统计第三版课后题答案
- 格式:doc
- 大小:15.00 KB
- 文档页数:3
附录1:各章练习题答案2.1 (1)属于顺序数据。
(2)频数分布表如下:服务质量等级评价的频数分布服务质量等级家庭数(频率)频率%A1414B2121C3232D1818E1515合计100100(3)条形图(略)2.2 (1)频数分布表如下:(2)某管理局下属40个企分组表按销售收入分组(万元)企业数(个)频率(%)先进企业良好企业一般企业落后企业11119927.527.522.522.5合计40 100.0 2.3 频数分布表如下:某百货公司日商品销售额分组表按销售额分组(万元)频数(天)频率(%)25~30 30~35 35~40 40~45 45~5046159610.015.037.522.515.0合计40 100.0 直方图(略)。
2.4 (1)排序略。
(2)频数分布表如下:100只灯泡使用寿命非频数分布按使用寿命分组(小时)灯泡个数(只)频率(%)650~660 2 2660~670 5 5670~680 6 6680~690 14 14690~700 26 26700~710 18 18710~720 13 13720~730 10 10730~740 3 3740~750 3 3合计100 100直方图(略)。
2.5 (1)属于数值型数据。
(2)分组结果如下:分组天数(天)-25~-20 6-20~-15 8-15~-10 10-10~-5 13-5~0 120~5 45~10 7合计60(3)直方图(略)。
2.6 (1)直方图(略)。
(2)自学考试人员年龄的分布为右偏。
2.7 (1(2)A班考试成绩的分布比较集中,且平均分数较高;B班考试成绩的分布比A班分散,且平均成绩较A班低。
2.8 箱线图如下:(特征请读者自己分析)2.9 (1)x =274.1(万元);Me=272.5 ;Q L =260.25;Q U =291.25。
(2)17.21=s (万元)。
2.10 (1)甲企业平均成本=19.41(元),乙企业平均成本=18.29(元);原因:尽管两个企业的单位成本相同,但单位成本较低的产品在乙企业的产量中所占比重较大,因此拉低了总平均成本。
第四章、参数估计1.简述评价估计量好坏的标准答:评价估计量好坏的标准主要有:无偏性、有效性和相合性。
设总体参数θ的估计量有1ˆθ和2ˆθ,如果()1ˆE θθ=,称1ˆθ是无偏估计量;如果1ˆθ和2ˆθ是无偏估计量,且()1ˆD θ小于()2ˆD θ,则1ˆθ比2ˆθ更有效;如果当样本容量n →∞,1ˆθθ→,则1ˆθ是相合估计量。
2.说明区间估计的基本原理答:总体参数的区间估计是在一定的置信水平下,根据样本统计量的抽样分布计算出用样本统计量加减抽样误差表示的估计区间,使该区间包含总体参数的概率为置信水平。
置信水平反映估计的可信度,而区间的长度反映估计的精确度。
3.解释置信水平为95%的置信区间的含义答:总体参数是固定的,未知的,置信区间是一个随机区间。
置信水平为95%的置信区间的含义是指,在相同条件下多次抽样下,在所有构造的置信区间里大约有95%包含总体参数的真值。
4.简述样本容量与置信水平、总体方差、允许误差的关系答:以估计总体均值时样本容量的确定公式为例:()22/22z n E ασ= 样本容量与置信水平成正比、与总体方差成正比、与允许误差成反比。
练习题:●1.解:已知总体标准差σ=5,样本容量n =40,为大样本,样本均值x =25,(1)样本均值的抽样标准差σ5=0.7906 (2)已知置信水平1-α=95%,得 α/2Z =1.96,于是,允许误差是E =α/2Z 6×0.7906=1.5496。
●2.解:(1)已假定总体标准差为σ=15元,则样本均值的抽样标准误差为x σ15=2.1429(2)已知置信水平1-α=95%,得 α/2Z =1.96,于是,允许误差是E=α/2Z 6×2.1429=4.2000。
(3)已知样本均值为x =120元,置信水平1-α=95%,得 α/2Z =1.96,这时总体均值的置信区间为±α/2x Z 0±4.2=124.2115.8 可知,如果样本均值为120元,总体均值95%的置信区间为(115.8,124.2)元。
