电力拖动基础(画题)课后题
- 格式:doc
- 大小:1.54 MB
- 文档页数:23
“电力拖动控制系统”kewai 习题第一章习题1-1 某V-M 系统,电动机数据为:P nom =10kW ,U nom =220V ,I nom =55A ,n nom =1000r/min ,R a =0.1Ω。
若采用开环控制系统,且仅考虑电枢电阻引起的转速降。
1.要求s =10%,求系统调速范围。
2.要求调速范围D =2,则其允许的静差率s 为多少?3.若要求D =10,s =5%,则允许的转速降Δn nom 为多少?1-2 在电压负反馈单闭环有静差调速系统中,当下列参数变化时系统对其是否有抑制调节作用,为什么?1.放大器的放大系数K p 。
2.供电电网电压。
3.电枢电阻R a 。
4.电动机励磁电流。
5.电压反馈系数γ。
1-3 某调速系统的调速范围是150~1500r/min ,即D =10,要求静差率s =2%,此时系统允许的稳态速降是多少?如果开环系统的稳态速降是100r/min ,此时闭环系统的开环放大系数应有多大?1-4 在教材图1-23(P 19)所示的转速负反馈有静差系统中,当U n *不变时调整转速反馈电位计RP 2,使转速反馈系数α增大至原来的2倍。
试问电动机转速n 是升高还是下降?系统的稳态速降比原来增加还是减小?对系统稳定是有利还是不利?为什么?1-5 在带电流截止环节的转速负反馈系统中,如果截止比较电压发生变化,对系统的静特性有什么影响?如果电流反馈电阻R s 的大小发生变化,对静特性又有什么影响?1-6 某调速系统原理图如下:已知数据如下:电动机:P nom =30kW ,U nom =220V ,I nom =157.8A ,n nom =1000r/min ,R a =0.1Ω。
采用三相桥式整流电路,等效内阻R rec =0.3Ω,K s =40。
最大给定电压为U nm *=15V ,当主电路电流最大时,整定U im =10V 。
设计指标:D =50,s =10%,I dbl =1.5I nom ,I dcr =1.1I nom 。
5.59 + 0.98 + 294 + 17 05 十 - -------- +------- ; ----------------------------------------------- 7(30/2)2 (30/2)2 x(65/15)2 (30/2)2 x(65/l5)2 x(0.15/0.5)2 5.59 + 0.98 + 0.089 + 0.093 + 0.021.6.7732 • m 21-3解:①旋转部分飞轮矩 第一章GD ; + GD ; GD : GD 2 =GD 2+GD 2 + GD ; + GD ; + _________ r J +0 1 (Z2/ZJ2 (Z 2/Z x )2\Z 4/Z 3)2 (Z 2/Z 1)2.(Z 4/Z 3)2.(Z 6/Z 5)256.8 + 37.3 137.20 230 + 8.25 + 心 + 19.6 十 ------ -------- + ------- ; ------ ; -------(55 / 20)2 (55 / 20)2 x (64/ 38)2 (55 / 20)2 x (64/38)2x (78/ 30)2= 251.497Vm 2:工作台和工作总重虽G = q+G2 =14715 + 9810 = 24525"r43 ・切削速度v = 43m/min = 0.12m /s :齿轮6的转速 n, = ------------- =-------------- = 27.56厂/min仏 Z 0.02x78电动机转速 n = n, • — • —= 331.88r/minZ5 Z 3Z 、宜线运动部分飞轮矩 GD; = 365•色卜= 365x 24525x0 72 = 42.13N ・m 2 " n 2331.882总飞轮矩 G£>2=GZ);+GZ)f =251.49+ 42.13 = 