = B.2AO OD =C.3AO OD =D.2AO OD =10.△ABC 中,点D 在边AB 上,CD 平分∠ACB ,若CB = a , CA = b ,a= 1 ,b= 2, 则CD =( )(A )13a + 23b (B )23a +13b (C )35a +45b (D )45a +35b11.已知||2||0a b =≠,且关于x 的方程2||0x a x a b ++⋅=有实根,则a 与b 的夹角的取值范围是 ( )A.[0,6π]B.[,]3ππC.2[,]33ππD.[,]6ππ12. 设非零向量a =)2,(x x ,)2,3(x b -=,且b a ,的夹角为钝角,则x 的取值范围是( )(A ))(0,∞- (B )) ⎝⎛0,34 (C ))(0,∞- ) ⎝⎛0,34(D )⎝⎛⎪⎭⎫-∞-31, ) ⎝⎛-0,31 )⎝⎛∞+,3413.已知点O 、N 、P 在三角形ABC 所在平面内,且==,0=++NC NB NA ,则PB PA ∙=∙=∙则点O 、N 、P 依次是三角形ABC 的( )(A )重心、外心、垂心 (B )重心、外心、内心 (C )外心、重心、垂心 (D )外心、重心、内心14.设(,1)A a ,(2,)B b ,(4,5)C 为坐标平面上三点,O 为坐标原点,若OA 与OB 在OC 方向上的投影相同,则a 与b 满足的关系式为( )(A )453a b -= (B )543a b -= (C )4514a b += (D )5414a b += 15.(上海理14)在直角坐标系xOy 中,,i j 分别是与x 轴,y 轴平行的单位向量,若直角三角形ABC 中,2AB i j =+,3AC i k j =+,则k 的可能值有( ) A 、1个 B 、2个 C 、3个 D 、4个填空题:16.四边形ABCD 中,()()()1,2,4,1,5,3AB BC CD ==--=--则四边形ABCD 的形状是17.已知,a b 是两个非零向量,且a b a b ==-,则与a a b +的夹角为____ 18.已知OFQ ∆的面积为S ,且1=⋅−→−−→−FQ OF ,若2321<<S ,则−→−−→−FQ OF ,夹角θ的取值范围是_________19.若O 是ABC 所在平面内一点,且满足2OB OC OB OC OA-=+-,则ABC的形状为_ ___20若D 为ABC ∆的边BC 的中点,ABC ∆所在平面内有一点P ,满足0P A B P C P ++=,设||||AP PD λ=,则λ的值为__21下列命题中:① →→→→→→→⋅-⋅=-⋅c a b a c b a )(;② →→→→→→⋅⋅=⋅⋅c b a c b a )()(;③2()a b →→-2||a →=22||||||a b b →→→-⋅+;④ 若0=⋅→→b a ,则0=→a 或0=→b ;⑤若,a bc b ⋅=⋅则a c =;⑥22a a=;⑦2a bba a⋅=;⑧222()a b a b ⋅=⋅;⑨222()2a b a a b b -=-⋅+。
平面向量基础题一、高考真题体验1.(2015新课标卷I)已知点(0,1),(3,2)A B ,向量(4,3)AC =--,则向量BC =( ) (A ) (7,4)-- (B)(7,4) (C)(1,4)- (D)(1,4) 2.(2015新课标卷II)已知()1,1=-a ,()1,2=-b ,则(2)+⋅=a b a ( )A.1- B .0 C.1 D .23.(2014新课标卷I )设F E D ,,分别为ABC ∆的三边AB CA BC ,,的中点,则=+FC EB A. B.21 C. 21D. BC 二、知识清单训练 【平面向量概念】1、定义:大小、方向 2、几何表示:有向线段AB ,a 、 3、基本概念:单位向量、相等向量、相反向量、共线(平行)向量4.下列判断正确的是 ( )A.若向量AB 与CD 是共线向量,则A,B,C,D 四点共线; B.单位向量都相等;C.共线的向量,若起点不同,则终点一定不同;D.模为0的向量的方向是不确定的。
5.下列命题正确的是( )ﻩA .单位向量都相等 ﻩﻩﻩB.若a 与b 共线,b 与c 共线,则a 与c 共线 ﻩC.若||||a b a b +=-,则0a b ⋅=ﻩD .若a 与b 都是单位向量,则1a b ⋅= 6.已知非零向量与反向,下列等式中成立的是ﻩ ( )A .||||||b a b a -=-B .||||b a b a -=+ C.||||||b a b a -=+ D.||||||b a b a +=+【线性运算】1、 加法:首尾相连,起点到终点ACBC AB =+2、 减法:同起点、连终点、指向被减 CB AC AB =-3、数乘:⎪⎩⎪⎨⎧=<>=a a a a a a a λλλλλλλ方向相反方向与方向相同;方向与,0,07.空间任意四个点A、B、C 、D,则等于 ( ) A .B.C .D .8.设四边形ABCD 中,有DC =21AB ,且|AD |=|BC |,则这个四边形是 A .平行四边形 B.等腰梯形C . 矩形D .菱形9.