电磁场理论补充习题及解答
- 格式:doc
- 大小:709.50 KB
- 文档页数:14
习题:1. 在3z m =的平面内,长度0.5l m =的导线沿x 轴方向排列。
当该导线以速度24x y m v e e s=+在磁感应强度22363x y z B e x z e e xz T =+-的磁场中移动时,求感应电动势.解:给定的磁场为恒定磁场,故导线中的感应电动势只能是导线在恒定磁场中移动时由洛仑兹力产生的。
有 ()in v B dl ε=⨯⋅⎰ 根据已知条件,得2233()|(24)(363)|z x y x y z z v B e e e x z e e xz ==⨯=+⨯+- 210854(1236)x y z e x e x e x =-++- x dl e dx = 故感应电动势为0.520[10854(1236)]13.5in x y z x e x e x e x e dx V ε=-++-⋅=-⎰2。
长度为l 的细导体棒位于xy 平面内,其一端固定在坐标原点。
当其在恒定磁场0z B e B =中以角速度ω旋转时,求导体棒中的感应电动势。
解:导体中的感应电动势是由洛仑兹力产生的,即 ()in v b dl ε=⨯⋅⎰根据已知条件,导体棒上任意半径r 处的速度为 v e r ωΦ= r dl e dr = 故感应电动势为200001()()2llLin z r v b dl e r e B e dr B rdr B l V εωωωΦ=⨯⋅=⨯⋅==⎰⎰⎰3.试推出在线性、无耗、各向同性的非均匀媒质中的麦克斯韦方程。
解:考察麦克斯韦方程中的参量,利用它们与电场强度E 和磁感应强度B 的关系,将,,H B D E J E μεσ===代入即可,注意在非均匀媒质中,,μεσ是空间坐标的函数.考察麦克斯韦第一方程,有 11()BH B B μμμ∇⨯=∇⨯=∇⨯+∇⨯211B B μμμ=-∇⨯+∇⨯D E J J t tε∂∂=+=+∂∂ 所以E BB J t μμμεμ∂∇⨯∇⨯=++∂ 而 ()D E E E εεερ∇⋅=∇⋅=⋅∇+∇⋅=,于是,微分形式的麦克斯韦方程用E 和B 表示为E BB J t μμμεμ∂∇⨯∇⨯=++∂ B E t∂∇⨯=-∂ 0B ∇⋅= E E εερ∇⋅+∇⋅= 对于无耗媒质,0σ=,因此有0J =。
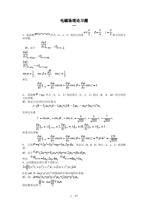
电磁场理论习题一1、求函数ϕ=xy+z-xyz 在点(1,1,2)处沿方向角πα=3,4πβ=,3πγ=的方向的方向导数.解:由于 M ϕ∂∂x =y -M yz = -1M y ϕ∂∂=2x y -(1,1,2)xz =0 Mzϕ∂∂=2z(1,1,2)xy -=31cos 2α=,cos 2β=,1cos 2γ=所以1cos cos cos =∂∂+∂∂+∂∂=∂∂γϕβϕαϕϕz y x lM2、 求函数ϕ=xyz 在点(5, 1, 2)处沿着点(5, 1, 2)到点(9, 4, 19)的方向的方向导数。
解:指定方向l 的方向矢量为l =(9-5) e x +(4-1)e y +(19-2)e z =4e x +3e y +17e z其单位矢量zy x z y x e e e e e e l 314731433144cos cos cos ++=++=γβα5,10,2)2,1,5(==∂∂==∂∂==∂∂MMMMMxyzxzyyzxϕϕϕ所求方向导数314123cos cos cos =•∇=∂∂+∂∂+∂∂=∂∂ l z y x lMϕγϕβϕαϕϕ3、 已知ϕ=x 2+2y 2+3z 2+xy+3x-2y-6z ,求在点(0,0,0)和点(1,1,1)处的梯度。
解:由于ϕ∇=(2x+y+3) e x +(4y+x-2)e y +(6z-6)e z所以,(0,0,0)ϕ∇=3e x -2e y -6e z(1,1,1)ϕ∇=6e x +3e y4、运用散度定理计算下列积分:2232[()(2)]x y z sxz e x y z e xy y z e ds+-++⎰⎰I=S 是z=0 和 z=(a 2-x 2-y 2)1/2所围成的半球区域的外表面。
解:设:A=xz 2e x +(x 2y-z 3)e y +(2xy+y 2z)e z 则由散度定理Ω∇⎰⎰⎰⎰⎰sA ds=Adv可得2I r dvΩΩΩ=∇==⎰⎰⎰⎰⎰⎰⎰⎰⎰222Adv (z +x +y )dv2244220sin sin aar drd d d d r dr ππππθθϕϕθθ==⎰⎰⎰⎰⎰⎰525a π=5、试求▽·A 和▽×A:(1) A=xy 2z 3e x +x 3ze y +x 2y 2e z(2)22(,,)cos sin z A z e e ρρφρφρφ=+ (3 ) 211(,,)sin sin cos r A r r e e e r r θφθφθθθ=++解:(1)▽·A=y 2z 