2016年安徽高考第二批次本科院校投档分数线排名(理工)
- 格式:xls
- 大小:52.00 KB
- 文档页数:16
院校代号院校名称投档最低分省控线线差投档最低分排名投档人数2001安康学院——————————2002安阳工学院5225111110005612 2003安阳师范学院51351121124567 2004鞍山师范学院511511011594818 2006保定学院51251111145307 2007北方民族大学528511179293017 2008北华大学5365112582425194 2009北华大学(中外合作)——————————2010北华航天工业学院516511510865141 2011北京服装学院537511268124243 2012北京联合大学550511396533844 2013北京农学院542511317434917 2014北京农学院(中外合作)53151120886034 2015北京师范大学珠海分校540511297779889 2016北京石油化工学院550511396575428 2017北京物资学院556511455905223 2018滨州学院51251111138579 2019滨州医学院543511327356443 2020渤海大学539511287826580 2021沧州师范学院——————————2022长春大学545511347060435 2023长春大学(中外合作)53151120889663 2024长春工程学院535511248410996 2025长春工程学院(中外合作)514511311151524 2026长春工业大学544511337229148 2027长春工业大学(中外合作)534511238476012 2028长春师范大学525511149689740 2029长春师范大学(中外合作)522511111000782 2030赣南医学院537511268086136 2030长春中医药大学535511248337543 2031长江大学547511366852348 2032长江大学(中外合作)512511111451435 2033长江师范学院523511129877530 2034长沙师范学院51651151080121 2035长沙学院530511199066640 2036长治学院53951128789692 2037长治医学院536511258281926 2038常熟理工学院545511347152265 2039常州大学557511465706952 2040常州工学院534511238533720 2041常州工学院(中外合作)51951181041642 2042成都工业学院532511218700212安徽省2015年普通高校招生本科第二批院校投档分数及名次(理工)2043成都理工大学564511535023812 2043成都医学院560511495467510 2044成都师范学院524511139847115 2045成都体首学院51451131107019 2046成都信息工程大学552511416263366 2047成都学院533511228613324 2049成都中医药大学550511396498014 2050承德医学院53851127797258 2051赤峰学院——————————2052楚雄师范学院——————————2053川北医学院538511278043614 2054大理大学528511179269520 2055大连大学552511416346374 2056大连工业大学548511376749390 2057大连海洋大学550511396556373 2058大连交通大学554511436087327 2060大连民族大学(招少数民族考生)511511011530311 2061大连外国i吾大学576511653862523 2062大庆师范学院51751161067713 2063德州学院51151101154648 2064东北电力大学5455113471402119 2065东北电力大学(中外合作)55351142622895 2066东华理工大学55351142620282 2067东莞理工学院53851127795318 2068防灾科技学院5175116107045102 2069大连民族大学538511277969516 2069佛山科学技术学院523511129954414 2070福建工程学院544511337221786 2071福建江夏学院544511337265041 2072福建农林大学530511199001247 2073福建师范大学541511307561483 2074福建师范大学(中外合作)531511208926610 2075福建医科大学572511614224234 2076福建中医药大学540511297701831 2077甘肃农业大学514511********* 2078甘肃政法学院52851117925215 2079赣南师范学院519511810475421 2081广东财经大学57751166380856 2082广东第二师范学院52851117934032 2083广东医学院564511535020012 2083广东海洋大学537511268174029 2084广东技术师范学院53351122857868 2085广东金融学院56951158449137 2086广东石油化工学院527511169342233 2087广东药学院5515114064038142089广西财经学院546511356997015 2090厂西科技大学539511287904540 2091广西科技师范学院——————————2092广西民族大学527511169400224 2093广西师范大学532511218770825 2094广西师范学院51151101151161 2095广西医科大学533511228633110 2097贵州财经大学51251111135555 2098贵州财经大学(中外合作)54351132739961 2099贵州理工学院527511169456723 2100贵州师范大学515511410979210 2102贵州医科大学55051139651794 2103桂林电千科技大学553511426148054 2104桂林航天工业学院515511411045413 2105桂林理工大学539511287805145 2106桂林旅游学院52051191032991 2107桂林医学院539511287838615 2108哈尔滨金融学院529511189174825 2109哈尔滨理工大学553511426143574 2110哈尔滨商业大学542511317479940 2111哈尔滨师范大学5305111990508120 2113哈尔滨学院520511910252328 2114哈尔滨医科大学545511347111811 2115海南大学546511356955586 2116海南师范大学5315112088263131 2117海南医学院538511277996242 2119杭州师范大学555511445977242 2120河北北方学院512511111406910 2121河北工程大学5475113669297104 2122河北建筑工程学院537511268058120 2123河北金融学院550511396543612 2124河北经贸大学550511396528225 2125河北科技大学544511337295651 2126河北科技师范学院511511011569235 2127河北师范大学543511327305333 2128河北医科大学557511465756316 2129河北中医学院53251121881416 2130河池学院——————————2131河南财经政法大学562511515269838 2132河南城建学院513511211192026 2133河南城建学院(中外合作)51451131111741 2134间南工程学院536511258298238 2135河南工业大学5465113569824123 2136河南科技大学5495113865855121 2137河南科技学院512511111328832138河南理工大学546511357033447 2139河南理工大学(中外合作)5225111110029720 2140河南农业大学532511218798835 2141河南中医学院53151120884628 2142河西学院51351121122431 2143菏泽学院——————————2144贺州学院——————————2145黑河学院51151101159085 2146黑龙江八一农垦大学511511011577269 2147黑龙江大学543511327339593 2148黑龙江工程学院515511410985162 2149黑龙江科技大学5335112286637160 2150黑龙江中医药大学533511228674510 2151衡水学院51351121126256 2152衡阳师范学院51151101153888 2153红河学院——————————2155湖北第二师范学院534511238472163 2156湖北工程学院539511287869357 2157湖北经济学院553511426234648 2158湖北警官学院54051129772958 2159湖北科技学院534511238483249 2161湖北理工学院545511347168943 2162湖北民族学院514511311079042 2163湖北汽车工业学院541511307578657 2164湖北师范学院529511189105744 2165湖北师范学院(中外合作)——————————2166湖北文理学院530511199058146 2167湖北医药学院537511268046181 2168湖北中医药大学544511337220537 2169湖南财政经济学院565511544933610 2170湖南城市学院532511218711631 2171湖南第一师范学院54551134715608 2172湖南工程学院539511287854723 2173湖南工学院525511149727168 2174湖南工业大学545511347107296 2175湖南科技学院51151101147725 2176湖南理工学院542511317428926 2177湖南农业大学545511347118435 2180湖南商学院55651145580505 2181湖南文理学院518511710556614 2182湖南医药学院52651115959728 2183湖南中医药大学538511278000117 2184湖州师范学院531511208859439 2185华北科技学院5355112483438180 2186华北科技学院(中外合作)513511211322632187华北理工大学5395112878515107 2188华北水利水电大学553511426198268 2189华北水利水电大学(中外合作)525511149677520 2190华东交通大学564511535058220 2191怀化学院51251111144618 2192淮海工学院546511356942949 2193淮阴工学院533511228576784 2194淮阴师范学院514511311139550 2195黄闪师范学院511511011540316 2196吉林财经大学558511475659227 2197吉林财经大学(中外合作)55351142622794 2198吉林工程技术师范学院51151101152971 2199吉林工商学院530511199043045 2200吉林化工学院5175116106616105 2201吉林建筑大学545511347069340 2202吉林建筑大学(中外台作)53351122868192 2203吉林普察学院518511710547117 2204吉林农业大学5195118104368138 2205吉林农业大学(中外合作)51951181049722 2206吉林农业科技学院511511011564414 2207吉林师范太学524511139855136 2208吉林师范大学(中外合作)52651115959621 2209吉林体育学院——————————2210吉林医药学院529511189101851 2211吉首大学539511287842316 2212济宁学院518511********* 2213江苏警官学院55651145583796 2213济宁医学院539511287907785 2214佳木斯大学5185117105669163 2215嘉兴学院5505113965779132 2216江汉大学547511366901746 2217江苏笫二师范学院535511248353421 2219江苏理工学院550511396523552 2220江苏师范大学552511416271837 2221江苏师范大学(中外合作)51251111141194 2222江西科技师范大学536511258283865 2223江西科技师范大学(中外合作)——————————2224江西理工大学5475113668485125 2225江西理工大学(中外合作)51551141094574 2226江西农业大学5325112187960124 2227江西师范大学547511366872172 2228江西中医药大学541511307544520 2229金陵科技学院561511505338631 2230晋中学院51351121125441 2231荆楚理工学院52151110101466302232井冈山大学518511********* 2233并冈山大学(中外合作)51151101150914 2234景德镇陶瓷学院526511159516448 2235景德镇学院51451131117361 2236九江学院5225111110014273 2238喀什大学——————————2239昆明理工大学554511436043766 2240昆明学院5215111010170928 2241昆明医科大学559511485544311 2242兰州财经大学533511228685619 2243兰州城市学院511511011464410 2244兰州工业学院528511179225113 2245兰州交通大学555511445940478 2246兰州理工大学546511357033676 2247兰州文理学院————————2248廊坊师范学院521511********* 2249乐山师范学院51751161068272 2250丽水学院534511238449542 2251辽东学院511511011573930 2252辽宁工业大学547511366866191 2253辽宁科技大学546511356937627 2255辽宁师范大学546511356976836 2256辽宁师范大学(中外合作)53651125828214 2257辽宁医学院538511277948055 2258辽宁中医药大学529511189167115 2259聊城大学53551124840117 2260临沂大学549511386581120 2262六盘水师范学院——————————2263龙岩学院513511211302340 2264陇东学院——————————2265鲁东大学549511386625179 2266吕梁学院51151101147793 2267洛阳理工学院5385112780060106 2268洛阳理工学院(中外合作)51651151083093 2269洛阳师范学院51151101156377 2270绵阳师范学院——————————2271闽江学院535511248331339 2272闽南师范大学530511198956956 2273牡丹江师范学院——————————2274牡丹江医学院529511189202165 2275内象古财经大学525511149679010 2276内蒙古工业大学526511159506250 2277内蒙古科技大学523511129879537 2278内蒙古科技大学包头师范学院——————————2279内豢古科技大学包头医学院5285111792561102280内蒙古民族大学511511011476411 2281内蒙古农业大学515511410956160 2282内蒙古师范大学51251111140037 2283内豢古医科大学531511208855910 2284南昌工程学院5425113174653100 2285南昌工程学院(中外台作)52951118917914 2286南昌航空大学555511445985242 2287南昌航空大学(中外合作)538511278012311 2288南昌师范学院——————————2289南华大学515511410994374 2290南京工程学院567511564697694 2291南京林业大学564511535059635 2292南京特殊教W师范学院51251111136338 2293南京体育学院516511********* 2294南京晓庄学院550511396482850 2295南京医科大学570511594463913 2297南京中医药大学558511475643227 2298南通大学554511436089966 2299南阳理工学院5225111110013753 2300南阳理工学院(中外合作)51151101147282 2301南阳师范学院51451131111601 2302宁波工程学院551511406403695 2303宁波工程学院(中外合作)54251131747842 2304宁德师范学院51151101155714 2305宁夏师范学院——————————2306宁夏医科大学54251131747226 2307平顶山学院51151101154872 2308萍乡学院51151101155881 2309莆田学院518511********* 2310普洱学院——————————2311齐鲁工业大学543511327372493 2313齐齐哈尔大学518511710543298 2314齐齐哈尔医学院531511208887675 2315钦州学院52651115951051 2316青岛农业大学544511337235820 2317青海民族大学512511111383434 2318青海师范大学511511011567111 2319琼州学院514511311080148 