习题一:1.1 写出下列随机试验的样本空间:(1)某篮球运动员投篮时, 连续5 次都命中, 观察其投篮次数;解:连续5 次都命中,至少要投5次以上,故;(2)掷一颗匀称的骰子两次, 观察前后两次出现的点数之和;解:;(3)观察某医院一天内前来就诊的人数;解:医院一天内前来就诊的人数理论上可以从0到无穷,所以;(4)从编号为1,2,3,4,5 的5 件产品中任意取出两件, 观察取出哪两件产品;解:属于不放回抽样,故两件产品不会相同,编号必是一大一小,故:(5)检查两件产品是否合格;解:用0 表示合格, 1 表示不合格,则;(6)观察某地一天内的最高气温和最低气温(假设最低气温不低于T1, 最高气温不高于T2);解:用表示最低气温, 表示最高气温;考虑到这是一个二维的样本空间,故:;(7)在单位圆内任取两点, 观察这两点的距离;解:;(8)在长为的线段上任取一点, 该点将线段分成两段, 观察两线段的长度.解:;1.2(1)A 与B 都发生, 但C 不发生; ;(2)A 发生, 且B 与C 至少有一个发生;;(3)A,B,C 中至少有一个发生; ;(4)A,B,C 中恰有一个发生;;(5)A,B,C 中至少有两个发生; ;(6) A,B,C 中至多有一个发生;;(7) A;B;C 中至多有两个发生;(8) A,B,C 中恰有两个发生. ;注意:此类题目答案一般不唯一,有不同的表示方式。
1.3 设样本空间, 事件=,具体写出下列各事件:(1); (2) ; (3) ; (4)(1);(2) =;(3) =;(4) =1.6 按从小到大次序排列, 并说明理由.解:由于故,而由加法公式,有:1.7解:(1) 昆虫出现残翅或退化性眼睛对应事件概率为:(2)由于事件可以分解为互斥事件,昆虫出现残翅, 但没有退化性眼睛对应事件概率为:(3) 昆虫未出现残翅, 也无退化性眼睛的概率为:.1.8解:(1) 由于,故显然当时P(AB) 取到最大值。
各位老师读者好:《统计学基础》(王瑞卿主编,北京大学出版社,2016年8月第3版)每个项目后面设置了技能训练题库,由于统计学教材很多,不同的老师在编写时内容描述会有些许差异,所以有些习题答案可能有差异,答案以本教材为准。
祝各位工作、学习顺利。
真诚欢迎各位提出您的宝贵意见!王瑞卿2016年9月12日项目1 统计概论一、填空题1.现代统计的含义包括三个方面: 、 和 。
2.一个完整的统计工作过程可以划分为 、 、 、 四个阶段。
3.总体是由许多具有 的个别事物组成的整体;总体单位是 的组成单位。
4.标志是说明总体单位的特征的名称,按表现形式不同分为 和 两种。
5.统计指标按其所说明的总体现象内容的不同,可分为 和 。
参考答案1.统计工作统计资料统计学2. 统计设计统计调查统计整理统计分析3.共同属性总体4.数量标志品质标志5.数量指标质量指标二、单项选择题1.统计总体的同质性是指(B )。
A.总体各单位具有某一共同的品质标志或数量标志B.总体各单位具有某一共同的品质标志属性或数量标志值C.总体各单位具有若干互不相同的品质标志或数量标志D.总体各单位具有若干互不相同的品质标志属性或数量标志值2.某地区有800家工业企业,要研究这些企业的产品生产情况,总体是( A ),总体单位是( B )。
A.全部工业企业B.每一家工业企业C.每一件产品D.800家工业企业的全部工业产品3.要了解某班50名学生的学习情况,则总体是( A ),总体单位是( C )。
A.50名学生B.50个学生的学习成绩C.每一个学生D.每一个学生的学习成绩4.一个统计总体( B )。
A.只能有一个标志B.可以有多个标志C.只能有一个指标D.可以有多个指标5.张明的月工资为4560元,工资是( B ),4550是( C )。
A.品质标志B.数量标志C.变量值D.指标6.在调查设计时,学校作为总体,每个班作为总体单位,各班学生人数是( A )。
统计学第一章1.什么是统计学?怎样理解统计学与统计数据的关系?答:统计学是一门收集、整理、显示和分析统计数据的科学。
统计学与统计数据存在密切关系,统计学阐述的统计方法来源于对统计数据的研究,目的也在于对统计数据的研究,离开了统计数据,统计方法以致于统计学就失去了其存在意义。
2.简要说明统计数据的来源答:统计数据来源于两个方面:直接的数据:源于直接组织的调查、观察和科学实验,在社会经济管理领域,主要通过统计调查方式来获得,如普查和抽样调查。
间接的数据:从报纸、图书杂志、统计年鉴、网络等渠道获得。
3.简要说明抽样误差和非抽样误差答:统计调查误差可分为非抽样误差和抽样误差。
非抽样误差是由于调查过程中各环节工作失误造成的,从理论上看,这类误差是可以避免的。
抽样误差是利用样本推断总体时所产生的误差,它是不可避免的,但可以控制的。
4.答:(1)有两个总体:A品牌所有产品、B品牌所有产品(2)变量:口味(如可用10分制表示)(3)匹配样本:从两品牌产品中各抽取1000瓶,由1000名消费者分别打分,形成匹配样本。