293.62^-m 2工作台及工作与导轨的摩擦力于=(G[ + G?) • “ = (147• 15 + 9810) x 0.1 = 24525N折算到电机轴上的负载转矩7>“55X (F")化9.55X (9^ + 2452.5)X 0.72 “7.52N" r/・n0.8x331.88②切削时电动机输岀功率 P 2=7f .0 = 317.57x^x331.88 = 11.03^③空载时电动机轴上的总飞轮矩为GD f= 251.49 + 365 x14715x072; 331.882276.77N •加2dn 1 78 64 55 dv /z ・、 ——= ----------- x ——x ——x ——x ——=15.44r / (min-5)dt 0.02x78 30 38 20 dt9.55x14715x0.1x0.72 " 0.8x331.881-4解:①旋转部分飞轮矩 GD 9 = 38.1W ..;T F=7A 375 dn—=49.507V-/77 cltGD : = GD ; + GDI + 血:+吟 + GD : + GD :GD ; + GDI (Z 4/Z 2)2 ' (Z 4 /Z 2)2.(Z 6 /Z 3)2 + (Z 4 /Z 2)2.(Z 6 /Z 3)2.(/)7 / Z )5)29&10 + 294 3.92 + 3.92重物、吊钩的总重量为G = G9 +G10 =490 + 19620 = 201 \0N提升速度v k =12;?7/min = 0.2/n/5;绳索的速度v = 2v^ = 24m/min =卷筒外圆线速度;卷筒转速決= --------- =———=153” / min ;7lD5 ?rx0・5电动机转速H = n5-^-^ = 15.3x —X—= 993r/min ;于是得直线部分飞轮矩为Z3 Z215 2GDf = 365= 365x 20110x0-2^ = 0.298/V• m2;折算到电动机轴上的系统总飞轮矩为& n29932 GD2 = GD: + GDI= 6.773 + 0.298 = 7.0717V • m2②重物吊起时阻转矩为T L= 9.55^ = 9.55X 20110x02 = 55.252V-m7]c n0.7x993重物及吊钩转矩折算值为r L = 9.55匹=9.55X 2°11°X0.2=3868YV,M L n993所以传动机构损耗转矩为AT=T L-T^= 55.25-38.68 = 16.57^-7/7放下时阻转矩为7;"=7;-2AT = 55.25-2xl 6.75 = 22J 1/V • mG v490 x 0 2③空钩吊起时阻转矩为7; =9.55盂= 9.55x乔而9.4255G v490 x 0 2空钩其转矩折算值为9.55亍=9.55 x帀-=°・9425N・”所以传动机构损耗转矩为AT =T L-T^= 9.425一0.9425 = 8.48N• m放下时的阻转矩为Tj =T L - 2AT = 9.425-2x8.48 = -7.54N ・m④在②种惰况下,由于乙和厶都大于零,所以电动机是输出机械能;在③种惜况下,由于厶大于零,所以吊起时T” <0输出机械能,而L ,所以下方时电动机输入机械能。
电力拖动基础复习题答案1.简答题1、什么是电力拖动?2、为什么说他励直流电动机具有硬特性?2额定速降较小,直线的斜率较小3、画出电力拖动系统的示意图。
34、电力拖动系统由哪几部分组成?5、画出反抗性恒转矩负载的特性。
6、画出位能恒转矩负载的特性,并举例说明。
7、画出通风机负载的负载特性。
