矢量分析与场论课后答案..
- 格式:doc
- 大小:813.00 KB
- 文档页数:15
习題1 解答1.写出下列曲线的矢長方程,并说明它们規何种曲线。
(1)x=“cos/,y =bsinf(2)x = 3sln/,j = 4sinf,z = 3cos/解:(l)F=“cos〃+"siii{/,其图形是xOy平面上之椭圆。
(2) r = 3sinri +4sin//+ 3coszAr ,其图形是平面4x - 3j = 0 与圆柱面X2+Z2=32之交线,为一椭圆。
2.设有定圆O与动圆C ,半径均为a ,动圆在定圆外相切而滚动,求动圆上一定点A/ 所描曲线的矢■方程。
解:设M点的矢径为OM ^r^xi + yj ,厶OC = 8,页7与兀轴的夹角为28—希;因OM =OC + CM^r = xi+yj = 2«cos^ + 2«sin^+acos(2&—7r)j +asin(2^—/r)j则x = 2a cos 0-a cos 28, y = 2a sin& - a sin2&・故r =(加cos&-acos2&” + (2«sin&-asin2&)</4.求曲线x = r,j = /2,z = |z3的一个切向单位矢。
2 2 , 解:曲线的矢長方程为f=ti + t j + ~( k则其切向矢長为^ = i + 2tj + 2t2k模为I —-1= J1 + 4/2 + 4严=1 + 2/2 'dtdr dr i + 2(/ + 2t 2k 于是切向单位矢長为示/ I莎'= i +2八—6・求曲线x=asin t,y=asln2t,z=acost,在心二处的一个切向矢1L4解:曲线矢星方程为r=a sin2+«sin2(/^acostkdr7 •求曲线x=t 2 +l,y=4t-3.z = 2t 2 -6t 在对应于f = 2的点M 处的切线方程和 法平面方程。
第一章 矢量分析与场论基础1-1 求下列温度场的等温线1)T xy =,2)T x y=+122解 求等温线即设定相关的方程为常数,因此可得⑴ C xy =,xCy =;⑵ C y x =+221-2 求下列标量场的等值面1)u ax by cz=++1,2) =- u z x y 22+, 3)u x y z =ln(++)222解 据题意可得 ⑴ k cz by ax =++⑵ c y x z =+-22,()222c z y x -=+⑶ ()c z y x =++222ln ,c e z y x =++222,2222k z y x =++1-3 求矢量场A e e e =++x y z x y z 2 经过点M (.,.,.)102030的矢量线方程。
解 根据矢量线的定义,可得zzy y x x 2d d d == 解微分方程,可得 x c y 1=,22x c z =将点M (.,.,.)102030的坐标代入,可得 21=c ,32=c 即 x y 2=,23x z = 为所求矢量线方程。
1-4 求矢量场A e e e =++y x x y y z x y z 222的矢量线方程。
解 根据矢量线的定义,可得zy zy x y x y x 222d d d == 解微分方程,可得 122c y x =-,x c z 2= 为所求矢量线方程。
1-5 设u x z yz xz ()M =+-+32222,求:1)u ()M 在点M 0102030(.,.,.)处沿矢量l e e e =++yx zx xy x y z 方向的方向导数,2)u ()M 在点M 0(.,.,.)102030处沿矢量l e e e =+-+-+()()622222x z z z y x x y z 方向的方向导数。
解 l 的方向余弦为 1722322cos 222=++=α,1732323cos 222=++=β,1722322cos 222=++=γ;又有12260=+=∂∂M M xz x xu ,620-=-=∂∂M M z yu ,42220=+-=∂∂M M x y z zu据方向导数的定义,可得 1714172436212cos cos cos 0000=⨯+⨯-⨯=∂∂+∂∂+∂∂=∂∂γβαM M M M z uy u x u l u1-6 求标量场u xy yz zx =++在点M 0(.,.,.)102030 处沿其矢径方向的方向导数。
第一章 矢量分析与场论基础1-1 求下列温度场的等温线1)T xy =,2)T x y=+122解 求等温线即设定相关的方程为常数,因此可得⑴ C xy =,xCy =;⑵ C y x =+221-2 求下列标量场的等值面1)u ax by cz=++1,2) =- u z x y 22+, 3)u x y z =ln(++)222解 据题意可得 ⑴ k cz by ax =++⑵ c y x z =+-22,()222c z y x -=+⑶ ()c z y x =++222ln ,c e z y x =++222,2222k z y x =++1-3 求矢量场A e e e =++x y z x y z 2 经过点M (.,.,.)102030的矢量线方程。