3+0+0= y 2z 3▽×A=23232(2)(23)x yx y x e xy xy z e ∂∂∂=---∂∂∂x y z23322e e e x y z xy z x z x y(2) ▽·A=()[()]z A A A z φρρρρρφ∂∂∂++∂∂∂1 =33[(cos )(sin )]ρφρφρρφ∂∂+∂∂1=3cos ρφ▽×A=ρφρφρρρφρ∂∂∂∂∂∂z ze e e 1z A A A =221cos 0ρφρρρφρφρφ∂∂∂∂∂∂z e e e z sin=cos 2sin sin ze e e ρφρφρφρφ-+(3) ▽·A=22(sin )()1[sin ]sin r A A r A r r r r φθθθθθφ∂∂∂++∂∂∂ =2322sin cos ()()1(sin )[sin ]sin r r r r r r r θθθθθθφ∂∂∂++∂∂∂ =222212[3sin 2sin cos ]3sin cos sin r r r θθθθθθ+=+▽×A=21sin rr r r rr θφθφθθθφθ∂∂∂∂∂∂e e rsin e A A rsin A =21sin 1sin sin cos rr r r r θφθθθφθθθθ∂∂∂∂∂∂e e rsin e rsin=33cos 2cos cos sin r e e e r r θφθθθθ+-习题二1、总量为q 的电荷均匀分布于球体中,分别求球内,外的电场强度。
电磁场的典型练习题及解答电磁学是物理学中的重要分支,研究电荷和电流所产生的电场和磁场的相互作用规律。
在学习电磁学的过程中,练习题是检验我们对理论知识掌握的有效方法。
本文将介绍一些典型的电磁场练习题,并给出详细的解答,帮助读者加深对电磁场的理解。
1. 题目:一根无限长直导线产生的电场强度已知一根无限长直导线,导线上带有均匀分布的电荷线密度λ。
求导线距离d处的电场强度E。
解答:根据库仑定律可知,电场强度E与电荷线密度λ成正比,与距离d 成反比。
所以可以得出结论:电场强度E和d满足反比关系。
2. 题目:两个点电荷的叠加效应已知两个点电荷q1和q2,分别位于坐标原点和坐标轴上一点P(x,0)。
求点P处的电场强度E。
解答:根据叠加原理,点P处的电场强度E等于点电荷q1和q2分别在点P处产生的电场强度之和。
由库仑定律可知,点电荷产生的电场强度与电荷量成正比,与距离的平方成反比。
根据该性质,可以分别求出点电荷q1和q2在点P处产生的电场强度,再将两者相加得到点P处的总电场强度。
3. 题目:平行板电容器的电场强度已知一对平行板电容器,两平行板间距离为d,电容器的电容为C。
求平行板电容器中的电场强度E。
解答:根据平行板电容器的结构特点,可知平行板电容器中的电场强度E对于两平行板之间的距离d是均匀的,且大小与电容C的倒数成正比。
所以可以得出结论:电场强度E和d满足正比关系,与电容C成正比。
4. 题目:磁场的洛伦兹力已知带电粒子以速度v在磁场B中运动,其电荷量为q。
求带电粒子所受的洛伦兹力F。
解答:根据洛伦兹力的定义,带电粒子所受的洛伦兹力F等于其电荷量q与速度v以及磁场B的矢量积。
通过对矢量积的计算,可以得到带电粒子所受的洛伦兹力F的大小和方向。
5. 题目:安培环路定理的应用已知一安培环路中有多个电流元素,它们的电流分别为I1,I2,I3...In。
求安培环路中的磁场强度B。
解答:根据安培环路定理,安培环路中的磁场强度B与电流元素的电流之和成正比。
高等电磁理论习题答案【篇一:电磁场理论补充习题及解答】ass=txt>一、填空与简答1、2、ddadbdduda?a?u3、若a,b为矢量函数,u为标量函数,(a?b)?,(ua)?,dtdtdtdtdtdtddbdaddbda(a?b)?a???b,(a?b)?a???b, dtdtdtdtdtdtdadadu?如果a?a(u),u?u(t), dtdudt4、?表示哈密顿算子(w.r. hamilton),即??ex????ey?ez。
数量场u梯度和矢量?x?y?z场a的散度和旋度可表示为grad u??u,div a???a,rot a???a。
4、奥氏公式及斯托克斯公式可为??a?ds????(??a)dv,a?dl?(??a)?ds 。
s?ls5、亥姆霍兹(h.von helmholtz场。
6、高斯定理描述通过一个闭合面的电场强度的通量与闭合面内电荷的关系,即:e?ds?sq?07、电偶极子(electric dipole正电荷指向负电荷。
8、根据物质的电特性,可将其分为导电物质和绝缘物质,后者简称为介质。
极化介质产生的电位可以看作是等效体分布电荷和面分布电荷在真空中共同产生的。
等效体电荷密度和面电荷密度分别为?(r?)?????p(r?),?sp?p(r?)?n 。
9、在静电场中,电位移矢量的法向分量在通过界面时一般不连续,即n?(d2?d1)?场强度的切向分量在边界两侧是连续的,即n?(e2?e1)?0。