(4)从匹配样本的观察值中推断两品牌口味的相对好坏。
第二章、统计数据的描述思考题1描述次数分配表的编制过程答:分二个步骤:(1)按照统计研究的目的,将数据按分组标志进行分组。
按品质标志进行分组时,可将其每个具体的表现作为一个组,或者几个表现合并成一个组,这取决于分组的粗细。
按数量标志进行分组,可分为单项式分组与组距式分组单项式分组将每个变量值作为一个组;组距式分组将变量的取值范围(区间)作为一个组。
统计分组应遵循“不重不漏”原则(2)将数据分配到各个组,统计各组的次数,编制次数分配表。
2.解释洛伦兹曲线及其用途答:洛伦兹曲线是20世纪初美国经济学家、统计学家洛伦兹根据意大利经济学家帕累托提出的收入分配公式绘制成的描述收入和财富分配性质的曲线。
洛伦兹曲线可以观察、分析国家和地区收入分配的平均程度。
3. 一组数据的分布特征可以从哪几个方面进行测度?答:数据分布特征一般可从集中趋势、离散程度、偏态和峰度几方面来测度。
第1章1.什么是统计学?怎样理解统计学与统计数据的关系?2.试举出日常生活或工作中统计数据及其规律性的例子。
3..一家大型油漆零售商收到了客户关于油漆罐分量不足的许多抱怨。
因此,他们开始检查供货商的集装箱,有问题的将其退回。
最近的一个集装箱装的是2 440加仑的油漆罐。
这家零售商抽查了50罐油漆,每一罐的质量精确到4位小数。
装满的油漆罐应为4.536 kg。
要求:(1)描述总体;(2)描述研究变量;(3)描述样本;(4)描述推断。
答:(1)总体:最近的一个集装箱内的全部油漆;(2)研究变量:装满的油漆罐的质量;(3)样本:最近的一个集装箱内的50罐油漆;(4)推断:50罐油漆的质量应为4.536×50=226.8 kg。
4.“可乐战”是描述市场上“可口可乐”与“百事可乐”激烈竞争的一个流行术语。
这场战役因影视明星、运动员的参与以及消费者对品尝试验优先权的抱怨而颇具特色。
假定作为百事可乐营销战役的一部分,选择了1000名消费者进行匿名性质的品尝试验(即在品尝试验中,两个品牌不做外观标记),请每一名被测试者说出A品牌或B品牌中哪个口味更好。
要求:(1)描述总体;(2)描述研究变量;(3)描述样本;(4)一描述推断。
答:(1)总体:市场上的“可口可乐”与“百事可乐”(2)研究变量:更好口味的品牌名称;(3)样本:1000名消费者品尝的两个品牌(4)推断:两个品牌中哪个口味更好。
第2章统计数据的描述——练习题(1) 指出上面的数据属于什么类型;(2)用Excel制作一张频数分布表;(3) 绘制一张条形图,反映评价等级的分布。
解:(1)由于表2.21中的数据为服务质量的等级,可以进行优劣等级比较,但不能计算差异大小,属于顺序数据。
(2)频数分布表如下:服务质量等级评价的频数分布服务质量等级家庭数(频数)频率%A1414B2121C 32 32D 18 18E 15 15 合计100100(3)条形图的制作:将上表(包含总标题,去掉合计栏)复制到Excel 表中,点击:图表向导→条形图→选择子图表类型→完成(见Excel 练习题2.1)。
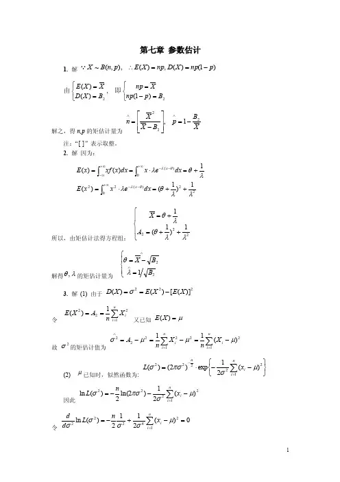
第七章 参数估计1. 解 )1()(,)(),,(~p np X D np X E p n B X -==∴⎩⎨⎧=-=⎩⎨⎧==22)1(,)()(B p np X np B X D X X E 即由解之,得n,p 的矩估计量为XB p B X X n 2221,-=⎥⎥⎦⎤⎢⎢⎣⎡-=∧∧注:“[ ]”表示取整。
2. 解 因为:220)(22)(1)1()(1)()(λλθλλθλθλθλ++=⋅=+=⋅==⎰⎰⎰∞+--∞+--∞+∞-dx e x x E dx e x dx x xf x E x x所以,由矩估计法得方程组: ⎪⎩⎪⎨⎧++=+=2221)1(1λλθλθA X 解得λθ,的矩估计量为 ⎪⎩⎪⎨⎧=-=∧∧221B B X λθ3. 解 (1) 由于 222)]([)()(X E X E X D -==σ令 ∑===n i iX n A X E 12221)( 又已知 μ=)(X E故 2σ的矩估计值为 ∑∑==∧-=-=-=n i i n i i X n X n A 12122222)(11μμμσ(2) μ已知时,似然函数为:⎭⎬⎫⎩⎨⎧--⋅=∑=-ni in x L 122222)(21exp )2()(μσπσσ因此∑=---=ni ixn L 12222)(21)2ln(2)(ln μσπσσ令 0)(2112)(ln 124222=-+-=∑=ni ixn L d dμσσσσ解得2σ的极大似然估计为: ∑=∧-=n i i X n 122)(1μσ4. 解 矩估计:λλ=∴=)()(X E X E 令X X E =)(故X =∧λ为所求矩估计量。
