有机合成专题训练试题(含答案)
- 格式:doc
- 大小:1.37 MB
- 文档页数:19
有机合成化学试题及答案一、选择题(每题2分,共10分)1. 下列化合物中,哪一个不是芳香化合物?A. 苯B. 呋喃C. 环戊二烯D. 环己烷答案:D2. 在有机合成中,下列哪种反应不是还原反应?A. 氢化B. 还原胺化C. 氧化D. 硼氢化答案:C3. 以下哪个不是卤代烃的反应?A. 亲核取代B. 消除反应C. 还原反应D. 氧化反应答案:D4. 在有机合成中,下列哪种试剂不用于形成碳碳双键?A. 格氏试剂B. 羰基化合物C. 卤代烷D. 醇答案:D5. 以下哪个化合物不是烯烃?A. 乙烯B. 丙烯C. 环己烯D. 环己烷答案:D二、填空题(每题2分,共10分)1. 有机合成中,_________是一种常用的保护羟基的方法。
答案:甲硅烷基化2. 烷基化反应中,常用的烷基化试剂是_________。
答案:卤代烷3. 在有机合成中,_________反应可以用于合成环状化合物。
答案:Diels-Alder4. 有机合成中,_________是一种常用的氧化剂。
答案:铬酸5. 有机合成中,_________反应可以用来合成酯。
答案:酯化三、简答题(每题5分,共20分)1. 简述格氏试剂的制备过程。
答案:格氏试剂的制备通常涉及将卤代烷与金属镁在干燥的乙醚中反应,生成相应的格氏试剂。
2. 描述一下亲核取代反应的机理。
答案:亲核取代反应通常涉及一个亲核试剂攻击一个电性中心(如卤代烷),导致旧键的断裂和新键的形成。
3. 什么是E1和E2消除反应?它们的主要区别是什么?答案:E1和E2消除反应都是形成碳碳双键的反应。
E1是一个分步过程,涉及一个碳正离子中间体;而E2是一个协同过程,不涉及中间体。
4. 简述氧化还原反应在有机合成中的重要性。
答案:氧化还原反应在有机合成中非常重要,它们可以用来增加或减少分子中的氧化态,从而改变分子的化学性质和反应性。
四、计算题(每题10分,共20分)1. 给定一个反应:2-丁醇 + 铬酸→ 2-丁酮 + 水。
高中化学《有机合成的综合应用》练习题(附答案解析)学校:___________姓名:___________班级:_______________一、单选题1.物质J(如图所示)是一种具有生物活性的化合物。
下列说法中正确的是 ( )A .J 分子中所有碳原子有可能共平面B .J 中存在5种含氧官能团C .J 分子存在对映异构D .1mol J 最多能与2mol NaOH 发生反应2.分别燃烧等物质的量的下列各组物质,其中消耗氧气的量相等的是( )①C 2H 2与C 2H 4O ②C 4H 8与C 6H 12O 6③C 7H 8与C 6H 12④HCOOCH 3与CH 3COOHA .①④B .①②④C .①③④D .①②③④3.下列各大化合物中,能发生酯化、还原、氧化、加成、消去五种反应的是( )A .B .C .3CH CH CH CHO -=-D .4.某种药物合成过程中的一种中间产物结构表示如下: 。
下列有关该中间产物的说法不正确的是( )A .化学式为C 15H 12NO 4ClB .可以发生水解反应C .苯环上的一氯代物有7种D .含有3种官能团5.在有机物分子中,若某个碳原子连接着四个不同的原子或原子团,这种碳原子称为“手性碳原子”,凡有一个手性碳原子的物质一定具有光学活性,物质经过以下反应仍具有光学活性的是( )A .与乙酸发生酯化反应B .与NaOH 水溶液反应C .与银氨溶液作用只发生银镜反应D .在催化剂作用下与H 2加成6.海博麦布是我国首个自主研发的胆固醇吸收抑制剂,结构简式如图所示。
下列说法错误的是A .该分子存在顺反异构体B .该分子中含有2个手性碳原子C .该物质能与23Na CO 反应产生无色气体D .1mol 该物质与浓溴水反应,最多消耗3mol 2Br7.设N A 为阿伏加德罗常数的值,下列说法正确的是( )A .28g 聚乙烯中含有N A 个碳碳双键B .1 mol 乙烯与Cl 2完全加成,然后与Cl 2发生取代反应,共消耗Cl 2分子数最多为6 N AC .标准状况下,2.24L CCl 4中的原子总数大于0.5 N AD .17g 羟基中含有的电子数为10 N A8.有机物Z 常用于治疗心律失常,Z 可由有机物X 和Y 在一定条件下反应制得,下列叙述正确的是()A .X 中所有原子可能在同一平面上B .1mol Y 在稀硫酸中充分加热后,体系中存在3种有机物C .加入KOH 有利于该反应的发生D .1mol Z 与足量2H 反应,最多消耗26mol H9.乙酰水杨酸即阿司匹林是最常用的解热镇痛药,其结构如图所示。
有机合成专题训练(2017级)1.某酯K是一种具有特殊香气的食用香料,广泛应用于食品和医疗中。
其合成路线如下:已知:RCH2COOH CH3CHCOOH(1)E的含氧官能团名称是。
(2)试剂X是(填化学式);②的反应类型是。
(3)D的电离方程式是。
(4)F的分子式为C6H6O,其结构简式是。
(5)W的相对分子质量为58,1 mol W完全燃烧可产生3.0 mol CO2和3.0 mol H2O,且W的分子中不含甲基,为链状结构。
⑤的化学方程式是。
(6)G有多种属于酯的同分异构体,请写出同时满足下列条件的所有同分异构体的结构简式:。
①能发生银镜反应且能与饱和溴水反应生成白色沉淀②苯环上只有两个取代基且苯环上的一硝基取代物只有两种2.光刻胶是一种应用广泛的光敏材料,其合成路线如下(部分试剂和产物略去):已知:Ⅰ.R1C H OR 2CH HCHOR 1CH C R 2CHO +(R ,R’为烃基或氢)Ⅱ.R 1C O Cl R 2OHR 1C O OR 2HCl++(R ,R’为烃基)(1)A 分子中含氧官能团名称为 。
(2)羧酸X 的电离方程式为 。
(3)C 物质可发生的反应类型为 (填字母序号)。
a .加聚反应b . 酯化反应c . 还原反应d .缩聚反应(4)B 与Ag(NH 3)2OH 反应的化学方程式为 。
(5)乙炔和羧酸X 加成生成E ,E 的核磁共振氢谱为三组峰,且峰面积比为3:2:1,E 能发生水解反应,则E 的结构简式为 。
