西北师范大学2015年硕士研究生第一志愿复试名单公示(不含
- 格式:pdf
- 大小:284.93 KB
- 文档页数:51
2015年拟录取硕士研究生名单注:1.本拟录取名单分学院按专业排序,根据上级要求,考生姓名和考生编号已做适当隐私保护处理;2.本拟录取名单中含单考、援藏计划、少数民族骨干计划(下注“骨干”),不包括拟录取的推荐免试生;3.备注中所列加分项目均以教育部下发名单为准。
经济学院 - 国际商务(专业学位)姓名考生编号初试成绩复试成绩加权总成绩备注余**10002*****0163838931181.11王**10002*****0162336831878.77刘**10002*****1102137830078.63邓**10002*****0924236831078.09张**10002*****0159437330178.02唐**10002*****0164536530977.58虞**10002*****0160836530877.5路**10002*****0164636330977.30王**10002*****0924137029777.25费**10002*****0161537329277.24朱**10002*****0162436330476.87李**10002*****0163236530076.81余**10002*****0159536130676.76腾**10002*****0160935631076.41李**10002*****0162836030376.37吴**10002*****1079536429476.16王**10002*****0731435530876.1朱**10002*****0160735930176.06王**10002*****0161435830276.00梁**10002*****0164335830175.92刘**10002*****1369035530475.75韩**10002*****0159235829775.57江**10002*****0158035330475.47朱**10002*****1384135629975.46屈**10002*****0162135829575.40刘**10002*****0163035430175.36张**10002*****0744835430175.36宋**10002*****0158635330275.30李**10002*****0161635330175.22邓**10002*****0162935230074.99韩**10002*****0164136128574.96林**10002*****0163135729074.83于**10002*****0834735429174.50吴**10002*****1277635828274.29程**10002*****1500535928074.26于**10002*****0164935029474.2张**10002*****0161935328874.10曹**10002*****0159135028973.77褚**10002*****0159935028573.42赵**10002*****1397635527673.35财政金融学院 - 金融(专业学位)姓名考生编号初试成绩复试成绩加权总成绩备注朱**10002*****0213840530683.57冯**10002*****0737640330282.87李**10002*****0206440928581.65李**10002*****0201042227181.61杨**10002*****0199539929581.59吴**10002*****1552139629781.46张**10002*****0694238730681.41于**10002*****0214240428581.05戴**10002*****0201338830180.96郭**10002*****1430639828880.67覃**10002*****0202638430280.59吴**10002*****0704039229280.41金**10002*****0211939228879.95蓝**10002*****0200039628379.86白**10002*****0206539328679.84董**10002*****0190138429479.68石**10002*****1503239728079.64朱**10002*****0212438529279.57吕**10002*****0926739228479.49蒋**10002*****0189139128579.49刘**10002*****1020039627979.40张**10002*****0210138329279.33陈**10002*****0953239727779.29孙**10002*****1545139527979.28李**10002*****1548439028479.25汪**10002*****0197938828679.24卢**10002*****0213738229279.21董**10002*****0188838328978.98李**10002*****0952539427778.93罗**10002*****0184538628578.89黄**10002*****0195238628378.66吴**10002*****0807738328678.64于**10002*****0194639127778.57冯**10002*****0201538927978.56李**10002*****0197238328578.53张**10002*****1502738728078.44张**10002*****0198539627078.37熊**10002*****1080439926578.16许**10002*****1067038328178.07张**10002*****0209138128378.06李**10002*****1237839826578.04毕**10002*****0200839027378吴**10002*****1323538427977.96卢**10002*****0212638727577.86杨**10002*****1452238727477.75蒋**10002*****0973338028077.6李**10002*****0212338227777.49刘**10002*****1149639526377.45赵**10002*****1105438827077.41李**10002*****0200438727077.29邵**10002*****1492238726977.18廖**10002*****0207338027376.8张**10002*****0953538127176.69张**10002*****1504038127176.69陈**10002*****0208138726476.61卢**10002*****0209638426676.48阮**10002*****0210838126976.46黄**10002*****0185539924876.22任**10002*****1388238726076.15黄**10002*****0185438626076.03潘**10002*****0194038026575.88李**10002*****0188036025071.77骨干谢**10002*****1347933723967.75骨干赵**10002*****0193737831080.78陈**10002*****0185035431578.48卢**10002*****0184937129778.46曾**10002*****0722536330478.30黄**10002*****0195536429677.50郭**10002*****0197735330777.44刘**10002*****0198635930077.36刘**10002*****1554934031376.57孟**10002*****0189535429476.08杨**10002*****0193636827875.93王**10002*****0192134630175.92沈**10002*****0218534630175.92吴**10002*****1430235529075.74蔡**10002*****0219134329875.21张**10002*****0218034928974.90孟**10002*****0865334928974.90严**10002*****1062435528074.6乔**10002*****0758835927374.28林**10002*****0219535327874.13伊**10002*****0193835527473.91赵**10002*****0808134628373.86韦**10002*****0188535227473.55杨**10002*****0853034827673.30王**10002*****1201035426973.22李**10002*****1014434328073.16张**10002*****0202935326472.53宁**10002*****0216533727772.09欧**10002*****0182534027372王**10002*****0861133827471.87袁**10002*****0926233427871.85刘**10002*****0195633527671.74贾**10002*****0693833826670.96陈**10002*****0197135624270.37宁**10002*****0193332227770.29吕**10002*****0217733726170.26刘**10002*****0219632327369.96刘**10002*****0198833925669.93杨**10002*****0199132126668.92王**10002*****0219434423568.13财政金融学院 - 税务(专业学位)姓名考生编号初试成绩复试成绩加权总成绩备注孙**10002*****0222041230183.84贾**10002*****1329041029182.45陈**10002*****1388640129081.26魏**10002*****1504540029081.14谭**10002*****1329140427880.25王**10002*****0220739228679.72齐**10002*****1504239528279.62周**10002*****0222639128579.49林**10002*****0222837030779.48周**10002*****0223539927679.42范**10002*****0788138229379.32王**10002*****0222738029479.2张**10002*****1431838928278.90罗**10002*****0222138728178.55朱**10002*****0223439027778.45宋**10002*****0704639226977.78钟**10002*****0927338327477.27吴**10002*****1349038726776.95葛**10002*****1054138227076.69柯**10002*****1080938126876.34李**10002*****0221537727076.09鲁**10002*****0221737726475.41赵**10002*****1348937726275.18毕**10002*****0223037825874.84马**10002*****0220234125970.52骨干刘**10002*****0237936427575.10王**10002*****0235135927574.50杨**10002*****0234234927172.85张**10002*****0236634926472.05黄**10002*****0224234027171.77陈**10002*****0229332428471.33杨**10002*****0243634026571.08李**10002*****0232033726370.49闫**10002*****0227032527370.2徐**10002*****0234732627069.97薛**10002*****0229532225868.12财政金融学院 - 保险(专业学位)姓名考生编号初试成绩复试成绩加权总成绩备注周**10002*****0244941531585.8郭**10002*****1388739330782.24王**10002*****0244538931082.10孟**10002*****0244839230381.66刘**10002*****0244038829980.73施**10002*****0244638230480.58董**10002*****0244237230879.84张**10002*****0746338429579.79倪**10002*****1504838628779.12范**10002*****0244137228977.66统计学院 - 应用统计(专业学位)姓名考生编号初试成绩复试成绩加权总成绩备注梁**10002*****0816741330684.04刘**10002*****0279941829683.89黎**10002*****1082041130283.42陈**10002*****0278241030183.2张**10002*****0278540329781.87林**10002*****0280440429581.84陈**10002*****0278938931881.71邓**10002*****0280740628681.35吉**10002*****1506138731381.00何**10002*****1506539429680.53金**10002*****0278840427980.47郝**10002*****1493939429480.36李**10002*****0278739129780.19尹**10002*****1506239828580.14李**10002*****0956539029279.62留**10002*****1350640127279.45林**10002*****0956738829279.34赵**10002*****0804338529679.27鞠**10002*****1111238129678.71宋**10002*****0276439327378.42吴**10002*****0868437530278.38白**10002*****0280338627977.95王**10002*****0279338028677.71赵**10002*****0277939026977.65张**10002*****0275437229877.62闫**10002*****1553138527277.21辛**10002*****0828038826476.94贾**10002*****1111037428476.70王**10002*****1110937428376.61何**10002*****0278138626376.58王**10002*****0277837328276.39李**10002*****1228936928876.34韩**10002*****0837237228376.33孙**10002*****0929236529476.3李**10002*****1506938625876.15周**10002*****1110636529075.95熊**10002*****0802037926675.86李**10002*****1586437027575.37李**10002*****0956636827575.09叶**10002*****1432937725974.98胡**10002*****1244436727574.95法学院(专业学位) - 法律(非法学)姓名考生编号初试成绩复试成绩加权总成绩备注范**10002*****1387339429781.22林**10002*****0661638230380.46张**10002*****1334338729780.38陈**10002*****0665237829879.41詹**10002*****1010738728679.12王**10002*****0668838528678.88伍**10002*****1036737929278.85陈**10002*****0666537829278.73李**10002*****0653238128878.63张**10002*****1090238128678.40李**10002*****1423937729078.38朱**10002*****1490037229578.35王**10002*****0945436130678.29陈**10002*****1057336729978.21黄**10002*****0658036430278.19温**10002*****1143438128478.17侯**10002*****0646238028578.17赵**10002*****0660536629978.09魏**10002*****0648036629877.97钟**10002*****0898637229177.89贠**10002*****1293436330077.84宋**10002*****0669137828477.81刘**10002*****0657337728577.81刘**10002*****0875137229077.78王**10002*****1306538028177.71邵**10002*****0659036529677.62林**10002*****0663838028077.6刘**10002*****1049637029077.54兰**10002*****1570737728177.35谢**10002*****1389936729077.18魏**10002*****1142636529076.94任**10002*****1387136329276.93孔**10002*****1567037827676.90张**10002*****0743538526876.82谢**10002*****1405436429076.82王**10002*****1478435529976.77邓**10002*****0691237427976.76唐**10002*****0664035929476.68陈**10002*****0743638726476.61谭**10002*****0655637927276.56王**10002*****1558037327876.53徐**10002*****0646936129076.46刘**10002*****0848335929276.45宋**10002*****0847736428676.36付**10002*****1478536728276.26周**10002*****0658936228776.24史**10002*****0992736228676.12王**10002*****1489835828975.98藏**10002*****1556136328375.90唐**10002*****0663635529175.85施**10002*****1090035529175.85叶**10002*****0665834929775.82李**10002*****0665135928675.76海**10002*****1285537027475.71黄**10002*****0700536727775.69牛**10002*****1333736428075.68祁**10002*****1031935828675.64肖**10002*****0662235528975.62梁**10002*****0655437127275.60梁**10002*****0645137027375.6李**10002*****1164336927475.59王**10002*****1334634629875.57陈**10002*****0647936228175.55李**10002*****0656235928475.53张**10002*****0824235728675.52韩**10002*****0945635528875.51李**10002*****1574636627675.46樊**10002*****1333836028275.42袁**10002*****0992535828475.41郜**10002*****1140335628675.40洪**10002*****1403837626575.40左**10002*****1089935428875.39范**10002*****1333136427775.33陈**10002*****1166736028175.31郭**10002*****0667434829375.24叶**10002*****0651735029075.14张**10002*****1207236627375.12雷**10002*****1272435628375.06黄**10002*****0685036127774.97白**10002*****1426435328574.93亓**10002*****1233536727074.89张**10002*****1026136627174.89孟**10002*****1199735728074.84韩**10002*****1223036227474.75谢**10002*****1187835428274.70孙**10002*****1143635328374.70曾**10002*****1089536227374.64孙**10002*****0992835727874.61兰**10002*****1489934928674.56江**10002*****1051736227274.52周**10002*****1477136127374.52孔**10002*****0760335028474.45赖**10002*****1442335028474.45高**10002*****1028334828674.44宋**10002*****1327534728674.32江**10002*****1406335627674.26尚**10002*****0662735128174.23赵**10002*****0655936127074.17张**10002*****0667535527674.14王**10002*****0653135427774.13臧**10002*****0658235327874.13孙**10002*****0997535028174.11朱**10002*****0786334628574.09王**10002*****0656636027074.05黄**10002*****1478335727374.04胡**10002*****1090435427674.02高**10002*****0822035327774.01刘**10002*****1334735627373.92崔**10002*****0999035127873.89李**10002*****0647835027973.88常**10002*****0668235727173.81陈**10002*****1520835227673.78蒋**10002*****1477934927873.65官**10002*****0982534728073.64蒋**10002*****1396635627073.57徐**10002*****0664535427273.56胡**10002*****0654735327373.56田**10002*****0822435327273.44刘**10002*****1411535227373.44赵**10002*****0970136326173.38靳**10002*****1308135926573.36马**10002*****0653335626873.34石**10002*****0664735227273.32王**10002*****1242834927573.30甄**10002*****0737234827673.30饶**10002*****1050134727773.29连**10002*****0760134527973.28王**10002*****1164135726673.24胡**10002*****0661135227173.21杨**10002*****0713134227672.58骨干马**10002*****0970431926668.68骨干吉**10002*****1488231726468.21骨干法学院(专业学位) - 法律(法学)考生编号初试成绩复试成绩加权总成绩10002*****1481536230878.64 10002*****1336835529376.08 10002*****1335835029075.14 10002*****1026935428474.93 10002*****1167734928774.68 10002*****0670835328174.47 10002*****1145434328874.07 10002*****1480134928073.8810002*****1336934028573.3710002*****0673333429173.3310002*****1069834228273.2610002*****0825034627172.4910002*****1188333927872.4510002*****1145133727872.2110002*****1334933527671.7410002*****1013434126871.5410002*****0673833927071.5310002*****0678833627071.1710002*****0678233027671.1410002*****0680333027270.6810002*****0677833226770.35公共管理学院(专业学位) - 公共管理(专业学位)考生编号初试成绩复试成绩加权总成绩10002*****050412302807810002*****0478920730275.9110002*****0468322926175.6210002*****0473323624775.42提10002*****0466922127375.4提10002*****0496720329774.5410002*****0480221627474.5110002*****0489922126574.4810002*****0504921327674.1410002*****0492019830274.1110002*****0473520728373.7410002*****0492920229173.6510002*****0507121826373.6510002*****049622092737310002*****0505120428172.9110002*****0499022224872.74村10002*****0475320228272.6210002*****0493120228172.51村10002*****0507820128272.4210002*****0486921725372.3110002*****0478820627072.05提10002*****0503719528871.9110002*****0500020427071.6510002*****0502619528571.5710002*****0491319128971.22提10002*****0484620925771.1710002*****0468118130571.05提10002*****0506119727470.7110002*****0505020625770.5710002*****0504819727270.4810002*****0482618329670.4210002*****0509520026670.410002*****0499819727170.3710002*****0479519028370.34提10002*****0481718229670.2210002*****0503320625470.22提10002*****0506319127970.08提10002*****0469718429170.0510002*****0500618928270.0210002*****0488819726769.9110002*****0485520724969.8510002*****0473719327369.8提10002*****0476519526869.62提10002*****0499518828069.610002*****0489318029369.4810002*****0474819925969.4提10002*****0498218927669.3410002*****0478219326869.2210002*****0486218827569.0210002*****0496419226869.0210002*****0484717729469提10002*****0475118527868.7710002*****0476318028668.68提10002*****0503218827268.6810002*****0483817030268.5110002*****0499218228168.5110002*****0478419126368.25提10002*****0476419126268.1410002*****0494619126268.14村10002*****0505419226068.1110002*****0467717728668.0810002*****0502517329368.0810002*****0481118726767.9110002*****0506618527067.8510002*****0510618726567.68提10002*****0499419125767.5710002*****0469318826267.54提10002*****0488918626567.48村10002*****0501419025767.3710002*****0483218127267.2810002*****0494718925667.0510002*****0497017827567.0210002*****0501016629667.02提10002*****050041712876710002*****0489818126866.8210002*****0494118925466.8210002*****0485817428066.810002*****0482817228366.7410002*****0498018326366.65村10002*****0506017827166.5710002*****0492519723766.4810002*****0489619224566.410002*****0486718026265.94提10002*****0487916928165.91提10002*****0492818126065.9110002*****0470617527065.85提10002*****0481419423665.77提10002*****0491118125765.57提10002*****0475416827565.02提10002*****0477016428265.02提10002*****0483716926864.42提10002*****0486617525664.25提10002*****0487816926163.62提10002*****0479116925963.4提10002*****0478116526363.05提10002*****0484116525862.48提10002*****0507317523862.2提10002*****0473216225962提10002*****0471116125861.68提10002*****0475616424060.22提10002*****0512120528873.9110002*****0511419030072.2810002*****0510721325671.85提10002*****0511619825969.210002*****0510321122167.45提10002*****0511519025667.2510002*****0510518526467.17提10002*****051191832666710002*****0512417527165.9710002*****0510218325665.8510002*****0500218425465.8210002*****0468019822965.7710002*****0511116728365.7410002*****0510916728165.5110002*****0486116827865.3710002*****0497516827665.1410002*****0498717625964.810002*****0500816827364.810002*****0512017326464.7710002*****0484016727464.7110002*****0501216727464.7110002*****0473117525964.610002*****0507418524164.5410002*****0502717625364.1110002*****0480816627064.0510002*****0509017026364.0510002*****0488317225763.7710002*****0469217026063.7110002*****0503016327263.6810002*****0489416227363.610002*****0505916626663.610002*****0498517225563.54 10002*****0507216027663.54 10002*****0499617624763.42 10002*****0501816227163.37 10002*****0468216226963.14 10002*****0479916825863.08 10002*****0490716026662.4 10002*****0484916724961.85 10002*****0488716924361.57文学院(专业学位) - 汉语国际教育(专业学位)考生编号初试成绩复试成绩加权总成绩10002*****0326737530479.74 10002*****0994338027877.37 10002*****0959035030476.74 10002*****1229735629676.54 10002*****0978736128776.12 10002*****1047235229475.84 10002*****1182336527975.68 10002*****0733436827575.58 10002*****1153834430075.56 10002*****1169635828275.18 10002*****0326334429675.10 10002*****0325934629274.89 10002*****1182234828874.67 10002*****1572335028474.45 10002*****0733235527574.02 10002*****1119134828273.98 10002*****1572134728373.98 10002*****1022235926973.82 10002*****1083835427473.79 10002*****1596335027773.65 10002*****0799435527173.57 10002*****0794934228273.26 10002*****1119333328972.98 10002*****1067734327872.9310002*****0958834527572.8210002*****1191934826972.50志愿10002*****1117735825872.4410002*****1075133728072.4410002*****0876833328272.1810002*****0727032429172.1310002*****1255734327172.1310002*****0727334426972.0210002*****1181834326971.9010002*****1395634227071.8910002*****0697134326871.7810002*****1342033827371.7610002*****0837634226871.6610002*****0789433727371.6410002*****1059334526471.5710002*****1202233627271.4010002*****0326433327571.3810002*****0995633127771.3710002*****1330232828071.3610002*****0325234326471.3310002*****0727233826971.3010002*****1169733227571.2610002*****0750236024571.210002*****1069933926771.1910002*****0917335025571.1410002*****1375033027671.1410002*****1239035125371.0310002*****1169833926570.9610002*****1118633626870.9410002*****0326533726570.7210002*****1153932427870.6510002*****0858233826370.6110002*****0326832827270.4410002*****0917232827170.3310002*****1452832727270.3210002*****0819633826070.2710002*****1230033925870.1610002*****0784133725869.92 10002*****0998233625869.80 10002*****1343833326169.78 10002*****0862933725669.69 10002*****1575233425869.56 10002*****1549132726569.52 10002*****1047133225969.44 10002*****1051132826069.07 10002*****0733633125668.97 10002*****0726833025768.97 10002*****0917432825868.84 10002*****1308733125068.29文学院(专业学位) - 电影(专业学位)考生编号初试成绩复试成绩加权总成绩10002*****0327939229981.21 10002*****1279438927978.56 10002*****1036235930678.05 10002*****0327437428677.56 10002*****0327336128676.00 10002*****1460234928774.68 10002*****0799734229174.29 10002*****0343634528573.97 10002*****0340335127573.54 10002*****0697432629773.06 10002*****1449532928371.82新闻学院 - 新闻与传播(专业学位)考生编号初试成绩复试成绩加权总成绩10002*****0355740929482.68 10002*****0351040129281.49 10002*****0354239529881.45 10002*****0355040528781.4 10002*****1375838930281.19 10002*****0839639029980.97 10002*****0355540428180.5910002*****0751237830580.21 10002*****0354739228980.06 10002*****1055839029079.94 10002*****0355438229779.78 10002*****0960538529379.68 10002*****0354838329179.21 10002*****1405737929579.19 10002*****1196838328978.98 10002*****0918238328578.53 10002*****0353838228478.29 10002*****0352537728778.04 10002*****1256638727577.86 10002*****0709037828477.81 10002*****0761137628577.69 10002*****1269337927777.13 10002*****0355637128476.97 10002*****0350437428076.88 10002*****1075834525370.31外国语学院(专业学位) - 英语笔译(专业学位)考生编号初试成绩复试成绩加权总成绩10002*****0784335729477.7 10002*****0356636528877.64 10002*****1211436927476.04 10002*****0328234628274.88 10002*****1235437325573.72 10002*****1210636125973.1 10002*****1154834826873.08 10002*****1279835124169.52 10002*****1202636023469.42 10002*****1210234823768.65 10002*****1376035323068.15外国语学院(专业学位) - 英语口译(专业学位)考生编号初试成绩复试成绩加权总成绩10002*****1041940730584.2710002*****1220836429378.25 10002*****0357136528777.5 10002*****1192535728476.27 10002*****1465935027674.42 10002*****1573135526973.92历史学院 - 文物与博物馆(专业学位)考生编号初试成绩复试成绩加权总成绩10002*****0361639630081.15 10002*****0361439330481.07 10002*****1376239030380.57 10002*****0904339130180.54 10002*****1416839828379.97 10002*****1578039029479.8 10002*****1549538429779.21 10002*****1580037829778.37 10002*****1355937929578.34 10002*****0360937629477.84 10002*****1123637029877.34 10002*****1579837828477.26 10002*****0361036030976.88 10002*****1549436430276.84 10002*****0870936629676.61 10002*****1577937228376.33 10002*****1048336928075.66 10002*****1183337327275.53 10002*****1522337227375.48艺术学院 - 美术(专业学位)考生编号初试成绩复试成绩加权总成绩10002*****0370134031278.57 10002*****0368332832078.51 10002*****0371636829278.51 10002*****0371434230677.91 