10、凡是静电场不为零的空间中都存储着静电能,静电能是以电场的形式存在于空间,而?s,电不是以电荷或电位的形式存在于空间的。
场中任一点的能量密度为we?11、1e?d。
2欧姆定理的微分形式表明,任意一点的电流密度与该点的电场强度成正比,即j??e。
2导体内任一点的热功率密度与该点的电场强度的平方成正比,即p??e。
12、在恒定电场中,电流密度j在通过界面时其法向分量连续,电场强度的切向分量连续,即n?(e2?e1)?0,n?(j2?j1)?0。
电磁场理论习题及答案电磁场理论是电磁学的基础,它描述了电荷和电流产生的电磁场在空间中的分布和演化规律。
在学习电磁场理论时,习题是巩固和深化理解的重要方式。
本文将介绍一些电磁场理论的习题及其答案,帮助读者更好地掌握这一理论。
一、电场和电势1. 问题:一个均匀带电球体,半径为R,总电荷为Q。
求球心处的电场强度。
答案:根据库仑定律,电场强度E与电荷Q和距离r的关系为E = kQ/r^2,其中k为库仑常数。
对于球体内部的点,距离球心的距离r小于半径R,所以电场强度为E = kQ/r^2。
对于球体外部的点,距离球心的距离r大于半径R,所以电场强度为E = kQ/R^3 * r。
2. 问题:一个无限长的均匀带电线,线密度为λ。
求距离线上一点距离为r处的电势。
答案:根据电势公式V = kλ/r,其中k为库仑常数。
所以距离线上一点距离为r处的电势为V = kλ/r。
二、磁场和磁感应强度1. 问题:一根无限长的直导线,电流为I。
求距离导线距离为r处的磁感应强度。
答案:根据安培环路定理,磁感应强度B与电流I和距离r的关系为B =μ0I/2πr,其中μ0为真空中的磁导率。
所以距离导线距离为r处的磁感应强度为B = μ0I/2πr。
2. 问题:一根长为L的直导线,电流为I。
求距离导线距离为r处的磁场强度。
答案:根据比奥萨伐尔定律,磁场强度H与电流I和距离r的关系为H = I/2πr。
所以距离导线距离为r处的磁场强度为H = I/2πr。
三、电磁场的相互作用1. 问题:一个半径为R的导体球,带电量为Q。
求导体球表面的电荷密度。
答案:导体球表面的电荷密度σ等于导体球上的电荷总量Q除以导体球表面的面积A。
导体球表面的面积A等于球的表面积4πR^2。
所以导体球表面的电荷密度为σ = Q/4πR^2。
2. 问题:一个平行板电容器,两个平行金属板之间的距离为d,电介质的介电常数为ε。
一块电介质板插入到电容器中间,使得电容器的电容增加了n倍。
电磁场理论习题及答案_百度⽂库习题5.1 设的半空间充满磁导率为的均匀介质,的半空间为真空,今有线电流沿z轴⽅向流动,求磁感应强度和磁化电流分布。
5.2 半径为a的⽆限长圆柱导体上有恒定电流J均匀分布于截⾯上,试解⽮势A 的微分⽅程,设导体的磁导率为,导体外的磁导率为。
5.3 设⽆限长圆柱体内电流分布,求⽮量磁位A和磁感应B。
5.4载有电流的细导线,右侧为半径的半圆弧,上下导线相互平⾏,并近似为向左侧延伸⾄⽆穷远。
试求圆弧中⼼点处的磁感应强度。
5.5 两根⽆限长直导线,布置于处,并与z轴平⾏,分别通过电流I 及,求空间任意⼀点处的磁感应强度B。
5.6 半径的磁介质球,具有磁化强度为求磁化电流和磁荷。
5.7已知两个相互平⾏,相隔距离为d,共轴圆线圈,其中⼀个线圈的半径为,另⼀个线圈的半径为b,试求两线圈之间的互感系数。
5.8 两平⾏⽆限长直线电流I1和I2,相距为d,求每根导线单位长度受到的安培⼒Fm。
5.9 ⼀个薄铁圆盘,半径为a,厚度为,如题5.9图所⽰。
在平⾏于z轴⽅向均匀磁化,磁化强度为M。
试求沿圆铁盘轴线上、铁盘内、外的磁感应强度和磁场强度。
均匀磁化的⽆限⼤导磁媒质的磁导率为,磁感应强度为B,若在该媒质内有两个空腔,,空腔1形状为⼀薄盘,空腔2像⼀长针,腔内都充有空⽓。
试求两空腔中⼼处磁场强度的⽐值。
5.11 两个⽆限⼤且平⾏的等磁位⾯D、N,相距h,,。
其间充以两种不同的导磁媒质,其磁导率分别为,,分界⾯与等磁位⾯垂直,求媒质分界⾯单位⾯积受⼒的⼤⼩和⽅向。
题5.11图5.12 长直导线附近有⼀矩形回路,回路与导线不共⾯,如题5.12图所⽰。
证明:直导线与矩形回路间的互感为题5.12图5.13 ⼀环形螺线管的平均半径,其圆形截⾯的半径,铁芯的相对磁导率,环上绕匝线圈,通过电流。
(1)计算螺线管的电感;(2)在铁芯上开⼀个的空⽓隙,再计算电感(假设开⼝后铁芯的不变);(3)求空⽓隙和铁芯内的磁场能量的⽐值。
电磁场理论课后习题1答案电磁场理论是物理学中的重要课程,它研究了电磁场的产生、传播和相互作用。
在学习这门课程时,课后习题是巩固知识、提高能力的重要途径。
本文将针对电磁场理论课后习题1给出详细的解答。
习题1:一个带电粒子在电磁场中运动,受到的洛伦兹力为F=q(E+v×B),其中q是粒子的电荷量,E是电场强度,v是粒子的速度,B是磁感应强度。