(6)与C 具有相同官能团且含有苯环的同分异构体有4种,其结构简式分别为CH CH 2COOH 、CH CH 2HOOC、 和 。
(7)D 和G 反应生成光刻胶的化学方程式为 。
3.高分子化合物G是作为锂电池中Li+迁移的介质,合成G的流程如下:已知:①②(1)B的含氧官能团名称是。
(2)A→B的反应类型是。
(3)C的结构简式是。
(4)D→E反应方程式是。
(5)G的结构简式是。
有机合成工考试试题(题库版)1、单选下列试剂中属于硝化试剂的是()A.浓硫酸B.氨基磺酸C.混酸D.三氧化硫正确答案:C2、单选20%发烟硝酸换算成硫酸的浓度为()。
A、104.5%B、10(江南博哥)6.8%C、108.4%D、110.2%正确答案:A3、判断题工业生产上所用的还原铁粉一般采用50~60目的铁粉正确答案:对4、单选滴定管、移液管、刻度吸管和锥形瓶是滴定分析中常用的四种玻璃仪器,在使用前不必用待装溶液润洗的是()。
A.滴定管B.移液管C.刻度吸管D.锥形瓶正确答案:D5、判断题缩聚反应一定要通过两种不同的单体才能发生。
正确答案:错6、判断题由于sp杂化轨道对称轴夹角是180°。
所以乙炔分子结构呈直线型。
正确答案:对7、单选用熔融碱进行碱熔时,磺酸盐中无机盐的含量要求控制在()A.5%以下B.10%以下C.15%以下D.20%正确答案:B8、判断题有毒气体气瓶的燃烧扑救,应站在下风口,并使用防毒用具。
正确答案:错9、判断题丁苯橡胶的单体是丁烯和苯乙烯。
正确答案:错10、判断题氮氧化合物和碳氢化合物在太阳光照射下,会产生二次污染——光化学烟雾。
正确答案:对11、单选关于我国技术性贸易壁垒体系的说法,不正确的是()A.建立了全国技术性贸易壁垒措施部级联席会议制度B.已经能够有效地应对国外的技术性贸易壁垒措施的挑战C.建立了技术性贸易措施国家通报、评议和咨询的国内协调机制D.建立了技术性贸易措施信息服务体系正确答案:B12、判断题氨解指的是氨与有机物发生复分解反应而生产仲胺的反应。
正确答案:错13、判断题SN2反应分为两步进行。
正确答案:错14、判断题油脂在碱性条件下的水解称为皂化反应。
正确答案:对15、单选下列酰化剂在进行酰化反应时,活性最强的是()。
A、羧酸B、酰氯C、酸酐D、酯正确答案:B16、判断题和烯烃相比,炔烃与卤素的加成是较容易的正确答案:错17、单选国家标准规定的实验室用水分为()级。
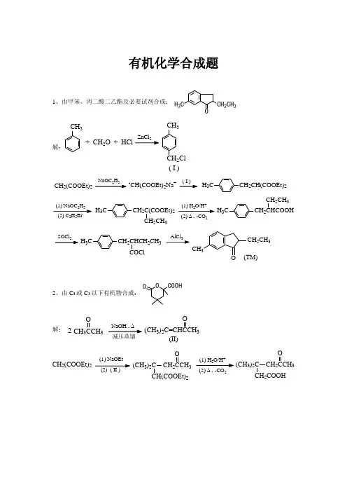
有机化学合成题1、由甲苯、丙二酸二乙酯及必要试剂合成:OH 3CCH 2CH 3解:CH 3CH 3CH 2Cl + CH 2O + HCl2( I )2+2CH 2(COOEt)225-CH(COOEt)2Na +( I )H 3C CH 2CH(COOEt)225(2) C 2H 5BrH 3C CH 2C(COOEt)2CH 2CH 3H 3CCH 2CHCOOHCH 2CH 32H 3CCH 2CHCH 2CH 3COCl3CH 3OCH 2CH 3(TM)2、由C 3或C 3以下有机物合成:O COOHO解: CH 3CCH 3O2(CH 3)2C=CHCCH 3O(II)CH 2(COOEt)2(2) ( II )(1) NaOEt (CH 3)2C CH 2CCH 3OCH(COOEt)22+(2) ∆ , -CO 2(CH 3)2CCH 2CCH 3OCH 2COOHOO CN2CC CH 3OHOO CHO CN CH 3HOOH 2O/H ∆OO COOH3、由乙炔、C 2或C 2以下有机物合成:OH (叶醇,一种香料)解:CH 3CH 2CCMgBrO 干醚H 2O CH 3CH 2C CCH 2CH 2OHH 2lindlarC=CHHCH 2CH 2OH CH 3CH 2CH CHCH CNa CH CCH 2CH 33C H Br25(TM)4、由Br 为有机原料合成:COOCH 3解:BrNaCNCNH 2O +COOHCOClCHO2H/Pd-BaSOBr COOHCOOCH 3Br3+4COOCH 3ZnBrCHO干醚H 2O COOCH 3OH2∆COOCH 3(TM)5、由O合成3解:OCH3OHCH3 CH MgI H2O24(1) B H22CH3HOHH(TM)6、由丙二酸二乙酯合成COO-N+H3解:Br∆Br CH(COOEt)2CH2(COOEt)2NH OO KOHNKOONCH(COOEt)2OO(1) C H ONa322NC(COOEt)2OOCH2CH(CH3)22+2(CH3)2CHCH2CHCOOHNH2NH3COO-+即:7、由苯合成I ClClCl解:NO2NH2NHCOCH3 3H2SO432Fe + HClNHCOCH 3NH 2NHCOCH 3NH 2Cl ClFe + HCl2NaNO 2+过量HCl。
有机合成专题训练(五)1、屈昔多巴()可治疗直立性低血压所致头昏、头晕和乏力,帕金森病患者的步态僵直等。
以下是屈昔多巴的一种合成路线(通常简写为BnCl,简写为CbzCl ):回答下列问题:(1)反应①的反应类型为___________________,其作用为_________________________________________。
(2)屈昔多巴中所含的非含氧官能团名称为______________________,屈昔多巴分子中有___________个手性碳原子。
(3)反应②为加成反应,有机物X的名称为______________________。
