量子力学期末考试知识点+计算题证明题
- 格式:docx
- 大小:981.41 KB
- 文档页数:17
第一至四章 例题一、单项选择题1、普朗克在解决黑体辐射时提出了 【 】A 、能量子假设B 、光量子假设C 、定态假设D 、自旋假设2、若nn n a A ψψ=ˆ,则常数n a 称为算符A ˆ的 【 】 A 、本征方程 B 、本征值 C 、本征函数 D 、守恒量3、证实电子具有波动性的实验是 【】 A 、 戴维孙——革末实验 B 、 黑体辐射C 、 光电效应D 、 斯特恩—盖拉赫实验4、波函数应满足的标准条件是 【】 A 、 单值、正交、连续 B 、 归一、正交、完全性C 、 连续、有限、完全性D 、 单值、连续、有限5、已知波函数 )exp()()exp()(1Et ir Et irϕϕψ+-=,)exp()()exp()(22112t E ir t E i r ϕϕψ+-=,)exp()()exp()(213Et ir Et i r -+-=ϕϕψ,)exp()()exp()(22114t E ir t E ir -+-=ϕϕψ其中定态波函数是 【】 A 、ψ2 B 、ψ1和ψ2 C 、ψ3 D 、3ψ和ψ46、在一维无限深势阱⎩⎨⎧≥∞<=a x ax x U ,,0)(中运动的质量为μ的粒子的能级为 【】 A. πμ22222 n a B. πμ22224 n a C. πμ22228 n a D. πμ222216 n a .7、量子力学中用来表示力学量的算符是 【】 A 、线性算符 B 、厄米算符 C 、幺正算符 D 、线性厄米算符 8、]ˆ ,ˆ[x p x = 【】 A 、0 B 、 i C 、 i - D 、29、守恒量是 【】 A 、处于定态中的力学量 B 、处于本征态中的力学量C 、与体系哈密顿量对易的力学量D 、其几率分布不随时间变化的力学量10、某体系的能量只有两个值1E 和2E ,则该体系的能量算符在能量表象中的表示为【 】A 、⎥⎦⎤⎢⎣⎡1221E E E E B 、⎥⎦⎤⎢⎣⎡2100E E C 、⎥⎦⎤⎢⎣⎡0021E E D 、⎥⎦⎤⎢⎣⎡2211E E E E 11、)(r nlm ψ为氢原子归一化的能量本征函数,则=''⎰τψψd m l n nlm 【 】A 、0B 、1C 、m m l l ''δδD 、m l lm ''δδ二、填空题1、19世纪末20世纪初,经典物理遇到的困难有(举三个例子) 。
一、选择题(每小题3分,共15分〉1.黑体辐射中的紫外灾难表明:CA.黑体在紫外线部分辐射无限大的能量;B.黑体在紫外线部分不辐射能量;C.经典电磁场理论不适用于黑体辐射公式;D.黑体辐射在紫外线部分才适用于经典电磁场理论。
2.关于波函数屮的含义,正确的是:BA.屮代表微观粒子的几率密度;B.屮归一化后,屮⑴代表微观粒子出现的几率密度;C.屮一定是实数;D.屮一定不连续。
3.对于一维的薛定谭方程,如果屮是该方程的一个解,贝山AA.0 —定也是该方程的一个解;B.『一定不是该方程的解;C.屮与『一定等价;D.无任何结论。
4.与空间平移对称性相对应的是:BA.能量守恒;B.动量守恒;C.角动量守恒;D.宇称守恒。
人人A5.如果算符A、B对易,且A0 =A0,贝归BAA.屮一定不是B的本征态;B.鸭一定是&的本征态;伞AC.屮一定是B的本征态;人D.|屮丨一定是B的本征态。
1、量子力学只适应于C A.宏观物体 C.宏观物体和微观物体 B.微观物体 D.高速物体2、算符F 的表象是指CA.算符F 是厄密算符B.算符F 的本征态构成正交归一的完备集C.算符F 是幺正算符D.算符F 的本征值是实数3、中心力场中体系守恒量有BA.只有能量B.能量和角动量C.只有角动量D.动量和角动量4、Pauli 算符的x 分量的平方的本征值为(B )A 0B 1C iD 2i5、证明电子具有自旋的实验是AA.史特恩一盖拉赫实验B.电子的双缝实验C.黑体辐射实验D.光电效应实验1、量子力学只适应于CA.宏观物体B.微观物体C.宏观物体和微观物体D.高速物体2、在与时间有关的微扰理论问题中,体系的哈密顿算符由两部分组成,即和n应满足的条件是(B )B 乩与时间无关,恥与时间 D 乩与时间有关,孙'与时间无B 3/4 D 1/2电子的双缝实验 光电效应实验商⑴=身0 +勁 打 \,其中A 朮与时间无关,怜'与时间无关有关C 乩与时间有关,力与时间有关 关3、自旋量子数S 的值为(D )A 1/4 C /25、证明电子具有自旋的实验是A A ・史特恩一盖拉赫实验 B. C.黑体辐射实验D.二、简答(每小题5分,共15分〉1.什么叫光电效应?光的照射下,金属中的电子吸收光能而逸岀金属表面的现象。
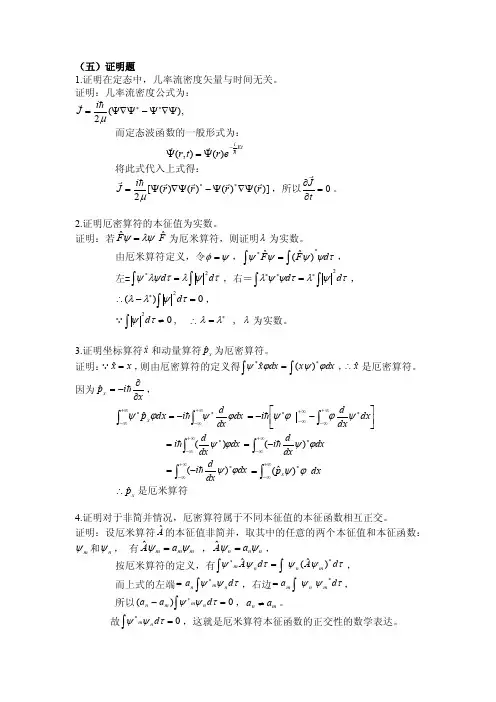
(五)证明题1.证明在定态中,几率流密度矢量与时间无关。
证明:几率流密度公式为:而定态波函数的一般形式为:将此式代入上式得:,所以。
2.证明厄密算符的本征值为实数。
证明:若为厄米算符,则证明为实数。
由厄米算符定义,令,,左=,右=,,, , 为实数。
3.证明坐标算符和动量算符为厄密算符。