8、固有机械特性的条件是什么?9、要改变一台他励电动机的旋转方向都有哪些措施?改变电枢电流方向或者励磁电流方向10、为什么他励直流电动机与串励直流电动机相比,串励直流电动机牵引电机使用时更具有优势?10,串励直流电动机具有软特性11、他励直流电动机电阻起动时,切换电流I2越大越好吗?11为什么?不是,I2越大起动的级数越多,设备越复杂12、他励直流电动机电阻起动时,由一条特性曲线转换到另外一条曲线上,在转换的瞬间,转速,电枢电流都发生什么变化?12转速不变,电枢电流突变13、为什么实际的电力拖动系统通常是一个多轴系统?把多轴系统折算为单轴系统时,哪些量需要进行折算?13工作机构需要的转矩和转速不能够和电动机达到一致,所以需要传动机构,转矩和飞轮矩的折算14、一般要求电动机的机械特性是向下倾斜还是向上翘的?向下15、为什么串励直流电动机不允许过分轻载运行?15转速大大高于额定转速16、他励直流电动机的调速都有哪几种方式?16调压,电枢回路串电阻和削弱磁通17、他励直流电动机的理想空载转速和负载时的转速降各与哪些因素有关17?电压,磁通以及电机常数18、他励直流电动机制动运行分为哪几种方式?19、什么是三相异步电动机的固有机械特性?20、请你说明三相异步电动机能耗制动的工作原理?2021、三相异步电动机调速都有哪几种方法?22、三相绕线转子异步电动机串级调速都有哪些优缺点?23、三相异步电动机定子调压调速都有哪些有缺点?24、三相异步电动机的制动都有哪几种方式?2425、什么是三相异步电动机的回馈(再生)制动?26、对三相异步电动机起动的要求是什么?26起动电流小,起动转巨大27、他励直流电动机电枢串电阻的人为机械特性会有什么特点?28、改变他励直流电动机电源电压时的人为机械特性有什么特点?29、削弱改变他励直流电动机磁场时的人为机械特性有什么特?30、他励直流电动机起动时,起动电流的确定要考虑哪些因素?31、什么是三相绕线转子异步电动机转子串接电阻起动?91逐段切除电阻的转子串电阻的分级起动32、容量较大的他励直流电动机为何不能采取直接起动的方式进行起动?3233、在要求有较大的起动转矩和较小的起动电流的场合,为何采用深槽式和双笼型双笼异步电动?3334、电磁转差离合器都有哪几部分组成?35、三相子异步电动机变极调速都有哪几种方式?352.填空题1、三相子异步电动机的电磁转矩由转子电流和(主磁通)产生的。
电力拖动基础部分课后习题答案1-8某起重机电力拖动系统如图1-13所示。
电动机kW P N 20=,950/min n r =,传动机构转速比13j =,2 3.5j =,34j =,各级齿轮传递效率1230.95ηηη===,各轴的飞轮矩221125GD N m =•,22250GD N m =•,22340GD N m =•,224460GD N m =•,卷筒直径0.5D m =,吊钩重01900G N =,被吊重物49000G N =,忽略电动机空载转矩、钢丝绳重量和滑轮传递的损耗,试求:(1)以速度0.3/v m s =提升重物时,负载(重物及吊钩)转矩、卷筒转速、电动机输出功率及电动机的转速;(2)负载的飞轮矩及折算到电动轴上的系统总飞轮矩; (3)以加速度为20.1/m s 提升重物时,电动机输出的转矩。
解:(1)卷筒速度:'12360600.3n 11.46/min 22 3.140.2511.463 3.54481/min v r R n n j j j r ⨯'===∏⨯⨯==⨯⨯⨯=折算到电机转矩:()039.559.55353.64810.95L G G v FvT N m n η+===*g (另:()()031900490000.25353.43 3.540.95L G G R G R T N m j j ηη++⨯'*====⋅⨯⨯⨯) 电机输出功率:353.448117.895509550L T n P kw ⨯=== (2)负载飞轮矩:()()22202509000.2512725L G DG G R N m =+*=⨯=⋅折算到电机轴总飞轮矩:(3)∵20.1/a m s =∴20.1/dvm s dt= 而6060j 0.142159.622 3.140.25dn dv dt R dt π==⨯⨯=⨯⨯ ∴138.4159.6353.4412375T N m =⨯+=⋅ 1-9某龙门刨床的主传动机构图如图1-14所示。