(4)显______性(填“酸”、“中”或“碱”),写出其与盐酸反应的化学方程式_____________________________(5)的同分异构体中,能与NaHCO3溶液反应生成CO2的二取代芳香化合物有___________种,其中核磁共振氢谱为四组峰的结构简式为_________________________________(任写一种)(6)参照上述合成路线,以对羟基苯甲醛为原料(无机试剂任选),设计制备对羟基苯甲酸的合成路线__________________________________________________________________________________________2、盐酸金刚烷胺是一种治疗和预防病毒性感染的药物,可用于抑制病毒穿入宿主细胞,从结构上看是一种对称的三环状胺,可以利用环戊二烯(CPD)来制备合成,流程图如下:(1)下列关于X和金刚烷说法正确的是A.金刚烷和X互为同分异构体,均可以发生氧化反应和取代反应B.金刚烷和X均可以使溴水褪色C.金刚烷和X均具有与芳香烃相似的化学性质D.金刚烷和X均不存在手性碳原子(2)反应①的反应类型为____________,反应②的条件为________________(3)有机物Y的一氯代物的同分异构体的数目为___________,写出Y与氢氧化钠的乙醇溶液反应的化学方程式______________(4)有机物Z是一种重要的有机氮肥,在核磁共振氢谱谱图中只有一个峰,写出Z与浓硫酸反应的化学方程式_______________(5)CPD可以与Br2的CC14溶液反应,写出其所有可能产物的结构简式_______________。
高中化学有机合成推断专题练习试卷一、综合题(共10题,每题10分,共100分)1.[化学——选修5:有机化学基础]据研究报道,药物瑞德西韦(Remdesivir)对新型冠状病毒感染的肺炎有潜在治疗作用,F为药物合成的中间体,其合成路线如下:已知:R—OH R—Cl(1)A中官能团名称是;C的分子式为。
(2)A到B为硝化反应,则 B的结构简式为,A到B的反应条件是。
(3)B到C、D到E的反应类型(填“相同”或“不相同”);E→F的化学方程式为。
(4)H是C的同分异构体,满足下列条件的H的结构有种。
①硝基直接连在苯环上②核磁共振氢谱峰面积之比为2∶2∶2∶1③遇FeCl3溶液显紫色(5)参照F的合成路线图,设计由、SOCl2为原料制备的合成路线(无机试剂任选)。
2.[化学——选修5:有机化学基础]白花丹酸具有抗菌祛痰的作用,其合成路线如图所示:已知:R1CHO R1CH(OH)R2(R1、R2代表烃基)(1)白花丹酸中官能团的名称是,B的结构简式为。
(2)D到E的反应类型为。
(3)写出E到F的第一步反应的离子方程式。
(4)试剂O在整个合成中的作用为。
(5)G是A的同系物,比A多一个碳原子,满足下列条件的G的同分异构体共有种。
①与三氯化铁溶液发生显色反应②能发生水解反应写出其中核磁共振氢谱有4组峰的结构简式(任写一种)。
(6)根据已有知识并结合相关信息写出以乙醇为原料制备CH3(CO)CH2CH2COOCH3的合成路线(合成路线图示例参考本题题干,其他必要的试剂自选)。
3.[化学——选修5:有机化学基础]化合物M是从某植物的提取物中分离出来的天然产物,其合成路线如下:已知:RCOOR'RCH2OH(1)B中所含官能团的名称为;F的化学名称为。
(2)D→E的化学方程式为。
(3)G的结构简式为。
(4)H→I的反应条件为。
(5)J+E K的反应类型为;K2CO3的作用为。
(6)满足下列条件的G的同分异构体有种(不考虑立体异构)。
《有机合成》测试卷出题者:单项选择(10 X 1' = 10',每空一分)1.下列反应应用何种试剂完成 ( ) A .LiAlH 4 B. NaBH 4 C. Fe + CH 3COOH (D) Pt + H 2 D.2.下列化合物有顺反异构的是 ( ) A.CH 3CH=CHCH 3 B .CH 3CH 2CH 2CH=CH 2 C .CH 3CH=C(CH 3)2 D . CH3C CCH 33. 尼龙-66是一种聚酰胺,其单体为:()(A) 己酰胺 (B) 己二酸己二胺盐 (C) 己二酸 + 尿素 (D) 丁二酰亚胺4 主要产物是 ( )(A) C 6H 5CH 2OH C 6H 5COOH (B) C 6H 5CHOHCH 2COOCOCH 3 (C) C 6H 5CH=CHCOOCOCH 3(D) C 6H 5CH=CHCOOH5.下列反应不能使碳链剪断的是 ( ) A .氯仿反应 B.Hofmann 反应 C.酯化反应 D.脱羧反应6.下列反应不属于合成的原则的是 ( ) A .合成路线复杂 B.经济易得 C.对环境造成污染小 D.反应条件温和7比较取代羧酸FCH 2COOH,ClCH 2COOH,BrCH 2COOH,ICH 2COOH 的酸性最大的O COOCH 3C 6H 5CHO+(CH 3CO)2O是:()(A) FCH2COOH (B) ClCH2COOH(C) BrCH2COOH (D) ICH2COOH8.以下物质不具有手性的是()A.酒石酸B.二氯甲烷C.二氯乙烯D.一氯甲烷9.四氢吡喃醚对以下试剂不稳定的是()A.碱 B.Grignard 试剂 C.烷基锂 D.酸10.以下方法不可以用来合成酚的是()A.苯磺酸盐碱熔法 B.氯苯水解法 C. 醇脱水法 D. 异丙苯水解法三.多项选择题(10 X 1' = 10',每空一分)1.羧酸的合成方法有()A.烷基苯的氧化 B.伯醇和醛的氧化 C.甲基酮的氧化 D.醛的还原2.以苯为主要原料一步就能制备以下哪些物质()A. B. C. D.3.以甲苯为主要原料能制备以下哪些物质()A. B. C. D.4.以下化合物酸性比苯酚大的是()A. 乙酸B. 乙醚C. 硫酸D.碳酸5.不能与HNO2反应能放出N2的是:()A. 伯胺B. 仲胺C. 叔胺D. 都可以6.可以由乙酰乙酸乙酯合成的产物是 ( )A. B.C. D.7.以下化合物中含有安息香酸基的是 ( ) A. 苦杏仁酸 B. 安息香酸 C. 安息香酰氯 D.维生素B12 8.以下物质可能具有旋光性的是 ( ) A. 一氯甲烷 B. 樟脑 C. 酒石酸 D. 乳酸9.下列合成能够进行的是 ( )A. 由苯、乙酸 CH 2OHC 6H 5C 6H 5B. 由间硝基甲苯合成COOH BrBr BrC. 对溴苯甲醛合成 CHCH 2CH 3DOHD. CH 3CH 2COOH →CH 3CH 2CH 2COOH10.下列能成反应能够完成的是 ( )A. 由苯酚为起始原料合成COOEtOB. 仅由“三乙”、丙烯酸乙酯合成 OOHC. 仅苯、丙酸、二甲胺合成CH 3CH 2C-O-C--CH-CH 2N(CH 3)3OCH 3CH 2C 6H 5PhD. 不可以由苯合成ClCH 2Cl三.是非题,(对的打勾,错的打叉10x1,每题1分) 1. 的主要产物是C 6H 5CH =CHCOOH( )2. 甲胺、 二甲胺、三甲胺、氢氧化四甲铵碱性最强的是甲胺 ( )3. 的可用催化剂NaBH 4制取 ( )4.可以用环己酮合成HOCH 2NH 2( )5. 以CH 3CH 2CH 2CO 2Et 为原料不能合成CH 3CH 2CH 2C CH 3CH 2CH 2CH 3OH ( )6. 可以用盐酸区别正丁胺、二丁胺和三丁胺 ( )7. A 可以为氧气+银,或RCO 3H 。