证明:,则由厄密算符的定义得,是厄密算符。
因为,是厄米算符4.证明对于非简并情况,厄密算符属于不同本征值的本征函数相互正交。
证明:设厄米算符的本征值非简并,取其中的任意的两个本征值和本征函数:和, 有 ,, 按厄米算符的定义,有, 而上式的左端,右边,所以,。
故,这就是厄米算符本征函数的正交性的数学表达。
),(2ψ∇ψ-ψ∇ψ=**μi J Et ie r t r -ψ=ψ)(),()]()()()([2r r r r i J ψ∇ψ-ψ∇ψ=**μ0=∂∂t Jλψψ=FˆF ˆλψφ=τψψψψd F F **⎰⎰=)ˆ(ˆτψλτλψψd d ⎰⎰=*2τψλτψψλd d 2⎰⎰***=0)(2=-∴⎰*τψλλd 02≠⎰τψd ∴*=λλλ xp x x x =ˆ ⎰⎰=dx x dx x ϕψϕψ**)(ˆx ˆ∴xi px ∂∂-= ˆdx px ϕψˆ⎰+∞∞-*dx dx d i ϕψ⎰∞+∞-*-= ⎥⎦⎤⎢⎣⎡--=⎰∞+∞-*∞+∞-*dx dx d i ψϕϕψ dx dx d i ϕψ⎰∞+∞-*=)( dx dxdi ϕψ⎰∞+∞-*-=)( dx dxd i ϕψ⎰∞+∞-*-=)( dx px ϕψ*+∞∞-⎰=)ˆ(x pˆ∴Aˆmψnψm m m a Aψψ=ˆnn n a A ψψ=ˆτψψτψψd A d A m n n m*)ˆ(ˆ⎰⎰=*=τψψd a n m n ⎰*τψψd a m n m *⎰=0)(=-⎰*τψψd a a n m m n m n a a ≠0=⎰*τψψd n m如果,而 归一。
A卷一、简答与证明:<共25分)1、什么是德布罗意波?并写出德布罗意波的表达式。
<4分)2、什么样的状态是定态,其性质是什么?<6分)3、全同费M子的波函数有什么特点?并写出两个费M子组成的全同粒子体系的波函数。
<4分)4、证明是厄密算符<5分)5、简述测不准关系的主要内容,并写出坐标和动量之间的测不准关系。
<6分)二、<15分)已知厄密算符,满足,且,求1、在A表象中算符、的矩阵表示;2、在B表象中算符的本征值和本征函数;3、从A表象到B表象的幺正变换矩阵S。
三、<15分)设氢原子在时处于状态,求1、时氢原子的、和的取值几率和平均值;2、时体系的波函数,并给出此时体系的、和的取值几率和平均值。
四、<15分)考虑一个三维状态空间的问题,在取定的一组正交基下哈密顿算符由下面的矩阵给出这里,,是一个常数,,用微扰公式求能量至二级修正值,并与精确解相比较。
五、<10分)令,,分别求和作用于的本征态和的结果,并根据所得的结果说明和的重要性是什么?一、1、描写自由粒子的平面波称为德布罗意波;其表达式:2、定态:定态是能量取确定值的状态。
性质:定态之下不显含时间的力学量的取值几率和平均值不随时间改变。
3、全同费M子的波函数是反对称波函数。
两个费M子组成的全同粒子体系的波函数为:。
4、=,因为是厄密算符,所以是厄密算符。
5、设和的对易关系,是一个算符或普通的数。
以、和依次表示、和在态中的平均值,令,,则有,这个关系式称为测不准关系。
坐标和动量之间的测不准关系为:二、解1、由于,所以算符的本征值是,因为在A表象中,算符的矩阵是对角矩阵,所以,在A表象中算符的矩阵是:b5E2RGbCAP设在A表象中算符的矩阵是,利用得:;由于,所以,;由于是厄密算符,,令,其中为任意实常数,得在A表象中的矩阵表示式为:2、类似地,可求出在B表象中算符的矩阵表示为:在B表象中算符的本征方程为:,即和不同时为零的条件是上述方程的系数行列式为零,即对有:,对有:所以,在B表象中算符的本征值是,本征函数为和3、类似地,在A表象中算符的本征值是,本征函数为和从A表象到B表象的幺正变换矩阵就是将算符在A表象中的本征函数按列排成的矩阵,即三、解:已知氢原子的本征解为:,将向氢原子的本征态展开,1、=,不为零的展开系数只有三个,即,,,显然,题中所给的状态并未归一化,容易求出归一化常数为:,于是归一化的展开系数为:,,<1)能量的取值几率,,平均值为:<2)取值几率只有:,平均值<3)的取值几率为:,,平均值2、时体系的波函数为:=由于、和皆为守恒量,所以它们的取值几率和平均值均不随时间改变,与时的结果是一样的。
2002级量子力学期末考试试题和答案A 卷一、简答与证明:(共25分)1、什么是德布罗意波?并写出德布罗意波的表达式。
(4分)2、什么样的状态是定态,其性质是什么?(6分)3、全同费米子的波函数有什么特点?并写出两个费米子组成的全同粒子体系的波函数。
(4分)4、证明)ˆˆ(22x x p x x pi -是厄密算符 (5分) 5、简述测不准关系的主要内容,并写出坐标x 和动量x p ˆ之间的测不准关系。
(6分) 二、(15分)已知厄密算符B A ˆ,ˆ,满足1ˆˆ22==B A,且0ˆˆˆˆ=+A B B A ,求 1、在A 表象中算符Aˆ、B ˆ的矩阵表示; 2、在B 表象中算符Aˆ的本征值和本征函数; 3、从A 表象到B 表象的幺正变换矩阵S 。