10002*****0369333829375.65 10002*****0370333929075.3210002*****0370032130275.24 10002*****0371233629075.02 10002*****0370534927874.61艺术学院 - 艺术设计(专业学位)考生编号初试成绩复试成绩加权总成绩10002*****0372939331283.87 10002*****0372836629779.02 10002*****0373533828474.37信息学院(专业学位) - 软件工程(专业学位)考生编号初试成绩复试成绩加权总成绩10002*****0374237732180.29 10002*****1546137128776.54 10002*****1016536026973.45 10002*****0379633329571.90 10002*****0379332530171.3 10002*****0734935024870.25 10002*****0379232928270.23 10002*****0378633227770.22 10002*****1330831329469.02 10002*****0374031427467.44 10002*****1037931227266.99 10002*****0858731026566.11 10002*****1124330625164.35 10002*****1124130223061.99 10002*****0962030023361.97商学院(专业学位) - 国际商务(专业学位)考生编号初试成绩复试成绩加权总成绩10002*****1127837530378.47 10002*****1437337430478.41 10002*****0395738129178.28 10002*****1407138627977.95 10002*****1509337329677.5910002*****0894837529177.44 10002*****0790938427477.24 10002*****1453736828976.29 10002*****0394836129175.48 10002*****0395636228675.19 10002*****1331236328375.07 10002*****0392935529675.07 10002*****0392536627474.72 10002*****1361736527474.58 10002*****1011836826974.57 10002*****0394736726974.43 10002*****0394935328974.19 10002*****0395437026074.08 10002*****1376835128873.82 10002*****1158835927473.74 10002*****1509135128273.31 10002*****1317336326073.10 10002*****0393535126972.19商学院(专业学位) - 资产评估(专业学位)考生编号初试成绩复试成绩加权总成绩10002*****0397141530283.98 10002*****1331341127881.36 10002*****1231540628481.18 10002*****0397240128780.74 10002*****0872539927579.43 10002*****0937040027279.31 10002*****1509539327078.16 10002*****1158939027478.08 10002*****0963438128577.76 10002*****1376938926477.08 10002*****0398638826577.03 10002*****0397737528677.01 10002*****0396537129076.79 10002*****0396736929276.68 10002*****0810037627976.5510002*****0397538126576.05 10002*****0397337526775.38 10002*****0753137426675.16 10002*****0991036924372.48 10002*****1356936921470.00商学院(会计) - 会计(专业学位)姓名考生编号初试成绩复试成绩加权总成绩备注许**10002*****0534425130885.4朱**10002*****0534624731485.28周**10002*****0533024731084.82刘**10002*****0522424231584.4王**10002*****0528124530984.31金**10002*****0521124630483.94李**10002*****0533524430683.77姚**10002*****0969624330283.11李**10002*****1304723730782.48卢**10002*****0532224229882.45王**10002*****0535023830582.45刘**10002*****0870123530281.51郭**10002*****0532524428681.48李**10002*****1381823630081.48毕**10002*****0530824129181.45王**10002*****024727981.28许**10002*****0533923629781.14姜**10002*****1518323529480.6钱**10002*****0526624427880.57谢**10002*****0528023828880.51孙**10002*****0531724228080.4李**10002*****0689023728780.2杨**10002*****0870323828079.6花**10002*****0537024226879.02宋**10002*****0532324027178.97陈**10002*****1381423626777.71任**10002*****1381121326673骨干牧**10002*****1077321426272.74骨干曾**10002*****0516420024968.45骨干喻**10002*****0548122929979.97石**10002*****0547321930778.88刘**10002*****0556721830878.8刘**10002*****0546522130278.71陆**10002*****0558521631078.62于**10002*****0556522329778.54王**10002*****023626977.94查**10002*****0556321730277.91王**10002*****0550221929877.85裴**10002*****0548021529977.17柳**10002*****0559320930376.42熊**10002*****0542022627376.4邓**10002*****0551022128176.31连**10002*****0545020231376.17熊**10002*****0548321329275.97贺**10002*****0969722127275.28王**10002*****0540321128975.22吕**10002*****0543721528275.22王**10002*****0551820430175.2孙**10002*****1305820529774.94丁**10002*****0541822226774.91许**10002*****0540620629474.8田**10002*****0552719830874.8李**10002*****0543621028674.68秦**10002*****0559121028674.68王**10002*****1232919830774.68李**10002*****020429474.4郭**10002*****0818320129874.25王**10002*****0548220229574.11姚**10002*****0554619530373.62杨**10002*****0546621626673.6滕**10002*****0553921925873.28韩**10002*****0716119629072.34温**10002*****0556620926772.31王**10002*****0559420227772.05刘**10002*****0552119528871.91徐**10002*****0873121325571.74陈**10002*****0540420726471.57高**10002*****0539719927571.22王**10002*****0545820825971.2杨**10002*****0555420126970.94郭**10002*****0557720326470.77刘**10002*****0540021224870.74张**10002*****0538519527670.54魏**10002*****0554820725570.54左**10002*****0546419827070.45李**10002*****020126470.37村官加分马**10002*****0558019627270.28农业与农村发展学院 - 农村与区域发展(专业学位)考生编号初试成绩复试成绩加权总成绩10002*****0414938431081.5010002*****0414338131381.4910002*****0415237530679.9710002*****1216039727879.4110002*****1275236430077.9610002*****0813436728576.6110002*****0415136628075.9210002*****0742736927675.8210002*****0414835429175.7310002*****1557735628775.5210002*****0711335428575.0510002*****1204935628074.7210002*****1204836227274.5210002*****1498035228274.4610002*****0414635127673.6610002*****1192935127573.5410002*****1438035826573.2410002*****1064334527372.610002*****1204734227672.5810002*****1023934327472.4710002*****0414735525771.9710002*****0414435725371.7510002*****1394135325070.9310002*****1221433726670.8410002*****1543933529373.68援信息资源管理学院 - 图书情报(专业学位)考生编号初试成绩复试成绩加权总成绩10002*****1213023228978.9010002*****0641122530078.21国10002*****0643122529878.04国10002*****0642522429577.55国10002*****0642722928177.51国10002*****0970022528977.2710002*****0642021629976.0210002*****0640222327475.5110002*****0643021129774.69国10002*****0982420830574.6710002*****0642621328974.47国10002*****0642321228774.06国10002*****1518821328273.8710002*****0859520928973.5310002*****0642921227973.38国10002*****0642421227673.12国10002*****0643320528772.43国10002*****1402320927672.4210002*****0640320129572.1810002*****0716320229172.0710002*****0643220428371.85国10002*****0756620827271.8410002*****0640120527671.4910002*****1306219928871.1110002*****0641720527171.0610002*****0870519528970.2710002*****1306319827870.0210002*****1138820126069.1810002*****0641619926268.8910002*****1217220723768.6110002*****0818619425767.29社会与人口学院(专业学位) - 社会工作(专业学位)考生编号初试成绩复试成绩加权总成绩10002*****0424643031587.610002*****0425741832086.7310002*****0424141432186.3610002*****1486642030485.14 10002*****1060741131385.09 10002*****0896141231084.86 10002*****0424541131184.86 10002*****0980540130883.32 10002*****0939039731183.18 10002*****0769840330483.10 10002*****1060539930883.08 10002*****0712041029582.91 10002*****0425538731682.55 10002*****1466340129882.17 10002*****0966040529382.08 10002*****1027941128581.89 10002*****1319941627881.69 10002*****0424339430181.68 10002*****0721540528881.51 10002*****1060839629781.46 10002*****0425039629681.34 10002*****1319039429781.22 10002*****1438939829281.13 10002*****0966239429681.10 10002*****1319238130981.03 10002*****1095439329680.98 10002*****1065138929980.85 10002*****0769740028780.8 10002*****1319740428180.59 10002*****0965939229380.52 10002*****1042739229380.52 10002*****0425438530080.48 10002*****1580639129380.40 10002*****1132640427980.36 10002*****0905738629580.03 10002*****1318740327780.01 10002*****0974838129979.89 10002*****1160538030079.88 10002*****0742939428579.85 10002*****0423938729079.58。
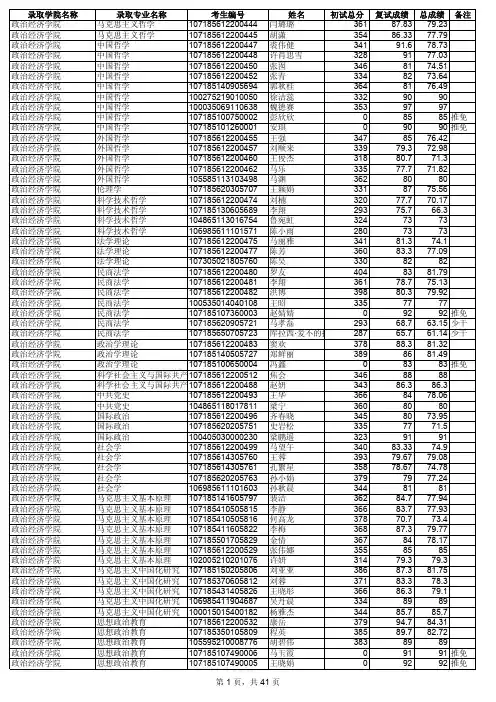
录取学院名称录取专业名称考生编号姓名初试总分复试成绩总成绩备注政治经济学院马克思主义哲学107185612200444闫璐璐36187.8379.23政治经济学院马克思主义哲学107185612200445胡潇35486.3377.79政治经济学院中国哲学107185612200447裘伟健34191.678.73政治经济学院中国哲学107185612200448许肖思雪3289177.03政治经济学院中国哲学107185612200450张囡3468174.51政治经济学院中国哲学107185612200452张青3348273.64政治经济学院中国哲学107185140905694郭秋桂3648176.49政治经济学院中国哲学100275219010050徐洁蕊3329090政治经济学院中国哲学100035069110638魏德赛3539797政治经济学院中国哲学107185100750002彭欣欣08585推免政治经济学院中国哲学107185101260001安琪09090推免政治经济学院外国哲学107185612200455王强3478576.42政治经济学院外国哲学107185612200457刘顺来33979.372.98政治经济学院外国哲学107185612200460王俊杰31880.771.3政治经济学院外国哲学107185612200462马乐33577.771.82政治经济学院外国哲学105585113103498马渊3628080政治经济学院伦理学107185620305707王颖娟3318775.56政治经济学院科学技术哲学107185612200474刘楠32077.770.17政治经济学院科学技术哲学107185130605689李翔29375.766.3政治经济学院科学技术哲学104865113016754鲁宛虹3247373政治经济学院科学技术哲学106985611101571陈小雨2807373政治经济学院法学理论107185612200475马丽雅34181.374.1政治经济学院法学理论107185612200477陈芳36083.377.09政治经济学院法学理论107305021805760陈昊3308282政治经济学院民商法学107185612200480罗友4048381.79政治经济学院民商法学107185612200481李翔36178.775.13政治经济学院民商法学107185612200482洪博39880.379.92政治经济学院民商法学100535014040108王昭3357777政治经济学院民商法学107185107360003赵婧婧09292推免政治经济学院民商法学107185620905721马孝磊29368.763.15少干政治经济学院民商法学107185650705723库拉西·爱不的拉斯28765.761.14少干政治经济学院政治学理论107185612200483窦欢37888.381.32政治经济学院政治学理论107185140505727郑鲜丽3898681.49政治经济学院政治学理论107185100650004冯鑫08383推免政治经济学院科学社会主义与国际共产主107185612200512焦会3468888政治经济学院科学社会主义与国际共产主107185612200488赵妍34386.386.3政治经济学院中共党史107185612200493王华3668478.06政治经济学院中共党史104865118017811梁宁3608080政治经济学院国际政治107185612200496齐春晓3458073.95政治经济学院国际政治107185620205751史岩松3357771.5政治经济学院国际政治100405030000230梁鹏遥3239191政治经济学院社会学107185612200499马望午34083.3374.9政治经济学院社会学107185614305760王蓉39379.6779.08政治经济学院社会学107185614305761孔繁星35878.6774.78政治经济学院社会学107185620205763孙小娟3797977.24政治经济学院社会学106985611101603孙秋晨3448181政治经济学院马克思主义基本原理107185141605797裴洁36284.777.94政治经济学院马克思主义基本原理107185410505815李静36683.777.93政治经济学院马克思主义基本原理107185410505816何高龙37870.773.4政治经济学院马克思主义基本原理107185411605822李梅36887.379.77政治经济学院马克思主义基本原理107185501705829金倩3678478.17政治经济学院马克思主义基本原理107185612200529张伟娜3558585政治经济学院马克思主义基本原理102005210201076许妍31479.379.3政治经济学院马克思主义中国化研究107185150205806刘亚亚38687.381.75政治经济学院马克思主义中国化研究107185370605812刘蓉37183.378.3政治经济学院马克思主义中国化研究107185431405826王晓彤36686.379.1政治经济学院马克思主义中国化研究106985411904687吴丹晨3348989政治经济学院马克思主义中国化研究100015015400182杨雅杰34485.785.7政治经济学院思想政治教育107185612200532康岳37994.784.31政治经济学院思想政治教育107185350105809程英38589.782.72政治经济学院思想政治教育105595210008776胡碧伟3838989政治经济学院思想政治教育107185107490006马玉霞09191推免政治经济学院思想政治教育107185107490005王晓娟09292推免政治经济学院思想政治教育107185530405831张成慧24980.363.53少干政治经济学院思想政治教育107185530405833李金岚28883.369.17少干政治经济学院思想政治教育107185620405845刘珍2608265.5少干政治经济学院思想政治教育107185107180007张凌寒08989推免政治经济学院中国近现代史基本问题研究107185612200533胡偌菲3958682.15政治经济学院中国近现代史基本问题研究107185612200534陈娉娉3488174.73政治经济学院社会工作107185612201517寇苗苗3318775.56政治经济学院社会工作107185612201518王译梵35578.6774.45政治经济学院社会工作107185612201521余英36086.3378.45政治经济学院社会工作107185120309012李丰华35982.3376.54政治经济学院社会工作107185231109015王永星3988180.23政治经济学院社会工作107185410309017王苏紧36675.6774.31政治经济学院社会工作107185410709019王瑞35571.6771.3政治经济学院社会工作107185450209024王译若3788077.58政治经济学院社会工作107185501409025杨娅倩38389.6782.48政治经济学院社会工作107185614309026尚欢35377.3373.63政治经济学院课程与教学论107185321704245田晶32385.373.92政治经济学院课程与教学论107185107180008李冉087.287.2推免政治经济学院学科教学(思政)107185612201558王玉立35785.777.84政治经济学院学科教学(思政)107185612201569李玉婷3848781.39政治经济学院学科教学(思政)107185612201573孙瑞杰3718478.61政治经济学院学科教学(思政)107185612201578田璐娜38789.382.76政治经济学院学科教学(思政)107185612201581文佳慧35388.778.75政治经济学院学科教学(思政)107185141009072王丽红3948682.04政治经济学院学科教学(思政)107185210509081易佳辰37485.379.53政治经济学院学科教学(思政)107185500209089刘洋36784.778.49政治经济学院学科教学(思政)107185612200484史金惠3618484政治经济学院学科教学(思政)106985611101612余佳霖30081.381.3政治经济学院学科教学(思政)107185106360009彭月09191推免政治经济学院学科教学(思政)107185620209092张丽霞34779.373.86少干政治经济学院学科教学(思政)107185640109098杨彦杰27876.765.1少干政治经济学院学科教学(思政)107185650609100韩静2457962.5少干政治经济学院学科教学(思政)107185107180010付晨晨09292推免政治经济学院行政管理107185612200552周子茵38678.877.92政治经济学院行政管理107185612200576苏敏36277.474.65政治经济学院行政管理107185612200578李梦娜3707574.45政治经济学院行政管理107185612200589张瑶36778.775.79政治经济学院行政管理107185612200605高敏36475.874.15政治经济学院行政管理107185141105877李梦36772.272.86政治经济学院行政管理107185153105891李红红36674.973.97政治经济学院行政管理107185322205897周媛35177.173.31政治经济学院行政管理107185412305922张杨子36280.175.87政治经济学院行政管理107185612202731张济帆3657774.8单考政治经济学院行政管理107185612202732陈彦婷3777675.67单考政治经济学院行政管理103575210004585代佳朋3628080政治经济学院行政管理100555333316745李修齐36585.885.8少干政治经济学院行政管理107015161133091乐谱33682.182.1少干政治经济学院行政管理107185101350012张淼08585推免政治经济学院行政管理107185102120011文旭升09090推免政治经济学院行政管理107185422205924白玉龙2977064.17少干政治经济学院行政管理107185510805933黄磊31668.365.5少干政治经济学院行政管理107185520705937黄利晓25370.959.74少干政治经济学院行政管理107185530405940陈佑康29070.863.76少干政治经济学院公共管理107185612203657沈忱17978.368政治经济学院公共管理107185612203658高敏17672.364.8政治经济学院公共管理107185612203659朱博涛17377.766.7政治经济学院公共管理107185612203669张倩16376.464.3政治经济学院公共管理104225510090217张合宁1667979政治经济学院公共管理104455690002749王峥1627878政治经济学院公共管理104565750000864严子真1737878政治经济学院公共管理104565750000766张鹏1747878政治经济学院公共管理104565750001089赵望1607777政治经济学院公共管理104565750000894张瀚中1607474政治经济学院公共管理104225510010806于斐1607474政治经济学院公共管理104565750000909宋帅刚1917373政治经济学院公共管理104225510010787尉皓铮1667272政治经济学院公共管理110655850000494刘雷1767272政治经济学院公共管理110655850000465袁景艳1837171政治经济学院公共管理110655850000201曹瑾1617171政治经济学院公共管理104565750000833崔正扬1707171政治经济学院公共管理104225510011521曹檬1667070政治经济学院公共管理104225510010749丁琦1917070政治经济学院公共管理104225510090160何红霞1738080政治经济学院公共管理104455690002437刘海奎1797373政治经济学院公共管理105615500009356刘俊1796969政治经济学院公共管理104145125100297古向东1626767政治经济学院公共管理105745000006072吴可嘉1636767政治经济学院公共管理105615500010406曾金明1736969政治经济学院公共管理105615500009851李论1646969政治经济学院公共管理104225510090157任彦领2048080政治经济学院公共管理104565750000790张雯1667777政治经济学院公共管理104565750001186张贤杰1757676政治经济学院公共管理104565750001054欧阳潇航1677676政治经济学院公共管理104225510011737程宗越1897676政治经济学院公共管理104565750001020张雅琼1657575政治经济学院公共管理104345601501091姜良佼1647575政治经济学院公共管理104225510011604李晓君1627373政治经济学院公共管理104455690002851王政1647272政治经济学院公共管理110655850000394王超1837171政治经济学院公共管理104225510010917董斌1697777政治经济学院公共管理106995561128023严爱美1856565政治经济学院公共管理105615500010205陈碧青1806969政治经济学院公共管理105615500010127龙柠璨1866666国际商学院政治经济学106985611101585李文槟3397777国际商学院政治经济学107185107360013唐春08686推免国际商学院西方经济学102865612213336李丹丹3567171国际商学院世界经济104865105013566魏琼黎34178.678.6国际商学院世界经济106985611102568刘鑫33569.1969.19国际商学院人口、资源与环境经济学107185612200097王佳惠3467270.46国际商学院人口、资源与环境经济学107185530203770洪欣钰33773.3370.07国际商学院人口、资源与环境经济学106985340106140马征3568080国际商学院人口、资源与环境经济学107185422603767李朝鹏3596262国际商学院人口、资源与环境经济学107185106350015王典086.6786.67推免国际商学院人口、资源与环境经济学107185107260014王煊083.883.8推免国际商学院国民经济学107185612200106杨历36276.774.34国际商学院国民经济学105205670600114赵燕妮3767272国际商学院国民经济学106985611102489崔晓健36177.477.4国际商学院国民经济学107305021806736马婧35379.179.1国际商学院国民经济学107305021806691董秋丛35176.9776.97国际商学院国民经济学107185105890018陈秋彤08383推免国际商学院国民经济学107185107590017景英085.6785.67推免国际商学院国民经济学107185107360016程志航086.286.2推免国际商学院区域经济学107185612200110马媛36976.975.2国际商学院区域经济学107185412903763刘莹3657474国际商学院区域经济学100365999904673吕林茂34672.9572.95国际商学院区域经济学107185107000019张玉084.6784.67推免国际商学院金融学107185612200118寇煜坤34388.5377.57国际商学院金融学107185612200128张偲琪36488.880国际商学院金融学107185612200138武珊33970.669.06国际商学院金融学107185612200139柯蕊37364.4770.04国际商学院金融学107185412903762路璐35383.6776.48国际商学院金融学107185107010020祝婕09191推免国际商学院产业经济学107185612200141陈芳33172.468.99国际商学院国际贸易学107185612200147任洁琼34782.7775.42国际商学院国际贸易学103845216107009金雨辰34078.5278.52国际商学院国际贸易学106985345905923王瑶34278.7178.71国际商学院劳动经济学105205670611031革兆东35472.9372.93国际商学院统计学106105020200382梁婷34672.972.9国际商学院数量经济学106985611102659杨哲34179.5379.53国际商学院数量经济学105325611604133韩璐36073.3873.38国际商学院数量经济学106985611102654华亦朴34974.5774.57国际商学院数量经济学107185107180021游艳艳09191推免国际商学院会计学107185612200160陈天妍3468978.11国际商学院会计学107185612200162朱梅芳41077.880.11国际商学院会计学107185612200166吕磊37879.4777.34国际商学院会计学107185612200178王娇36382.877.19国际商学院会计学107185370103798张夙夙34682.675.23国际商学院会计学107185441203819李知臻36382.1376.89国际商学院会计学107185620403832段莉39189.9383.48国际商学院会计学105205670600850陆博雅36175.3875.38国际商学院会计学107105161331439马龙35380.9380.93国际商学院会计学107185107180022强雪伟089.3389.33推免国际商学院会计学107185612200176李逍雯33182.3373.46少干国际商学院企业管理107185612200199张涛33784.4475.07国际商学院企业管理107185360103796张萍35882.4476.48国际商学院企业管理107185410403803李洋35675.2273.01国际商学院企业管理107185410603807王成改38277.5676.92国际商学院企业管理107185411103809魏金婵33679.6772.81国际商学院企业管理107185614103826岳星星33779.6772.92国际商学院企业管理100705123606655冀艳璐34776.2276.22国际商学院企业管理104865104013178骆俏35170.170.1国际商学院企业管理107185210703786郭晶婧33589.289.2国际商学院企业管理104865105013991牛楠36965.8165.81国际商学院企业管理106985611101373刘思嘉33664.1464.14国际商学院企业管理107185107180024张红芳087.3387.33推免国际商学院企业管理107185107360023段佳09191推免国际商学院技术经济及管理107185107180025李怡087.3387.33推免国际商学院社会医学与卫生事业管理107185612200609张姗姗36283.6777.47国际商学院社会医学与卫生事业管理107185511705987向琼36376.7574.47国际商学院社会保障107185612200610王忠环36682.9277.57国际商学院社会保障107185612200618张菀煜36487.3379.34国际商学院社会保障107185370605976张瑞芳3668277.16国际商学院社会保障107185413105983赵艳芳37280.9277.33国际商学院土地资源管理107185612200626李哲37986.5880.65国际商学院土地资源管理107185510705986杨勇35984.2577.4国际商学院工商管理107185612203543崔文韬1728168国际商学院工商管理107185612203547张洋17780.3369国际商学院工商管理107185612203551刘宗芹1648367国际商学院工商管理107185612203554杨舟16376.3364国际商学院工商管理107185612203555刘哲炜1798169国际商学院工商管理107185612203557黄旭1778068国际商学院工商管理107185612203559张惠然1958373国际商学院工商管理107185612203560晁阳1667866国际商学院工商管理107185612203564陈戈1718067国际商学院工商管理107185612203567陈思诚1687665国际商学院工商管理107185612203568高俏20285.3375国际商学院工商管理107185612203569张佳路16175.6764国际商学院工商管理107185612203571刘言17380.3368国际商学院工商管理107185612203581张智伦1608266国际商学院工商管理107185612203582魏振18581.3371国际商学院工商管理107185612203584李亚非16675.3364国际商学院工商管理107185612203591黄金华1798169国际商学院工商管理107185612203598王连旨1828270国际商学院工商管理107185612203609孙严严17981.6770国际商学院工商管理107185612203610武春苗1778269国际商学院工商管理107185612203613常焕坦17781.3369国际商学院工商管理107185612203615王希1648267国际商学院工商管理107185612203618王峰涛1978474国际商学院工商管理107185612203622吕硕16074.3363国际商学院工商管理107185612203629张琦欣20983.6776国际商学院工商管理107185612203630宋森21585.6778国际商学院工商管理107185612203636陈腾16676.3365国际商学院工商管理107185612203640武琦1697665国际商学院工商管理107185612203648马永兴1637664国际商学院工商管理107185612203649杨雨龙18181.6770国际商学院工商管理107185612203650樊珍1718268国际商学院工商管理104225510011159周庆峰1628080国际商学院工商管理104225510090225孙华超1947979国际商学院工商管理106355303732230李广华1838282国际商学院工商管理104225510090152张蒙1667676国际商学院工商管理104225510010958周成璐1697878国际商学院工商管理104225510090136李宁1747777国际商学院工商管理104335890160964王英亮1637676国际商学院工商管理104225510090176张孟涛1707979国际商学院工商管理104225510090223韩翠翠1747878国际商学院工商管理104225510090228姜宾1627575国际商学院工商管理104225510090156靳莎1918282国际商学院工商管理104225510090138石岩1647777国际商学院工商管理104225510090226邵凡1898282国际商学院工商管理104225510090191殷冰冰1767979国际商学院工商管理104225510090166李晗1677979国际商学院工商管理104225510090163韩玲玲1607979国际商学院工商管理104225510090153陈曦1677878国际商学院工商管理104225510090235吕萌1737878国际商学院工商管理104225510090158汤乐1868080国际商学院工商管理802015802000007商勇1617676国际商学院工商管理104225510090193王心洁1988383国际商学院工商管理104565750001149黄晏如1688383国际商学院工商管理104225510090209孙学晨1988080国际商学院工商管理104225510090180孙昊1918282国际商学院工商管理104225510090146刘姗姗1957979国际商学院工商管理104225510090183孙白鸽1847878国际商学院工商管理110655850000267姜楠1848383国际商学院工商管理104225510090233马雷1768181国际商学院工商管理104225510090185刘文1727979国际商学院工商管理104565750000234李翔1758383国际商学院工商管理104225510090171杜方杰1748080国际商学院工商管理104565750000503任增凯1657878国际商学院工商管理104225510090167刘洋2068080国际商学院工商管理104455690002645靖伟鹏1727979国际商学院工商管理104305000001850吴思明1878080国际商学院工商管理104305000001704李予晟2047878国际商学院工商管理104305000001715王武斌2017878国际商学院工商管理104305000001787黄腾辉1777878国际商学院工商管理104305000001848陈耀远1958181国际商学院工商管理104305000001805郑崇炜1737878国际商学院工商管理104305000001759孙道举1737777国际商学院工商管理104305000001750冯征1918080国际商学院工商管理104565750000409剡玉香2088484国际商学院工商管理105005006370805魏永生1818181国际商学院工商管理105205670604711李姣1838080国际商学院工商管理104235237520283孙大伟1678181国际商学院工商管理104225510090179李思1848181国际商学院工商管理104565750000759陈素芬1677575国际商学院工商管理104225510010717张童1968282国际商学院工商管理106135125300404朱文祥1607979国际商学院工商管理104225510090194张寒1707979国际商学院工商管理104305000001849江明1988282国际商学院工商管理104305000001716柳伟1897878国际商学院工商管理104305000001875郭珺2138484国际商学院工商管理104565750000318辛蕾蕾1768080国际商学院工商管理104225510010269张伟1728080国际商学院工商管理104565750000005李彦鹏1698181国际商学院工商管理104565750000548左云凯1998181国际商学院工商管理116605100940076杨熹1708080国际商学院工商管理104455690002279姚昕廷1787777国际商学院工商管理105615500010515毛崇文1638484国际商学院工商管理105615500010537钟湘悦2038383国际商学院工商管理105615500010482胡乔雅1798383国际商学院工商管理104305000001799洪琛1667878国际商学院工商管理104305000001776赵金2047979国际商学院工商管理101125000005228都晋1778282国际商学院工商管理104305000001818宋波1947777国际商学院工商管理105615500010527韩鹏1808484国际商学院工商管理105615500010516蒋国彬1748383国际商学院工商管理105615500010212叶明星1808484国际商学院工商管理105615500009939黄春香1768484国际商学院工商管理105615500010451郭豪义1938484国际商学院工商管理105615500009757王皓楠1658585国际商学院工商管理105615500010238肖志文1818383国际商学院工商管理105615500010551朱敏杰1958383国际商学院工商管理105615500010175张丹虹1828585国际商学