有机合成专题一、由反应条件确定官能团123)456789101112131415216、能跟FeCl 3溶液发生显色反应的是:酚类化合物苯酚与FeCl 3溶液反应15、能跟I 2发生显色反应的是:淀粉遇碘单质显蓝色16、能跟浓硝酸发生颜色反应的是:含苯环的蛋白质遇浓硝酸凝结显黄色17、能发生水解反应的有机物是:卤代烃、酯、糖类(单糖除外)、肽类(包括蛋白质)二、已知相对分子质量(M)有机物分子式的确定:CxHy ,可用相对分子质量除以12,看商和余数。
即12M ==x…y 余,分子式为CxHy三、对称法(又称等效氢法、同种环境的氢原子) 等效氢法的判断可按下列三点进行: 1、同一碳原子上的氢原子是等效的2、同一碳原子所连甲基上的氢原子是等效的3、处于镜面对称位置上的氢原子是等效的(相当于平面成像时,物与像的关系) 四、不饱和度的计算方法:对于C x H y O z ,不饱和度222yx -+=Ω,规定:1、烷烃的不饱和度为02、环、双键(碳碳双键、碳氧双键)不饱和度为1,如:、、、、不饱和度为13、三键不饱和度为2,如:—C≡C—不饱和度为24、苯环不饱和度为4 五、重要的反应现象归纳1、能使溴水(Br 2/H 2O)褪色的物质①通过加成反应使之褪色:含有、—C≡C—的不饱和化合物 ②通过取代反应使之褪色:酚类注意:苯酚溶液遇浓溴水时,除褪色现象之外还产生白色沉淀③通过氧化反应使之褪色:含有—CHO(醛基)的有机物(有水参加反应)注意:纯净的只含有—CHO(醛基)的有机物不能使溴的四氯化碳溶液褪色④通过萃取使之褪色:液态烷烃、环烷烃、苯及其同系物、饱和卤代烃、饱和酯 2、能使酸性高锰酸钾溶液KMnO 4/H +褪色的物质含有、—C≡C—、—OH(较慢)、—CHO 的物质、与苯环相连的侧链碳碳上有氢原子的苯的同系物 六、重要的有机反应及类型1、取代反应:有机物分子中某些原子或原子团被其它原子或原子团所代替的反应。
30.(16分)脱水偶联反应是一种新型的直接烷基化反应,例如:(1)化合物Ⅰ的分子式为_____,1mol该物质完全燃烧最少需要消耗_____molO2.(2)化合物Ⅱ可使____溶液(限写一种)褪色;化合物Ⅲ(分子式为C10H11C1)可与NaOH水溶液共热生成化合物Ⅱ,相应的化学方程式为______.(3)化合物Ⅲ与NaOH乙醇溶液工热生成化合物Ⅳ,Ⅳ的核磁共振氢谱除苯环峰外还有四组峰,峰面积之比为为1:1:1:2,Ⅳ的结构简式为_______.(4)由CH3COOCH2CH3可合成化合物Ⅰ.化合物Ⅴ是CH3COOCH2CH3的一种无支链同分异构体,碳链两端呈对称结构,且在Cu催化下与过量O2反应生成能发生银镜反应的化合物Ⅵ.Ⅴ的结构简式为______,Ⅵ的结构简式为______.(5)一定条件下,也可以发生类似反应①的反应,有机产物的结构简式为_____.30、(15分)芳香化合物A是一种基本化工原料,可以从煤和石油中得到。
OPA是一种重要的有机化工中间体。
A、B、C、D、E、F和OPA的转化关系如下所示:回答下列问题:(1)A的化学名称是;(2)由A生成B的反应类型是。
在该反应的副产物中,与B互为同分异构体的化合物的结构简式为;(3)写出C所有可能的结构简式;(4)D(邻苯二甲酸二乙酯)是一种增塑剂。
请用A、不超过两个碳的有机物及合适的无机试剂为原料,经两步反应合成D。
用化学方程式表示合成路线;(5)OPA的化学名称是,OPA经中间体E可合成一种聚酯类高分子化合物F,由E合成F的反应类型为,该反应的化学方程式为。
(提示)(6)芳香化合物G是E的同分异构体,G分子中含有醛基、酯基和醚基三种含氧官能团,写出G所有可能的结构简式38.[化学—选修5:有机化学基础](15分)査尔酮类化合物G是黄酮类药物的主要合成中间体,其中一种合成路线如下:已知以下信息:①芳香烃A的相对分子质量在100~110之间,1molA充分燃烧可生成72g水。
有机合成专题训练(2017级)1.某酯K是一种具有特殊香气的食用香料,广泛应用于食品和医疗中。
其合成路线如下:已知:RCH2COOH CH3CHCOOH(1)E的含氧官能团名称是。
(2)试剂X是(填化学式);②的反应类型是。
(3)D的电离方程式是。
(4)F的分子式为C6H6O,其结构简式是。
(5)W的相对分子质量为58,1 mol W完全燃烧可产生3.0 mol CO2和3.0 mol H2O,且W的分子中不含甲基,为链状结构。
⑤的化学方程式是。
(6)G有多种属于酯的同分异构体,请写出同时满足下列条件的所有同分异构体的结构简式:。
①能发生银镜反应且能与饱和溴水反应生成白色沉淀②苯环上只有两个取代基且苯环上的一硝基取代物只有两种2.光刻胶是一种应用广泛的光敏材料,其合成路线如下(部分试剂和产物略去):已知:Ⅰ.R1C H OR 2CH HCHOR 1CH C R 2CHO +(R ,R’为烃基或氢)Ⅱ.R 1C O Cl R 2OHR 1C O OR 2HCl++(R ,R’为烃基)(1)A 分子中含氧官能团名称为 。
(2)羧酸X 的电离方程式为 。
(3)C 物质可发生的反应类型为 (填字母序号)。
a .加聚反应b . 酯化反应c . 还原反应d .缩聚反应(4)B 与Ag(NH 3)2OH 反应的化学方程式为 。
(5)乙炔和羧酸X 加成生成E ,E 的核磁共振氢谱为三组峰,且峰面积比为3:2:1,E 能发生水解反应,则E 的结构简式为 。
