积分变换习题解答
- 格式:pdf
- 大小:595.95 KB
- 文档页数:41
1-21.求矩形脉冲函数,0()0,A t f t τ⎧≤≤⎪=⎨⎪⎩其他的Fourier 变换.解:[]()j j j j 01e e()()()e d e d 0j j t t t t A F f t f t t A t A τωωωωτωωω-----+∞⎡⎤=====⎢⎥-∞-⎣⎦⎰⎰F 2.设()F ω是函数()f t 的Fourier 变换,证明()F ω与()f t 有相同的奇偶性.证明:()F ω与()f t 是一个Fourier 变换对,即 ()()j e d t F f t t ωω-+∞=-∞⎰,()()j 1e d 2πt f t F ωωω+∞=-∞⎰ 如果()F ω为奇函数,即()()F F ωω-=-,则()()()()()()j j 11e d e d 2π2πt tf t F F ωωωωωω--+∞+∞-==---∞-∞⎰⎰ (令u ω-=)()j 1e d 2πut F u u -∞=+∞⎰(换积分变量u 为ω)()()j 1e d 2πtF f t ωωω+∞=-=--∞⎰ 所以()f t 亦为奇函数.如果()f t 为奇函数,即()()f t f t -=-,则()()()()()j j e d e d t t F f t t f t t ωωω----+∞+∞-==---∞-∞⎰⎰ (令t u -=)()j e d u f u u ω--∞=+∞⎰(换积分变量u 为t )()()j e d t f t t F ωω-+∞=-=--∞⎰所以()F ω亦为奇函数.同理可证()f t 与()F ω同为偶函数.4.求函数()()e 0t f t t -=≥的Fourier 正弦变换,并推证()20012sin πd e αωαωωαω+∞-=>+⎰解:由Fourier 正弦变换公式,有()()s s F f t ω⎡⎤=⎣⎦F ()0sin f t t t ω+∞=⎰d 0sin tt t ω+∞-=⎰e d ()2sin cos 10t t t ωωωω---+∞=+e 21ωω=+ 由Fourier 正弦逆变换公式,有()120022sin ()()sin 1s s s t f t F F t ωωωωωωωω+∞+∞-===⎡⎤⎣⎦+⎰⎰F d d ππ 由此,当0t α=>时,可得()()2sin ππd e 0122f αωαωωααω+∞-==>+⎰5.设()()f t F ω⎡⎤=⎣⎦F ,试证明:1)()f t 为实值函数的充要条件是()()F F ωω-=; 2)()f t 为虚值函数的充要条件是()()F F ωω-=-.证明: 在一般情况下,记()()()r i f t f t f t =+j 其中()r f t 和()i f t 均为t 的实值函数,且分别为()f t 的实部与虚部. 因此()()()()[]j e d j cos jsin d t r i F f t t f t f t t t t ωωωω-+∞+∞⎡⎤==+-⎣⎦-∞-∞⎰⎰ ()()()()cos sin d j sin cos d ri r i f t t f t t t f t t f t t t ωωωω+∞+∞⎡⎤⎡⎤=+--⎣⎦⎣⎦-∞-∞⎰⎰ ()()Re Im F j F ωω⎡⎤⎡⎤=+⎣⎦⎣⎦其中()()()Re cos sin d r i F f t t f t t t ωωω+∞⎡⎤⎡⎤=+⎣⎦⎣⎦-∞⎰, ()a ()()()Im sin cos d ri F f t t f t t t ωωω+∞⎡⎤⎡⎤=--⎣⎦⎣⎦-∞⎰()b 1)若()f t 为t 的实值函数,即()()(),0r i f t t f f t ==.此时,()a 式和()b 式分别为()()Re cos d rF f t t t ωω+∞⎡⎤=⎣⎦-∞⎰()()Im sin d rF f t t t ωω+∞⎡⎤=-⎣⎦-∞⎰所以()()()Re jIm F F F ωωω⎡⎤⎡⎤-=-+-⎣⎦⎣⎦()()()Re jIm F F F ωωω⎡⎤⎡⎤=-=⎣⎦⎣⎦反之,若已知()()F F ωω-=,则有()()()()Re jIm Re jIm F F F F ωωωω⎡⎤⎡⎤⎡⎤⎡⎤-+-=-⎣⎦⎣⎦⎣⎦⎣⎦此即表明()F ω的实部是关于ω的偶函数;()F ω的虚部是关于ω的奇函数.因此,必定有()()()cos d j sin d r rF f t t t f t t t ωωω+∞+∞=--∞-∞⎰⎰ 亦即表明()()r f t f t =为t 的实值函数.从而结论1)获证.2)若()f t 为t 的虚值函数,即()()()j ,0i r f t f f t t ==.此时,()a 式和()b 式分别为()()Re sin d i F f t t t ωω+∞⎡⎤=⎣⎦-∞⎰ ()()Im cos d i F f t t t ωω+∞⎡⎤=⎣⎦-∞⎰所以()()()Re jIm F F F ωωω⎡⎤⎡⎤-=-+-⎣⎦⎣⎦()()Re jIm F F ωω⎡⎤⎡⎤=-+⎣⎦⎣⎦()(){}Re jIm F F ωω⎡⎤⎡⎤=--⎣⎦⎣⎦()F ω=-反之,若已知()()F F ωω-=-,则有()()()()Re jIm Re jIm F F F F ωωωω⎡⎤⎡⎤⎡⎤⎡⎤-+-=-+⎣⎦⎣⎦⎣⎦⎣⎦此即表明()F ω的实部是关于ω的奇函数;()F ω的虚部是关于ω的偶函数.因此,必定有()()()sin d j cos d i iF f t t t f t t t ωωω+∞+∞==+-∞-∞⎰⎰, 亦即表明()()j i f t f t =为t 的虚值函数.从而结论2)获证.6.已知某函数的Fourier 变换sin ()F ωωω=,求该函数()f t .解:sin ()F ωωω=为连续的偶函数,由公式有()()j π1sin e d cos d 2π0tf t F t ωωωωωωω+∞+∞==-∞⎰⎰ ()()sin 1sin 111d d 2π02π0t t ωωωωωω+∞++∞-=+⎰⎰ 但由于当0a >时sin sin sin πd d()d 0002a a t a t t ωωωωωω+∞+∞+∞===⎰⎰⎰ 当0a <时sin sin()πd d 002a a ωωωωωω+∞+∞-=-=-⎰⎰当0a =时,sin d 0,0a ωωω+∞=⎰所以得 ()11211401t f t t t ⎧<⎪⎪⎪==⎨⎪⎪>⎪⎩,,,7.已知某函数的Fourier 变换为()()()00πδδF ωωωωω⎡⎤=++-⎣⎦,求该函数()f t .解:由函数()()()00δd t t g t t g t -=,易知()()()()j j j 001e d 2π11πδe d πδe d 2π2πt t t f t F ωωωωωωωωωωω+∞=-∞+∞+∞=++--∞-∞⎰⎰⎰j j 00011e e cos 22t t t ωωωωωωω=-==+=8.求符号函数(又称正负号函数)()1,0sgn 1,0t t t -<⎧=⎨>⎩的Fourier变换.解:容易看出()()()sgn t u t u t =--,而1[()]()πδ().j u t F ωωω=-+F 9.求函数()()()1δδδδ222aa t a t a t f t t ⎡⎤⎛⎫⎛⎫=++-+++- ⎪ ⎪⎢⎥⎝⎭⎝⎭⎣⎦的Fourier 变换.解 :()()()()j 1δδδδe d 222ta a F f t t a t a t t ωωω+∞--∞⎡⎤⎛⎫⎛⎫⎡⎤==++-+++- ⎪ ⎪⎢⎥⎣⎦⎝⎭⎝⎭⎣⎦⎰F j j j j 1e e e e 222t t t t a a t a t a t t ωωωω----⎡⎤⎢⎥=+++⎢⎥=-==-=⎢⎥⎣⎦cos cos 2aa ωω=+.10 .求函数()cos sin t f t t =的Fourier 变换. 解: 已知()()000sin j πδδt ωωωωω⎡⎤=+--⎡⎤⎣⎦⎣⎦F由()1cos sin sin 22f t t t t ==有()()()πjδ2δ22f t ωω⎡⎤⎡⎤=+--⎣⎦⎣⎦F 11.求函数()3sin f t t =的Fourier 变换.解:已知()0j 0e 2πδtωωω⎡⎤=-⎣⎦F ,由()()3j j 33j j -j 3j e e j sin e 3e 3e e 2j 8t t t t t t f t t --⎛⎫-===-+- ⎪⎝⎭即得()()()()()πjδ33δ13δ1δ34f t ωωωω⎡⎤⎡⎤=---++-+⎣⎦⎣⎦F12.求函数()πsin 53t t f ⎛⎫=+ ⎪⎝⎭的Fourier 变换.解: 由于()π1sin 5sin5cos5322f t t t t ⎛⎫=+=+ ⎪⎝⎭故()()()()()πjδ5δ55δ52f t ωωωω⎤⎡⎤⎡⎤=+--+++-⎥⎣⎦⎣⎦⎣⎦F . 14.证明:若()()j e t F ϕω⎡⎤=⎣⎦F ,其中()t ϕ为一实数,则()()()1cos 2t F F ϕωω⎡⎤⎡⎤=+-⎣⎦⎣⎦F ()()()1sin 2j t F F ϕωω⎡⎤⎡⎤=--⎣⎦⎣⎦F 其中()F ω-为()F ω的共轭函数.证明:因为 ()()j j e e d t t F t ϕωω+∞--∞=⋅⎰()()()j j j j ee d ee d t t tt F t t ϕϕωωω+∞+∞---∞-∞-==⋅⎰⎰()()()()()()j j j j 1e ee d cos e d cos 22t t t t F F t t t t ϕϕωωωωϕϕ-+∞+∞---∞-∞+⎡⎤⎡⎤+-===⎣⎦⎣⎦⎰⎰F 同理可证另一等式.17.求作如图的锯齿形波的频谱图.(图形见教科书).解 :02π,T ω=()1,00,ht t Tf t T ⎧≤≤⎪=⎨⎪⎩其他()00111d d 2TTh C f t t ht t TTT ===⎰⎰()()000j j j 02011e d e d e d TTTn t n t n t n ht h C F n f t t t t t TTT Tωωωω---===⋅=⎰⎰⎰00j j 211j e e d j j 2πTn t n t Thht T n n n ωωωω--⎡⎤=⋅+=⎢⎥-⎣⎦⎰()()()()()000j j 2πδ2πδπδδ.22πn n n n h h hF n h n n nωωωωωωω+∞+∞=-∞=-∞≠≠=+⋅-=+⋅-∑∑。
第一章 傅里叶变换内容提要:一 傅里叶变换定义1定义2定义34傅里叶积分定理二 δ函数型序列的充分条件构成δ1.)(21)(,)(21)(,)()( 为傅里叶积分公式即称则若设:dw e dx e x f t f dw e w F t f dt e t f w F iwt iwx iwt iwt ⎰⎰⎰⎰∞+∞--∞+∞-+∞∞--+∞∞-⎥⎦⎤⎢⎣⎡===ππ=)(t f [])(1-w F ℱ;)()()(21逆变换的傅里叶为Fourier w F dw e w F iwt ⎰+∞∞-=π=)(w F [])(t f ;)()()(变换的傅里叶为Fourier t f dt e t f iwt -+∞∞-⎰=ℱ .)(21)(,)(21)(,)()( 为傅里叶积分公式即称则若设:dw e dx e x f t f dw e w F t f dt e t f w F iwt iwx iwt iwt ⎰⎰⎰⎰∞+∞--∞+∞-+∞∞--+∞∞-⎥⎦⎤⎢⎣⎡===ππ满足如下两个条件:若函数)(t f 限个极值点;类间断点,且至多有有上连续或有有限个第一在即条件上满足狄利克雷在实轴的任何有限区间],[)( ,)(],[)( )b a t f Dirichlet b a t f i .],[)( )的反常积分收敛在区间+∞-∞t f ii .)()(,)(21)]0()0([21)(dt e t f w F dw e w F t f t f t f iwtiwt -∞+∞-∞+∞-⎰⎰==-++其中且的傅里叶变换存在,则函数π函数列的该趋向下,,则在)(的某种趋向下,函数若在参数可积,且满足在实轴的任何有限区间设普通函数βεβϕβ++∞∞→==⎰0,1)()(-dt t f t f ).()( )0)(( ))(1()(1)(t t f t f t f δδβϕβϕβϕββ→>=即:型序列,构成一个型序列几个常用 2δ⎪⎩⎪⎨⎧<<===⎩⎨⎧<<=. 0)0( 1)1(1)( . 0)10( 1)( )1其它,,则令其它,εεεεβεεt t f t f t t f ).()(lim 00t t δδδεεε=→+→+型序列,即时为当.)()1(1)(,1)(,)1(1)( )2(22-2πεεεεδπεw w f w dt t f t t f R +===+=⎰+∞∞构造:显然).