注意到 λ=)(X D 若令 2)(B X D =, 可得: 2B =∧λ似然估计:因为λλ-==e k k X P k!)(所以,λ的似然函数为∏=-=ni i xe x L i1!)(λλλ取对数λλλn x x L ni i ni i --=∑∑==11)!ln(ln )(ln令ln 1=-=∑=n xd d ni iλλλ, 解得∑=∧=ni ix n 11λ故,λ极大似然估计量为 X =∧λ5. 解 矩估计:21)1()()(11++=+==⎰⎰+∞+∞-θθθθdx x dx x xf X E令 X X E =)(, 即 X=++21θθ; 解之X X --=∧112θ 似然估计: 似然函数为⎪⎩⎪⎨⎧<<+=⎪⎩⎪⎨⎧<<+=∏∏==其它其它,010,)()1(,010,)1()(11i ni i ni n i i x x x x L θθθθθ 只需求10,)()1()(11<<+=∏=i ni i nx x L θθθ的驻点即可.又∑=++=ni ix n L 11ln )1ln()(ln θθθ令∑=++=ni ix n L d d 11ln 1)(ln θθθ; 解之∑=∧--=ni ixn1ln 1θ6. 解:似然函数为∑===---=-=---∏∏ni i i xn i i n ni x i ex ex L 12222)(l n 21112212)(l n 12)()2(21),(μσσμπσσπσμ取对数得 ∑----===∏n i ini i x x n L 122122)(l n 21)l n ()2l n (2),(ln μσπσσμ由 0)(l n 2112),(ln 0)1()(ln 221),(ln 124222122=∑-+⋅-=∂∂=∑-⋅--=∂∂==n i i n i i x n L x L μσσσμσμσσμμ联立解之,2,σμ的极大似然估计值为 ∑∑-=∑===∧=∧n i n i i in i i x n x n x n 12121)ln 1(ln 1,ln 1σμ7. 解:似然函数为 n i x x e ax L i i n i x a i ai ,,2,1;0,00,)(11 =⎪⎩⎪⎨⎧≤>=∏=--λλλ只需求∑⋅===--==--∏∏ni ai ai x a n i n n ni x a i ex a eax L 111111)()(λλλλλ的最值点。
第2章统计数据的描述●9.某百货公司6月份各天的销售额数据如下(单位:万元):257 276 297 252 238 310 240 236 265 278271 292 261 281 301 274 267 280 291 258272 284 268 303 273 263 322 249 269 295(1)计算该百货公司日销售额的均值、中位数和四分位数;(2)计算日销售额的标准差。
解:(1)将全部30个数据输入Excel表中同列,点击列标,得到30个数据的总和为8223,于是得该百货公司日销售额的均值:(见Excel练习题2.9)x=xn∑=822330=274.1(万元)或点选单元格后,点击“自动求和”→“平均值”,在函数EVERAGE()的空格中输入“A1:A30”,回车,得到均值也为274.1。
在Excel表中将30个数据重新排序,则中位数位于30个数据的中间位置,即靠中的第15、第16两个数272和273的平均数:M e=2722732+=272.5(万元)由于中位数位于第15个数靠上半位的位置上,所以前四分位数位于第1~第15个数据的中间位置(第8位)靠上四分之一的位置上,由重新排序后的Excel表中第8位是261,第15位是272,从而:Q L=261+2732724-=261.25(万元)同理,后四分位数位于第16~第30个数据的中间位置(第23位)靠下四分之一的位置上,由重新排序后的Excel表中第23位是291,第16位是273,从而:Q U=291-2732724-=290.75(万元)。
(2)未分组数据的标准差计算公式为:s =302 1()1iix xn=--∑利用上公式代入数据计算是个较为复杂的工作。
手工计算时,须计算30个数据的离差平方,并将其求和,()再代入公式计算其结果:得s=21.1742。
