数值分析第四章典型例题
- 格式:pdf
- 大小:268.54 KB
- 文档页数:3
数值分析第四章习题第四章习题1. 采用数值计算方法,画出dt t t x y x ?=0sin )(在]10 ,0[区间曲线,并计算)5.4(y 。
〖答案〗1.65412. 求函数x e x f 3sin )(=的数值积分?=π 0 )(dx x f s ,并请采用符号计算尝试复算。
〖答案〗s = 5.1354Warning: Explicit integral could not be found. > In sym.int at 58s =int(exp(sin(x)^3),x = 0 .. pi)3. 用quad 求取dx x e x sin 7.15?--ππ的数值积分,并保证积分的绝对精度为910-。
〖答案〗1.087849437547794. 求函数5.08.12cos 5.1)5(sin )(206.02++-=t t t et t f t 在区间]5,5[-中的最小值点。
〖答案〗最小值点是-1.28498111480531 相应目标值是-0.186048010065455. 设0)0(,1)0(,1)(2)(3)(22===+-dt dy y t y dt t dy dt t y d ,用数值法和符号法求5.0)(=t t y 。
〖答案〗数值解y_05 = 0.78958020790127符号解ys =1/2-1/2*exp(2*t)+exp(t)ys_05 =.789580356470605529168507052137806. 求矩阵b Ax =的解,A 为3阶魔方阵,b 是)13(?的全1列向量。
〖答案〗x =0.06670.06670.06677. 求矩阵b Ax =的解,A 为4阶魔方阵,b 是)14(?的全1列向量。
〖答案〗解不唯一x =-0.0074 -0.0809 0.1397 0.0662 0.0588 0.1176 -0.0588。
第一章 绪论(12) 第二章 插值法(40-42)2、当2,1,1-=x 时,4,3,0)(-=x f ,求)(x f 的二次插值多项式。
[解]372365)1(34)23(21)12)(12()1)(1(4)21)(11()2)(1()3()21)(11()2)(1(0))(())(())(())(())(())(()(2221202102210120120102102-+=-++--=+-+-⨯+------⨯-+-+-+⨯=----+----+----=x x x x x x x x x x x x x x x x x x x y x x x x x x x x y x x x x x x x x y x L 。
3、给出x x f ln )(=的数值表用线性插值及二次插值计算54.0ln 的近似值。
X 0.4 0.5 0.6 0.7 0.8 x ln -0.916291 -0.693147 -0.510826 -0.357765 -0.223144[解]若取5.00=x ,6.01=x ,则693147.0)5.0()(00-===f x f y ,510826.0)6.0()(11-===f x f y ,则604752.182321.1)5.0(10826.5)6.0(93147.65.06.05.0510826.06.05.06.0693147.0)(010110101-=---=--⨯---⨯-=--+--=x x x x x x x x x y x x x x y x L ,从而6202186.0604752.19845334.0604752.154.082321.1)54.0(1-=-=-⨯=L 。
若取4.00=x ,5.01=x ,6.02=x ,则916291.0)4.0()(00-===f x f y ,693147.0)5.0()(11-===f x f y ,510826.0)6.0()(22-===f x f y ,则 217097.2068475.404115.2)2.09.0(5413.25)24.0(3147.69)3.01.1(81455.45)5.06.0)(4.06.0()5.0)(4.0()510826.0()6.05.0)(4.05.0()6.0)(4.0()693147.0()6.04.0)(5.04.0()6.0)(5.0(916291.0))(())(())(())(())(())(()(22221202102210120120102102-+-=+--+-⨯++-⨯-=----⨯-+----⨯-+----⨯-=----+----+----=x x x x x x x x x x x x x x x x x x x x x x y x x x x x x x x y x x x x x x x x y x L ,从而61531984.0217097.21969765.259519934.0217097.254.0068475.454.004115.2)54.0(22-=-+-=-⨯+⨯-=L补充题:1、令00=x ,11=x ,写出x e x y -=)(的一次插值多项式)(1x L ,并估计插值余项。
习题41. 给定x x f =)(在144,121,100=x 3点处的值,试以这3点建立)(x f 的2次(抛物)插值公式,利用插值公式115求的近似值并估计误差。
再给13169=建立3次插值公式,给出相应的结果。
解:x x f =)( 2121)(-='x x f ,2341)(--=''x x f ,2583)(-='''x x f ,27)4(1615)(--=x x f,72380529.10)115(=f1000=x , 1211=x , 1442=x , 1693=x 100=y , 111=y , 122=y , 133=y))(())(())(())(())(())(()(1202102210120*********x x x x x x x x y x x x x x x x x y x x x x x x x x y x L ----+----+----= )121144)(100144()121115)(100115(12)144121)(100121()144115)(100115(11)144100)(121100()144115)(121115(10)115(2----⨯+----⨯+----⨯=L=2344)6(1512)23(21)29(1511)44)(21()29)(6(10⨯-⨯⨯+-⨯-⨯⨯+----⨯72276.1006719.190683.988312.1=-+=))()((!3)()()(2102x x x x x x f x L x f ---'''=-ξ ,144100<<ξ )44115()121115()100115()(max 61)115()115(1441002-⨯-⨯-⋅'''≤-≤≤x f L f x 296151083615⨯⨯⨯⨯⨯≤-001631.0101631.02=⨯=- 实际误差 22101045.0)115()115(-⨯=-L f))()(())()(())()(())()(()(312101320130201032103x x x x x x x x x x x x y x x x x x x x x x x x x y x L ------+------= ))()(())()(())()(())()((23130321033212023102x x x x x x x x x x x x y x x x x x x x x x x x x y ------+------+ )169100()144100()121100()169115()144115()121115(10)115(3-⨯-⨯--⨯-⨯-⨯=L )169121()144121()100121()169115()144115()100115(11-⨯-⨯--⨯-⨯-⨯+)169144()121144()100144()169115()121115()100115(12-⨯-⨯--⨯-⨯-⨯+)144169()121169()100169()144115()121115()100115(13-⨯-⨯--⨯-⨯-⨯+)48()23(21)54()29(1511)69()44()21()54()29()6(10-⨯-⨯-⨯-⨯⨯+-⨯-⨯--⨯-⨯-⨯= 254869)29()6(1513)25(2344)54()6(1512⨯⨯-⨯-⨯⨯+-⨯⨯-⨯-⨯⨯+ 723571.10409783.0305138.2145186.11473744.1=+-+= ))()()((!4)()()(3210)4(3x x x x x x x x f x L x f ----=-ξ,169100<<ξ)169115)(144115)(121115)(10115(101615241)115()115(73----⨯⨯⨯≤--L f )54()29()6(151016152417-⨯-⨯-⨯⨯⨯⨯=- 0005505.0105505.03=⨯=-实际误差 321023429.0)115()115(-⨯=-L f 2. 设j x 为互异节点),,1,0(n j =求证: (1)k nj j k j x x l x =∑=)(0),,1,0(n k =;(2)0)()(0=-∑=x l x x j knj j ),,1(n k =。