解 根据矢量线的定义,可得zzy y x x 2d d d == 解微分方程,可得 x c y 1=,22x c z =将点M (.,.,.)102030的坐标代入,可得 21=c ,32=c 即 x y 2=,23x z = 为所求矢量线方程。
1-4 求矢量场A e e e =++y x x y y z x y z 222的矢量线方程。
解 根据矢量线的定义,可得zy zy x y x y x 222d d d == 解微分方程,可得 122c y x =-,x c z 2= 为所求矢量线方程。
1-5 设u x z yz xz ()M =+-+32222,求:1)u ()M 在点M 0102030(.,.,.)处沿矢量l e e e =++yx zx xy x y z 方向的方向导数,2)u ()M 在点M 0(.,.,.)102030处沿矢量l e e e =+-+-+()()622222x z z z y x x y z 方向的方向导数。
解 l 的方向余弦为 1722322cos 222=++=α,1732323cos 222=++=β,1722322cos 222=++=γ;又有12260=+=∂∂M M xz x xu ,620-=-=∂∂M M z yu ,42220=+-=∂∂M M x y z zu据方向导数的定义,可得 1714172436212cos cos cos 0000=⨯+⨯-⨯=∂∂+∂∂+∂∂=∂∂γβαM M M M z uy u x u l u1-6 求标量场u xy yz zx =++在点M 0(.,.,.)102030 处沿其矢径方向的方向导数。
系别_______ _____ _ _ 专业__________ ___年级_________ ____姓名______ _ ______学号┈┈┈┈┈┈┈┈┈┈┈┈┈┈┈密┈┈┈┈┈┈┈┈┈┈┈┈┈┈┈封┈┈┈┈┈┈┈┈┈┈┈┈┈┈┈┈┈线┈┈┈┈┈┈┈┈┈┈┈┈┈┈┈安阳师范学院 05电气,06电气专升本 专 业 矢量分析与场论 课2006——2007学年度第一学期期末考试试卷 答案(A 卷)一、判断题:在每道题前的括号中划错对号。
(每题2分, 共10分)1.√二、填空题:把正确答案填到每道题的前的括号中。
(每题3分, 共30分)(1)0 (2) k j i 4128++ (3)k t t j t t t i t t t t )1610()1743()4103(647648765--++++--+-(4)k a 2 π- (5)⎪⎩⎪⎨⎧=+=⎪⎩⎪⎨⎧=++=2zxy 21y 1x 10z y -x 21y 1x 1或 (6)3100 (7))723(621k j i ++ (8)0 (9)0(10)0三、计算题(每题10分, 共30分)1.解: r rgradr = ------------------------------------------1分 dr d r2)r (f )r (f -=''⇒----------------------------7分 k z j y i x++++=222z y x 1 1ln 2)r (f ln c r +-='⇒-----------------8分)]z y x (3r [r1gradr)(div 22223++-=∴ 22)r (f -='⇒r c ----------------------9分 =r2------------------------------------------3分 413)r (f c r c +=⇒-------------10分 )r (f )gradr (div )r (f )]r (gradf [div ''+'= 43)r (f c rc+=或=)r (f )r (f r2''+'------------------------------4分 0)]r (gradf [div = 0)r (f )r (f r2=''+'∴---------------------------------5分 )r (f r2)r (f '-=''⇒)r (f r2)r (f '-='⇒dr d ---------------------------------6分2.