三、(15分)设氢原子在0=t 时处于状态),()(21),()(21),()(21)0,(112110311021ϕθϕθϕθψ-+-=Y r R Y r R Y r R r ,求1、0=t 时氢原子的E 、2Lˆ和z L ˆ的取值几率和平均值; 2、0>t 时体系的波函数,并给出此时体系的E 、2Lˆ和z L ˆ的取值几率和平均值。
四、(15分)考虑一个三维状态空间的问题,在取定的一组正交基下哈密顿算符由下面的矩阵给出⎪⎪⎪⎭⎫⎝⎛+⎪⎪⎪⎭⎫ ⎝⎛-=C C C H 000000200030001ˆ 这里,H H H'+=ˆˆˆ)0(,C 是一个常数,1<<C ,用微扰公式求能量至二级修正值,并与精确解相比较。
五、(10分)令y x iS S S +=+,y x iS S S -=-,分别求+S 和-S 作用于z S 的本征态⎪⎪⎭⎫ ⎝⎛=+0121和⎪⎪⎭⎫ ⎝⎛=-1021的结果,并根据所得的结果说明+S 和-S 的重要性是什么?一、1、描写自由粒子的平面波称为德布罗意波;其表达式:)(Et r p i Ae -⋅=ψ2、定态:定态是能量取确定值的状态。
量子力学期末试题及答案红色为我认为可能考的题目一、填空题:1、波函数的标准条件:单值、连续性、有限性。
2、|Ψ(r,t)|^2的物理意义:t时刻粒子出现在r处的概率密度。
3、一个量的本征值对应多个本征态,这样的态称为简并。
4、两个力学量对应的算符对易,它们具有共同的确定值。
二、简答题:1、简述力学量对应的算符必须是线性厄米的。
答:力学量的观测值应为实数,力学量在任何状态下的观测值就是在该状态下的平均值,量子力学中,可观测的力学量所对应的算符必须为厄米算符;量子力学中还必须满足态叠加原理,而要满足态叠加原理,算符必须是线性算符。
综上所述,在量子力学中,能和可观测的力学量相对应的算符必然是线性厄米算符。
2、一个量子态分为本征态和非本征态,这种说法确切吗?答:不确切。
针对某个特定的力学量,对应算符为A,它的本征态对另一个力学量(对应算符为B)就不是它的本征态,它们有各自的本征值,只有两个算符彼此对易,它们才有共同的本征态。
3、辐射谱线的位置和谱线的强度各决定于什么因素?答:某一单色光辐射的话可能吸收,也可能受激跃迁。
谱线的位置决定于跃迁的频率和跃迁的速度;谱线强度取决于始末态的能量差。
三、证明题。
2、证明概率流密度J不显含时间。
四、计算题。
1、第二题:如果类氢原子的核不是点电荷,而是半径为0r、电荷均匀分布的小球,计算这种效应对类氢原子基态能量的一级修正。
解:这种分布只对0r r <的区域有影响,对0r r ≥的区域无影响。
据题意知)()(ˆ0r U r U H -=' 其中)(0r U 是不考虑这种效应的势能分布,即 2004ze U r rπε=-())(r U 为考虑这种效应后的势能分布,在0r r ≥区域,rZe r U 024)(πε-=在0r r <区域,)(r U 可由下式得出, ⎰∞-=r E d r e r U )(⎪⎪⎩⎪⎪⎨⎧≥≤=⋅⋅=)( 4 )( ,43441020********420r r r Ze r r r r Ze r r Ze r E πεπεπππε⎰⎰∞--=0)(r r rEdr e Edr e r U⎰⎰∞--=002023002144r r rdr r Ze rdr r Ze πεπε)3(84)(82203020022203002r r r Ze r Ze r r r Ze --=---=πεπεπε )( 0r r ≤ ⎪⎩⎪⎨⎧≥≤+--=-=')( 0 )( 4)3(8)()(ˆ000222030020r r r r r Ze r r r Ze r U r U H πεπε由于0r 很小,所以)(2ˆˆ022)0(r U H H +∇-=<<'μ,可视为一种微扰,由它引起一级修正为(基态03(0)1/210030()Zra Z e a ψπ-=) ⎰∞'=τψψd H E )0(1*)0(1)1(1ˆ ⎰-+--=0002202220302334]4)3(8[r r a Zdr r e r Ze r r r Ze a Z ππεπεπ ∵0a r <<,故102≈-r a Z e 。
量子力学期末试题1一. 填空(3分×5=15分)1.2)2,(h vr ψ的含义是 2.在非定态下,力学量的平均值一定随时间变化吗?3.211ˆ(,)________L Y θϕ=;2,1ˆ(,)________z L Y θϕ−= 4.坐标y 在动量表象中的矩阵元为__________________________.5.2ˆ[,]y z σσ=____ 二.证明(10分×2=20分)1.(10分)设ˆA v ,ˆB v 是与σˆv 对易的任何矢量算符, 证明:)ˆˆ(ˆˆˆ)ˆˆ)(ˆˆ(B A i B A B A v v v v v v v v v ו+•=••σσσ。
2.(10分)设力学量A 不显含时间t ,H 为体系的Hamilton 量,试证明]],,[[222H H A A dt d =−h三.计算(65分),1. (15分)求一维谐振子的坐标,x 动量ˆp及Hamilton 量ˆH 在能量表象中的矩阵表示。