院工商管理105615500010234贺新明1668383国际商学院工商管理105615500010534王成成1838484国际商学院工商管理105615500010481李志文1678585国际商学院工商管理105615500010548刘俊1808686国际商学院工商管理105615500010475胡杰翔1838585国际商学院工商管理105615500010541李儒婷1948383国际商学院工商管理105615500010218王巍2038585国际商学院工商管理105615500010474伍柯牧1868383国际商学院工商管理105615500010215翁翌1788585国际商学院工商管理105615500010017汤超1718484国际商学院工商管理105615500010538骆绍冠1938484国际商学院工商管理105615500010303邓穗雯1818383国际商学院工商管理104305000001822顾超1958383国际商学院工商管理104305000001846翁航1928080国际商学院工商管理104455690002607赵心愿1627878国际商学院工商管理104875000121791张圣1748080国际商学院工商管理104875000120666李曙光2098383国际商学院工商管理104875000120285高杰1978181国际商学院工商管理104875000120815刘海霞2018383国际商学院工商管理104565750000454付亚2107979国际商学院工商管理115605561397011韩波1618585国际商学院工商管理104455690002549秦洁1607676国际商学院工商管理802025000000289吴潇2318686国际商学院工商管理106995561127954翟琳1648383国际商学院工商管理107005237257665翟自国1818181国际商学院工商管理104225510011495任冬寒1678787国际商学院工商管理100045514134694徐东冉1698686教育学院教育学原理107185612202748潘小芳36177.0774.39教育学院教育学原理107185130603963贾晨3677775.02教育学院教育学原理107185140904050曹晓婷35681.875.97教育学院教育学原理107185321904249王欣35477.9374.01教育学院教育学原理107185341204274沈艳艳35878.7374.81教育学院教育学原理107185342204276刘恒美36580.876.51教育学院教育学原理107185411604529刘梦华36281.276.36教育学院教育学原理107185612202743王敏捷27167.4660.17少干教育学院教育学原理107185150204162王淑颖2977064.17少干教育学院教育学原理107185530404758李姣姣28167.6661.36少干教育学院课程与教学论107185612202775白雪双35874.6772.98教育学院课程与教学论107185612202792白彬36984.6978.7教育学院课程与教学论107185612202800陈渝35683.5176.74教育学院课程与教学论107185612202813陈春怡35480.4775.15教育学院课程与教学论107185220604210段婷婷35780.5875.53教育学院课程与教学论107185412204578陈丹36282.1176.77教育学院课程与教学论107185501204703王悦婷36776.6774.87教育学院课程与教学论107185511904741张子燕35376.6273.31教育学院课程与教学论107185650604909高峰32770.4270.42教育学院课程与教学论102695211302026郭蕊33071.271.2教育学院课程与教学论102695211301238周晨32776.5176.51教育学院课程与教学论105115104441518何同舟32279.7379.73教育学院课程与教学论105115104441582王岚33275.3375.33教育学院课程与教学论107185101350030张姝09090推免教育学院课程与教学论107185100650029褚清新08888推免教育学院课程与教学论107185100750028陈璐08585推免教育学院课程与教学论107185107360027关丽琴08888推免教育学院课程与教学论107185107490026万江文08989推免教育学院课程与教学论107185612202769哈燕34870.6270.06少干教育学院课程与教学论107185361004302樊淑珍28166.0960.65少干教育学院课程与教学论107185410204424朱晓敏32873.0268.94少干教育学院课程与教学论107185421404640刘晓艳33468.0267.35少干教育学院课程与教学论107185530404759李永素29966.1662.66少干教育学院课程与教学论107185620804861秦丽娜29964.4961.91少干教育学院教育史107185612202887吕芳35282.4775.83教育学院教育史107185142004143尚晓雪34289.477.85教育学院教育史107185370104308李君34189.8777.95教育学院比较教育学107185612202892毛歆34086.5376.34教育学院比较教育学107185612202894张小桢33684.875.12教育学院比较教育学107185612202898王燕子34580.474.13教育学院比较教育学107185211304200朱艺丹3368474.85教育学院比较教育学107185460404689薛丹34683.875.77教育学院比较教育学107185101080031杨洋09393推免教育学院比较教育学107185612202889马娇32985.874.8少干教育学院比较教育学107185531104769武星棋2548465.74少干教育学院比较教育学107185620104796韦杰程25574.1361.41少干教育学院学前教育学107185612202942刘夏鸽3568476.96教育学院学前教育学107185120403919余瑶35284.3376.67教育学院学前教育学107185131503987白兴圆3658678.85教育学院学前教育学107185140604032毛珺36586.3379教育学院学前教育学107185310604239张卓然35285.3377.12教育学院学前教育学107185340104259张扬36585.3378.55教育学院学前教育学107185410204425翟晓婷35485.6777.49教育学院学前教育学107185411604530曹巧利36385.6778.48教育学院学前教育学105115104430595王冲32576.3376.33教育学院学前教育学102695211701191于燕3257979教育学院学前教育学105745000001204胡梦蝶3248080教育学院学前教育学102005210100324苏航33181.6781.67教育学院学前教育学107185104750035吴冰冰08686推免教育学院学前教育学107185107360036陈纯菲08484推免教育学院学前教育学107185100750033王艳敏09696推免教育学院学前教育学107185104750034王柳09393推免教育学院学前教育学107185100750032秦赛08787推免教育学院学前教育学107185612202901张秦28472.3363.79少干教育学院学前教育学107185150104158哈日格纳29769.3363.87少干教育学院学前教育学107185152304180王丽杰2627160.77少干教育学院学前教育学107185220304206高凯歌2697261.99少干教育学院学前教育学107185421804645覃阿敏32272.6768.12少干教育学院学前教育学107185450804683李枳薛25769.3359.47少干教育学院学前教育学107185521104753韦秀英25667.3358.46少干教育学院高等教育学107185612203001刘中玲37285.579.4教育学院高等教育学107185612203017常静35381.5875.54教育学院高等教育学107185612203020张佳乐3518375.96教育学院高等教育学107185612203024陈雪3598577.74教育学院高等教育学107185120103909张小钰35881.8376.2教育学院高等教育学106985611102393韩思朦32785.8285.82教育学院高等教育学107185107300037罗娜09090推免教育学院高等教育学107185150404175青格勒2527360.57少干教育学院高等教育学107185450704680韦施婷2977164.62少干教育学院职业技术教育学107185370204326薛寒34987.6777.84教育学院职业技术教育学107185371404389王雷35188.9178.62教育学院职业技术教育学107185410504453任雪园34584.7676.09教育学院职业技术教育学107185450804681潘姿曲30878.4269.17少干教育学院职业技术教育学107185530404761王锦雁29969.8464.32少干教育学院特殊教育学107185130403955张萌33887.6776.63教育学院特殊教育学107185340604268王磊34785.3376.57教育学院特殊教育学107185350304283刘丝34487.3377.14教育学院特殊教育学107185141008940梁璇3518476.41教育学院特殊教育学107185350105085纳莹33488.6788.67教育学院少年儿童组织与思想意识教107185612203452周璐3318474.21教育学院少年儿童组织与思想意识教100555333305544孙志慧3258787教育学院少年儿童组织与思想意识教107185413104627李博文3228383教育学院少年儿童组织与思想意识教107185370104312谷旭辉3398585教育学院少年儿童组织与思想意识教107185612202802于泠泠3439090教育学院教育管理100555333304727吴娇35684.3384.33教育学院教育管理107185142009822赵小燕35085.6785.67教育学院教育管理107185612202697高敏莉37077.6777.67教育学院教育管理107185612201757林晓敏3489191教育学院教育管理107185612202169龚艳娇32686.6786.67教育学院现代教育技术107185612201641康欣欣34783.1775.6教育学院现代教育技术107185612201644王莉35376.473.21教育学院现代教育技术107185612201645白雪34284.3775.59教育学院现代教育技术107185612201647李纯35579.4374.79教育学院现代教育技术107185612201649王维娜34679.5373.85教育学院现代教育技术107185612201650胡晓密38679.378.15教育学院现代教育技术107185612201651武美丽39384.1781.11教育学院现代教育技术107185612201652卫青34886.2777.1教育学院现代教育技术107185612201653李丹32882.6373.26教育学院现代教育技术107185211309147张凤32078.270.39教育学院现代教育技术107185411609153陈雨37380.4377.22教育学院现代教育技术107185620209158张小辉33084.0374.11教育学院小学教育107185612201593吴婷35082.6775.7教育学院小学教育107185612201595祝琳36881.877.29教育学院小学教育107185612201596王葭萌34483.5375.43教育学院小学教育107185612201601孙旭滨39086.1381.66教育学院小学教育107185612201620王雅琪33583.7374.53教育学院小学教育107185612201623李维亚36884.0778.31教育学院小学教育107185350109119柳琳36484.6778.14教育学院小学教育107185370109121张凤至36280.0775.85教育学院小学教育107185370109122孙书珊34876.9372.9教育学院小学教育107185412209128杨雪3567572.91教育学院小学教育107185422409130齐明月37482.8778.43教育学院小学教育107185422409131周雨36285.678.34教育学院小学教育107185614309137许强37676.875.92教育学院小学教育107185612201926陈来英34080.8780.87教育学院小学教育107185612201828于慧35479.8779.87教育学院小学教育107185612202976张琪32877.2777.27教育学院小学教育107185140104003李晓32874.3374.33教育学院小学教育107185614304794苏琳茹3247575教育学院学前教育107185612202253杨子娟秀3638678.63教育学院学前教育107185612202264张海宇32884.3374.03教育学院学前教育107185612202274李帆帆32583.6773.4教育学院学前教育107185612202276田凤娟3537572.58教育学院学前教育107185612202279贾翠霞3278071.97教育学院学前教育107185140910014邢智智35182.3375.66教育学院学前教育107185141510017高亚男3608376.95教育学院学前教育107185210710018李曼曼34289.6777.97教育学院学前教育107185410310026宋红姣32482.3372.69教育学院学前教育107185412310028马煜34089.6777.75教育学院学前教育107185422410030杨洋33885.3375.58教育学院学前教育107185501410032谭越月34683.3375.56教育学院学前教育107185520110035沈思敏35581.3375.65教育学院学前教育107185620610041胡悦36289.6780.17教育学院学前教育107185140404023杨宏宁34484.3384.33教育学院教育经济与管理107185612203230王君妍39487.6782.79教育学院教育经济与管理107185612203232高源34780.5774.43教育学院教育经济与管理107185411706000周晓莹34683.1775.49教育学院教育经济与管理107185611506002张妍36482.6777.24教育学院教育经济与管理107185614306004王璇36476.1774.32教育学院教育经济与管理107185640106006魏平西3768780.51教育学院教育经济与管理104865116017557刘逸青33080.2280.22教育学院教育经济与管理107185107180038李莹09494推免教育学院教育技术学107185612201462李序佳32873.9769.37教育学院教育技术学107185130608766田佳33677.5371.85教育学院教育技术学107185140508770赵晓慧33171.368.5教育学院教育技术学107185140608771吴晨光32475.569.62教育学院教育技术学107185140908776郭敏敏37171.9373.18教育学院教育技术学107185140908778王美茹34374.6371.31教育学院教育技术学107185140908783裴培35174.5372.15教育学院教育技术学107185140908784师亚媛35276.473.1教育学院教育技术学107185140908790陈云杰34171.5369.7教育学院教育技术学107185220708801张美芬32773.9369.24教育学院教育技术学107185372508806张莎莎35768.8370.24教育学院教育技术学107185410508811赵雪飞32073.8368.42教育学院教育技术学107185422408822唐静萍32672.7568.6教育学院教育技术学107185650208837张小雪32078.7570.64教育学院教育技术学105745000005340关晶晶31588.188.1教育学院教育技术学103195620513331王凤歌31373.7873.78教育学院教育技术学102695211201034智飞飞30380.2280.22教育学院教育技术学107185106020042卢美杏092.592.5推免教育学院教育技术学107185104750041李楠090.7590.75推免教育学院教育技术学107185104450040房萌萌08383推免教育学院教育技术学107185107460039把玉琴085.585.5推免新闻与传播学院文艺与文化传播学107185612200628金昭羽36589.0880.24新闻与传播学院文艺与文化传播学103845212101005谢昕忻34777.7377.73新闻与传播学院文艺与文化传播学100135285240121刘榕35574.0774.07新闻与传播学院文艺与文化传播学107185612200764曹妮娜36174.874.8新闻与传播学院文艺与文化传播学107185106350045张皓月088.1788.17推免新闻与传播学院文艺与文化传播学107185106380044尹莉莲088.2588.25推免新闻与传播学院文艺与文化传播学107185107180043门倩君088.7588.75推免新闻与传播学院新闻学107185612200643李岩35272.4771.33新闻与传播学院新闻学107185612200647朱云35470.0570.46新闻与传播学院新闻学107185612200656应瑞奇35373.3371.83新闻与传播学院新闻学107185140806025苏伟娜34872.971.09新闻与传播学院新闻学107185211306041牛佳佳36775.4874.34新闻与传播学院新闻学102805210013108刘艺璇35283.683.6新闻与传播学院新闻学104865103012855陈颖34784.9384.93新闻与传播学院新闻学105585170104352杨鑫36485.885.8新闻与传播学院新闻学104865103002633苏清华34579.0779.07新闻与传播学院新闻学105585170104350郑珂35477.4777.47新闻与传播学院新闻学103845215007003储晓娟34675.3375.33新闻与传播学院新闻学107185107180046王思阳068.1668.16推免新闻与传播学院新闻学107185612200631潘严31372.8167.19少干新闻与传播学院新闻学107185371106053陈晓雯29771.6764.92少干新闻与传播学院传播学107185612200671尹丽萍35575.4873.02新闻与传播学院传播学107185612200673马瑞馥36280.8676.21新闻与传播学院传播学107185612200683张凤35972.7172.21新闻与传播学院传播学107185612200691王润溪35777.8674.31新闻与传播学院传播学107185140306017张雅婷3827575.77新闻与传播学院传播学107185140606019张瑾瑶37774.4874.99新闻与传播学院传播学107185141006029成云3517873.71新闻与传播学院传播学107185370806052万雨思34675.0571.83新闻与传播学院传播学107185410206057贾林迤36776.9575新闻与传播学院传播学107185620706114孙琪35477.4373.78新闻与传播学院传播学107185650106120张继民36076.0573.82新闻与传播学院传播学107185107360052牛婧娥079.8379.83推免新闻与传播学院传播学107185100650051孙倩08888推免新闻与传播学院传播学107185100750050杨伟09292推免新闻与传播学院传播学107185104760049蒋宇琪081.2581.25推免新闻与传播学院传播学107185107180048余靓豪081.9281.92推免新闻与传播学院传播学107185107180047杜丽洁087.9287.92推免新闻与传播学院新闻与传播107185612202307王明媚40274.678.01新闻与传播学院新闻与传播107185612202314王薇40287.3383.78。
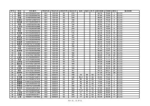
专业代码考生编号姓名政治外国语业务课1业务课2总分083300102985104100089朱逸涵00000 083300102985210000328凌晶晶655496126341 083300102985210000330柳操666487121338 083300102985210000332马潇岚696084119332 083300102985210000336任宇杰604390127320 083300102985210000337施迎娣606276127325 083300102985210000338史雅琪645082131327 083300102985210000342王一茜605479132325 083300102985210000347严加楠654898131342 083300102985210000353张艺725383129337 083300102985210000355朱慧珺645497115330 083300102985210000356朱宇恒695997132357 083300102985210001508张德浩575977133326 083300102985210001509康达西686285129344 083400102985102980090盛力00000 083400102985102980091黄蕊00000 083400102985102980092沈寒00000 083400102985102980093俞华婷00000 083400102985102980094陆诗澄00000 083400102985102980095朱楠00000 083400102985210000260曹波635494100311 083400102985210000262曹珊珊7068107110355 083400102985210000265崔婧67708488309 083400102985210000280李兆丰65519693305 083400102985210000288秦珏664010894308 083400102985210000301王馨悦604893107308 083400102985210000303王莹58669391308 083400102985210000307席梦涵66709697329 083400102985210000308肖月57579999312 083400102985210000313尹小萌666884114332 083400102985210000317张茜70668089305 083400102985210000321赵鹏蕾63589398312 083400102985210001529万执645410199318 083400102985210001534刘雯625679112309 083400102985210001557谢欢71599086306 083400102985210001562方雪雯616310092316 083400102985210001590邓冕66629394315 083400102985210001593卢思琪70768686318 083400102985210001601黎人萍74698092315 083400102985210001602毛清65698497315 083400102985210001603唐堇洢575577117306 090706102985210000004林丹6157119100337 090706102985210000012邢歆694312897337 090706102985210001632李文明5846138101343 090706102985210001635李婷婷5944124105332 090706102985210001636王金将654612395329090706102985210001639赵辉6754140110371 090706102985210001649丁文杰6360139106368 090706102985210001657王丽萍6663142119390 090706102985210001660张莹婷6051115128354 090706102985210001671曹钰664812986329 090706102985210001673王晰5449129102334 090706102985210001674俞芳606011298330 090706102985210001682汪佳晴6544134108351 090706102985210001684何岭6539126104334 090706102985210001689郑福超5749121112339 090706102985210001692余义亮6268121110361 090706102985210001694肖丽燕6639125103333 090706102985210001695贾有伟5862126112358 090706102985210001702张冲664413194335 090706102985210001703柏小娟6751141118377 090706102985210001706杜文凯6450127105346 090706102985210001715朱磊6759138130394 090706102985210001716胡涛665112098335 090706102985210001724张景雯5961115118353 090706102985210001728邓晓慧5753120100330 095300102985210000027蔡安哲6262108110342 095300102985210000035陈慧627111393339 095300102985210000036陈静宜606294104320 095300102985210000039陈阳716985105330 095300102985210000041陈章艺6979110109367 095300102985210000046崔程鑫627481118335 095300102985210000050戴雯65799694334 095300102985210000052董祎587310398332 095300102985210000053范之然636311397336 095300102985210000056高琪656210994330 095300102985210000059葛伊濮686810589330 095300102985210000062顾晗65659997326 095300102985210000068韩轶群748211894368 095300102985210000070何典雅6655109102332 095300102985210000074黄帆676610387323 095300102985210000075黄海红677110398339 095300102985210000077黄乐雨596810297326 095300102985210000081蒋旭晟63579798315 095300102985210000082靳丹丹676711285331 095300102985210000085李柯747710695352 095300102985210000086李文菁68798991327 095300102985210000090李颖6361109100333 095300102985210000091李媛64609894316 095300102985210000098刘香涛698110071321 095300102985210000100刘轩5666114102338 095300102985210000108毛宏慧67708791315 095300102985210000113倪蕊616285109317095300102985210000123任雪雪64649795320 095300102985210000124任懿璐647010296332 095300102985210000126沈家瑜66748996325 095300102985210000135帅宁宁68689694326 095300102985210000138苏受婷67758793322 095300102985210000139苏雯5152110106319 095300102985210000140孙道远696911090338 095300102985210000148唐涛687610897349 095300102985210000151陶孝午637181100315 095300102985210000160王德州59799490322 095300102985210000161王飞697295113349 095300102985210000163王寒冰687510398344 095300102985210000167王楠楠68868395332 095300102985210000171王莹627010394329 095300102985210000173王悦69719987326 095300102985210000175王志康637110183318 095300102985210000186吴恬叶637610987335 095300102985210000187吴云霞66759288321 095300102985210000189项康妮6039100119318 095300102985210000190肖逸635697115331 095300102985210000191徐奥林6560117103345 095300102985210000196徐爽68729598333 095300102985210000205严婧钰666210699333 095300102985210000208燕俊儒6367103111344 095300102985210000216尧鸿飞6960102105336 095300102985210000236张煦晗6070115119364 095300102985210000242章乐雅636790109329 095300102985210000246赵宇宸5960105111335 095300102985210000253朱唤鹏75838292332 095300102985210000255朱诗影645210894318 095300102985210000258庄琳58729793320 095300102985210001739李雪雪62649794317 095300102985210001740李阳61629898319 095300102985210001781卢冠廷70679989325 095300102985210001785王立657011287334 095300102985210001787王婷6281105103351 095300102985210001789吴晨飞64709390317 095300102985210001796周帆667110488329 095300102985210001808蒋玲玉65729187315 095300102985210001810浦思慧60799889326 095300102985210001845程雪62779198328 095300102985210001872宋宇萌5963102111335 095300102985210001890孙小力676911591342 095300102985210001900王美臣66789898340 095300102985210001901王新玉707010678324 095300102985210001906穆慧琴69709689324 095300102985210001907桑盛昊654511399322095300102985210001908谭灵芝6058109107334 095300102985210001909王丹丹687095105338 095300102985210001910张岑岑67639590315 095300102985210001916侯嘉雪648011294350 095300102985210001919李明月676911196343 095300102985210001921刘莹646010390317 095300102985210001929王佳丽70709798335 095300102985210001940仇添一68789678320 095300102985210001947贾丹627810084324 095300102985210001952匡文慧637510584327 095300102985210001964陈卓626691102321 095300102985210001986何海霞65788689318 071005102985210010400陆一鸣5941102100302 071005102985210010401伍洋634313087323 071005102985210010402张晨君7043115108336 071005102985210010422刘鹏6166132108367 071005102985210010423钱子俊5950133116358 071005102985210010425王震5847103101309 071005102985210010426吴广兴533691102282 071005102985210010428奚晓桐5962117109347 071005102985210011993方珞5158110101320 071005102985210011994崔家旺624890107307 071005102985210011996李欢5947129123358 071005102985210011997王文秀6450101104319 071005102985210011998杨济云6645126128365 071005102985210012001张梦阳656399113340 071007102985210010403董艺妮636788102320 071007102985210012002华慧6154106103324 071007102985210012003朱腾飞575110999316 071009102985210012005李杰玉55419589280 090701102985102980108陆凤娟00000 090701102985107330109陈佩珍00000 090701102985210012006任越593458113264 090701102985210012008王曦52477484257 090701102985210012009吴吉妍50626989270 090701102985210012010吴晓刚57508491282 090701102985210012011廖素婵583973104274 090701102985210012013郑秀化59539691299 090701102985210012014孙聪睿6640120114340 090701102985210012015司卫杰643990102295 090701102985210012019刘仔鹏61367392262 090702102985101290110张丹丹00000 090702102985210010412李丹614793116317 090702102985210010414陶慧颖55556093263 090702102985210010415王孝君665874129327 090702102985210010420倪云705566100291 090702102985210012022姜文龙6248104114328090702102985210012023张贾宇676073106306 090702102985210012024陈文静574176109283 090702102985210012025冯宇64536598280 090702102985210012026储吴樾623459102257 090702102985210012027花彤彤615810691316 090702102985210012028邓秋菊62678593307 090702102985210012029朱佳60578194292 090702102985210012031叶楠686464116312 090703102985102980111严晓茹00000 090703102985102980112赵群00000 090703102985102980113王翕韫00000 090703102985210010358刘红斌576369142331 090703102985210010359吴俊荣545267110283 090703102985210010360吴苗苗626690140358 090703102985210010361徐艳554465113277 090703102985210010362严鹏615975117312 090703102985210010417徐立军58387387256 090703102985210012035陈昌宇5944116103322 090703102985210012036姚小东60348582261 090703102985210012037朱明龙60549082286 090703102985210012038范常吉61408569255 090703102985210012039陆蓝翔635189112315 090703102985210012041王晓东565163101271 090703102985210012043黄奕力614253121277 090704102985210010392荣媛5650127101334 090704102985210010394陈倩595410287302 090704102985210010396孙昕63629475294 090704102985210010398吴辰辰56689298314 090704102985210010399张峥男5850124125357 090704102985210012044孙敏566510992322 090704102985210012047刘雪惠594011380292 090704102985210012048高晓倩665787108318 090707102985102980115周姣00000 090707102985104100114胡菲00000 090707102985104340116刘璇00000 090707102985210010430曹鑫运514560106262 090707102985210010431成举荣625387115317 090707102985210010433董雨桐544953117273 090707102985210010434傅致远524493118307 090707102985210010435贾赵辉595086102297 090707102985210010436江颖6464101132361 090707102985210010437姜爱国644982122317 090707102985210010439李维扬584176101276 090707102985210010440马妮686284124338 090707102985210010441马荣木674474108293 090707102985210010443沈希奇56466098260 090707102985210010444王淑媛62617684283090707102985210010445王舒甜635187139340 090707102985210010446王益明647197126358 090707102985210010448谢超逸594869116292 090707102985210010450张鑫654675130316 090707102985210010451张阳6551104133353 090707102985210010452赵雪545157105267 090707102985210010453赵友朋6550101128344 090707102985210010454朱燕芳605090115315 090707102985210012051王珊544168108271 090707102985210012053冯渊圆585771120306 090707102985210012054赵婷婷57448479264 090707102985210012056郝亚群605256109277 090707102985210012058许强5641102103302 090707102985210012059杨丹5651122115344 090707102985210012060王霞564397117313 090707102985210012061张雪丽574980118304 095400102985107330117梁小刚00000 095400102985210010364方正58508695289 095400102985210010365冯林逸60507391274 095400102985210010368侯怡莹49687068255 095400102985210010369胡雪垠626297141362 095400102985210010370蒋鹏555670109290 095400102985210010371刘恋485457105264 095400102985210010373陆越48696699282 095400102985210010375任昱璇535178111293 095400102985210010376商婧6645100133344 095400102985210010377沈丹55646194274 095400102985210010378沈星诚6466103129362 095400102985210010382王希616285126334 095400102985210010383吴秋艳6458113108343 095400102985210010384夏禹646893121346 095400102985210010385越佳51536592261 095400102985210010388张婷婷7163107121362 095400102985210010389张雅616997107334 095400102985210010390赵梦婷6178128131398 095400102985210010391周婷婷585084111303 095400102985210012063侯红丽6049108113330 095400102985210012064丁智红6856103130357 095400102985210012065徐宁59546399275 095400102985210012066苏彦君6067109119355 095400102985210012067武启飞5758106129350 095400102985210012068孙豪志616095113329 095400102985210012069王玲6264101114341 095400102985210012071耿晓丹57579378285 