(见Excel练习题2.9)我们可以利用Excel表直接计算标准差:点选数据列(A列)的最末空格,再点击菜单栏中“∑”符号右边的小三角“▼”,选择“其它函数”→选择函数“STDEV”→“确定”,在出现的函数参数窗口中的Number1右边的空栏中输入:A1:A30,→“确定”,即在A列最末空格中出现数值:21.17412,即为这30个数据的标准差。
第九章 相关与回归分析习题答案一、单选1.C ;2.B ;3.C ;4.D ;5.A ;6.C ;7.B ;8.C ;9.A ;10.C 二、多选1.ACD ;2.AE ;3.AD ;4.ABCD ;5.ACD ;6.AB ;7.ABDE ;8.ACE ;9.AD ;10.ABE 三、计算分析题 1、解:(1)(2)建立线性回归方程xy ∧∧∧+=10ββ,根据最小二乘法得:⎪⎪⎪⎩⎪⎪⎪⎨⎧-=--=∑∑∑∑∑∑∑∧∧∧n x n y x x n y x y x n i i i i i i i i 10221βββ)(由此可得∧1β=0.732,∧0β=-2.01,则回归方程是∧y =-2.01+0.732x(3)当受教育年数为15年时,其年薪的点估计值为:∧y =-2.01+0.732×15=8.97(万元)估计标准误差: 733.0538.0222===-=--=∑∧M S E n S S En y y S i iy )(置信区间为:∑=∧--+±n i i yx x x x nS t y 1202/)()(12α=8.97±2.228×0.733×9167.120917.6151212)(-+=8.97±1.290预测区间为:∑=∧--++±ni i yx x x x nS t y 1202/)()(112α=8.97±2.228×0.733×9167.120917.61512112)(-++ =8.97±2.081 2、解:(1)建立线性回归方程xy ∧∧∧+=10ββ,根据最小二乘法得:⎪⎪⎪⎩⎪⎪⎪⎨⎧-=--=∑∑∑∑∑∑∑∧∧∧n x n y x x n y x y x n i i i i i i i i 10221βββ)(由此可得0093.00=∧β,316.01=∧β,则回归方程是x y 316.00093.0+=∧(3)当GDP 达到16时,其货币供应量的点估计值为:∧y =0.0093+0.316×16=5.065亿元估计标准误差:Sy=22--∑∧n y y i i)(=2-n SSE=MSE =09294.0=0.305置信区间为:∑=∧--+±n i i yx x x x nS t y 1202/)()(12α=5.065±2.228×0.305×21863.135711.11161212)(-+ 3、(1)利用EXCEL 的CORREL 函数计算相关系数r=0.9937.相关系数接近于1,表明农业总产值与农村购买力之间有较强的正线性相关关系。
医学统计学作业答案(二~四章)第二章三、计算分析题 1.(1) 均数=1.156 (2)标准差=0.2044(3))5566.1~7554.0(96.1=±s x(4)0.8mmol/L 以下者占4.09%; 1.5 mmol/L 以下者占95.35%2. 平均抗体滴度:1:36.833. 08.15=x ;M=14;M 代表性好;95%的参考值范围:<(P 95) 36第三章1.(1)女性血红蛋白的变异程度(CV=0.087)> 红细胞的变异程度(CV=0.069) (2)男性血红蛋白的标准误=0.374;红细胞的标准误=0.0306 (3)健康成年女性红细胞均数95%C.I.为4.144~4.216 (4)成年男女血红蛋白含量不同,t=24.03, P =0.0001(5)男性两项指标均低于标准值,红细胞与标准值比较, t=5.89,P =0.0001 血红蛋白与标准值比较,t=15.23, P =0.00012. 该批药有效成分平均含量为95%C.I.=(101.41~104.59)3. t=1.1429, P =0.1355, 还没有足够证据认为当地现在20岁男子比以往的高。
4. t=3.71, P =0.001,新药和标准药的疗效差别有统计学意义。
5. (1)对数转换;(2)方差齐性检验,F=3.69, P =0.038, 转换后两总体方差仍不齐;(3)用welch 法校正t 检验:t=3.35, ν=17, P =0.0039 标准株和水生株平均效价差别有统计学意义。
6.(1)两药平均退热天数之差的95% C.I.为:1.0~1.8天(2)t=6.96, P =0.0001, 两药平均退热天数差别有统计学意义 (3)上述两种方法中(1)因95%C.I.不包括H 0(μ1-μ2=0),也可以说明两药退热天数不同(α=0.05);(2)的检验中可以看出两药退热天数不同,并说明其概率非常小。