(已知:1111)n n n n n x ψ+−−+=+− 2.(15分)在ˆz σ表象中,求01ˆ10x σ⎛⎞=⎜⎟⎝⎠和0ˆ0y i i σ−⎛⎞=⎜⎟⎝⎠的本征值和所属的本征函数。
3.(15分)设粒子在势场 ⎩⎨⎧><∞<<=.,0,;0,0)(a x x a x x u 中运动, 求:粒子的能量本征值和本征函数。
(15分)4.(20分)考虑耦合谐振子,H H H ′+=0,其中)(21)(22221222221220x x x x H ++∂∂+∂∂−=μωμh ;21x x H λ−=′(λ为实常数,刻画耦合强度)(1).求出0H 的本征值及能级的简并度;(2).以第一激发态为例用简并微扰论计算H ′对能级的影响(一级近似)试卷1参考答案一. 填空(每题3分,共15分)1. 电子自旋向上位置在r v处的几率密度, 2. 不一定,3. ),(2112ϕθY h ;),(1,2ϕθ−−Y h , 4. )(p p p i y p p ′′−′′∂∂=′′′δh5. 0二.证明(每题10分,共20分) 1 证明原式左端)(z z y y x x A A A σσσ++=)(z z y y x x B B B σσσ++ (5分)z z z y y y x x x B A B A B A 222σσσ++=x y x y y x y x z x z x x z x z y z y z z y z y B A B A B A B A B A B A σσσσσσσσσσσσ++++++又因为1222===z y x σσσ,z x y y x i σσσσσ=−=,x y z z y i σσσσσ=−=,y z x x z i σσσσσ=−= (3分)整理得)(B A i B A vv v v v ו+•σ (2分)问题得证 2 证明对于不显含时间t 的力学量A 有hi A dt d 1=],[H A (5分) 上式两边对t 求导,则有 h h i H A i dt d A dt d 1],[122==]],,[1[H H A i h ]],,[[12H H A h−= (5分)即]],,[[222H H A A dt d =−h三.计算题 1.解:取占有数表象,由已知可得:(2分)1) 坐标x 的矩阵表示为,1,n n n n n n x ′′′+⎞=+⎟⎟⎠(3分)0000100x α⎛⎞⎜⎟⎟⎟⎟⎟=⎜⎟⎜⎟⎜⎟⎜⎟⎜⎟⎜⎟⎝⎠L L L L L L L L L L L L L L (2分) 2) 由于ˆdpi dx=−h ,所以,1,n n n n n n p ′′′−⎤=−⎥⎦(2分)故有0000000p i α⎛⎞⎜⎟⎟⎟⎟⎟=⎜⎟⎜⎟⎜⎟⎜⎟⎜⎟⎜⎟⎝⎠L L h L L L L L L L L L L L (2分) 3) 能量ˆ(H=1ˆ2N ω+h ,所以 ,1()2n n n n H n ωδ′′=+h (2分)故有 1000230002ˆ50002100002H n ⎛⎞⎜⎟⎜⎟⎜⎟⎜⎟⎜⎟=⎜⎟⎜⎟⎜⎟⎜⎟⎜⎟+⎜⎟⎝⎠L L L L L L L L (2分)2.解:解:(1) 先求x σ的本征值和本征函数在z σ表象中,x σ=⎟⎟⎠⎞⎜⎜⎝⎛0110,设x σ本征值为λ,本征态为⎟⎟⎠⎞⎜⎜⎝⎛b a , 则本征方程为:⎟⎟⎠⎞⎜⎜⎝⎛=⎟⎟⎠⎞⎜⎜⎝⎛⎟⎟⎠⎞⎜⎜⎝⎛b a b a λ1001 (3分) 解得: 1±=λ (2分)x σ∴的归一化的本征态为:⎪⎪⎩⎪⎪⎨⎧−=⎟⎟⎠⎞⎜⎜⎝⎛−==⎟⎟⎠⎞⎜⎜⎝⎛=1112111121λσλσx x (4分)(2) 同理可求y σ的本征值为1±=′λ (2分)相应于y σ的归一化本征态为:⎪⎪⎩⎪⎪⎨⎧−=⎟⎟⎠⎞⎜⎜⎝⎛−==⎟⎟⎠⎞⎜⎜⎝⎛=11211121λσλσi i y y (4分)3.1 解:一维定态薛定鄂方程为222()2d u x E m dxψψψ−+=h (2分) 1) 在0x a ≤≤范围:22202d E m dxψ+=h (2分) 故 sin cos A x B x ψαα=+,1222mE α⎛⎞=⎜⎟⎝⎠h (2分) 2) 根据波函数的连续性条件:()(0)0a ψψ==,可得 sin cos 0,0A a B a B αα+==故有 sin A x ψα= (3分)由sin 0a α=可得,(1,2,3)n n aπα==L (1分)3) 由归一化条件:2||1dx ψ+∞−∞=∫,可得2220sin 1aA xdx α=∫故有A =(2分) 4) 结合1222mE α⎛⎞=⎜⎟⎝⎠h 和(1,2,3)n n a πα==L 可得 2222222222n n n E m a ma ππ==h h (2分)所以()n x x aπψ= 1,2,3n =L (1分) 4.