数值分析习题(含答案)第一章绪论姓名学号班级习题主要考察点:有效数字的计算、计算方法的比较选择、误差和误差限的计算。
1 若误差限为5105.0-?,那么近似数0.003400有几位有效数字?(有效数字的计算)解:2*103400.0-?=x ,325*10211021---?=?≤-x x 故具有3位有效数字。
2 14159.3=π具有4位有效数字的近似值是多少?(有效数字的计算)解:10314159.0?= π,欲使其近似值*π具有4位有效数字,必需41*1021-?≤-ππ,3*310211021--?+≤≤?-πππ,即14209.314109.3*≤≤π即取(3.14109 , 3.14209)之间的任意数,都具有4位有效数字。
3 已知2031.1=a ,978.0=b 是经过四舍五入后得到的近似值,问b a +,b a ?有几位有效数字?(有效数字的计算)解:3*1021-?≤-aa ,2*1021-?≤-b b ,而1811.2=+b a ,1766.1=?b a 2123****102110211021)()(---?≤?+?≤-+-≤+-+b b a a b a b a故b a +至少具有2位有效数字。
2123*****10210065.01022031.1102978.0)()(---?≤=?+?≤-+-≤-b b a a a b ba ab 故b a ?至少具有2位有效数字。
4 设0>x ,x 的相对误差为δ,求x ln 的误差和相对误差?(误差的计算)解:已知δ=-**xx x ,则误差为δ=-=-***ln ln xx x x x则相对误差为******ln ln 1ln ln ln xxx x xxx x δ=-=-5测得某圆柱体高度h 的值为cm h 20*=,底面半径r 的值为cm r 5*=,已知cm h h 2.0||*≤-,cm r r 1.0||*≤-,求圆柱体体积h r v2π=的绝对误差限与相对误差限。
第一章绪论习题一1.设x>0,x的相对误差为δ,求fx=ln x的误差限;解:求lnx的误差极限就是求fx=lnx的误差限,由公式1.2.4有已知x的相对误差满足,而,故即2.下列各数都是经过四舍五入得到的近似值,试指出它们有几位有效数字,并给出其误差限与相对误差限;解:直接根据定义和式1.2.21.2.3则得有5位有效数字,其误差限,相对误差限有2位有效数字,有5位有效数字,3.下列公式如何才比较准确12解:要使计算较准确,主要是避免两相近数相减,故应变换所给公式;124.近似数x=0.0310,是 3 位有数数字;5.计算取,利用:式计算误差最小;四个选项:第二、三章插值与函数逼近习题二、三1. 给定的数值表用线性插值与二次插值计算ln0.54的近似值并估计误差限.解:仍可使用n=1及n=2的Lagrange插值或Newton插值,并应用误差估计5.8;线性插值时,用0.5及0.6两点,用Newton插值误差限,因,故二次插值时,用0.5,0.6,0.7三点,作二次Newton插值误差限,故2. 在-4≤x≤4上给出的等距节点函数表,若用二次插值法求的近似值,要使误差不超过,函数表的步长h应取多少解:用误差估计式5.8,令因得3. 若,求和.解:由均差与导数关系于是4. 若互异,求的值,这里p≤n+1.解:,由均差对称性可知当有而当P=n+1时于是得5. 求证.解:解:只要按差分定义直接展开得6. 已知的函数表求出三次Newton均差插值多项式,计算f0.23的近似值并用均差的余项表达式估计误差.解:根据给定函数表构造均差表由式5.14当n=3时得Newton均差插值多项式N3x=1.0067x+0.08367xx-0.2+0.17400xx-0.2x-0.3由此可得f0.23 N30.23=0.23203由余项表达式5.15可得由于7. 给定fx=cosx的函数表用Newton等距插值公式计算cos 0.048及cos 0.566的近似值并估计误差解:先构造差分表计算,用n=4得Newton前插公式误差估计由公式5.17得其中计算时用Newton后插公式5.18误差估计由公式5.19得这里仍为0.5658.求一个次数不高于四次的多项式px,使它满足解:这种题目可以有很多方法去做,但应以简单为宜;此处可先造使它满足,显然,再令px=x22-x+Ax2x-12由p2=1求出A= ,于是9. 令称为第二类Chebyshev多项式,试求的表达式,并证明是-1,1上带权的正交多项式序列;解:因10. 用最小二乘法求一个形如的经验公式,使它拟合下列数据,并计算均方误差.解:本题给出拟合曲线,即,故法方程系数法方程为解得最小二乘拟合曲线为均方程为11. 填空题1 满足条件的插值多项式px=.2 ,则f1,2,3,4=,f1,2,3,4,5=.3 设为互异节点,为对应的四次插值基函数,则=,=.4 设是区间0,1上权函数为ρx=x的最高项系数为1的正交多项式序列,其中,则=,=答:1234第4章数值积分与数值微分习题41. 分别用复合梯形公式及复合Simpson公式计算下列积分.解本题只要根据复合梯形公式6.11及复合Simpson公式6.13直接计算即可;对,取n=8,在分点处计算fx的值构造函数表;按式6.11求出,按式 6.13求得,积分2. 用Simpson公式求积分,并估计误差解:直接用Simpson公式6.7得由6.8式估计误差,因,故3. 确定下列求积公式中的待定参数,使其代数精确度尽量高,并指明求积公式所具有的代数精确度.123解:本题直接利用求积公式精确度定义,则可突出求积公式的参数;1令代入公式两端并使其相等,得解此方程组得,于是有再令,得故求积公式具有3次代数精确度;2令代入公式两端使其相等,得解出得而对不准确成立,故求积公式具有3次代数精确度; 3令代入公式精确成立,得解得,得求积公式对故求积公式具有2次代数精确度;4. 计算积分,若用复合Simpson公式要使误差不超过,问区间要分为多少等分若改用复合梯形公式达到同样精确度,区间应分为多少等分解:由Simpson公式余项及得即,取n=6,即区间分为12等分可使误差不超过对梯形公式同样,由余项公式得即取n=255才更使复合梯形公式误差不超过5. 用Romberg求积算法求积分,取解:本题只要对积分使用Romberg算法6.20,计算到K =3,结果如下表所示;于是积分,积分准确值为0.7132726.用三点Gauss-Legendre求积公式计算积分.7.解:本题直接应用三点Gauss公式计算即可;由于区间为,所以先做变换于是本题精确值8.用三点Gauss-Chebyshev求积公式计算积分解:本题直接用Gauss-Chebyshev求积公式计算即于是,因n=2,即为三点公式,于是,即故8. 试确定常数A,B,C,及α,使求积公式有尽可能高的代数精确度,并指出所得求积公式的代数精确度是多少.它是否为Gauss型的求积公式解:本题仍可根据代数精确度定义确定参数满足的方程,令对公式精确成立,得到由24得A=C,这两个方程不独立;故可令,得5由35解得,代入1得则有求积公式令公式精确成立,故求积公式具有5次代数精确度;三点求积公式最高代数精确度为5次,故它是Gauss型的;第五章解线性方程组的直接法习题五1. 用Gauss消去法求解下列方程组.