080503102985210020456曹丹596675115315 080503102985210020457袁健595996129343 080503102985210020458郁凯玲6451134139388080503102985210022075杨志伟624181119303 081702102985102980040刘壮壮00000 081702102985102980041陈君00000 081702102985210020482郭欣634673118300 081702102985210020485李萍686091127346 081702102985210020486邵冲5849139126372 081702102985210020490杨剑6554112135366 081702102985210020492张涛574670121294 081703102985102980042夏美娟00000 081703102985102980043吴衡00000 081703102985102980044麻艺聪00000 081703102985102980045沈怡00000 081703102985210020465唐硕635485129331 081703102985210020466王磊6361117125366 081703102985210020467王蓉6059115127361 081703102985210020468吴涛655381116315 081703102985210020469武新星646059113296 081703102985210020471张一瞳6341100122326 082903102985210020495陈莉晶565494108312 082903102985210022084何凌霄6949104115337 0829Z2102985102980082杨涛00000 085216102985102980099王秦岭00000 085238102985210020474罗京655967129320 085238102985210020475师林丽555670105286 085238102985210020479张丽君617659126322 080201102985102980014代祥00000 080201102985210030503肖静625993130344 080202102985102980015徐海燕00000 080202102985102980016朱芸芸00000 080202102985210030507谷仲敏514182122296 080202102985210030508徐振亚566389113321 080202102985210032089赵乾636658113300 080203102985102980017易善南00000 080203102985102980018严彦00000 080203102985102980019段衍筠00000 080203102985102980020徐亚辉00000 080203102985210030512王滔565066118290 080203102985210032090麻亚飞684979131327 080204102985210030516梅永存614277113293 081101102985102980031汪学良00000 081102102985210030565崔亚飞625897143360 081102102985210030567朱言付635680122321 085201102985210030518董鹤6162102114339 085201102985210030519高飞556562115297 085201102985210030523吉祥614358123285 085201102985210030528陆涛605492106312 085201102985210030529孟伸6155131123370085201102985210030533孙珍珍607182107320 085201102985210030536徐栋573881113289 085201102985210030537颜钟爱61668999315 085201102985210030538于炅5857123109347 085201102985210030539俞建文6358103120344 085201102985210030540张展耀585770101286 085201102985210030541赵特636276134335 085201102985210030545朱泽森644884102298 085201102985210030558孙伟5874104125361 085201102985210032095李想6347108109327 085201102985210032096吴超6260100128350 085210102985210030568卜倩586061117296 085210102985210030570郭青宇645978112313 085210102985210030571蒋良辉606796122345 085210102985210030577申振546161110286 085210102985210030578吴哲594763115284 085210102985210030580杨若凡596710999334 085210102985210030582张海龙606272117311 085210102985210030585周翔566195139351 085210102985210030587庄鹏664682122316 085210102985210032102孙威振595581132327 080502102985102980025莫梦敏00000 080502102985102980026蒋帅南00000 080502102985102980027刘胜男00000 080502102985102980028马潇潇00000 080502102985102980029何倩00000 080502102985210040589曹佳伟495082118299 080502102985210040592黄帅宇575278132319 080502102985210040596王炜强566092139347 080502102985210040648葛潘碧云614966142318 080502102985210040649潘媛媛685692143359 080502102985210040650杨玉婷6244104143353 080502102985210040651张未696281148360 080502102985210040653周欢655266135318 080502102985210042106江向东6855100143366 080502102985210042107刘婷675462132315 082902102985102250063刘芯彤00000 082902102985102980065单舒雅00000 082902102985102980066徐舒00000 082902102985102980067朱续娜00000 082902102985102980068王韵璐00000 082902102985102980069吴一飞00000 082902102985102980070张娅梅00000 082902102985102980071朱萍00000 082902102985102980072赵国敏00000 082902102985106260064张志威00000 082902102985107120073李江伟00000082902102985210040598刘沙沙584665124293 082902102985210040602曹瑜675169130317 082902102985210040603陈玲595357138307 082902102985210040605丁婷婷554597125322 082902102985210040606顾忠基6662101123352 082902102985210040609黄慧玲664559123293 082902102985210040615李伟杰705058108286 082902102985210040616李子成685791117333 082902102985210040617廖倩585499126337 082902102985210040618尚子剑5947103111320 082902102985210040619史书凯665792128343 082902102985210040623姚远575682114309 082902102985210040626周凡丁635759111290 082902102985210040627朱兆龙614969105284 082902102985210040656滕启城6954102117342 082902102985210042109王慧祥656278121326 082902102985210042110刘源松694584123321 082902102985210042114刘双4939109116313 082902102985210042117刘波654484125318 082902102985210042118刘海冲744888131341 0829Z3102985102980083王惠芸00000 0829Z3102985102980084丁翼00000 0829Z3102985102980085徐煜智00000 0829Z3102985210040628林雨斌645573121313 0829Z3102985210042124李中原7145107106329 085204102985210040630樊世坤636077103303 085204102985210040631李帅6472115130381 085204102985210040632生嘉诚58638497302 085204102985210040635周颖546384116317 085204102985210040654吕志娟536483138338 085204102985210042125杨冬慧576260113292 085228102985210040636鲍雅倩635191117322 085228102985210040637李康674664114291 085228102985210040638马茜茜525966110287 085228102985210040640王长菊566084127327 085228102985210040644钟伟5860115120353 085240102985102980107季银连00000 085240102985210050660曹荣刚635274136325 085240102985210050662金智翔636677136342 085240102985210050663齐雪娇666688101321 085240102985210050664钱绘竹615187135334 085240102985210050666王海涛655989102315 085240102985210050667王苗苗5670100115341 085240102985210050669徐迪6073113131377 085240102985210050671杨海585986104307 085240102985210052128蒋明月556593137350 085240102985210052129姚梦圆575961118295085240102985210052131桑超626177128328 120100102985102980118刘依依00000 120100102985102980119徐娜00000 120100102985102980120于悦00000 120100102985210050701杨丽颖6754100133354 120100102985210052132冒袁媛5253123129357 120202102985102980121宓春秀00000 120202102985102980122黄夏00000 120202102985102980123吴凌云00000 120202102985102980124王经纬00000 120202102985210050684王帅7156125138390 120202102985210050688徐添懿555799125336 120202102985210050691虞丹琪5957124126366 120202102985210052141张鑫鑫664697133342 120202102985210052142曹秀6056100130346 120300102985102980125肖颗星00000 120300102985102980126袁恬00000 120300102985102980127徐静文00000 120300102985102980128李蓓00000 120300102985102980129陈莉平00000 120300102985210050698戴迎春5967132131389 125100102985250051393陈晓寒1136400177 125100102985250051394陈喆1107100181 125100102985250051398方泓龙1115200163 125100102985250051402葛文倩1216600187 125100102985250051408华涓1025900161 125100102985250051412李佳927100163 125100102985250051417李文志1334000173 125100102985250051419凌萍1047400178 125100102985250051424裴晶1194600165 125100102985250051433司斌1244500169 125100102985250051443王芳987200170 125100102985250051447王婷848200166 125100102985250051459颜雪皎1176100178 125100102985250051467章静雅1006800168 125100102985250051476朱雷1175700174 125100102985250051479朱砚文1216100182 081401102985102980033彭邦阳00000 081401102985102980034吴繁00000 081401102985103600032夏文静00000 081402102985102980035陈健00000 081402102985210060836刘荣654911092316 081402102985210060837邱振宇69677471281 081402102985210060840杨蕾57619090298 081403102985102980036尹申申00000 081403102985102980037谢婷玉00000 081406102985102980038张希00000081406102985210060820杨超群695293133347 0814Z1102985102980039高业何敏00000 082301102985102980054周晓栋00000 082301102985102980055崔宇超00000 082301102985210060706基敏雪5955103136353 082301102985210060707卢政624499139344 082301102985210060708沈东亚625089145346 082301102985210060711汪洋555287122316 082301102985210060712王蓓624862117289 082301102985210060713王序624294130328 082301102985210060714朱德华6865111138382 082301102985210060822刘健鹏6460120139383 082901102985210060715陈佳656892137362 082901102985210060716陈林强655170135321 082901102985210060718高胜媛696393131356 082901102985210060720祁皎6355103134355 082901102985210062156林涛涛634271129305 082901102985210062157刘德贺604972125306 085213102985102980098王涵00000 085213102985210060721鲍志远6052123139374 085213102985210060723陈飞扬5553107128343 085213102985210060724陈枫615975129324 085213102985210060725陈富良625787117323 085213102985210060730陈伟636885137353 085213102985210060731陈颖546992133348 085213102985210060733戴硕657379108325 085213102985210060735高翔586492139353 085213102985210060738杭晨6374122141400 085213102985210060739黄盖华5661111128356 085213102985210060740黄小溪6779127139412 085213102985210060741蒋火俊525571124302 085213102985210060742金晶644981129323 085213102985210060743金丽焱6776115127385 085213102985210060748李宁6069122138389 085213102985210060750李烁556478108305 085213102985210060752李志远545683127320 085213102985210060753梁长哲637283137355 085213102985210060754林国韩5440114139347 085213102985210060755刘茜666578138347 085213102985210060756刘艳萍647580120339 085213102985210060760孟庆贺5753105124339 085213102985210060761潘荣凯6359117144383 085213102985210060764钱瑞535880118309 085213102985210060770王帆7175134112392 085213102985210060772王涛6666108134374 085213102985210060774魏腾飞584172131302 085213102985210060775魏尧健486395116322085213102985210060776吴旻其687695136375 085213102985210060777吴伟6352115142372 085213102985210060778吴燕平605961125305 085213102985210060779徐东656795125352 085213102985210060781徐士杰566989140354 085213102985210060784宣翔616282136341 085213102985210060786颜世昌636274143342 085213102985210060787杨晨665773137333 085213102985210060788杨庚国5973119140391 085213102985210060790尹骞645466125309 085213102985210060792臧祺6064107138369 085213102985210060794张金星676194139361 085213102985210060795张凌飞7175114141401 085213102985210060796张鸣昊6660123135384 085213102985210060797张佩明645559134312 085213102985210060798张秋666285143356 085213102985210060799张旭655786137345 085213102985210060805周北羽557994109337 085213102985210060806周培606968135332 085213102985210060809周逸飞525563132302 085213102985210060810朱纬煦564281126305 085213102985210060811诸鹄翔6774100130371 085213102985210060826金其乐626990124345 085213102985210060828李昱良616066127314 085213102985210060831赵方舟617295129357 085213102985210062158范瑞雪606595143363 085213102985210062159杜展展684484140336 085213102985210062160唐晨涛5960100123342 085213102985210062163郭建祥6272112134380 085213102985210062164秦骞5964108139370 085213102985210062165彭东林625795137351 085213102985210062167陈希636973126331 085213102985210062174涂祥575964124304 085213102985210062176闫晓韧535173123300 085213102985210062179颜丙辉614587121314 085213102985210062183寇伟6561100137363 085213102985210062186聂元欣6466110123363 085213102985210062187叶辉7068117131386 085213102985210062190张丽云584784118307 125600102985250061488李宗璞1214500166 125600102985250061491阮小涛1265800184 125600102985250061501杨文曙1284100169 010106102985210070872李冬娴6262138125387 010106102985210070874张瑜5853125112348 010106102985210072193郝玲484811476286 050103102985210070851金纹漪6158136127382 050103102985210070852李璐瑶6661141145413050103102985210070853刘凡6559143143410 050103102985210070854沈雪和6362142138405 050103102985210070856杨筱婉5954122139374 095111102985210070859曹希敏7673130131410 095111102985210070860陈建宏613511998313 095111102985210070861陈晓蕾6451133120368 095111102985210070862陈亚飞513912093303 095111102985210070863仇志敏5459123121357 095111102985210070864崔茜茜5862110102332 095111102985210070865丁加琪585011791316 095111102985210070866范练练6167128113369 095111102985210070867方梦荧5976134109378 095111102985210070868付轩熠634511592315 095111102985210070869李子祥6949122124364 095111102985210070870吴文一6562128111366 095111102985210070871岳灵芝6057133130380 095111102985210072197王纪峰6641119115341 095111102985210072198帅梦琪5957129135380 095111102985210072199董鲁楠6139124104328 095111102985210072200高蒙6240124110336 135105102985102980141王雪薇00000 077503102985102980010覃欣怡00000 077503102985102980011冯哲00000 077503102985102980012张志华00000 077503102985210080934马旭574956119281 077503102985210080936渠堰墅655664125310 077503102985210080939王宇阳595367108287 077503102985210080943朱文564868107279 080401102985210080886花添雨676110398329 080401102985210080887芦瑶仙655858103284 080402102985102980021朱璇00000 080402102985102980022庄宇00000 080402102985102980023董简然00000 081101102985102980030戴蕾00000 081101102985210080916钱博伦60566898282 081101102985210080925周尧675971100297 085203102985102980096王盈懿00000 085203102985102980097董彦杉00000 085203102985210080894方易6063106137366 085203102985210080901吕凯5552133119359 085203102985210080903倪正奇6876101126371 085203102985210080904邱骏69618793310 085203102985210080908孙伟63648195303 085203102985210080911于涛6449130135378 085203102985210080913赵冉60657192288 085203102985210080920李荣耀624395118318 085203102985210080923张清576610196320085203102985210080924赵留柱594079107285 085203102985210082205王青636897104332 130500102985102980130师晔兰00000 130500102985102980131靳晓佳00000 130500102985102980132冯雅00000 130500102985102980133赵铖00000 130500102985102980134王亚杰00000 130500102985102980135赵莎莎00000 130500102985102980136周玲00000 130500102985102980137王慕然00000 130500102985102980138金梦玲00000 130500102985102980139辛玥00000 130500102985102980140周子惠00000 135108102985102980142孙雨00000 135108102985102980143任雪莲00000 135108102985102980144赵艺婷00000 135108102985102980145万奕00000 135108102985102980146曲鑫鑫00000 135108102985102980147黄珏00000 135108102985102980148吴曌00000 135108102985102980149曾令仪00000 135108102985102980150苗田00000 135108102985104260151王子琪00000 135108102985210090984陈晨666686122340 135108102985210091001焦红运756886108337 135108102985210091009刘澈626184120327 135108102985210091041王钟灵634899120330 135108102985210091055张蕾646183123331 135108102985210091056张馨文726274125333 135108102985210091087陈丽坤716986115341 135108102985210091095华亦雯616592133351 135108102985210091097李静雅6268117132379 135108102985210091103裘知625597134348 135108102985210091114熊嘉妮6261102129354 135108102985210091119要琪626481134341 135108102985210091130何颖604484140328 135108102985210091135施沛616491129345 135108102985210091136王焱676782120336 135108102985210091140俞晓宇625277135326 135108102985210092290郑晓榄565597132340 0829Z1102985100860078于书贤00000 0829Z1102985100860080尹丹青00000 0829Z1102985102980074王蒙蒙00000 0829Z1102985102980075杨洁00000 0829Z1102985102980076苏婷婷00000 0829Z1102985102980077张雪颖00000 0829Z1102985103640079鄢苏红000000829Z1102985106260081李琼00000 0829Z1102985210101144朱婧696113895363 0829Z1102985210101153张聪6062128122372 0829Z1102985210101155陈琳6060138101359 0829Z1102985210101158金健博6054140113367 0829Z1102985210101161凌璐璐6750140106363 0829Z1102985210101165田泽强5545134117351 0829Z1102985210101169张烁培6956122121368 0829Z1102985210101171祝雅园6764150108389 0829Z1102985210102297付伟莲6869100128365 0829Z1102985210102300崔忠文6566105118354 0829Z1102985210102313徐兵6248137119366 0829Z1102985210102317胡晓虹6464118113359 0829Z1102985210102321陈云云6651130118365 0829Z1102985210102323杜永川6742119127355 0829Z1102985210102327凌晨6367127101358 0829Z1102985210102328卫丹妹5757125114353 0829Z1102985210102330郭婧6662112111351 0829Z1102985210102338王丽娜7256111134373 085237102985102980105杨叶00000 085237102985102980106付小曼00000 085237102985210101145陈翔5772134128391 085237102985210101146黄海燕6269108125364 085237102985210101147翦哲5346126118343 085237102985210101149谈梅霞557593103326 085237102985210101150张云婷685872116314 085237102985210101173丁菲616197131350 085237102985210101174方芳6680125123394 085237102985210101175顾丹丹5454125118351 085237102985210101176李奇7062130131393 085237102985210101177刘蕊5757100102316 085237102985210101178鲁秋红6169147111388 085237102985210101179吕卓慧58628195296 085237102985210101181穆娟娟6871137108384 085237102985210101182倪颖6873122134397 085237102985210101183钱文婷5962132114367 085237102985210101184汤敏5968139120386 085237102985210101186王瑞博6461122110357 085237102985210101187王小凡6175148110394 085237102985210101189薛婷646795115341 085237102985210101191张静6073118122373 085237102985210101194张宗梅597087113329 085237102985210101195朱文凯5964100125348 085237102985210102353鲍海明6261103109335 085237102985210102354常小龙5865122114359 085237102985210102355李敏635813595351 085237102985210102357史亚萍647385103325085237102985210102360胡宏明6470135126395 085237102985210102361吴鲁敬6769116123375 085237102985210102362杨琳慧5865131119373 085237102985210102364杨为艳6766129126388 085237102985210102365吴梦真7262100119353 085237102985210102367刘涛5545111125336 085237102985210102368曾嘉豪5767133132389 085237102985210102369刘娜5940140108347 085237102985210102370肖畅616079119319 085237102985210102371刘霞6367125110365 085237102985210102373冯力6453125127369 085237102985210102378曹坤丽545712593329 085237102985210102379郑军5672134110372 085237102985210102382王承飞6458104113339 082201102985102980046李金苗00000 082201102985102980047姜波00000 082201102985102980048蔡慧00000 082201102985102980049高庆春00000 082201102985102980050韩寅00000 082201102985102980051奚建锋00000 082201102985102980052莫卫林00000 082201102985210111200曹婷月6055111135361 082201102985210111205李建656063102290 082201102985210111207王珊慧5756113146372 082201102985210111210俞智怀5864107137366 082201102985210111214杨伟胜665775137335 082201102985210111221陈宇杰674395139344 082201102985210111222汪瑶6754107141369 082201102985210111224徐亮644398126331 082201102985210111225杨浩6943114125351 082201102985210111226殷文志6255132111360 082201102985210112384刘翠翠70508094294 082203102985102980053刘书晶00000 082203102985210111215徐云巧565367127303 082203102985210111217李佟565891121326 085221102985210111197高晴华656693129353 085221102985210111198洪笑7170118137396 085221102985210111199杨熙615489139343 085221102985210111212颜明6458106135363 085221102985210111213姚华537196132352 082303102985102980056丁继强00000 082303102985102980057仲旭刚00000 082303102985210121248丁丽瑾607295119346 082303102985210121254孙财进6461110126361 082303102985210121255王冠森626592110329 082303102985210121256张永康644659127296 082303102985210122392毛辰596192133345082303102985210122394冯辉665062133311 082303102985210122395洪涛554691133325 082304102985102980058石静00000 082304102985102980059王青云00000 082304102985102980060张新00000 082304102985102980061朱书林00000 082304102985102980062陈兴林00000 082304102985210121228李智宏646394109330 082304102985210121229缪伟志635774103297 082304102985210121230肖峰706863123324 085222102985102980100刘柯利00000 085222102985102980101施丽莎00000 085222102985102980102张磊00000 085222102985102980103杨柳00000 085222102985210121234冯文茜57708392302 085222102985210121236胡晨637210295332 085222102985210121237孔静667469118327 085222102985210121239万培懿606510189315 085222102985210121240汪长林656184101311 085222102985210121245张甜甜625959101281 085222102985210121246朱伟庆6054109114337 085222102985210121258陈珊珊586072122312 085222102985210121259李京鑫59698495307 085222102985210121264张云604894121323 085222102985210122400周煜66568582289 085222102985210122404吴仁章615867138324 085222102985210122406许宝娣576284127330 085222102985210122407陈静5462122128366 080501102985102980024王翠娜00000 080501102985210131265陈进585079120307 080501102985210131271沈兴超6044123140367 080501102985210131273孙莉534873119293 080501102985210131274万元俊65498799300 080501102985210131279薛灿675595144361 080501102985210131280易佳成574269119287 080501102985210131281张琪564861116281 010101102985210141308孙潇怿6171117114363 010101102985210141309徐利梅6251127122362 010105102985102980001刘雯雯00000 010105102985210141283陈明媛6755138131391 010105102985210141284郭佳婧5958141130388 010105102985210141285梁艳丽6164126116367 010105102985210141286刘晶6454138113369 010105102985210141288吴晓雪6057130134381 010105102985210141289辛恋念5446120120340 010105102985210141290张燕玲5453122106335 010105102985210141291赵一秀5458129115356。