第一章事件与概率1.写出下列随机试验的样本空间。
(1)记录一个班级一次概率统计考试的平均分数(设以百分制记分)。
(2)同时掷三颗骰子,记录三颗骰子点数之和。
(3)生产产品直到有10件正品为止,记录生产产品的总件数。
(4)对某工厂出厂的产品进行检查,合格的记上“正品”,不合格的记上“次品”,如连续查出2个次品就停止检查,或检查4个产品就停止检查,记录检查的结果。
(5)在单位正方形内任意取一点,记录它的坐标。
(6)实测某种型号灯泡的寿命。
解 (1)},100,,1,0{n i n i ==Ω其中n为班级人数。
(2)}18,,4,3{ =Ω。
(3)},11,10{ =Ω。
(4)=Ω{00,100,0100,0101,0110,1100,1010,1011,0111,1101,0111,1111},其中0表示次品,1表示正品。
(5)=Ω{(x,y)0<x<1,0<y<1}。
(6)=Ω{ t t 0}。
2.设A ,B ,C 为三事件,用A ,B ,C 的运算关系表示下列各事件,。
(1)A 发生,B 与C 不发生。
(2)A 与B 都发生,而C 不发生。
(3)A,B,C中至少有一个发生。
(4)A,B,C都发生。
(5)A,B,C都不发生。
(6)A,B,C中不多于一个发生。
(7)A,B,C至少有一个不发生。
(8)A,B,C中至少有两个发生。
解(1)C B A,(2)CAB,(3)+,(4)ABC,(5)CA+CBA,B(6)C+或BA+ABCAB+B+,A+CCCBAABC(7)C+,A+B(8)BCAB++或ACCAB⋃⋃A⋃BCABCBAC3.指出下列命题中哪些成立,哪些不成立,并作图说明。
(1)B=(2)AABBAB B A =(3)AB B A B =⊂则若, (4)若 A B B A ⊂⊂则,(5)C B A C B A = (6) 若Φ=AB 且A C ⊂, 则Φ=BC解 : (1) 成立,因为B A B B B A B B A ==))((。
第1章绪论1什么是统计学怎样理解统计学与统计数据的关系2试举出日常生活或工作中统计数据及其规律性的例子。
3一家大型油漆零售商收到了客户关于油漆罐分量不足的许多抱怨。
因此他们开始检查供货商的集装箱有问题的将其退回。
最近的一个集装箱装的是2 440加仑的油漆罐。
这家零售商抽查了50罐油漆每一罐的质量精确到4位小数。
装满的油漆罐应为4.536 kg。
要求1描述总体2描述研究变量3描述样本4描述推断。
答1总体最近的一个集装箱内的全部油漆2研究变量装满的油漆罐的质量3样本最近的一个集装箱内的50罐油漆4推断50罐油漆的质量应为4.536×50226.8 kg。
4“可乐战”是描述市场上“可口可乐”与“百事可乐”激烈竞争的一个流行术语。
这场战役因影视明星、运动员的参与以及消费者对品尝试验优先权的抱怨而颇具特色。
假定作为百事可乐营销战役的一部分选择了1000名消费者进行匿名性质的品尝试验即在品尝试验中两个品牌不做外观标记请每一名被测试者说出A品牌或B品牌中哪个口味更好。
要求1描述总体2描述研究变量3描述样本4一描述推断。
答1总体市场上的“可口可乐”与“百事可乐” 2研究变量更好口味的品牌名称3样本1000名消费者品尝的两个品牌4推断两个品牌中哪个口味更好。
第2章统计数据的描述——练习题●1. 解1由于表2.21中的数据为服务质量的等级可以进行优劣等级比较但不能计算差异大小属于顺序数据。
2频数分布表如下服务质量等级评价的频数分布服务质量等级家庭数频数频率 A 14 14 B 21 21 C 32 32 D 18 18 E 15 15 合计100 100 3条形图的制作将上表包含总标题去掉合计栏复制到Excel表中点击图表向导→条形图→选择子图表类型→完成见Excel练习题2.1。
即得到如下的条形图02040ABCDE服务质量等级评价的频数分布频率服务质量等级评价的频数分布家庭数频数●2. 解1要求对销售收入的数据进行分组全部数据中最大的为152最小的为87知数据全距为1528765 为便于计算和分析确定将数据分为6组各组组距为10组限以整10划分为使数据的分布满足穷尽和互斥的要求注意到按上面的分组方式最小值87可能落在最小组之下最大值152可能落在最大组之上将最小组和最大组设计成开口形式按照“上限不在组内”的原则用划记法统计各组内数据的个数——企业数也可以用Excel 进行排序统计见Excel练习题2.2将结果填入表内得到频数分布表如下表中的左两列将各组企业数除以企业总数40得到各组频率填入表中第三列在向上的数轴中标出频数的分布由下至上逐组计算企业数的向上累积及频率的向上累积由上至下逐组计算企业数的向下累积及频率的向下累积。