解本题是Gauss消去法解具体方程组,只要直接用消元公式及回代公式直接计算即可;故2. 用列主元消去法求解方程组并求出系数矩阵A的行列式detA的值解:先选列主元,2行与1行交换得消元3行与2行交换消元回代得解行列式得3. 用Doolittle分解法求的解.解:由矩阵乘法得再由求得由解得4. 下述矩阵能否作Doolittle分解,若能分解,分解式是否唯一解:A中,若A能分解,一步分解后,,相互矛盾,故A不能分解,但,若A中1行与2行交换,则可分解为LU对B,显然,但它仍可分解为分解不唯一,为一任意常数,且U奇异;C可分解,且唯一;5. 用追赶法解三对角方程组Ax=b,其中解:用解对三角方程组的追赶法公式3.1.2和3.1.3计算得6. 用平方根法解方程组解:用分解直接算得由及求得7. 设,证明解:即,另一方面故9.设计算A的行范数,列范数及F-范数和2范数解:故10.设为上任一种范数,是非奇异的,定义,证明证明:根据矩阵算子定义和定义,得令,因P非奇异,故x与y为一对一,于是10. 求下面两个方程组的解,并利用矩阵的条件数估计.,即,即解:记则的解,而的解故而由3.12的误差估计得表明估计略大,是符合实际的;11.是非题若"是"在末尾填+,"不是"填-:题目中1若A对称正定,,则是上的一种向量范数2定义是一种范数矩阵3定义是一种范数矩阵4只要,则A总可分解为A=LU,其中L为单位下三角阵,U为非奇上三角阵5只要,则总可用列主元消去法求得方程组的解6若A对称正定,则A可分解为,其中L为对角元素为正的下三角阵7对任何都有8若A为正交矩阵,则答案:1+2-3+4-5+6+7-8+第六章解线性方程组的迭代法习题六1.证明对于任意的矩阵A,序列收敛于零矩阵解:由于而故2. 方程组1 考查用Jacobi法和GS法解此方程组的收敛性.2 写出用J法及GS法解此方程组的迭代公式并以计算到为止解:因为具有严格对角占优,故J法与GS法均收敛;2J法得迭代公式是取,迭代到18次有GS迭代法计算公式为取3. 设方程组证明解此方程的Jacobi迭代法与Gauss-Seidel迭代法同时收敛或发散解:Jacobi迭代为其迭代矩阵,谱半径为,而Gauss-Seide 迭代法为其迭代矩阵,其谱半径为由于,故Jacobi迭代法与Gauss-Seidel法同时收敛或同时发散;4. 下列两个方程组Ax=b,若分别用J法及GS法求解,是否收敛解:Jacobi法的迭代矩阵是即,故,J法收敛、GS法的迭代矩阵为故,解此方程组的GS法不收敛;5. 设,detA≠0,用,b表示解方程组Ax=f 的J法及GS法收敛的充分必要条件.解J法迭代矩阵为,故J法收敛的充要条件是;GS法迭代矩阵为由得GS法收敛得充要条件是6. 用SOR方法解方程组分别取ω=1.03,ω=1,ω=1.1精确解,要求当时迭代终止,并对每一个ω值确定迭代次数解:用SOR方法解此方程组的迭代公式为取,当时,迭代5次达到要求若取,迭代6次得7. 对上题求出SOR迭代法的最优松弛因子及渐近收敛速度,并求J法与GS法的渐近收敛速度.若要使那么J法GS法和SOR法各需迭代多少次解:J法的迭代矩阵为,故,因A为对称正定三对角阵,最优松弛因子J法收敛速度由于,故若要求,于是迭代次数对于J法,取K=15对于GS法,取K=8对于SOR法,取K=58. 填空题1要使应满足.2 已知方程组,则解此方程组的Jacobi迭代法是否收敛.它的渐近收敛速度RB=.3 设方程组Ax=b,其中其J法的迭代矩阵是.GS法的迭代矩阵是.4 用GS法解方程组,其中a为实数,方法收敛的充要条件是a满足.5 给定方程组,a为实数.当a满足,且0<ω<2时SOR迭代法收敛.答:12J法是收敛的,3J法迭代矩阵是,GS法迭代矩阵4满足5满足第七章非线性方程求根习题七1.用二分法求方程的正根,使误差小于0.05解使用二分法先要确定有根区间;本题fx=x2-x-1=0,因f1=-1,f2=1,故区间1,2为有根区间;另一根在-1,0内,故正根在1,2内;用二分法计算各次迭代值如表;其误差2. 求方程在=1.5附近的一个根,将方程改写成下列等价形式,并建立相应迭代公式.1 ,迭代公式.2 ,迭代公式.3,迭代公式.试分析每种迭代公式的收敛性,并选取一种收敛最快的方法求具有4位有效数字的近似根解:1取区间且,在且,在中,则L<1,满足收敛定理条件,故迭代收敛;2,在中,且,在中有,故迭代收敛;3,在附近,故迭代法发散;在迭代1及2中,因为2的迭代因子L较小,故它比1收敛快;用2迭代,取,则3. 设方程的迭代法1 证明对,均有,其中为方程的根.2 取=4,求此迭代法的近似根,使误差不超过,并列出各次迭代值.3 此迭代法收敛阶是多少证明你的结论解:1迭代函数,对有,2取,则有各次迭代值取,其误差不超过3故此迭代为线性收敛4. 给定函数,设对一切x,存在,而且.证明对的任意常数,迭代法均收敛于方程的根解:由于,为单调增函数,故方程的根是唯一的假定方程有根;迭代函数,;令,则,由递推有,即5. 用Steffensen方法计算第2题中2、3的近似根,精确到解:在2中,令,,则有令,得,与第2题中2的结果一致,可取,则满足精度要求.对3有,原迭代不收敛.现令令6. 用Newton法求下列方程的根,计算准确到4位有效数字.1在=2附近的根.2在=1附近的根解:1Newton迭代法取,则,取2令,则,取7. 应用Newton法于方程,求立方根的迭代公式,并讨论其收敛性.解:方程的根为,用Newton迭代法此公式迭代函数,则,故迭代法2阶收敛;还可证明迭代法整体收敛性;设,对一般的,当时有这是因为当时成立;从而,即,表明序列单调递减;故对,迭代序列收敛于。
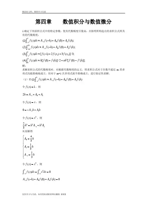
第四章 数值积分与数值微分1.确定下列求积公式中的特定参数,使其代数精度尽量高,并指明所构造出的求积公式所具有的代数精度:10121012112120(1)()()(0)();(2)()()(0)();(3)()[(1)2()3()]/3;(4)()[(0)()]/2[(0)()];hhhh hf x dx A f h A f A f h f x dx A f h A f A f h f x dx f f x f x f x dx h f f h ah f f h -----≈-++≈-++≈-++''≈++-⎰⎰⎰⎰解:求解求积公式的代数精度时,应根据代数精度的定义,即求积公式对于次数不超过m 的多项式均能准确地成立,但对于m+1次多项式就不准确成立,进行验证性求解。
(1)若101(1)()()(0)()hhf x dx A f h A f A f h --≈-++⎰令()1f x =,则1012h A A A -=++令()f x x =,则110A h A h -=-+令2()f x x =,则3221123h h A h A -=+ 从而解得011431313A h A h A h -⎧=⎪⎪⎪=⎨⎪⎪=⎪⎩令3()f x x =,则3()0hhhhf x dx x dx --==⎰⎰101()(0)()0A f h A f A f h --++=令4()f x x =,则4551012()52()(0)()3hhhhf x dx x dx h A f h A f A f h h ---==-++=⎰⎰故此时,101()()(0)()hhf x dx A f h A f A f h --≠-++⎰故101()()(0)()h hf x dx A f h A f A f h --≈-++⎰具有3次代数精度。
(2)若21012()()(0)()hhf x dx A f h A f A f h --≈-++⎰令()1f x =,则1014h A A A -=++令()f x x =,则110A h A h -=-+令2()f x x =,则32211163h h A h A -=+ 从而解得11438383A h A h A h -⎧=-⎪⎪⎪=⎨⎪⎪=⎪⎩令3()f x x =,则22322()0hhhhf x dx x dx --==⎰⎰101()(0)()0A f h A f A f h --++=令4()f x x =,则22452264()5hhhhf x dx x dx h --==⎰⎰510116()(0)()3A f h A f A f h h --++=故此时,21012()()(0)()hhf x dx A f h A f A f h --≠-++⎰因此,21012()()(0)()h hf x dx A f h A f A f h --≈-++⎰具有3次代数精度。