电力拖动课后习题答案电力拖动课后习题答案电力拖动是现代工业中广泛应用的一项技术,通过电动机将电能转化为机械能,实现各种设备的运动和驱动。
在学习电力拖动的过程中,掌握和理解相关的知识点非常重要。
下面将针对一些常见的电力拖动课后习题进行解答,帮助读者更好地掌握相关知识。
1. 什么是电力拖动?电力拖动是指利用电动机将电能转化为机械能,通过传动装置将机械能传递给被驱动设备,实现设备的运动和驱动的技术。
电力拖动广泛应用于工业生产中的各种设备和机械,如电动机驱动的输送带、机床、风机等。
2. 电动机的分类及其特点有哪些?电动机根据不同的工作原理和结构特点可以分为直流电动机和交流电动机两大类。
直流电动机具有转速可调、起动扭矩大、响应速度快等特点,适用于需要精确控制的场合;而交流电动机结构简单、维护成本低、使用寿命长等特点,适用于大多数工业场合。
3. 什么是电动机的额定功率?电动机的额定功率是指电动机在额定工作条件下所能输出的功率。
额定功率是电动机设计和选型的重要参数,通常以千瓦(kW)为单位表示。
在实际应用中,选择合适的额定功率可以保证电动机的正常运行和长期稳定工作。
4. 什么是电动机的负载特性曲线?电动机的负载特性曲线描述了电动机在不同负载下输出转矩和转速之间的关系。
负载特性曲线通常以转矩-转速曲线的形式表示。
根据负载特性曲线可以判断电动机的性能和工作状态,对于电力拖动系统的设计和控制具有重要意义。
5. 什么是电动机的启动方法?电动机的启动方法是指将电动机从停止状态启动到正常运行状态的过程。
常见的电动机启动方法包括直接启动、星-三角启动、自耦变压器启动等。
不同的启动方法适用于不同功率和负载要求的电动机,选择合适的启动方法可以提高电动机的启动效果和运行稳定性。
6. 什么是电动机的调速方法?电动机的调速方法是指通过改变电动机的输入电压、频率、极数等参数,实现电动机转速的调节。
常见的电动机调速方法包括变频调速、电阻调速、级联调速等。
第二章电力拖动系统的动力学2.1 选择以下各题的正确答案。
(1) 电动机经过速比j =5的减速器拖动工作机构, 工作机构的实际转矩为20N·m, 飞轮矩为1N·m,不计传动机构损耗, 折算到电动机轴上的工作机构转矩与飞轮矩依次为。
A. 20N·m,5N·mB. 4N·m,1N·mC. 4N·m,0.2N·mD. 4N·m,0.04N·mE. 0.8N·m,0.2N·mF. 100N·m,25N·m(2) 恒速运行的电力拖动系统中, 已知电动机电磁转矩为80N·m,忽略空载转矩, 传动机效率为0.8, 速比为10, 未折算前实际负载转矩应为。
A. 8N·mB. 64N·mC. 80N·mD. 640N·mE. 800N·mF. 1000N·m(3) 电力拖动系统中已知电动机转速为1000r/ min, 工作机构转速为100r/ min, 传动效率为0.9, 工作机构未折算的实际转矩为120N·m, 电动机电磁转矩为20N·m, 忽略电动机空载转矩, 该系统肯定运行于。
( )A. 加速过程B. 恒速C. 减速过程答(1) 选择D。
因为转矩折算应根据功率守恒原则。
折算到电动机轴上的工作机构转矩等于工作机构实际转矩除以速比,为4N·m;飞轮矩折算应根据动能守恒原则, 折算到电动机轴上的工作机构飞轮矩等于工作机构实际飞轮矩除以速比的平方, 为0.04N·m。
(2) 选择D。
因为电力拖动系统处于恒速运行, 所以电动机轴上的负载转矩与电磁转矩相平衡,为80N·m, 根据功率守恒原则,实际负载转矩为80N·m×0.8×10=640N·m(3) 选择A。
《电力拖动自动控制系统》部分习题解答第一章1. 什么叫调速范围、静差率?它们之间有什么关系?怎样才能扩大调速范围? 答:①调速范围——电动机在额定负载下调速时,允许的最高转速max n 与最低转速minn 之比叫做调速范围,用D 表示,即min max n nD =②静差率——当系统在某一转速下运行时,负载由理想空载增加到额定值所对应的转速降落N n ∆与理想空载转速0n 之比,称作静差率S ,即0N n nS ∆=③直流变压调速系统中调速范围、静差率和额定速降之间的关系为)1(s n s n D N N -∆=④采用闭环控制方式,使转速降落N n ∆能够大幅度下降,才能保证在静差率S 不变的前提下扩大调速范围。