请证明:洛伦兹力对粒子所做的功率为P=qv·E。
解答:根据洛伦兹力的表达式F=q(E+v×B),我们可以将其展开为F=qE+qv×B。
其中第一项qE表示粒子在电场中受到的电力,第二项qv×B表示粒子在磁场中受到的磁力。
根据功率的定义,功率P等于力F对时间t的导数,即P=dW/dt,其中W表示对物体所做的功。
所以我们需要计算洛伦兹力对粒子所做的功。
根据力的功的定义,功W等于力F对位移的积分,即W=∫F·ds。
在这里,位移ds是粒子在运动过程中的微小位移。
将洛伦兹力F=qE+qv×B代入功的计算式中,得到W=∫(qE+qv×B)·ds。
由于电场强度E和磁感应强度B是空间中的矢量场,所以我们可以将其展开为E=E_xi+E_yj+E_zk和B=B_xi+B_yj+B_zk的形式。
对于微小位移ds,我们可以将其表示为ds=dx·i+dy·j+dz·k。
将上述表达式代入功的计算式中,得到W=∫(q(E_xi+E_yj+E_zk)+q(v_xi+v_yj+v_zk)×(B_xi+B_yj+B_zk))·(dx·i+dy·j+dz·k)。
根据矢量积的性质,可以得到v×B=(v_yB_z-v_zB_y)i-(v_xB_z-v_zB_x)j+(v_xB_y-v_yB_x)k。
将其代入功的计算式中,得到W=∫(q(E_xi+E_yj+E_zk)+q((v_yB_z-v_zB_y)i-(v_xB_z-v_zB_x)j+(v_xB_y-v_yB_x)k))·(dx·i+dy·j+dz·k)。
习题1. 一半径为a 的均匀带电圆环,电荷总量为q ,求:(1)圆环轴线上离环中心o点为z 处的电场强度E题1图解:(1)如图所示,环上任一点电荷元dq 在P 点产生的场强为204RdqE d πε=由对称性可知,整个圆环在P 点产生的场强只有z 分量,即()23220204cos za zdq RzR r dq E d E d z +===πεπεθ积分得到()()()()2322023220232202322042444za qz a za z dlza zdq za z E lz +=+=+=+=⎰⎰πεππελλπεπε2. 半径为a 的圆面上均匀带电,电荷面密度为δ,试求:(1)轴线上离圆心为z 处的场强,(2)在保持δ不变的情况下,当0→a 和∞→a 时结果如何?(3)在保持总电荷δπ2a q =不变的情况下,当0→a 和∞→a 时结果如何?题2图解:(1)如图所示,在圆环上任取一半径为r 的圆环,它所带的电荷量为δπdr dq 2=由习题2.1的结果可知该回环在轴线上P 点处的场强为()()23222322024zrrdrz zr zdq E d +=+=εδπε则整个均匀带电圆面在轴线上P 点出产生的场强为()⎪⎪⎭⎫⎝⎛+-=+=⎰22002322122z a z zrrdrz E az εδεδ (2)若δ不变,当0→a 时,则0)11(20=-=εδz E ;当∞→a ,则002)01(2εδεδ=-=z E (3)若保持δπ2a q =不变,当0→a 时,此带电圆面可视为一点电荷。
则204z qE z πε=。
当∞→a 时,0→δ,则0=z E。
3. 在介电常数为ε的无限大约均匀介质中,有一半径为a 的带电q 的导体球,求储存在介质中的静电能量。
解:导体在空间各点产生的电场为)()0(02a r rr qE a r E r w >=<<=πε故静电能量为aq dr r r q dVE dV E D W VV πεππεεε844212121202222=⎪⎭⎫ ⎝⎛==∙=⎰⎰⎰∞4. 有一同轴圆柱导体,其内导体半径为a ,外导体内表面的半径为b ,其间填充介电常数为ε的介质,现将同轴导体充电,使每米长带电荷λ。
电磁场与电磁波 补充习题 第一部分:1 若z y x a a a A -+=23,z y x a a a B 32+-=,求:1 B A +2 B A ∙3 B A ⨯4 A 和B 所构成平面的单位法线5 A 和B 之间较小的夹角6 B 在A 上的标投影和矢投影2 证明矢量场z y x a xy a xz a yz E ++=是无散的,也是无旋的。
3 若z y x f 23=,求f ∇,求在)5,3,2(P 的f 2∇。
4 如果矢量在空间给定是θθθa E a E E r sin cos 00-=,求E ∙∇和E ⨯∇。
5 假设0<x 的区域为空气,0>x 的区域为电介质,介电常数为03ε,如果空气中的电场强度z y x a a a E 5431++=(V/m ),求电介质中的电场强度。
6 一球形电容器由内半径为a ,外半径为b 的同心金属球组成,中间填充介电常数为ε的电介质,确定系统的电容。
7 同轴电缆内半径为a ,电压为0V ,外导体半径b 且接地,求导体间的电位分布,内导体的表面电荷密度,单位长度的电容。
8 在无源电介质中的电场强度为y a z t x C E )cos(sin βωα-=V/m ,此处C 为振幅,α和β是常数。