解:)(21)(22221222221220x x x x H ++∂∂+∂∂−=μωμh )212(2122122x x μωμ+∂∂−=h )212(2222222x x μωμ+∂∂−+h 表示两个独立的谐振子,它们的共同本征态为:21n n21n n =)()(212x x n n n ψψ0201)21()21(21ωωh h +++=∴n n E n nL L h 3,2,1,)1(0=+=N N ω (4分) 当N 给定时, N n L L ,2,1,01= 0,2,1,2L L −−=N N N nN+1种组合因此,能级的简并度为N+1 (4分) (2)第一激发态为N=1 能级简并度为二重00)0(12)1(ωωh h =+=N E相应的波函数为:⎩⎨⎧==),()()(),()()(21220112112110x x x x x x x x φψψφψψ (1分) ⎟⎟⎠⎞⎜⎜⎝⎛′′′′=′∴22122111φφφφφφφφνμH H H H H (2分) 01111=′=′∴φφH H , 02222=′=′∴φφH H (2分) 221122αλ−=′=′∴H H (4分) ′⎟⎟⎟⎟⎠⎞⎜⎜⎜⎜⎝⎛−−=′∴022022αλαλνμH00220)1(22)1(=′⎟⎟⎟⎟⎠⎞⎜⎜⎜⎜⎝⎛−−−−∴E E αλαλ2)1(2αλ±=∴E (2分) 0020)1(1)0(112222μωλωαλωhh h ±=±=+=∴E E E (1分)量子力学期末试题2一.填空(3分×5=15分)1 粒子处于力学量B v 的本征态)(r n vψ的迭加态,)()(41)(21)(321r C r r r n v v v v ψψψψ++=则粒子处于)(1r vψ的概率是 ,C = (取实数)2 若ˆ,FG GF ik−=,则算符F 和G 之间满足测不准关系________________ 3 在粒子数表象中,产生算符和湮灭算符满足关系式:ˆ4an ++= ;ˆ1a n += 4.一个正电子和一个负电子同时在空间运动在两粒子相遇区域是否可以将其分辨?______5 中心力场中的粒子处于定态,则角动量取确定值,对吗? 二.证明(10分×2=20分)1.(10分)设λ为常数,z σ为泡利算符,证明:cos sin zi z ei λσλσλ=+2.(10分)证明:Hermite 算符的属于不同本征值的本征函数彼此正交(假定本征值是离散的)。
一、 波函数及薛定谔方程1.推导概率(粒子数)守恒的微分表达式;()(),,w r t J r t o t∂+∇•=∂解答:由波函数的概率波解释可知,当(),r t ψ已经归一化时,坐标的取值概率密度为()()()()2,,,,w r t r t r t r t ψψψ*== (1) 将上式的两端分别对时间t 求偏微商,得到()()()()(),,,,,w r t r t r t r t r t t t tψψψψ**∂∂∂=+∂∂∂ (2) 若位势为实数,即()()V r V r *=,则薛定谔方程及其复共轭方程可以分别改写如下形式()()()()2,,,2r t ih ir t V r r t t m h ψψψ∂=∇-∂ (3)()()()()2,,,2r t ih ir t V r r t t m hψψψ***∂=-∇+∂ (4) 将上述两式代入(2)式,得到()()()()()22,,,,,2r t ih r t r t r t r t t mψψψψψ**∂⎡⎤=∇-∇⎣⎦∂ ()()()(),,,,2ihr t r t r t r t mψψψψ**⎡⎤=∇•∇-∇⎣⎦ (5) 若令()()()()(),,,,,2ih J r t r t r t r t r t mψψψψ**⎡⎤=∇-∇⎣⎦ (6) 有()(),,0w r t J r t t∂+∇•=∂ (7) 此即概率(粒子数)守恒的微分表达式。
2.若线性谐振子处于第一激发态()2211exp 2x C x α⎛⎫ψ=- ⎪⎝⎭求其坐标取值概率密度最大的位置,其中实常数0α>。
解答:欲求取值概率必须先将波函数归一化,由波函数的归一化条件可知()()222221exp 1x dx Cx x dx ψα∞∞-∞-∞=-=⎰⎰(1)利用积分公示())2221121!!exp 2n n n n x x dx αα∞++--=⎰ (2) 可以得到归一化常数为C = (3)坐标的取值概率密度为 ()()()322221exp w x x x x ψα==- (4)由坐标概率密度取极值的条件())()3232222exp 0d w x x x x dx αα=--= (5) 知()w x 有五个极值点,它们分别是 10,,x α=±±∞(6)为了确定极大值,需要计算()w x 的二阶导数()()()232222322226222exp d w x x x x x x dx αααα⎤=----⎦)()32244222104exp x x x ααα=-+- (7)于是有()23200x d w x dx ==> 取极小值 (8)()220x d w x dx =±∞= 取极小值 (9)()23120x d w x dx α=±=< 取极大值 (10)最后得到坐标概率密度的最大值为2111w x x ψαα⎛⎫⎛⎫=±==±= ⎪ ⎪⎝⎭⎝⎭(11)3.半壁无限高势垒的位势为()()()()000x v x x a v x a ∞<⎧⎪=≤≤⎨⎪>⎩求粒子能量E 在00E v <<范围内的解。