习题41. 给定x x f =)(在144,121,100=x 3点处的值,试以这3点建立)(x f 的2次(抛物)插值公式,利用插值公式115求的近似值并估计误差。
再给13169=建立3次插值公式,给出相应的结果。
解:x x f =)( 2121)(-='x x f ,2341)(--=''x x f ,2583)(-='''x x f ,27)4(1615)(--=x x f,72380529.10)115(=f1000=x , 1211=x , 1442=x , 1693=x 100=y , 111=y , 122=y , 133=y))(())(())(())(())(())(()(1202102210120*********x x x x x x x x y x x x x x x x x y x x x x x x x x y x L ----+----+----= )121144)(100144()121115)(100115(12)144121)(100121()144115)(100115(11)144100)(121100()144115)(121115(10)115(2----⨯+----⨯+----⨯=L=2344)6(1512)23(21)29(1511)44)(21()29)(6(10⨯-⨯⨯+-⨯-⨯⨯+----⨯72276.1006719.190683.988312.1=-+=))()((!3)()()(2102x x x x x x f x L x f ---'''=-ξ ,144100<<ξ )44115()121115()100115()(max 61)115()115(1441002-⨯-⨯-⋅'''≤-≤≤x f L f x 296151083615⨯⨯⨯⨯⨯≤-001631.0101631.02=⨯=- 实际误差 22101045.0)115()115(-⨯=-L f))()(())()(())()(())()(()(312101320130201032103x x x x x x x x x x x x y x x x x x x x x x x x x y x L ------+------= ))()(())()(())()(())()((23130321033212023102x x x x x x x x x x x x y x x x x x x x x x x x x y ------+------+ )169100()144100()121100()169115()144115()121115(10)115(3-⨯-⨯--⨯-⨯-⨯=L )169121()144121()100121()169115()144115()100115(11-⨯-⨯--⨯-⨯-⨯+)169144()121144()100144()169115()121115()100115(12-⨯-⨯--⨯-⨯-⨯+)144169()121169()100169()144115()121115()100115(13-⨯-⨯--⨯-⨯-⨯+)48()23(21)54()29(1511)69()44()21()54()29()6(10-⨯-⨯-⨯-⨯⨯+-⨯-⨯--⨯-⨯-⨯= 254869)29()6(1513)25(2344)54()6(1512⨯⨯-⨯-⨯⨯+-⨯⨯-⨯-⨯⨯+ 723571.10409783.0305138.2145186.11473744.1=+-+= ))()()((!4)()()(3210)4(3x x x x x x x x f x L x f ----=-ξ,169100<<ξ)169115)(144115)(121115)(10115(101615241)115()115(73----⨯⨯⨯≤--L f )54()29()6(151016152417-⨯-⨯-⨯⨯⨯⨯=- 0005505.0105505.03=⨯=-实际误差 321023429.0)115()115(-⨯=-L f 2. 设j x 为互异节点),,1,0(n j =求证: (1)k nj j k j x x l x =∑=)(0),,1,0(n k =;(2)0)()(0=-∑=x l x x j knj j ),,1(n k =。
第四章 习题1.确定下列求积公式中的待定参数,使其代数精度尽量高,并指明所构造出的求积公式所具有的代数精度: (1)()()()()⎰--++-≈hhh f A f A h f A dx x f 110;(2)()()()()⎰--++-≈hh h f A f A h f A dx x f 221010;(3)()()()()[]3/3211121⎰-++-≈x f x f f dx x f ;(4)()()()[]()()[]h f f ah h f f h dx x f h'0'2/020+++≈⎰解:(1)求积公式中含有三个待定参数,即101A A A ,,-,将()21x x x f ,,=分别代入求积公式,并令其左右相等,得()()⎪⎪⎩⎪⎪⎨⎧=+=+-=++---3112111013202h A A h A A h h A A A 解得h A h A A 3431011===-,。
所求公式至少具有2次代数精度。
又由于()()()()4443333333h h h h dx x h h h h dx x h hhh⎰⎰--+-≠+-≈故()()()()⎰--++-≈hhh f A f A h f A dx x f 110具有三次代数精度。
(2)求积公式中含有三个待定系数:101A A A ,,-,故令公式对()21x x x f ,,=准确成立,得()()⎪⎪⎩⎪⎪⎨⎧=+=+-=++---31121110131604h A A h A A h h A A A ,解得h h h A h A h A A 34316424381011-=-=-===-,故()()()[]()0343822hf h f h f h dx x f hh -+-≈⎰- 因()⎰-=hhdx x f 220而()()[]03833=+-h h h 又[]445562243831652h h h h h dx x hh +=≠=⎰-所以求积公式只具有三次代数精度。
第四版数值分析习题第一章绪论设x>O,x 的相对误差为S ,求In x 的误差. 设x 的相对误差为2%,求x n 的相对误差. 下列各数都是经过四舍五入得到的近似数,即误差限不超过最后一位的半个单位 ,试指出它们是几位有效数字: x = 1.1021, x^ = 0.031, x^ = 385.6, x^ = 56.430, x^ = 7 1.0.利用公式(3.3)求下列各近似值的误差限:(i)x *+x ;+x 4,(ii)x *x ;x ;,(iii )x ;/x ;,其中 x ;,x ;,x 3,x ;均为第 3题所给的数.计算球体积要使相对误差限为 1%,问度量半径R 时允许的相对误差限是多少 ?设\)=28,按递推公式AY n =Y n d- _ .783100( n=1,2,…)计算到Y 00.若取7783衣27.982(五位有效数字),试问计算^00将有多大误差? 求方程X 2 -56X • 1 =0的两个根,使它至少具有四位有效数字 (■ 783沁27.982).\ ------ d x 当N 充分大时,怎样求N 1 x? 正方形的边长大约为 100 cm ,应怎样测量才能使其面积误差不超过 s *2设 2 假定g 是准确的,而对t 的测量有土 0.1秒的误差,证明当t 增加时s 的绝对 误差增加,而相对误差却减小. 序列{yn}满足递推关系y n _ 10y n _ 1(n=1,2,…),若y0 _ X 2 1.41 (三位有效数字),计算到y 10时误差有多大?这个计算过程稳定吗?计算f = c- 2 一1)6,取' 2 : 1.4,利用下列等式计算,哪一个得到的结果最好?f (x) =1 n (x X -1),求 f(30)的值.若开平方用六位函数表,问求对数时误差有多大改用另一等价公式ln(x_ Jx 2 T) = -ln(x +Jx 2 +1)计算,求对数时误差有多大?1. 2. 3. 4.5. 6.7.8.9.10.11.12.13.21 cm1 (、2 1)61 (32 . 2)3,99 -70、2.?若根据(2.2)定义的范德蒙行列式,令证明V n (x)是n 次多项式,它的根是X 0^L ,X nJ ,且当x= 1 , -1 , 2时,f(x)= 0 , -3,4 ,求f(x)的二次插值多项式.给出cos x,0 ° < x 90。