解:△u =)53243)((3322222222--++-∂∂+∂∂+∂∂y x y x z y z x zy x ----------------------------3分=)33()324()2126(222332z y x zyz x y y x xz x -∂∂+--∂∂+++∂∂-------------7分 z y z z xy 2362624--+=-----------------------------------------------------------------10分3.解:⎪⎪⎪⎭⎫ ⎝⎛=22242420202y yz x yz z x z A D --------------------------------------------2分k j x x i yz yz A rot)00()22()44(-+-+-=∴=0-----------------------------------------------------------------------3分所以矢量场A为无旋场------------------------------------------------------------4分故为保守场,则存在数性函数)z ,y ,x (u 使得du =dl A --------------5分其中, dz )(R dy )(Q dx )P()u(zy 0x⎰⎰⎰++=x,y,z x,y,0x,0,0x,y,zdz )12(z22⎰-+=z y x ----------------------------------------------6分z222z)z (-+=z y xz z 222-+=z y x --------------------------------------------7分⎰⎰=∴B Aldl A dl A------------------------------------------------------8分⎰=BAd u --------------------------------------------------------9分(5,-1,3)(3,0,1)222z)z (-+=z y x73881=-=-------------------------------------------10分四、证明题(每题10分, 共30分)1.证明:k u j u i u gradu z y x '+'+'=--------------------3分⎪⎪⎪⎭⎫ ⎝⎛''''''''''''''''''=∴zz zyzxyzyyyx xzxy xx u u u u u u u u u D(gradu)--------------------------6分 k )u -u (j )u -u (i )u -u ()gradu (rot xy yx zx xz yz zy''''+''''+''''=∴--------------8分 因为函数)z ,y ,x (u 有二阶的连续偏导数所以,xy yx zx xz yz zy u u u u u u ''=''''=''''='';;---------------9分 0)gradu (rot=∴-------------------------------------10分2.证明: ⎪⎪⎪⎭⎫ ⎝⎛=6-20241012A D ---------------------------3分06-42A div =+=∴----------------------------6分0)11()00()22(A rot=-+-+-=k j i -------9分所以,矢量场A为调和场。
学生填写): 姓名: 学号: 命题: 廖思泉 审题: 审批: ----------------------------------------------- 密 ---------------------------- 封 --------------------------- 线 ----------------------------------------------------------- (答题不能超出密封装订线)《矢量分析与场论》期末考查A 卷试题答案一、名词解析(含定义、算法、物理意义等个,每小题5分,共20分) 1.通量定义:矢量A 沿某一有向曲面S 的面积分为A 通过S 的通量,即 ⎰⎰⋅=ψSd S A ----------------------3分物理意义:矢量通过闭合面的通量反映了闭合面内源的性质。
--------5分 2.矢量的旋度定义:在矢量场A 中,围绕Q 点做一闭合回路,所围面积为∆S ,A 的旋度是矢量,其大小为∆S →0 时环流面密度的最大值,其方向为使环流面密度取最大值时面元的法线方向,即 0maxlimn lA A A A Sd Curl rot lS ∆⋅=⨯∇==⎰→∆--------3分物理意义:矢量的旋度是环流面密度的最大值,与面元的取向有关。