2320曲阜师范大学537511268065810 2321曲靖师范学院——————————2322衢州学院532511218790235 2323泉州师范学院528511179337942 2324三明学院5215111010205324 2325三明学院(中外合作)——————————2326三峡大学545511347108932327山东工商学院551511406393379 2328山东工商学院(中外合作)525511149723226 2329山东工艺美术学院521511********* 2330山东管理学院54051129778878 2331山东建筑大学561511505325440 2332山东交通学院544511337209060 2333山东理工大学554511436033762 2334山东农业大学543511327353141 2335山东农业工程学院513511211194120 2337山东青年政治学院52951118920075 2338山东师范大学551511406373320 2339山东政法学院550511396523825 2340山东中医药大学54551134709578 2341山西大同大学526511159528220 2342山西工程技术学院51151101153132 2343山西农业大学526511159490081 2344山西师范大学525511149602618 2345山西医科大学547511366878855 2346山西中医学院527511169352834 2347陕西理工学院532511218742814 2348陕西学前师范学院——————————2349陕西中医药大学539511287906810 2350商洛学院——————————2351商丘师范学院511511011562745 2352上海第—工业大学5545114360422212 2353上海电机学院5535114262226116 2354上海电机学院(中外合作)55851147565191 2355上海电力学院5645115349780206 2356上海电力学院(中外合作)56351152508798 2357上海工程技术大学5655115449612194 2358上海工程技术大学(中外合作)549511386662139 2359上海海关学院58751176298067 2360上海海洋大学560511495373239 2361上海海洋大学(中外合作)549511386646820 2362上海金融学院577511663813962 2363上海立信会计学院580511693596064 2364上海商学院566511554785051 2365上海师范大学(中外合作)552511416351331 2366上海视觉艺术学院51151101152722 2367上海体育学院538511277945226 2368上海应用技术学院5515114064199195 2369上海应用技术学院(中外合作)541511307633521 2370上饶师范学院——————————2371韶关学院515511********* 2372邵阳学院515511*********2373绍兴文理学院542511317445542 2374沈阳大学540511297722073 2375沈阳工程学院546511356993210 2376沈阳工业大学550511396525934 2377沈阳航空航天大学542511317511479 2378沈阳化工大学5375112681170129 2379沈阳理工大学532511218742257 2380沈阳师范大学528511179249866 2382沈阳医学院542511317525526 2383石河子大学526511159506849 2384石家庄经济学院535511248357581 2386石家庄学院51251111141104 2387四川理工学院536511258307120 2388四川旅游学院51651151082002 2390四川师范大学544511337220036 2391四川外国语大学56351152514996 2392四川外国语大学(中外合作)54051129775215 2393四川文理学院51151101149617 2394四川医科大学55551144600813 2395苏州科技学院554511436023327 2396苏州科技学院(中外合作)52951118916774 2397绥化学院51151101153487 2398塔里木大学51251111145064 2399台州学院528511179212735 2400太原工业学院531511208898935 2401太原科技大学547511366868840 2402太原师范学院512511111331120 2403太原学院51451131118537 2404泰山学院51551141098886 2405泰山医学院535511248385420 2406唐山师范学院51451131118833 2407唐山学院529511189100017 2408天津城建大学5505113965407278 2409天津工业大学552511416301940 2410天津工业大学(中外合作)543511327324445 2411天津科技大学5575114657786200 2412天津科技大学(中外合作)533511228662920 2413天津理工大学560511495388727 2414天津农学院5305111990084143 2415天津商业大学5525114163347182 2416天津商业大学(中外合作)537511268150719 2417天津师范大学555511445937482 2418天津职业技术师范大学5325112188130131 2419天津中医药大学544511337264136 2420天津中医药大学(中外合作)519511810512622421天水师范学院51851171059451 2422通化师范学院——————————2423潍坊学院5225111110070655 2424潍坊医学院542511317512346 2425渭南师范学院52351112992241 2426溫州大学561511505365741 2427温州医科大学576511653899925 2429梧州学院——————————2430五邑大学540511297707424 2431宜宾学院——————————2431武汉纺织大学549511386621764 2432武汉工程大学557511465778512 2433武汉工程大学(中外合作)518511710556020 2434武汉轻工大学553511426137079 2435武汉商学院53351122857699 2436玉林师范学院——————————2436武汉体育学院517511********* 2437武夷学院5215111010184237 2437玉溪师范学院51151101154932 2438西安财经学院559511485546934 2439西安工程大学547511366826673 2440西安工业大学56351152510152 2441西安航空学院550511396569211 2442西安石油大学551511406459112 2444西安文理学院535511248369411 2445西安医学院56551154492398 2446西北民族大学513511211309423 2447西北民族大学(招少数民族考生)51251111143741 2448西北师范大学533511228579219 2449西藏大学51351121130672 2450西昌学院51251111136127 2451西华大学545511347134631 2452西华师范大学520511910378213 2453西南交通大学575511643962449 2454西南林业大学520511910372232 2455西南民族大学538511277955926 2456西南民族大学(招少数民族考生)514511311162612 2457西南石油大学542511317528514 2458厦门理工学院560511495433346 2459厦门理工学院537511268081736 2460咸阳师范学院53051119896041 2461湘南学院526511159561713 2462忻州师范学院——————————2463新疆工程学院——————————2464新疆农业大学5115110115577102465新疆师范大学511511011507216 2466新疆医料大学533511228668926 2467新乡学院511511011524010 2468新乡医学院540511297682814 2469新余学院51751161070886 2470信阳农林学院——————————2471信阳师范学院51351121131775 2472兴义民族师范学院51451131108461 2473邢台学院51151101154431 2474徐州工程学院545511347152863 2475徐州医学院574511634058630 2476许昌学院51751161066183 2477烟台大学551511406393052 2478延安大学536511258276310 2479盐城工学院544511337238956 2480盐城师范学院520511********* 2482宜春学院527511169366142 2483营口理工学院51951181046192 2484右江民族医学院529511189157420 2485榆林学院51251111141185 2488云南财经大学551511406395024 2489云南曾官学院53351122863226 2490云南民族大学521511********* 2491云南农业大学532511218814326 2492云南师范大学527511169432615 2493云南中医学院53051119901648 2494运城学院51151101153461 2495枣庄学院51351121132365 2496张家口学院——————————2498浙江传媒学院559511485573030 2499浙江海洋学院550511396513829 2500浙江科技学院557511465733166 2501浙江农林大学550511396503558 2502浙江水利水电学院546511357019421 2503浙江外国语学院565511544965122 2504浙江中医药大学555511445972535 2505郑州航空工业管理学院5435113274124103 2506郑州轻工业学院534511238467272 2507郑州师范学院51351121130281 2508中国劳动关系学院537511268164627 2509中国民用航空飞行学院549511386666422 2510中华女子学院542511317498528 2511中南民族大学556511455827532 2512中南民族大学(招少数民族考生)5135112112416102 2513中原工学院5275111693626742514仲恺农业工程学院51951181044879 2515重庆第二师范学院51451131115085 2516重庆工商大学559511485558537 2517重庆工商大学(中外合作)55651145583463 2518重庆科技学院537511268131956 2519重庆理工大学554511436095869 2520重庆三峡学院533511228676733 2521重庆师范大学538511277931622 2522重庆文理学院538511277994224 2523重庆医科大学560511495404227 2524重庆邮电大学569511584484012 2525周口师范学院51151101152041 2527遵义医学院536511258225920 2541西安美术学院——————————2542四川美术学院53951128785963 2545安徽工程大学(四年一贯制)5435113273092200 2546安徽科技学院51151101159562926 2547安徽科技学院(中外合作)511511011519835 2549安徽理工大学5395112878758290 2550安徽中医药大学52151110101949640 2551安庆师范学院53051119903262112 2552安庆师范学院(中外合作)512511111374219 2553蚌埠学院51851171062232029 2554蚌埠学院(中外合作)——————————2555蚌埠医学院54651135702742410 2556巢湖学院51351121131522219 2557巢湖学院(中外合作)51351121130112 2558池州学院5115110115965944 2559滁州学院51551141095962400 2560阜阳师范学院51851171063462452 2561合肥师范学院53751126812941515 2562合肥师范学院(中外合作)511511011596674 2563合肥学院54651135695662112 2564合肥学院(中外合作)5285111792893188 2565合肥学院(四年一贯制)5115110115955170 2566淮北师范大学52451113975191007 2567淮南师范学院51151101155342110 2568淮南师范学院(中外合作)51151101153178 2569黄山学院52751116939962383 2570黄山学院(中外合作)512511111392114 2571宿州学院5115110115957853 2572铜陵学院53351122860572554 2573铜陵学院(中外合作)516511510848730 2574皖南医学院54051129770082620 2575皖西学院52051191034263190。
排序院校代号院校名称投档人数投档最低分投档最低分排名控线线差172上海海关学院75612742147388 26143西安文理学院85003187947327 36514新疆医科大学294993271947326 48241温州医科大学205513437047378 54540右江民族医学院204953735947322 65339云南中医学院84953764947322 76209兰州工业学院154943866147321 84408广东财经大学55434006547370 93128上海立信会计金融学院1505414136447368 108077南方医科大学135394300947366 114421广东金融学院65384410747365 125036重庆邮电大学115374497347364 135002四川外国语大学65364522747363 148125徐州医科大学365364541347363 153520福建医科大学275354669647362 163134上海商学院395344708847361 178286浙江外国语学院185344737147361 188062南京林业大学165344749247361 193610华东交通大学175334844747360 208052南京工程学院1005324860647359 215310昆明医料大学115305043647357 221222天津理工大学315305117847357 233113上海工程技术大学1775295168347356 245034重庆医科大学205295177047356 255104成都理工大学75285289647355 266145西安医学院85275327147354 275113成都医学院105275329747354 283568厦门理工学院325275369647354 298237温州大学405265433147353 304308湖南财政经济学院105265434347353 318247浙江传媒学院345265474647353 328103苏州科技大学145265502447353 334104河南财经政法大学385255526447352 341232天津师范大学565255538047352 351130北京物资学院145255542747352 368043金陵科技学院315255560347352 371350河北医科大学205255561647352 381213天津工业大学205255583747352 391221天津科技大学1175245634247351安徽省2016年普通高校招生第二批本科院校投档分数及名次(理工)406117西安财经学院365245677447351 418082南京中医药大学325245690147351 428204杭州师范大学615245697747351 438002常州大学465235716947350 445013重庆工商大学335235720247350 452207吉林财经大学195235726947350 466123西安工业大学225235744647350 474339湖南商学院55235748947350 488271浙江科技学院625225809547349 493106上海第二工业大学1105225884247349 508502山东中医药大学75215902947348 515115成都中医药大学145215907947348 525013重庆工商大学(中外合作)15215940847348 538030江苏警察学院75215952447348 541229天津商业大学425215965947348 553678南昌航空大学245206023647347 568463山东建筑大学305206034147347 575024重庆理工大学535206049947347 588295浙江中医药大学205206057547347 595320云南财经大学245206081947347 608689武汉轻工大学495196089347346 618084南通大学675196092747346 625110成都信息工程大学645196092947346 635216贵州医科大学55196096847346 644525桂林电子科技大学495196125347346 658472山东理工大学365196130647346 663107上海电机学院785196190247346 672207吉林财经大学(中外合作)45196190947346 682205东北电力大学(中外合作)55186236147345 