第一章典型例例31n2=0.69314718...,精确到10彳的近似值是多少?解精确到10 3=0.001,即绝对误差限是8=0.0005,故至少要保留小数点后三位才可以。
ln2~0.693例1用顺序消去法解线性方程组2兀 + x2 + 4X3 = -1< 3為 + 2X2 + ® = 4M + 2X2+4X3 = -1解顺序消元2 1 4 -1 r2+r r(-3/2)2 1 4 -I 2 1 4 一1lA;b] = 3 2 1 4 r3+n (-1/2)、0 0.5 一气 5.5 叶々(一3)0 0.5 一气 5.5J J1 2 4 -1 0 1.5 2 -0.5 0 0 17 -17于是有同解方程组92X| +x2 +4曲=一1<O.5X2一5只3 =5.517J3=-17回代得解X3=—1,也=1闪=1,原线性方程组的解为X=(l,l,— 1)丁例2取初始向量*。
)=(0,0,0)[用雅可比迭代法求解线性方程组兀1 + 2X2一2X3= 1<x{+x2+x3 =32x{ + 2X2 +x3 =5解建立迭代格式显z=_2堺+2哎)+1<护=W灯+ 3 (fc= 1,2,3,…)护=_2屮_2垮)+5第二章典型例丿第1次迭代*=o肥)=0,得到炉)=(1,3,5卩第2次迭代,kixj2) =-2x3 + 2x5 + l = 5<42)=-1-5 + 3 = -3x;2)=_2xl_2x3 + 5 = -3X⑵= (5, — 3, — 3卩第3次迭代,k=2屮=-2x(-3) + 2x(-3) + l = l炉)= (1,1,1)T第4次迭代,k=3x;2)=-2xl + 2xl + l = l' X;2> = —1 — 1 + 3 = 1x;2)=_2xl — 2xl + 5 = l0)=(1,1,1)7例4证明例2的线性方程组,雅可比迭代法收敛,而高斯一赛德尔迭代法发散。
第四章 数值积分与数值微分1.确定下列求积公式中的特定参数,使其代数精度尽量高,并指明所构造出的求积公式所具有的代数精度: 解:求解求积公式的代数精度时,应根据代数精度的定义,即求积公式对于次数不超过m 的多项式均能准确地成立,但对于m+1次多项式就不准确成立,进行验证性求解。
(1)若101(1)()()(0)()hhf x dx A f h A f A f h --≈-++⎰令()1f x =,则 令()f x x =,则 令2()f x x =,则 从而解得 令3()f x x =,则 故101()()(0)()hhf x dx A f h A f A f h --=-++⎰成立。
令4()f x x =,则 故此时, 故101()()(0)()hhf x dx A f h A f A f h --≈-++⎰具有3次代数精度。
(2)若21012()()(0)()hhf x dx A f h A f A f h --≈-++⎰令()1f x =,则 令()f x x =,则 令2()f x x =,则 从而解得 令3()f x x =,则 故21012()()(0)()hhf x dx A f h A f A f h --=-++⎰成立。
令4()f x x =,则 故此时, 因此,具有3次代数精度。
(3)若1121()[(1)2()3()]/3f x dx f f x f x -≈-++⎰令()1f x =,则 令()f x x =,则 令2()f x x =,则 从而解得120.28990.5266x x =-⎧⎨=⎩或120.68990.1266x x =⎧⎨=⎩ 令3()f x x =,则 故1121()[(1)2()3()]/3f x dx f f x f x -=-++⎰不成立。
因此,原求积公式具有2次代数精度。
(4)若20()[(0)()]/2[(0)()]hf x dx h f f h ah f f h ''≈++-⎰令()1f x =,则 令()f x x =,则 令2()f x x =,则 故有令3()f x x =,则 令4()f x x =,则 故此时, 因此,21()[(0)()]/2[(0)()]12hf x dx h f f h h f f h ''≈++-⎰具有3次代数精度。
第一章 绪 论1. 设x >0,x 的相对误差为δ,求ln x 的误差.2. 设x 的相对误差为2%,求nx 的相对误差.3. 下列各数都是经过四舍五入得到的近似数,即误差限不超过最后一位的半个单位,试指出它们是几位有效数字: *****123451.1021,0.031,385.6,56.430,7 1.0.x x x x x =====⨯4. 利用公式(3.3)求下列各近似值的误差限:********12412324(),(),()/,i x x x ii x x x iii x x ++其中****1234,,,x x x x 均为第3题所给的数.5. 计算球体积要使相对误差限为1%,问度量半径R 时允许的相对误差限是多少?6. 设028,Y =按递推公式1n n Y Y -=( n=1,2,…)计算到100Y .27.982(五位有效数字),试问计算100Y 将有多大误差?7. 求方程25610x x -+=的两个根,使它至少具有四位有效数字27.982).8. 当N 充分大时,怎样求211Ndx x +∞+⎰?9. 正方形的边长大约为100㎝,应怎样测量才能使其面积误差不超过1㎝2? 10. 设212S gt =假定g 是准确的,而对t 的测量有±0.1秒的误差,证明当t 增加时S 的绝对误差增加,而相对误差却减小. 11. 序列{}n y 满足递推关系1101n n y y -=-(n=1,2,…),若0 1.41y =≈(三位有效数字),计算到10y 时误差有多大?这个计算过程稳定吗?12.计算61)f =,1.4≈,利用下列等式计算,哪一个得到的结果最好?3--13.()ln(f x x =,求f (30)的值.若开平方用六位函数表,问求对数时误差有多大?若改用另一等价公式ln(ln(x x =-计算,求对数时误差有多大?14. 试用消元法解方程组{101012121010;2.x x x x +=+=假定只用三位数计算,问结果是否可靠?15. 已知三角形面积1sin ,2s ab c =其中c 为弧度,02c π<<,且测量a ,b ,c 的误差分别为,,.a b c ∆∆∆证明面积的误差s ∆满足.s a b cs a b c ∆∆∆∆≤++第二章 插值法1. 根据(2.2)定义的范德蒙行列式,令2000011211121()(,,,,)11n n n n n n n n n x x x V x V x x x x x x x xx x ----==证明()n V x 是n 次多项式,它的根是01,,n x x -,且 101101()(,,,)()()n n n n V x V x x x x x x x ---=--.2. 当x = 1 , -1 , 2 时, f (x)= 0 , -3 , 4 ,求f (x )的二次插值多项式.3.4. 给出cos x ,0°≤x ≤90°的函数表,步长h =1′=(1/60)°,若函数表具有5位有效数字,研究用线性插值求cos x 近似值时的总误差界.5. 设0k x x kh =+,k =0,1,2,3,求032max ()x x x l x ≤≤.6. 设jx 为互异节点(j =0,1,…,n ),求证:i) 0()(0,1,,);nk kj j j x l x xk n =≡=∑ii)()()1,2,,).nk jj j xx l x k n =-≡0(=∑7. 设[]2(),f x C a b ∈且()()0f a f b ==,求证21()()().8max max a x b a x b f x b a f x ≤≤≤≤≤-"8. 在44x -≤≤上给出()x f x e =的等距节点函数表,若用二次插值求x e 的近似值,要使截断误差不超过610-,问使用函数表的步长h 应取多少?9. 