姓名考生编号录取学院名称录取专业代码录取专业名称政治外语业务一业务二总分笔试成绩面试成绩备注罗碑云107365107360160文学院050101文艺学0000000推免生李睿107305021804950文学院050101文艺学71511181263668387潘建平116465210001107文学院050101文艺学60501391303797984苏晓菲104465700000210文学院050101文艺学57511301363747780韩晓敏104865111016243文学院050101文艺学65551141083427492谭安丽107305021809405文学院050101文艺学69511371173747069王静姝100285321700005文学院050101文艺学50611131303546389肖广荣101405009005098文学院050101文艺学63511151163457279聂玉伟100325050102071文学院050102语言学及应用语言学69511241283729688吴旭明101655000001039文学院050102语言学及应用语言学66511441323938185张捷107365620902280文学院050102语言学及应用语言学77571221363926886孙若峰100325050103016文学院050102语言学及应用语言学6259125963428689赵雅兰106105050100832文学院050102语言学及应用语言学61511261213598677申文芳105115108444287文学院050102语言学及应用语言学69581091153517784李妮娜106105050100870文学院050102语言学及应用语言学53621191093437281刘媛媛105425620403810文学院050102语言学及应用语言学61601151073436973曹才让吉107365620902275文学院050102语言学及应用语言学61391071223297380少数民族骨干计划董姝君107365107360170文学院050103汉语言文字学0000000推免生吕仕珍107365620902301文学院050103汉语言文字学80601201273878984巩雯雯107365620902284文学院050103汉语言文字学70611331213857885柴娟107365620902304文学院050103汉语言文字学66511251193618587刘晓苗103195620613342文学院050103汉语言文字学68521151073429087莫昱鼎107365620902296文学院050103汉语言文字学67491351193707383游璐107305021804805文学院050103汉语言文字学67571131043418391汪妩妩107305021804829文学院050103汉语言文字学68551171103508282张任楠107185620607370文学院050103汉语言文字学63631101033398180文姝茸107195161430176文学院050103汉语言文字学614912911935860802015年西北师范大学硕士研究生拟录取名单公示(第一批)马富罡101655000001105文学院050104中国古典文献学60501231403738384吴长城104865111016138文学院050104中国古典文献学67501261353786488苏鹏飞106975141035759文学院050104中国古典文献学69491161173518784叶林玲117995*********文学院050104中国古典文献学64511281383816282丁睿107305021804843文学院050104中国古典文献学69521251193656885聂凤栖106975141176025文学院050104中国古典文献学69561021153428088曹智慧107305021804867文学院050104中国古典文献学65491251223616684巫颀107185612200871文学院050104中国古典文献学68531081093387287张洋100285370700017文学院050104中国古典文献学59511231093427287兰蓓蓓106105050100375文学院050104中国古典文献学66521161063407086卢亚斐107365107360165文学院050105中国古代文学0000000推免生熊秀蓉107365107360164文学院050105中国古代文学0000000推免生郭媛107365107360163文学院050105中国古代文学0000000推免生朱亚妮107365107360161文学院050105中国古代文学0000000推免生刘艳祖107365620902435文学院050105中国古代文学72551391283949182查秀芳107365620902351文学院050105中国古代文学68611381364037985王娟107365620902371文学院050105中国古代文学67531321343869084张亚南101655000001164文学院050105中国古代文学72511281303818986冯婷107365620902416文学院050105中国古代文学68641351183857987刘阳杰107365620902352文学院050105中国古代文学65521341263779384杜冰丹107365620902354文学院050105中国古代文学77541261333907784马彦峰106135050100029文学院050105中国古代文学70511281383878185杨婷107365620902401文学院050105中国古代文学71491381253839079保珊107365620902335文学院050105中国古代文学68591351173799078闫凤107365620902348文学院050105中国古代文学71541321233807989陈凡107365620902328文学院050105中国古代文学63571351343898082高变变107365620902322文学院050105中国古代文学69531221223669482祖晶晶107365620902337文学院050105中国古代文学73581301183797289洪橙103195341008347文学院050105中国古代文学71561171273718484严丽丽107365620902432文学院050105中国古代文学67521271093558689王艳107365620902388文学院050105中国古代文学60521311203638684甘文博107365620902396文学院050105中国古代文学67571091053389687邢馨元107365620902376文学院050105中国古代文学7363120933498976任明107365620902370文学院050105中国古代文学6456133973508584李蓉107365620902403文学院050105中国古代文学61541321013488686范茹艳107365620902323文学院050105中国古代文学65521271173617679姬芮芮107365620902360文学院050105中国古代文学66491281113547776邴琴107365620902359文学院050105中国古代文学61521231073436888唐奇琪107365620902349文学院050105中国古代文学6749127953387088李阁107365620902321文学院050105中国古代文学59521241163516677马路路107365620902407文学院050105中国古代文学59501171093356686丁瑞昌107365620902373文学院050105中国古代文学6321118872898878少数民族骨干计划常蓉107365106020169文学院050106中国现当代文学0000000推免生冯玲萍107365107360167文学院050106中国现当代文学0000000推免生陈蕾107365107360166文学院050106中国现当代文学0000000推免生崔克君107365107360162文学院050106中国现当代文学0000000推免生何金曼107365107360168文学院050106中国现当代文学0000000支教团推免生孙娜娜107365620902486文学院050106中国现当代文学74541361263908283王雅楠102695210107109文学院050106中国现当代文学65511271123559386刘玉瑄107365620902455文学院050106中国现当代文学68531311273797481李向芮100325050106046文学院050106中国现当代文学60551321273747982杨晓君105425371403544文学院050106中国现当代文学70501191213608583严婧靓107305021804939文学院050106中国现当代文学65531101303588580袁茂林106975161161043文学院050106中国现当代文学7355118973438587缪玲107365620902458文学院050106中国现当代文学69511231143578678史亚红107185620907390文学院050106中国现当代文学6955126923428781谢力111175*********文学院050106中国现当代文学57551211233567883郭小舟107365620902514文学院050106中国现当代文学62571311053557680许文勤107365620902471文学院050106中国现当代文学63521291253696277罗雷雷107365620902466文学院050106中国现当代文学57551291113526580汪可欣107365620902504文学院050106中国现当代文学68581221053536075张婷107365620902502文学院050106中国现当代文学66571061103396084曹茜107365620902484文学院050106中国现当代文学6442113903097580少数民族骨干计划央宗107365620902498文学院050106中国现当代文学5539102822786077少数民族骨干计划杨佩珍107365620902521文学院050108比较文学与世界文学68591281143698190李志宇102705000000212文学院050108比较文学与世界文学62511231303667886黄盼盼103945210071167文学院050108比较文学与世界文学65501201343697683高淑婷107185411407203文学院050108比较文学与世界文学7461112973448286吴珲105425620403628文学院050108比较文学与世界文学68511151303647781赵鑫100655703000407文学院050108比较文学与世界文学58501321323726485王婧娴104465700000226文学院050108比较文学与世界文学50531421303756582王梓涵802015102000008文学院050108比较文学与世界文学61491041343487292靳毓101185050100872文学院050108比较文学与世界文学49611241293636981赵飞龙107185620606787历史文化学院030400民族学616521303397985.5李瑾文107305021805269历史文化学院030400民族学5750941173188383.9龚若琪107305021805008历史文化学院030400民族学694220303147982.2祁延俊100525000001285历史文化学院030400民族学50531221073326177.8马存亮107365620900400历史文化学院030400民族学64141041162988273少数民族骨干计划马建军107365620900396历史文化学院030400民族学5118105842588575.3少数民族骨干计划李萌107365620902736历史文化学院060100考古学674623803517574.6辛昌107365620902727历史文化学院060100考古学714122403368475.9曹肖肖107365620902731历史文化学院060100考古学675121003287973袁雅洁107365107360179历史文化学院060200中国史0000000推免生岳丽107365107360138历史文化学院060200中国史0000000推免生靳国丹107365620902764历史文化学院060200中国史705525503808096.6郭云霞107365620902896历史文化学院060200中国史686022703557883.92黄璐107365620902789历史文化学院060200中国史714624803657879.4张婷107365620902852历史文化学院060200中国史765124003678071.7王丹丹107365620902898历史文化学院060200中国史734423003478679.12王碧云107365620902774历史文化学院060200中国史684823703538178.6杨涛维107365620902842历史文化学院060200中国史645625703776870.4张娟娟107365620902793历史文化学院060200中国史695722803547178.6郭静107365620902832历史文化学院060200中国史764522803498371.6吴娜107365620902834历史文化学院060200中国史675123403527280.9潘一帆107365620902791历史文化学院060200中国史704523503507877.2石晶107365620902773历史文化学院060200中国史645322303407282.4梁馨予107365620902760历史文化学院060200中国史664921603316891.6何小丽107365620902908历史文化学院060200中国史686420203346773.5李芳107365620902903历史文化学院060200中国史744420903277080.8邵晓107365620902814历史文化学院060200中国史645020903237478.7王昭107365620902753历史文化学院060200中国史744022403387268.6李江龙107365620902819历史文化学院060200中国史734120303177482.9张华107365620902856历史文化学院060200中国史675219803177777.16刘书林107365620902787历史文化学院060200中国史704021703277079.5张玲荣107365620902851历史文化学院060200中国史654022703327671.3杜慧芳107365620902809历史文化学院060200中国史694521203266979.2少数民族骨干计划,免除基础强化培训靳丽霞107365620902833历史文化学院060200中国史685222303436665.7惠田田107365620902853历史文化学院060200中国史624722503346378.6罗瑞琳107365620902782历史文化学院060200中国史645420003186782.58胡君英107365620902864历史文化学院060200中国史655220203196881.1王梦洁107365620902865历史文化学院060200中国史645120503206681.46李霞义107365620902825历史文化学院060200中国史683921203197969.5鲁学娟107365620902848历史文化学院060200中国史625220503196876.1杨得勋107365620902780历史文化学院060200中国史694020903186479.98毕彩霞107365620902875历史文化学院060200中国史713519803047178.9少数民族骨干计划张珂107365620902941历史文化学院060300世界史705627704038687.42陈路107365620902946历史文化学院060300世界史676427804098482.66邓永发107365620902944历史文化学院060300世界史705327103948179.4李蓓107365620902940历史文化学院060300世界史715424703728885.78苏秀文107365620902930历史文化学院060300世界史663927503808580.6李彦107365620902935历史文化学院060300世界史665224503638487.14王东107365620902934历史文化学院060300世界史665124903668482.66原欣玉107365620902932历史文化学院060300世界史723925203638982.1赵建花107365620902919历史文化学院060300世界史684724903648581.68叶玉虎107365620902928历史文化学院060300世界史614225703608484张宁107365620902955历史文化学院065100文物与博物馆705225803808781.6张保静107365620902953历史文化学院065100文物与博物馆596424303668489.3王黎107365620902840历史文化学院065100文物与博物馆724725703768464.3杨楠107365620902957历史文化学院065100文物与博物馆665223703557683.7郑海龙107365620902954历史文化学院065100文物与博物馆655422803478184胡娜107185620606786历史文化学院065100文物与博物馆674921403308786.8周艳莉106975162066800历史文化学院065100文物与博物馆735321503418179.2樊国君107365620902959历史文化学院065100文物与博物馆747218903356688曹芳艳107365620902939历史文化学院065100文物与博物馆604624503517481杨威104595410720015历史文化学院065100文物与博物馆644025903636472.1王海燕105585230112061历史文化学院065100文物与博物馆694022503347672.9马军强107365620902931历史文化学院065100文物与博物馆704622203386281裴成强107365620902775历史文化学院065100文物与博物馆694119603068878.4柳娅娅107365620902797历史文化学院065100文物与博物馆654620503168176.6雷婷婷107365620902735历史文化学院065100文物与博物馆683920103088381.2戴亚伟107365620902772历史文化学院065100文物与博物馆705218703097182纳豆豆107365620902798历史文化学院065100文物与博物馆693920403127679.8孙洁107365620902855历史文化学院065100文物与博物馆694419903127479.5陈静静107365620902822历史文化学院065100文物与博物馆645618003007978.2郝帅102805210013189历史文化学院065100文物与博物馆615518302997782.2陶培如107365620902807历史文化学院065100文物与博物馆714118402967685.3刘娟霞107185620206196历史文化学院065100文物与博物馆704019603067579.2徐晓丹107365620902836历史文化学院065100文物与博物馆604819903077278.9祖木热提107365620902952历史文化学院065100文物与博物馆443923503186186.4陈关心107365620902784历史文化学院065100文物与博物馆614020503066977.7李璇107185321106218历史文化学院065100文物与博物馆603920603056680.4牛姣107365620902877历史文化学院065100文物与博物馆614718602946281.9卢博101835211213464历史文化学院065100文物与博物馆644618202926083刘艳102005210502348历史文化学院065100文物与博物馆724618403026663.7张博森104755060100012历史文化学院065100文物与博物馆394721403006378.1冯佳佳107365620900557教育学院040101教育学原理685023203508484赵亚楠107365620900562教育学院040101教育学原理715120903318885付翠107365620900575教育学院040101教育学原理696022003497679阎珂珂107365620900600教育学院040101教育学原理705522203477086邓长莉107365620900609教育学院040101教育学原理685021103298676王鐘107365620900619教育学院040101教育学原理745120003258279贠金兵107365620900596教育学院040101教育学原理615021703288084赵旺来107365620900565教育学院040101教育学原理664822603407677朱幸平107365620900564教育学院040101教育学原理734322403407478于莉莉107365620900615教育学院040101教育学原理634621703268679许雷107365620900563教育学院040101教育学原理665120503227383康巧兰107365620900572教育学院040101教育学原理734120303177882李亚楠107365620900620教育学院040101教育学原理595820503227281熊子成107365620900590教育学院040101教育学原理601917902586463少数民族骨干计划梁爽107365107360122教育学院040102课程与教学论0000000推免生张元媛107365620900712教育学院040102课程与教学论645725903809185杨秦文107365620900741教育学院040102课程与教学论705524703728589刘昱辰107365620900739教育学院040102课程与教学论645024303578692成晓丽107365620900632教育学院040102课程与教学论736423203696490汪飞飞107365620900722教育学院040102课程与教学论545125403599279赵文娟107365620900726教育学院040102课程与教学论624325803638285景艳107365620900675教育学院040102课程与教学论735621203418587陈玉莲107365620900692教育学院040102课程与教学论765721103449177任丽斌107365620900681教育学院040102课程与教学论685123303528878杨淑君107365620900686教育学院040102课程与教学论725222003448781吴梅107365620900668教育学院040102课程与教学论656120803349379赵珊107365620900708教育学院040102课程与教学论634921103239393段彩雪107365620900750教育学院040102课程与教学论694422603398486李生燕107365620900734教育学院040102课程与教学论514824803478089白苗苗107365620900674教育学院040102课程与教学论736220103368279屈小燕107365620900723教育学院040102课程与教学论604625203587381李凯107365620900717教育学院040102课程与教学论584524703508872王佳107365620900676教育学院040102课程与教学论735320703338079房得阳107365620900705教育学院040102课程与教学论504123503269187郭江107365620900756教育学院040102课程与教学论705221003327781杨梦姝107365620900747教育学院040102课程与教学论714219803118787张家平107365620900753教育学院040102课程与教学论715618303107981许晓君107365620900658教育学院040102课程与教学论694620103167283陈晓倩107365620900655教育学院040102课程与教学论714221503287065赵雪松107365620900660教育学院040102课程与教学论524219202868480少数民族骨干计划孟玲107365620900691教育学院040102课程与教学论605617402906085少数民族骨干计划段乔雨107365620900855教育学院040103教育史704921603358084张思思107365620900994教育学院040103教育史725320403296385戴莹莹107365620900971教育学院040103教育史685120203217382何苗107365620901008教育学院040103教育史674720803227380陈丽竹107365620900890教育学院040104比较教育学616220503287989李婧妮107365620900866教育学院040104比较教育学744819403168392范丽娟107365620900870教育学院040104比较教育学664720503186583彭岩107365620900954教育学院040104比较教育学645220103176284高媛百慧107365107360006教育学院040105学前教育学0000000推免生沈艺云107365107360007教育学院040105学前教育学0000000支教团推免生朱璐璇107365620900965教育学院040105学前教育学748022903837995刘亚玲107365620900898教育学院040105学前教育学724623403526390彭丽107365620900877教育学院040105学前教育学705521203377185李晔107365620900995教育学院040105学前教育学704522103368079李迪107365620900895教育学院040105学前教育学685721603416783杨红岩107365620900976教育学院040105学前教育学675821303386088边江涵107365620900883教育学院040105学前教育学724121903326889宗宁107365620900992教育学院040105学前教育学634924103537462魏梦琦107365620900881教育学院040105学前教育学615621303306883王禛107365620901061教育学院040106高等教育学714822803476989王英107365620901024教育学院040106高等教育学695222203436081陈怡静107365620901048教育学院040106高等教育学635222003356082张倩钰107365620900984教育学院040106高等教育学595720203186088李燕107365620900939教育学院040106高等教育学644421603246977王聪莉107365620901032教育学院040106高等教育学674522003326176何学斌107365620901028教育学院040106高等教育学694917402927883少数民族骨干计划文桃107365620901078教育学院040109特殊教育学765421803488491贾晓萍107365620901077教育学院040109特殊教育学685722103467990陈兰花107365620901072教育学院040109特殊教育学644222603327890魏亚亚107365620901069教育学院040109特殊教育学664821203268089金文珊107365620901063教育学院040109特殊教育学626020203246688王晓红107365620901088教育学院0401Z2少年儿童组织与思想意识教705021603368488杨燕春107365620901091教育学院0401Z2少年儿童组织与思想意识教644722303347990张洁107365620900997教育学院0401Z2少年儿童组织与思想意识教664720603198092李笑晓107365620900891教育学院0401Z2少年儿童组织与思想意识教694721403306192高洁107365107300113教育学院045102学科教学(思政)0000000农村教育硕士杨进鹏107365107300101教育学院045102学科教学(思政)0000000农村教育硕士康文菁107365107300048教育学院045102学科教学(思政)0000000农村教育硕士毛蓉107365620901369教育学院045102学科教学(思政)66631071023389290沈志鹏107365620901367教育学院045102学科教学(思政)69421151023289488张旭升107365620901374教育学院045102学科教学(思政)7148115993339085谈伟107365620901378教育学院045102学科教学(思政)68471051093298579王田107365620901384教育学院045102学科教学(思政)51481331033357478王瑞雪107365620901393教育学院045102学科教学(思政)6448106983168179陈悦107365107360120教育学院045103学科教学(语文)0000000农村教育硕士李桂青107365107360112教育学院045103学科教学(语文)0000000农村教育硕士杨荣华107365107360107教育学院045103学科教学(语文)0000000农村教育硕士张红燕107365107300104教育学院045103学科教学(语文)0000000农村教育硕士周晶107365107300102教育学院045103学科教学(语文)0000000农村教育硕士王静107365107360092教育学院045103学科教学(语文)0000000农村教育硕士文锐107365107360087教育学院045103学科教学(语文)0000000农村教育硕士强雪萍107365107360081教育学院045103学科教学(语文)0000000农村教育硕士裴凡107365107360074教育学院045103学科教学(语文)0000000农村教育硕士漆丽花107365107360068教育学院045103学科教学(语文)0000000农村教育硕士杜云航107365107360045教育学院045103学科教学(语文)0000000农村教育硕士马文娟107365107360025教育学院045103学科教学(语文)0000000农村教育硕士孔春霞107365107360008教育学院045103学科教学(语文)0000000农村教育硕士李凡107365107360005教育学院045103学科教学(语文)0000000农村教育硕士朱杨107365107360123教育学院045103学科教学(语文)0000000支教团推免生张洪艳107365620901517教育学院045103学科教学(语文)66741321294017981郝茜107365620901420教育学院045103学科教学(语文)68601281163728691马兰兰107365620901479教育学院045103学科教学(语文)63571371153727887王涵瑜107365620901505教育学院045103学科教学(语文)69591151253688184达玉婷107365620901421教育学院045103学科教学(语文)60481381273737886安晓107365620901425教育学院045103学科教学(语文)67541311173697389苟永强107365620901432教育学院045103学科教学(语文)67521221133548284马娟妮107365620901449教育学院045103学科教学(语文)67551031233488383白海静107365620901409教育学院045103学科教学(语文)72461181133498383陈宁宁107365620901433教育学院045103学科教学(语文)67591101103468382郭佳佳107365620901497教育学院045103学科教学(语文)69591041183508081王霞107365620901412教育学院045103学科教学(语文)62631151223627676蔡霞107365620901446教育学院045103学科教学(语文)63601201173607579吕春晓107365620901515教育学院045103学科教学(语文)59551181203528083朱亚文107365620901518教育学院045103学科教学(语文)63481291073478187张娟娟107365620901513教育学院045103学科教学(语文)72541171233667572高莉107365620901500教育学院045103学科教学(语文)63641111183567776茹彩芳107365620901422教育学院045103学科教学(语文)79591091153627173陈义琴107365620901516教育学院045103学科教学(语文)56721211193687269王博107365620901478教育学院045103学科教学(语文)69581051223547577刘红燕107365620901511教育学院045103学科教学(语文)67671151093587173苏俊娇107365620901445教育学院045103学科教学(语文)68561131133507375晁丹107365620901426教育学院045103学科教学(语文)64621161173596971李亚萍107365620901430教育学院045103学科教学(语文)61521201083417979少数民族骨干计划,免除基础强化培训李文娟107365620901408教育学院045103学科教学(语文)62571041103337883少数民族骨干计划,免除基础强化培训张露萍107365620901522教育学院045103学科教学(语文)66561111123457273何阿祺107365107360121教育学院045104学科教学(数学)0000000农村教育硕士段春娟107365107360119教育学院045104学科教学(数学)0000000农村教育硕士张小慧107365107360108教育学院045104学科教学(数学)0000000农村教育硕士朱敏107365107360100教育学院045104学科教学(数学)0000000农村教育硕士张龙107365107360097教育学院045104学科教学(数学)0000000农村教育硕士吴清玲107365107360089教育学院045104学科教学(数学)0000000农村教育硕士石守娟107365107360088教育学院045104学科教学(数学)0000000农村教育硕士王莉玲107365107360085教育学院045104学科教学(数学)0000000敏娜107365107360075教育学院045104学科教学(数学)0000000农村教育硕士李小平107365107300072教育学院045104学科教学(数学)0000000农村教育硕士李鹏亚107365107300064教育学院045104学科教学(数学)0000000农村教育硕士李航107365107360058教育学院045104学科教学(数学)0000000农村教育硕士方海强107365107360050教育学院045104学科教学(数学)0000000农村教育硕士高学亮107365107360041教育学院045104学科教学(数学)0000000农村教育硕士丁辉107365107360039教育学院045104学科教学(数学)0000000农村教育硕士李玺107365620901559教育学院045104学科教学(数学)71621291223849289陈加强107365620901556教育学院045104学科教学(数学)63581281313809084项丽红107365620901543教育学院045104学科教学(数学)63661221153669384周文芬107365620901554教育学院045104学科教学(数学)69561281243778980张凡107365620901558教育学院045104学科教学(数学)64541161243589290曾海英107365620901549教育学院045104学科教学(数学)61431111263419291王小虎107365620901544教育学院045104学科教学(数学)63511161173479084丁鑫107365620901557教育学院045104学科教学(数学)6862991003299387秦炜杰107365620901524教育学院045104学科教学(数学)62551111103389088马姗姗107365620901562教育学院045104学科教学(数学)6458951203378983李真真107365620901532教育学院045104学科教学(数学)58541131183438782李晶107365620901555教育学院045104学科教学(数学)6445921123139187王兴乐107365620901548教育学院045104学科教学(数学)6341951223219182杨宇琼107365620901525教育学院045104学科教学(数学)5945971133149285贺忠睿107365107360118教育学院045105学科教学(物理)0000000农村教育硕士张明祥107365107360109教育学院045105学科教学(物理)0000000农村教育硕士孙三宝107365107360078教育学院045105学科教学(物理)0000000农村教育硕士柳东林107365107360076教育学院045105学科教学(物理)0000000农村教育硕士马海潮107365107360069教育学院045105学科教学(物理)0000000农村教育硕士陈英锋107365107360056教育学院045105学科教学(物理)0000000农村教育硕士何小东107365107360051教育学院045105学科教学(物理)0000000陈晓琴107365107360038教育学院045105学科教学(物理)0000000农村教育硕士范永勤107365620901574教育学院045105学科教学(物理)62471131433658787李江荣107365620901565教育学院045105学科教学(物理)63501071433638384张登越107365620901566教育学院045105学科教学(物理)57561021313468987胥元花107365107360105教育学院045106学科教学(化学)0000000农村教育硕士王亚飞107365107360096教育学院045106学科教学(化学)0000000农村教育硕士徐苗苗107365107360095教育学院045106学科教学(化学)0000000农村教育硕士魏晋萍107365107360091教育学院045106学科教学(化学)0000000农村教育硕士王青娟107365107360090教育学院045106学科教学(化学)0000000农村教育硕士秦莉娟107365107360082教育学院045106学科教学(化学)0000000农村教育硕士马娟娟107365107360071教育学院045106学科教学(化学)0000000农村教育硕士董娟娟107365107360055教育学院045106学科教学(化学)0000000农村教育硕士贾霈107365107360054教育学院045106学科教学(化学)0000000农村教育硕士钱杏慧107365620901591教育学院045106学科教学(化学)62601111173508282岳生辉107365620901593教育学院045106学科教学(化学)72421031123298688刘剑107365620901595教育学院045106学科教学(化学)46571101113248688张宝军107365107360116教育学院045107学科教学(生物)0000000农村教育硕士殷虎虎107365107360111教育学院045107学科教学(生物)0000000农村教育硕士朱潇潇107365107360106教育学院045107学科教学(生物)0000000农村教育硕士张禹107365107360099教育学院045107学科教学(生物)0000000农村教育硕士王丽娟107365107360084教育学院045107学科教学(生物)0000000农村教育硕士薛娇107365107360080教育学院045107学科教学(生物)0000000农村教育硕士宋广俊107365107360079教育学院045107学科教学(生物)0000000农村教育硕士李芃107365107360066教育学院045107学科教学(生物)0000000农村教育硕士李向敏107365107360062教育学院045107学科教学(生物)0000000农村教育硕士刘苗107365107360059教育学院045107学科教学(生物)0000000农村教育硕士狄亚君107365107360049教育学院045107学科教学(生物)0000000农村教育硕士胡恩萍107365107360043教育学院045107学科教学(生物)0000000蔡文姬107365107360037教育学院045107学科教学(生物)0000000农村教育硕士马云霞107365620901605教育学院045107学科教学(生物)5863901203318485秦媛107365620901606教育学院045107学科教学(生物)5850961213258988蒲玉107365620901608教育学院045107学科教学(生物)5644911283198583苏亚丽107365107360117教育学院045109学科教学(历史)0000000农村教育硕士张阳107365107300114教育学院045109学科教学(历史)0000000农村教育硕士张淑娟107365107360110教育学院045109学科教学(历史)0000000农村教育硕士岳祺皓107365107360103教育学院045109学科教学(历史)0000000农村教育硕士李鹏飞107365107360061教育学院045109学科教学(历史)0000000农村教育硕士李红艳107365107360060教育学院045109学科教学(历史)0000000农村教育硕士丁启亮107365107360057教育学院045109学科教学(历史)0000000农村教育硕士付红艳107365107360053教育学院045109学科教学(历史)0000000农村教育硕士方有弟107365107360052教育学院045109学科教学(历史)0000000农村教育硕士葛翠翠107365107360046教育学院045109学科教学(历史)0000000农村教育硕士鲁瑶107365620901836教育学院045109学科教学(历史)68751261143838789范雯雯107365620901829教育学院045109学科教学(历史)63591181363768891马小芳107365620901833教育学院045109学科教学(历史)71661251023648183李苗107365620901822教育学院045109学科教学(历史)69561171133558688李璐107365620901832教育学院045109学科教学(历史)68571141253648284王建婷107365620901825教育学院045109学科教学(历史)64551161153508282刘婷107365620901817教育学院045109学科教学(历史)6248991223318390姚海明107365620901835教育学院045109学科教学(历史)68531001073288085王华一107365107360094教育学院045110学科教学(地理)0000000农村教育硕士魏立刚107365107360093教育学院045110学科教学(地理)0000000农村教育硕士马存强107365107360070教育学院045110学科教学(地理)0000000农村教育硕士马萍107365107360065教育学院045110学科教学(地理)0000000农村教育硕士黄军峰107365107360044教育学院045110学科教学(地理)0000000农村教育硕士杨可107365107360180教育学院045110学科教学(地理)0000000雒亚楠107365620901863教育学院045110学科教学(地理)75651141253799288付瑞瑞107365620901865教育学院045110学科教学(地理)72691251103767881陈涛107365620901842教育学院045110学科教学(地理)66531191253637782张紫蕊107365620901847教育学院045110学科教学(地理)63631031153448287满小萍107365620901849教育学院045110学科教学(地理)57671071143458187杜文花107365620901866教育学院045110学科教学(地理)65551011183398274师春霞107365620901867教育学院045110学科教学(地理)69511371093666268常艺小107365620901956教育学院045118学前教育75501211013479186