698515烟台大学465186237547345 701334河北经贸大学285186277147345 713144上海应用技术大学545176300647344 728275浙江农林大学535176307247344 735306昆明理工大学825176315447344 743135上海师范大学(中外合作)315176319647344 758261浙江海洋大学245176321347344 768617湖北经济学院245176325347344 773119上海海洋大学(中外合作)255176328347344 781425山西医料大学555176343847344 791122北京联合大学495176358647344 804133华北水利水电大学515176389447344 813107上海电机学院(中外合作)25176389847344822106大连大学615166397347343 834602海南大学825166398047343 848223宁波工程学院645166398747343 858033江苏理工学院295166400847343 862314哈尔滨理工大学605166430247343 878073南京晓庄学院305166438747343 888213嘉兴学院1055166479247343 898500山东政法学院185166481647343 905002四川外国语大学(中外合作)55166489947343 913601东华理工大学85156518647342 921128北京石油化工学院145156521847342 934119河南科技大学1105156532347342 945036重庆邮电大学(中外合作)105156533247342 953636江西理工大学685156538147342 961207天津城建大学1365156538847342 972108大连工业大学675156548247342 984436广东医科大学65156548447342 996210兰州交通大学1345156556547342 1004435广东药科大学325156564247342 1012205东北电力大学1085156575447342 1023644江西师范大学595156579847342 1036137西安石油大学305146617947341 1046125西安航空学院115146621047341 1058426鲁东大学555146625747341 106111中国民用航空飞行学院375146634447341 1073708长江大学145146651047341 1081333河北金融学院135146661947341 1098456山东工商学院545146667647341 1108403滨州医学院335146668647341 1118650江汉大学275146679847341 1126122西安工程大学765146681947341 1133514福建师范大学445146683647341 1148645湖北中医药大学75146704047341 1151335河北科技大学405136727547340 1163672武汉纺织大学525136731947340 1178283浙江水利水电学院205136735347340 1182328黑龙江大学395136736047340 1195201贵州财经大学125136769947340 1208223宁波工程学院(中外合作〉35136794547340 1218513潍坊医学院395136813547340 1221429太原科技大学385126817747339 1238424临沂大学1151268581473391249110合肥学院19305116921947338 1254111河南工业大学1285116929647338 1264318湖南工业大学1265116936147338 1278001常熟理工学院385116939447338 1281321河北工程大学995116946247338 1293144上海应用技术大学(中外合作)285116964747338 1306212兰州理工大学375116965347338 1311213天津工业大学(中外合作)455116967447338 1321356华北理工大学1075116973847338 1332173沈阳航空航天大学485116976047338 1343523福建中医药大学185116976747338 1351345河北师范大学365116977147338 1365147西华大学105116986647338 1372322哈尔滨医科大学145116992047338 1385030重庆师范大学265117007447338 1393504福建工程学院365117014247338 1408623湖北理工学院225107027347337 1412109大连海洋大学665107027547337 1428122徐州工程学院365107041147337 1434502广西财经学院155107064347337 1446405宁夏医科大学65107073247337 1454327湖南理工学院255107077347337 1464331湖南农业大学425107077547337 1474312湖南第一师范学院135107079447337 1482138辽宁工业大学745107094447337 149124中华女千学院285107121847337 1508464山东交通学院525097138647336 1514161新乡医学院145097151447336 1521107北京服装学院145097157647336 1538013淮海工学院615097159447336 1543627湖北汽车工业学院245097168447336 1552153辽宁师范大学305097176447336 1563676南昌工程学院825097183047336 1572147辽丁科技大学255097184247336 1582234长春大学375097187847336 1598441奇岛农业大学145097197447336 1604405东莞理工学院95097220347336 1613139上海体育学院285097225547336 1628427齐鲁工业大学655097226947336 1638477山东农业大学275097227347336 1642169沈阳大学735097233847336 1653506福建江夏学院2850972376473361668230绍兴文理学院415097242147336 1672182沈阳医学院315087250047335 1682237长春工业大学635087276847335 1694121河南理工大学545087295747335 1704181郑州航空工业管理学院975087319247335 1718006常州工学院205087320747335 1728128盐城工学院175087329547335 1735116川北医学院155087335947335 1748459山东管理学院85087344647335 1754403北京师范大学珠海分校935087346147335 1768024江苏第二师范学院285087354347335 1771251天津中医药大学775077363547334 1788619湖北警官学院125077389547334 1794528桂林理工大学695077394847334 1803663江西中医药大学205077401547334 1816205兰州财经大学195077401947334 1828610湖北工程学院125077407047334 1834364吉首大学145077410147334 1842177沈阳理工大学665077413247334 1852103渤海大学795077435947334 1863678南昌航空大学(中外合作)95077453447334 1874473五邑大学225077459047334 1885033重庆文理学院245077463547334 1894315湖南工程学院255067464847333 1908446曲阜师范大学125067491347333 19123大连民族大学165067517347333 1923568厦门理工学院(合作办学)135067533947333 1931221天津科技大学(中外合作)175067538147333 194109中国劳动关系学院275067543447333 1958693武汉商学院65067560347333 1962172沈阳工业大学455057584047332 1979003安徽工程大学(四年一贯制)2005057598247332 1985001四川美术学院25057603747332 1992174沈阳化工大学1065057606847332 2004144洛阳理工学院1125057630147332 2015112成都学院215057644947332 2023539闽江学院165057646347332 2032315哈尔滨商业大学465057658847332 2045225遵义医学院205057661247332 2059114皖南医学院27235057669747332 2068418济宁医学院625047685247331 2074414广东海洋大学1750476873473312088640湖北医药学院275047695647331 2094365南华大学875047713847331 2105023重庆科技学院505047718347331排序院校代号院校名称投档人数投档最低分投档最低分排名控线线差2111331河北建筑工程学院205047730347331 2125136四川理工学院235047733547331 2134533桂林医学院155047736847331 2148014淮阴工学院245047742347331 2153606赣南医学院265047747347331 2166114陕西中医药大学105047763847331 2171438长治学院15047767847331 21895西南民族大学245047791947331 2193639江西农业大学925047792547331 2202204北华大学1645037792647330 2212170沈阳工程学院105037807647330 2224361湖南中医药大学155037813747330 2234610海南医学院425037817647330 2241229天津商业大学(中外含作)235037863347330 2259109合肥师范学院13595037871647330 2264507广西科技大学565037876147330 2272127锦州医科大学445037884447330 2284109河南工程学院455037893847330 2292312哈尔滨金融学院165037898847330 2304184郑州轻工业学院655027910047329 2311310承德医学院105027921147329 2328217丽水学院335027924847329 2333508福建农林大学215027934847329 2346154延安大学85027935747329 2352153辽宁师范大学(中外合作)45027936947329 2368609湖北第二师范学院205027965147329 2371439长治医学院285027973747329 23848华北科技学院1765027975747329 2394356湖南医药学院65027978147329 2401352河北中医学院65027989247329 2414521厂西医科大学105027994447329 2423514福建师范大学(中外合作)105028001447329 2434123河南农业大学345028017647329 2445103成都工业学院85018022847328 2452248长春中医药大学285018026847328 2464514广西师范大学315018029947328安徽省2016年普通高校招生第二批本科院校投档分数及名次(理工)2471317河北地质大学765018031147328 2481513内蒙古医科大学105018032847328 2494417厂东技术师范学院105018044747328 2508505泰山医学院155018045747328 2514132河南中医药大学105018082447328 2528621湖北科技学院315018089547328 2534389长沙学院415018104547328 2541123北京农学院(中外合作)65018105347328 2553632江西科技师范大学645018107147328 2566220西北师范大学205018111847328 2575335云南师范大学165008182147327 2588209湖州师范学院405008197647327 2596109陕西理工学院144998234947326 2602227吉林医药学院344998287247326 2613541闽南师范大学264998291847326 2629110合肥学院(中外合作)1484998322347326 2632355黑龙江中医药大学104998323847326 2648674武汉工程大学194998324547326 2658635湖北师范大学284998345147326 2664121河南理工大学(中外合作)4988384847325 2671225天津农学院594988409147325 2682363齐齐哈尔医学院744988415047325 2691249天津职业技术师范大学974988417947325 2705303大理大学204988420147325 2718227衢州学院354988424747325 2723601东华理工大学(中外合作)84988431547325 2738234台州学院174988435447325 2744310湖南城市学院354988454647325 2754409广东第二师范学院34978458147324 2762335黑龙江科技大学904978460047324 27777石河子大学344978471147324 2781303北华航天工业学院454978501247324 2798480山东青年政治学院54978516647324 2803573厦门医学院74978517447324 2811427山西中医学院274978528547324 2828638湖北文理学院574978562847324 2831428太原工业学院494968578647323 2844608海南师范大学1344968583147323 2852236长春工程学院1054968591847323 2869113铜陵学院26844968603547323 2875027重庆三峡学院294968633647323 2882360牡丹江医学院6049686592473232892212吉林工商学院364968671647323 2908456山东工商学院(中外合作)224968672947323 2915334云南农业大学244958702547322 2924192中原工学院704958707947322 2934317湖南工学院704958717947322 2942179沈阳师范大学734958723447322 2954148南阳理工学院634958782147322 2969011安庆师范大学22544958785247322 2973554泉州师范学院404958787147322 2982316哈尔滨师范大学414958792847322 2994426广东石油化工学院324948806547321 3003676南昌工程学院(中外合作)64948871147321 3013667景德镇陶瓷大学354938927247320 3023689宜春学院234938957847320 3032219吉林警察学院64938959947320 3042163辽宁中医药大学114938976047320 3056203甘肃政法学院124938984847320 3068512潍坊学院394939004247320 3073137上海视觉艺术学院34939022447320 3085107成都师范学院154939033547320 3093671九江学院534929036247319 3104511广西民族大学224929062347319 3111379唐山学院154929069247319 3125317西南林业大学534929084347319 3138653荆楚理工学院284929095547319 3143636江西理工大学(中外合作)94929095747319 3151419山西农业大学874929112947319 3165224遵义师范学院14929114047319 3171509内豢古科技大学包头医学院104919173247318 3184133华北水利水电大学(中外合作)304919179247318 3191421山西师范大学144919181647318 3201北方民族大学144919185647318 3212222吉林师范大学284919187947318 3221505内蒙古工业大学504919215947318 3235211贵州理工学院204919241847318 3241408山西大同大学174919259847318 3254387长沙师范学院64919263247318 3266116渭南师范学院14909279547317 3274101安阳工学院174909281947317 3284124河南师范大学104909312147317 3299010安徽中医药大学4704909321147317 3304352湖南文理学院1449093327473173312321哈尔滨学院284909335147317 3321503内蒙古财经大学104909342847317 3339112黄山学院23684909344647317 3345333云南民族大学64909357147317 3355213贵州师范大学84909370347317 3363666井闪山大学1084909383347317 3373123上海健康医学院534909392347317 3385005长江师范学院104899403947316 3391507内豢古科技大学834899408647316 3404527桂林航天工业学院224899456247316 