求磁场强度,电位移矢量。
9 自由空间的磁场强度为y a H H θsin 0=A/m ,z t βωθ-=,β为常数,求位移电流密度,电场强度。
10 在一个无源电介质中的电场强度x a z t C E )cos(βω-=V/m ,其中C 为场的幅度,ω为角频率,β为常数。
在什么条件下此场能够存在?其它的场量是什么?11 已知无源电介质中的电场强度x a kz t E E )cos(-=ωV/m ,此处E 为峰值,k 为常数,求此区域内的磁场强度,功率流的方向,平均功率密度。
12 自由空间的电场表示式为x a z t E)cos(10βω+=V/m ,若时间周期为100ns ,求常数k ,磁场强度,功率流方向,平均功率密度,电场中的能量密度,磁场中的能量密度。
一.填空:(共20分,每小题4分)1.对于矢量A,若A=e x A+y e y A+z e z A,x则:e∙x e=;x e∙x e=;ze⨯y e=;y e⨯y e=z2.哈密顿算子的表达式为∇=,其性质是3.电流连续性方程在电流恒定时,积分形式的表达式为;微分形式的表达式为4.静电场空间中,在不同的导电媒质交界面上,边界条件为和5.用矢量分析方法研究恒定磁场时,需要两个基本的场变量,即和二.判断:(共20分,每空2分)正确的在括号中打“√”,错误的打“×”。
1.电磁场是具有确定物理意义的矢量场,这些矢量场在一定的区域内具有一定的分布规律,除有限个点或面以外,它们都是空间坐标的连续函数。
()2.矢量场在闭合路径上的环流是标量,矢量场在闭合面上的通量是矢量。
()3.空间内标量值相等的点集合形成的曲面称为等值面。
()4.空间体积中有电流时,该空间内表面上便有面电流。
()5.电偶极子及其电场与磁偶极子及其磁场之间存在对偶关系。
()6.静电场的点源是点电荷,它是一种“标量点源”;恒定磁场的点源是电流元,它是一种“矢量性质的点源”。
( )7.泊松方程适用于有源区域,拉普拉斯方程适用于无源区域。
( )8.均匀导体中没有净电荷,在导体面或不同导体的分界面上,也没有电荷分布。
( )9.介质表面单位面积上的力等于介质表面两侧能量密度之差。
( )10.安培力可以用磁能量的空间变化率来计算。
( )三.简答:(共30分,每小题5分)1.说明力线的微分方程式并给出其在直角坐标系下的形式。
2.说明矢量场的环量和旋度。
3.写出安培力定律和毕奥-沙伐定律的表达式。
4.说明静电场中的电位函数,并写出其定义式。
5.写出真空中磁场的两个基本方程的积分形式和微分形式。
6.说明矢量磁位和库仑规范。
四.计算:(共10分)已知2223,3y z x y A x yze xy e ϕ==+求()rot A ϕ。
五.计算:(共10分)自由空间一无限长均匀带电直线,其线电荷密度为,求直线外一点的电场强度。
习 题3.1 已知电流密度矢量22221022 A/m x y z J y ze x ye x ze =-+试求:(1)穿过面积3x =,23y ≤≤,3.8 5.2z ≤≤, 沿x e方向的总电流。
(2)在上述面积中心处电流密度的大小。
(3)在上述面积上电流密度x 方向的分量x J的平均值。
解:(1)因为x dS dydze = ,则22(102x y J dS y ze x ye =- 222)10z x x ze dydze y zdydz += ,则所求总电流为 题图3.13 5.23222223.82105(5.2 3.8)399(A)z SI J dS y dy zdz y dy ===-=⎰⎰⎰⎰(2)容易得到该面积中心点的坐标为:3x =, 2.5y =, 4.5z =,代入J的表达式后可得到该点的电流密度矢量为2281.254581(A/m )x y z J e e e =-+其大小为2296.121A/m )J =(。
(3)x J 的平均值x J 为2399285(A/m )1 1.4x x I J S ===⨯ 由于J 的分布是非均匀的,所以穿过该面积沿x 方向的电流密度平均值和面积的中心点处电流密度大小不相等。
3.2 流过细导线的电流I 沿z 轴向下流到中心在0z =与z 轴垂直的导体薄片上。
求薄片上的电流密度矢量s J,并求在平面的60 扇形区域内的电流。
题图3.23解:由前面的分析可知,0z =时,电流密度矢量为2s rIJ e rπ= 那么,在60 扇形区域内的电流为60026s I I I J dl d rφπ===⎰⎰需要注意的是,这里的电流密度只存在于导体薄层上,为面电流密度s J A/m ,因此在求电流的时候,用的是公式s I J dl =⎰,而不是I JdS =⎰,但两者本质是相同的。
3.3 有一非均匀导电媒质板,厚度为d ,其两侧面为良导体电极,下板表面与坐标0z =重合,介质的电阻率为1211R R R R z dρρρρσ-==+,介电常数为0ε,而其中有0z J e J =的均匀电流。