若2n n y =,求4n y ∆及4n y δ.10. 如果()f x 是m 次多项式,记()()()f x f x h f x ∆=+-,证明()f x 的k 阶差分()(0)k f x k m ∆≤≤是m k -次多项式,并且()0(m l f x l +∆=为正整数).11. 证明1()k k k k k k f g f g g f +∆=∆+∆. 12. 证明110010.n n kkn n k k k k f gf g f g g f --+==∆=--∆∑∑13. 证明1200.n j n j y y y -=∆=∆-∆∑14. 若1011()n n n n f x a a x a x a x --=++++有n 个不同实根12,,,n x x x ,证明{10,02;, 1.1()n k njk n a k n j jx f x -≤≤-=-=='∑15. 证明n 阶均差有下列性质: i)若()()F x cf x =,则[][]0101,,,,,,n n F x x x cf x x x =;ii) 若()()()F x f x g x =+,则[][][]010101,,,,,,,,,n n n F x x x f x x x g x x x =+.16. 74()31f x x x x =+++,求0172,2,,2f ⎡⎤⎣⎦及0182,2,,2f ⎡⎤⎣⎦.17. 证明两点三次埃尔米特插值余项是(4)22311()()()()/4!,(,)k k k k R x f x x x x x x ++=ξ--ξ∈并由此求出分段三次埃尔米特插值的误差限.18. 求一个次数不高于4次的多项式()P x ,使它满足(0)(1)P P k =-+并由此求出分段三次埃尔米特插值的误差限. 19. 试求出一个最高次数不高于4次的函数多项式()P x ,以便使它能够满足以下边界条件(0)(0)0P P ='=,(1)(1)1P P ='=,(2)1P =.20. 设[](),f x C a b ∈,把[],a b 分为n 等分,试构造一个台阶形的零次分段插值函数()n x ϕ并证明当n →∞时,()n x ϕ在[],a b 上一致收敛到()f x .21. 设2()1/(1)f x x =+,在55x -≤≤上取10n =,按等距节点求分段线性插值函数()h I x ,计算各节点间中点处的()h I x 与()f x 的值,并估计误差.22. 求2()f x x =在[],a b 上的分段线性插值函数()h I x ,并估计误差.23. 求4()f x x =在[],a b 上的分段埃尔米特插值,并估计误差.试求三次样条插值并满足条件 i) (0.25) 1.0000,(0.53)0.6868;S S '='= ii)(0.25)(0.53)0.S S "="=25. 若[]2(),f x C a b ∈,()S x 是三次样条函数,证明 i)[][][][]222()()()()2()()()bbbba a a a f x dx S x dx f x S x dx S x f x S x dx "-"="-"+""-"⎰⎰⎰⎰;ii) 若()()(0,1,,)i i f x S x i n ==,式中i x 为插值节点,且01n a x x x b =<<<=,则[][][]()()()()()()()()()baS x f x S x dx S b f b S b S a f a S a ""-"="'-'-"'-'⎰.26. 编出计算三次样条函数()S x 系数及其在插值节点中点的值的程序框图(()S x 可用(8.7)式的表达式).第三章 函数逼近与计算1. (a)利用区间变换推出区间为[],a b 的伯恩斯坦多项式.(b)对()sin f x x =在[]0,/2π上求1次和三次伯恩斯坦多项式并画出图形,并与相应的马克劳林级数部分和误差做比较. 2. 求证:(a)当()m f x M ≤≤时,(,)n m B f x M ≤≤. (b)当()f x x =时,(,)n B f x x =. 3. 在次数不超过6的多项式中,求()sin 4f x x =在[]0,2π的最佳一致逼近多项式. 4. 假设()f x 在[],a b 上连续,求()f x 的零次最佳一致逼近多项式. 5. 选取常数a ,使301max x x ax≤≤-达到极小,又问这个解是否唯一?6. 求()sin f x x =在[]0,/2π上的最佳一次逼近多项式,并估计误差.7. 求()xf x e =在[]0,1上的最佳一次逼近多项式.8. 如何选取r ,使2()p x x r =+在[]1,1-上与零偏差最小?r 是否唯一?9. 设43()31f x x x =+-,在[]0,1上求三次最佳逼近多项式.10. 令[]()(21),0,1n n T x T x x =-∈,求***0123(),(),(),()T x T x T x T x . 11. 试证{}*()nT x 是在[]0,1上带权ρ=的正交多项式.12. 在[]1,1-上利用插值极小化求11()f x tg x -=的三次近似最佳逼近多项式.13. 设()xf x e =在[]1,1-上的插值极小化近似最佳逼近多项式为()n L x ,若nf L ∞-有界,证明对任何1n ≥,存在常数n α、n β,使11()()()()(11).n n n n n T x f x L x T x x ++α≤-≤β-≤≤14. 设在[]1,1-上234511315165()128243843840x x x x x x ϕ=-----,试将()x ϕ降低到3次多项式并估计误差. 15. 在[]1,1-上利用幂级数项数求()sin f x x =的3次逼近多项式,使误差不超过0.005.16. ()f x 是[],a a -上的连续奇(偶)函数,证明不管n 是奇数或偶数,()f x 的最佳逼近多项式*()n n F x H ∈也是奇(偶)函数.17. 求a 、b 使[]22sin ax b x dx π+-⎰为最小.并与1题及6题的一次逼近多项式误差作比较.18. ()f x 、[]1(),g x C a b ∈,定义 ()(,)()();()(,)()()()();b baaa f g f x g x dxb f g f x g x dx f a g a =''=''+⎰⎰问它们是否构成内积?19. 用许瓦兹不等式(4.5)估计6101x dx x +⎰的上界,并用积分中值定理估计同一积分的上下界,并比较其结果.20. 选择a ,使下列积分取得最小值:1122211(),x ax dx x ax dx----⎰⎰.21. 设空间{}{}10010121,,,span x span x x 1ϕ=ϕ=,分别在1ϕ、2ϕ上求出一个元素,使得其为[]20,1x C ∈的最佳平方逼近,并比较其结果.22. ()f x x =在[]1,1-上,求在{}2411,,span x x ϕ=上的最佳平方逼近.23.sin (1)arccos ()n n x u x +=是第二类切比雪夫多项式,证明它有递推关系()()()112n n n u x xu x u x +-=-.24. 将1()sin 2f x x=在[]1,1-上按勒让德多项式及切比雪夫多项式展开,求三次最佳平方逼近多项式并画出误差图形,再计算均方误差. 25. 把()arccos f x x =在[]1,1-上展成切比雪夫级数.26.2y a bx =+. 27.用最小二乘拟合求.29. 编出用正交多项式做最小二乘拟合的程序框图. 30. 编出改进FFT 算法的程序框图. 31. 现给出一张记录{}{}4,3,2,1,0,1,2,3k x =,试用改进FFT 算法求出序列{}k x 的离散频谱{}k C (0,1,,7).k =第四章 数值积分与数值微分1. 确定下列求积公式中的待定参数,使其代数精度尽量高,并指明所构造出的求积公式所具有的代数精度:(1)101()()(0)()hh f x dx A f h A f A f h --≈-++⎰; (2)21012()()(0)()hh f x dx A f h A f A f h --≈-++⎰;(3)[]1121()(1)2()3()/3f x dx f f x f x -≈-++⎰;(4)[][]20()(0)()/1(0)()hf x dx h f f h ah f f h ≈++'-'⎰.2. 