-------5分 3.标量的梯度定义:标量场u 在某点的梯度是一个矢量,其方向为u 增加最大的方向,即等值面法线方向;其大小等于u 在该方向上的增加率,即最大增加率。
---------3分 物理意义:标量的梯度表示了标量u 增加率的最大值及方向。
00grad grad u u u u n∂=∇==∂n n ---------5分 4、保守场∇u 沿线积分与路径无关,沿闭合回路的积分为零。
即)()(1221p u pu d u p p -=⋅∇⎰l ------------3分则∇u 称为保守场,u 称为保守位场。
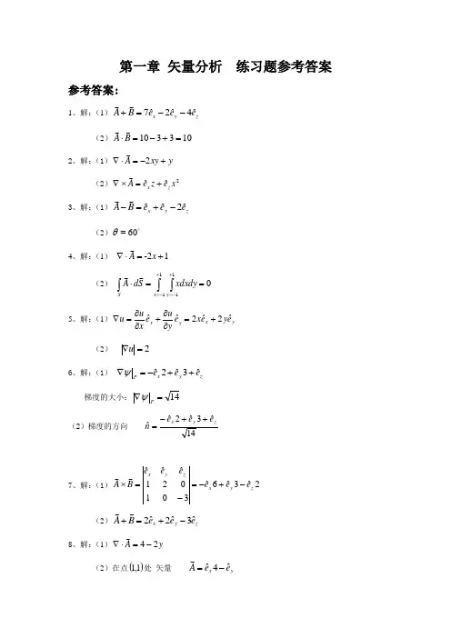
第一章 矢量分析 练习题参考答案参考答案:1、解:(1)z y x e ˆe ˆeˆB A 427--=+ (2)103310=+-=⋅B A2、解:(1)y xy A +-=⋅∇2(2)2ˆˆx e z e A z x +=⨯∇3、解:(1)z y x e e eB A ˆ2ˆˆ-+=- (2) 60=θ4、解:(1) 12-+=⋅∇x A(2) ⎰⎰⎰+-=+-===⋅11110x y S xdxdy S d A5、解:(1)y x e ˆyu e ˆx u u ∂∂+∂∂=∇y x e ˆy e ˆx 22+= (2) 2=∇u6、解:(1) z y x P e e eˆ3ˆ2ˆ++-=∇ψ 梯度的大小:14=∇P ψ(2)梯度的方向 14ˆ3ˆ2ˆˆz y x e e en++-= 7、解:(1)2ˆ3ˆ6ˆ301021ˆˆˆz y x z y x e e ee e e B A -+-=-=⨯ (2)z y x e e eB A ˆ3ˆ2ˆ2-+=+ 8、解:(1)y A 24-=⋅∇(2)在点()1,1处 矢量 y x e e A ˆ4ˆ-=所以矢量场A 在点()1,1处的大小为()171422=-+=A 9、解(1) 21y x A ++=⋅∇(2)z x e y eyz A ˆˆ2+=⨯∇ 10、解:(1) 52122=+=A()103122=-+=B(2) z z y y x x B A B A B A B A ++=⋅()1300211=-⨯+⨯+⨯= 11、解:(1)zE y E x E E z y x ∂∂+∂∂+∂∂=⋅∇ 0=(2)点()43,处y x e ˆeˆE 34+= ,故其大小为 53422=+=E12、解: (1) 不一定(2) 由: C A B A ⋅=⋅ 知: ()0=-⋅C B A此时当有三种可能:C B = 或 0=A 或 A 与C B -相互垂直13、解:(1)点电荷位置矢量 z y x s e e er ˆ4ˆˆ3++-= 场点位置矢量 z y x f e e er ˆ3ˆ2ˆ2+-=(2) 点电荷到场点的距离矢量 s f r r R -=z y x e e eR ˆˆ3ˆ5--= 14、解:(1)y x e yu e x u u ˆˆ∂∂+∂∂=∇y x e y e ˆ2ˆ+-= (2)梯度在正x 方向的投影 1ˆ-=⋅∇x eu15、解:(1)设直角坐标系中的坐标为()z y x ,,,由圆柱坐标系与直角坐标系转换关系得:232cos 4cos -===πϕρx 464.332sin 4sin ===πϕρy 3=z (2)任意点的位置矢量为 z y x e z e y ex r ˆˆˆ++= 将()z y x ,,的数值代入得该点的位置矢量: z y x e e er ˆ3ˆ464.3ˆ2++-= 16、解:(1)3=⋅∇A(2)矢量场A 在点()2,2,1处的大小 3=A17、解:(1)根据2cos ==⋅θAB B A3714.01385.52cos =⨯=θ 所以 12.68=θ(2)矢量A 在B 上的分量为 2=⋅=⋅B A BB A 18、解(1)直角坐标中的表达式z y x r e z e y e x r r eE ˆˆˆˆ++=== (2) 3=E19、解:(1) 0=⨯∇A(2) 矢量场A 的在点()1,1处的大小为:2=A20、证明:在直角坐标系里计算3=⋅∇r若在球坐标系里计算,则 232211()()()3r r r r r r r r r ∂∂∇⋅===∂∂由此说明了矢量场的散度与坐标的选择无关。