3412244长春师范大学594899485947316 3423575武夷学院264899487147316 3435308昆明学院284899492247316 3442244长春师范大学(中外合作)34899512847316 3452220吉林农业大学1384889557447315 3469012淮北师范大学6444889573947315 3475148西华师范大学164889581047315 3483558三明学院224889609247315 3493604赣南师范大学154889634247315 3503545莆田学院294879640347314 3514369湘南学院154879643747314 3524530桂林旅游学院24879731347314 3532361齐齐哈尔大学564869768747313 35448华北科技学院(中外合作)34869772047313 3558015淮阴师范学院104869773447313 3568429齐鲁师范学院14869799947313 3572330黑龙江工程学院654869800447313 3585120绵阳师范学院14869859747313 3594482仲恺农业工程学院114859899147312 3604407佛山科学技术学院334859905247312 3618071南京体育学院254859935747312 3628625湖北民族学院294859960247312 36333防灾科技学院10248410024047311 3642356佳木斯大学9048410051247311 3659113铜陵学院(中外合作)4048410064347311 3662215吉林化工学院9648410071547311 36789西北民族大学2648410111347311 3683631江西警察学院2248410117447311 3698696武汉体育学院2848310119147310 3704120河南科技学院448310122647310 3712216吉林建筑大学6948310134247310 3726202甘肃农业大学15483101604473103736102宝鸡文理学院248310173147310 3744325湖南科技学院1048310176147310 3758417济宁学院1048310204147310 3769115皖西学院311848310214147310 3778478山东农业工程学院1548310217547310 3782201白城师范学院14821026704739 3798458山东工艺美术学院174821029134739 3805009重庆笫二师范学院54821029574739 381127中南民族大学(少数民族〉994821030334739 3825153西南医科大学34821033304739 38391081阜阳师范学院22614821035694739 3842204北华大学(中外合作)44811037494738 3858648黄闪师范学院64811041624738 3861313河北北方学院104811042464738 3871411山西工程技术学院84801048834737 3884367邵阳学院504801048904737 3891302保定学院64801051034737 3903688新余学院144801051554737 3919102蚌埠学院22654801056614737 3924186郑州师范学院24801056834737 3935137四川旅游学院94801057014737 3945142四川文理学院104801057834737 3951347河北水利电力学院104801058664737 3966305青海民族大学324791061884736 3972301大庆师范学院14791066084736 3981511内蒙古农业大学614791072834736 3998402滨州学院174781073264735 4008708长江大学(中外合作)304781074244735 4014165信阳师范学院114781076624735 4029107滁州学院26144781082324735 4034106河南城建学院(中外合作)44781082484735 4046306青海师范大学64781084084735 4051432太原师范学院204781084394735 4064304衡阳师范学院74771087174734 4071311邯郸学院14771088374734 4082187营口理工学院404771089104734 4094448广州体育学院14771089124734 4101433太原学院244771092224734排序院校代号院校名称投档人数投档最低分投档最低分排名控线线差4113535龙岩学院274771092264734安徽省2016年普通高校招生第二批本科院校投档分数及名次(理工)4123670景德镇学院64771093064734 4133686上饶师范学院14771093944734 4144145洛阳师范学院64771094394734 4159011安庆师范大学(中外合作)504771097604734 4164333湖南女子学院34761099404733 4173682南昌师范学院64761101734733 4181512内蒙古师范大学194761102704733 4194606海南热带海洋学院474761105804733 4208410菏泽学院24761106014733 4219103蚌埠医学院16784761106424733 4224106河南城建学院514761106984733 4231360廊坊师范学院74761108094733 4244153平顶山学院24761108144733 4256208兰州城市学院84751111674732 4261510内蒙古民族大学194751113184732 4274102安阳师范学院104751113384732 4285108成都体育学院144751113454732 4295401西藏大学204751114214732 4304160新乡学院104751115454732 4314469韶关学院104751115924732 4321337河北科技师范学院354751116224732 4331373石家庄学院104751116624732 4346112陕西学前师范学院14751116674732 4359105巢湖学院21884751117544732 4364169许昌学院104751117764732 4378070南京特殊教育师范学院434751118634732 4382327黑龙江八一农垦大学904751120084732 4391353衡水学院64751121564732 4405119乐山师范学院54741123004731 4414516广西师范学院244741125324731 44223大连民族大学(少数民族)154741126604731 4439102蚌埠学院(中外合作)14741126694731 4444195周口师范学院14741126744731 4455319玉溪师范学院14741127844731 4465155宜宾学院14741130134731 4473666井冈山大学(中外合作)94741130274731 4486153咸阳师范学院34741130914731 4495146西昌学院104741132554731 4501305沧州师范学院14731134364730 4514110河南工学院34731135624730 4524509广西科技师范学院24731135794730 4531436运城学院347311358747304548405德州学院104731136174730 45579塔里木大学104731136874730 4565305红河学院14731137604730 4571404吕梁学院747311376947304589109合肥师范学院(合作办学(合作培养))22047311377647304596508新疆农业大学184731138394730 4601328河北环境工程学院124731138934730 46195西南民族大学(少数民族)214731139364730 4621381邢台学院54731139784730 4632210吉林工程技术师范学院34731139874730 4641402晋中学院94731140024730 4652129辽东学院144731140084730 4664363怀化学院34731140654730 4672364绥化学院74731140764730 4684538梧州学院14731140944730 4699111淮南师范学院20384731141404730 4704137黄淮学院14731141444730 4711378唐山师范学院94731141544730 4726512新疆师范大学164731142414730 4734537钦州学院114731142704730 4743685萍乡学院34731142844730 4752221吉林农业科技学院74731142864730 4766115商洛学院24731143034730 4779101安徽科技学院(中外合作)164731143314730 4784155商丘师范学院484731143534730 4793671九江学院(中外合作)34731143594730 4804149南阳师范学院4731143794730 4819104毫州学院54731144354730 4822326黑河学院24731144684730 4839112黄山学院(中外合作)244731144814730 4849111淮南师范学院(中外合作)74731144884730 4853543宁德师范学院44731145514730 4869110合肥学院(四年一贯制)804731145604730 4876156榆林学院114731145664730 4882101鞍山师范学院234731145854730 4899106池州学院6284731145934730 4909116宿州学院4234731146034730 4919101安徽科技学院32374731146134730 4922359牡丹江师范学院0——473 4933558三明学院(中外合作)0——473 4945217六盘水师范学院0——473 4955301楚雄师范学院0—4734966506新疆工程学院0—473 4971387张家口学院0473 *******忻州师范学院0—473 4991501赤峰学院0—473 5001508内蒙古科技大学包头师范学院0—473 5012225吉林体育学院0—473 5022231通化师范学院0—473 5034122河南牧业经济学院0—473 5044164信阳农林学院0473 *******湖南人文科技学院0—473 5064534河池学院0—473 5074541玉林师范学院0—473 5084612琼台师范学院0—473 5095223兴义民族师范学院0473 *******滇西科技师范学院0473 *******曲靖师范学院0473 *******文山学院0—473 5136101安康学院0473 *******河西学院0—473 5156216兰州文理学院0473 *******昽东学院0—473 5176219天水师范学院0—473 5186502喀什大学0473 *******巢湖学院(中外合作)0—473 5209108阜阳师范学院(中外合作)0—473。
2016年在安徽招生的351所一本大学理科录取线拼出精彩大学2017-02-21 22:16排序学校校名称投档最低分省控一本线1北京大学688518 2清华大学682518 3复旦大学678518 4上海交通大学676518 5复旦大学医学院669518 6浙江大学667518 7中国科学技术大学665518 8南京大学661518 9中国人民大学659518 10上海交通大学医学院659518 11北京航空航天大学654518 12北京大学医学部652518 13同济大学652518 14浙江大学医学院649518 15上海财经大学648518 16西安交通大学647518 17南幵大学642518 18中央财经大学642518 19武汉大学641518 20东南大学639518 21华中科技大学637518 22对外经济贸易大学636518 23厦门大学636518 24北京师范大学636518 25中山大学635518 26哈尔滨工业大学633518 27天津大学633518 28北京理工大学633518 29华南理工大学631518 30西南交通大学607518 31沈阳药科大学553518 32北京邮电大学628518 33华东师范大学628518 34首都医科大学627518 35大连理工大学627518 36北京外国语大学627518 37中国政法大学625518 38中央财经大学(中外合作)624518 39电子科技大学624518 40中国人民大学(苏州校区)(中外合作)623518 41南京航空航天大学621518 42山东大学621518 43上海外国语大学621518 44中南大学621518 45北京外国语大学(中外合作)621518 46四川大学620518 47湖南大学617518 48重庆大学617518 49南京医科大学616518 50西北工业大学615518 51西南财经大学615518 52南京理工大学614518 53华东理工大学614518。
科类:文史(含艺术、体育类考生,不含已录取考生、少年班等考生)(含全国性加分,不含地方性加分)分数人数累计人数分数人数累计人数分数人数累计人数分数人数累计人数分数人数累计人数657116204119583921422546216669750949219943 6560161918137582781500545229692650848820431 6550161811148581661566544244717050751220943 6541261717165580901656543216738650647321416 6533561611176579801736542253763950549021906 6520561516192578921828541253789250451022416 6510561421213577811909540280817250349122907 6500561318231576771986539260843250250023407 64905612172485751042090538285871750154623953 64805611222705741042194537300901750057024523 6471661013283573962290536288930549951925042 6461760915298572972387535313961849853025572 64531060824322571952482534309992749750926081 6442126072835057010825905333181024549652126602 6431136061536556912327135323161056149553427136 6421146052338856811528285313241088549452727663 6411156042641456710429325303271121249354328206 6403186032944356610530375293631157549255028756 6391196022747056514631835283341190949156529321 6382216012749756412733105273761228549055529876 6372236003853556314434545263671265248957530451 6363265993757256215936135253621301448857131022 6352285983861056115837715243581337248762931651 6344325974865856015439255234021377448657132222 6337395964370155917040955223951416948559932821 6323425954074155818142765214191458848457233393 6317495945279355717444505204231501148353233925 6302515934383655618946395193851539648257034495 62910615924187755518648255184341583048158735082 6282635913791455421250375174141624448062635708 6276695904495855319852355164221666647957936287 62687758958101655220254375154781714447859936886 62558258858107455119656335144311757547759637482 62458758764113855021058435134351801047654638028 62389558666120454920460475124801849047561238640 622910458556126054821762645114761896647457839218 6211111558470133054721764815104851945147358539803科类:文史(含艺术、体育类考生,不含已录取考生、少年班等考生)(含全国性加分,不含地方性加分)分数人数累计人数分数人数累计人数分数人数累计人数分数人数累计人数分数人数累计人数472581403844355296136739850180718361513100209324433118693 471620410044345396190639747181189360499100708323433119126 470580415844335236242939652581714359465101173322432119558 469583421674325416297039550982223358560101733321440119998 468577427444315376350739451982742357558102291320444120442 