电磁波考题整理一、填空题1. 某一矢量场,其旋度处处为零,则这个矢量场可以表示成某一标量函数的(梯度)形式。
2. 电流连续性方程的积分形式为(⎰⎰•s dSj=-dtdq)3. 两个同性电荷之间的作用力是(相互排斥的)。
4. 单位面积上的电荷多少称为(面电荷密度)。
5. 静电场中,导体表面的电场强度的边界条件是:(D1n-D2n=ρs)6. 矢量磁位A和磁感应强度B之间的关系式:(B=▽ x A)7. .E(Z,t)=ex Emsin(wt-kz-)+ eyEmcos(wt-kz+),判断上述均匀平面电磁波的极化方式为:(圆极化)(应该是 90%确定)8. 相速是指均匀平面电磁波在理想介质中的传播速度。
9.根据电磁波在波导中的传播特点,波导具有(HP)滤波器的特点。
(HP,LP,BP三选一)10.根据电与磁的对偶关系,我们可以由电偶极子在远区场的辐射场得到(磁偶极子)在远区产生的辐射场11. 电位移矢量D=εE+P在真空中 P的值为(0)12. 平板电容器的介质电容率ε越大,电容量越大。
13.恒定电容不会随时间(变化而变化)14.恒定电场中沿电源电场强度方向的闭合曲线积分在数值上等于电源的(电动势)15. 电源外媒质中电场强度的旋度为0。
16.在给定参考点的情况下,库伦规保证了矢量磁位的(散度为零)17.在各向同性媚质中,磁场的辅助方程为(D=εE, B=μH, J=σE)18. 平面电磁波在空间任一点的电场强度和磁场强度都是距离和时间的函数。
19. 时变电磁场的频率越高,集肤效应越明显。
20. 反映电磁场中能量守恒与转换规律的定理是坡印廷定理。
二、名词解释1. 矢量:既存在大小又有方向特性的量2. 反射系数:分界面上反射波电场强度与入射波电场强度之比3. TEM波:电场强度矢量和磁场强度矢量均与传播方向垂直的均匀平面电磁波4. 无散场:散度为零的电磁场,即·=0。
5. 电位参考点:一般选取一个固定点,规定其电位为零,称这一固定点为参考点。
第1~2章 矢量分析 宏观电磁现象的基本规律1. 设:直角坐标系中,标量场zx yz xy u ++=的梯度为A,则M (1,1,1)处A= ,=⨯∇A 0 。
2. 已知矢量场xz e xy e z y e A z y x ˆ4ˆ)(ˆ2+++= ,则在M (1,1,1)处=⋅∇A 9 。
3. 亥姆霍兹定理指出,若唯一地确定一个矢量场(场量为A),则必须同时给定该场矢量的 旋度 及 散度 。
4. 任一矢量场在无限大空间不可能既是 无源场 又是 无旋场 ,但在局部空间 可以有 以及 。
5. 写出线性和各项同性介质中场量D 、E 、B 、H、J 所满足的方程(结构方程): 。
6. 电流连续性方程的微分和积分形式分别为 和 。
7. 设理想导体的表面A 的电场强度为E 、磁场强度为B,则(a )E 、B皆与A 垂直。
(b )E 与A 垂直,B与A 平行。
(c )E 与A 平行,B与A 垂直。
(d )E 、B 皆与A 平行。
答案:B8. 两种不同的理想介质的交界面上,(A )1212 , E E H H ==(B )1212 , n n n n E E H H == (C) 1212 , t t t t E E H H == (D) 1212 , t t n n E E H H ==答案:C9. 设自由真空区域电场强度(V/m) )sin(ˆ0βz ωt E eE y -=,其中0E 、ω、β为常数。
则空间位移电流密度d J(A/m 2)为:ˆˆˆ222x y z e e e ++A⋅∇A ⨯∇E J H B E Dσ=μ=ε= , ,t q S d J S ∂∂-=⋅⎰ t J ∂ρ∂-=⋅∇ 0A ∇⋅=0A ∇⨯=(a ) )cos(ˆ0βz ωt E ey - (b ) )cos(ˆ0βz ωt ωE e y -(c ) )cos(ˆ00βz ωt E ωey -ε (d ) )cos(ˆ0βz ωt βE e y -- 答案:C 10. 已知无限大空间的相对介电常数为4=εr ,电场强度(V/m) 2cos ˆ0dxeE x πρ= ,其中0ρ、d 为常数。
电磁场理论复习题(通信05.1-5)一、填空与简答1、 既有大小、又有方向的量叫矢量。
只有大小、而没有方向的量叫标量。
2、在直角坐标系中,一个矢性函数和三个有序的数性函数(坐标)构成一一对应的关系。
3、若B A ,为矢量函数,u 为标量函数,dt dB dt dA B A dt d +=+)(,dtdAu A dt du uA dt d +=)(,B dt dA dt dB A B A dt d ∙+∙=∙)(,B dtdA dt dB A B A dt d ⨯+⨯=⨯)(, 如果)(),(t u u u A A ==,dtdu du dA dt dA = 4、∇表示哈密顿算子(W.R. Hamilton ),即ze y e x e z y x∂∂+∂∂+∂∂≡∇。