()(lim 00w w R δδδεεε=→+→+即型序列,时为当.)cos(21sin )()(,sin ,sin )( )3(-⎰⎰-+∞∞=====RRIR dw wt t Rt Rt Rf t dt tt t tt f ππδππ构造:因为).()(lim t t R IR R δδδ=+∞→+∞→型序列,即时为当.2)1(1)(,2,2)( )4(2222-22πβββδππββw G t t ew f w dt eet f -∞+∞--====⎰构造:因为).()(lim 00w w G δδδβββ=→+→+型序列,即时为当函数的积分3δ).)(()()(lim )()()1-00-0处处无穷次可微,定义:t f dt t f t t dt t f t t ⎰⎰+∞∞→+∞∞-=-+εεδδ三 傅立叶变换的性质四 几个常用函数傅里叶变换对1.线性性质2.位移性质)( t f 若ℱ, )(w F 3.微分性质)( n1k ∑=t f C k k . )(1∑=nk k k w F C ℱ )( )1 a t f ±ℱ ;)( )(为实数a w F e iwa ±t iw et f 0)( )2±.)( )(00为实数w w w F ℱ)( t f k 若),,2,1( )(n k w F k =ℱ)( t f 若ℱ, )(w F )( )1 )(t fn ;)( )()(为自然数n w F iw n ℱ)()( )2t f -it n .)( )()(为自然数n w F n ℱ)( t f 若ℱ)(w F 4.积分性质 则ℱ []).(1)(w F iw t g =).( )10)((lim )(1lim )()(lim)()()2000-00-000t f t f dt t f dtt f t t dt t f t t t t =<<+==-=-+++→+→+∞∞→+∞∞⎰⎰⎰θεθεδδδεεεεε函数的筛选性质:2sin 2τw w E).2( 0),2( )()1⎪⎩⎪⎨⎧><=ττt t E t f ℱ)0( )0( 0)0( )()2>⎩⎨⎧<>=-ββt t e t f t 1iw+βℱ习题1.11. 求下列函数的Fourier 变换. (1)ℱ)]([t f =dt e A t i ⎰-τω0=0τωωt i e i A --=)1(ωτωi e i A --.(2) ℱ)]([t f =dt te e t i t⎰+∞∞---ωcos =dt te t i ⎰+∞+-0)1(cos ω+dt te t i ⎰∞--0)1(cos ω由201cos a a dt te at +=⎰+∞-,2001cos cos aa dt te dt te at at +==⎰⎰+∞-∞-, 可知:ℱ)]([t f =22)1(11)1(11ωωωωi i i i -+-++++=22424ωω-+.2. 求Fourier 逆变换. ℱ)]([1ωF -=ωπωωβd e et i ⎰+∞∞--21=ωωπωβωβd e d e it it ⎰⎰∞-++∞+-+0)(0)([21=⎥⎦⎤⎢⎣⎡∞-++∞++-++-010121)()(ωβωβββπit it e it e it=22221t +ββπ=)(22t +βπβ.3. ℱ)]([t f =⎰--⋅ππωdt e t t i sin=-⎰--ππωt d e t i cos =-⎰---⋅--⋅ππωωωππdt e t i te t i t i cos cos=()⎰-----ππωωωωπt d e i e e t i t i t i sin cos=⎰----⋅+-ππωωωωωdt te i i e e t i t i t i sin )(=⎰---+-ππωωωωdt teeeti ti ti sin 2ℱ)(1w iwπδ+)( )5t u )( )3t δℱ 1)( 2w πδ1)4ℱℱ)]([t f =1sin 22-ωωπi由ℱ)()]([1t f F =-ω可知下面的等式成立.4. 求下列函数的Fourier 积分。
2-51.求下列常系数微分方程的解:1)()2e ,00t y y y '-==;8)()()()331,0000y y y y y y y '''''''''+++====;12)()()()()()420,0000,01y y y y y y y ''''''''++=====;16)()π10sin 2,00,12y y t y y ⎛⎫''+=== ⎪⎝⎭。
分析:解题步骤,首先取Laplace 变换将微分方程化为象函数的代数方程, 解代数方程求出象函数, 再取Laplace 逆变换得最后的解.解:1)方程两边取Laplace 变换,并结合初始条件可得()()21e 2t sY s Y s s ⎡⎤-==⎣⎦-L 即()()()1112121Y s s s s s ==-----. 从而方程的解为()()12e e t t y t Y s -⎡⎤==-⎣⎦L8)对方程两边取Laplace 变换,并结合初始条件,有()()()()32133s Y s s Y s sY s Y s s+++= 即()()()332113311Y s s s s s s s ==++++ 由留数计算法,由于10s =是()Y s 的一个一级极点,21s =-是()Y s 的一个三级极点,从而方程的解为()()()121Res e k st s s k f t Y s Y s =-=⎡⎤⎡⎤==⎣⎦⎣⎦∑L ()12232e 1d 1lim e 2!d 1stst s s s s s s s →=⎡⎤=+⎢⎥⎣⎦+ ()2231e 2211lim 2st s s t st s →--+=+2111e 2t t t -⎛⎫=-++ ⎪⎝⎭. 12)对方程两边取Laplace 变换,并结合初始条件,有()()()()()()()()()43220000220200s Y s s y s y sy y s Y s sy y Y s '''''''----+--+= 即()()22221111ss Y s s s s ==⋅+++ 从而方程的解为()()11cos sin sin 2y t Y s t t t t -⎡⎤==*=⎣⎦L . 16)对方程两边取Laplace 变换,并结合初始条件,有 ()()()()22200104s Y s sy y Y s s '--+=+ 即()()()()222020114y Y s s s s '=++++()222020113141y s s s '⎛⎫=-+ ⎪+++⎝⎭,从而 ()()()12010sin sin 20sin 33y t Y s t t y t -'⎡⎤==-+⎣⎦L . 为了确定()0y ',将条件π12y ⎛⎫= ⎪⎝⎭代入上式可得()1703y '=-,所以方程的解为()10sin sin 23y t t t =- 2.求下列变系数微分方程的解:1)()()40,03,00ty y ty y y ''''++===;3)()()()2120,02ty t y t y y '''+-+-==;5)()()()()10,000,0ty n y y y y n ''''+-+===≥.解: 1)方程两边取Laplace 变换,有[]40ty y ty '''++=L即[][][]40ty y ty '''++=L L L ,亦即()()()()()()2d d 00040d d s Y s sy y sY s y Y s s s'⎡⎤⎡⎤---+--=⎣⎦⎣⎦ 从而()()2d 40d Y s sY s s ++= 2d d 04Y s s Y s +=+ 两边积分可得()211ln ln 42Y s c ++=或()Y s =取其逆变换,有()()02y t cJ t =欲求c ,可由条件()03y =得到,即()()0003y cJ c ===,所以方程的解为()()032y t J t =其中()()()2001!12kk k x J x k k ∞=-⎛⎫= ⎪Γ+⎝⎭∑称为零阶第一类Bessel 函数.3)方程两边取Laplace 变换,有[]()()2120ty t y t y '''⎡⎤⎡⎤+-+-=⎣⎦⎣⎦L L L()()()()()2d d 0020d d s Y s sy y sY s y s s'⎡⎤⎡⎤------⎣⎦⎣⎦ ()()()()d2020d sY s y Y s Y s s ⎡⎤---=⎣⎦整理化简后可得()()()()2d21416d s s Y s s Y s s ++++=即()()()2d46d 11Y s Y s s s s +=++这是一阶线性非齐次微分方程,这里()()()246,11P s Q s s s ==++所以()()()()d d e e d P s s P s sY s Q s s c -⎡⎤⎰⎰=+⎢⎥⎣⎦⎰()()24161d 1s s c s ⎡⎤=++⎣⎦+⎰()4211cs s =+++从而方程的解为()()132e e 3!t t cy t Y s t ---⎡⎤==+⎣⎦L ()312etc t -=+(1c 为任意常数)5)方程两边取Laplace 变换,有[]()[][]10ty n y y '''+--=L L L即()()()2d 00d s Y s sy y s'⎡⎤---+⎣⎦()()()()100n sY s y Y s ⎡⎤---=⎣⎦ 整理化简后可得()()()2d 11d Y s n ss Y s s -+=两边积分可得()()11ln n Y s s cs -+=-即()()1111e e n s s n cY s cs s ---++==从而方程的解为()(2nn y t ct J =(c 为任意常数)其中n J 称为n 阶第一类Bessel 函数。
一、将下列复数用代数式、三角式、指数式表示出来。
(1) i 解:2cossin22ii e i πππ==+(2) -1解:1cos sin i e i πππ-==+ (3)1+解:()/3122cos /3sin /3i e i πππ+==+ (4) 1cos sin i αα-+ 解:2221cos sin 2sin 2sincos2sin(sincos )2222222sincos()sin()2sin 222222i i i i i e πααααααααααπαπαα⎛⎫- ⎪⎝⎭-+=+=+⎛⎫=-+-= ⎪⎝⎭(5) 3z解:()3333cos3sin3i z r e r i θθθ==+ (6) 1i e +解:()1cos1sin1i i e ee e i +==+(7)11ii-+ 解:3/411cos3/4sin 3/411i i i i e i i i πππ--==-==+++二、计算下列数值(1) 解:1ar 21ar 21ar 2 b i ctg k a bi ctg abi ctgaπ⎛⎫+ ⎪⎝⎭==⎧⎪=⎨⎪⎩(2)解:6226363463222i k i i i i e i ee e iπππππππ⎛⎫⎛⎫++ ⎪ ⎪⎝⎭⎝⎭⎛⎫+ ⎪⎝⎭⎧=+⎪⎪⎪⎨====-+⎪⎪⎪=-⎩(3) i i 解:()2222ii k k i i e eππππ⎛⎫⎛⎫+-+ ⎪ ⎪⎝⎭⎝⎭==(4)解:()1/2222ii k k eeππππ⎛⎫⎛⎫++ ⎪ ⎪⎝⎭⎝⎭==(5) cos5α解:由于:()()552cos5i i e e ααα-+=,而:()()()()()()()()5555555555cos sin cos sin cos sin cos sin nni nn nni n n e i C i e i C i αααααααααα-=--==+==-=-∑∑所以:()()()()()()()()()()()555505555043253543251cos5cos sin cos sin 21 cos sin 112 5cos sin cos sin cos 5cos sin 10cos sin cos n n n nn n n n nn n C i i C i i C i ααααααααααααααααα--=--=⎡⎤=+-⎣⎦⎡⎤=+-⎣⎦=++=-+∑∑(6) sin5α解:由于:()()552sin 5i i ee ααα--=,所以:()()()()()()()()()()()()55550555505234245552341sin 5cos sin cos sin 21 cos sin 1121 sin cos sin sin cos sin 10cos sin 5sin cos n n n nn n n n nn n C i i i C i i i C i C i iααααααααααααααααα--=--=⎡⎤=--⎣⎦⎡⎤=--⎣⎦=++=-+∑∑ (7) cos cos2cos n ααα+++L L 解:()()221cos cos 2cos ()()2(1)1(1)11(1)(1)1 21122(1cos )1 2i i in i i in i in i i in i i in i in i i i n e e e e e e e e e e e e e e e e e e e e ααααααααααααααααααααααα----------⎡⎤+++=+++++++⎣⎦⎡⎤--+--⎡⎤--⎢⎥=+=⎢⎥---⎢⎥⎣⎦⎣⎦+=L L L L L L (1)(1)22(1cos )12cos 22cos(1)2cos cos 1cos(1)cos 22(1cos )2(1cos )1sin()sin22 2sin2i i n i n in in e e e e n n n n n ααααααααααααααααα+-+-⎡⎤---++⎢⎥-⎣⎦⎡⎤--++--++==⎢⎥--⎣⎦+-=(8) sin sin 2sin n ααα+++L L 解:()()221sin sin 2sin ()()2(1)1(1)11(1)(1)1 21122(1cos )1 2i i in i i in i in i i in i i in i in i i i n e e e e e e i e e e e e e e e e e i e e i e i αααααααααααααααααααααα---------⎡⎤+++=+++-+++⎣⎦⎡⎤-----⎡⎤--⎢⎥=-=⎢⎥---⎢⎥⎣⎦⎣⎦=L L L L L L (1)(1)112(1cos )12sin 2sin(1)2sin sin sin(1)sin 22(1cos )2(1cos )1cos()cos22 2sin2i n in i i n in e e e e e i i n i n n n i n αααααααααααααααααα+--+-⎡⎤--+-++-⎢⎥-⎣⎦⎡⎤-++-++==⎢⎥--⎣⎦-++=1.2 复变函数1、试证明函数f (z )=Arg(z ) (-π<Arg(z) ≤π),在负实轴上(包括原点)不连续。