郑州轻工业学院2008—2009学年度第二学期《量子力学》课程期末试卷A卷一、简答题(每小题8分,共32分)1.态叠加原理2.波函数的统计解释及波函数的标准条件3. 全同性原理和泡利不相容原理4. 量子力学五个基本假设是什么?二、计算题(共68分)1. 假设一平面转子角速度为ω,转动惯量为I ,试用波尔-索莫非条件求其能量可能值 (8分)2. 证明对易关系(8分)3. 设氢原子处于归一化状态 211021111(,,)()(,)()(,)22r R r Y R r Y ψθϕθϕθϕ-=-ˆˆˆ[,]x L y i z=求其能量、角动量平方及角动量Z分量的可能值,这些可能值出现的几率和这些力学量的平均值。
(15分)4. 二元矩阵A ,B 满足20,1,A AA A A B A A +++=+==, (1)证明2B B =(2)在B 表象中求出A 的矩阵 (共15分)5.在某一选定的一组正交基下哈米顿算符由下列矩阵给出(1)设c << 1,应用微扰论求H 本征值到二级近似; (2)求H 的精确本征值;(3)在怎样条件下,上面二结果一致。
(共22分)郑州轻工业学院2008—2009学年度 第二学期《量子力学》课程期末试卷B 卷一、简答题(每小题8分,共32分)1. 德布罗意关系⎪⎪⎪⎭⎫ ⎝⎛-=2000301c c cH2.波函数的统计解释及波函数的标准条件3. 全同性原理和泡利不相容原理4. 试描述史特恩-盖拉赫实验二、计算题(共68分)1.证明:如果算符ˆA和ˆB均是厄米算符,则(ˆˆ)也是厄米算符A B(8分)2. 试求算符ˆixd Fie dx=-的本征函数 (8分)3. 设粒子在宽度为a 的一维无限深势阱中运动,已知粒子的波函数为求粒子能量取值的几率分布与其平均值。
(14分)24()cosx x x aaππψ=4. 有一粒子,其 Hamilton 量的矩阵形式为:H = H 0 + H ’,其中求能级的一级近似和波函数的0级近似。
一、填空题:(每题 4 分,共 40 分)1. 微观粒子具有 波粒 二象性。
2.德布罗意关系是粒子能量E 、动量P 与频率ν、波长λ之间的关系,其表达式为:E=h ν, p=/h λ 。
3.根据波函数的统计解释,dx t x 2),(ψ的物理意义为:粒子在x —dx 范围内的几率 。
4.量子力学中力学量用 厄米 算符表示。
5.坐标的x 分量算符和动量的x 分量算符x p 的对易关系为:[],x p i = 。
6.量子力学关于测量的假设认为:当体系处于波函数ψ(x)所描写的状态时,测量某力学量F 所得的数值,必定是算符Fˆ的 本征值 。
7.定态波函数的形式为: t E in n ex t x-=)(),(ϕψ。
8.一个力学量A 为守恒量的条件是:A 不显含时间,且与哈密顿算符对易 。
9.根据全同性原理,全同粒子体系的波函数具有一定的交换对称性,费米子体系的波函数是_反对称的_____________,玻色子体系的波函数是_对称的_______ _。
10.每个电子具有自旋角动量S ,它在空间任何方向上的投影只能取两个数值为: 2± 。
二、证明题:(每题10分,共20分)1、(10分)利用坐标和动量算符的对易关系,证明轨道角动量算符的对易关系:证明:zy x L i L L ˆ]ˆ,ˆ[ =]ˆˆ,ˆˆ[]ˆ,ˆ[z x y z yx p x p z p z p y L L --=2、(10分)由Schr ödinger 方程证明几率守恒:其中几率密度 几率流密度 证明:考虑 Schr ödinger 方程及其共轭式:2|),(|),(),(),(t r t r t r t rψ=ψψ=*ω22(,)[()](,)2i r t V r r t t μ∂ψ=-∇+ψ∂0=∙∇+∂∂J tω][2ψ∇ψ-ψ∇ψ=**μi J ]ˆˆ,ˆ[]ˆˆ,ˆ[z x y z x z p x p z p z p x p z py ---=]ˆ,ˆ[]ˆ,ˆ[]ˆ,ˆ[]ˆ,ˆ[z y x y z z x z p x p z p z p z p x p y p z py +--=]ˆ,ˆ[]ˆ,ˆ[z y x z p x p z p z py +=y z z y z x x z p p x z p x p z p p z y p z py ˆ]ˆ,[]ˆ,ˆ[ˆ]ˆ,[]ˆ,ˆ[+++=y z x z p p x z p z py ˆ]ˆ,[]ˆ,ˆ[+=y z y z x z x z p p x z p p z x p z p y p pyz ˆˆ],[ˆ]ˆ,[ˆ],ˆ[]ˆ,ˆ[+++=y x p i x pi y ˆ)(ˆ)( +-=]ˆˆ[x y p y px i -= zL i ˆ =在空间闭区域τ中将上式积分,则有:三、计算题:(共40分)1、(10分)设氢原子处于状态),()(23),()(21),,(11211021ϕθϕθϕθψ--=Y r R Y r R r 求氢原子能量E 、角动量平方L 2、角动量Z 分量L Z 的可能值及这些可能值出现的几率。