2. 某一调速系统,测得的最高转速特性为n 0max =1500 r/min ,带额定负载时的速降N n ∆=15 r/min ,最低速特性为n 0min =100 r/min ,额定速降不变,试问系统能达到的调速范围有多大?系统允许的静差率是多少?解:已知N n ∆=15 r/min ,有n max =n 0max -N n ∆=1500 r/min -15 r/min =1485 r/min n min =n 0min -N n ∆=100 r/min -15 r/min =85 r/min 于是调速范围47.17851585minmax ===n n D静差率%15%10010015%100min0=⨯=⨯∆=n n s N答:系统能达到的调速范围是17.47;允许的静差率是15%。
3. 为什么加负载后直流电动机的转速会降低,它的实质是什么?答:当负载电流增大后,电枢电阻上压降增大,使E 减小,导致转速n 必然下降。
实质是电枢电阻的存在导致压降增大。
4. 某调速系统的调速范围是1500 ~ 150 r/min ,要求静差率为s =2% ,那么系统允许的静态速降是多少?如果开环系统的静态速降是100 r/min ,则闭环系统的开环放大系数应有多大?解:①已知101501500==D ,又)1(s n s n D N N -∆=06.3)02.01(1002.01500)1(N N =-⨯=-=∆s D s n n r/min也可以这样计算n n n n n s NNN ∆+∆=∆=min 0 min r/06.302.0102.01501min N =-⨯=-=∆s s n n ②因为 K1op cl +∆=∆n n所以 68.31106.31001K clop =-=-∆∆=n n答:要求静差率为s =2%时,系统允许的静态速降是3.06r/min ;如果开环系统的静态速降是100 r/min ,则闭环系统的开环放大系数应有31.68。
电力传动自动控制系统练习题(电力拖动部分)哈尔滨工业大学第1章 电力传动系统基础一、选择题1. 电力拖动系统运动方程式中的GD 2反映了( )。
A 旋转体的重量和直径平方的乘积,它没有任何物理意义B 系统机械惯性的一个整体物理量C 系统储能的大小,它不是一个整体物理量D 以上三种都对2. 恒功率负载的特点是( )。
A 负载转矩与转速的乘积为一常数B 负载转矩与转速成反比变化C 恒功率负载特性是一条双曲线D 以上都对3. 反抗性恒转矩负载特性是位于第( )象限的竖直线。
A 1、2B 1、3C 1、4D 2、44. 位能性恒转矩负载特性是位于第( )象限的竖直线。
A 1、2B 1、3C 1、4D 2、4二、填空题1. 电力拖动系统的电磁转矩和负载转矩分别用L em T T 、表示,当( )时系统处于加速运行状态,当( )时系统处于减速运行状态。
2. 选定电动机转速n 的方向为正,若电磁转矩0>em T ,则em T 的方向与n 的方向( ),若负载转矩0>L T ,则L T 的方向与n 的方向( )。
3. 选定电动机转速n 的方向为正,若电磁转矩0<em T ,则em T 的方向与n 的方向( ),若负载转矩0<L T ,则L T 的方向与n 的方向( )。
4. 生产机械的负载性质基本上可归纳为三大类,它们分别是( )、( )和( )。
5. 反抗性恒转矩负载是指负载转矩的大小恒定不变,其方向与转速的方向( ),其负载转矩特性位于第( )象限。
6. 位能性恒转矩负载是指负载转矩的大小恒定不变,其方向与转速的方向( ),其负载转矩特性位于第( )象限。
7. 电动机的运动方程式为:dt dn GD T T L em3752=-,式中,GD 2称为旋转系统的( ),dtdn GD 3752称为系统的( )。