第一章 矢量分析与场论基础1-1 求下列温度场的等温线 1)Txy=,2)Txy=+122解 求等温线即设定相关的方程为常数,因此可得 ⑴ Cxy =,xC y=;⑵ Cyx =+221-2 求下列标量场的等值面 1)ua xb y cz=++1,2) =-uz xy 22+, 3)uxyz =ln(++)222解 据题意可得 ⑴ kcz by ax =++ ⑵ cyxz=+-22,()222c z yx -=+⑶ ()c z y x =++222ln ,c e z y x =++222,2222k z y x =++1-3 求矢量场A e e e =++x y z x y z 2 经过点M (.,.,.)102030的矢量线方程。
解 根据矢量线的定义,可得zz y y x x 2d d d ==解微分方程,可得 x c y 1=,22x c z =将点M (.,.,.)102030的坐标代入,可得 21=c ,32=c 即 x y 2=,23x z = 为所求矢量线方程。
1-4 求矢量场A e e e =++y x x y y z x y z 222的矢量线方程。
解 根据矢量线的定义,可得zy z yx y xy x 222d d d ==解微分方程,可得 122c y x =-,x c z 2= 为所求矢量线方程。
1-5 设u x z yz xz ()M =+-+32222,求:1)u ()M 在点M 0102030(.,.,.)处沿矢量l e e e =++yx zx xy x y z 方向的方向导数,2)u ()M 在点M 0(.,.,.)102030处沿矢量l e e e =+-+-+()()622222x z z z y x x y z 方向的方向导数。
解 l 的方向余弦为1722322cos 222=++=α,1732323cos 222=++=β,1722322cos 222=++=γ;又有12260=+=∂∂MMxzx xu ,620-=-=∂∂MMzyu ,42220=+-=∂∂MMxy z zu据方向导数的定义,可得1714172436212cos cos cos 0=⨯+⨯-⨯=∂∂+∂∂+∂∂=∂∂γβαMMMMzu yu xu lu1-6 求标量场uxy yz zx=++在点M 0(.,.,.)102030 处沿其矢径方向的方向导数。
第一章 矢量分析与场论基础1-1 求下列温度场的等温线1)T xy =,2)T x y=+122解 求等温线即设定相关的方程为常数,因此可得⑴ C xy =,xCy =;⑵ C y x =+221-2 求下列标量场的等值面1)u ax by cz=++1,2) =- u z x y 22+, 3)u x y z =ln(++)222解 据题意可得 ⑴ k cz by ax =++⑵ c y x z =+-22,()222c z y x -=+⑶ ()c z y x =++222ln ,c e z y x =++222,2222k z y x =++1-3 求矢量场A e e e =++x y z x y z 2 经过点M (.,.,.)102030的矢量线方程。
解 根据矢量线的定义,可得zzy y x x 2d d d == 解微分方程,可得 x c y 1=,22x c z =将点M (.,.,.)102030的坐标代入,可得 21=c ,32=c 即 x y 2=,23x z = 为所求矢量线方程。
1-4 求矢量场A e e e =++y x x y y z x y z 222的矢量线方程。
解 根据矢量线的定义,可得zy zy x y x y x 222d d d == 解微分方程,可得 122c y x =-,x c z 2= 为所求矢量线方程。
1-5 设u x z yz xz ()M =+-+32222,求:1)u ()M 在点M 0102030(.,.,.)处沿矢量l e e e =++yx zx xy x y z 方向的方向导数,2)u ()M 在点M 0(.,.,.)102030处沿矢量l e e e =+-+-+()()622222x z z z y x x y z 方向的方向导数。
解 l 的方向余弦为 1722322cos 222=++=α,1732323cos 222=++=β,1722322cos 222=++=γ;又有12260=+=∂∂M M xz x xu ,620-=-=∂∂M M z yu ,42220=+-=∂∂M M x y z zu据方向导数的定义,可得 1714172436212cos cos cos 0000=⨯+⨯-⨯=∂∂+∂∂+∂∂=∂∂γβαM M M M z uy u x u l u1-6 求标量场u xy yz zx =++在点M 0(.,.,.)102030 处沿其矢径方向的方向导数。