蒋爱弟107365620901982教育学院045118学前教育60601301083588682岳素云107365620901975教育学院045118学前教育67601241023538682田力力107365620901968教育学院045118学前教育6250123953309090李宜谦107365620901939教育学院045118学前教育6754105933198993高嘉阳107365620901977教育学院045118学前教育5655122913249285少数民族骨干计划,免除基础强化培训李艳霞107365620901925教育学院045118学前教育63431241063368781邢鹏霞107365620901967教育学院045118学前教育5843116943119182师玉玺107365620903691教育学院120403教育经济与管理65481151243528688张艺晨106565120401006教育学院120403教育经济与管理63451301433816390王昕也107305021809842教育学院120403教育经济与管理6365111923318486赵丹102905210902790教育学院120403教育经济与管理54521261243566684邓雅文107365620903651教育学院120403教育经济与管理65571021093336691贾丽娜107365620901107心理学院040201基础心理学715126303857893.02马晓晨107365620901101心理学院040201基础心理学675924703737688.02苏婉茹107365620901102心理学院040201基础心理学686021403428485.54岳永磊107365620901109心理学院040201基础心理学654322003288587.87张晓欢107365620901095心理学院040201基础心理学693518602907282.4少数民族骨干计划蔡雨彤107365620901142心理学院040202发展与教育心理学727323803838481.18李红利107365620901117心理学院040202发展与教育心理学694823903568487.04马嘉琳107365620901137心理学院040202发展与教育心理学715821703468387.82王莎107365620901153心理学院040202发展与教育心理学705720903368385.58吴晨静107365620901134心理学院040202发展与教育心理学604923603458087.82温梦麟107365620901123心理学院040202发展与教育心理学664823403488278.98周肃军107365620901125心理学院040202发展与教育心理学745120303288785.08谭阳刚107365620901162心理学院040202发展与教育心理学674122803368680.84赵阿云107365620901192心理学院040203应用心理学725821603467785.4吴文意107365620901177心理学院040203应用心理学645322903468582吕东107365620901197心理学院040203应用心理学694821903368384.84王琰107365620901910心理学院045116心理健康教育65441121423639087.44刘嘉107365620901897心理学院045116心理健康教育59711141173618285.2伍蕾107365620901902心理学院045116心理健康教育65659112034188.685.36刘亚琦107365620901896心理学院045116心理健康教育62451221293588082.78孟丽红107365620901904心理学院045116心理健康教育545610*********.283.44王丹107365620901912心理学院045116心理健康教育61609211432777.681.2强秀云107365620901915心理学院045116心理健康教育62429211531186.487.9刘丹107365107360003心理学院045400应用心理0000000支教团推免生冯秋涵107365620902222心理学院045400应用心理687323803796989.16石媛107365620902227心理学院045400应用心理676024203698485.88张鑫107365620902252心理学院045400应用心理697321403568389.52黄旭红107365620902260心理学院045400应用心理656024503708482.02胡逸轩107365620902210心理学院045400应用心理746322603637388.6崔茜茜107365620902256心理学院045400应用心理696422403578186.3杨琴107365620902245心理学院045400应用心理697121403547789.24李建华107365620902226心理学院045400应用心理676222803578182.58康铁君107365620902233心理学院045400应用心理704123603478787.78李雪芸107365620902217心理学院045400应用心理706320803417990.04沈雨阳107365620902214心理学院045400应用心理645823403567685.12高旭玲107365620902229心理学院045400应用心理664225903677385安书彬107365620902253心理学院045400应用心理715422003458184.92李雅琼107365620902257心理学院045400应用心理744123503508181.24白丽娟107365620902231心理学院045400应用心理565224203507985.04唐玉榕107365620902250心理学院045400应用心理666120203297786.92李少玫107365620902221心理学院045400应用心理645422603447083.94王维107365620902220心理学院045400应用心理635421603337880.94张丽娜107365620902223心理学院045400应用心理564922303287678.68鲁光颖107365620902190心理学院045400应用心理584020303017480.34少数民族骨干计划何梦霄107365620900196马克思主义学院010101马克思主义哲学67451371333826087.8范晶107365620900209马克思主义学院010101马克思主义哲学71451181233577190.3李龙山107365620900208马克思主义学院010101马克思主义哲学69391231173487180王宝熠107365620900198马克思主义学院010101马克思主义哲学57381271113336086.5何飞龙107365620900203马克思主义学院010101马克思主义哲学58371181133266082.2王喆107365620900207马克思主义学院010101马克思主义哲学5342108892926080.7董芳106975162026648马克思主义学院010102中国哲学7149115973326086陈丽雄107365620900218马克思主义学院010102中国哲学67441181073366086单姗107305021805217马克思主义学院010102中国哲学6242821293156293.5张明敏107365620900231马克思主义学院010102中国哲学66351111083206086杨如钰107305021805214马克思主义学院010102中国哲学7234731122916583刘慧107365620900224马克思主义学院010102中国哲学5740100802776084.5王婉103195322306963马克思主义学院010102中国哲学484785922726677王鹏生107365620900235马克思主义学院010103外国哲学72441261383806083.8王瑞雪107365620900201马克思主义学院010103外国哲学6652132893396893.7王芮102865620613441马克思主义学院010103外国哲学59451191143376083.3赵凯106975161161544马克思主义学院010103外国哲学6535931173106391.5申彦旭107305021805192马克思主义学院010103外国哲学6036114913016081管丽莉107365620900239马克思主义学院010103外国哲学553898942856079.7李雁华107365620900240马克思主义学院010105伦理学69511341423967290.5刘丽107365620900244马克思主义学院010105伦理学58341211183316087朱美琪102945211806962马克思主义学院010105伦理学5634991253146083.5王宁106355301003595马克思主义学院010105伦理学613599982936080.5蒋有超107185620405712马克思主义学院010107宗教学6048101802896285.5李雪琴107185620405711马克思主义学院010107宗教学5741103782796082.5赵彩绒107365620900362马克思主义学院030201政治学理论63501341243717687.9童睿宗107365620900376马克思主义学院030201政治学理论6647111913158392.9郑菲107365620900359马克思主义学院030201政治学理论61531301053497077.3李远超107365620900370马克思主义学院030201政治学理论6548981063177985.6孙文高107365620900373马克思主义学院030206国际政治72671221303919194.9沈骏霖107305021807215马克思主义学院030206国际政治6845132853308793.9米洁107365620900383马克思主义学院030206国际政治68431251173536487.7陈雅琳107365620900380马克思主义学院030206国际政治63401131153317791周军成107365620900377马克思主义学院030206国际政治69421101173388166.3班文彬107365620900382马克思主义学院030206国际政治5819117572516781.7少数民族骨干计划南琳107305021809569马克思主义学院030501马克思主义基本原理68481271273708993.8罗振坤107365620900418马克思主义学院030501马克思主义基本原理73431361113638774.5赵文彦107365620900417马克思主义学院030501马克思主义基本原理61461171043287889.1杨丽丽107365620900412马克思主义学院030501马克思主义基本原理6449109923148185.6王玉丹107365620900411马克思主义学院030501马克思主义基本原理59421201123337284.2庞波107365620900426马克思主义学院030503马克思主义中国化研究73531311153728581.8邹雅萍107365620900422马克思主义学院030503马克思主义中国化研究68571181043477286.8米燕琴107365620900421马克思主义学院030503马克思主义中国化研究71411181173477283.2曾清华107365620900425马克思主义学院030503马克思主义中国化研究6953108963268183.7王堃107365620900420马克思主义学院030503马克思主义中国化研究6657115973357270.4羊欢107365620900419马克思主义学院030503马克思主义中国化研究5639102962936877.5张丹107365620900472马克思主义学院030505思想政治教育68591261143677386.1田会玲107365620900443马克思主义学院030505思想政治教育68591301083657777.3。
姓名考生编号艾毕颖旻105425431502169艾红娥105425105420163艾斯百仁105425432602527安炜成105425431504515白帆105425115405828白蛟蛟105425431205674包俊105425105420214包兴平105425431204979毕璐105425431907755毕水华105425431205368毕玉祥105425501100772边奇峰105425140905182卞春燕105425105420241宾津佑105425432105155邴军104865105014199伯桂欢105425130503132彩广畏104875000136140蔡广庆105425431500216蔡虹瑛105425431502731蔡姣105425432304212蔡静105425431204028蔡乐黎105425431506263蔡渠105425432702993蔡人杰105425432602606蔡诗婷105425105420291蔡婷105425431900558蔡微娜105425330208148蔡薇薇105335430400567蔡轩105425431503683蔡雅薇105425431506452蔡亚玲105425105420300蔡英桂144305100000471曹畅105425431502732曹丹丹105425430602722曹滴105425105420018曹海娜105425431203069曹华鹃105425431502428曹金果100275219060079曹竞婧105425105420082曹康莉105425410501012曹蕾105425431204984曹立辉105425432306385曹丽娟105425432402937曹梦月105425431504585曹茜105425360203644曹茜105335431000879曹倩倩105425360104942曹素105425431507871曹轩105425431502099曹艳青105425431507628曹艺璇105425431501871曹钰萤105425431205612曹正龙105425432402458曹之艺105425432902232柴林典105425105420223昌幸105425431805880常广104975400339692常密朵121215000003784常艳梅105425361004770车亚兰105425431206945陈斌105425431207423陈兵105425431502430陈超105335431201248陈超萍105425360700566陈晨105425430706308陈晨105425105890229陈出新105425105420140陈楚芬105425431708024陈春香105425105420067陈春艳105745000001370陈从俊105425341202768陈达倩105425431401106陈迪105425431402164陈芳105425431504565陈福宗105425431206305陈国英105425431500503陈昊105425430803214陈浩105425431500188陈红105425430702638陈红秀105425342202308陈洪雨105425411604961陈虹帆105425431506468陈虹屹105425105420159陈怀玉104875000134984陈慧105425330203319陈慧105425431203005陈吉清105425431203601陈佳105425432200359陈佳佳105425105420068陈佳佳105425351207185陈佳月105425370602910陈家威105425432500710陈江川105425431200004陈江俊105425431203204陈洁105425430501081陈晋茹105425141503140陈娟105425411606644陈君兰105425422102266陈轲105425431507698陈可人105425370606151陈磊105425432404214陈冷昕105425431500166陈立105425431507674陈林希105425431507647陈林霄105425431204785陈玲平105425105420187陈龙105425431507660陈炉105425431505131陈璐105425431205375陈孟琪105425105420017陈苗苗105425431205473陈明亮105425360704376陈盼105425432202218陈培瑶105425431205548陈启航105425411600764陈茜105425431702877陈巧105425432308088陈日球105425431502108陈容105425432700728陈锐105425431205381陈珊105425141505739陈绍鹏103585210002505陈淑娟105425360703025陈帅105425340106138陈思思105425421605264陈思瑶105425432308381陈思语900025431500852陈松105425410505068陈婷105425105420110陈童105425431507251陈暾105425431502343陈拓青105425432002594陈婉玲105425361000568陈维105425372506642陈维伟105425431204541陈伟105425432900796陈伟105425431000111陈娓迪105425431207301陈文杰105425431503446陈文婧105425431207001陈希文105425431205699陈曦105425430804145陈小娟105425410602913陈小燕100025110010176陈晓105425321105197陈晓丹105425501304447陈晓根105425360104944陈晓妹105425431500467陈晓萍105425501606778陈昕彤105425431500242陈秀晶102005211204581陈雪玮105425431205466陈雅婷105425431502168陈雅萱105425432202518陈亚105425431500663陈亚东105425510900437陈娅诺105425460406597陈彦玢105425431507972陈彦停105425410500758陈艳琳105425431205690陈艳琴105425431200020陈一萍105425431204981陈怡珊105425431205640陈奕奕102805210002214陈溢砚105425432302957陈颖105425410503972陈颖105425431205461陈勇105425431207534陈勇治105425431500209陈予晴105425432102516陈予仁105425431207450陈宇迪105425105420077陈宇霖103355000911758陈羽彪105425431305858陈玉婷105425431803013陈园105425340804940陈月105425105420087陈云芳105425432605896陈珍珍105425431501232陈正旭105425431503092陈志刚105425360203024陈志武106315020831065陈智105425431503252陈卓君105425105420076陈祖龙105425520805843谌珺105425105420078谌叶105425431200582成畅105425431804921成红阳105425130205730成锦105425105420105成静105425431507718成康105425431205936成文超105425370808383成希楠105425431303667成依明105425105420218成怡105425105420073程丹105425410705786程东105425432703299程汉华105425342204059程俊105425431604748程立敬105425341206751程露105425422404430程敏105425460405841程石婧105425105420157程伟利105425431506665仇诗雪105425431502698褚明辉105425371402322崔玲玉105425431203032崔露露105425431403224崔阳阳105425412201491崔媛105115115447879代亚105425431000109戴常婷105425104030134戴初凤105335360702283戴红梅105425321405805戴佳利105425431805727戴皎皎105425360604375戴莉105425105420266戴娜105425432101893戴婉璘105425431504632戴玮杰105425431501764戴秀秀105425341204370邓佳105425430906367邓江105425432605020邓俊杰105425432602717邓丽燕105425432702763邓梁一秀105425431207243邓璐瑶105425432501640邓梦珊105425432203486邓倩105425431207843邓杉文奇105425431205111邓珊珊105425432306330邓绍阳105425431500133邓思105555431501229邓婷婷105425431203360邓伟105425431506018邓蔚105425500408215邓文105425431000112邓西平105425105420063邓小琴105425360702906邓雪婧105425460404445邓亚兰105425431800906邓毅105425432700719邓英竹105425501604012邓颖杰105425431207526丁娣105425100650111丁浩东105425432702415丁娇105325432312395丁久洪105425432100525丁俊105335432501904丁孟105425220605044丁上105425431205941丁新宇105425106630015丁杨105425432905901丁怡丹105425431206352董思汝105425511906400董婉琼105425361003618董湘宁105425370100995董晓捷105425410406764董亚龙105425431207329董亚南105425140907273董之然105425105420042窦同宇105425372305231杜铭105425411606169杜旭105425142005734杜艳艳105425361002313段风博105425421902265段会莲105425431200803段家充105425130305738段琳105425430607073段满敏105425140903795段伟豪105425431205669段雄105425432407856段钰婷105425431207553段云祥105325430805257凡娟105425430707077凡艳亭105425410704902樊方方105425141003315樊雯雯105425105420176范冲105425431302852范玲玲105425432106505范璞105205670600539范榕轩105425431205475范瑞105425421908191范时斌105425431502003范学君105425410507061范怡鸣115355431600530范迎105425431302562范云霞105425140904172方卉105425431205604方璐105425431806485方民105425431507676方倩105425430802950方友辉105425431205471方圆105425431207502方子玉105425432106504冯灿105425105420135冯楚105425411802778冯静105425131802235冯磊105425432102991冯娜105425142003316冯琴105425431200005冯婷婷105425412307205冯雯105425231006543冯新建102005211204460冯宇晴105425431500163冯运文105425141303058冯宙强105425431505867扶乐婷105425432501901符刚105425431507702符蓉105425431502182符文105425430703008符洋105425432902375符玉玲105425510607226付冰婵105425422201818付成杰100555333307136付飞亚100075000005301付丽霞105425432506807付伟男105425431500858付原庆101455000006443傅玲燕105425431506343傅小利105425360805909甘蕾105425431902293高安超105425530202831高畅105425422102828高冬冬105425341204371高景玉105425411707202高梦翘105425411405078高树平105425371102774高思105425105420151高威105425370803955高兴105425431502577高焱105425432504332高瑶105425530900779高宇105425431206852高宇驰105425142000971高玉静105425460302272戈星105425130204343葛芬105325432009283葛书龄105425105420236葛玮105425115403130葛亚杰105425105420040葛莹105425130500941耿恬105425431706265龚成105425431205849龚兰105425431504726龚丽105425432304095龚攀105425431200612龚晔颖105425431502794龚勇强105585800108999龚酉105425410406342龚玉婷105425105420117龚珍105425432408100巩莉105425140906979苟艳105425511702273谷安玉105425431607724谷萧105425431501210谷鑫星105425432703499谷晔雨105425432906742顾超105425431800680关涛105425430502477关毅105425430602554管艳匠105425620604021管源颖105425431506023桂丹妮105325431308375郭超105425432404323郭程105425105420133郭丛玮105425431507872郭丹103845214312016郭芬105325431506412郭鹤龄105555432502189郭鹤阳105425104030136郭佳105425431205590郭剑105425431507870郭丽君105425411204903郭柃妤105425431501166郭念舟105425105420123郭宁105425614306210郭琦105425431503093郭巧105425431504273郭庆斌105425370605221郭书香105425430906901郭卫参105425412308186郭小燕105425410504398郭妍105425370102248郭妍105425420501504郭艳105425431207394郭艳艳105425432100520郭雁飞105425142004759郭阳105425432201302郭逸鸣105425361002941郭宇105425372503750郭真105425370402973郭振宇105425431506315郭忠媛105425231107851韩虹105595210008739韩林树105425120706101韩明丽105425372500570韩伟105425370901002韩小月105425105420161郝鹏波105425410705070郝垚丽105425410703163何波105425360703060何丰威105425432302599何凤英105425432503718何皓105425431700312何惠105425501100770何晶晶105425432403491何晶晶105425431207473何骏105425430305750何莉莉105425441202268何丽娜105425430704163何伶俐105425421808319何玲105425113308394何羚凤105425511002928何蒙105325431207026何梦君105425431505972何其辉105425431502290何舒岑100025612106494何婷105425105420194何威105425360700747何微105425432703055何纤105425360103745何香艳105425431402288何湘国105425442008322何湘琼105425105420168何翔105425431200062何小院105425432503723何晓芳105425511108270何欣辰105425431506028何幸105425105420071何宣利105425520102332何雅静105425360103532何亚105425430502944何燕婷105425431207606何艺105425432700534何英105425431205705何迎风105425431504511何颖瑶105335430400630何永涛105425411601031何昱坤105425105420206何岳辉105425440404435何珍105425431501206和慧媛105425430207919贺安康105425431802888贺辰衎105425432801904贺春林105425431501170贺聪105425105420269贺瑾105425431205411贺敬飞105425370101444贺莉莎105425431502444贺玲玲105425431204190贺明105585510111216贺宁宁101455000004226贺莎莎105425431703262贺诗琴105425431503088贺娅105425441103807贺焰105425432308096贺业鹏105425431206216贺叶琴105325432108546贺稚杨105425431503229贺紫贤105425431506009洪航105425431905006洪思思105425360303059洪志祥105425431401105侯佳美105425431502727侯岚105425410503753侯力丹105425431507124侯荣荣105425410506559侯文丽105425360704947侯玺105425430707923侯小康105425431501798侯雪梅105425432703126侯银梦144305076000056侯玉莹105425371402623侯苑岳105425105420260侯政105425106940014侯志鹏105335430207395侯宗延105425105420217后文其105425340200740候晓杰105425105420170胡聪105425411401738胡丹丹105425431803105胡二曼105425411305075胡龚前105425431204547胡海芸105425431503043胡贺兰105425141503932胡纪功105425411303405胡嘉丽105425105420173胡建105425340801735胡洁105425441502781胡金萍105425432305159胡静105425105420052胡静105425430504113胡丽琛105425105420149胡丽娟105425431204737胡丽玲105425105420296胡梦琪105425431000117胡梦瑶105205670610423胡敏祺105425431205285胡培培105425431205433胡巧琳105425431507975胡琼105425431903702胡琼蕊105425430506688胡若璇105425431208236胡述鹏103845214321017胡硕105425370101445胡思圆105425432707813胡文105425105420204胡铣105425105420167胡霞105425430902558胡霞105425432103478胡弦105425431404474胡湘君105425431205697胡艳晖105425431504488胡洋105425105420056胡耀躲105425432302402胡轶群105425105420267胡益高105425432900417胡勇105425432102401胡钰敏103585210001248胡煜豪100435151111721胡紫薇105425105420114胡遵105425431700308华明权105425360102311华夏105425431207240皇甫仁秀105425432401320黄炳珠103195320804126黄灿105425431508340黄辰惠100275219100219黄传祥105425431502792黄丹105425620104112黄东105325430309468黄凡105425411701036黄凡105335431000903黄芳105425104030132黄桂姣105425450206649黄华105425432903730黄华丽105425105420181黄继生105425422202919黄嘉怡105425431203422黄江媚105425105420104黄瑾105425431205589黄晶晶105425440706828黄立萍105425432502714黄丽娟105325431203448黄丽俐105425431203848黄丽玲105425432601663黄玲105425360103744黄玲玲105425431202834黄柳柳105425106020301黄曼105425410501013黄美瑶105425441504000黄梦帆105425413102917黄梦竹105425431205425黄明畅105425231104764黄茗湘105425450202270黄南艳105425432608109黄佩琦105335431201308黄萍105425530208328黄琦105425431807742黄强105325431206253黄琼105425412204417黄蓉105425510603591黄蓉105425432006723黄石锋105425442004772黄世瑾105425431502790黄世智105425450802976黄水波105325430502530黄显亮105425421106178黄向琴105425431808036黄小玢105425431507685黄小娟105425431204985黄小妹105425430705295黄小圆105425431507962黄新105425500701058黄兴星105425431503038黄杏清105425450804774黄璇105425105420152黄雅倩105425432408425黄雅婷105425431503243黄妍君105335432003807黄燕105425431406904黄燕进105425431207531黄尧105425431803104黄瑶105425432708428黄瑶105425420501505黄宜宜105325431511373黄益105425431205559黄胤105425340600742黄永浩105425450804773黄玉莹105425105420050黄昱芸105425431507375黄煜婷105745000002053黄悦欣105425431202546黄越竹105425441500576黄召凤105425372301004黄兆楠105425431205798黄振105425431200033黄竹丽105425431206353霍烈105425431904810吉毅105425430504742季梦娜105325321109736冀奋勇105425140905829贾红琳105425431502747贾佳105325430305155贾江平105425142004761贾荣果105425410404396江碧波105425140101377江克瑞105425371300751江莉君105425105420253江丽105425432602138江明杨105425430804744江娜105425432402129江世昕105425410501011江未来105425521102417江悦滢105425430907083江喆105425105370180江梓豪105425105420005姜沣珊105425105420107姜洁燕105425620100549姜娟娟105425431806242姜雁105425431205404蒋成钰105425105420254蒋菲144305113000128蒋恒105425432500385蒋将105425432601334蒋静105425422206180蒋乐105425421900598蒋莉芬105425431502728蒋俐萍105425431200461蒋明慧105425431204540蒋倩105425430805820蒋蕊蔓105425105420225蒋婷婷105425411704908蒋卫105425431307827蒋筱娜105425105420084蒋星宇105425431205581蒋亚丽105425432101892蒋彦105425341001420蒋伊琳105425105420096蒋云英105425105600022蒋庄105425431501222揭鹏105425431602588解金柯105425410300756金赐105425432601902金戈105425432402809金梦珂103355000912225金星105325422101959金则徐105425360108155金泽家105335431901618靳晓瑞103845214312019荆赟智105425430707862居妮105425430703212瞿欧玲105425431207300瞿晓芳105425105420262瞿心兰105425130603509瞿友元105425360204373康飞枭105425431202079康文倩105425431708408康秀芝105425432104924柯飞燕105425422104425孔超兰105425431802880孔丹竹105425431506951孔辉105425431403668孔小敏105425431500851孔颖妮105325430709492匡斌105425422205088匡斌105425431207498匡靓靓105425431807748匡平萍105425421908194匡伊慧105325612709326匡钰瑶105335431000982邝桂萍105425411601028况倩倩105425321706545旷岳峰105425431205600赖彦105425361005058蓝宇枫105425360105316蓝志清105425640102391乐杨桦105425105420299雷碧洋105425105420124雷光花105425142003141雷佳豪105325430308103雷洁105425431506372雷蕾105425360903645雷蕾105425105420081雷鹏105425105420162雷强105425105420208雷舒琴105425430806900雷涛105425431401743雷天昊105425431207493雷习琼105425432106969雷颜瑛105425431900519雷奕璐105425431407247冷爱玲105425432502460冷雅妮105425101400065黎茶林105425360106390黎洁媛105425431901278黎明月105425360104060黎深莲105425431204240黎燚隆105425310602304李白佳105425460308418李佰元105425431200023李斌105425431207888李兵105425431500553李博105425430708332李超105425431806241李超男105425431906916李铖105425141102766李春105425431205107李从然105425511403627李聪105425430804194李达105425431904752李娣105425431500793李冬珍105425350305213李栋105425411303833李帆影105425431506004李芳105425460406651李芬105425360800427李扶桑105425104100172李改改105115115447839李广花105425431207422李国峰105325432903544李海霞105425432700533李豪105425432608104李洪吉106315020490326李洪晔105425360907280李慧105425105420146李季宏105425432000692李佳105585330105231李佳曦105425431507649李江华105425130206810李姣105425432400702李姣105335431103776李佼105425105930248李金龙106145081208116李金晴105425141004757李晶105425360202814李晶晶105425370604389李静芳105425432108083李军山105585800108795李凯华105425431502863李凯莉102885500007226李康104975400338537李可欣105425431501238李雷105425431207403李蕾105425501101940李莉105425105420196李莉凤105425422001047李礼壹105425431505800李霖105425431206304李玲105425360700991李玲105425370800428李龙山105425430706307李梦霞105425431204077李敏105425431506322李敏敏105585120103783李明105425431207431李牧翰105425410402465李娜105425431202157李娜105425431200783李南105425431700305李宁105425431206612李攀105425411602826李配105325431802103李奇恩105425431804291李迁105425106940106李谦105425431503077李茜105425431205377李茜子105425105420102李倩105425430208387李倩105425341006750李倩玉105425410706765李倩玉105425430702844李强105425431500831李青105425431506956李秋芳105425104460191李秋霞105425431800315李荣荣105425141005184李若彬105425411602915李赛105425431205121李赛105425432007047李珊105425432705030李尚升105425410703061李少航105425432906337李绍合105425431200632李声豪105425431702365李淑华105425411107286李淑娴105