467589433334305556406239350583247356484102775319454120896 466611439444295156457739255283799355554103329318454121350 465550444944285746515139150584304354524103853317417121767 464587450814275596571039054484848353541104394316427122194 463541456224265156622538952685374352560104954315417122611 462614462364255016672638851185885351547105501314393123004 461601468374245206724638749186376350442105943313407123411 460557473944235416778738655286928349528106471312398123809 459601479954225306831738552087448348550107021311383124192 458543485384215106882738454287990347508107529310435124627 457572491104205056933238352988519346486108015309402125029 456581496914195196985138252289041345526108541308378125407 455586502774185477039838152289563344563109104307405125812 454588508654175717096938052890091343515109619306419126231 453555514204165127148137957090661342492110111305357126588 452616520364154707195137852291183341495110606304374126962 451544525804144967244737755691739340477111083303397127359 450573531534135447299137651992258339494111577302396127755 449544536974125527354337555592813338502112079301351128106 448567542644114887403137450593318337488112567300346128452 447575548394104777450837352793845336509113076299330128782 446548553874095427505037251094355335494113570298391129173 445546559334085177556737152894883334490114060297372129545 444555564884075397610637053095413333467114527296353129898 443556570444064807658636953095943332477115004295354130252 442573576174055287711436852196464331466115470294359130611 441553581704044877760136746796931330470115940293329130940 440521586914035487814936654897479329432116372292326131266 439506591974025107865936554298021328450116822291342131608 438522597194015467920536455598576327495117317290329131937 437561602804005117971636356699142326477117794289344132281 436558608383995018021736255499696325466118260288330132611科类:文史(含艺术、体育类考生,不含已录取考生、少年班等考生)(含全国性加分,不含地方性加分)分数人数累计人数分数人数累计人数287311132922251分以下16056158116286292133214285298133512284316133828283314134142282321134463281275134738280326135064279296135360278303135663277287135950276279136229275274136503274264136767273279137046272258137304271244137548270236137784269252138036268237138273267271138544266244138788265260139048264256139304263229139533262244139777261226140003260211140214259216140430258185140615257226140841256208141049255210141259254191141450253203141653252206141859251201142060科类:理工(含艺术、体育类考生,不含已录取考生、少年班等考生)(含全国性加分,不含地方性加分)分数人数累计人数分数人数累计人数分数人数累计人数分数人数累计人数分数人数累计人数703226662637562915635415923711307655566831725 702136653140662814636875913801345655467632401 701036643744362718438715903761383255370533106 700146633247562616840395893601419255268633792 699046623350862516842075883941458655166634458 698156614555362417143785874001498655071835176 697056604559862318645645863981538454974435920 696166593863662219647605853961578054872236642 6954106585368962120049605844571623754770637348 6946166574373262019351535834291666654676438112 6931176564077261921553685824631712954575338865 6923206557684861820455725814521758154472639591 6912226545590361720357755804581803954376440355 6904266536496761621359885794541849354277741132 68943065260102761523862265784521894554178241914 68863665169109661426264885774591940454078142695 687104665082117861324467325764741987853982543520 68665264968124661223269645754912036953875644276 68545664879132561126172255744872085653782045096 68466264769139461028375085735102136653683145927 68346664685147960927277805725182188453586046787 682975645100157960826580455715202240453483647623 68188364498167760728283275705162292053391448537 680285643102177960628686135695092342953290649443 67917102642104188360529789105685522398153190850351 6781011264194197760427291825675712455253097651327 6771712964097207460332695085665642511652990952236 67618147639104217860228197895655612567752894553181 675141616381292307601315101045645782625552794054121 6741317463713524426003141041856355226807526100655127 673201946361092551599325107435625972740452594156068 672212156351302681598324110675616102801452491256980 671202356341312812597290113575605902860452398557965 670192546331402952596318116755596512925552292458889 669192736321413093595340120155585622981752197259861 6684431763114232355943431235855763930456520100160862 6673234963015033855933471270555660131057519105161913科类:理工(含艺术、体育类考生,不含已录取考生、少年班等考生)(含全国性加分,不含地方性加分)分数人数累计人数分数人数累计人数分数人数累计人数分数人数累计人数分数人数累计人数5189996291248112361048804441180149093407791186174370713215031 51710446395648012281061084431179150272406903187077369692215723 51610106496647911881072964421178151450405910187987368667216390 51510386600447812081085044411155152605404873188860367676217066 51410866709047712561097604401119153724403852189712366629217695 51310536814347611981109584391103154827402859190571365629218324 51210536919647512201121784381067155894401867191438364655218979 51110617025747411561133344371036156930400861192299363587219566 51011277138447312821146164361033157963399839193138362658220224 50910607244447212441158604351134159097398817193955361654220878 50811017354547112351170954341065160162397848194803360670221548 50710927463747012181183134331040161202396796195599359636222184 50610947573146912001195134321056162258395860196459358637222821 50510927682346812211207344311054163312394808197267357652223473 50411027792546712271219614301020164332393799198066356629224102 50311307905546612771232384291034165366392765198831355638224740 5021133801884651233124471428976166342391767199598354616225356 50110698125746412281256994271032167374390786200384353626225982 50010918234846312281269274261013168387389831201215352586226568 4991116834644621231128158425986169373388799202014351566227134 49811118457546111801293384241003170376387831202845350599227733 4971161857364601251130589423963171339386734203579349540228273 49611088684445912461318354221021172360385779204358348564228837 4951170880144581125132960421969173329384671205029347574229411 4941139891534571161134121420931174260383724205753346594230005 4931199903524561140135261419957175217382708206461345533230538 4921229915814551203136464418971176188381748207209344554231092 4911182927634541172137636417919177107380746207955343522231614 4901164939274531214138850416926178033379713208668342557232171 4891218951454521111139961415978179011378710209378341532232703 4881215963604511120141081414935179946377710210088340557233260 4871235975954501154142235413901180847376713210801339533233793 4861232988274491168143403412954181801375682211483338564234357 48511741000014481124144527411899182700374703212186337536234893 48411731011744471134145661410901183601373687212873336558235451 48312491024234461115146776409903184504372735213608335527235978 48212211036444451137147913408879185383371710214318334508236486科类:理工(含艺术、体育类考生,不含已录取考生、少年班等考生)(含全国性加分,不含地方性加分)分数人数累计人数分数人数累计人数333525237011296357252923332499237510295331253254331491238001294355253609330506238507293333253942329469238976292358254300328485239461291318254618327494239955290358254976326502240457290分以下28366283342325430240887324487241374323434241808322506242314321505242819320438243257319455243712318439244151317426244577316430245007315438245445314428245873313400246273312434246707311399247106310405247511309466247977308421248398307442248840306385249225305428249653304410250063303351250414302427250841301342251183300368251551299355251906298325252231297335252566。