(6)与C 具有相同官能团且含有苯环的同分异构体有4种,其结构简式分别为CH CH 2COOH 、CH CH 2HOOC、 和 。
(7)D 和G 反应生成光刻胶的化学方程式为。
3.高分子化合物G是作为锂电池中Li+迁移的介质,合成G的流程如下:已知:①②(1)B的含氧官能团名称是。
(2)A→B的反应类型是。
(3)C的结构简式是。
(4)D→E反应方程式是。
(5)G的结构简式是。
高中化学有机合成与推断专项训练测试试题含答案一、高中化学有机合成与推断1.有机物M是有机合成的重要中间体,制备M的一种合成路线如图(部分反应条件和试剂略去):已知:①A分子的核磁共振氢谱中有3组峰;−−−→(NH2容易被氧化)②Fe/HCl③已知(CH3CO)2O的结构为:−−→RCH2COOH④Δ请回答下列问题:(1)E中官能团的名称_________,C的化学名称为__________。
(2)F的结构简式为__________。
(3)A→B的化学方程式为______________。
(4)化合物H可以发生的反应有_____(填选项字母)。
a.加成反应b.氧化反应c.取代反应d.消去反应(5)满足下列条件的M的同分异构体有________种(不考虑立体异构)。
①能与FeCl3溶液发生显色反应②能与NaHCO3反应③含有-NHCOCH3④苯环上仅有二个或者三个取代基(6)参照上述合成路线,以为原料(无机试剂任选),设计制备的合成路线:_________。
2.化合物H是制备某褪黑素受体激动剂的中间体,其合成路线如下:已知:RCOOH 2SOCl RCOCl −−−→,其中—R 为烃基。
(1)A 中含氧官能团的名称为__________和__________。
(2)B→C 的反应类型为___________。
(3)F 的分子式为C 11H 8O 2Br 2,写出F 的结构简式:________(4)B 的一种同分异构体同时满足下列条件,写出该同分异构体的结构简式:_____。
①能与FeCl 3溶液发生显色反应;②碱性条件水解生成两种产物,酸化后两种分子中均只有2种不同化学环境的氢。
(5)写出以和为原料制备的合成路线流程图______________(无机试剂任用,合成路线流程图示例见本题题干)。
3.化合物H 是一种有机光电材料中间体。
实验室由芳香化合物A 制备H 的一种合成路线如下:已知:回答下列问题:(1)A 的化学名称是__________。
大学有机合成试题及答案一、选择题(每题2分,共20分)1. 下列化合物中,哪一个是芳香烃?A. 环己烷B. 环己烯C. 苯D. 环戊烷答案:C2. 以下哪个反应不是取代反应?A. 卤代反应B. 酯化反应C. 水解反应D. 还原反应答案:D3. 以下哪种试剂用于鉴别醛和酮?A. 硝酸银B. 溴水C. 碘化钾D. 托伦试剂答案:D4. 以下哪种化合物是手性分子?A. 甲烷B. 乙醇C. 丙酮D. 2-丁醇答案:D5. 以下哪个反应是消去反应?A. 醇的氧化B. 醇的酯化C. 醇的脱水D. 醇的卤代答案:C6. 以下哪种溶剂最适合进行SN1反应?A. 水B. 甲醇C. 乙醇D. 四氢呋喃答案:D7. 以下哪个化合物不是烯烃?A. 乙烯B. 丙烯C. 环己烯D. 环己烷答案:D8. 以下哪种反应类型属于亲核取代反应?A. 酯化反应B. 卤代反应C. 消除反应D. 氧化反应答案:B9. 以下哪种化合物是酸性最强的?A. 甲酸B. 乙酸C. 丙酸D. 丁酸答案:A10. 以下哪种化合物是芳香族化合物?A. 环己烷B. 环己烯C. 苯D. 环戊烷答案:C二、填空题(每空1分,共20分)1. 在有机合成中,_________反应是指在分子中引入一个新的碳-碳键。
答案:偶联2. 醇类化合物可以通过_________反应转化为醛。
答案:氧化3. 在有机化学中,_________是指分子中具有相同化学环境的原子或官能团。
答案:对称性4. 酯化反应通常需要使用_________作为催化剂。
答案:酸5. 有机合成中,_________是指分子中碳原子的四个价键都与不同的原子或基团相连。
答案:四面体结构6. 芳香族化合物通常具有_________的稳定性。
答案:较高的7. 在有机合成中,_________是指分子中碳原子的四个价键都与相同的原子或基团相连。
答案:平面结构8. 有机合成中,_________是指分子中碳原子的四个价键都与不同的原子或基团相连,但这些原子或基团在空间中的位置是固定的。
有机合成一、选择题(共15题)1.用CH≡CH为原料制取CHClBr—CH2Br,下列方法中最可行的是() A.先与HBr加成后再与HCl加成B.先与H2完全加成后再与Cl2、Br2取代C.先与HCl加成后再与Br2加成D.先与Cl2加成后再与HBr加成2.下列反应可以在烃分子中引入卤素原子的是()A.苯和溴水共热B.在光照条件下甲苯与溴的蒸气C.溴乙烷与NaOH水溶液共热D.溴乙烷与NaOH醇溶液共热3.下列反应中,不能引入碳碳双键的是()A.乙醇的消去反应B.溴乙烷的消去反应C.乙醇的催化氧化反应D.乙炔与HCl的加成反应4.在有机合成中,常会将官能团消除或增加,下列相关过程中反应类型及相关产物不合理的是()5.实现转化:,可行的方法是()①与足量NaOH溶液共热,再通入足量CO2气体②与稀硫酸共热后,再加入足量NaOH 溶液 ③该物质的溶液中加入足量的稀硫酸加热 ④与稀硫酸共热后,再加入足量的NaHCO 3溶液A .①②B .②③C .③④D .①④ 6.根据下面合成路线判断烃A 为( )A(烃类)――→Br 2/CCl 4B ――→NaOH 溶液C ――→浓H 2SO 4-2H 2OA .1丁烯B .1,3丁二烯C .乙炔D .乙烯7.下列有机物可能经过氧化、酯化、加聚三种反应制得高聚物的是( )8.化合物丙可由如下反应得到:C 4H 10O ――→浓H 2SO 4△C 4H 8――→Br 2CCl 4,丙的结构简式不可能是( )A .CH 3CH(CH 2Br)2B .(CH 3)2CBrCH 2BrC .C 2H 5CHBrCH 2BrD .CH 3(CHBr)2CH 39.已知:乙醇可被强氧化剂氧化为乙酸。