⽮量分析与场论(节选)2.2 标量场的⽅向导数和梯度2.2.1 标量场的⽅向导数在标量场中,在 P 点沿 l ⽅向的变化率定义为该标量场在 P 点沿 l ⽅向的⽅向导数,记为∂u∂l P =lim Δl →0u (x +Δx ,y +Δy ,z +Δz )−u (x ,y ,z )Δl =∂u ∂x cos α+∂u ∂y cos β+∂u ∂z cos γ即需要两个东西:函数和⽅向→l =→e x cos α+→e y cos β+→e z cos γ当然,与普通函数的导数类似,⽅向导数也不是百分之百存在的,需要函数满⾜在某点处可微,才能计算出该函数在该点的⽅向导数。
⾄于其物理含义,这⾥采⽤最常⽤的下⼭图来表⽰。
简单将上图看作是⼀座⼭的模型,我们处在⼭上的某⼀点处,需要⾛到⼭下。
理论上来说,这座⼭的表⾯是可以通过⼀个函数的描述的(虽然想要找到这个函数可能很难),⽽这个函数可以在不同的⽅向上都确定出⼀个⽅向导数,这就好⽐于如果我们想下⼭,道路并不是唯⼀的,⽽是可以沿任何⽅向移动。
区别在于有些⽅向可以让我们下⼭速度更快,有些⽅向让我们下⼭速度更慢,有些⽅向甚⾄引导我们往⼭顶⾛(也可以理解为下⼭速度时负的)。
在这⾥,速度的值就是⽅向导数的直观理解。
2.2.2 标量场的梯度梯度与⽅向导数是有本质区别的,梯度其实是⼀个向量,其定义为:在空间⼀给定点,⽮量 A 的⼤⼩等于标量函数 u 在该点的最⼤⽅向的⽅向导数值,⽮量 A 的⽅向指向使标量函数 u 的值增加最快的⽅向。
这个⽮量 A 就被定义为标量场 u(x,y,z) 的梯度(gradient),记为 gradu=AA 的具体表⽰可以参考"8 梯度的产⽣"梯度的基本公式:∇(au )=a ∇u ,a 为常数∇(u ±v )=∇u ±∇v∇(uv )=u ∇v +v ∇u∇uv =1v 2(v ∇u −u ∇v )很显然,算⼦ ∇同时具有类似于⽮量和微分的性质,所以常将其称作⽮量微分算⼦。
矢量分析与场论习题11.写出下列曲线的矢量方程,并说明它们是何种曲线。
()1x a t y b t cos ,sin ==()2x t y t z t 3sin ,4sin ,3cos ===解: ()1r a ti b tj cos sin =+,其图形是xOy 平面上之椭圆。
()2r ti tj tk 3sin 4sin 3cos =++,其图形是平面430x y -=与圆柱面2223x z +=之交线,为一椭圆。
4.求曲线3232,,t z t y t x ===的一个切向单位矢量τ。
解:曲线的矢量方程为k t j t ti r 3232++= 则其切向矢量为k t tj i dtdr222++= 模为24221441||t t t dtdr+=++= 于是切向单位矢量为222122||/t kt tj i dt dr dt dr +++=6.求曲线x a t y a t z a t 2sin ,sin2,cos ,===在t π4=处的一个切向矢量。
解:曲线矢量方程为 ra ti a tj a tk 2sin sin2cos =++切向矢量为ra ti a tj a tk tτd sin22cos2sin d ==+- 在t π4=处,t r ai ak tπτ4d d ===- 7.求曲线t t z t y t x 62,34,122-=-=+= 在对应于2=t 的点M 处的切线方程和法平面方程。
解:由题意得),4,5,5(-M 曲线矢量方程为,)62()34()1(22k t t j t i t r-+-++=在2=t 的点M 处,切向矢量k j i k t j ti dtdr t t 244])64(42[22++=-++====τ于是切线方程为142525,244545+=-=-+=-=-z y x z y x 即 于是法平面方程为0)4()5(2)5(2=++-+-z y x ,即 01622=-++z y x8.求曲线r ti t j t k 23=++上的这样的点,使该点的切线平行于平面x y z 24++=。
矢量分析与场论习题11.写出下列曲线的矢量方程,并说明它们是何种曲线。
()1x a t y b t cos ,sin ==()2x t y t z t 3sin ,4sin ,3cos ===解: ()1r a ti b tj cos sin =+,其图形是xOy 平面上之椭圆。
()2r ti tj tk 3sin 4sin 3cos =++,其图形是平面430x y -=与圆柱面2223x z +=之交线,为一椭圆。
4.求曲线3232,,t z t y t x ===的一个切向单位矢量τ。
解:曲线的矢量方程为k t j t ti r 3232++= 则其切向矢量为k t tj i dtdr222++= 模为24221441||t t t dtdr+=++= 于是切向单位矢量为222122||/t kt tj i dt dr dt dr +++=6.求曲线x a t y a t z a t 2sin ,sin 2,cos ,===在t π4=处的一个切向矢量。