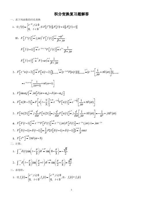
积分变换复习题解答一、求下列函数的付氏变换1、设(),0,00,⎩⎨⎧<≥=-t t e t f t β求()[]()[]()[]t f F t f F t f F -+'',1,解:()()()2117152F f t j F f t j ωωβω---''==⎡⎤⎡⎤⎣⎦⎣⎦+()()11415(1)11j j F f t eF f t ej ωωβω---⋅-+==⎡⎤⎡⎤⎣⎦⎣⎦+()()1212151F f t F j ωβω----=-=⎡⎤⎣⎦-2、()()()()1151141722111122{[]}{}itj j F e u t F u t eF u t e j ωωωωωωωωπδωω-----⋅-⋅=+=+=+⎡⎤⎡⎤-=-==+⎡⎤⎢⎥⎣⎦⎣⎦⎣⎦()2(1)11(1)j e j ωπδωω-+⎡⎤=++⎢⎥+⎣⎦3、[]()()112000sin F t j ωωδωωδωω-=+--⎡⎤⎣⎦4、()()()55114173351353j j F u t F u t e F u t e j ωωπδωω----⎡⎤⎡⎤⎛⎫-=-==+⎡⎤⎡⎤ ⎪⎢⎥⎢⎥⎣⎦⎣⎦⎝⎭⎣⎦⎣⎦5、()()()()()1181721122d d d F tu t j F u t j F u t j j d d d j πδωπδωωωωωω--⎡⎤'===+=-+⎡⎤⎡⎤⎡⎤⎢⎥⎣⎦⎣⎦⎣⎦⎣⎦6、()()()()()114118111j j j j F t eF t e j F t e j j e ωωωωδδωδωω---⋅---''-===⋅=⎡⎤⎡⎤⎡⎤⎣⎦⎣⎦⎣⎦7、()()()()1111111[11]cos F t t F t t t δδπδδππ-++-=++-=⎡⎤⎡⎤⎣⎦⎣⎦8、()110323itF e πδω-⎡⎤=-⎣⎦二、计算:1、()127sin sin 0332t t dt ππδ-+∞-∞⎛⎫⎛⎫-=-= ⎪ ⎪⎝⎭⎝⎭⎰2、128sin sin 42242t t dt ππππδ-+∞-∞⎛⎫⎛⎫⎛⎫-+=+= ⎪ ⎪ ⎪⎝⎭⎝⎭⎝⎭⎰三、求卷积:1、设()(),0,00,,0,00,221⎩⎨⎧<≥=⎩⎨⎧<≥=--t t e t f t t e t f t t 求:()()t f t f 21*解:0t <时:12()()0f t f t *=0t ≥时:()()()22212120()()tttt tt t f t f t f f t d e ed ee d e e ττττττττ------*=-===-⎰⎰⎰212,0()()0,0t te e tf t f t t --⎧-≥∴*=⎨<⎩2、设()()212,0,0,0,00,0t t t t f t f t t t ≥⎧≥⎧==⎨⎨<<⎩⎩,求:()()t f t f 21* 解:0t <时:12()()0f t f t *=0t ≥时:()()()24121201()()12ttf t f t f f t d t d t ττττττ*=-=-=⎰⎰ 412,0()()120,0t t f t f t t ⎧≥⎪∴*=⎨⎪<⎩四、求下列函数的拉氏变换: 1、219126333222255[sin5][sin5]5(3)5ts s s s L e t L t s s ---=-=-===+-+ 2、()(1)1221[cos2][cos2]12t ts L et e L e t e s ---+=⋅=⋅++同上题3、()()()(){}22221521812422222222231442[2]1[2][]ss s d d d L t u t L u t e L u t e e ds ds ds s s s s -------⎧⎫⎛⎫-=--==⋅=++⎨⎬ ⎪⎩⎭⎝⎭4、()222511[521]2ts L e t t e s s sδ-+-++=+++- 5、[]272822211sin sin cos cos sin sin cos 444221121s s L t L t t L t t s s s πππ--⎡⎤-⎛⎫⎡⎤⎡⎤-=-=-=-= ⎪⎢⎥⎢⎥⎢⎥+++⎝⎭⎣⎦⎣⎦⎣⎦6、(){}21312191271122[cos2]1[cos2]{[cos2]}2tts s s s d d d sL te t L e t L t ds dsds s -----=-=-⎧⎫=-=-=-⎨⎬+⎩⎭()22222123(1)225d s s s ds s s s ⎧⎫---=-=⎨⎬-+⎩⎭-+ 7、⎥⎦⎤⎢⎣⎡t t L 2sin []21712822sin 2arctan arctan 2222ss s s sL t ds ds s π---+∞+∞+∞====-+⎰⎰ 8、⎥⎦⎤⎢⎣⎡⎰-tt tdt e L 023sin []()21621912622221113sin3sin323t s s L e t L t s ss s -----=+⎡⎤==⋅=⋅⎣⎦++9、20t t e e dt t --+∞-⎰21722000111ln ln 2122t ts L e e ds ds s s s --+∞+∞--+∞+⎛⎫⎡⎤=-=-== ⎪⎣⎦+++⎝⎭⎰⎰10、设()5,122,24,0,4t f t t t ≤<⎧⎪=≤<⎨⎪≥⎩试用单位阶跃函数及延迟了的单位阶跃函数表示()t f ,并求[])(t f L 。
11 27、第二章 解析函数习题详解1、(1) f 1(z )= z 4在定义域(-,+) 内连续;2) f 2(z ) =4z +5在定义域(-,+)内连续; 1在定义域-, 3,3, +内连续。
- 4, v = 16u + 64, 为一抛物线。
4、(1)w = z 3,则w = (2i )3= -8i , w =( 2+2i )3=2 2+12i -12 2-8i =-10 2+4i ;5、 f (z )=Re z =x ,当 y →0时, f (z )→1;当x →0时, f (z )→0,因为极限不等, z x + iy 所以当z →0时, f (z )极限不存在。
1在原点处不连续,故 w =i arg z +1 在负实轴上与原点 zz3) f 3 (z )= 22、w = z2u =x 2-y 2v = 2 xy u =x 2 -4,把直线C :y =2映射成:u =x -4v = 4 xvx = ,代入第一个式子,4u =3、1zw = = = z zzx - iy22,x + yv =x 22 x + y-y 22 x + y把直线C :x =1映射成,:vu =v =1 1+y 2-y 1+y 21-u u 2u= (1- u ) u v 2 + u 22)w = z 3,像域为0arg w 26、i arg z 在负实轴上与原点处不连续, 处不连续。
f (z +z )- f (z )z →0z= limz →0(z +z )2zy 2 = 1 -1 = u为一个圆周。
uz 2-(z +z )2z 2(z +z )2z 2 -z 2 -2z z -z 22= lim = lim = - 。
z →0 z z →0z 2(z +z )2zz 38、(1) f (z ) =5-3z +5z 2,在(-,+)内解析,且导数为 f (z ) = -3+10z ;12、(1) z =e 1-2i =ecos -i sin=-ei ;1222) f (z )=1 1 1z 4 -1 (z 2 -1)(z 2 +1) (z -1)(z +1)(z +i )(z -i )在(-,+)内除z =1,5z +431 1 5 3) f (z )= z +4,在(-,+)内除z = - 3外解析, f (z )=1+ 2 =1+ 52z + 32 2 2z +32 2(2z +3)且导数为: f(z )= 1(2z +3)-2(-2)=-5 (2z +3)29、(1) f (z )=Im z = y 在z 平面上的点点不可导,不解析(因柯西-黎曼条件不满足);2) f (z )= z 4 ,在平面上的点解析。
1. 复级数1nn a∞=∑与1nn b∞=∑都发散,则级数1()nn n ab ∞=±∑和1n n n a b ∞=∑发散.这个命题是否成立?为什么?答.不一定.反例: 2211111111i ,i n n n n n n a b n n n n ∞∞∞∞=====+=-+∑∑∑∑发散但2112()i n n n n a b n ∞∞==+=⋅∑∑收敛 112()n nn n ab n∞∞==-=∑∑发散 241111[()]n n n n a b n n∞∞===-+∑∑收敛.2. 下列复数项级数是否收敛,是绝对收敛还是条件收敛?(1)2111i n n n +∞=+∑ (2)115i ()2nn ∞=+∑ (3) π1ei nn n∞=∑ (4) 1i ln nn n∞=∑ (5)cosi 2n n n ∞=∑解 (1) 211111i 1(1)i 1(1)i n n nn n n n n n n +∞∞∞===++-⋅-==+⋅∑∑∑ 因为11n n ∞=∑发散,所以2111i n n n +∞=+∑发散(2)1115i 2nnn n ∞∞==+=∑∑发散 又因为15i 15lim()lim(i)0222n nn n →∞→∞+=+≠ 所以115i()2nn ∞=+∑发散(3)πi11e 1nn n n n ∞∞===∑∑发散,又因为π111ππcosisin e 1ππ(cos isin )i nn n n n n n n n n n ∞∞∞===+==+∑∑∑收敛,所以不绝对收敛. (4)11i 1ln ln n n n n n∞∞===∑∑ 因为11ln 1n n >- 所以级数不绝对收敛.又因为当n=2k 时, 级数化为1(1)ln 2kk k∞=-∑收敛当n=2k+1时, 级数化为1(1)ln(21)kk k ∞=-+∑也收敛所以原级数条件收敛(5) 0000cosi 1e e 1e 11()()2222222n n n nnn n n n n n e -∞∞∞∞====+=⋅=+∑∑∑∑ 其中0e ()2nn ∞=∑ 发散,01()2n n e ∞=∑收敛 所以原级数发散.3.证明:若Re()0n a ≥,且1nn a∞=∑和21nn a∞=∑收敛,则级数21nn a∞=∑绝对收敛.证明:设2222i ,(i )2i n n n n n n n n n n a x y a x y x y x y =+=+=-+ 因为1nn a∞=∑和21nn a∞=∑收敛所以21111,,(),n nnn n n n n n n x y xy x y ∞∞∞∞====-∑∑∑∑收敛又因为Re()0n a ≥,所以0n x ≥且2lim lim 0n n n n x x →∞→∞== 当n 充分大时, 2n n x x <所以21nn x∞=∑收敛2222222()n n n n n n a x y x x y =+=--而212nn x∞=∑收敛,221()n n n xy ∞=-∑收敛所以21nn a∞=∑收敛,从而级数21nn a∞=∑绝对收敛.4.讨论级数1()n n n zz ∞+=-∑的敛散性解 因为部分和110()1nk k n n k s zz z ++==-=-∑,所以,1,1n z s <→-当时1,0n z s =→当时,1,n z s =-当时不存在.当i e z θ=而0θ≠时(即1,1z z =≠),cosn θ和sinn θ都没有极限,所以也不收敛.,n z s →∞当>1时.故当1z =和1z <时, 1()n n n zz ∞+=-∑收敛.5.幂级数(2)nnn C z ∞=-∑能否在z=0处收敛而在z=3处发散.解: 设1limn n nC C ρ+→∞=,则当12z ρ-<时,级数收敛,12z ρ->时发散.若在z=0处收敛,则12ρ>若在z=3处发散, 则11ρ<显然矛盾,所以幂级数0(2)nnn C z ∞=-∑不能在z=0处收敛而在z=3处发散6.下列说法是否正确?为什么?(1)每一个幂级数在它的收敛圆周上处处收敛.(2) 每一个幂级数的和函数在它的收敛圆内可能有奇点.答: (1) 不正确,因为幂级数在它的收敛圆周上可能收敛,也可能发散. (2) 不正确,因为收敛的幂级数的和函数在收敛圆周内是解析的.7.若0nn n C z ∞=∑的收敛半径为R,求0nn n n C z b ∞=∑的收敛半径。