量子力学期末试题及答案一、(20分)已知氢原子在0=t 时处于状态21310112(,,0)()()()01033x x x x ψϕϕ⎛⎫⎛⎫⎛⎫=-+⎪ ⎪ ⎪⎝⎭⎝⎭⎝⎭其中,)(x n ϕ为该氢原子的第n 个能量本征态。
求能量及自旋z 分量的取值概率与平均值,写出0>t 时的波函数。
解 已知氢原子的本征值为42212n e E n μ=-, ,3,2,1=n (1)将0=t 时的波函数写成矩阵形式()()()231133(,0)23x x x x ϕψϕ⎛⎫+ ⎪ ⎪= ⎪- ⎪⎝⎭(2)利用归一化条件()()()()()()232***23112211233d 3332312479999x x c x x x x x c cϕϕϕϕ∞-∞⎛⎫+ ⎪⎛⎫ ⎪+-⋅ ⎪ ⎪ ⎪⎝⎭- ⎪⎝⎭⎛⎫=++= ⎪⎝⎭⎰ (3)于是,归一化后的波函数为()()()()()()232311133(,0)23x x x x x x x ϕψϕ⎫⎫+⎪+⎪⎪⎪==⎪⎪- ⎪⎪⎝⎭⎝⎭(4) 能量的可能取值为123,,E E E ,相应的取值几率为()()()123412,0;,0;,0777W E W E W E === (5)能量平均值为()123442241207774111211612717479504E E E E e e μμ=++=⎡⎤-⨯+⨯+⨯=-⎢⎥⎣⎦ (6) 自旋z 分量的可能取值为,22-,相应的取值几率为1234,0;,0277727z z W s W s ⎛⎫⎛⎫==+==-= ⎪ ⎪⎝⎭⎝⎭ (7)自旋z 分量的平均值为()340727214z s ⎛⎫=⨯+⨯-=- ⎪⎝⎭(8)0>t 时的波函数()()()223311i 2i exp exp 7(,)i exp x E t x E t x t x E t ϕψ⎫⎡⎤⎡⎤-+-⎪⎢⎥⎢⎥⎣⎦⎣⎦⎪= ⎪⎡⎤ ⎪- ⎪⎢⎥⎣⎦⎝⎭ (9) 二. (20分) 质量为m 的粒子在如下一维势阱中运动()00>V()⎪⎩⎪⎨⎧>≤≤-<∞=a x a x V x x V ,00 ,0.0 若已知该粒子在此势阱中有一个能量2V E -=的状态,试确定此势阱的宽度a 。
量子力学期末试题及答案、填空题1、波函数的标准条件:单值、连续性、有限性__________2、| ¥ (r,t) |人2的物理意义:t时刻粒子出现在r处的概率密度。
3、一个量的本征值对应多个本征态,这样的态称为简并。
4、两个力学量对应的算符对易,它们具有共同的确定值。
二、简答题:1、简述力学量对应的算符必须是线性厄米的。
答:力学量的观测值应为实数,力学量在任何状态下的观测值就是在该状态下的平均值,量子力学中,可观测的力学量所对应的算符必须为厄米算符;量子力学中还必须满足态叠加原理,而要满足态叠加原理,算符必须是线性算符。
综上所述,在量子力学中,能和可观测的力学量相对应的算符必然是线性厄米算符。
2、一个量子态分为本征态和非本征态,这种说法确切吗?答:不确切。
针对某个特定的力学量,对应算符为A,它的本征态对另一个力学量(对应算符为B)就不是它的本征态,它们有各自的本征值,只有两个算符彼此对易,它们才有共同的本征态。
3、辐射谱线的位置和谱线的强度各决定于什么因素?答:某一单色光辐射的话可能吸收,也可能受激跃迁。
谱线的位置决定于跃迁的频率和跃迁的速度;谱线强度取决于始末态的能量差。
三、证明题。
3.4 证明’£xr + rx£ = 2lftrr Lxp + px£ =一= ih [(r x -(£ x 町J;£% -戸店=诜[(P x f 一(Z xU E T 1} (£ x r + r x £)^ = t y z — t^y + —= [t yf z\ — [Z£l y]由角动量与坐标算符的对易于[Za祁]=阳“l/i斗、知(瓷X r + r X E)H -同農有(E x r + r x E)# = 2ihy t(i r + r x = 2\hzH|J£ x r + r x £ =角动量算符与动量舁符的对易于[―衍1 =為阳询0”冋上可证E x p -F p x L = 2ihp“ L7x-沖=宙闰=區+药5詞=x] +馬闰+ [Q.x] I=Jd +1:闰 6++ |£"百+|£r. x]t T=Q + Q + + (_ifi 期、+ + fifty) Ej=iA[(y£i 一吗)一昇-:刃]3)|| 2)可ikPpi- ■= ift |(p X L)x- (i X p)r]4 o r 即弘严呼时灯b-iiU ( r )2ze2、证明概率流密度J 不显含时间。
《量子力学》复习例题与题解一、基本概念1. 波粒二象性微观粒子具有波粒二象性,即微观粒子既有波动性—弥漫性,又有粒子性—不可 分割性,德波罗意关系式是两者的统一: k p E==,ω 关系式的左边体现粒子性;右边体现波动性。
2. 测不准关系描述微观粒子体系的力学量算符一般是不可对易的,也就是说,这两个力学量不能同时测准,他们的不确定度可用测不准关系来描述:222]ˆ,ˆ[41)ˆ()ˆ(B A B A ≥∆∆ 3. 本征方程如下方程:n n n Q Q ψψ=ˆ(其中n Q 为常数)称为力学量算符Q ˆ的本证方程,n Q 为 力学量算符Q ˆ的相应于本征态nψ的本征值。