高考各省二本大学在安徽录取分数线————————————————————————————————作者:————————————————————————————————日期:22010高考各省二本大学在安徽录取分数线院校代号院校名称投档最低分名次2002 安阳师范学院504 284252003 鞍山师范学院501 309352006 北方民族大学511 236992007 北华大学510 245092008 北华航天工业学院526 140522010 北京联合大学538 84802011 北京农学院516 198562012 北京师范大学珠海分校524 151022013 北京石油化工学院535 100352014 北京物资学院544 64632015 北京信息科技大学545 62432016 北京印刷学院545 60332018 滨州学院502 298612019 滨州医学院513 217822020 渤海大学524 151572021 长春大学532 114052022 长春工程学院519 184772023 长春工业大学527 136042024 长春师范学院501 310732025 长春税务学院542 71342026 长春中医药大学517 193292027 长江大学509 247942028 长江师范学院508 258562029 长沙学院502 302002030 长治学院——2033 成都理工大学535 98102034 成都体育学院518 189712035 成都信息工程学院534 102862037 成都中医药大学520 177432039 楚雄师范学院——2040 大理学院505 280992041 大连大学542 70382044 大连民族学院521 170382045 大连水产学院528 130732046 大连外国语学院547 55562048 德州学院501 309732049 东北电力大学537 91692050 东华理工大学526 140282051 东莞理工学院523 158542052 防灾科技学院523 157132053 佛山科学技术学院504 282722054 福建工程学院525 145122055 福建警察学院524 153422057 福建师范大学528 13049 2061 甘肃政法学院528 12905 2062 赣南师范学院503 28996 2063 赣南医学院508 257522064 广东工业大学537 9229 2065 广东海洋大学535 9877 2067 广东金融学院545 6158 2068 广东商学院536 92952069 广东药学院532 113622071 广西财经学院534 10403 2072 广西工学院——2073 广西民族大学506 27430 2074 广西师范大学527 13482 2075 广西师范学院501 31082 2076 广西医科大学505 28217 2077 广州体育学院507 26104 2080 贵州财经学院520 17515 2081 贵州民族学院501 31290 2082 贵州师范大学505 27859 2083 桂林电子科技大学506 27088 2084 桂林理工大学508 25778 2087 哈尔滨商业大学537 8996 2088 哈尔滨师范大学504 28783 2089 哈尔滨体育学院——2090 哈尔滨学院509 246872092 海南大学536 93462093 海南师范大学524 15241 2094 海南医学院502 304312095 韩山师范学院——2096 杭州师范大学537 9063 2097 河北北方学院——2098 河北大学536 93562101 河北金融学院522 16497 2102 河北经贸大学537 9077 2107 河北师范大学530 11906 2109 河池学院501 307102110 河南财经学院537 9196 2111 河南城建学院504 28811 2112 河南工程学院513 21870 2113 河南工业大学530 12129 2114 河南科技大学529 12781 2115 河南科技学院——2116 河南理工大学528 13059 2118 河南师范大学506 27368 2119 河南中医学院529 12866 2120 菏泽学院507 262842121 黑河学院——2122 黑龙江八一农垦大学509 25154 2123 黑龙江大学530 121152124 黑龙江工程学院515 207172125 黑龙江科技学院505 275712126 黑龙江中医药大学526 14300 2127 衡水学院——2128 衡阳师范学院504 288562129 红河学院501 306202130 呼伦贝尔学院505 276082131 湖北第二师范学院518 19003 2132 湖北工业大学533 108442133 湖北经济学院536 93252134 湖北民族学院504 286712135 湖北汽车工业学院520 17594 2136 湖北师范学院513 220372137 湖北中医学院524 155002138 湖南城市学院515 208912139 湖南第一师范学院504 28589 2140 湖南工程学院521 168352141 湖南工学院518 187262142 湖南工业大学515 206262143 湖南科技学院504 286412144 湖南理工学院522 162582145 湖南农业大学523 155962146 湖南商学院532 111992147 湖南文理学院503 290882149 湖州师范学院523 155802150 华北科技学院524 152532153 华东交通大学541 76072154 怀化学院510 240302155 淮海工学院525 149972157 淮阴师范学院501 310122158 黄冈师范学院508 257812159 黄石理工学院506 272522160 惠州学院502 302952161 吉林工程技术师范学院501 31244 2162 吉林工商学院523 158272164 吉林建筑工程学院——2165 吉林农业大学517 192602166 吉林农业科技学院506 26984 2167 吉林师范大学522 165912169 吉首大学503 293122170 集美大学546 58292171 济南大学540 76772172 济宁医学院505 279242173 佳木斯大学501 310982174 嘉兴学院533 107122175 嘉应学院502 299832176 江汉大学533 107902177 江苏工业学院533 108172178 江苏技术师范学院520 174772179 江苏警官学院530 120762180 江西科技师范学院519 183762181 江西理工大学526 142512182 江西农业大学519 184152183 江西师范大学532 111962184 江西中医学院514 216062185 金陵科技学院532 111322186 荆楚理工学院516 199922187 井冈山大学512 230612188 景德镇陶瓷学院521 171042189 九江学院525 149632190 喀什师范学院——2191 昆明理工大学504 285382192 昆明学院519 183572194 兰州城市学院——2195 兰州交通大学533 109162196 兰州理工大学522 165292197 兰州商学院530 123762198 廊坊师范学院505 278132199 乐山师范学院518 185462200 丽水学院513 220672203 辽宁科技大学532 111172204 辽宁科技学院505 275742205 辽宁师范大学531 118742206 辽宁石油化工大学501 309992207 辽宁医学院511 235792208 聊城大学505 278852209 临沂师范学院502 300552210 龙岩学院501 312312211 陇东学院——2212 鲁东大学534 102262213 洛阳理工学院510 240422214 茂名学院518 191272215 绵阳师范学院——2217 内江师范学院——2218 内蒙古财经学院521 168982220 内蒙古科技大学520 174552221 内蒙古科技大学包头师范学院501 31163 2223 内蒙古民族大学504 285072225 内蒙古师范大学508 255282227 南昌工程学院526 141062228 南昌航空大学534 103832229 南华大学522 164822230 南京财经大学551 44252231 南京工程学院544 63792232 南京人口管理干部学院530 12046 2233 南京晓庄学院530 122982234 南通大学527 137142235 南阳理工学院510 240602236 宁波工程学院530 120882238 攀枝花学院506 274232239 莆田学院506 268382240 齐齐哈尔大学518 186912241 齐齐哈尔医学院501 312112244 青岛农业大学535 97602245 青海民族大学502 302432246 青海师范大学509 249942247 琼州学院505 276232248 曲阜师范大学521 172952249 曲靖师范学院——2250 泉州师范学院524 154032251 三明学院509 248022252 三峡大学528 130502253 山东财政学院540 79642254 山东工商学院529 126392255 山东建筑大学531 115682256 山东交通学院530 123932257 山东经济学院537 88412258 山东理工大学532 111442259 山东农业大学532 109622261 山东师范大学533 107862262 山东政法学院534 101282264 山西财经大学534 102912265 山西大同大学510 243142266 山西农业大学504 287392267 山西师范大学518 191072268 山西医科大学523 156392269 山西中医学院518 188242270 陕西理工学院501 307952271 陕西中医学院504 284182273 上海第二工业大学529 12560 2274 上海电机学院533 109402275 上海电力学院536 96212276 上海工程技术大学516 20033 2277 上海海关学院553 39992278 上海海洋大学541 76612279 上海金融学院549 50482280 上海立信会计学院549 4917 2281 上海商学院541 74682282 上海师范大学541 74702283 上海体育学院530 11930 2284 上海应用技术学院533 10574 2285 上海政法学院541 7427 2286 韶关学院501 306792287 邵阳学院501 311212288 绍兴文理学院527 13958 2289 沈阳大学509 250022291 沈阳航空工业学院526 14344 2293 沈阳理工大学510 24275 2294 沈阳师范大学522 16293 2297 石河子大学522 161972298 石家庄经济学院531 11879 2299 石家庄学院506 267242300 四川警察学院507 26220 2303 四川师范大学528 12939 2304 四川外语学院542 7164 2305 苏州科技学院530 12217 2306 塔里木大学502 299732307 台州学院520 175762309 太原科技大学530 12325 2311 太原师范学院505 27559 2312 泰山学院502 302452314 唐山师范学院503 29103 2315 唐山学院525 150152317 天津工程师范学院526 14196 2318 天津工业大学535 9652 2319 天津科技大学541 7357 2320 天津理工大学533 10719 2321 天津农学院529 127712322 天津商业大学538 8474 2323 天津师范大学540 8001 2324 天津外国语学院546 5820 2325 天津中医药大学530 12306 2326 铜仁学院——2327 潍坊学院522 167032328 潍坊医学院501 311812329 渭南师范学院——2330 温州大学536 94962332 梧州学院501 313282334 武汉工程大学536 9612 2335 武汉工业学院531 11621 2336 武汉科技学院533 10655 2337 武汉体育学院519 18210 2338 武夷学院501 311412339 西安财经学院515 21000 2340 西安工程大学530 11989 2341 西安工业大学528 130472342 西安理工大学528 134132343 西安石油大学530 123842344 西安体育学院513 218382345 西安文理学院516 203152347 西北民族大学515 210822348 西北民族大学(招少数民族考生) 503 29749 2349 西北师范大学523 160252350 西昌学院502 303382351 西华大学532 110732352 西华师范大学509 247372353 西南交通大学534 102452354 西南科技大学505 282212356 西南民族大学533 105272357 西南石油大学528 131852358 厦门理工学院531 114902359 咸宁学院——2360 咸阳师范学院501 313172361 湘南学院501 308522362 襄樊学院502 302712365 新疆师范大学508 254422367 新乡学院506 274282369 邢台学院507 266922370 徐州工程学院512 224442371 徐州师范大学529 124922373 烟台大学540 80342374 延安大学521 167302375 盐城工学院509 247862376 盐城师范学院501 311982378 宜春学院501 312722380 榆林学院502 298652381 玉林师范学院503 294592382 玉溪师范学院——2383 云南财经大学528 129972384 云南警官学院516 201722385 云南民族大学520 175392386 云南农业大学515 209312387 云南师范大学523 159672388 云南中医学院518 191362389 郧阳医学院——2390 运城学院——2392 湛江师范学院507 265742393 漳州师范学院512 228072394 肇庆学院503 295762395 浙江财经学院539 81662396 浙江传媒学院540 78662397 浙江海洋学院524 151782398 浙江科技学院538 86452399 浙江林学院530 120512402 郑州轻工业学院506 268072403 中国劳动关系学院533 106652404 中国民用航空飞行学院524 151122405 中华女子学院537 91472406 中南林业科技大学534 104302407 中南民族大学540 77262408 中南民族大学(招少数民族考生) 522 16717 2409 中原工学院524 151002410 仲恺农业工程学院521 167272411 重庆工商大学538 86452412 重庆交通大学536 94772413 重庆科技学院512 226192414 重庆理工大学520 179082415 重庆三峡学院515 205912416 重庆师范大学527 139442417 重庆文理学院520 174542418 重庆医科大学520 177852420 周口师范学院501 310962421 遵义师范学院——2428 大连民族学院(招少数民族考生) 515 21117 2430 安徽财经大学537 89592431 安徽工程科技学院521 173102432 安徽工业大学530 119972433 安徽工业大学1 527 139732434 安徽建筑工业学院529 126032435 安徽科技学院502 300182436 安徽理工大学520 175722437 安徽农业大学531 115952438 安徽医科大学530 121322439 安徽中医学院518 187402440 安庆师范学院516 201732441 蚌埠学院501 313262442 蚌埠医学院528 132432443 巢湖学院503 293472444 池州学院501 313342445 滁州学院502 305142446 阜阳师范学院509 246922447 合肥师范学院513 224142448 合肥学院525 149932449 淮北煤炭师范学院511 236322450 淮南师范学院503 294552451 黄山学院507 259982452 宿州学院501 313332453 铜陵学院510 243662454 皖南医学院510 242902455 皖西学院501 30946。
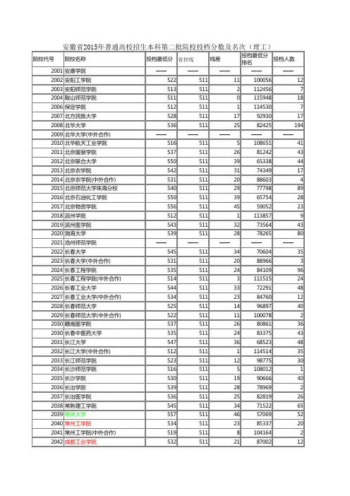
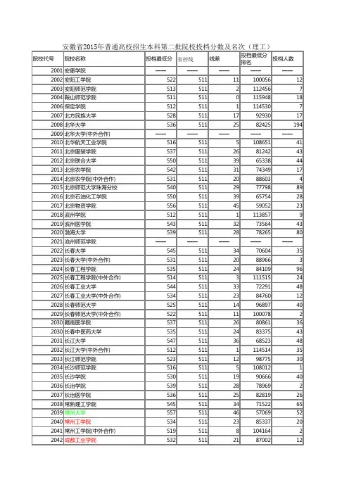
院校代号院校名称投档最低分省控线线差投档最低分排名投档人数2001安康学院——————————2002安阳工学院5225111110005612 2003安阳师范学院51351121124567 2004鞍山师范学院511511011594818 2006保定学院51251111145307 2007北方民族大学528511179293017 2008北华大学5365112582425194 2009北华大学(中外合作)——————————2010北华航天工业学院516511510865141 2011北京服装学院537511268124243 2012北京联合大学550511396533844 2013北京农学院542511317434917 2014北京农学院(中外合作)53151120886034 2015北京师范大学珠海分校540511297779889 2016北京石油化工学院550511396575428 2017北京物资学院556511455905223 2018滨州学院51251111138579 2019滨州医学院543511327356443 2020渤海大学539511287826580 2021沧州师范学院——————————2022长春大学545511347060435 2023长春大学(中外合作)53151120889663 2024长春工程学院535511248410996 2025长春工程学院(中外合作)514511311151524 2026长春工业大学544511337229148 2027长春工业大学(中外合作)534511238476012 2028长春师范大学525511149689740 2029长春师范大学(中外合作)522511111000782 2030赣南医学院537511268086136 2030长春中医药大学535511248337543 2031长江大学547511366852348 2032长江大学(中外合作)512511111451435 2033长江师范学院523511129877530 2034长沙师范学院51651151080121 2035长沙学院530511199066640 2036长治学院53951128789692 2037长治医学院536511258281926 2038常熟理工学院545511347152265 2039常州大学557511465706952 2040常州工学院534511238533720 2041常州工学院(中外合作)51951181041642 2042成都工业学院532511218700212安徽省2015年普通高校招生本科第二批院校投档分数及名次(理工)2043成都理工大学564511535023812 2043成都医学院560511495467510 2044成都师范学院524511139847115 2045成都体首学院51451131107019 2046成都信息工程大学552511416263366 2047成都学院533511228613324 