三、简答题1. 简述恒转矩负载特性、恒功率负载特性、泵与风机负载特性的特点。
电力拖动自动控制系统课后习题答案{全,内含两份,二无一失}——运动控制系统第四版{上海大学阮毅陈伯时}1-1为什么PWM-电动机系统比晶闸管----电动机系统能够获得更好的动态性能?答:PWM 开关频率高,响应速度快,电流容易连续,系统频带宽,动态 响应快,动态抗扰能力强。
1-2试分析有制动通路的不可逆PWM 变换器进行制动时,两个VT 是如何工作的?答:制动时,由于1g U 的脉冲变窄而导致d i 反向时,U g2变正,于是VT 2导通,VT 2导通,VT 1关断。
1-3调速范围和静差率的定义是什么?调速范围,静态速降和最小静差之间有什么关系?为什么脱离了调速范围,要满足给定的静差率也就容易得多了? 答:生产机械要求电动机提供的最高转速max n 和最低转速min n 之比叫做调速范围,用字母D 表示,即:m inm axn n D =负载由理想空载增加到额定值时,所对应的转速降落N n ∆与理想空载转速min0n 之比,称为系统的静差率S,即:min0n n s N∆=调速范围,静差速降和最小静差之间的关系为:由于在一定的N n 下,D 越大,m in n 越小N n ∆又一定,则S 变大。
所以,如果不考虑D ,则S 的调节也就会容易,1-4.某一调速系统,测得的最高转速特性为m in /1500max 0r n =,最低转速特性为m in /150min 0r n =,带额定负载的速度降落m in /15r n N =∆,且不同转速下额定速降N n ∆不变,试问系统能够达到的调速范围有多大?系统允许的静差率是多大?解1-5闭环调速系统的调速范围是1500----150r/min ,要求系统的静差S<=2%,那末系统允许的静态速降是多少?如果开环系统的静态速降是100r/min 则闭环系统的开环放大倍数应有多大?1,min /06.3%)21(10%21500)1(101501500min max r S D S n n n n D N =-⨯≤-=∆===则 2,7.31106.31001=-≥+=∆∆K K n n clop 则 1-6某闭环调速系统的开环放大倍数为15时,额定负载下电动机的速降为8r/min ,如果将开环放大倍数他提高到30,它的速降为多少?在同样静差率要求下,调速范围可以扩大多少倍?同样静差率的条件下调速范围与开环放大倍数加1成正比1-7某调速系统的调速范围D=20,额定转速min /1500r n =,开环转速降落min /240r n Nop =∆,若要求静差率由10%减少到5%则系统的开环增益将如何变化?解:原系统在调速范围D=20,最小转速为:min /75201500max min r D n n ===, 原系统在范围D=20,静差率为10%时,开环增益为: 静差率10%时原系统的开环增益为:1-8转速单环调速系统有那些特点?改变给定电压能否改变电动机的转速?为什么?如果给定电压不变,调节测速反馈电压的分压比是否能够改变转速?为什么?如果测速发电机的励磁发生了变化,系统有无克服这种干扰的能力?答:1)闭环调速系统可以比开环调速系统硬得多的稳态特性,从而在保证一定静差率的要求下,能够提高调速范围。
1.交流调速系统按转差功率的处理方式可分为三种类型 (1)转差功率消耗型 (2)转差功率不变型 (3)转差功率馈送型2.双馈调速的概念所谓“双馈”,就是指把绕线转子异步电机的定子绕组与交流电网连接,转子绕组与其他含电动势的电路相连接,使它们可以进行电功率的相互传递。
定子功率和转差功率可以分别向定子和转子馈入,也可以从定子或转子输出(视电机的工况而定),故称作双馈电机。
可认为是在转子绕组回路中附加一个交流电动势。
3基本原理:(e r T I ∝)异步电机运行时其转子相电动势为式中 s — 异步电机的转差率; r0E — 绕线转子异步电机在转子不动时的相电动势,或称转子开路电动势,也就是转子额定相电压值转子相电流的表达式为式中 R r —时的转子绕组每相漏抗。