分别用梯形公式和辛普森公式计算下列积分:(1)120,84xdx n x =+⎰; (2)1210(1),10x e dx n x --=⎰;(3)1,4n =⎰;(4),6n =.3. 直接验证柯特斯公式(2.4)具有5次代数精度.4. 用辛普森公式求积分10x e dx-⎰并计算误差. 5. 推导下列三种矩形求积公式:(1)2()()()()()2ba f f x dxb a f a b a 'η=-+-⎰; (2)2()()()()()2ba f f x dxb a f b b a 'η=---⎰;(3)3()()()()()224baa b f f x dx b a f b a +"η=-+-⎰. 6. 证明梯形公式(2.9)和辛普森公式(2.11)当n →∞时收敛到积分()baf x dx⎰.7. 用复化梯形公式求积分()baf x dx⎰,问要将积分区间[],a b 分成多少等分,才能保证误差不超过ε(设不计舍入误差)?8.1x e dx-,要求误差不超过510-.9. 卫星轨道是一个椭圆,椭圆周长的计算公式是S a =θ,这里a 是椭圆的半长轴,c 是地球中心与轨道中心(椭圆中心)的距离,记h 为近地点距离,H 为远地点距离,6371R =公里为地球半径,则(2)/2,()/2a R H h c H h =++=-.我国第一颗人造卫星近地点距离439h =公里,远地点距离2384H =公里,试求卫星轨道的周长. 10. 证明等式3524sin3!5!n nn n ππππ=-+-试依据sin(/)(3,6,12)n n n π=的值,用外推算法求π的近似值.11. 用下列方法计算积分31dyy ⎰并比较结果.(1) 龙贝格方法;(2) 三点及五点高斯公式;(3) 将积分区间分为四等分,用复化两点高斯公式.12. 用三点公式和五点公式分别求21()(1)f x x =+在x =1.0,1.1和1.2处的导数值,并估计误()f x 第五章 常微分方程数值解法1. 就初值问题0)0(,=+='y b ax y 分别导出尤拉方法和改进的尤拉方法的近似解的表达式,并与准确解bx ax y +=221相比较。
第一章 绪 论1. 设x >0,x 的相对误差为δ,求ln x 的误差.2. 设x 的相对误差为2%,求nx 的相对误差.3. 下列各数都是经过四舍五入得到的近似数,即误差限不超过最后一位的半个单位,试指出它们是几位有效数字: *****123451.1021,0.031,385.6,56.430,7 1.0.x x x x x =====⨯4. 利用公式(3.3)求下列各近似值的误差限:********12412324(),(),()/,i x x x ii x x x iii x x ++其中****1234,,,x x x x 均为第3题所给的数.5. 计算球体积要使相对误差限为1%,问度量半径R 时允许的相对误差限是多少?6. 设028,Y =按递推公式1n n Y Y -=( n=1,2,…)计算到100Y .27.982(五位有效数字),试问计算100Y 将有多大误差?7. 求方程25610x x -+=的两个根,使它至少具有四位有效数字27.982).8. 当N 充分大时,怎样求211Ndx x +∞+⎰?9. 正方形的边长大约为100㎝,应怎样测量才能使其面积误差不超过1㎝2? 10. 设212S gt =假定g 是准确的,而对t 的测量有±0.1秒的误差,证明当t 增加时S 的绝对误差增加,而相对误差却减小. 11. 序列{}n y 满足递推关系1101n n y y -=-(n=1,2,…),若0 1.41y =≈(三位有效数字),计算到10y 时误差有多大?这个计算过程稳定吗?12.计算61)f =,1.4≈,利用下列等式计算,哪一个得到的结果最好?3--13.()ln(f x x =,求f (30)的值.若开平方用六位函数表,问求对数时误差有多大?若改用另一等价公式ln(ln(x x =-计算,求对数时误差有多大?14. 试用消元法解方程组{101012121010;2.x x x x +=+=假定只用三位数计算,问结果是否可靠?15. 已知三角形面积1sin ,2s ab c =其中c 为弧度,02c π<<,且测量a ,b ,c 的误差分别为,,.a b c ∆∆∆证明面积的误差s ∆满足.s a b cs a b c ∆∆∆∆≤++第二章 插值法1. 根据(2.2)定义的范德蒙行列式,令2000011211121()(,,,,)11n n n n n n n n n x x x V x V x x x x x x x xx x ----==证明()n V x 是n 次多项式,它的根是01,,n x x -,且 101101()(,,,)()()n n n n V x V x x x x x x x ---=--.2. 当x = 1 , -1 , 2 时, f (x)= 0 , -3 , 4 ,求f (x )的二次插值多项式.3.4. 给出cos x ,0°≤x ≤90°的函数表,步长h =1′=(1/60)°,若函数表具有5位有效数字,研究用线性插值求cos x 近似值时的总误差界.5. 设0k x x kh =+,k =0,1,2,3,求032max ()x x x l x ≤≤.6. 设jx 为互异节点(j =0,1,…,n ),求证:i) 0()(0,1,,);nk kj j j x l x xk n =≡=∑ii)()()1,2,,).nk jj j xx l x k n =-≡0(=∑7. 设[]2(),f x C a b ∈且()()0f a f b ==,求证21()()().8max max a x b a x b f x b a f x ≤≤≤≤≤-"8. 在44x -≤≤上给出()x f x e =的等距节点函数表,若用二次插值求x e 的近似值,要使截断误差不超过610-,问使用函数表的步长h 应取多少?9. 若2n n y =,求4n y ∆及4n y δ.10. 如果()f x 是m 次多项式,记()()()f x f x h f x ∆=+-,证明()f x 的k 阶差分()(0)k f x k m ∆≤≤是m k -次多项式,并且()0(m l f x l +∆=为正整数).11. 证明1()k k k k k k f g f g g f +∆=∆+∆. 12. 证明110010.n n kkn n k k k k f gf g f g g f --+==∆=--∆∑∑13. 证明1200.n j n j y y y -=∆=∆-∆∑14. 若1011()n n n n f x a a x a x a x --=++++有n 个不同实根12,,,n x x x ,证明{10,02;, 1.1()n k njk n a k n j jx f x -≤≤-=-=='∑15. 证明n 阶均差有下列性质: i)若()()F x cf x =,则[][]0101,,,,,,n n F x x x cf x x x =;ii) 若()()()F x f x g x =+,则[][][]010101,,,,,,,,,n n n F x x x f x x x g x x x =+.16. 74()31f x x x x =+++,求0172,2,,2f ⎡⎤⎣⎦及0182,2,,2f ⎡⎤⎣⎦.17. 证明两点三次埃尔米特插值余项是(4)22311()()()()/4!,(,)k k k k R x f x x x x x x ++=ξ--ξ∈并由此求出分段三次埃尔米特插值的误差限.18. 求一个次数不高于4次的多项式()P x ,使它满足(0)(1)P P k =-+并由此求出分段三次埃尔米特插值的误差限. 19. 试求出一个最高次数不高于4次的函数多项式()P x ,以便使它能够满足以下边界条件(0)(0)0P P ='=,(1)(1)1P P ='=,(2)1P =.20. 设[](),f x C a b ∈,把[],a b 分为n 等分,试构造一个台阶形的零次分段插值函数()n x ϕ并证明当n →∞时,()n x ϕ在[],a b 上一致收敛到()f x .21. 