数量场u 梯度和矢量场A 的散度和旋度可表示为u u ∇= grad ,A A div ∙∇=,A A ⨯∇=rot 。
4、奥氏公式及斯托克斯公式可为dV A ds A S⎰⎰⎰⎰⎰Ω∙∇=∙)(,dS A dl A lS⋅⨯∇=⋅⎰⎰⎰)( 。
5、亥姆霍兹(H.V on Helmholtz )定理指出:用散度和旋度能唯一地确定一个矢量场。
6、 高斯定理描述通过一个闭合面的电场强度的通量与闭合面内电荷的关系,即:⎰⎰=⋅SQdS E 0ε7、 电偶极子(electric dipole )是指相距很近的两个等值异号的电荷,它是一个矢量,方向是由正电荷指向负电荷。
8、 根据物质的电特性,可将其分为导电物质和绝缘物质,后者简称为介质。
极化介质产生的电位可以看作是等效体分布电荷和面分布电荷在真空中共同产生的。
等效体电荷密度和面电荷密度分别为)()(r P r '⋅∇'-='ρ,n r P SP ⋅'=)(ρ 。
9、 在静电场中,电位移矢量的法向分量在通过界面时一般不连续,即s D D n ρ=-⋅)(12,电场强度的切向分量在边界两侧是连续的,即0)(12=-⨯E E n 。
10、凡是静电场不为零的空间中都存储着静电能,静电能是以电场的形式存在于空间,而不是以电荷或电位的形式存在于空间的。
场中任一点的能量密度为D E w e ⋅=21。
11、欧姆定理的微分形式表明,任意一点的电流密度与该点的电场强度成正比,即E J σ=。
导体内任一点的热功率密度与该点的电场强度的平方成正比,即2E p σ=。
12、在恒定电场中,电流密度J 在通过界面时其法向分量连续,电场强度的切向分量连续,即0)(12=-⋅E E n ,0)(12=-⨯J J n 。
13、 磁感应强度通过任意曲面的通量恒为零,这一性质叫磁通连续性原理,它表明,磁感应强度是一个无源的场。
14、 在恒定磁场中,磁感应强度的法向分量在分界面两侧连续,而其磁场强度的切向分量一般在分界面两侧不连续,即:0)(12=-⋅B B n ,s J H H n =-⨯)(12。
15、 静电场的唯一性定理表明:在每一类边界条件下,泊松方程或拉普拉斯方程必定唯一。
16、 采用镜像法解决静电场问题时应注意以下三点:(1)镜像电荷是虚拟电荷;(2)镜像电荷置于所求区域之外的附近区域;(3)导体是等位面。
17、 电磁感应现象说明,穿过一条回路的磁通发生变化时,在这个回路中将有感应电动势的出现,并在回路中产生电流。
18、 麦克斯韦方程组的物理意义为:(1)时变磁场将产生电场(2)电流和时变电场都会产生磁场,即变化的电场和传导电流是磁场的源(3)电场是有通量的源,穿过任一封闭面的电通量等于此面所包围的自由电荷电量(4)磁场无“通量源”,即磁场不可能由磁荷产生,穿过任一封闭面的磁通量恒等于零。
19、 高频电磁场只能存在于良导体表面的一个薄层内,这种现象称为集肤效应。
20、 电磁波的相速度随频率的变化而变化的现象称为色散。
当群速度小于相速度的这类色散称为正常色散,反之为非正常色散。
21、 电场强度的方向随时间变化的方式称为电磁波的极化。
电磁波的极化可分为三种,线极化、圆极化和椭圆极化。
22、 圆极化波具有两个与应用有关的重要性质:(1)当圆极化如射到对称目标上时,反射波变为反旋向的波,即左旋波变为右旋波,右旋波变为左旋波(2)天线若辐射左旋极化波,则只能接收左旋极化波,反之,天线若辐射右旋极化波,则只能接收右旋极化波。
这种现象称为圆极化天线的旋向正交性。
23、 根据导行波中有无纵向分量,导行波可分为:(1)横电磁波即TEM 波(2)横电波即TE 波或磁波H 波(3)横磁波即TM 或电波E 波。
24、 天线一般具有下列功能:(1)能量转化(2)定向辐射或接收(3)具有适当的极化(4)天线应与波导装置匹配。
25、 电基本振子是一段载有高频电流的短导线,其长度远小于工作波长,导线上各点的高频电流大小相等,相位相同。
26、 描述天线性能的电参数主要有:方向图,主瓣宽度,旁瓣电平,方向系数,极化特性,天线效率,频带宽度,输入阻抗。
二、证明与计算1、设u 是空间x,y,z 的函数,证明: (1)u du df u f ∇=∇)(,(2)du dA u u A ⋅∇=⋅∇)(,(3)dudA u u A ⨯∇=⨯∇)( 证明:(1))()()()(u f ze uf y e u f x e u f z y x∂∂+∂∂+∂∂=∇ z u u f e y u u f e x u u f e z y x∂∂∂∂+∂∂∂∂+∂∂∂∂=)(zue y u e x u e uf z y x ∂∂+∂∂+∂∂∂∂=u du df ∇= (2))()()()(u A z u A y u A x u A z y x ∂∂+∂∂+∂∂=⋅∇=zu u u A y u u u A x u u u A z y x ∂∂∂∂+∂∂∂∂+∂∂∂∂)()()(=dudA u ⋅∇ (3)))()(())()(()(xu u u A z u u u A e z uu