1-11. 试证:若()f t 满足Fourier 积分定理中的条件,则有()()()d d 0cos sin f t a t b t ωωωωωω+∞+∞=+⎰⎰其中()()()()d d ππ11cos ,sin .a f b f ωτωττωτωττ+∞+∞-∞-∞==⎰⎰分析:由Fourier 积分的复数形式和三角形式都可以证明此题,请读者试用三角形式证明.证明:利用Fourier 积分的复数形式,有()()j j e e d π12t tf t f ωωτω+∞+∞--∞-∞⎡⎤=⎢⎥⎣⎦⎰⎰ ()()j j d e d π11cos sin 2t f ωτωτωττω+∞+∞-∞-∞⎡⎤=-⎢⎥⎣⎦⎰⎰()()()j j d 1cos sin 2a b t t ωωωωω+∞-∞⎡⎤=-+⎣⎦⎰ 由于()()()(),,a a b b ωωωω=-=--所以()()()d d 11cos sin 22f t a t b t ωωωωωω+∞+∞-∞-∞=+⎰⎰ ()()d d 0cos sin a t b t ωωωωωω+∞+∞=+⎰⎰2.求下列函数的Fourier 积分:1)()2221,10,1t t f t t ⎧-≤⎪=⎨>⎪⎩; 2) ()0,0;e sin 2,0tt f t t t -⎧<⎪=⎨≥⎪⎩ 3) ()0,11,101,010,1t t f t t t ⎧-∞<<-⎪--<<⎪=⎨<<⎪⎪<<+∞⎩分析:由Fourier 积分的复数形式和三角形式都可以解此题,请读者试用三角形式解.解:1)函数()2221,10,1t t f t t ⎧-≤⎪=⎨>⎪⎩为连续的偶函数,其Fourier 变换为 j 21()[()]()e d 2()cos d 2(1)cos d 00t F f t f t t f t t t t t t ωωωω-+∞+∞⎧====-⎨-∞⎩⎰⎰F122330sin 2cos 2sin sin 4(sin cos )2t t t t t t ωωωωωωωωωωωω⎡⎤⎛⎫-=--+=⎢⎥ ⎪⎝⎭⎣⎦(偶函数)f (t )的Fourier 积分为j 311()()e d ()cos d 02ππ4(sin cos )cos d 0πtf t F F t t ωωωωωωωωωωωω+∞+∞==-∞+∞-=⎰⎰⎰ 2)所给函数为连续函数,其Fourier 变换为()[]j j ω()()e d e sin 2e d 0tt t F f t f t t t t ωωτ---+∞===-∞⎰⎰F2j 2j j (12j j )(12j j )e e 1e e d [e e ]d 02j 2j 0t t t t t t t t ωωω----+--+++∞+∞-=⋅⋅=-⎰⎰ (12j j )(12j j )01e e 2j 12j j 12j j t t ωωωω+∞-+--++⎡⎤=+⎢⎥-+-++⎣⎦ ()224252j j 1121(2)j 1(2)j 256ωωωωωω⎡⎤--⎛⎫⎣⎦=+=⎪-+-+--+⎝⎭(实部为偶函数,虚数为奇函数)f (t )的Fourier 变换为()j 1()e d 2πt f t F ωωω+∞=-∞⎰ ()()224252j 1cos jsin d 2π256t t ωωωωωωω⎡⎤--+∞⎣⎦=⋅--∞-+⎰ ()()()2224242245cos 2sin 5sin 2cos 11d d π256π2565cos 2sin 2d π0256t t t t t t ωωωωωωωωωωωωωωωωωωωωω-+--+∞+∞=+-∞-+-∞-+-++∞=-+⎰⎰⎰这里用到奇偶函数的积分性质.3)所给函数有间断点-1,0,1且f (-t )= - f (t )是奇函数,其Fourier 变换为()[]j ()()e d 2j ()sin d 0tF f t f t t f t t t ωωω-+∞+∞===--∞⎰⎰F12j(cos 1)2j 1sin d 0t t ωωω-=-⋅=⎰(奇函数)f (t )的Fourier 积分为()()j j ()e d sin d π0π021cos sin d π0tf t F F t t ωωωωωωωωωω+∞+∞=+∞-=⎰⎰⎰1=2其中t ≠-1,0,1(在间断点0t 处,右边f (t )应以()()00002f t f t ++-代替).3.求下列函数的Fourier 变换,并推证下列积分结果: 1)()e(0),tf t ββ-=>证明:22cos πd e ;02tt βωωβωβ-+∞=+⎰ 2)()e cos tf t t -=,证明:242πcos d e cos ;042tt t ωωωω-+∞+=+⎰ 3)sin ,π()0,πt t f t t ⎧≤⎪=⎨>⎪⎩,证明:2πsin ,πsin πsin 2d 010,πt t t t ωωωω⎧≤+∞⎪=⎨-⎪>⎩⎰ 证明:1)函数()e t f t β-=为连续的偶函数,其Fourier 变换为()()j e e d 2e cos d 0t t tF f t t t t βωβωω---+∞+∞⎡⎤===⎣⎦-∞⎰⎰F()2222e cos sin 22t t t t t ββωωωββωβω-=+∞=-+==++ 再由Fourier 变换得()()j 22112e d cos d 2ππ0tf t F t t ωβωωωβω+∞+∞==-∞+⎰⎰ 即 22cos πd e 02tt βωωβωβ-+∞=+⎰2)函数()e cos t f t t -=为连续的偶函数,其Fourier 变换为()j j ()e d e cos e d t t t F f t t t t ωωω---+∞+∞==-∞-∞⎰⎰j j j e e e e d 2t t t tt ω---+∞+-∞⎰ (1j j )(1j j )(1j j )(1j j )001e d e d e d e d 200tt t t t t t t ωωωω-+----+--+++∞+∞⎧⎫=+++⎨⎬-∞-∞⎩⎭⎰⎰⎰⎰ (1j j )(1j j )(1j j )(1j j )001e e e e 21j j 1j j 1j j 01j j 0t t t t ωωωωωωωω+--++-+++-⎧⎫+∞+∞=+++⎨⎬+--∞---∞-+-+-⎩⎭2411111221j j 1j j 1j j 1j j 4ωωωωωω⎧⎫-+=+++=⎨⎬+----+-+-+⎩⎭ 再由Fourier 变换公式得()()2j 41112()e d cos d cos d 2ππ0π04tf t F F t t ωωωωωωωωωω+∞+∞+∞+===-∞+⎰⎰⎰ 即 242πcos d e cos 042tt t ωωωω-+∞+=+⎰ 3)给出的函数为奇函数,其Fourier 变换为()()()ππj j ππed sin ed sin cos jsin d ttF f t t t t t t t t ωωωωω+∞---∞--===-⎰⎰⎰()()ππ002j sin sin d j cos 1cos 1d t t t t t t ωωω⎡⎤=-=+--⎣⎦⎰⎰ ()()2sin 1πsin 1πsin sin 2jsin j j 1010111t t ωωωπωπωπωωωωω⎛⎫+---⎛⎫=-=-= ⎪⎪+-+--⎝⎭⎝⎭ ()()()-1j 2112jsin πe d cos jsin d 2π2π1tF F t t ωωωωωωωωω+∞+∞-∞-∞⎡⎤==+⎣⎦-⎰⎰F20sin ,π2sin πsin d π10,πt t t t ωωωω+∞⎧≤⎪=-=⎨->⎪⎩⎰ 故2πsin ,πsin πsin 2d 10,πt t t t ωωωω+∞⎧≤⎪=⎨-⎪>⎩⎰4.求函数()()e 0,0t f t t ββ-=>≥的Fourier 正弦积分表达式和Fourier 余弦积分表达式.解:根据Fourier 正弦积分公式,并用分部积分法,有()()002sin d sin d πf t t f ωωτττω+∞+∞⎡⎤=⎢⎥⎣⎦⎰⎰002sin d sin d πe t t βτωωτω+∞+-∞⎡⎤=⎢⎥⎣⎦⎰⎰ ()220sin cos 2sin d π0e t t βτβωωωωωβτω+-∞⎡⎤-+∞=⎢⎥+⎣⎦⎰ 2202sin d .πt ωωωβω+∞=+⎰ 根据Fourier 余弦积分公式,用分部积分法,有()()002cos d cos d πf t t f ωωτττω+∞+∞⎡⎤=⎢⎥⎣⎦⎰⎰ 002cos d cos d πe tt βτωωτω+∞+-∞⎡⎤=⎢⎥⎣⎦⎰⎰ ()220sin cos 2cos d π0e t t βτβωωωωωβτω+-∞⎡⎤-+∞=⎢⎥+⎣⎦⎰ 2202cos d .πt ωωωβω+∞=+⎰ 1-21.求矩形脉冲函数,0()0,A t f t τ⎧≤≤⎪=⎨⎪⎩其他的Fourier 变换.解:[]()j j j j 01e e()()()e d e d 0j j t t t t A F f t f t t A t A τωωωωτωωω-----+∞⎡⎤=====⎢⎥-∞-⎣⎦⎰⎰F 2.设()F ω是函数()f t 的Fourier 变换,证明()F ω与()f t 有相同的奇偶性.证明:()F ω与()f t 是一个Fourier 变换对,即 ()()j e d t F f t t ωω-+∞=-∞⎰,()()j 1e d 2πt f t F ωωω+∞=-∞⎰ 如果()F ω为奇函数,即()()F F ωω-=-,则()()()()()()j j 11e d e d 2π2πt tf t F F ωωωωωω--+∞+∞-==---∞-∞⎰⎰—(令u ω-=)()j 1e d 2πut F u u -∞=+∞⎰ (换积分变量u 为ω)()()j 1e d 2πtF f t ωωω+∞=-=--∞⎰ 所以()f t 亦为奇函数.如果()f t 为奇函数,即()()f t f t -=-,则()()()()()j j e d e d t tF f t t f t t ωωω----+∞+∞-==---∞-∞⎰⎰ (令t u -=)()j e d u f u u ω--∞=+∞⎰ (换积分变量u 为t )()()j e d t f t t F ωω-+∞=-=--∞⎰ 所以()F ω亦为奇函数.同理可证()f t 与()F ω同为偶函数.4.求函数()()e 0t f t t -=≥的Fourier 正弦变换,并推证()20012sin πd e αωαωωαω+∞-=>+⎰解:由Fourier 正弦变换公式,有()()s s F f t ω⎡⎤=⎣⎦F ()0sin f t t t ω+∞=⎰d 0sin tt t ω+∞-=⎰e d ()2sin cos 10t t t ωωωω---+∞=+e 21ωω=+ 由Fourier 正弦逆变换公式,有()120022sin ()()sin 1ss s tf t F F t ωωωωωωωω+∞+∞-===⎡⎤⎣⎦+⎰⎰F d d ππ由此,当0t α=>时,可得()()20sin ππd e 0122f αωαωωααω+∞-==>+⎰5.设()()f t F ω⎡⎤=⎣⎦F ,试证明:1)()f t 为实值函数的充要条件是()()F F ωω-=; 2)()f t 为虚值函数的充要条件是()()F F ωω-=-.证明: 在一般情况下,记()()()r i f t f t f t =+j 其中()r f t 和()i f t 均为t 的实值函数,且分别为()f t 的实部与虚部. 