附加电动势与转子电动势有相同的频率,可同相或反相串接。
r I =1)E add 与 E r 同相 当 E add ↑ 转速上升 2)当E add ↓ 转速下降 同理,反相时若减小串入的反相附加电动势,则可使电动机的转速升高,反之转速降低。
4.异步电机双馈调速的五种工况 (11n ns n -=) 由于转子电动势与电流的频率随转速变化,即 f 2 = s f 1 ,因此必须通过功率变换单元(Power Converter Unit —CU )对不同频率的电功率进行电能变换。
P m —从电机定子传入转子(或由转子传出给定子)的电磁功率; sP m —输入或输出转子电路的功率,即转差功率;(1-s )P m —电机轴上输出或输入的功率。
1)电机在次同步转速下作电动运行 条件:转子侧每相加上与 E r0 同相或反向的附加电动势E add ,并把转子三相回路连通 电动运行 定子侧输入功率,轴上输出机械功率 0 < s < 1 m P 0> m sP 0> m (1s)P 0->r r sE E =r I =1r0add s E E +↑r I →↑e T →↑()n s →↑↓'add0r 2add 0r 1E E s E E s +=+21s s >1r0add s E E +↓r I →↓e T →↓()n s →↓↑'add0r 2add 0r 1E E s E E s +=+12s s <m m m )1(P s sP P -+=2)电机在反转时作倒拉制动运行 条件:轴上带有位能性恒转矩负载(这是进入倒拉制动运行的必要条件),转子回路叠加反向的 E add 。
第二章2-1解: ① 122053.40.40.132/(min )1500N N a e N N U I R C V r n ---⨯Φ=== 9.55 1.26/T N e N C C N m A Φ=Φ=② 67.28N t N N T C I N m =Φ=29.5563.67260N N N N N P PT N m n n π=== ③ 02 3.61N N T T T N m =-= ④ 01666.67/min Ne NU n r C ==Φ 0021657.99/min ae t NR n n T r C C =-=Φ实际 ⑤ 0000.5()1583.34/min aN N NI n n n n n n r I =-∆=--= ⑥ 2200.1321400880.4N e N a a U C n I A R -Φ-⨯===2-2 解:1311222333112212285.2170.41100.646170.4 1.711.710.130.2221.710.130.381.710.130.6460.2220.130.0920.380.N N st st a st a st a st st a st st st I I A A U R I R R R R R R r R R r R R λλλλ==⨯=========⨯=Ω==⨯=Ω==⨯=Ω=-=-=Ω=-=-3322220.1580.6460.380.266st st st r R R =Ω=-=-=Ω2-3 解:取12118.32236.6N I I A ==⨯=式中1I 为最大允许电流,稳态时,负载电流L N I I =,令切换电流2 1.15 1.15L N I I I ==则121.74I I λ== 1lg 3.7lg NaU I Rm λ⎛⎫ ⎪⎝⎭==1.679λ==,122 1.191.679N N L I II I I λ===>4342312(1)0.0790.1330.2230.374st a st st st st st st R R R R R R R R λλλλ=-=Ω==Ω==Ω==Ω、式中,1st R ,2st R ,3st R ,4st R 分别是第一级,第二级,第三级,第四级切除阻值。
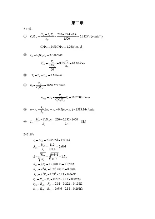