u A y u u u A e u A z x y y z x ∂∂⋅∂∂-∂∂⋅∂∂+∂∂⋅∂∂-∂∂⋅∂∂=⨯∇ ))()((yu u u A x u u u A e x y z ∂∂⋅∂∂-∂∂⋅∂∂+=du dAu ⨯∇ 2、(1)应用高斯定理证明:⎰⎰⨯=⨯∇VSf dS f dV(2)应用斯托克斯定理证明:⎰⎰=∇⨯ϕϕdl dS S证明:(1)设d 为任意的常矢量,有⎰⎰⨯∇⋅=⨯∇⋅VVf dV f dV )()(d d ,由矢量公式)()()()(f f f f ⨯∇⋅-=⨯∇⋅-⋅⨯∇=⨯⋅∇d d d d ,所以有:⎰⎰⨯⋅∇-=⨯∇⋅VVf dV f dV )()(d d ,根据高斯定理有)()(f dS f dV SV⨯⋅=⨯⋅∇⎰⎰d d所以⎰⎰⨯⋅-=⨯∇⋅SVf dS f dV )()(d d ⎰⨯⋅-=Sds f )(d ⎰⨯⋅=Sf ds )(d 故得证。
(2)设d 为任意的常矢量,有)()(d d d ⨯∇⋅=∇⨯⋅=∇⨯⋅⎰⎰⎰SSSdS dS dS ϕϕϕ由矢量公式 d d d ⨯∇+⨯∇=⨯∇ϕϕϕ)(=d ⨯∇ϕ 所以)(d d ⎰⎰⨯∇⋅=∇⨯⋅SSdS dS ϕϕ根据斯托克斯定理有⎰⎰⋅=⨯∇⋅lSdl dS dd ϕϕ)(⎰⋅=ldl d ϕ所以,⎰⎰⋅=∇⨯⋅lSdl dS ϕϕd d ,于是有⎰⎰=∇⨯lSdl dS ϕϕ证毕。
3、证明格林(Green )第一公式dVv u u v dS v u S⎰⎰⎰⎰⎰Ω∆+∇⋅∇=⋅∇)()(及格林第二公式dV u v v u dS u v v u S )()(⎰⎰⎰⎰⎰Ω∆-∆=⋅∇-∇,其中222222z y x ∂∂+∂∂+∂∂≡∆ 证明:应用奥氏公式⎰⎰⎰⎰⎰Ω⋅∇=⋅SAdV ds A ,取v u A ∇=有⎰⎰⎰⎰⎰⎰⎰⎰ΩΩ∆+∇⋅∇∇=∇⋅∇=⋅∇dV u u v u dV v u ds v u S)()()(格林第一公式得证。
同理有dV u v u v dS u v S⎰⎰⎰⎰⎰Ω∆+∇⋅∇=⋅∇)()(,将该式与格林第一公式相减可得格林第二公式。
4、证明:(1)3R ∇∙=;(2)3R ∇⨯=;(3)()A R A ∇∙=。
其中x y z R e x e y e z =++,A为一常矢量。
证:()()3xy z x y z x y z R e e e e x e y e z x y z x y z∂∂∂∂∂∂∇∙=++++=++=∂∂∂∂∂∂()()()0000y y z x zx x y z x y z R R R R R R R e e e e e e y z z x x y∂∂∂∂∂∂∇⨯=-+-+-=∙+∙+∙=∂∂∂∂∂∂设x x y y z z A e A e A e A =++,其中,,x y z A A A 为常数,有()()x x y y z z x y z x y z A R e A e A e A e x e y e z A x A y A z ∙=++∙++=++()()()()xx y y z z x x y y z z A R e A x e A y e A z e A e A e A A x y z∂∂∂∇∙=++=++=∂∂∂ 5、计算半径为a ,电荷线密度为)(r l ρ的均匀带电圆环在轴线上的电场强度。
解:取圆环位于xoy 平面,圆环中心与坐标原点重合z ze r =,y x e a e a r θθsin cos +='22a z R r r +=='-,θad l d ='θθθπερπad z a e a e a ze r E yx z l⎰+--=203220)(sin cos 4)(z l e z a z a 322)(2+=ερ6、设有一个半径为a 的球,其中充满体电荷密度为V ρC/m 3的电荷,球内外的介电常数均为0ε,求:(1)球内、外的电场强度;(2)验证静电场的两个基本方程;(3)球内、外的电位分布。
解:(1)因为电荷分布为均匀的球体,所以具有球对称性,即在与带电球同心,半径为r 的高斯面上,E 是常数。
当r<a 时,有0311344ερππVSrrE dS E ==⋅⎰,即r V e r E 031ερ=V/m 。
当r>a 时,有0322344ερππVSa rE dS E ==⋅⎰,即rV e r a E 20323ερ=V/m 。
(2)采用球坐标散度、旋度公式。
因为球内、外电场强度只是r 的坐标,所以01sin 1=∂∂⋅-∂∂⋅=⨯∇θϕθθrr E r e E r E ,r E r rE r ∂∂⋅=⋅∇)(122 y当r<a 时有0ερVE =⋅∇,当r>a 时有0=⋅∇E (3)选无限远处为参考电,当r<a 时,有020221163ερερϕr a dr E dr E Edr V ar V a r -=+==⎰⎰⎰∞∞V 当r>a 时有r a dr E V r03223ερϕ==⎰∞V7、导体球及与其同心的导体球壳构成一个双导体系统。