因此()()()()[]j e d j cos jsin d t r i F f t t f t f t t t t ωωωω-+∞+∞⎡⎤==+-⎣⎦-∞-∞⎰⎰ ()()()()cos sin d j sin cos d ri r i f t t f t t t f t t f t t t ωωωω+∞+∞⎡⎤⎡⎤=+--⎣⎦⎣⎦-∞-∞⎰⎰ ()()Re Im F j F ωω⎡⎤⎡⎤=+⎣⎦⎣⎦ 其中()()()Re cos sin d r i F f t t f t t t ωωω+∞⎡⎤⎡⎤=+⎣⎦⎣⎦-∞⎰, ()a ()()()Im sin cos d r i F f t t f t t t ωωω+∞⎡⎤⎡⎤=--⎣⎦⎣⎦-∞⎰ ()b1)若()f t 为t 的实值函数,即()()(),0r i f t t f f t ==.此时,()a 式和()b 式分别为()()Re cos d r F f t t t ωω+∞⎡⎤=⎣⎦-∞⎰ ()()Im sin d r F f t t t ωω+∞⎡⎤=-⎣⎦-∞⎰所以()()()Re jIm F F F ωωω⎡⎤⎡⎤-=-+-⎣⎦⎣⎦()()()Re jIm F F F ωωω⎡⎤⎡⎤=-=⎣⎦⎣⎦ 反之,若已知()()F F ωω-=,则有()()()()Re jIm Re jIm F F F F ωωωω⎡⎤⎡⎤⎡⎤⎡⎤-+-=-⎣⎦⎣⎦⎣⎦⎣⎦此即表明()F ω的实部是关于ω的偶函数;()F ω的虚部是关于ω的奇函数.因此,必定有()()()cos d j sin d r rF f t t t f t t t ωωω+∞+∞=--∞-∞⎰⎰亦即表明()()r f t f t =为t 的实值函数.从而结论1)获证.2)若()f t 为t 的虚值函数,即()()()j ,0i r f t f f t t ==.此时,()a 式和()b 式分别为()()Re sin d i F f t t t ωω+∞⎡⎤=⎣⎦-∞⎰ ()()Im cos d iF f t t t ωω+∞⎡⎤=⎣⎦-∞⎰所以()()()Re jIm F F F ωωω⎡⎤⎡⎤-=-+-⎣⎦⎣⎦()()Re jIm F F ωω⎡⎤⎡⎤=-+⎣⎦⎣⎦()(){}Re jIm F F ωω⎡⎤⎡⎤=--⎣⎦⎣⎦()F ω=-反之,若已知()()F F ωω-=-,则有()()()()Re jIm Re jIm F F F F ωωωω⎡⎤⎡⎤⎡⎤⎡⎤-+-=-+⎣⎦⎣⎦⎣⎦⎣⎦此即表明()F ω的实部是关于ω的奇函数;()F ω的虚部是关于ω的偶函数.因此,必定有()()()sin d j cos d i iF f t t t f t t t ωωω+∞+∞==+-∞-∞⎰⎰, 亦即表明()()j i f t f t =为t 的虚值函数.从而结论2)获证.6.已知某函数的Fourier 变换sin ()F ωωω=,求该函数()f t .解:sin ()F ωωω=为连续的偶函数,由公式有()()j π1sin e d cos d 2π0tf t F t ωωωωωωω+∞+∞==-∞⎰⎰()()sin 1sin 111d d 2π02π0t t ωωωωωω+∞++∞-=+⎰⎰但由于当0a >时sin sin sin πd d()d 0002a a t a t t ωωωωωω+∞+∞+∞===⎰⎰⎰ 当0a <时sin sin()πd d 002a a ωωωωωω+∞+∞-=-=-⎰⎰ 当0a =时,sin d 0,0a ωωω+∞=⎰所以得 ()11211401t f t t t ⎧<⎪⎪⎪==⎨⎪⎪>⎪⎩,,,7.已知某函数的Fourier 变换为()()()00πδδF ωωωωω⎡⎤=++-⎣⎦,求该函数()f t .解:由函数()()()00δd t t g t t g t -=,易知()()()()j j j 001e d 2π11πδe d πδe d 2π2πtt t f t F ωωωωωωωωωωω+∞=-∞+∞+∞=++--∞-∞⎰⎰⎰j j 00011e e cos 22t t t ωωωωωωω=-==+=8.求符号函数(又称正负号函数)()1,0sgn 1,0t t t -<⎧=⎨>⎩的Fourier 变换.解:容易看出()()()sgn t u t u t =--,而1[()]()πδ().j u t F ωωω=-+F 9.求函数()()()1δδδδ222a a t a t a t f t t ⎡⎤⎛⎫⎛⎫=++-+++- ⎪ ⎪⎢⎥⎝⎭⎝⎭⎣⎦的Fourier 变换.解 :—()()()()j 1δδδδe d 222t a a F f t t a t a t t ωωω+∞--∞⎡⎤⎛⎫⎛⎫⎡⎤==++-+++- ⎪ ⎪⎢⎥⎣⎦⎝⎭⎝⎭⎣⎦⎰F j j j j 1e e e e 222t t t t a a t a t a t t ωωωω----⎡⎤⎢⎥=+++⎢⎥=-==-=⎢⎥⎣⎦cos cos 2aa ωω=+.10 .求函数()cos sin t f t t =的Fourier 变换. 解: 已知()()000sin j πδδt ωωωωω⎡⎤=+--⎡⎤⎣⎦⎣⎦F 由()1cos sin sin 22f t t t t ==有()()()πjδ2δ22f t ωω⎡⎤⎡⎤=+--⎣⎦⎣⎦F 11.求函数()3sin f t t =的Fourier 变换.解:已知()0j 0e 2πδtωωω⎡⎤=-⎣⎦F ,由()()3j j 33j j -j 3j e e j sin e 3e 3e e 2j 8t t t t t tf t t --⎛⎫-===-+- ⎪⎝⎭即得()()()()()πjδ33δ13δ1δ34f t ωωωω⎡⎤⎡⎤=---++-+⎣⎦⎣⎦F12.求函数()πsin 53t t f ⎛⎫=+ ⎪⎝⎭的Fourier 变换.解: 由于()π1sin 5sin532f t t t t ⎛⎫=+=+ ⎪⎝⎭故()()()()()πjδ5δ5δ5δ522f t ωωωω⎤⎡⎤⎡⎤=+--+++-⎥⎣⎦⎣⎦⎣⎦F .14.证明:若()()j e t F ϕω⎡⎤=⎣⎦F ,其中()t ϕ为一实数,则 ()()()1cos 2t F F ϕωω⎡⎤⎡⎤=+-⎣⎦⎣⎦F()()()1sin 2j t F F ϕωω⎡⎤⎡⎤=--⎣⎦⎣⎦F其中()F ω-为()F ω的共轭函数.证明:因为 ()()j j ee d t t F t ϕωω+∞--∞=⋅⎰()()()j j j j ee d ee d t t tt F t t ϕϕωωω+∞+∞---∞-∞-==⋅⎰⎰()()()()()()j j j j 1e eed cose d cos 22t t tt F F t t t t ϕϕωωωωϕϕ-+∞+∞---∞-∞+⎡⎤⎡⎤+-===⎣⎦⎣⎦⎰⎰F 同理可证另一等式.17.求作如图的锯齿形波的频谱图.(图形见教科书).解 :02π,T ω=()1,00,ht t T f t T ⎧≤≤⎪=⎨⎪⎩其他()00111d d 2TTh C f t t ht t TTT ===⎰⎰()()000j j j 02011ed e d e d TTTn tn t n t n ht h C F n f t t t t t TTT Tωωωω---===⋅=⎰⎰⎰00j j 211j e e d j j 2πTn t n t Thht T n n n ωωωω--⎡⎤=⋅+=⎢⎥-⎣⎦⎰()()()()()000j j 2πδ2πδπδδ.22πn n n n h h hF n h n n n ωωωωωωω+∞+∞=-∞=-∞≠≠=+⋅-=+⋅-∑∑1-31.若1122()[()],()[()],F f t F f t ωω== F F ,αβ是常数,证明(线性性质):1212()()()()f t f t F F αβαωβω+=+⎡⎤⎣⎦F -11212()()()()F F f t f t αωβωαβ+=+⎡⎤⎣⎦F分析:根据Fourier 变换的定义很容易证明. 证明:根据Fourier 变换与逆变换的公式分别有1212()()()()tf t f t f t f t t ωαβαβ+∞--∞+=+⎡⎤⎡⎤⎣⎦⎣⎦⎰F j e d12()()tt f t t f t t ωωαβ+∞+∞---∞-∞=+⎰⎰j j ed e d12()()F F αωβω=+-112121()()()()2tF F F F ωαωβωαωβωω+∞-∞+=+⎡⎤⎡⎤⎣⎦⎣⎦⎰Fj e d π1211()()22t tF F ωωαωωβωω+∞+∞-∞-∞⎡⎤⎡⎤=+⎢⎥⎢⎥⎣⎦⎣⎦⎰⎰j j e d e d ππ12()()f t f t αβ=+6.若()[()]F f t ω= F ,证明(翻转性质):()[()]F f t ω-=- F 分析:根据Fourier 变换的定义,再进行变量代换即可证明. 证明:()[()]t f t f t t ω+∞--∞-=-⎰F j e d (令t u -=)()()u f u u ω+∞---∞=⎰j e d(换u 为t )()()tf t t ω+∞---∞=⎰j ed()F ω=-9.设函数()1,10,1t f t t ⎧<⎪=⎨>⎪⎩,利用对称性质,证明:π ,1sin .0,1t t ωω⎧<⎪⎡⎤=⎨⎢⎥>⎣⎦⎪⎩F 证明:()[()]t f t f t t ω+∞--∞=⎰F j e d 11t t ω--=⎰j e d1cos t t ω=⎰d 1sin tt ωω=⎰d由对称性质:()[()]f t F ω= F ,则()[()]2,F t f ω=-F π有()sin [()]2t F t f t ω⎡⎤==-⎢⎥⎣⎦F F π (),1sin 0,1t f t ωωω⎧<⎪⎡⎤=-=⎨⎢⎥>⎣⎦⎪⎩F π π 12.利用能量积分()()2212f t t F ωω+∞+∞-∞-∞⎡⎤=⎣⎦⎰⎰d d π,求下列积分的值: 1)21cos xx x +∞-∞-⎰d ; 2)42sin x x x +∞-∞⎰d ;3)()2211x x +∞-∞+⎰d ;4)()2221x x x +∞-∞+⎰d .解:1)2222sin 1cos 2xxx x x x +∞+∞-∞-∞-=⎰⎰d d(令2xt =)2sin t t t +∞-∞⎛⎫= ⎪⎝⎭⎰d 21sin 2t t ω+∞-∞⎡⎤=⎢⎥⎣⎦⎰F d π 12112ω-=⎰πd π=π 2)()22422sin 1cos sin x x xx x x x+∞+∞-∞-∞-=⎰⎰d d 22sin sin cos x x x x x x x +∞+∞-∞-∞⎛⎫⎛⎫=- ⎪ ⎪⎝⎭⎝⎭⎰⎰d d 21sin 2t t t +∞-∞⎛⎫=- ⎪⎝⎭⎰πd22=πππ-=3)()22221111x t t x +∞+∞-∞-∞⎛⎫= ⎪+⎝⎭+⎰⎰d d 221121t ω+∞-∞⎡⎤=⎢⎥+⎣⎦⎰F d π,其中221111tt t t ω+∞--∞⎡⎤=⎢⎥++⎣⎦⎰F j e d 20cos 21t t t ω+∞=+⎰d 22ωω--==πe πe 从而()2221121x x ωω+∞+∞--∞-∞=+⎰⎰d πe d π2201ωω+∞-=⎰πe d π20122ω-+∞=⋅=-ππe 4)()()2222221111x x x x x x +∞+∞-∞-∞+-=++⎰⎰d d ()2221111x x x x +∞+∞-∞-∞=-++⎰⎰d d arctan 2x+∞-∞=-π2222=+-=ππππ1-41.证明下列各式: 2)()1f t ()()()()()23123f t f t f t f t f t ⎡⎤⎡⎤=⎣⎦⎣⎦;6)()()()()()()121212d dd;d d d f t f t f tf t f t f t tt t⎡⎤==⎣⎦ 10)()()()d t f t u t f ττ-∞=⎰分析:根据卷积的定义证明. 证明: 2) ()()()123f t f t f t ⎡⎤⎣⎦()()()123d f f t f t ττττ+∞-∞⎡⎤=--⎣⎦⎰()()()132d f f u f t u du τττ+∞+∞-∞-∞⎡⎤=--⎢⎥⎣⎦⎰⎰ ()()()132d d f f u f t u u τττ+∞+∞-∞-∞=--⎰⎰()()()123d d f f t u f u uτττ+∞+∞-∞-∞⎡⎤=--⎢⎥⎣⎦⎰⎰ ()()()123d f t u f t u f u u +∞-∞⎡⎤=--⎣⎦⎰()()()123f t f t f t ⎡⎤=⎣⎦6)()()()()1212d d d d d f t f t f f t tt τττ+∞-∞⎡⎤⎡⎤=⋅-⎢⎥⎣⎦⎣⎦⎰()()()()1212ddd d d f f t f t f t t t τττ+∞-∞⎡⎤=⋅-=⎣⎦⎰, ()()()()1212d d d d d f t f t f t f t t τττ+∞-∞⎡⎤⎡⎤=-⋅⎢⎥⎣⎦⎣⎦⎰ ()()()()1212d d d d d f t f f t f t t t τττ+∞-∞⎡⎤=-⋅=⎢⎥⎣⎦⎰.10) ()()()()d f t u t f u t τττ+∞-∞=-⎰()1,0,t u t t τττ⎛⎫⎧<⎪-= ⎪⎨ ⎪>⎪⎩⎝⎭()d t f ττ-∞=⎰. 