统计学第三版答案第一章1.什么是统计学?怎样理解统计学与统计数据的关系?答:统计学是一门收集、整理、显示和分析统计数据的科学。
统计学与统计数据存在密切关系,统计学阐述的统计方法来源于对统计数据的研究,目的也在于对统计数据的研究,离开了统计数据,统计方法以致于统计学就失去了其存在意义。
2.简要说明统计数据的来源答:统计数据来源于两个方面:直接的数据:源于直接组织的调查、观察和科学实验,在社会经济管理领域,主要通过统计调查方式来获得,如普查和抽样调查。
间接的数据:从报纸、图书杂志、统计年鉴、网络等渠道获得。
3.简要说明抽样误差和非抽样误差答:统计调查误差可分为非抽样误差和抽样误差。
非抽样误差是由于调查过程中各环节工作失误造成的,从理论上看,这类误差是可以避免的。
抽样误差是利用样本推断总体时所产生的误差,它是不可避免的,但可以控制的。
4.答:(1)有两个总体:A品牌所有产品、B品牌所有产品(2)变量:口味(如可用10分制表示)(3)匹配样本:从两品牌产品中各抽取1000瓶,由1000名消费者分别打分,形成匹配样本。
(4)从匹配样本的观察值中推断两品牌口味的相对好坏。
第二章、统计数据的描述思考题1描述次数分配表的编制过程答:分二个步骤:(1)按照统计研究的目的,将数据按分组标志进行分组。
按品质标志进行分组时,可将其每个具体的表现作为一个组,或者几个表现合并成一个组,这取决于分组的粗细。
按数量标志进行分组,可分为单项式分组与组距式分组单项式分组将每个变量值作为一个组;组距式分组将变量的取值范围(区间)作为一个组。
统计分组应遵循“不重不漏”原则(2)将数据分配到各个组,统计各组的次数,编制次数分配表。
2.解释洛伦兹曲线及其用途答:洛伦兹曲线是20世纪初美国经济学家、统计学家洛伦兹根据意大利经济学家帕累托提出的收入分配公式绘制成的描述收入和财富分配性质的曲线。
洛伦兹曲线可以观察、分析国家和地区收入分配的平均程度。
第1章统计和统计数据第2章 1.1 指出下面的变量类型。
(1)年龄。
(2)性别。
(3)汽车产量。
(4)员工对企业某项改革措施的态度(赞成、中立、反对)。
(5)购买商品时的支付方式(现金、信用卡、支票)。
详细答案:(1)数值变量。
(2)分类变量。
(3)数值变量。
(4)顺序变量。
(5)分类变量。
1.2 一家研究机构从IT从业者中随机抽取1000人作为样本进行调查,其中60%回答他们的月收入在5000元以上,50%的人回答他们的消费支付方式是用信用卡。
(1)这一研究的总体是什么?样本是什么?样本量是多少?(2)“月收入”是分类变量、顺序变量还是数值变量?(3)“消费支付方式”是分类变量、顺序变量还是数值变量?详细答案:(1)总体是“所有IT从业者”,样本是“所抽取的1000名IT从业者”,样本量是1000。
(2)数值变量。
(3)分类变量。
1.3 一项调查表明,消费者每月在网上购物的平均花费是200元,他们选择在网上购物的主要原因是“价格便宜”。
(1)这一研究的总体是什么?(2)“消费者在网上购物的原因”是分类变量、顺序变量还是数值变量?详细答案:(1)总体是“所有的网上购物者”。
(2)分类变量。
1.4 某大学的商学院为了解毕业生的就业倾向,分别在会计专业抽取50人、市场营销专业抽取30、企业管理20人进行调查。
(1)这种抽样方式是分层抽样、系统抽样还是整群抽样?(2)样本量是多少?详细答案:(1)分层抽样。
(2)100。
第2章用图表展示数据(3)帕累托图如下:(4)饼图如下:2.2 为确定灯泡的使用寿命(单位:小时),在一批灯泡中随机抽取100只进行测试,所得数据如下:710~720 13 13720~730 10 10730~740 3 3740~750 3 3合计100 100(2)直方图如下:从直方图可以看出,灯泡使用寿命的分布基本上是对称的。
(3)茎叶图如下茎叶数据个数65 1 8 266 1 4 5 6 8 567 1 3 4 6 7 9 668 1 1 2 3 3 3 4 5 5 5 8 8 9 9 14 690 0 1 1 1 1 2 2 2 3 3 4 4 5 5 6 6 6 7 7 8 8 8 8 9 9 26(2 )雷达图如下:从雷达图可以看出,甲班成绩为优良的人数高于乙班,说明甲班的考试成绩好于乙班。
练习题