设2()1/(1)f x x =+,在55x -≤≤上取10n =,按等距节点求分段线性插值函数()h I x ,计算各节点间中点处的()h I x 与()f x 的值,并估计误差.22. 求2()f x x =在[],a b 上的分段线性插值函数()h I x ,并估计误差.23. 求4()f x x =在[],a b 上的分段埃尔米特插值,并估计误差.试求三次样条插值并满足条件 i) (0.25) 1.0000,(0.53)0.6868;S S '='= ii)(0.25)(0.53)0.S S "="=25. 若[]2(),f x C a b ∈,()S x 是三次样条函数,证明 i)[][][][]222()()()()2()()()bbbba a a a f x dx S x dx f x S x dx S x f x S x dx "-"="-"+""-"⎰⎰⎰⎰;ii) 若()()(0,1,,)i i f x S x i n ==,式中i x 为插值节点,且01n a x x x b =<<<=,则[][][]()()()()()()()()()baS x f x S x dx S b f b S b S a f a S a ""-"="'-'-"'-'⎰.26. 编出计算三次样条函数()S x 系数及其在插值节点中点的值的程序框图(()S x 可用(8.7)式的表达式).第三章 函数逼近与计算1. (a)利用区间变换推出区间为[],a b 的伯恩斯坦多项式.(b)对()sin f x x =在[]0,/2π上求1次和三次伯恩斯坦多项式并画出图形,并与相应的马克劳林级数部分和误差做比较. 2. 求证:(a)当()m f x M ≤≤时,(,)n m B f x M ≤≤. (b)当()f x x =时,(,)n B f x x =. 3. 在次数不超过6的多项式中,求()sin 4f x x =在[]0,2π的最佳一致逼近多项式. 4. 假设()f x 在[],a b 上连续,求()f x 的零次最佳一致逼近多项式. 5. 选取常数a ,使301max x x ax≤≤-达到极小,又问这个解是否唯一?6. 求()sin f x x =在[]0,/2π上的最佳一次逼近多项式,并估计误差.7. 求()xf x e =在[]0,1上的最佳一次逼近多项式.8. 如何选取r ,使2()p x x r =+在[]1,1-上与零偏差最小?r 是否唯一?9. 设43()31f x x x =+-,在[]0,1上求三次最佳逼近多项式.10. 令[]()(21),0,1n n T x T x x =-∈,求***0123(),(),(),()T x T x T x T x . 11. 试证{}*()nT x 是在[]0,1上带权ρ=的正交多项式.12. 在[]1,1-上利用插值极小化求11()f x tg x -=的三次近似最佳逼近多项式.13. 设()xf x e =在[]1,1-上的插值极小化近似最佳逼近多项式为()n L x ,若nf L ∞-有界,证明对任何1n ≥,存在常数n α、n β,使11()()()()(11).n n n n n T x f x L x T x x ++α≤-≤β-≤≤14. 设在[]1,1-上234511315165()128243843840x x x x x x ϕ=-----,试将()x ϕ降低到3次多项式并估计误差. 15. 在[]1,1-上利用幂级数项数求()sin f x x =的3次逼近多项式,使误差不超过0.005.16. ()f x 是[],a a -上的连续奇(偶)函数,证明不管n 是奇数或偶数,()f x 的最佳逼近多项式*()n n F x H ∈也是奇(偶)函数.17. 求a 、b 使[]22sin ax b x dx π+-⎰为最小.并与1题及6题的一次逼近多项式误差作比较.18. ()f x 、[]1(),g x C a b ∈,定义 ()(,)()();()(,)()()()();b baaa f g f x g x dxb f g f x g x dx f a g a =''=''+⎰⎰问它们是否构成内积?19. 用许瓦兹不等式(4.5)估计6101x dx x +⎰的上界,并用积分中值定理估计同一积分的上下界,并比较其结果.20. 选择a ,使下列积分取得最小值:1122211(),x ax dx x ax dx----⎰⎰.21. 设空间{}{}10010121,,,span x span x x 1ϕ=ϕ=,分别在1ϕ、2ϕ上求出一个元素,使得其为[]20,1x C ∈的最佳平方逼近,并比较其结果.22. ()f x x =在[]1,1-上,求在{}2411,,span x x ϕ=上的最佳平方逼近.23.sin (1)arccos ()n n x u x +=是第二类切比雪夫多项式,证明它有递推关系()()()112n n n u x xu x u x +-=-.24. 将1()sin 2f x x=在[]1,1-上按勒让德多项式及切比雪夫多项式展开,求三次最佳平方逼近多项式并画出误差图形,再计算均方误差. 25. 把()arccos f x x =在[]1,1-上展成切比雪夫级数.26.2y a bx =+. 27.用最小二乘拟合求.29. 编出用正交多项式做最小二乘拟合的程序框图. 30. 编出改进FFT 算法的程序框图. 31. 现给出一张记录{}{}4,3,2,1,0,1,2,3k x =,试用改进FFT 算法求出序列{}k x 的离散频谱{}k C (0,1,,7).k =第四章 数值积分与数值微分1. 确定下列求积公式中的待定参数,使其代数精度尽量高,并指明所构造出的求积公式所具有的代数精度:(1)101()()(0)()hh f x dx A f h A f A f h --≈-++⎰; (2)21012()()(0)()hh f x dx A f h A f A f h --≈-++⎰;(3)[]1121()(1)2()3()/3f x dx f f x f x -≈-++⎰;(4)[][]20()(0)()/1(0)()hf x dx h f f h ah f f h ≈++'-'⎰.2. 分别用梯形公式和辛普森公式计算下列积分:(1)120,84xdx n x =+⎰; (2)1210(1),10x e dx n x --=⎰;(3)1,4n =⎰;(4),6n =.3. 直接验证柯特斯公式(2.4)具有5次代数精度.4. 用辛普森公式求积分10x e dx-⎰并计算误差. 5. 推导下列三种矩形求积公式:(1)2()()()()()2ba f f x dxb a f a b a 'η=-+-⎰; (2)2()()()()()2ba f f x dxb a f b b a 'η=---⎰;(3)3()()()()()224baa b f f x dx b a f b a +"η=-+-⎰. 6. 证明梯形公式(2.9)和辛普森公式(2.11)当n →∞时收敛到积分()baf x dx⎰.7. 用复化梯形公式求积分()baf x dx⎰,问要将积分区间[],a b 分成多少等分,才能保证误差不超过ε(设不计舍入误差)?8.1x e dx-,要求误差不超过510-.9. 卫星轨道是一个椭圆,椭圆周长的计算公式是S a =θ,这里a 是椭圆的半长轴,c 是地球中心与轨道中心(椭圆中心)的距离,记h 为近地点距离,H 为远地点距离,6371R =公里为地球半径,则(2)/2,()/2a R H h c H h =++=-.我国第一颗人造卫星近地点距离439h =公里,远地点距离2384H =公里,试求卫星轨道的周长. 10. 证明等式3524sin3!5!n nn n ππππ=-+-试依据sin(/)(3,6,12)n n n π=的值,用外推算法求π的近似值.11. 用下列方法计算积分31dyy ⎰并比较结果.(1) 龙贝格方法;(2) 三点及五点高斯公式;(3) 将积分区间分为四等分,用复化两点高斯公式.12. 用三点公式和五点公式分别求21()(1)f x x =+在x =1.0,1.1和1.2处的导数值,并估计误()f x 第五章 常微分方程数值解法1. 就初值问题0)0(,=+='y b ax y 分别导出尤拉方法和改进的尤拉方法的近似解的表达式,并与准确解bx ax y +=221相比较。