2.若()()()()12e ,sin t f t u t f t tu t α-==,求()()12f t f t .注意:不能随意调换()1f t 和()2f t 的位置.解:由()()1e ,0e 0,0t tt f t u t t αα--⎧>⎪==⎨<⎪⎩,()()2sin ,0sin 0,0t t f t tu t t >⎧==⎨<⎩, 所以 ()()()()1221f t f t f t f t =()()21d f f t τττ+∞-∞=-⎰要确定()()210f f t ττ-≠的区间,采用解不等式组的方法.因为()()210,0;0,0f t f t ττττ>≠->-≠.即必须满足 00t ττ>⎧⎨->⎩, 即0t ττ>⎧⎨<⎩, 因此 ()()()()1221f t f t f t f t =()()21d f f t τττ+∞-∞=-⎰()0sin ed t t ατττ--=⎰e sin e d t t αατττ-=⎰(分部积分法)()2e sin cos e 10ttατααττα-⎡⎤-=⎢⎥+⎣⎦ ()22e sin cos 1e11tαταατταα-⎡⎤-=+⎢⎥++⎣⎦ 2sin cos e 1tααττα--+=+ 4 .若()()()()1122,F f t F f t ωω⎡⎤⎡⎤==⎣⎦⎣⎦F F ,证明:()()()()11221*2πF f t t F f ωω⎡⎤⋅=⎣⎦F证明:()()()()121211d 2π2πF F F u F u u ωωω+∞-∞=⋅-⎰ ()()j 211e d d 2πut F u f t t u ω+∞+∞--∞-∞⎡⎤=-⋅⋅⎢⎥⎣⎦⎰⎰ ()()j 211e d d 2πut F u f t t u ω+∞+∞--∞-∞⎡⎤=-⎢⎥⎣⎦⎰⎰ ()()j 211e d d 2πut F u f t u t ω+∞+∞--∞-∞⎡⎤=-⎢⎥⎣⎦⎰⎰—()()j 121e d d 2πut f t F u u t ω+∞+∞--∞-∞⎡⎤=-⎢⎥⎣⎦⎰⎰ ()()j j 121e e d d 2πst tf t F s s t ω+∞+∞--∞-∞⎡⎤=⋅⎢⎥⎣⎦⎰⎰ ()()()()j 1212e d t f t f t t f t f t ω+∞--∞⎡⎤=⋅⋅=⋅⎣⎦⎰F5.求下列函数的Fourier 变换: 1)()()0sin f t t u t ω=⋅; 2)()()0e sin t f t t u t βω-=⋅; 5)()()0j 0e t f t u t t ω=-;解: 1)已知()()1πδj u t ωω⎡⎤=+⎣⎦F ,又 ()()()()()00j j 01sin e e 2jtt f t t u t u t u t ωωω-=⋅=-. 由位移性质有()()()()()0000111πδπδ2j j j f t ωωωωωωωω⎛⎫⎡⎤=-+-+- ⎪⎣⎦ ⎪-+⎝⎭F()()000220πδδ2j ωωωωωωω⎡⎤=--+-⎣⎦-. 2)由Fourier 变换的定义,有()()j 00e sin e sin e d t t tt u t t u t t ββωωω+∞----∞⎡⎤⋅=⋅⎣⎦⎰F ()j 00sin ed tt t βωω+∞-+=⎰()()()j 000220ej sin cos 0j tt t βωβωωωωβωω-+⎡⎤-+-+∞⎣⎦=++()22j ωβωω=++5)利用位移性质及()u t 的Fourier 变换,有()()0j 0e t u t t u t ω-⎡⎤⎡⎤-=⎣⎦⎣⎦F F ()0j 1e πδj t ωωω-⎛⎫=+⎪⎝⎭再由象函数的位移性质,有()()()()000j j 0001e e πδj t tu t t ωωωωωωω--⎡⎤⎡⎤-=+-⎢⎥⎣⎦-⎢⎥⎣⎦F 7.已知某信号的相关函数()21e 4a R ττ-=,求它的能量谱密度()S ω,其中0a >.解 由定义知()()j e d S R ωτωττ+∞--∞=⎰2j 1e e d 4a τωττ+∞---∞=⎰ 02j 2j 011e e d e e d 44a a τωττωτττ+∞----∞=+⎰⎰ ()()()2j 2j 001e 1e 42j 42j a a a a ωτωτωω--++∞=+--∞-+2211142j 2j 4aa a a ωωω⎛⎫=+= ⎪-++⎝⎭ 9.求函数()()()e ,0t f t u t αα-=>的能量谱密度. 解: 因为()()e ,0e0,0t tt f t u t t αα--⎧>⎪==⎨<⎪⎩,()()()()e,e0,t t t f t u t t ατατττττ-+-+⎧>-⎪+=+=⎨<-⎪⎩当0τ>时,()()0f t f t τ+≠的区间为()0,+∞,所以()()()()d e ed t t R f t f t t t αταττ+∞+∞-+--∞=+=⎰⎰22011eed ee e 22tt t αταατααταα+∞-----+∞===--⎰当0τ<时,()()0f t f t τ+≠的区间为(),τ-+∞,所以()()()d R f t f t t ττ+∞-∞=+⎰()e ed t t t ατατ+∞-+--=⎰2eed tt ατατ+∞---=⎰21e e2t ατατα--+∞-=-21e e 2ατατα-=1e 2ατα= 因此,()1e2R αττα-=,现在可以求得()f t 的能量谱密度,即 ()()j ed S R ωτωττ+∞--∞=⎰j 1e e d 2ατωττα+∞---∞=⎰()()0j j 01e d e d 2αωταωτττα+∞--+-∞⎡⎤=+⎢⎥⎣⎦⎰⎰ ()()()j j 0111e e 2j j 0αωταωτααωαω--+⎡⎤+∞=+⎢⎥--∞-+⎣⎦1112j j ααωαω⎡⎤=+⎢⎥-+⎣⎦221αω=+ 1-51.求微分方程()()(),()x t x t t t δ'+=-∞<<+∞的解. 分析:求解微分、积分方程的步骤:1)对微分、积分方程取Fourier 变换得象函数的代数方程; 2)解代数方程得象函数;3)取Fourier 逆变换得象原函数(方程的解).解:设()(),x t X ω⎡⎤=⎣⎦F 对方程两边取Fourier 变换,得 ()()j 1.X X ωωω+= 即()1.1X j ωω=+其逆变换为()0,0.e ,0tt x t t -⎧<⎪=⎨≥⎪⎩ 4.求解下列积分方程: 1)()()()222210;y a b t b t aτττ+∞-∞=<<+-+⎰d2)()222t t y τττ+∞----∞=⎰e d πe.解:1)利用卷积定理可以求解此类积分方程.显然,方程的左端是未知函数()y t 与221t a+的卷积,即()221y t t a+.设()(),y t Y ω⎡⎤=⎣⎦F 对方程两边取Fourier 变换,有()222211y t t a t b ⎡⎤⎡⎤=⎢⎥*+⎢⎥⎣⎦⎣+⎦F F即()222211y t t a t b ⎡⎤⎡⎤⎡⎤⋅=⎣⎦⎢+⎥⎢⎥⎣⎦⎣⎦+F F F 易知:22cos 2tt βωωβωβ+∞-=+⎰πd e ,有 ()222211t tY t t t a t bωωω+∞+∞---∞-∞⋅=++⎰⎰j j e d e d 即()222200cos cos 22t t Y t t t a t bωωω+∞+∞⋅=++⎰⎰d d 所以()()22b b a a a b Y b aωωωω----==πee πe由上可知222201cos π2d e a t t t a t a a ωω+∞-⎡⎤=⎢⎦=⎥++⎣⎰F ,()()-1b a a y t e b ω--⎥=⎡⎤⎢⎣⎦F()-1-b a a b a b b a ω--=⋅-⎡⎤⎢⎥⎣⎦F πe π()()22--a b a b t b a =⎡⎤+⎣⎦π.2)设()(),y t Y ω⎡⎤=⎣⎦F 对方程两边取Fourier 变换,同理可得()22e 2πe t t y t --⎡⎤⎡⎤=⎢⎥⎣⎦⎥⎦F F利用钟形脉冲函数的Fourier 变换224e eπt A A ωβββ--⎡⎤=⎣⎦F 及由Fourier 变换的定义可求得:222e tβββω-⎡⎤=⎣⎦+F ,从而 ()22e 2πe t t y t --⎡⎤⎡⎤⎡⎤⋅=⎢⎥⎣⎦⎣⎦⎥⎦F F F即()()2222222121Y ωωωωω--==++πe πe()22222ωωω--=-πeπj e从而()()222-1-122y t ωωω--⎡⎤⎡⎤=-⎢⎥⎢⎥⎢⎥⎢⎥⎣⎦⎣⎦πe πj e F F , 其中,记()22ef t ω-⎡⎤=⎣⎦F ,则()222πet f t -=,上式中第二项可利用微分性质()()()()2222f t f t ωωω-''⎡⎤⎡⎤==⎣⎦⎣⎦F F j j e,则()()2222-12222t f t t ωω--⎡⎤⎛⎫''== ⎪⎢⎥ ⎪⎢⎥⎣⎦⎝⎭F πd j e e d 2222t-=πe 因此()2222222t t y t --=⋅-πeπeππ222221t t -⎛⎫=- ⎪⎭e π.5.求下列微分方程的解()x t :()()()()d ax t b x f t ch t τττ+∞-∞'+-=⎰其中()(),f t h t 为已知函数,,,a b c 均为已知常数.解:设()()()()()(),,.f t F h t H x t X ωωω⎡⎤⎡⎤⎡⎤===⎣⎦⎣⎦⎣⎦F F F 对方程两边取Fourier 变换,可得()()()()j a X bX F cH ωωωωω+= 即()()(),j cH X a bF ωωωω=+从而()()()()-1.12tcH X a bF x t ωωωωωω+∞-∞⎡⎤==⎣⎦+⎰Fj πe d j 2-11.求下列函数的Laplace 变换,并给出其收敛域,再用查表的方法来验证结果.1)()sin 2tf t =.分析:用Laplace 变换的定义解题.解: j j 22001sin sin d d 222j e e e st s t s t t t t t ⎛⎫⎛⎫+∞+∞--+- ⎪⎪⎝⎭⎝⎭⎛⎫⎡⎤==+ ⎪⎢⎥⎣⎦⎝⎭-⎰⎰L ()21112Re()0j j 2j 4122s s s s ⎡⎤⎢⎥=-=⎢⎥+⎢⎥-+⎣⎦>. 2)()2e t f t -=.解:()()d d Re()e e eett sts tt t s s >-2222012+∞+∞----+⎡⎤===⎣⎦+⎰⎰L . 3)()2f t t =. 解:2220000112e d d(e )2e d e st stst st t t t t s s t tt -+∞+∞+∞--+∞-⎡⎤⎡⎤==-=--⎣⎦⎢⎥⎣⎦⎰⎰⎰L ∣()022300222d(e )e e d Re()0st st st t t t s sss+∞+∞--+∞-⎡⎤=-=--=⎢⎥⎣⎦⎰⎰∣ >.4)()sin cos f t t t =. 解:[]0sin cos sin cos e d st t t t t t +∞-=⎰L01sin 2e d 2stt t +∞-=⎰22121244s s =⋅=++. 7)()2cos f t t =.解 :22001cos 2cos cos e d e d 2ststt t t t t +∞+∞--+⎡⎤==⎣⎦⎰⎰L ()()2j 2j 001111cos 2e d e e d 2224s t s t st t t t s s +∞+∞--+-⎡⎤=+=++⎣⎦⎰⎰ ()2211112242j 2j 4s s s s s s ⎡⎤+=++=⎢⎥-++⎣⎦. 2.求下列函数的Laplace 变换:1)()3,021,2 4.0,4t f t t t ⎧≤<⎪=-≤<⎨⎪≥⎩解: ()()24002d 3d d e e e stststf t f t t t t +∞---⎡⎤==-⎣⎦⎰⎰⎰L()∣∣24240231134.e e e e st st s ss s s----=-+=-+2)()π3,2.