2049成都中医药大学550511396498014 2050承德医学院53851127797258 2051赤峰学院——————————2052楚雄师范学院——————————2053川北医学院538511278043614 2054大理大学528511179269520 2055大连大学552511416346374 2056大连工业大学548511376749390 2057大连海洋大学550511396556373 2058大连交通大学554511436087327 2060大连民族大学(招少数民族考生)511511011530311 2061大连外国i吾大学576511653862523 2062大庆师范学院51751161067713 2063德州学院51151101154648 2064东北电力大学5455113471402119 2065东北电力大学(中外合作)55351142622895 2066东华理工大学55351142620282 2067东莞理工学院53851127795318 2068防灾科技学院5175116107045102 2069大连民族大学538511277969516 2069佛山科学技术学院523511129954414 2070福建工程学院544511337221786 2071福建江夏学院544511337265041 2072福建农林大学530511199001247 2073福建师范大学541511307561483 2074福建师范大学(中外合作)531511208926610 2075福建医科大学572511614224234 2076福建中医药大学540511297701831 2077甘肃农业大学514511********* 2078甘肃政法学院52851117925215 2079赣南师范学院519511810475421 2081广东财经大学57751166380856 2082广东第二师范学院52851117934032 2083广东医学院564511535020012 2083广东海洋大学537511268174029 2084广东技术师范学院53351122857868 2085广东金融学院56951158449137 2086广东石油化工学院527511169342233 2087广东药学院5515114064038142089广西财经学院546511356997015 2090厂西科技大学539511287904540 2091广西科技师范学院——————————2092广西民族大学527511169400224 2093广西师范大学532511218770825 2094广西师范学院51151101151161 2095广西医科大学533511228633110 2097贵州财经大学51251111135555 2098贵州财经大学(中外合作)54351132739961 2099贵州理工学院527511169456723 2100贵州师范大学515511410979210 2102贵州医科大学55051139651794 2103桂林电千科技大学553511426148054 2104桂林航天工业学院515511411045413 2105桂林理工大学539511287805145 2106桂林旅游学院52051191032991 2107桂林医学院539511287838615 2108哈尔滨金融学院529511189174825 2109哈尔滨理工大学553511426143574 2110哈尔滨商业大学542511317479940 2111哈尔滨师范大学5305111990508120 2113哈尔滨学院520511910252328 2114哈尔滨医科大学545511347111811 2115海南大学546511356955586 2116海南师范大学5315112088263131 2117海南医学院538511277996242 2119杭州师范大学555511445977242 2120河北北方学院512511111406910 2121河北工程大学5475113669297104 2122河北建筑工程学院537511268058120 2123河北金融学院550511396543612 2124河北经贸大学550511396528225 2125河北科技大学544511337295651 2126河北科技师范学院511511011569235 2127河北师范大学543511327305333 2128河北医科大学557511465756316 2129河北中医学院53251121881416 2130河池学院——————————2131河南财经政法大学562511515269838 2132河南城建学院513511211192026 2133河南城建学院(中外合作)51451131111741 2134间南工程学院536511258298238 2135河南工业大学5465113569824123 2136河南科技大学5495113865855121 2137河南科技学院512511111328832138河南理工大学546511357033447 2139河南理工大学(中外合作)5225111110029720 2140河南农业大学532511218798835 2141河南中医学院53151120884628 2142河西学院51351121122431 2143菏泽学院——————————2144贺州学院——————————2145黑河学院51151101159085 2146黑龙江八一农垦大学511511011577269 2147黑龙江大学543511327339593 2148黑龙江工程学院515511410985162 2149黑龙江科技大学5335112286637160 2150黑龙江中医药大学533511228674510 2151衡水学院51351121126256 2152衡阳师范学院51151101153888 2153红河学院——————————2155湖北第二师范学院534511238472163 2156湖北工程学院539511287869357 2157湖北经济学院553511426234648 2158湖北警官学院54051129772958 2159湖北科技学院534511238483249 2161湖北理工学院545511347168943 2162湖北民族学院514511311079042 2163湖北汽车工业学院541511307578657 2164湖北师范学院529511189105744 2165湖北师范学院(中外合作)——————————2166湖北文理学院530511199058146 2167湖北医药学院537511268046181 2168湖北中医药大学544511337220537 2169湖南财政经济学院565511544933610 2170湖南城市学院532511218711631 2171湖南第一师范学院54551134715608 2172湖南工程学院539511287854723 2173湖南工学院525511149727168 2174湖南工业大学545511347107296 2175湖南科技学院51151101147725 2176湖南理工学院542511317428926 2177湖南农业大学545511347118435 2180湖南商学院55651145580505 2181湖南文理学院518511710556614 2182湖南医药学院52651115959728 2183湖南中医药大学538511278000117 2184湖州师范学院531511208859439 2185华北科技学院5355112483438180 2186华北科技学院(中外合作)513511211322632187华北理工大学5395112878515107 2188华北水利水电大学553511426198268 2189华北水利水电大学(中外合作)525511149677520 2190华东交通大学564511535058220 2191怀化学院51251111144618 2192淮海工学院546511356942949 2193淮阴工学院533511228576784 2194淮阴师范学院514511311139550 2195黄闪师范学院511511011540316 2196吉林财经大学558511475659227 2197吉林财经大学(中外合作)55351142622794 2198吉林工程技术师范学院51151101152971 2199吉林工商学院530511199043045 2200吉林化工学院5175116106616105 2201吉林建筑大学545511347069340 2202吉林建筑大学(中外台作)53351122868192 2203吉林普察学院518511710547117 2204吉林农业大学5195118104368138 2205吉林农业大学(中外合作)51951181049722 2206吉林农业科技学院511511011564414 2207吉林师范太学524511139855136 2208吉林师范大学(中外合作)52651115959621 2209吉林体育学院——————————2210吉林医药学院529511189101851 2211吉首大学539511287842316 2212济宁学院518511********* 2213江苏警官学院55651145583796 2213济宁医学院539511287907785 2214佳木斯大学5185117105669163 2215嘉兴学院5505113965779132 2216江汉大学547511366901746 2217江苏笫二师范学院535511248353421 2219江苏理工学院550511396523552 2220江苏师范大学552511416271837 2221江苏师范大学(中外合作)51251111141194 2222江西科技师范大学536511258283865 2223江西科技师范大学(中外合作)——————————2224江西理工大学5475113668485125 2225江西理工大学(中外合作)51551141094574 2226江西农业大学5325112187960124 2227江西师范大学547511366872172 2228江西中医药大学541511307544520 2229金陵科技学院561511505338631 2230晋中学院51351121125441 2231荆楚理工学院52151110101466302232井冈山大学518511********* 2233并冈山大学(中外合作)51151101150914 2234景德镇陶瓷学院526511159516448 2235景德镇学院51451131117361 2236九江学院5225111110014273 2238喀什大学——————————2239昆明理工大学554511436043766 2240昆明学院5215111010170928 2241昆明医科大学559511485544311 2242兰州财经大学533511228685619 2243兰州城市学院511511011464410 2244兰州工业学院528511179225113 2245兰州交通大学555511445940478 2246兰州理工大学546511357033676 2247兰州文理学院————————2248廊坊师范学院521511********* 2249乐山师范学院51751161068272 2250丽水学院534511238449542 2251辽东学院511511011573930 2252辽宁工业大学547511366866191 2253辽宁科技大学546511356937627 2255辽宁师范大学546511356976836 2256辽宁师范大学(中外合作)53651125828214 2257辽宁医学院538511277948055 2258辽宁中医药大学529511189167115 2259聊城大学53551124840117 2260临沂大学549511386581120 2262六盘水师范学院——————————2263龙岩学院513511211302340 2264陇东学院——————————2265鲁东大学549511386625179 2266吕梁学院51151101147793 2267洛阳理工学院5385112780060106 2268洛阳理工学院(中外合作)51651151083093 2269洛阳师范学院51151101156377 2270绵阳师范学院——————————2271闽江学院535511248331339 2272闽南师范大学530511198956956 2273牡丹江师范学院——————————2274牡丹江医学院529511189202165 2275内象古财经大学525511149679010 2276内蒙古工业大学526511159506250 2277内蒙古科技大学523511129879537 2278内蒙古科技大学包头师范学院——————————2279内豢古科技大学包头医学院5285111792561102280内蒙古民族大学511511011476411 2281内蒙古农业大学515511410956160 2282内蒙古师范大学51251111140037 2283内豢古医科大学531511208855910 2284南昌工程学院5425113174653100 2285南昌工程学院(中外台作)52951118917914 2286南昌航空大学555511445985242 2287南昌航空大学(中外合作)538511278012311 2288南昌师范学院——————————2289南华大学515511410994374 2290南京工程学院567511564697694 2291南京林业大学564511535059635 2292南京特殊教W师范学院51251111136338 2293南京体育学院516511********* 2294南京晓庄学院550511396482850 2295南京医科大学570511594463913 2297南京中医药大学558511475643227 2298南通大学554511436089966 2299南阳理工学院5225111110013753 2300南阳理工学院(中外合作)51151101147282 2301南阳师范学院51451131111601 2302宁波工程学院551511406403695 2303宁波工程学院(中外合作)54251131747842 2304宁德师范学院51151101155714 2305宁夏师范学院——————————2306宁夏医科大学54251131747226 2307平顶山学院51151101154872 2308萍乡学院51151101155881 2309莆田学院518511********* 2310普洱学院——————————2311齐鲁工业大学543511327372493 2313齐齐哈尔大学518511710543298 2314齐齐哈尔医学院531511208887675 2315钦州学院52651115951051 2316青岛农业大学544511337235820 2317青海民族大学512511111383434 2318青海师范大学511511011567111 2319琼州学院514511311080148 2320曲阜师范大学537511268065810 2321曲靖师范学院——————————2322衢州学院532511218790235 2323泉州师范学院528511179337942 2324三明学院5215111010205324 2325三明学院(中外合作)——————————2326三峡大学545511347108932327山东工商学院551511406393379 2328山东工商学院(中外合作)525511149723226 2329山东工艺美术学院521511********* 2330山东管理学院54051129778878 2331山东建筑大学561511505325440 2332山东交通学院544511337209060 2333山东理工大学554511436033762 2334山东农业大学543511327353141 2335山东农业工程学院513511211194120 2337山东青年政治学院52951118920075 2338山东师范大学551511406373320 2339山东政法学院550511396523825 2340山东中医药大学54551134709578 2341山西大同大学526511159528220 2342山西工程技术学院51151101153132 2343山西农业大学526511159490081 2344山西师范大学525511149602618 2345山西医科大学547511366878855 2346山西中医学院527511169352834 2347陕西理工学院532511218742814 2348陕西学前师范学院——————————2349陕西中医药大学539511287906810 2350商洛学院——————————2351商丘师范学院511511011562745 2352上海第—工业大学5545114360422212 2353上海电机学院5535114262226116 2354上海电机学院(中外合作)55851147565191 2355上海电力学院5645115349780206 2356上海电力学院(中外合作)56351152508798 2357上海工程技术大学5655115449612194 2358上海工程技术大学(中外合作)549511386662139 2359上海海关学院58751176298067 2360上海海洋大学560511495373239 2361上海海洋大学(中外合作)549511386646820 2362上海金融学院577511663813962 2363上海立信会计学院580511693596064 2364上海商学院566511554785051 2365上海师范大学(中外合作)552511416351331 2366上海视觉艺术学院51151101152722 2367上海体育学院538511277945226 2368上海应用技术学院5515114064199195 2369上海应用技术学院(中外合作)541511307633521 2370上饶师范学院——————————2371韶关学院515511********* 2372邵阳学院515511*********2373绍兴文理学院542511317445542 