可经三步反应制得,则与该三步反应相对应的反应类型依次是( )A .水解反应、加成反应、氧化反应B .加成反应、水解反应、氧化反应C .水解反应、氧化反应、加成反应D .加成反应、氧化反应、水解反应10.在“绿色化学工艺”中,理想状态是反应物中的原子全部转化为欲制得的产物,即原子利用率为100%。
有机合成的综合应用专项训练知识点-+典型题含答案一、高中化学有机合成的综合应用1.可降解聚合物P的合成路线如下已知:(1)A的含氧官能团名称是____________。
(2)羧酸a的电离方程是________________。
(3)B→C的化学方程式是_____________。
(4)化合物D苯环上的一氯代物有2种,D的结构简式是___________。
(5)E→F中反应①和②的反应类型分别是___________。
(6)F的结构简式是_____________。
(7)聚合物P的结构简式是________________。
2.按以下步骤可从合成(部分试剂和反应条件已略去)。
请回答下列问题:(1)B,F的结构简式为:B___,F_______;(2)反应①~⑦中属于消去反应的是(填代号)_______;一定条件,写出在同样条件下CH2=CHCH=CH2与等(3)根据反应+Br2−−−−→物质的量Br2发生加成反应的化学方程式:__;(4)写出第④步C→的化学方程式(有机物写结构简式,注明反应条件)__;(5)与4个不同的原子或原子团相连的碳原子称为手性碳原子;A﹣G这七种有机物分子中含有手性碳原子的是(填序号)__;(6)核磁共振谱是测定有机物分子结构最有用的工具之一,在有机物分子中,不同位置的氢原子在质子核磁共振谱(PMR)中给出的峰值(信号)也不同,根据峰(信号)可以确定有机物分子中氢原子的种类和数目,例如:乙醛的结构式为:,其PMR谱中有2个信号峰,其强度之比为3:1,则下列有机物分子中,在质子核磁共振谱中能给出三种峰(信号)且强度之比为1:1:2的是__。
A B C D3.有机玻璃(PMMA)是一种具有优良的光学性、耐腐蚀性的高分子聚合物,其合成路线之一如图所示:请回答下列问题:(1)写出检验A中官能团所需试剂及现象__、__。
(2)用系统命名法给B命名__。
(3)写出C与足量的NaOH乙醇溶液,在加热条件下反应的化学方程式__。
高二化学练习卷1.有机物A 为绿色荧光蛋白在一定条件下水解的最终产物之一,结构简式为:请回答下列问题:(1)A 的分子式为 。
(2)A 与氢氧化钠溶液反应的化学方程式为 。
(3)已知:两个氨基乙酸分子 在一定条件下反应可以生成两个A 分子在一定条件下生成的化合物结构简为 。
(4)符合下列4个条件的同分异构体有6种,写出其中三种 。
①1,3,5-三取代苯 ②遇氯化铁溶液发生显色反应 ③氨基与苯环直接相连 ④属于酯类2.(16分)以石油裂解气为原料,通过一系列化学反应可得到重要的化工产品增塑剂G 。
请回答下列问题:(1)反应①属于 反应(填反应类型),反应③的反应条件是 (2)反应②③的目的是: 。
O =CNH —CH 2 CH 2—NHC =ONH 2CH —COOH OHCH 2—CH —COOHNH 2HOOCCH =CHCOOH(3)写出反应⑤的化学方程式: 。
(4)写出G 的结构简式 。
3.(16分)M 是生产某新型塑料的基础原料之一,分子式为C 10H 10O 2,其分子结构模型如图,所示(图中球与球之间连线代表化学键单键或双键)。
拟从芳香烃 出发来合成M ,其合成路线如下:已知:M 在酸性条件下水解生成有机物F 和甲醇。
(1)根据分子结构模型写出M 的结构简式 。
(2)写出②、⑤反应类型分别为 、 。
(3)D 中含氧官能团的名称为 ,E 的结构简式 。
(4)写出反应⑥的化学方程式(注明必要的条件)。
4.建筑内墙涂料以聚乙烯醇(CH 2CH nOH)为基料渗入滑石粉等而制成,聚乙烯醇可由下列途径合成。
—C =CH 2CH 3—C =CH 2CH 3溴水 ①AB :C 9H 12O 2②NaOH/H 2OO 2/CuD :C 9H 10O 2E :C 9H 10O 3④FM⑤⑥试回答下列问题:(1)醋酸乙烯酯中所含官能团的名称__________________(只写两种)。
(2)上述反应中原子利用率最高的反应是______________(填序号)。
有机合成专题训练(2017级)1. 某酯K 是一种具有特殊香气的食用香料,广泛应用于食品和医疗中。
其合成路线如下:D 的电离方程式是F 的分子式为C 6H 6O ,其结构简式是W 的相对分子质量为 58, 1 mol W 完全燃烧可产生 3.0 mol CO 2和3.0 mol H 2O ,且 W 的分子中不含甲基,为链状结构。
⑤的化学方程式G 有多种属于酯的同分异构体,请写出同时满足下列条件的所有同分异构体的结构简式:① 能发生银镜反应且能与饱和溴水反应生成白色沉淀A Ci ;, ® P已知:RCH 2C00H CH 3CHC00H(1) E 的含氧官能团名称是试剂X 是(填化学式):②的反应类型是(6)②苯环上只有两个取代基且苯环上的一硝基取代物只有两种2. 光刻胶是一种应用广泛的光敏材料,其合成路线如下(部分试剂和产物略去)已知:羧酸X 的电离方程式为(4) B 与Ag(NH 3)2OH 反应的化学方程式为(5)乙炔和羧酸X 加成生成E , E 的核磁共振氢谱为三组峰,且峰面积比为 3:2:1 , E 能发生水解反应,则 E 的结构简式为(6)与C 具有相同官能团且含有苯环的同分异构体有4种,其结构简式分别为(7) D 和G 反应生成光刻胶的化学方程式为OIIR L C-H + R2-CH —CHO稀Na OH R I -CH = C —CHO ( R , R 为烃基或氢)R 2OOR 1-C —Cl + R 2OH 一疋条件 R L L O R 2 +HCI (R , R '为烃基)(1)A 分子中含氧官能团名称为 C 物质可发生的反应类型为 (填字母序号)。