425431203847李思达105425105420256李思婷105425431802881李躺105425432501744李涛利105425431205104李甜105425130806533李甜105425431506026李婷105425105420072李婷105425432308397李婷105425431500493李维105425441500769李伟杰105425413103762李炜琪105335421910587李文105425431806910李喜105425431707741李霞105425432302220李晓迪105425371402974李晓玲105425411403171李晓梅105425371302251李肖杰105425431207474李欣105425431507112李鑫105425430700637李鑫尧105425432302404李旭105325431209523李雪105425370104949李雪妍105425340106139李雅倩105425431804999李雅婷105425431207448李亚105325430308345李亚杰105425411605081李亚蕾105425431706042李妍昀105425432405772李彦秋105425342904941李艳锋105425431802934李艳君105325410505341李艳梅105425431504201李艳梅105425360104898李燕105335431000976李阳光105425431803269李尧105425431508406李伊105425360102244李溢105425431200580李懿105425432805725李盈盈105425460401545李莹105425613302628李泳庆105425441106187李有斌105425231004763李有琴105425431500590李宇星105425432701341李玉燕105335430400528李昱莹105425432406516李钰105425501702925李原伶105425105420293李袁105425431806914李缘105425430701831李璋奇105425620803066李贞104225510095206李珍105425432004304李振105425105420158李郑105425411604105李志飞105425431204464李志鹏105425431202421李志强105425370902250李智强105425431206355李宗幸105425460405840利媛媛100275219090068廉明静105425231004098梁彬105335431201251梁陈思胜105425431200026梁楚榆105425440406583梁丹夫104875000138163梁国璀105425431902513梁花105425432407783梁蕙105425431207504梁晶晶105425432302958梁静琳105425431205412梁茜薇105425520107296梁蓉105425105420093梁言105425431507881梁瑶105425105420263梁贻婷105425370706154梁雨雯105425106020116梁玉峰105425130602298廖朝霞105425431502797廖晨芳105425431204193廖凤韵105425422500827廖新105425431803102廖雪105425430505742廖雪辉105425370100569廖艳伟105425421802996廖志丹105425105420019林伯稳106105071000539林楚婕105425105360277林欢105425432908468林卷容105425431500886林军卓105425340800983林丽颖105425411407288林玲凤105425350108413林梦璐105425450806596林妮107185360104289林宁105425432402712林燕永105425431808048林益贤105425350501714林泽涛105425440804439蔺代标105425530902832凌晨105425431902347凌欢瑛105425430903073凌昀105325430805775刘佰慧105425231804936刘贝105425431207533刘备105425431701673刘彪105425431502342刘彬毅105425432806740刘斌105425105370021刘斌105335430806340刘博煜105425431100121刘晨105425360702247刘晨105425120405804刘成城105425432402602刘成文105425431202336刘楚105425440401052刘春梅105325431010254刘翠微105325430701775刘丹105425431206999刘丹丹105425410705248刘东明105595210002899刘盾105425431207238刘多105335430500825刘恩泽105425432906387刘芳105425431507630刘付娉婷105425431502875刘伽105425431207593刘高翔105425105420034刘鸽105425432503719刘广105425431204741刘贵丽105425431207459刘贵平105425501603349刘贵艳105425431506950刘海涛105335530402647刘浩然105425431207566刘洪媛105425105420264刘桦105425411406931刘欢105425432702939刘辉105425431906227刘辉105425431207421刘慧105425431806632刘慧105425422200767刘伋105425431504662刘吉105425432103017刘继贺105425432102992刘霁105595210004987刘佳105425431205366刘佳音105425430906426刘嘉105425360205833刘嘉莉105425431206357刘嘉莹105425431502705刘健光105425431503042刘杰105425431205451刘婕雯105425450803808刘金格105425431502651刘金龙105425105370272刘静105425501205914刘静茹105335430403079刘娟105425431204244刘俊东800005010101069刘康105425442008323刘浪琴105425105420239刘雷亮105425105420222刘蕾105425220602284刘莉107015143185916刘李105425107320032刘丽艳105425431304255刘亮明105425431501864刘林105425214605043刘林平105335421404831刘玲玲105425340806815刘玲香105425410504956刘璐105425431808292刘璐105425431205686刘璐瑶105425105420028刘茂105425431501705刘梅105425360804381刘美105425432306510刘梦瑶105425105420039刘梦宇105425431502177刘苗105425431200039刘敏105425440707840刘敏敏105425411402914刘敏强105425431205939刘明105425105420126刘沫105335430400598刘盼倩105425360901440刘飘也105425430506898刘萍105425431502646刘奇105425431205331刘琴105425431501953刘沁娜105425141202663刘沁沁105425105420258刘青105425432701664刘庆105425142000563刘琼英105425105420186刘秋香105425360700565刘溶105425371308169刘蓉105425421908192刘赛姣105425432308409刘姗105425431505975刘珊105425432105729刘闪闪105425412904962刘帅105425231602535刘双105425431504257刘思105335431501434刘素均105425431205493刘弢105425431607721刘湉105325430307148刘廷媛105425432906878刘婷105425432901713刘婷婷105425360108306刘统华105425360804768刘薇薇105115115447799刘为顺105425370705062刘维105425105380112刘伟105425360808452刘伟荣105425431201067刘文105425431902294刘文邦103845214315041刘文娟105425411405079刘文路105425370802773刘文文105425321903396刘文烨102855212510522刘雯105425431607731刘曦穗105425431806486刘湘瑜105425500705795刘祥105425431502733刘向荣105425431206407刘小芳105425431504563刘小可105425432902615刘小倩105425432705343刘小雪105425105420185刘晓105425421600544刘晓菲105425142004352刘晓涵105425110602534刘晓玲105425431507720刘晓彤105425360103320刘笑105425370600998刘笑寒105425431205646刘欣105425105930230刘馨仪105425431205434刘星105425430500874刘轩105425105420013刘雅玲105425431200069刘雅文105425360704946刘亚兰105425431804922刘亚男105425411600542刘亚南105425370604390刘艳105425431208474刘燕105425421102918刘洋100535014040106刘洋105425432503911刘洋105325430905263刘洋105425105420201刘洋105335430400753刘也驰105425431504268刘一璐105425431504552刘一鸣105425210706258刘祎妮105425611407297刘祎霞105425430907303刘羿105425432900795刘翊龙105425450304441刘翌姝105425500204232刘逸105425431207462刘垠君105425432507800刘银春105425431608020刘莹105425430807079刘颖105425140101378刘永105425410704957刘永浪105425440406348刘雨潇105425431503842刘禹105335422408642刘玉嫚105425410203962刘玉萍105425105420119刘育育105425372506556刘钰105425432300592刘沅105425422104866刘月105425430902559刘悦105425131102901刘芸105425421800765刘兆涵105425431204070刘哲英105425431202835刘铮凯105425431200065刘铮扬105425431202339刘智明105425460403771刘朱东105425430702947刘子莹105425370803542柳芳105425431907262柳菲菲105425411403801柳倩妮105425432406074龙海涛105425105420195龙际群105425431502566龙嘉佳105425431502578龙洁105425431206360龙娟105425432507793龙乐群105425105370130龙盼盼105425431507039龙萍105425431508463龙赛105425431205383龙显辉105425430902726龙响105425431207399龙艳105425370103157龙玉航105425431202341龙悦105425613904879龙云105425432106384龙贞亦105425431200043卢斌105425105420109卢坤兰105425431204237卢龙生103845213701113卢燊105425432901808卢天祥105425360804769卢巷文104865113016788芦飞106995114123074芦梦105425431501217鲁玲雅105425360702907鲁思宇105425431505335鲁璇溦105425120401369陆佳黛105425431200077陆璐105425431206363陆小芳105425432607809陆燕105425431205565陆玉婷105425431204543路露105425431203200路瑶105425431205819闾衣105425430903071吕朝露105425105420171吕丹105425432705174吕定红105335430508682吕凤丽105425342905313吕建平105425432504330吕江林105425430602555吕梅106985431207643吕姗105425431800517吕媛105425431207003吕喆105335430400114吕志洋105425211306637罗炳玲105425412701985罗宸彦105425350503153罗丹丹104975400337477罗丹锋105425411704415罗方菲105425431207348罗丰105425431501133罗赣湘105425431807743罗河兰105425431506021罗焕105585330105305罗慧舟105425431800683罗杰英105555431501261罗洁105425431200027罗静105425370703798罗黎明105425432402054罗玲慧105425431200079罗璐105425432904220罗曼斯105425360706754罗萌105425231801404罗南105425432307779罗鹏105425360905217罗琪105425105420169罗倩105325431510619罗倩105425431504789罗倩雯105425432302893罗思伟105425431508005罗苏105425431205626罗涛105425432702961罗婷105425431506955罗婷105425432102935罗威105425432004093罗午洋105425432506332罗小立105425431205450罗孝宇107305021801291罗旭105325432408421罗亚丽105425620600578罗瑶105425104100016罗熠105425105420138罗翼105425431802590罗莹105425431205946罗禹105425431206220骆礼林105425520107023马超105425432700595马过105425411103554马吉图105585330105201马婧105425611405101马静105425431208488马娟105425371400540马君105425511707228马令华105425431902592马璞玉105425431200049马清蓉105425431503822马瑞雪106525351010850马苏苏105425431204075马涛105425431200001马翔105425460403588马晓楠105425432807169马欣105325432909679马艳红105425370304951马艳茹105425431205459马媖105425105420257马子雯105425431507031毛桂惠105425432502657毛璟玲105425432102216毛善检105425432605021毛鑫鑫105425432106500毛玉环105425105420298毛庄文105425430703009梅芮105425431207342孟贝105425104750103孟嫦誉105425105420233孟海云105425340406389孟至恒105425620606893孟紫为105425432702810闵婕105425105420252莫慧敏105425231803739莫梦萍105425431804891牟海频105425431200052穆丽思105425431203034倪丽丽105425105420026聂海105325430309846聂盼105425360706984聂婷婷105425431206836聂媛媛105425105420062聂紫彤105425115406100宁剑秋105425431500248宁宁105425431208484宁艳玲105425106020153宁贻崇105425430905332牛保秀105425141500958牛丽娟105425410804851牛新媛105425410204843欧巧105425431003666欧沭杰105335430400317欧天颖105425431502752欧万珍105425431207612欧欣105425105420295欧阳杰105425431500270欧阳进105425431007625欧阳婧105425450602626欧阳凯铃105425431202549欧阳璐105425431507999欧阳佩105425431507864欧阳群英105425105420058欧阳唯一105425431203781欧阳祎105425431206781欧喆105425101090189潘海玲105425431307947潘兰兰105425432504928潘力105425431502746潘柳园105425431203413潘栖夙105425431906721潘琪104225510002365潘赛105425105420095潘栩105425431502179潘雅婷105425360108432潘扬105425431203068潘紫安105425432901356庞菁105425431208492彭超105425431207509彭楚怡105425431803468彭聪105335432401809彭德正105425430905334彭飞105425431200046彭丰105335210203856彭佳105425431000850彭娟105425431205396彭蓝宇105425431002162彭磊105335431501375彭蕾105425431000105彭满娟105425105420154彭妙105425431501668彭乔宁105425105420166彭琼105425105420198彭荣105425431505299彭锐105425431502495彭珊105425105420290彭师哲105425430903603彭述生105425431200864彭婷105425431202156彭婷婷105425431507102彭伟105425432806252彭翔105425431800323彭新柳105425432403490彭鑫105425432902898彭亚军105425450803028彭娅丽105425431507096彭杨105425431608019彭银兴105425431205502彭英秀106105100200093彭莹105425431500668彭颖蕊105425432105014彭哲也105425431202340彭志超105425431204076彭智恩105425431205810彭钟哲105425431208375皮扬洋105425432103707戚洛源105205670611588漆灵灵105425432706089祁振苹105425412304422齐小芳105425360100987齐娅冰105425360101432齐艳华105425432703002杞昊橙105585350106580钱程105425431204974钱梦婷105425432705826钱通华105425105420011乔韵100125000000410秦丹蕾105425431207510秦光远105425431205722秦思涵105425430203362秦恬恬105425105420092青柯利105425105420240卿建飞105425432302403卿柳梅105425431907139邱程伟105425432300696邱帆妤105425431507959邱峰105425410605350邱磊105425431507967邱晓君105425431402673邱羽亭105425105420280屈金兰105425432705026屈美105425141506388屈志斌105425105420143饶丽丽105425431500859饶路林105425360702537饶云洁105425431203662任放105425431506024任琪琪105335430508683任乔105425431207327任小夏105425431204071任毅105325351207615任志兰105425410508311荣森105425105420139阮坚105425431500794阮湘程105425431500792商梓轩105425105420242尚程鹏105425421602328尚冬琼105425431902208尚彦飞105425431502436尚园园105425411404905尚媛媛105425412306646邵海琴105425431501952邵俐102885100001735邵诗慧105425450206593申娉105615000006570申瑞瑞105425431701256申思105425431508241申文姣105585160110557沈忱100105100003369沈娟105425431204980沈珂105425105420043沈玲105425441207217沈帅言105425431706226沈欣萍105325501203681沈雁翔105425411501481沈跃元105425431502799沈韫青105425104030232沈忠原106105071000158盛贵105425105420286盛祎105425431506224师瑞宁107295008010609石嘉蔚105425105420219石雪105425371402319石一綪105425370104385史航105425431202338史慧珍105425141505037史蒙萌107185410707574史明森105425413002264史少菲105425141602354史艳105425431207492史志伟105425431301758首子航105425360100745舒放105425431207499舒丽霞105425105300113舒敏105425431207453舒盼105425432605340舒幸运105425421908415舒沂105425431502865舒璋艺105425360408164司品法105425370405740宋秉翰105425431207484宋丰君106105071000508宋冠杰105425411901984宋红燕105425411305254宋慧玲105425130202900宋姣姣105425411605259宋金玲105425431207513宋启帆105425431205576宋茜105425431506323宋群105335431501423宋柔力105425431503605宋文芳105425441600547宋先先105425411606645宋肖瑜105425105420276宋昕阑105425411301476宋欣105425431404477宋鑫105425107420024宋雪菲105425411605261宋志翔900025360101132苏百灵105425431502167苏格105425330305347苏梁峰105425432503720苏领105335432308691苏同欢105425371302824苏艺瑶105425431202841苏梓灵105425431504042宿光俊105425371102823粟锋105425105420006粟海青105425640104024粟琴105425431204983睢玉芸105425141504934孙贝芬105425431804521孙冬雪105425411503559孙红蕾105425130204171孙佳佳105425410502719孙菁檬105425431508478孙菁妍105425431202419孙军105425350602381孙栎105425105420148孙玲105425620308229孙美105425371106156孙美琪102465210001107孙梦佳105425411603560孙梦强105425410306558孙楠105425105420174孙盼105425411105250孙倩105425370600997孙胜男105425620606406孙诗源105425431205376孙文喆104235337063882孙晓华105425372308171孙晓祺105325141205317孙妍105425105420234孙艳105425431701876孙泽民105425431205574索婉105425130800560覃娟娟105425105420125覃满云105425431904293谭冰105425430907930谭波105425431501604谭菲菲105425431906050谭宏臻105425520405109谭婕105425430801092谭玲花105425511000438谭梦泽105425431202631谭飘105425432906338谭睿802015303000003谭淑雅105425101350075谭午兴105425105420127谭祥花105425431501132谭艳文105425450801543谭怡欣105425220703830谭应波105425430506689谭煜105425431502579谭珍105425432401312谭庄105425431403386汤陈宸105425431203003汤浩105325430502529汤洁105425431902954汤捷105425431207072汤靓105425430907933汤澜105425431205410汤玲英105425431802399汤明鑫102845210514494汤茜105425431806046汤唯唯105425431507675汤维105425105420282汤文105425321700863汤智105425105420118唐博宇105425431404659唐琛105425431203851唐辰明105425431202665唐纯105595210004984唐杜鹃105425431504503唐耿义105425431201644唐国君105425431502107唐红艳105425431805338唐惠萍105425120401629唐慧105325431703492唐佳乐105425105420237唐杰105425431606037唐婧105325431501643唐腊梅105425431804751唐立105425432406075唐莲105425370106929唐梦华105585330105540唐梦姣105425431503786唐娜105335432101696唐群105425410203799唐荣105425141604351唐茹萍105425432603296唐姗姗105425432607055唐声远105325431209540唐烁霖105425105420210唐苔苔105425431503460唐文焱105425105420051唐先悦121215000001614唐小兵105325430303393唐小超105425340605348唐晓玲105425432700933唐啸105425432102455唐秀丽105425431207624唐雪梅105425431500125唐艳姣105425105420297唐艺竭105325431712159唐于琴105425430602637唐禹105425432905306唐月亮105425431505823唐泽宇105425432602605唐志博105425430705292陶单宜105425105420249陶莉105425321101405陶俐芝105425105420179陶婷103165210202599陶侠妹105425105420057陶宇105425105420184滕东茁105425431501203滕飞105425341003642滕佩利105425370602249田达105425105420190田丰105425105420002田合兵105425432304319田灵芝105425432104306田佩105425432606250田庆庆105425431207417田仕芸105425431202838田思怡105425431900912田甜105425431902990田婷105425105420270田晓玉105425310601812田星星105425340402904田秀丽105425105420053田亚慧105325430903439田亚平105425105420001田忆105425431202632童亦劲105425432007760宛盈105425431504708万搏微105425360205834万芳105425431401100万峰105425640100579万格格105425105420226万康105425422102829万里105425431507249万露105325430703414万沙105425361003155万婷婷105425420507845万伟伟105425441506591万小双105425421103765万雨娟105425431204987万紫昕105425432705827汪丽萍105425105420088汪佩105425500204446汪巧蕾105425431205106汪雅婧105425340106547汪燕燕105425432500528汪杨105425105420177汪洋105425431200009汪奕舒105425431207913汪月琴105425361005057汪洲105425105420089王艾华105425431205928王宝斌105425370901003王兵105425432602960王炳淇105425431604115王朝俊900305140900067王朝阳105425431502576王承建105425105420098王春红105425411601485王春艳105425432506081王聪105425431207339王丹105425431802754王丹妮105425105360285王狄建105425431904301王方鸣105425140605732王芳105425431203660王芳105425430603782王飞105425342405209王菲105425511404014王菲105425340807181王丰盛105425431506012王官华105425141004893王昊105335430400208王浩吉105425372506159王浩文105425105420101王宏宇105425105420283王洪晶105425372506158王华云105425410505785王卉105425371403749王佳玉105425105420085王剑105425430702933王健105425431507655王杰105425231003737王晶晶105425432606786王娟105425431200037王俊杰105425101350122王开元105425431202472王凯旋105425431500834王柯淇105425431508464王莉105425431507636王立红105425431207428王立州102805210009098王丽莎105425411602325王丽霞105425520108218王灵105425360700989王玲玲105425361005056王留成105425410505836王龙妃105425370405220王露婷104865303023208王璐105425431207588王璐璐105425105420247王璐滔105425105420029王梅105425431204738王梅婷子105425431504594王美亚105425141505039王梦婕102485121517233王梦君105425421908435王梦梦105425412303650王梦雅105425105420211王苗苗105425431205484王妙婷105425431504087王娜105425411605082王攀105425430501084王培文105425105420220王琪105425432306067王倩105425431501854王倩105425431507259王青105425421902691王青锋105425141105903王青青105425422603623王清琪105425431602586王庆105425410503548。
西北师范大学2015年硕士研究生第一志愿复试名单公示(不含推免生、农村师资计划)姓名考生编号报考学院专业代码报考专业名称政治或管理类联考外语业务课一业务课二总分备注何梦霄107365620900196马克思主义学院010101马克思主义哲学6745137133382王宝熠107365620900198马克思主义学院010101马克思主义哲学5738127111333王瑞雪107365620900201马克思主义学院010101马克思主义哲学665213289339何飞龙107365620900203马克思主义学院010101马克思主义哲学5837118113326王喆107365620900207马克思主义学院010101马克思主义哲学534210889292李龙山107365620900208马克思主义学院010101马克思主义哲学6939123117348范晶107365620900209马克思主义学院010101马克思主义哲学7145118123357陈丽雄107365620900218马克思主义学院010102中国哲学6744118107336刘慧107365620900224马克思主义学院010102中国哲学574010080277张明敏107365620900231马克思主义学院010102中国哲学6635111108320王鹏生107365620900235马克思主义学院010103外国哲学7244126138380管丽莉107365620900239马克思主义学院010103外国哲学55389894285李雁华107365620900240马克思主义学院010105伦理学6951134142396刘丽107365620900244马克思主义学院010105伦理学5834121118331平慧江107365620900246马克思主义学院010105伦理学7161128132392苟强107365620900249经济学院020104西方经济学684978148343王红月107365620900253经济学院020202区域经济学7061135130396谢明栩107365620900263经济学院020202区域经济学6352106103324王宏107365620900271经济学院020204金融学5842109123332李广107365620900284经济学院020204金融学7145106103325张彦军107365620900289经济学院020204金融学694587147348杨科107365620900321法学院030101法学理论7554130119378卜鹏程107365620900325法学院030101法学理论615610593315道·道日娜107365620900329法学院030103宪法学与行政法学66339787283少数民族骨干计划考生王英107365620900335法学院030105民商法学7052118111351赵忠强107365620900338法学院030105民商法学7269127100368买天春107365620900339法学院030105民商法学5657119106338李高清107365620900344法学院030105民商法学6144116102323王小花107365620900345法学院030105民商法学6850123111352薛亚亚107365620900348法学院030106诉讼法学7465120110369滕龙107365620900349法学院030106诉讼法学6861126111366高艳菊107365620900352法学院030106诉讼法学5843119112332谢彬107365620900354法学院030106诉讼法学6753124107351郑菲107365620900359马克思主义学院030201政治学理论6153130105349赵彩绒107365620900362马克思主义学院030201政治学理论6350134124371李远超107365620900370马克思主义学院030201政治学理论654898106317孙文高107365620900373马克思主义学院030206国际政治7267122130391童睿宗107365620900376马克思主义学院030206国际政治664711191315周军成107365620900377马克思主义学院030206国际政治6942110117338马丁107365620900379马克思主义学院030206国际政治66498793295陈雅琳107365620900380马克思主义学院030206国际政治6340113115331班文彬107365620900382马克思主义学院030206国际政治581911757251少数民族骨干计划考生米洁107365620900383马克思主义学院030206国际政治6843125117353黄昌力107365620900386社会发展与公共管理学院030301社会学7247136129384虎伟东107365620900389社会发展与公共管理学院030301社会学6749139140395张华107365620900392社会发展与公共管理学院030301社会学8359144143429马耀乾107365620900394社会发展与公共管理学院030301社会学6541124132362马建军107365620900396历史文化学院030400民族学511810584258少数民族骨干计划考生马存亮107365620900400历史文化学院030400民族学6414104116298少数民族骨干计划考生王玉丹107365620900411马克思主义学院030501马克思主义基本原理5942120112333杨丽丽107365620900412马克思主义学院030501马克思主义基本原理644910992314杨洁107365620900413马克思主义学院030501马克思主义基本原理73569797323赵文彦107365620900417马克思主义学院030501马克思主义基本原理6146117104328罗振坤107365620900418马克思主义学院030501马克思主义基本原理7343136111363羊欢107365620900419马克思主义学院030503马克思主义中国化研究563910296293王堃107365620900420马克思主义学院030503马克思主义中国化研究665711597335米燕琴107365620900421马克思主义学院030503马克思主义中国化研究7141118117347邹雅萍107365620900422马克思主义学院030503马克思主义中国化研究6857118104347曾清华107365620900425马克思主义学院030503马克思主义中国化研究695310896326庞波107365620900426马克思主义学院030503马克思主义中国化研究7353131115372徐永杰107365620900432马克思主义学院030503马克思主义中国化研究7344118116351唐丽107365620900436马克思主义学院030505思想政治教育49468773255少数民族骨干计划考生陶婕107365620900437马克思主义学院030505思想政治教育4545127108325康琪107365620900440马克思主义学院030505思想政治教育7444129107354毛博奇107365620900441马克思主义学院030505思想政治教育6850117110345邵晨诚107365620900442马克思主义学院030505思想政治教育6446125106341田会玲107365620900443马克思主义学院030505思想政治教育6859130108365马成浩107365620900444马克思主义学院030505思想政治教育612110290274少数民族骨干计划考生侯倩雯107365620900448马克思主义学院030505思想政治教育634395105306宋文元107365620900450马克思主义学院030505思想政治教育554311788303巴凤琴107365620900452马克思主义学院030505思想政治教育6345118104330郑芮晗107365620900454马克思主义学院030505思想政治教育694212292325梁娜107365620900460马克思主义学院030505思想政治教育7044118113345邱丽莹107365620900461马克思主义学院030505思想政治教育6845101101315高斌107365620900463马克思主义学院030505思想政治教育663994102301张丹107365620900472马克思主义学院030505思想政治教育6859126114367刘亚库107365620900480马克思主义学院030505思想政治教育6245106103316李永田107365620900489马克思主义学院030505思想政治教育734711189320杨杰107365620900490马克思主义学院030505思想政治教育673710896308少数民族骨干计划考生李建荣107365620900495马克思主义学院030505思想政治教育7145114100330徐海静107365620900497马克思主义学院030505思想政治教育605111699326权新月107365620900499马克思主义学院030505思想政治教育6445120106335耿静107365620900501马克思主义学院030505思想政治教育5642104103305孙祥107365620900503社会发展与公共管理学院035200社会工作6060125124369马忠光107365620900507社会发展与公共管理学院035200社会工作5735112110314少数民族骨干计划考生杨霖107365620900509社会发展与公共管理学院035200社会工作5548130114347张婷107365620900510社会发展与公共管理学院035200社会工作556298111326赵中菊107365620900511社会发展与公共管理学院035200社会工作7062117122371马琰曦107365620900512社会发展与公共管理学院035200社会工作5757123112349郭芹107365620900519社会发展与公共管理学院035200社会工作6963119116367王虹茹107365620900521社会发展与公共管理学院035200社会工作6155114105335沙海军107365620900523社会发展与公共管理学院035200社会工作6322118113316少数民族骨干计划考生吴璞良107365620900524社会发展与公共管理学院035200社会工作6644118104332陈一新107365620900525社会发展与公共管理学院035200社会工作5626125