2374沈阳大学540511297722073 2375沈阳工程学院546511356993210 2376沈阳工业大学550511396525934 2377沈阳航空航天大学542511317511479 2378沈阳化工大学5375112681170129 2379沈阳理工大学532511218742257 2380沈阳师范大学528511179249866 2382沈阳医学院542511317525526 2383石河子大学526511159506849 2384石家庄经济学院535511248357581 2386石家庄学院51251111141104 2387四川理工学院536511258307120 2388四川旅游学院51651151082002 2390四川师范大学544511337220036 2391四川外国语大学56351152514996 2392四川外国语大学(中外合作)54051129775215 2393四川文理学院51151101149617 2394四川医科大学55551144600813 2395苏州科技学院554511436023327 2396苏州科技学院(中外合作)52951118916774 2397绥化学院51151101153487 2398塔里木大学51251111145064 2399台州学院528511179212735 2400太原工业学院531511208898935 2401太原科技大学547511366868840 2402太原师范学院512511111331120 2403太原学院51451131118537 2404泰山学院51551141098886 2405泰山医学院535511248385420 2406唐山师范学院51451131118833 2407唐山学院529511189100017 2408天津城建大学5505113965407278 2409天津工业大学552511416301940 2410天津工业大学(中外合作)543511327324445 2411天津科技大学5575114657786200 2412天津科技大学(中外合作)533511228662920 2413天津理工大学560511495388727 2414天津农学院5305111990084143 2415天津商业大学5525114163347182 2416天津商业大学(中外合作)537511268150719 2417天津师范大学555511445937482 2418天津职业技术师范大学5325112188130131 2419天津中医药大学544511337264136 2420天津中医药大学(中外合作)519511810512622421天水师范学院51851171059451 2422通化师范学院——————————2423潍坊学院5225111110070655 2424潍坊医学院542511317512346 2425渭南师范学院52351112992241 2426溫州大学561511505365741 2427温州医科大学576511653899925 2429梧州学院——————————2430五邑大学540511297707424 2431宜宾学院——————————2431武汉纺织大学549511386621764 2432武汉工程大学557511465778512 2433武汉工程大学(中外合作)518511710556020 2434武汉轻工大学553511426137079 2435武汉商学院53351122857699 2436玉林师范学院——————————2436武汉体育学院517511********* 2437武夷学院5215111010184237 2437玉溪师范学院51151101154932 2438西安财经学院559511485546934 2439西安工程大学547511366826673 2440西安工业大学56351152510152 2441西安航空学院550511396569211 2442西安石油大学551511406459112 2444西安文理学院535511248369411 2445西安医学院56551154492398 2446西北民族大学513511211309423 2447西北民族大学(招少数民族考生)51251111143741 2448西北师范大学533511228579219 2449西藏大学51351121130672 2450西昌学院51251111136127 2451西华大学545511347134631 2452西华师范大学520511910378213 2453西南交通大学575511643962449 2454西南林业大学520511910372232 2455西南民族大学538511277955926 2456西南民族大学(招少数民族考生)514511311162612 2457西南石油大学542511317528514 2458厦门理工学院560511495433346 2459厦门理工学院537511268081736 2460咸阳师范学院53051119896041 2461湘南学院526511159561713 2462忻州师范学院——————————2463新疆工程学院——————————2464新疆农业大学5115110115577102465新疆师范大学511511011507216 2466新疆医料大学533511228668926 2467新乡学院511511011524010 2468新乡医学院540511297682814 2469新余学院51751161070886 2470信阳农林学院——————————2471信阳师范学院51351121131775 2472兴义民族师范学院51451131108461 2473邢台学院51151101154431 2474徐州工程学院545511347152863 2475徐州医学院574511634058630 2476许昌学院51751161066183 2477烟台大学551511406393052 2478延安大学536511258276310 2479盐城工学院544511337238956 2480盐城师范学院520511********* 2482宜春学院527511169366142 2483营口理工学院51951181046192 2484右江民族医学院529511189157420 2485榆林学院51251111141185 2488云南财经大学551511406395024 2489云南曾官学院53351122863226 2490云南民族大学521511********* 2491云南农业大学532511218814326 2492云南师范大学527511169432615 2493云南中医学院53051119901648 2494运城学院51151101153461 2495枣庄学院51351121132365 2496张家口学院——————————2498浙江传媒学院559511485573030 2499浙江海洋学院550511396513829 2500浙江科技学院557511465733166 2501浙江农林大学550511396503558 2502浙江水利水电学院546511357019421 2503浙江外国语学院565511544965122 2504浙江中医药大学555511445972535 2505郑州航空工业管理学院5435113274124103 2506郑州轻工业学院534511238467272 2507郑州师范学院51351121130281 2508中国劳动关系学院537511268164627 2509中国民用航空飞行学院549511386666422 2510中华女子学院542511317498528 2511中南民族大学556511455827532 2512中南民族大学(招少数民族考生)5135112112416102 2513中原工学院5275111693626742514仲恺农业工程学院51951181044879 2515重庆第二师范学院51451131115085 2516重庆工商大学559511485558537 2517重庆工商大学(中外合作)55651145583463 2518重庆科技学院537511268131956 2519重庆理工大学554511436095869 2520重庆三峡学院533511228676733 2521重庆师范大学538511277931622 2522重庆文理学院538511277994224 2523重庆医科大学560511495404227 2524重庆邮电大学569511584484012 2525周口师范学院51151101152041 2527遵义医学院536511258225920 2541西安美术学院——————————2542四川美术学院53951128785963 2545安徽工程大学(四年一贯制)5435113273092200 2546安徽科技学院51151101159562926 2547安徽科技学院(中外合作)511511011519835 2549安徽理工大学5395112878758290 2550安徽中医药大学52151110101949640 2551安庆师范学院53051119903262112 2552安庆师范学院(中外合作)512511111374219 2553蚌埠学院51851171062232029 2554蚌埠学院(中外合作)——————————2555蚌埠医学院54651135702742410 2556巢湖学院51351121131522219 2557巢湖学院(中外合作)51351121130112 2558池州学院5115110115965944 2559滁州学院51551141095962400 2560阜阳师范学院51851171063462452 2561合肥师范学院53751126812941515 2562合肥师范学院(中外合作)511511011596674 2563合肥学院54651135695662112 2564合肥学院(中外合作)5285111792893188 2565合肥学院(四年一贯制)5115110115955170 2566淮北师范大学52451113975191007 2567淮南师范学院51151101155342110 2568淮南师范学院(中外合作)51151101153178 2569黄山学院52751116939962383 2570黄山学院(中外合作)512511111392114 2571宿州学院5115110115957853 2572铜陵学院53351122860572554 2573铜陵学院(中外合作)516511510848730 2574皖南医学院54051129770082620 2575皖西学院52051191034263190。
2016年安徽省内高校录取分数线汇总各位读友大家好,此文档由网络收集而来,欢迎您下载,谢谢2016年安徽高考成绩及录取分数线已公布,安徽高考考生已经正式填报志愿了,你想上什么大学?心仪大学今年录取分数线多少?本文qc99小编为考生们推荐全国百所高校录取分数线详情如下:安徽省2016年普通高校招生文史、理工类最低控制分数线一览表科类/批次一本二本三本高职(专科) 文史521482453251 理工518473446290安徽省2016年普通高校招生艺、体类文化课最低控制分数线一览表科类/批次艺术类(本科)(非戏剧与影视学类)艺术类(本科)(戏剧与影视学类)艺术类(高职专科) 体育类(本科) 体育类(高职专科) 文史338314201314251 理工332308232308290中国科学技术大学一本要400名以内,提前批次1000名以内都可以冲一下。
物理、数学都是热门专业。
安徽大学安徽大学今年省内招生3704人,除了理工类、文史类、艺术类和文理兼收的多个专业,还有2个中外合作办学的专科专业。
安徽大学在安徽省的招生规模比较稳定,历年排名有较大的参考价值,考生可结合过去三年的录取分数和排名报考。
合肥工业大学理科合肥校区在12000名以内,宣城校区在20000名左右,安徽师范大学安徽师范大学今年在皖招生4474人(包括国家专项180人,地方专项165人),其中文史类1325人,理科2541人。
负责人表示,今年的招生条件暂不清楚,但是依据去年的情况,文科高出一本线12分左右,理科高出一本线13分左右有望录取。
负责人建议考生,报考学校的时候最好选择专业服从,以防报考同一专业的人太多而没有选上。
安徽医科大学安徽医科大学在安徽省总的本科招生计划为2593人,其中国家专项计划180人(理科150人,文科30人),地方专项计划80人(理科68人,文科12人),临床医学(农村免费定向医学生)60人,其他本批次2273人(理科2060人,文科213人)总计划比2015年增加325人。
2016年安徽省内高校录取分数线汇总2016年安徽高考成绩及录取分数线已公布,安徽高考考生已经正式填报志愿了,你想上什么大学?心仪大学今年录取分数线多少?本文qc99小编为考生们推荐全国百所高校录取分数线详情如下:安徽省2016年普通高校招生文史、理工类最低控制分数线一览表科类/批次一本二本三本高职(专科) 文史521482453251 理工518473446290安徽省2016年普通高校招生艺、体类文化课最低控制分数线一览表科类/批次艺术类(本科)(非戏剧与影视学类)艺术类(本科)(戏剧与影视学类)艺术类(高职专科) 体育类(本科) 体育类(高职专科) 文史338314201314251 理工332308232308290中国科学技术大学一本要400名以内,提前批次1000名以内都可以冲一下。
物理、数学都是热门专业。
安徽大学安徽大学今年省内招生3704人,除了理工类、文史类、艺术类和文理兼收的多个专业,还有2个中外合作办学的专科专业。
安徽大学在安徽省的招生规模比较稳定,历年排名有较大的参考价值,考生可结合过去三年的录取分数和排名报考。
合肥工业大学理科合肥校区在12000名以内,宣城校区在20000名左右,安徽师范大学安徽师范大学今年在皖招生4474人(包括国家专项180人,地方专项165人),其中文史类1325人,理科2541人。
负责人表示,今年的招生条件暂不清楚,但是依据去年的情况,文科高出一本线12分左右,理科高出一本线13分左右有望录取。
负责人建议考生,报考学校的时候最好选择专业服从,以防报考同一专业的人太多而没有选上。
安徽医科大学安徽医科大学在安徽省总的本科招生计划为2593人,其中国家专项计划180人(理科150人,文科30人),地方专项计划80人(理科68人,文科12人),临床医学(农村免费定向医学生)60人,其他本批次2273人(理科2060人,文科213人)总计划比2016年增加325人。
昨晚,安徽省教育招⽣考试院公布了今年⼀本院校在我省的最低投档线以及投档考⽣最低分排名。
记者从各⾼校录取的情况看,相⽐去年,我省⼀本分数线有了较⼤降低,虽然如此,各⼤在皖的最低投档线却依旧保持“⾼姿态”。
虽然今年我省使⽤全国卷,各批次投档分数线有所下降,但⾼校投档线普遍较⾼。
清华⼤学与北京⼤学两所“⽜校”的较量持续升级,今年清华⼤学的⽂科以投档最低分644分位列榜⾸,此次在我省投档4⼈,最低排名12名;⽽北京⼤学的理科以688分的⾼分⼒压清华⼤学,摘得理科投档桂冠。
从昨天公布的情况看,北京⼤学此次⽂理科共投档31⼈,清华⼤学投档52⼈。
从结果显⽰,“”效应依然,复旦⼤学、南开⼤学、浙江⼤学、南京⼤学等,依然是⼴⼤家长和考⽣追逐的重点。
从投档结果看,这些⾼校在皖招⽣的考⽣,最低排名⽐较稳定。
总体情况看,复旦⼤学今年在皖招⽣摘得季军,在皖最低投档排名⽂、理科分别为48名和110名。
在肥的⾼校中,关注的中国科学技术⼤学最低投档分为665分,最低投档排名403名。
合肥学院部分专业今年⾸次⼀本招⽣,⽂科招20⼈,投档最低分数529分,最低排名11489名;理科投档⼈数258⼈,投档最低分数520分,最低排名60165名。
今年,许多⾼校在皖招⽣中,都开展了中外合作办学招⽣。
从投档情况看,家长和考⽣选择中外合作办学⽐较谨慎,各⾼校中外合作办学的投档分数和投档最低排名也⽐正常专业的要低。
就省内⽽⾔,我省理⼯类排名前三的安徽⼤学、安徽医科⼤学和安徽财经⼤学,最低投档线分别为575分、558分和551分。
⽂史类省内⾼校排在前三的是安徽⼤学、安徽财经⼤学和安徽师范⼤学,最低投档线分别为561分、545分和539分。
省内⾼校排名和去年⽐较变化不⼤。
即⽇起,我市考⽣可登录安徽省教育招⽣考试院等站,查询在皖招⽣的⼀本院校最低投档线。
同时,⼀本批次的录取⼯作也已经开始,考⽣每天可登录安徽教育招⽣考试院查询录取情况。
篇一:2016年高考分数线历年安徽省高考录取(lùqǔ)分数线预测2016年高考分数线历年(lìnián)安徽省高考录取分数线预测估分!2016年高考分数线_历年安徽省高考录取(lùqǔ)分数线预测名校预估2016安徽高考录取分数线历年安徽高考录取分数线(图)名校估分(与去年(qùnián)相比)浮山(fú shān)中学:文科一本556分、二本515分、三本486分;理科一本526分、二本470分、三本435分。
合肥一中:是一本540分、二本490分、三本470分。
六安一中:理科一本线525分左右。
毛坦厂中学:文科一本线607分左右,理科一本线565分左右。
2016安徽高考录取分数线预测根据安徽高考历年的分数线变化趋势,预测出了2016年安徽高考分数线,以下分数线为个人观点,仅供参考!文科一本分数线:564分文科二本分数线:524分文科三本分数线:490分高职高专文科分数线:175分理科一本分数线:520分理科二本分数线:464分理科三本分数线:428分高职高专理科分数线:175安徽高考录取线公布时间:预计6月22日阅卷结束并进行统分合成,6月23日上午11时左右,公布高考成绩并划定各批次最低控制录取分数线。
安徽省安排7场高考咨询会今年我省将在合肥、阜阳、芜湖、安庆以及滁州五地举办7场咨询会,具体安排分别为:合肥将安排3场咨询会。
6月25日上午,部委属高校咨询会及本科高校咨询会,分别由合肥工业大学、安徽农业大学承办;6月26日上午,皖中片咨询会,由新华学院承办。
此外,6月27日上午,皖北片咨询会,由阜阳师范学院承办;6月28日上午,沿江片咨询会由安徽工程大学承办;6月29日上午,皖南片咨询会由安庆市教育招生考试院承办; 6月30日上午,滁州职业技术学院结合校园开放日,邀请30所示范性高职院校参展。
本科院校网上咨询(zīxún)周时间为6月22日至6月28日,专科院校网上咨询周时间为6月28日至7月3日,每日咨询时间段为9:00至18:00。