第二章电力拖动系统的动力学
选择以下各题的正确答案。
(1) 电动机经过速比j =5的减速器拖动工作机构, 工作机构的实际转矩为20N·m, 飞轮矩为1N·m,不计传动机构损耗, 折算到电动机轴上的工作机构转矩与飞轮矩依次为。
A. 20N·m,5N·m
B. 4N·m,1N·m
C. 4N·m,·m
D. 4N·m,·m
E. ·m,·m
F. 100N·m,25N·m
(2) 恒速运行的电力拖动系统中, 已知电动机电磁转矩为80N·m,忽略空载转矩, 传动机效率为, 速比为10, 未折算前实际负载转矩应为。
A. 8N·m
B. 64N·m
C. 80N·m
D. 640N·m
E. 800N·m
F. 1000N·m
(3) 电力拖动系统中已知电动机转速为1000r/ min, 工作机构转速为100r/ min, 传动效率为, 工作机构未折算的实际转矩为120N·m, 电动机电磁转矩为20N·m, 忽略电动机空载转矩, 该系统肯定运行于。
( )
A. 加速过程
B. 恒速
C. 减速过程
答(1) 选择D。
因为转矩折算应根据功率守恒原则。
折算到电动机轴上的工作机构转矩等于工作机构实际转矩除以速比,为4N·m;飞轮矩折算应根据动能守恒原则, 折算到电动机轴上的工作机构飞轮矩等于工作机构实际飞轮矩除以速比的平方, 为·m。
(2) 选择D。
因为电力拖动系统处于恒速运行, 所以电动机轴上的负载转矩与电磁转矩相平衡,为80N·m, 根据功率守恒原则,实际负载转矩为80N·m××10=640N·m
(3) 选择A。
因为工作机构折算到电动机轴上的转矩为120N·m /×100(r/ min)/1000(r/ min)=40/3N·m小于电动机电磁转矩,故电力拖动系统处于加速运行过程。
电动机拖动金属切削机床切削金属时, 传动机构的损耗由电动机负担还是由负载负担
答电动机拖动金属切削机床切削金属时, 传动机构的损耗由电动机负担,传动机构损耗转矩ΔT与切削转矩对电动机来讲是同一方向的, 恒速时, 电动机输出转矩T2 应等于它们二者之和。
起重机提升重物与下放重物时, 传动机构损耗由电动机负担还是由重物负担提升或下放同一重物时,传动机构损耗的转矩一样大吗传动机构的效率一样高吗
答起重机提升重物时, 传动机构损耗转矩ΔT由电动机负担;下放重物时,由于系统各轴转向相反, 性质为摩擦转矩的ΔT方向改变了,而电动机电磁转矩T及重物形成的负载转矩方向都没变,因此ΔT由重物负担。
提升或下放同一重物时,可以认为传动机构损耗转矩的大小ΔT 是相等的。
若把损耗ΔT的作用用效率来表示,提升重物时为η, 下放重物时为η′, 由于提升重物与下放重物时ΔT分别由电动机和负载负担, 因此使η≠η′, 二者之间的关系为η′=2-1/η。
表所列生产机械在电动机拖动下稳定运行时的部分数据,根据表中所给数据, 忽电动机的空载转矩, 计算表内未知数据并填入表中。
如图所示,已知切削力F=2000N,工件的直径d=150mm,电动机转速n=1450r/min,减速箱的
三级速比j1 =2,j2 =,j3 =2, 各转轴的飞轮矩为GDa =·m(指电动机轴), GDb =2N·m, GDc =·m, GDd =9N·m, 各级传动效率都是η=, 求:
(1) 切削功率;(2) 电动机输出功率;(3) 系统总飞轮矩;(4) 忽略电动机空载转矩时, 电动机电磁转矩;(5) 车床开车但未切削时,若电动机加速度dn/dt=800r/ (min·s),忽略电动机空载转矩但不忽略传动机构的转矩损耗, 求电动机电磁转矩
解(1) 切削功率。
切削负载转矩Tf = F·d/2= 2000×2= 150N·m
负载转速nf =n/j1j2j3=1450/(2××2)= min
切削功率Pf =2π/60×nf Tf =2π/60××150 = 3797W
第三章直流电机原理
第四章他励直流电机的运行
第七章异步电机原理
第八章三相异步电机的启动与制动
第十一章电机的选择
(有一两个没有弄上的自己补上)。