a .加聚反应b .酯化反应c .还原反应d .缩聚反应COOH0 — 2HOOCC A C H =CH23. 高分子化合物 G 是作为锂电池中Li +迁移的介质,合成 G 的流程如下:已知:①M I N 的化学方程式是(1) Ulf IRI Jj.f 11--- •--魏鼠B 的含氧官能团名称是O (2) A IB 的反应类型是(6) C 的结构简式是 D IE 反应方程式是 G 的结构简式是D 的一种同分异构体,能发生分子内酯化反应生成五元环状化合物,该同分异构体的 结构简式是(7)已知:“LH5... O ..匚“Ml ;IIMlljI ■(8)下列说法正确的是 .(填字母)oa. E 有顺反异构体b. C 能发生加成、消去反应 C. M 既能与酸反应,又能与碱反应d.苯酚与C 反应能形成高分子化合物O <>IICIb —'Clli 催化刑 (II)R —C —1>11 +------- ► R ~d —O —C irj-CHj-OiHOi.Ut\ II [Ml] «!LII 11^0e.含有-OH和-COOH的D的同分异构体有2种4.有机化工原料 1,4-二苯基-1,3-丁二烯及某抗结肠炎药物有效成分的合成路线如下(部分反应略去试剂和条件)①的化学方程式是 F 的结构简式是③ 的化学方程式是 设计D 7 E 和F T G 两步反应的目的是1,4-二苯基-1,3-丁二烯有多种同分异构体,写出符合下列条件的所有同分异构体的 结构简式:已知:0HR —CIM乙瞇 A RMgCI ⑴ RCHO +» R_ CH — R'( R 、R ' 表示烃基)n (ii) H 2O/H+n.II0— C — CH(1) 抗结肠炎药物有效成分分子中的含氧官能团名称是②中的反应条件是;G 生成J 的反应类型是(7) a .结构中有两个苯环,无其它环状结构 b 苯环上的一硝基取代产物有两种一匚 H =>丁二焼)HrX■COOH 0HOH(CH 3CO)20^ \5. 铃兰醛具有甜润的百合香味,常用作肥皂、洗涤剂和化妆品的香料。
有机合成专题训练(2017级)1.某酯K是一种具有特殊香气的食用香料,广泛应用于食品和医疗中。
其合成路线如下:已知:RCH2COOH CH3CHCOOH(1)E的含氧官能团名称是。
(2)试剂X是(填化学式);②的反应类型是。
(3)D的电离方程式是。
(4)F的分子式为C6H6O,其结构简式是。
(5)W的相对分子质量为58,1 mol W完全燃烧可产生mol CO2和mol H2O,且W的分子中不含甲基,为链状结构。
⑤的化学方程式是。
(6)G有多种属于酯的同分异构体,请写出同时满足下列条件的所有同分异构体的结构简式:。
① 能发生银镜反应且能与饱和溴水反应生成白色沉淀② 苯环上只有两个取代基且苯环上的一硝基取代物只有两种2.光刻胶是一种应用广泛的光敏材料,其合成路线如下(部分试剂和产物略去):已知:Ⅰ.R 1C H OR 2CH HCHOR 1CH C R 2CHO +(R ,R’为烃基或氢)Ⅱ.R 1C O Cl R 2OHR 1C O OR 2HCl++(R ,R’为烃基)(1)A 分子中含氧官能团名称为 。
(2)羧酸X 的电离方程式为 。
(3)C 物质可发生的反应类型为 (填字母序号)。
a .加聚反应b . 酯化反应c . 还原反应d .缩聚反应 (4)B与Ag(NH 3)2OH反应的化学方程式为 。
(5)乙炔和羧酸X 加成生成E ,E 的核磁共振氢谱为三组峰,且峰面积比为3:2:1,E 能发生水解反应,则E 的结构简式为 。
(6)与C 具有相同官能团且含有苯环的同分异构体有4种,其结构简式分别为CH CH 2COOH 、CH CH 2HOOC、 和 。
(7)D 和G 反应生成光刻胶的化学方程式为 。
3.高分子化合物G是作为锂电池中Li+迁移的介质,合成G的流程如下:已知:①②(1)B的含氧官能团名称是。
(2)A→B的反应类型是。
(3)C的结构简式是。
(4)D→E反应方程式是。
(5)G的结构简式是。
(6)D的一种同分异构体,能发生分子内酯化反应生成五元环状化合物,该同分异构体的结构简式是。
(7)已知:M→N的化学方程式是。
(8)下列说法正确的是(填字母)。
a. E有顺反异构体b. C能发生加成、消去反应c. M既能与酸反应,又能与碱反应d. 苯酚与C反应能形成高分子化合物e.含有-OH和-COOH的D的同分异构体有2种4.有机化工原料1,4-二苯基-1,3-丁二烯及某抗结肠炎药物有效成分的合成路线如下(部分反应略去试剂和条件):已知:Ⅰ.R Cl2+CH R'OH(R、R`表示烃基)Ⅱ.(CH3CO)2OOH C CH3O(1)抗结肠炎药物有效成分分子中的含氧官能团名称是。
(2)②中的反应条件是;G生成J的反应类型是。
(3)①的化学方程式是。
(4)F的结构简式是。
(5)③的化学方程式是。
(6)设计D→E和F→G两步反应的目的是。
(7)1,4-二苯基-1,3-丁二烯有多种同分异构体,写出符合下列条件的所有同分异构体的结构简式:。
a.结构中有两个苯环,无其它环状结构b.苯环上的一硝基取代产物有两种5.铃兰醛具有甜润的百合香味,常用作肥皂、洗涤剂和化妆品的香料。
合成铃兰醛的路线如下图所示(部分试剂和条件未注明):已知:i.ii.请回答:(1)由A生成B的反应类型是。
(2)D的结构简式是。
(3)生成E的化学方程式是。
(4)F 能发生银镜反应,F的结构简式是。
(5)下列有关G的叙述中,不正确...的是。
a.G分子中有4种不同化学环境的氢原子b.G能发生加聚反应、氧化反应和还原反应c.1 mol G最多能与4 mol H2发生加成反应(6)由H生成铃兰醛的化学方程式是。
(7)F向G转化的过程中,常伴有分子式为C17H22O的副产物K产生。
K的结构简式是。
(8)写出以有机物A、苯酚、甲醛及必要的无机物为原料合成某高分子树脂的合成路线。
6.聚乙烯醇肉桂酸酯(A)可用于光刻工艺中做抗腐蚀涂层。
下面是一种合成该有机物的路线:已知:请回答:(1)CH3COOH中的含氧官能团的名称为;其电离方程式是。
(2)反应①是加聚反应,B的结构简式是。
(3)反应②的反应类型是。
(4)E的分子式为C7H8O,符合下列条件的E的同分异构体的结构简式是。
① 能与浓溴水反应产生白色沉淀②核磁共振氢谱有4种峰(5)能与新制的Cu(OH)2反应,该反应的化学方程式是。