121328少数民族骨干计划考生胡亚107365620900526社会发展与公共管理学院035200社会工作6067129125381范婷婷107365620900528社会发展与公共管理学院035200社会工作6567134122388赵志浩107365620900529社会发展与公共管理学院035200社会工作6753124123367王晓焘107365620900530社会发展与公共管理学院035200社会工作5867111125361夏冬107365620900531社会发展与公共管理学院035200社会工作6147124115347石晓艺107365620900532社会发展与公共管理学院035200社会工作6972132128401俞博文107365620900534社会发展与公共管理学院035200社会工作5959129117364魏晨107365620900535社会发展与公共管理学院035200社会工作6447125116352李晶瑶107365620900536社会发展与公共管理学院035200社会工作6254131126373周雨林107365620900537社会发展与公共管理学院035200社会工作5947113118337严万鑫107365620900539社会发展与公共管理学院035200社会工作6245129118354张倩107365620900540社会发展与公共管理学院035200社会工作6359116102340唐泽107365620900542社会发展与公共管理学院035200社会工作6948129119365朱娜107365620900544社会发展与公共管理学院035200社会工作6649130126371冯佳佳107365620900557教育学院040101教育学原理68502320350赵亚楠107365620900562教育学院040101教育学原理71512090331许雷107365620900563教育学院040101教育学原理66512050322朱幸平107365620900564教育学院040101教育学原理73432240340赵旺来107365620900565教育学院040101教育学原理66482260340李昊毓107365620900568教育学院040101教育学原理63552160334康巧兰107365620900572教育学院040101教育学原理73412030317付翠107365620900575教育学院040101教育学原理69602200349陈立焕107365620900585教育学院040101教育学原理66492130328熊子成107365620900590教育学院040101教育学原理60191790258少数民族骨干计划考生贠金兵107365620900596教育学院040101教育学原理61502170328阎珂珂107365620900600教育学院040101教育学原理70552220347邓长莉107365620900609教育学院040101教育学原理68502110329于莉莉107365620900615教育学院040101教育学原理63462170326王鐘107365620900619教育学院040101教育学原理74512000325李亚楠107365620900620教育学院040101教育学原理59582050322成晓丽107365620900632教育学院040102课程与教学论73642320369张晓107365620900644教育学院040102课程与教学论72491970318张玉红107365620900651教育学院040102课程与教学论67542010322陈晓倩107365620900655教育学院040102课程与教学论71422150328许晓君107365620900658教育学院040102课程与教学论69462010316赵雪松107365620900660教育学院040102课程与教学论52421920286少数民族骨干计划考生吴梅107365620900668教育学院040102课程与教学论65612080334白苗苗107365620900674教育学院040102课程与教学论73622010336景艳107365620900675教育学院040102课程与教学论73562120341王佳107365620900676教育学院040102课程与教学论73532070333任丽斌107365620900681教育学院040102课程与教学论68512330352杨淑君107365620900686教育学院040102课程与教学论72522200344李丹丹107365620900688教育学院040102课程与教学论58431530254少数民族骨干计划考生孟玲107365620900691教育学院040102课程与教学论60561740290少数民族骨干计划考生陈玉莲107365620900692教育学院040102课程与教学论76572110344房得阳107365620900705教育学院040102课程与教学论50412350326赵珊107365620900708教育学院040102课程与教学论63492110323张元媛107365620900712教育学院040102课程与教学论64572590380李凯107365620900717教育学院040102课程与教学论58452470350汪飞飞107365620900722教育学院040102课程与教学论54512540359屈小燕107365620900723教育学院040102课程与教学论60462520358赵文娟107365620900726教育学院040102课程与教学论62432580363李生燕107365620900734教育学院040102课程与教学论51482480347朱秋塔107365620900735教育学院040102课程与教学论69502300349李婷婷107365620900738教育学院040102课程与教学论63532430359刘昱辰107365620900739教育学院040102课程与教学论64502430357杨梦姝107365620900747教育学院040102课程与教学论71421980311段彩雪107365620900750教育学院040102课程与教学论69442260339张家平107365620900753教育学院040102课程与教学论71561830310郭江107365620900756教育学院040102课程与教学论70522100332杨唱107365620900757外国语学院040102课程与教学论75662370378周津慧107365620900768外国语学院040102课程与教学论68621920322海韬107365620900779外国语学院040102课程与教学论70671940331雍丹107365620900790外国语学院040102课程与教学论66432160325索丹107365620900797外国语学院040102课程与教学论61641960321冉苒107365620900804外国语学院040102课程与教学论69602020331张云鹏107365620900823外国语学院040102课程与教学论67622160345杨婷婷107365620900825外国语学院040102课程与教学论65502060321秦润山107365620900827外国语学院040102课程与教学论64522160332司徒金妮107365620900828外国语学院040102课程与教学论69562060331李婷107365620900832外国语学院040102课程与教学论66552180339谢蕊107365620900841外国语学院040102课程与教学论72572010330马旭冉107365620900844外国语学院040102课程与教学论73552140342赵晓晶107365620900847外国语学院040102课程与教学论74702230367段乔雨107365620900855教育学院040103教育史70492160335李亚丽107365620900865教育学院040104比较教育学70442100324李婧妮107365620900866教育学院040104比较教育学74481940316范丽娟107365620900870教育学院040104比较教育学66472050318刘丹丹107365620900873教育学院040105学前教育学72522030327贺同华107365620900874教育学院040105学前教育学71632000334彭丽107365620900877教育学院040105学前教育学70552120337魏梦琦107365620900881教育学院040105学前教育学61562130330边江涵107365620900883教育学院040105学前教育学72412190332陈丽竹107365620900890教育学院040105学前教育学61622050328李笑晓107365620900891教育学院040105学前教育学69472140330李迪107365620900895教育学院040105学前教育学68572160341朱彦吏107365620900896教育学院040105学前教育学67482150330刘亚玲107365620900898教育学院040105学前教育学72462340352张昕107365620900919教育学院040105学前教育学63532040320王蕊107365620900924教育学院040105学前教育学70462090325曹丽丽107365620900933教育学院040105学前教育学70472170334李燕107365620900939教育学院040105学前教育学64442160324彭岩107365620900954教育学院040105学前教育学64522010317朱璐璇107365620900965教育学院040105学前教育学74802290383戴莹莹107365620900971教育学院040105学前教育学68512020321杨红岩107365620900976教育学院040105学前教育学67582130338张倩钰107365620900984教育学院040105学前教育学59572020318宗宁107365620900992教育学院040105学前教育学63492410353张思思107365620900994教育学院040105学前教育学72532040329李晔107365620900995教育学院040105学前教育学70452210336张洁107365620900997教育学院040105学前教育学66472060319何苗107365620901008教育学院040105学前教育学67472080322王英107365620901024教育学院040106高等教育学69522220343何学斌107365620901028教育学院040106高等教育学69491740292少数民族骨干计划考生王聪莉107365620901032教育学院040106高等教育学67452200332陈怡静107365620901048教育学院040106高等教育学63522200335王禛107365620901061教育学院040106高等教育学71482280347李洁茹107365620901062教育学院040109特殊教育学74522070333金文珊107365620901063教育学院040109特殊教育学62602020324石香云107365620901066教育学院040109特殊教育学71601950326张泰芸107365620901067教育学院040109特殊教育学69491980316魏亚亚107365620901069教育学院040109特殊教育学66482120326陈兰花107365620901072教育学院040109特殊教育学64422260332郭二梅107365620901076教育学院040109特殊教育学67442110322贾晓萍107365620901077教育学院040109特殊教育学68572210346文桃107365620901078教育学院040109特殊教育学76542180348王晓红107365620901088教育学院0401Z2少年儿童组织与思想意识教育70502160336杨燕春107365620901091教育学院0401Z2少年儿童组织与思想意识教育64472230334张晓欢107365620901095心理学院040201基础心理学69351860290少数民族骨干计划考生马晓晨107365620901101心理学院040201基础心理学67592470373苏婉茹107365620901102心理学院040201基础心理学68602140342贾丽娜107365620901107心理学院040201基础心理学71512630385岳永磊107365620901109心理学院040201基础心理学65432200328李红利107365620901117心理学院040202发展与教育心理学69482390356魏丽107365620901118心理学院040202发展与教育心理学66522360354韩应照107365620901122心理学院040202发展与教育心理学70452160331温梦麟107365620901123心理学院040202发展与教育心理学66482340348周肃军107365620901125心理学院040202发展与教育心理学74512030328吴晨静107365620901134心理学院040202发展与教育心理学60492360345马嘉琳107365620901137心理学院040202发展与教育心理学71582170346蔡雨彤107365620901142心理学院040202发展与教育心理学72732380383王莎107365620901153心理学院040202发展与教育心理学70572090336谭阳刚107365620901162心理学院040202发展与教育心理学67412280336王文慧107365620901170心理学院040203应用心理学67442240335吴文意107365620901177心理学院040203应用心理学64532290346付瑾107365620901185心理学院040203应用心理学65502140329赵阿云107365620901192心理学院040203应用心理学72582160346吕东107365620901197心理学院040203应用心理学69482190336王超107365620901213体育学院040301体育人文社会学56321770265廖鼎文107365620901214体育学院040301体育人文社会学36312170284李中兰107365620901221体育学院040301体育人文社会学61352090305王艳107365620901222体育学院040302运动人体科学63452500358于保鹏107365620901235体育学院040303体育教育训练学51341910276苏浩斌107365620901241体育学院040303体育教育训练学47451740266刘凯107365620901245体育学院040303体育教育训练学59481850292魏立鹍107365620901254体育学院040303体育教育训练学48331770258马萧107365620901257体育学院040303体育教育训练学53152100278少数民族骨干计划考生赵洪海107365620901265体育学院040303体育教育训练学62442650371杨茂祥107365620901268体育学院040303体育教育训练学58402050303周振东107365620901271体育学院040303体育教育训练学33391850257赵守斌107365620901282体育学院040303体育教育训练学72552230350张军亮107365620901293体育学院040303体育教育训练学32382250295王春肖107365620901296体育学院040303体育教育训练学51312320314常桂雷107365620901297体育学院040303体育教育训练学58452430346罗玄极107365620901298体育学院040303体育教育训练学55352360326窦元朴107365620901313体育学院040303体育教育训练学55322100297闫凯107365620901317体育学院040303体育教育训练学59441760279岳红闪107365620901318体育学院040303体育教育训练学62342420338马小云107365620901319体育学院040303体育教育训练学52192210292少数民族骨干计划考生杨星107365620901329体育学院040303体育教育训练学54442240322刘超强107365620901331体育学院040303体育教育训练学58332500341李慧107365620901332体育学院040303体育教育训练学61402290330石芝翔107365620901337体育学院040303体育教育训练学59412220322李静107365620901338体育学院040303体育教育训练学60432030306常潇雅107365620901339体育学院040303体育教育训练学67392240330马林107365620901344体育学院040303体育教育训练学64372360337杨堤107365620901354体育学院040303体育教育训练学56622100328杨林强107365620901363体育学院040304民族传统体育学50462250321沈志鹏107365620901367教育学院045102学科教学(思政)6942115102328徐丹107365620901368教育学院045102学科教学(思政)665811292328毛蓉107365620901369教育学院045102学科教学(思政)6663107102338张旭升107365620901374教育学院045102学科教学(思政)714811599333谈伟107365620901378教育学院045102学科教学(思政)6847105109329王田107365620901384教育学院045102学科教学(思政)5148133103335王瑞雪107365620901393教育学院045102学科教学(思政)644810698316李文娟107365620901408教育学院045103学科教学(语文)6257104110333少数民族骨干计划考生白海静107365620901409教育学院045103学科教学(语文)7246118113349王霞107365620901412教育学院045103学科教学(语文)6263115122362郝茜107365620901420教育学院045103学科教学(语文)6860128116372达玉婷107365620901421教育学院045103学科教学(语文)6048138127373茹彩芳107365620901422教育学院045103学科教学(语文)7959109115362安晓107365620901425教育学院045103学科教学(语文)6754131117369晁丹107365620901426教育学院045103学科教学(语文)6462116117359李亚萍107365620901430教育学院045103学科教学(语文)6152120108341少数民族骨干计划考生苟永强107365620901432教育学院045103学科教学(语文)6752122113354陈宁宁107365620901433教育学院045103学科教学(语文)6759110110346王晓斐107365620901435教育学院045103学科教学(语文)6257121123363苏俊娇107365620901445教育学院045103学科教学(语文)6856113113350蔡霞107365620901446教育学院045103学科教学(语文)6360120117360马娟妮107365620901449教育学院045103学科教学(语文)6755103123348王博107365620901478教育学院045103学科教学(语文)6958105122354马兰兰107365620901479教育学院045103学科教学(语文)6357137115372耿改莲107365620901486教育学院045103学科教学(语文)6063129111363郭佳佳107365620901497教育学院045103学科教学(语文)6959104118350高莉107365620901500教育学院045103学科教学(语文)6364111118356王涵瑜107365620901505教育学院045103学科教学(语文)6959115125368刘红燕107365620901511教育学院045103学科教学(语文)6767115109358张娟娟107365620901513教育学院045103学科教学(语文)7254117123366吕春晓107365620901515教育学院045103学科教学(语文)5955118120352陈义琴107365620901516教育学院045103学科教学(语文)5672121119368张洪艳107365620901517教育学院045103学科教学(语文)6674132129401朱亚文107365620901518教育学院045103学科教学(语文)6348129107347张露萍107365620901522教育学院045103学科教学(语文)6656111112345秦炜杰107365620901524教育学院045104学科教学(数学)6255111110338杨宇琼107365620901525教育学院045104学科教学(数学)594597113314李真真107365620901532教育学院045104学科教学(数学)5854113118343项丽红107365620901543教育学院045104学科教学(数学)6366122115366王小虎107365620901544教育学院045104学科教学(数学)6351116117347王兴乐107365620901548教育学院045104学科教学(数学)634195122321曾海英107365620901549教育学院045104学科教学(数学)6143111126341周文芬107365620901554教育学院045104学科教学(数学)6956128124377李晶107365620901555教育学院045104学科教学(数学)644592112313陈加强107365620901556教育学院045104学科教学(数学)6358128131380丁鑫107365620901557教育学院045104学科教学(数学)686299100329张凡107365620901558教育学院045104学科教学(数学)6454116124358李玺107365620901559教育学院045104学科教学(数学)7162129122384陈苗107365620901560教育学院045104学科教学(数学)5856112105331马姗姗107365620901562教育学院045104学科教学(数学)645895120337李江荣107365620901565教育学院045105学科教学(物理)6350107143363张登越107365620901566教育学院045105学科教学(物理)5756102131346范永勤107365620901574教育学院045105学科教学(物理)6247113143365车向乾107365620901590教育学院045106学科教学(化学)615196107315钱杏慧107365620901591教育学院045106学科教学(化学)6260111117350岳生辉107365620901593教育学院045106学科教学(化学)7242103112329刘剑107365620901595教育学院045106学科教学(化学)4657110111324何晴107365620901603教育学院045107学科教学(生物)6949103135356马云霞107365620901605教育学院045107学科教学(生物)586390120331秦媛107365620901606教育学院045107学科教学(生物)585096121325蒲玉107365620901608教育学院045107学科教学(生物)564491128319张晨璐107365620901609外国语学院045108学科教学(英语)647892121355赵双107365620901610外国语学院045108学科教学(英语)6566112116359李霞霞107365620901622外国语学院045108学科教学(英语)6472131128395梁娟娟107365620901624外国语学院045108学科教学(英语)6469115113361张宇清107365620901630外国语学院045108学科教学(英语)5875108112353马芮107365620901632外国语学院045108学科教学(英语)6783113128391韩珂107365620901634外国语学院045108学科教学(英语)7062123113368赵明慧107365620901637外国语学院045108学科教学(英语)6983127131410吕芳芳107365620901640外国语学院045108学科教学(英语)716312999362张涛107365620901644外国语学院045108学科教学(英语)7474128123399潘碧娴107365620901646外国语学院045108学科教学(英语)5369113120355吴冬艳107365620901648外国语学院045108学科教学(英语)6062133111366岳冉107365620901649外国语学院045108学科教学(英语)6172124105362高琳琳107365620901650外国语学院045108学科教学(英语)637993118353吉瑶107365620901653外国语学院045108学科教学(英语)6471116111362党晓敏107365620901654外国语学院045108学科教学(英语)6876122118384陈婷107365620901655外国语学院045108学科教学(英语)6474122123383王月霞107365620901658外国语学院045108学科教学(英语)7067137104378张亚强107365620901663外国语学院045108学科教学(英语)6963134109375杜璠琰107365620901664外国语学院045108学科教学(英语)6568117128378柏晓琴107365620901677外国语学院045108学科教学(英语)5775115123370林姗姗107365620901684外国语学院045108学科教学(英语)6374122121380薛雯107365620901685外国语学院045108学科教学(英语)6175108112356宋馨107365620901690外国语学院045108学科教学(英语)7473130114391郭晓艳107365620901699外国语学院045108学科教学(英语)6478112127381郭通107365620901701外国语学院045108学科教学(英语)697687134366阿衣加马力·阿曼吐尔107365620901702外国语学院045108学科教学(英语)525810179290少数民族骨干计划考生廖若兰107365620901703外国语学院045108学科教学(英语)6670112116364李静窈107365620901704外国语学院045108学科教学(英语)6973116102360王宣敏107365620901705外国语学院045108学科教学(英语)7274140123409周芸107365620901706外国语学院045108学科教学(英语)6171124104360唐娇娇107365620901711外国语学院045108学科教学(英语)7066110126372郭艳君107365620901712外国语学院045108学科教学(英语)6872109109358张博文107365620901713外国语学院045108学科教学(英语)7177134133415王香芹107365620901727外国语学院045108学科教学(英语)6761108122358王世菁107365620901728外国语学院045108学科教学(英语)6961110113353张丽萍107365620901730外国语学院045108学科教学(英语)6458115114351李雅琼107365620901731外国语学院045108学科教学(英语)6577120127389潘从刚107365620901735外国语学院045108学科教学(英语)657098121354潘国庆107365620901738外国语学院045108学科教学(英语)6176131129397赵莎莎107365620901744外国语学院045108学科教学(英语)5977128126390李非霖107365620901746外国语学院045108学科教学(英语)6569100117351杨欢107365620901747外国语学院045108学科教学(英语)6680108122376马斌斌107365620901749外国语学院045108学科教学(英语)6563125106359王志宏107365620901751外国语学院045108学科教学(英语)5466113129362梁燕107365620901753外国语学院045108学科教学(英语)5572110125362鲜小军107365620901758外国语学院045108学科教学(英语)6179117137394张玉婷107365620901762外国语学院045108学科教学(英语)6669132115382李亚亚107365620901769外国语学院045108学科教学(英语)6476106127373何智霞107365620901777外国语学院045108学科教学(英语)6172121117371张煜晨107365620901780外国语学院045108学科教学(英语)6564119103351王婕107365620901791外国语学院045108学科教学(英语)7168118123380王育妹107365620901792外国语学院045108学科教学(英语)6477120124385李丽107365620901799外国语学院045108学科教学(英语)7465115100354谢萍107365620901801外国语学院045108学科教学(英语)6874127125394宗菲菲107365620901803外国语学院045108学科教学(英语)5869108121356田苗107365620901804外国语学院045108学科教学(英语)6262110119353汪琰107365620901807外国语学院045108学科教学(英语)647490130358苏珊珊107365620901809外国语学院045108学科教学(英语)6580130128403李珊珊107365620901812外国语学院045108学科教学(英语)7380127130410刘婷107365620901817教育学院045109学科教学(历史)624899122331李苗107365620901822教育学院045109学科教学(历史)6956117113355王建婷107365620901825教育学院045109学科教学(历史)6455116115350范雯雯107365620901829教育学院045109学科教学(历史)6359118136376李璐107365620901832教育学院045109学科教学(历史)6857114125364马小芳107365620901833教育学院045109学科教学(历史)7166125102364姚海明107365620901835教育学院045109学科教学(历史)6853100107328鲁瑶107365620901836教育学院045109学科教学(历史)6875126114383陈涛107365620901842教育学院045110学科教学(地理)6653119125363张紫蕊107365620901847教育学院045110学科教学(地理)6363103115344满小萍107365620901849教育学院045110学科教学(地理)5767107114345张小丽107365620901856教育学院045110学科教学(地理)7367131134405雒亚楠107365620901863教育学院045110学科教学(地理)7565114125379付瑞瑞107365620901865教育学院045110学科教学(地理)7269125110376杜文花107365620901866教育学院045110学科教学(地理)6555101118339师春霞107365620901867教育学院045110学科教学(地理)6951137109366李玉彤107365620901877教育技术学院045114现代教育技术6441112117334张惠娟107365620901878教育技术学院045114现代教育技术626587101315高琼107365620901880教育技术学院045114现代教育技术6944131136380李宏业107365620901881教育技术学院045114现代教育技术662697112301少数民族骨干计划考生伊丽菲热·亥米提107365620901885教育技术学院045114现代教育技术55426596258少数民族骨干计划考生李婷107365620901886教育技术学院045114现代教育技术744892115329赵海忠107365620901889教育技术学院045114现代教育技术7062112111355刘亚琦107365620901896心理学院045116心理健康教育6245122129358刘嘉107365620901897心理学院045116心理健康教育5971114117361伍蕾107365620901902心理学院045116心理健康教育656591120341孟丽红107365620901904心理学院045116心理健康教育5456100109319王琰107365620901910心理学院045116心理健康教育6544112142363王丹107365620901912心理学院045116心理健康教育616092114327强秀云107365620901915心理学院045116心理健康教育624292115311李艳霞107365620901925教育学院045118学前教育6343124106336岳青彬107365620901926教育学院045118学前教育6356107113339李宜谦107365620901939教育学院045118学前教育675410593319常艺小107365620901956教育学院045118学前教育7550121101347邢鹏霞107365620901967教育学院045118学前教育584311694311田力力107365620901968教育学院045118学前教育625012395330岳素云107365620901975教育学院045118学前教育6760124102353高嘉阳107365620901977教育学院045118学前教育565512291324少数民族骨干计划考生蒋爱弟107365620901982教育学院045118学前教育6060130108358高永奇107365620901992体育学院045201体育教学63242080295少数民族骨干计划考生包有锋107365620901993体育学院045201体育教学56312390326姜永斌107365620902004体育学院045201体育教学53352320320蒋智维107365620902010体育学院045201体育教学42611870290牛紫锌107365620902013体育学院045201体育教学59362250320李治云107365620902014体育学院045201体育教学61482480357刘强107365620902017体育学院045201体育教学55352360326雷博107365620902019体育学院045201体育教学50341820266陈保兄107365620902022体育学院045201体育教学58482540360吴亚梅107365620902026体育学院045201体育教学53462140313毕博107365620902048体育学院045202运动训练48332170298王文慧107365620902056体育学院045204社会体育指导47571550259赵法伟107365620902058体育学院045204社会体育指导54362350325陈武107365620902060体育学院045204社会体育指导52671940313马莉燕107365620902063体育学院045204社会体育指导60331810274范昱107365620902071国际文化交流学院045300汉语国际教育5741111103312张艳娜107365620902073国际文化交流学院045300汉语国际教育6958110106343董晋男107365620902080国际文化交流学院045300汉语国际教育6746135109357张丽萍107365620902086国际文化交流学院045300汉语国际教育624811894322孙伊林107365620902088国际文化交流学院045300汉语国际教育7345125121364王茜怡107365620902090国际文化交流学院045300汉语国际教育6752127118364吴艳青107365620902091国际文化交流学院045300汉语国际教育604711197315王希琴107365620902096国际文化交流学院045300汉语国际教育5950122121352唐叶岚107365620902097国际文化交流学院045300汉语国际教育5260123113348戚莉娜107365620902098国际文化交流学院045300汉语国际教育6444124116348薛景文107365620902099国际文化交流学院045300汉语国际教育5947115106327连欣107365620902102国际文化交流学院045300汉语国际教育585111884311魏铎107365620902103国际文化交流学院045300汉语国际教育6850102103323李亚红107365620902105国际文化交流学院045300汉语国际教育614711097315张珍源107365620902119国际文化交流学院045300汉语国际教育654211598320甘海瑛107365620902121国际文化交流学院045300汉语国际教育604512398326许岩107365620902123国际文化交流学院045300汉语国际教育5754108122341刘昊107365620902125国际文化交流学院045300汉语国际教育645110296313张语晨107365620902126国际文化交流学院045300汉语国际教育6258117111348黄勤海107365620902127国际文化交流学院045300汉语国际教育715710392323王亚婷107365620902130国际文化交流学院045300汉语国际教育6661115100342王蕾107365620902132国际文化交流学院045300汉语国际教育5943121118341张倩107365620902135国际文化交流学院045300汉语国际教育675112499341赵晓薇107365620902136国际文化交流学院045300汉语国际教育7275105118370董灏107365620902137国际文化交流学院045300汉语国际教育7151124118364杨柳青107365620902138国际文化交流学院045300汉语国际教育7150117101339甘婷107365620902139国际文化交流学院045300汉语国际教育5946129117351李雪107365620902150国际文化交流学院045300汉语国际教育6862127116373樊丹107365620902152国际文化交流学院045300汉语国际教育7253135114374彭佩佩107365620902158国际文化交流学院045300汉语国际教育6246114112334解迎军107365620902159国际文化交流学院045300汉语国际教育6254121110347张倩107365620902162国际文化交流学院045300汉语国际教育7259115113359李娴107365620902163国际文化交流学院045300汉语国际教育6743104103317黄亚丽107365620902165国际文化交流学院045300汉语国际教育6352120115350金淑珍107365620902167国际文化交流学院045300汉语国际教育64569994313吴鹏程107365620902168国际文化交流学院045300汉语国际教育7453109111347陈彤107365620902169国际文化交流学院045300汉语国际教育6549115111340王榕107365620902172国际文化交流学院045300汉语国际教育49379390269少数民族骨干计划考生赵沐岩107365620902173国际文化交流学院045300汉语国际教育6643115117341少数民族骨干计划考生周映萱107365620902174国际文化交流学院045300汉语国际教育644313497338何露107365620902175国际文化交流学院045300汉语国际教育7152124124371唐红倩107365620902177国际文化交流学院045300汉语国际教育5741122106326张彦荣107365620902184国际文化交流学院045300汉语国际教育6556132114367桑小璐107365620902186国际文化交流学院045300汉语国际教育515610998314鲁光颖107365620902190心理学院045400应用心理58402030301少数民族骨干计划考生付亚南107365620902194心理学院045400应用心理67552210343石占菊107365620902202心理学院045400应用心理56581970311宗明江107365620902203心理学院045400应用心理67531910311胡逸轩107365620902210心理学院045400应用心理74632260363沈雨阳107365620902214心理学院045400应用心理64582340356李雪芸107365620902217心理学院045400应用心理70632080341王维107365620902220心理学院045400应用心理63542160333李少玫107365620902221心理学院045400应用心理64542260344冯秋涵107365620902222心理学院045400应用心理68732380379张丽娜107365620902223心理学院045400应用心理56492230328李建华107365620902226心理学院045400应用心理67622280357石媛107365620902227心理学院045400应用心理67602420369高旭玲107365620902229心理学院045400应用心理66422590367白丽娟107365620902231心理学院045400应用心理56522420350康铁君107365620902233心理学院045400应用心理70412360347杨琴107365620902245心理学院045400应用心理69712140354马冰107365620902249心理学院045400应用心理62531980313唐玉榕107365620902250心理学院045400应用心理66612020329张鑫107365620902252心理学院045400应用心理69732140356安书彬107365620902253心理学院045400应用心理71542200345崔茜茜107365620902256心理学院045400应用心理69642240357。