设D,E,F 分别为∆ABC 的三边BC ,CA ,AB 的中点,则EB FC += A .BC B .AD C .12BC D .12AD 10.设P 是△ABC 所在平面内的一点,+=2,则( )A.+= B.+= C .+= D .++=11.如图.点M 是ABC ∆的重心,则MC MB MA -+为( )A .0B.4 C.4 D .4【平面向量基本定理】b a c μλ+=,基底12.如图所示,已知2AB BC =,OA a =,OB b =,OC c =,则下列等式中成立的是( )(A)3122c b a =- (B )2c b a =- (C )2c a b =- (D)3122c a b =- 13.在空间四边形ABCD 中,AB a =,AC b =,AD c =,M ,N 分别为AB 、CD 的中点,则MN 可表示为( )A .1()2a b c +- ﻩ B.1()2a b c -+ C .1()2a b c -++ ﻩD.1()2a b c -++14.在ABC ∆中,已知D 是AB 边上一点,若12,3AD DB CD CA CB λ==+,则λ=( )A.23-B .13ﻩC .13- ﻩﻩD .23【共线定理】1221//y x y x a b b a -==⇒λ15.已知1232a e e =+,则与a 共线的向量为(A) 1223e e -- (B ) 1264e e - (C) 1264e e + (D) 1232e e -+ 16.平面向量(1,2)=-a ,(2,)n =-b ,若a // b ,则n 等于A.4 B .4- C.1- D.2【坐标运算】1、已知()()2211,,,y x B y x A ==,则()1212,y y x x AB --=2、已知()()2211,,,y x b y x a == 则()2121,y y x x b a ++=+,()2121,y y x x b a --=-,),(11y x a λλλ=,2121y y x x b a +=•17.已知向量()()2,1,3,4==-a b ,则+=a bA.()1,5- B .()1,5 C.()1,3-- D.()1,318.若向量(2,4)AB =,(1,3)AC =,则BC =( )A .(1,1) B.(1,1)-- C .(3,7) D .(3,7)-- 19.已知向量(2,4)a =,(1,1)b =-,则2a b -=A. (5,7) B . (5,9) C . (3,7) D . (3,9)【数量积】 1、 定义2、3、模: 2121y x +==4、 夹角5、垂直:02121=+⇒=⋅⇒⊥y y x x b a b a20.已知||6a =,||3b =,12a b ⋅=-,则向量a 在向量b 方向上的投影是( ) A.-4 B .4 C.-2 D.2 21.3a =,23b =,3a b =-,则a 与b 的夹角是A. 30︒ B. 60︒ C. 120︒ D. 150︒ 22.设(1,2)a =,(2,)b k =,若(2)a b a +⊥,则实数k 的值为( )A.2- B .4- C .6- D .8- 23.已知,a b 是平面向量,若(2)a a b⊥-,(2)b b a ⊥-,则a 与b 的夹角是 A B 24.空间四边形OABC 中,OB OC =,3AOB AOC π∠=∠=,则cos <,OA BC >的值是( )A.21B.22C.-21D.025.设向量,a b 满足||1,||3,()0a a b a a b =-=⋅-=,则|2|a b +=( )A.2 B. C.4 D. 26.已知等边ABC ∆的边长为1,则=⋅ A .21-B .23- C.21 D.2327.在Rt ABC ∆中,D 为BC 的中点,且AB 6AC 8==,,则AD BC ⋅的值为 A 、28- B 、28 C 、14- D 、1428.若同一平面内向量a ,b ,c 两两所成的角相等,且1a =,1b =,3c =,则a b c ++等于( ) A.2 B .5 C.2或5 D.2或5【课后练习】29.已知和点满足.若存在实数使得成立,则=( )A.2 B.3 C.4 D. 30.设向量12,e e 是夹角为23π的单位向量,若13a e =,12b e e =-,则向量b 在a 方向的投影为( ) A.32 B.12 C .12- D.131.已知平面向量a ,b 满足3a =,2b =,3a b ⋅=-,则2a b +=( )A.1C.4 D .32.已知1,2,()a b a a b ==⊥-且,则向量a 与向量b 的夹角为( ).(A)30 (B)45 (C ) 90 (D)135 33.在平行四边形A BCD 中,下列结论中错误的是 ( ) A.AB DC = B .AD AB AC += C .AB AD BD -= D.AD CD BD +=34.在平行四边形ABCD 中,AC 为一条对角线,(2,4)AB =,(1,3)AC =,则DA =( ) A .(2,4) B.(3,5) C .(1,1) D .