(6)关于D的性质下列说法正确的是(填字母)。
a.存在顺反异构b.溶液呈酸性,能与Na和NaOH溶液反应c.能使KMnO4(H+)溶液和Br2(CCl4)溶液褪色d.能发生银镜反应、酯化反应、加成反应和消去反应(7)反应③的化学方程式是。
7.化合物A(分子式为C6H6O)是一种有机化工原料,在空气中易被氧化。
A 的有关转化反应如下(部分反应条件略去):已知:①②(R表示烃基,R′和R″表示烃基或氢)(1)写出A 的结构简式:。
(2)G是常用指示剂酚酞。
写出G中含氧官能团的名称:和。
(3)某化合物是E的同分异构体,且分子中只有两种不同化学环境的氢。
写出该化合物的结构简式:(任写一种)。
(4)F和D互为同分异构体。
写出反应E→F的化学方程式:。
(5)根据已有知识并结合相关信息,写出以A和HCHO为原料制备的合成路线流程图(无机试剂任用)。
合成路线流程图示例如下:8.功能高分子P的合成路线如下:(1)A的分子式是C7H8,其结构简式是。
(2)试剂a是。
(3)反应③的化学方程式:。
(4)E的分子式是C6H10O2。
E中含有的官能团:。
(5)反应④的反应类型是。
(6)反应⑤的化学方程式:。
(7)已知:。
以乙烯为起始原料,选用必要的无机试剂合成E,写出合成路线(用结构简式表示有机物,用箭头表示转化关系,箭头上注明试剂和反应条件)。
9.新泽茉莉醛是一种名贵的香料,合成过程中还能得到一种PC树脂,其合成路线如下。
(1)E的含氧官能团名称是。
(2)反应②的反应类型是。
(3)写出符合下列条件并与化合物E互为同分异构体的有机物结构简式。
a.能与浓溴水发生取代反应b.能与NaHCO3溶液反应产生气体c.苯环上一氯代物有两种(4)已知甲的相对分子质量为30,写出甲和G的结构简式、。
(5)已知化合物C 的核磁共振氢谱有四种峰,写出反应③的化学方程式 。
(6)结合已知①,以乙醇和苯甲醛为原料,选用必要的无机试剂合成写出合成路线(用结构简式表示有机物,用箭头表示转化关系,箭头上注明试剂和反应条件)。
10.花椒毒素可用于白癜风等皮肤顽疾,其关键中间体H 的合成路线如下:HO OHCl OOHOOOHOHO(C 4H 4O 4)H 2O 延胡索酸酶HOOC -CH 2-CH -COOHOH OOO24ClCH 2COOH3CH 3COONa ABCDEFHG (聚苹果酸)雷尼镍催化剂OHOI催化剂(C 6H 6O 3)回答下列问题: (1)D 中含氧官能团是(填名称)。
A→B 、B→C 均为取代反应,则A 的结构简式为;B→C 生成无机产物是。
(2)花椒毒素比I 多1个CH 2,则花椒毒素的分子式为。
(3)H→G 反应的化学方程式为(只写1个)。
(4)芳香化合物W 是D 的同分异构体,W 苯环上只有3个取代基且 W 含有2个酚羟基和羧基的结构共有种,其中核磁共振氢谱为五组峰的结构简式为_____________。
(5)参照上述合成路线,以苯酚和ClCH 2COOH 为原料(无机试剂任选),设计制备OOH的合成路线。
11.芳纶可以制成防弹衣、防弹头盔、防弹装甲等,对位芳纶纤维J(聚对苯二甲酰对苯二胺)是重要的国防军工材料。
化合物A、乙烯、苯制备J的一种合成路线如下:回答下列问题:(1)A的化学名称为。
(2)A→B的反应类型是。
(3)实验室由苯制备F所需试剂、条件分别为。
(4)G中官能团的名称是。
(5)E与I反应生成J的化学方程式为。
(6)写出与D互为同分异构体的只含酯基的结构简式(核磁共振氢谱为四组峰,峰面积比为2:2:1:1)。
(7)参照上述合成路线,以1,3-戊二烯和丙烯为原料(无机试剂任选),设计制备邻苯二甲酸的合成路线 。
12.某化学小组以某烯烃D 和芳香烃A 为原料合成医约中间体J 的路线如下(部分产物和条件省略):已知:RCNH 2O/H +RCOOH SOCl 2RCOClR 1OHRCOOR 1回答下列问题:(1)标准状况下,烯烃D 的密度为 g/L ,则D 的结构简式为 。
(2)G 所含官能团名称是 ;D→E 的反应类型是 。
(3)写出C +H→I 的化学方程式 。
(4)J 的分子式为 。
(5)B 的同分异构体中,同时符合下列条件的结构有 种。
①有4个碳原子在同一条直线上;②含有一NH 2和—OH 且都与苯环直接相连。
(6)已知:RCHO3RCNOH 。
参照上述流程,设计以A 为原料制备B 的合成路线(无机试剂任选)。
C 7H 8AH 2O/H +烯烃DH 2O/H+O 2O ClO OJ有机合成专题训练答案(2017级)1.【答案】(1)羧基(2)HBr 取代反应(3)CH3CH2COOH CH3CH2COO-+H+(4)(5)(6)2.(7)CH CH COClOHCH CH2n+CH CH COOCH CH2n+n HCln3.4.一定条件5.(4)(5)a c (2分)6.7.8.(1)(2)浓硫酸和浓硝酸(3)(4)碳碳双键、酯基(5)加聚反应(6)(7)9.(1)醛基羟基(2分)(2)加成反应(2分)(3)(2分)(4)HCHO (2分)(2分)(5)(2分)(6)(3分)10.(15分)(1)羟基和醚键(2分)HOOHOH(1分) HCl (1分)(2)C 12H 8O 4(2分)(3)HOOC -CH 2-CH -COOHOHn HO [ C -CH 2-CH -O ] H OCOOHn+(n -1)H 2OHOOC -CH 2-CH -COOHOHn HO [ C -CH -O ] H O n+(n -1)H 2OCH 2COOH催化剂催化剂或(2分)(4)6(2分)HO OHCH 2COOHCH 2COOHHOOH(2分)(5)OOHOH ClCH 2COOH 3OHC -CH 2ClO CH 3COONaO O雷尼镍(3分)11.(1)2,4-己二烯(2分) (2)加成反应(2分)(3)浓硝酸/浓硫酸、加热(2分) (4)氨基(2分)(5)(2分)(6)(2分)(7) (3分)12.(15分)(1)CH 2=CH 2(2分)(2)羧基(2分)加成反应(2分)(3)(2分)(4)C10H9O3Cl(2分)(5)10(2分)(6)(3分)。