πcos ,2t f t t t ⎧<⎪⎪=⎨⎪>⎪⎩解:()()π2π02e d 3e d cos e d stst stf t f t t t t t +∞+∞---⎡⎤==+⎣⎦⎰⎰⎰L ()()()∣∣j j πj -j π22ππ0223e e 31e e d 122j j e e e s t s tt tsst st t s s s s --++∞+∞---⎛⎫+⎛⎫ ⎪=-+=-++ ⎪ ⎪--+⎝⎭⎝⎭⎰()()()()ππj j πππ222222313111e e Re()02j j 1e e e s s s ss s s s s s s -+----⎛⎫⎛⎫⎛⎫ ⎪=-+-=--> ⎪ ⎪ ⎪+-+⎝⎭ ⎪⎝⎭⎝⎭3) ()()2e 5δt f t t =+解:()()()()220005δe d d 5δe d e et s tst st f t t t t t t +∞+∞+∞---⎡⎤⎡⎤=+=+⎣⎦⎣⎦⎰⎰⎰L()0115e 5Re()222st t s s s -==+=+>--∣. 4)()()()cos δsin f t t t t u t =⋅-⋅ 解:()()()()()0δcos sin ed δcose d sin e d stst st f t t t u t t t t t t t t+∞+∞+∞---⎡⎤=-=-⎣⎦⎰⎰⎰L()()()∣∣∣j j j 00011cos e e d 12j 2j j j e e ees tj s tttst st t t t s s--++∞+∞+∞---=⎡⎤⎢⎥=--=-+-+⎢⎥⎣⎦⎰ ()222111111Re()2j j j 11s s s s s s ⎛⎫=---=-= ⎪+-++⎝⎭>0. 2-21.求下列函数的Laplace 变换式: 1)()232f t t t =++.解:由[]2132!1232132m m m t s s s s st t +⎡⎤⎡⎤==++=++⎣⎦⎣⎦及有L L L .2)()1e t f t t =-. 解 :[]()()1111,e e t tt t t s ss s --⎡⎤⎡⎤===-⎣⎦⎣⎦222+1-1L L,L 1-.3)()()21e t f t t =-. 解:()22-1e e 2e e t t t tt t t ⎡⎤⎡⎤=-+⎣⎦⎣⎦L L ()()()232322145.-1-1-1s s s s s s -+=-+=-1 5)()cos f t t at =. 解: 由微分性质有:[][]()2222222d d cos cos d d s s a t at at s s s a s a -⎛⎫=-=-= ⎪+⎝⎭+L L 6) ()5sin23cos2f t t t =-解:已知[][]2222sin ,cos st t s s ωωωωω==++L L ,则 []522222103sin 23cos 253444s t t s s s --=-=+++L 8)()4e cos4t f t t -=. 解: 由[]2cos 416t s +s=L 及位移性质有 42cos 4416e ts t s -⎡⎤=⎣⎦++4(+)L . 3.若()()f t F s ⎡⎤=⎣⎦L ,证明(象函数的微分性质):()()()()()1,Re nn nF s t f t s c ⎡⎤=->⎣⎦L特别地,()()tf t F s '⎡⎤=-⎣⎦L ,或()()11f t F s t-'⎡⎤=-⎣⎦L ,并利用此结论计算下列各式:1)()3e sin2t f t t t -=,求()F s . 解:()()()322sin 224ett s s ωωω-===++22+3+3L,()()()()()32222343d 2sin 2d 444e ts s t st s s s -⎡⎤⎡⎤-++⎢⎥⎣⎦⎡⎤=-=-=⎢⎥⎣⎦⎡⎤⎡⎤+⎢⎥++⎣⎦⎢⎥⎢⎥⎣⎦⎣⎦222+3+3+3L2)()30e sin 2d tt f t t t t -=⎰,求()F s .解:()0332112sin 2d sin 234e e t t tt t t s s s --⎡⎤⎡⎤==⋅⎢⎥⎣⎦⎣⎦++⎰L L ,()()()02322222312132sin 2d 3434e t t s s t t t s s s s -'⎛⎫++ ⎪⎡⎤=-=⎢⎥ ⎪⎣⎦⎡⎤⎡⎤ ⎪++++⎣⎦⎝⎭⎣⎦⎰L3)()1ln1s F s s +=-,求()f t . 解:()1ln,1s F s s +=-()(),F s f t ⎡⎤=⎣⎦令-1L()()()()()()'211111ee ttF s tf t tf t s s s -=-=-=-=-=--+-2L L L故 ()()-12sinh tF s f t t⎡⎤==⎣⎦L. 4.若()()f t F s ⎡⎤=⎣⎦L ,证明(象函数的积分性质):()()d s f t F s s t ∞⎡⎤=⎢⎥⎣⎦⎰L ,或()()1d s f t t F s s ∞-⎡⎤=⎢⎥⎣⎦⎰L并利用此结论计算下列各式:1)()sin ktf t t=,求()F s . 解: ()2222sin kkkt s s kωωω===++L , 222sin 1d d 1s skt k s s t s k k s k ∞∞⎛⎫⎛⎫== ⎪ ⎪+⎝⎭⎝⎭⎛⎫+ ⎪⎝⎭⎰⎰L πarctan arctan 2ss s k k∞==- 2)()3e sin 2t tf t t-=,求()F s .解:()()322e sin 234t t s -=++L ,()32e sin 22π3d arctan 2234t s t s s t s -∞⎡⎤+==-⎢⎥++⎣⎦⎰L 2-31.设()()12,f t f t 均满足Laplace 变换存在定理的条件(若它们的增长指数均为c ),且()()()()1212,f t f t F s F s ⎡⎤⎡⎤==⎣⎦⎣⎦L L ,则乘积()()12f t f t ⋅的Laplace 变换一定存在,且()()()()j 1122j 1d 2πj F q F s q q f t f t ββ+∞-∞⎡⎤=-⎣⋅⎦⎰L其中(),Re .c s c ββ>>+证明: 已知()()12,f t f t 均满足Laplace 变换存在定理的条件且其增长指数均为c ,由Laplace 变换存在定理知()()12f t f t ⋅也满足Laplace 变换存在定理的条件且()()()()1212e e ct ct f t f t f t f t M M ⋅=⋅≤⋅22e ,0ct M t =≤<+∞ 表明()()12f t f t ⋅的增长指数为2c .因此()()12f t f t ⋅的Laplace 变换()()()120e d st F sf t f t t +∞-=⎰在半平面()Re 2s c >上一定存在,且右端积分在()()Re s c c ββ≥+>上绝对且一致收敛,并且在()Re 2s c >的半平面内,()F s 为解析函数.根据()()11F f t s ⎡⎤=⎣⎦L ,则()1f t 的Laplace 反演积分公式为()()11j j 1e d 2πj qt q f F q t ββ+∞-∞=⎰ 从而()()()()12120e d stf t f t f t f t t +∞-⎡⎤⎣⋅=⎦⎰L()()j 12j e d 1e d 2πj q s t tF q q f t t ββ+∞+--∞∞⎡⎤=⎢⎥⎣⎦⎰⎰(交换积分次序)()()()1j 0j 2e 12πj d d s q t F q f t t q ββ++∞-∞∞--⎡⎤=⎢⎥⎣⎦⎰⎰ ()()j 12j 1d 2πjF q F s q q ββ+∞-∞=-⎰ 2.求下列函数的Laplace 逆变换(象原函数);并用另一种方法加以验证. 1)()221F s s a=+. 2)()()()sF s s a s b =--.3)()()()2s cF s s a s b +=++.10)()()()2214sF s ss =++.解: 1)12211sin at s a a -⎡⎤=⎢⎥+⎣⎦L. 2)()()1sa b s a s b a b s a s b ⎛⎫=- ⎪-----⎝⎭, ()()()11e e .at bt s a b s a s b a b-⎡⎤=-⎢⎥---⎣⎦L3)()()()()()222111s cc a b c F s s a s b b a s a s b b a s b +--⎡⎤==-+⋅⎢⎥++-⎣⎦++-+, 故()()()()1222e at bts c c a b c a c e t b a s a s b b a a b ---⎡⎤⎡⎤+---⎢⎥⎢⎥=++-++--⎢⎥⎢⎥⎣⎦⎣⎦L10)由()()()2222131414ss s s s s F s s ⎛⎫=⎪++++⎝⎭=-,有 ()()()11cos cos 23f t F s t t -⎡⎤==-⎣⎦L.3.求下列函数的Laplace 逆变换: 1)()()2214F s s=+.6)()221ln s F s s -=.13)()221e sF s s -+=.解 : 1)用留数计算法,由于122j,2j s s ==-均为()F s 的二级极点,所以()()()()()2112211e 2j 2j Res k s sts k F s F s s s f t --==⎡⎤⎡⎤⎡⎤⎢⎥===⎣⎦⎣⎦⎢⎥⎣-⎦+∑LL()()2222j j e e 2j 2d d lim lim d d j st s s t s s s s s →→-⎡⎤⎡⎤⎢⎥⎢⎥=+⎢⎥⎢⎦⎣-⎣⎦+⎥ ()()()()()()2j 22244j22j 22j e e e e 2j 2j 2j 2l j im lim s s st st st st s s t t s s s s →→-⎡⎤⎡⎤⎢⎥⎢⎥=++---++⎢⎥⎢⎣⎦⎣-⎦-⎥ 2j 2j 2j 2j 8j 8j e e e e 1625616256t t t t t t --=---+ 2j 2j 2j 2j e e 1e e sin 2cos 282162j 168t t t t t t t t --+-=-+=-6)令()()()22212ln ,ln 1s F s F s s s s -'==-, ()()()()112e e 211t t F s tf t s s s-'=+-=+-=-+-L L , ()()21212ln 1cosh s f t t s t -⎛⎫-==- ⎪⎝⎭L. 13)2211122221e 1e s s ss s s -----⎡⎤⎡⎤⎡⎤+=+⎢⎥⎢⎥⎢⎥⎣⎦⎣⎦⎣⎦LLL ()()()21,222,02t t t t u t t t ⎧->⎪=+--=⎨≤<⎪⎩.2-41.求下列卷积:3)mt n t (,m n 为正整数). 解:mt ()()()0d 1C d nttnknm mk n k k n k t t t ττττττ-==⋅-=-∑⎰⎰()()001C d 1d C nnt tkkk n km km k k n knn k k tt ττττ-++-===-=-⋅∑∑⎰⎰ ()()()11001C 1C 11m k n k nnkk k m n k n nk k t t t m k m k ++-++==⋅=-⋅=-++++∑∑()1!!1!m n m n t m n ++=++.注:本小题可先用卷积定理求出mt n t 的Laplace 变换,再由Laplace 逆变换求出卷积6)sin kt ()sin 0kt k ≠.解 :sin kt ()()001sin sin sin d cos cos 2d 2ttkt k k t kt k kt τττττ⎡⎤=-=---⎣⎦⎰⎰ ()()011cos cos 2d 224tt kt k t t k k ττ=-+--⎰()0sin 211sin cos cos 2422tt k ktt kt t kt kkτ-=-+=-+. 7) t sinh t解 :t sinh sinh t t = t ()0sinh d tt τττ=⋅-⎰()()0011e d e d 22t t t t ττττττ-=---⎰⎰ ()()()000111d(e )d(e )2e e sinh 2220t t t t t t t t t ττττττ---⎡⎤=-+-=-++-=-⎢⎥⎣⎦⎰⎰ 9)()u t a - ()()0f t a ≥ .解:()u t a - ()()()()00,d d ,tt a t a f t u a f t f t t a τττττ⎧<⎪=-⋅-=⎨-≥⎪⎩⎰⎰.10) ()δt a - ()()0f t a ≥. 解: 当t a <,()δt a - ()0f t =. 当t a ≥,()δt a - ()()()0δd tf t a f t τττ=-⋅-⎰()()()()δd aa f t f t f t a τττττ+∞-∞==-⋅-=-=-⎰.2.设()()f t F s ⎡⎤=⎣⎦L ,利用卷积定理,证明:()()0d t F s f t t s⎡⎤=⎢⎥⎣⎦⎰L 证明:()()()()()1f t u t f t u t F s s⎡⎤⎡⎤⎡⎤=⋅=⋅⎣⎦⎣⎦⎣⎦L L L ,。