(-1,-1)ABC M 0=++MC MB MA m AM m AC AB =+m 3235.如下图,在△OAB 中,P 为线段AB 上的一点,OP =xOA +y OB ,且BP =3PA ,则( ).A 、x=23,y =13 B 、x=13,y=23 C 、x=14,y =34 D、x=34,y=1436.已知向量(1,2),(4,)a b m ==-,若2a b +与a 垂直,则m =( ) A .-3 B .3 C.-8 D .8 37.已知平面向量,a b 满足()=3a a +b ⋅,且2,1ab ,则向量a 与b 的夹角为( )A.6π B.3π C .32π D.65π38.已知向量(2,1),(5,3)a b →→==-,则a b →→⋅的值为A .-1 B.7 C .13 D.1139.已知平面向量(1,2),(2,)a b m ==-,且//a b ,则实数m 的值为 ( ) A.1 B .4 C.1- D.4-40.已知平面向量AB ()1,2=,AC ()3,4=,则向量CB =( ) A.(4,6)-- B.(4,6) C .(2,2)-- D.(2,2)41.已知向量()21=,a ,()2x =-,b ,若a ∥b ,则a +b 等于( ) A .()2,1-- B.()2,1 C .()3,1- D .()3,1-42. 已知两点A(4,1),B(7,-3),则与向量AB 同向的单位向量是( ) A.(53,-54) B.(-53,54) C.(-54,53) D.(54,-53) 43.若向量,满足条件,则x=( )A.6B.5 C.4 D.344.设R y x ∈,,向量()()(),4,2,,1,1,-===y x 且//,⊥,=+b a ( )A5 10 C.5 D.10 45.已知向量(1,2),(2,1)a b ==-,下列结论中不正确...的是( ) A.//a b ﻩ B .a b ⊥ C.||||a b = ﻩD.||||a b a b +=-平面向量基础题参考答案1.A 【解析】试题分析:∵AB OB OA =-=(3,1),∴BC =AC AB -=(-7,-4),故选A. 考点:向量运算 2.C【解析】试题分析:由题意可得2112=+=a ,123,⋅=--=-a b 所以()222431+⋅=+⋅=-=a b a a a b .故选C.考点:本题主要考查向量数量积的坐标运算. 3.A 【解析】试题分析:根据平面向量基本定理和向量的加减运算可得:在BEF ∆中,12EB EF FB EF AB =+=+,同理12FC FE EC FE AC =+=+,则11111()()()()22222EB FC EF AB FE AC AB AC AB AC AD+=+++=+=+=. 考点:向量的运算 4.D【解析】解:因为A.若向量AB 与CD 是共线向量,则A,B,C,D四点共线;可能构成四边形。
B .单位向量都相等;方向不一样。
C.共线的向量,若起点不同,则终点一定不同;不一定。
D.模为0的向量的方向是不确定的,成立 5.C 【解析】对于A,单位向量模长都为1,但方向不确定,所以不一定相等;对于B ,若0=b ,此时若a 与b 共线,b 与c 共线,但a 与c 不一定共线; 对于C,若|-a b |=|a +b |,则两边平方,化简可得0=⋅b a ,C 正确; 对于D ,若a 与b 都是单位向量,θcos 11⨯⨯=⋅. 6.C【解析】解:因为非零向量b a 与反向,所以则有根据向量的加法法则可知,||||||-=+,选C. 7.C 【解析】试题分析:如图,BA CB CD CA DC DA +-=+=,故选:B.考点:向量加减混合运算及其几何意义. 8.B【解析】解:因为四边形ABCD 中,有DC =21AB ,且|AD |=|BC |,,因此一组对边平行,另一组对边相等的四边形为等腰梯形,选B 9.B【解析】试题分析:由向量加法法则得()12BE BA BC =+,()12CF CB CA =+,因此()12EB FC BA BC +=-+ ()12CB CA -+()()1112222BA CA AB AC AD AD =-+=+=⋅=,故答案为B . 考点:向量加法法则的应用. 10.A 【解析】∵+=2,∴﹣=﹣,∴=, ∴﹣=, ∴+=故选A. 11.D 【解析】试题分析:点M 是ABC ∆的重心,所以有F 点是中点,1132MF CF CM ==2MA MB MF +=24MA MB MC MF CM MF ∴+-=+=考点:向量的加减法点评:向量的加减法运算遵循平行四边形法则,三角形法则,加法:将两向量首尾相接由起点指向中点;减法:将两向量起点放在一起,连接终点,方向指向被减向量 12.A 【解析】试题分析:()OB OC OA BC OA AC OA OC -+=+=+=33,所以2123-=. 考点:向量的三角形法则. 13.C 【解析】试题分析:取A C的中点E ,连接M E,NE,则()1111=2222MN ME EN BC AD AC AB AD +=+=-+=1()2a b c -++. 考点:向量的加减运算;向量加法的三角形法则。