解:曲线矢量方程为 r a ti a tj a tk 2sin sin2cos =++切向矢量为ra ti a tj a tk tτd sin22cos2sin d ==+- 在t π4=处,t r ai ak tπτ4d 2d 2===- 7.求曲线t t z t y t x 62,34,122-=-=+= 在对应于2=t 的点M 处的切线方程和法平面方程。
解:由题意得),4,5,5(-M 曲线矢量方程为,)62()34()1(22k t t j t i t r-+-++=在2=t 的点M 处,切向矢量k j i k t j ti dtdr t t 244])64(42[22++=-++====τ于是切线方程为142525,244545+=-=-+=-=-z y x z y x 即 于是法平面方程为0)4()5(2)5(2=++-+-z y x ,即 01622=-++z y x8.求曲线r ti t j t k 23=++上的这样的点,使该点的切线平行于平面x y z 24++=。
解:曲线切向矢量为dri tj t k dtτ223==++, ⑴ 平面的法矢量为n i j k 2=++,由题知()()i tj t k n i k t t j τ221432230=+⋅++⋅+++== 得t 11,3=--。
将此依次代入⑴式,得k j i k j i t t 2719131|,|311-+-=-+-=-=-=ττ故所求点为()1111,11,,,3927⎛⎫---- ⎪⎝⎭习题21.说出下列数量场所在的空间区域,并求出其等值面。
()1u Ax By Cz D1;=+++()2u arc=解:()1场所在的空间区域是除Ax By Cz D 0+++=外的空间。
等值面为01111=-+++=+++C D Cz By Ax C D Cz By Ax 或为任意常数)(01≠C ,这是与平面Ax By Cz D 0+++=平行的空间。
()2场所在的空间区域是除原点以外的z x y 222≤+的点所组成的空间部分。
等值面为)0(,sin )(222222≠++=y x c y x z ,当c sin 0≠时,是顶点在坐标原点的一族圆锥面(除顶点外); 当c sin 0=时,是除原点外的xOy 平面。
2.求数量场x y u z22+=经过点()M 1,1,2的等值面方程。
解:经过点()M 1,1,2等值面方程为x y u z 22221112++===,即z x y 22=+,是除去原点的旋转抛物面。
3.已知数量场u xy =,求场中与直线x y 240+-=相切的等值线方程。
解:设切点为()x y 00,,等值面方程为xy c x y 00==,因相切,则斜率为 2100-=-=x y k ,即002y x = 点()x y 00,在所给直线上,有x y 00240+-=解之得y x 001,2== 故2=xy4.求矢量222A xy i x yj zy k =++的矢量线方程。
解 矢量线满足的微分方程为A dr 0⨯=, 或dx dy dzxy x y zy 222== 有.,zdz x dx ydy xdx ==解之得),(,212122为任意常数C C x C z C y x ⎩⎨⎧==- 5.求矢量场zk y x j y i x A )(22+++=通过点M )1,1,2(的矢量线方程。
解 矢量线满足的微分方程为.)(22z y x dzydy x dx +== 由12211C y x ydy x dx +==得, 按等比定理有,)()(22zy x dzy x y x d +=--即.)(z dz y x y x d =--解得.2z C y x =- 故矢量线方程为⎪⎩⎪⎨⎧=-+=zC y x C y x 21,11又)1,1,2(M 求得1,2121=-=C C故所求矢量线方程为.2111⎪⎩⎪⎨⎧=--=z y x y x习题31.求数量场2322u x z y z =+在点()2,0,1M -处沿l xi xy j z k 2423=-+的方向导数。
解:因()MMlxi xy j z k i k 242343=-+=+,其方向余弦为.53cos ,0cos ,54cos ===γβα 在点)1,0,2(-M 处有,1223,04,422223=+=∂∂==∂∂-==∂∂y z x zuyz y u xz x u 所以4125300)4(54=•+•+-•=∂∂l u 2.求数量场223u x z xy z =-+在点()1,1,1M -处沿曲线23,,x t y t z t ==-=朝t 增大一方的方向导数。
解:所求方向导数,等于函数u 在该点处沿曲线上同一方向的切线方向导数。