1.描述一组偏态分布资料的变异度,以()指标较好 D 四分位数间距
2.用均数和标准差可以全面描述()资料的特征C正态分布
3.各观察值均加同一数后D标准差不变
4.比较某地1-2岁和5-5.5岁儿童身高的变异度,宜用() D变异系数
5偏态分布宜用()描述其分布的集中趋势C中位数
6.各观察值同乘以一个不等于0的常数后,()不变E变异系数
7()分布的资料,均数等于中位数E正态
8 对数正态分布是一种()分布D右偏态
9横轴上,标准正态曲线下从0到2.58的面积为() E49.5%
10 当各观察值呈倍数变化时,平均数宜用() D 相对数
1 均数的标准误反映了() E 样本均数与总体均数的差异
2两样本均数比较的t检验,有统计学意义时,P小越明()C 越有理由认为两总体均数相同
3甲乙两人分别从同一随机数字表抽得:::则理论上E 由甲乙两样本均::很可能包括0 4在参数未知的正态总体中随机抽样,/X——/()的概率为5% E t0.05/2,vSx
5某地1992年随机抽取100名健康女性:::则其95%的参考值范围()B 74+-1.96x4
6关于以0为中心的t颁布,传述错误的是()E 相同v时,/t /越大,P越大
7在两样本均数比较的t检验中,无效假设为()D 两总体均数相等
8两样本均数比较作t检验时,分别取以下检验水准,犯Ⅱ型错误()E a=0.30
9正态性检验,按a=0.10水准,认为:::其错误的()等于B,而B未知
10关于假设检验,说法正确的是()C 采用配对t检验还是两样本t检验是由:::
1完全随机设计资料的方差分析中,必有()SS总=SS组间+SS组内
2随机区组设计资料的方差分析中,对其各变::()SS总=SS处理+SS区+SS误
3当组数等于2时,对于同一资料,方差:::()完全等价且t=
4方差分析结果,F处理,则统计推论是()A 各样本均数都不相等
5完全随机设计方差分析中的组间均方是()C 表示某处理因素的效应和随机误差两者:::6配对设计资料,若满足正态性和方差:::::()A 随机区组设计的方差分析
7k个组方差齐性检验有统计学意义()A 不全相等
1医院日门诊各科疾病分类资料,可作为计算()B 构成比
2计算某地某年肺癌发病率,其分子应是()B 该地平均患者人数
3一种新的沼疗方法可以延长生命,但不能治愈疾病,则…..()A 该地患病率增加
4在使用相对数时,容易犯的错误是()A 将构成比当作率看待
5在实际工作中,发生把构成比率分析的错误的主要….() A 构成比与率的计算一样
6要比较甲乙两厂某工种工人……() C 假设甲乙两厂某工种工人的工龄构成比相同
7要比较甲乙两厂工人患某种职业病的患病率….() E 甲乙两厂合并的工人的工龄构成
8定基比和环比属于()指标 D 相对比
1 x2分布的形状()B 同t分布
2 x2值的取值范围()C 0<x2<+∞
3当四格表的周边合计不变时,如果…则理论频数() C不变
4下列检验不适用x2检验的是() A 两样本均数的比较
5以下关于x2检验的自由度的说法,正确的是() E 若x20.05,v1>x20.05,v2,则自由度v1<v2 6, 5个样本率作比较,x2 >x20.01,4,则在a=0.05检验水。
可认为()A 各总体率不全等
1两个独立小样本计量资料比较…..() E 资料是否符合t检验条件
2配对样本差值的WI…..() D T值在界值范围内,P大于相应的a
3等级资料比较宜用() D 非参数检验
4多样本计量资料的比较…..() D H检验
5以下检验方法中,不属于非…..() A t检验
6成组设计两样本比较的秩….() C 以例数较小秩和为T
1直线回归中,如果自变量X….() B 回归系数改变
2利用直线回归估计X 值所对应Y….() E 以上都可以
3直线相关假设检验得到P>a,可认为() C两变量无直线关系
4如果直线相关系数r=1,则一定…() C SS总=SS回
5如果直线相关系数r=0,则一定…() C 直线回归的SS 残等于0
6如果两样本r1=r2,n1>n2,那么() D tb1=tr1
7用最小二乘法确定……() B各观察点距直线的纵向距平方和最小
8曲线批合时,决定系数R2的大小定是()A Y与Y 的积差相关系数的平方
1欲比较两地20年来冠….() B 半对数线图
2, 202例腰椎间…….() D 直方图
3比较某地在两个年分几…()B 复式条图
4,某地一年级12名大学生的体重与肺活量…..()C 散点图
5,表示某地区某年各种死因的构成比….()B 圆图
6,关于统计表的制作,不正确的是()C 统计表包含的内容越多越好。