习题六1. 求映射1w z=下,下列曲线的像. (1) 22x y ax += (0a ≠,为实数) 解:222211i=+i i x y w u v z x y x y x y ===-+++ 221x x u x y ax a===+,所以1w z =将22x y ax +=映成直线1u a=. (2) .y kx =(k 为实数) 解: 22221i x y w z x y x y ==-++ 222222x y kxu v x y x y x y ==-=-+++ v ku =-故1w z =将y kx =映成直线v ku =-.2. 下列区域在指定的映射下映成什么?(1)Im()0,(1i)z w z >=+;解: (1i)(i )()i(+)w x y x y x y =+⋅+=-+ ,.20.u x y v x y u v y =-=+-=-<所以Im()Re()w w >.故(1i)w z =+⋅将Im()0,z >映成Im()Re()w w >. (2) Re(z )>0. 0<Im(z )<1, i w z=. 解:设z =x +i y , x >0, 0<y <1. 222222i i i(i )i x y y x w z x iy x y x y x y -====+++++ Re(w )>0. Im(w )>0. 若w =u +i v , 则2222,u vy x u v u v==++ 因为0<y <1,则22221101,()22u u v u v <<-+>+ 故i w z =将Re(z )>0, 0<Im(z )<1.映为Re(w )>0,Im(w )>0, 1212w > (以(12,0)为圆心、12为半径的圆)3. 求w =z 2在z =i 处的伸缩率和旋转角,问w =z 2将经过点z =i 且平行于实轴正向的曲线的切线方向映成w 平面上哪一个方向?并作图.解:因为w '=2z ,所以w '(i)=2i , |w '|=2, 旋转角arg w '=π2. 于是, 经过点i 且平行实轴正向的向量映成w 平面上过点-1,且方向垂直向上的向量.如图所示.→4. 一个解析函数,所构成的映射在什么条件下具有伸缩率和旋转角的不变性?映射w =z 2在z 平面上每一点都具有这个性质吗?答:一个解析函数所构成的映射在导数不为零的条件下具有伸缩率和旋转不变性映射w =z 2在z =0处导数为零,所以在z =0处不具备这个性质.5. 求将区域0<x <1变为本身的整体线性质变换w z αβ=⋅+的一般形式.6. 试求所有使点1±不动的分式线性变换. 解:设所求分式线性变换为az bw cz d+=+(ad -bc ≠0)由11-→-.得 1a bb acd c d-+-=⇒=+--+ 因为(1)a z c dw cz d ++-=+,即(1)(1)1a z c z w cz d++++=+,由11→代入上式,得22a ca d c d+=⇒=+. 因此11(1)(1)d cd cd c w z z cz d z +++=+=+⋅++ 令dq c =,得 1(1)(1)/()(1)(1)11(1)(1)/()2(1)(1)1w z q z q z q z a w z q z q z q z +++++++===⋅-+++---- 其中a 为复数.反之也成立,故所求分式线性映射为1111w z a w z ++=⋅--, a 为复数.7. 若分式线性映射,az bw cz d+=+将圆周|z |=1映射成直线则其余数应满足什么条件? 解:若az b w cz d +=+将圆周|z |=1映成直线,则dz c=-映成w =∞. 而dz c =-落在单位圆周|z |=1,所以1d c -=,|c |=|d |.故系数应满足ad -bc ≠0,且|c |=|d |.8. 试确定映射,11z w z -=+作用下,下列集合的像. (1) Re()0z =; (2) |z |=2; (3) Im(z )>0. 解:(1) Re(z )=0是虚轴,即z =i y 代入得.22222i 1(1i )12i i 1111y y y yw y y y y ----+===+⋅++++ 写成参数方程为2211y u y -+=+, 221yv y =+, y -∞<<+∞. 消去y 得,像曲线方程为单位圆,即u 2+v 2=1.(2) |z |=2.是一圆围,令i 2e ,02πz θθ=≤≤.代入得i i 2e 12e 1w θθ-=+化为参数方程.354cos u θ=+ 4sin 54cos u θθ=+ 02πθ≤≤ 消去θ得,像曲线方程为一阿波罗斯圆.即22254()()33u v -+=(3) 当Im(z )>0时,即11Im()011w w z w w ++=-⇒<--, 令w =u +i v 得221(1)i 2Im()Im()01(1)i (1)w u v v w u v u v +++-==<--+-+.即v >0,故Im(z )>0的像为Im(w )>0.9. 求出一个将右半平面Re(z )>0映射成单位圆|w |<1的分式线性变换. 解:设映射将右半平面z 0映射成w =0,则z 0关于轴对称点0z 的像为w =∞, 所以所求分式线性变换形式为00z z w k z z -=⋅-其中k 为常数.又因为00z z w k z z -=⋅-,而虚轴上的点z 对应|w |=1,不妨设z =0,则i 00||1e ()z z w k k k z z θθ-=⋅==⇒=∈-R故000e (Re()0)i z z w z z z θ-=⋅>-.10. 映射e 1i z w zϕαα-=⋅-⋅将||1z <映射成||1w <,实数ϕ的几何意义显什么?解:因为2i i 22(1)()()1||()e e (1)(1)z z w z z z ϕϕαααααα-----'=⋅=⋅-⋅- 从而2i i 2221||1()e e (1||)1||w ϕϕαααα-'=⋅=⋅-- 所以i 2arg ()arg e arg (1||)w ϕααϕ'=-⋅-= 故ϕ表示i e 1z w zθαα-=⋅-在单位圆内α处的旋转角arg ()w α'.11. 求将上半平面Im(z )>0,映射成|w |<1单位圆的分式线性变换w =f (z ),并满足条件(1) f (i)=0, arg (i)f '=0; (2) f (1)=1, f.解:将上半平面Im(z )>0, 映为单位圆|w |<1的一般分式线性映射为w =k z z αα-⋅-(Im(α)>0). (1) 由f (i)=0得α=i ,又由arg (i)0f '=,即i 22i()e (i)f z z θ'=⋅+,πi()21(i)e 02f θ-'==,得π2θ=,所以ii iz w z -=⋅+. (2) 由f (1)=1,得k =11αα--;由f ,得k α联立解得w =12. 求将|z |<1映射成|w |<1的分式线性变换w =f (z),并满足条件: (1) f (12)=0, f (-1)=1. (2) f (12)=0, 12πarg ()2f '=, (3) f (a )=a , arg ()f a ϕ'=.解:将单位圆|z |<1映成单位圆|w |<1的分式线性映射,为i e1z w zθαα-=-⋅, |α|<1.(1) 由f (12)=0,知12α=.又由f (-1)=1,知 1i i i 2121e e (1)1e 1π1θθθθ--⋅=-=⇒=-⇒=+.故12221112zz z w z --=-⋅=--. (2) 由f (12)=0,知12α=,又i 254e (2)z w z θ-'=⋅- i 11224π()earg ()32f f θθ''=⇒==, 于是 π21i 2221e ()i 12zz z w z--==⋅--. (3) 先求=()z ξϕ,使z =a 0ξ→=,arg ()a ϕθ'=,且|z |<1映成|ξ|<1.则可知 i =()=e 1z az a zθξϕ-⋅-⋅再求w =g (ξ),使ξ=0→w =a , arg (0)0g '=,且|ξ|<1映成|w |<1. 先求其反函数=()w ξψ,它使|w|<1映为|ξ|<1,w =a 映为ξ=0,且arg ()arg(1/(0))0w g ψ''==,则=()=1w aw a wξψ--⋅.因此,所求w 由等式给出.i =e 11w a z aa w a zθ--⋅-⋅-⋅.13. 求将顶点在0,1,i 的三角形式的内部映射为顶点依次为0,2,1+i 的三角形的内部的分式线性映射.解:直接用交比不变性公式即可求得02w w --∶1i 01i 2+-+-=02z z --∶i 0i 1--2w w -.1i 21i +-+=1z z -.i 1i- 4z(i 1)(1i)w z -=--+.14. 求出将圆环域2<|z |<5映射为圆环域4<|w |<10且使f (5)=-4的分式线性映射. 解:因为z=5,-5,-2,2映为w=-4,4,10,-10,由交比不变性,有2525-+∶2525---+=104104-+--∶104104+- 故w =f (z )应为55z z -+∶2525---+=44w w +-∶104105+- 即 44w w +-=55z z --+20w z⇒=-.讨论求得映射是否合乎要求,由于w =f (z )将|z |=2映为|w |=10,且将z =5映为w =-4.所以|z |>2映为|w |<10.又w =f (z )将|z |=5映为|w |=4,将z =2映为w =-10,所以将|z |<5映为|w |>4,由此确认,此函数合乎要求.15.映射2w z =将z 平面上的曲线221124x y ⎛⎫-+= ⎪⎝⎭映射到w 平面上的什么曲线?解:略.16. 映射w =e z将下列区域映为什么图形. (1) 直线网Re(z )=C 1,Im(z )=C 2;(2) 带形区域Im(),02πz αβαβ<<≤<≤; (3) 半带形区域Re()0,0Im(),02πz z αα><<≤≤.解:(1) 令z =x +i y , Re(z )=C 1, z =C 1+i y 1i =e e Cyw ⇒⋅, Im(z )=C 2,则z =x +i C 22i =e e C x w ⇒⋅故=e zw 将直线Re(z )映成圆周1e Cρ=;直线Im(z )=C 2映为射线2C ϕ=.(2) 令z =x +i y ,y αβ<<,则i i =e ee e ,z x yx y w y αβ+==⋅<<故=e zw 将带形区域Im()z αβ<<映为arg()w αβ<<的张角为βα-的角形区域. (3) 令z =x +i y ,x >0,0<y < α, 02πα≤≤.则i =e e e (0,0)e 1,0arg z x yx w x y w αα=⋅><<⇒><<故=e zw 将半带形区域Re(z )>0,0<Im(z )<α, 02πα≤≤映为 |w |>1, 0arg w α<<(02πα≤≤).17. 求将单位圆的外部|z |>1保形映射为全平面除去线段-1<Re(w )<1,Im(w )=0的映射. 解:先用映射11w z=将|z |>1映为|w 1|<1,再用分式线性映射. 1211i 1w w w +=-⋅-将|w 1|<1映为上半平面Im(w 2)>0, 然后用幂函数232w w =映为有割痕为正实轴的全平面,最后用分式线性映射3311w w w -=+将区域映为有割痕[-1,1]的全平面. 故221121132222132111111i 1111111()11211i 1111z z z z w w w w w z w w z w w ⎛⎫⎛⎫++--⋅- ⎪ ⎪----⎝⎭⎝⎭=====+++⎛⎫⎛⎫++-⋅++ ⎪ ⎪--⎝⎭⎝⎭.18. 求出将割去负实轴Re()0z -∞<≤,Im(z )=0的带形区域ππIm()22z -<<映射为半带形区域πIm()πw -<<,Re(w )>0的映射.解:用1e zw =将区域映为有割痕(0,1)的右半平面Re(w 1)>0;再用1211ln1w w w +=-将半平面映为有割痕(-∞,-1]的单位圆外域;又用3w =平面;再用43ln w w =将区域映为半带形0<Im(w 4)<π,Re(w 4)>0;最后用42i πw w =-映为所求区域,故e 1ln e 1z z w +=-.19. 求将Im(z )<1去掉单位圆|z |<1保形映射为上半平面Im(w )>0的映射. 解:略.20. 映射cos w z =将半带形区域0<Re(z )<π,Im(z )>0保形映射为∞平面上的什么区域. 解:因为 1cos ()2iz iz w z e e -==+ 可以分解为w 1=i z ,12e ww =,32211()2w w w =+由于cos w z =在所给区域单叶解析,所以 (1) w 1=i z 将半带域旋转π2,映为0<Im(w 1)<π,Re(w 1)<0. (2) 12e ww =将区域映为单位圆的上半圆内部|w 2|<1,Im(w 2)>0. (3) 2211()2w w w =+将区域映为下半平面Im(w )<0.。