曲线上点M 所对应的参数为1=t ,从而在点M 处沿所取方向,曲线的切向方向导数为33,22,1121==-=-====t Mt MMt dtdz tdtdy dtdx ,其方向余弦为.143cos ,142cos ,141cos =-==γβα又5)23(,1,7)6(2=+=∂∂-=-=∂∂=-=∂∂MMM MM Mz x zu x yu y xz xu 。
于是所求方向导数为14241435142)1(1417)cos cos cos (=⨯+-⨯-+⨯=∂∂+∂∂+∂∂=∂∂MMz u y u x u lu γβα3.求数量场23u x yz =在点()2,1,1M -处沿哪个方向的方向导数最大? 解: 因()uu l u lθ0grad grad cos ∂=⋅=∂, 当θ0=时,方向导数最大。
,1244)32()(u grad 22323k j i k yz x j z x i xyz k z u j y u i x u MMM +--=++=∂∂+∂∂+∂∂=即函数u 沿梯度k j i M 1244u grad +--=方向的方向导数最大 最大值为114176ugrad ==M。
4.画出平面场)(2122y x u -=中2,23,1,21,0=u 的等值线,并画出场在)2,2(1M 与点)7,3(2M 处的梯度矢量,看其是否符合下面事实:(1)梯度在等值线较密处的模较大,在较稀处的模较小;(2)在每一点处,梯度垂直于该点的等值线,并指向u 增大的方向。
解:所述等值线的方程为:,4,3,2,1,02222222222=-=-=-=-=-y x y x y x y x y x 其中第一个又可以写为0,0=+=-y x y x 为二直线,其余的都是以Ox 轴为实轴的等轴双曲线(如下图,图中,u grad 11M G =,u grad 22M G =)由于,u yj xi grad -= 故,22u grad 1j i M -=,73u grad 2j i M -=由图可见,其图形都符合所论之事实。
5.用以下二法求数量场u xy yz zx =++在点()1,2,3P 处沿其矢径方向的方向导数。
()1 直接应用方向导数公式;()2 作为梯度在该方向上的投影。
解:()1点P 的矢径,32k j i r ++=其模.14=r 其方向余弦为.143cos ,142cos ,141cos ===γβα又3)(,4)(,5)(=+=∂∂=+=∂∂=+=∂∂P PP PP Py x zu z x yu z y xu所以。
1422143314241415)cos cos cos (=⨯+⨯+⨯=∂∂+∂∂+∂∂=∂∂P Pz u y u x u l u γβα()2,345)(ugrad k j i k z uj y u i x u PP++=∂∂+∂∂+∂∂= .1431421410k j i r r r ++==故。
1422143314241415u grad 0=⨯+⨯+⨯=•=∂∂r lu P P6,求数量场z y x xy z y x u 62332222--++++=在点)0,0,0(O 与点)1,1,1(A 处梯度的大小和方向余弦。
又问在哪些点上梯度为0?解:,)66()24(32u k z j x y i y x grad -+-++++=)( ,036u grad ,623u grad k j i k j i A O ++=--=其模依次为:53036,7)6()2(3222222=++=-+-+ 于是O u grad 的方向余弦为.76cos ,72cos ,73cos -=-==γβα A u grad 的方向余弦为.0cos ,51cos ,52cos ===γβα求使0u =grad 之点,即求坐标满足⎪⎩⎪⎨⎧=-=-+=++066,024,032z x y y x 之点,由此解得1,1,2==-=z y x 故所求之点为).1,1,2(-7.通过梯度求曲面422=+xz y x 上一点)3,2,1(-M 处的法线方程。
解:所给曲面可视为数量场xz y x u 22+=的一等值面,因此,场u 在点M 处的梯度,就是曲面在该点的法矢量,即,222)22(u grad 2k j i xk j x i z xy MM ++=+++=故所求的法线方程为.231221-=+=-z y x 习题 41.设S 为上半球面),0(2222≥=++z a z y x 求矢量场zk yj xi r ++=向上穿过S 的通量Φ。
【提示:注意S 的法矢量n 与r 同指向】 解:.2232a a a dS a dS r dS r dS r SSSn Sππ=⋅====⋅=Φ⎰⎰⎰⎰⎰⎰⎰⎰2.设S 为曲面),0(2222h z a z y x ≤≤=++求流速场k z y x v )(++=在单位时间下侧穿S 的流量Q 。