4. 简并度一个本征值相应于多个本征态的情形称为简并情形,本征态的个数称为相应于该本征值的简并度。
5. 全同性原理全同微观粒子体系,当两个粒子交换坐标时,波函数要末不变号,要末变号,即概率分布不变。
6..波函数微观粒子体系的态必须用具有统计意义的波函数),(t x ψ来描述,2),(t x ψ为概率密度,即在t 时刻,x附近单位体积内找到微观粒子的概率 7. 归一化常数为了让波函数),(t x ψ表示绝对的概率幅,),(t xψ必须归一化,即1),(2=⎰τψd t x A ,其中的A 即为归一化常数8. 力学量完全测量集合完全确定一微观粒子体系的状态所需要的力学量测量集合,这些力学量必须满足:他们是可测量;它们必须互相独立;与他们相应的力学量算符必须两两对易 9. 微扰理论当'ˆˆˆ0H H H +=,且>><<<<0ˆ'ˆH H ,零级近似的本征方程)0()0()0(0ˆnn n E H ψψ=可以 严格求解时,可用微扰理论来处理,即在零级近似)0()0(,k k E ψ的基础上,根据需要 的精度逐步进行一级、二级或高级修正。
10. 玻色子与费密子自旋量子数s 为整数的微观粒子称为玻色子;自旋量子数s 为半整数的微观粒子称为费米子;前者对波函数有对称性的要求;后者对波函数有反对称性的要求,受泡里原理的约束。
【关键字】试题量子力学自测题(1)一、简答与证明:(共25分)1、什么是德布罗意波?并写出德布罗意波的表达式。
(4分)2、什么样的状态是定态,其性质是什么?(6分)3、全同费米子的波函数有什么特点?并写出两个费米子组成的全同粒子体系的波函数。
(4分)4、证明是厄密算符(5分)5、简述测不准关系的主要内容,并写出坐标和动量之间的测不准关系。
(6分)2、(15分)已知厄密算符,满足,且,求1、在A表象中算符、的矩阵表示;2、在B表象中算符的本征值和本征函数;3、从A表象到B表象的幺正变换矩阵S。
三、(15分)设氢原子在时处于状态,求1、时氢原子的、和的取值几率和平均值;2、时体系的波函数,并给出此时体系的、和的取值几率和平均值。
四、(15分)考虑一个三维状态空间的问题,在取定的一组正交基下哈密顿算符由下面的矩阵给出这里,,是一个常数,,用微扰公式求能量至二级修正值,并与精确解相比较。
五、(10分)令,,分别求和作用于的本征态和的结果,并根据所得的结果说明和的重要性是什么?量子力学自测题(1)参考答案一、1、描写自由粒子的平面波称为德布罗意波;其表达式:2、定态:定态是能量取确定值的状态。
性质:定态之下不显含时间的力学量的取值几率和平均值不随时间改变。
3、全同费米子的波函数是反对称波函数。
两个费米子组成的全同粒子体系的波函数为:。
4、=,因为是厄密算符,所以是厄密算符。
5、设和的对易关系,是一个算符或普通的数。
以、和依次表示、和在态中的平均值,令,,则有,这个关系式称为测不准关系。
坐标和动量之间的测不准关系为:2、解1、由于,所以算符的本征值是,因为在A表象中,算符的矩阵是对角矩阵,所以,在A表象中算符的矩阵是:设在A 表象中算符的矩阵是,利用得:;由于,所以,;由于是厄密算符,, 令,其中为任意实常数,得在A 表象中的矩阵表示式为: 2、类似地,可求出在B 表象中算符的矩阵表示为:在B 表象中算符的本征方程为:,即 和不同时为零的条件是上述方程的系数行列式为零,即 对有:,对有:所以,在B 表象中算符的本征值是,本征函数为和 3、类似地,在A 表象中算符的本征值是,本征函数为和从A 表象到B 表象的幺正变换矩阵就是将算符在A 表象中的本征函数按列排成的矩阵,即 三、解: 已知氢原子的本征解为: ,将向氢原子的本征态展开, 1、=,不为零的展开系数只有三个,即,,,显然,题中所给的状态并未归一化,容易求出归一化常数为:,于是归一化的展开系数为: ,,(1)能量的取值几率,, 平均值为:(2)取值几率只有:,平均值 (3)的取值几率为: ,,平均值 2、时体系的波函数为:=由于、和皆为守恒量,所以它们的取值几率和平均值均不随时间改变,与时的结果是一样的。
一、 波函数及薛定谔方程1.推导概率(粒子数)守恒的微分表达式;()(),,w r t J r t o t∂+∇•=∂解答:由波函数的概率波解释可知,当(),r t ψ已经归一化时,坐标的取值概率密度为()()()()2,,,,w r t r t r t r t ψψψ*== (1) 将上式的两端分别对时间t 求偏微商,得到()()()()(),,,,,w r t r t r t r t r t t t tψψψψ**∂∂∂=+∂∂∂ (2) 若位势为实数,即()()V r V r *=,则薛定谔方程及其复共轭方程可以分别改写如下形式()()()()2,,,2r t ih ir t V r r t t m h ψψψ∂=∇-∂ (3)()()()()2,,,2r t ih ir t V r r t t m hψψψ***∂=-∇+∂ (4) 将上述两式代入(2)式,得到()()()()()22,,,,,2r t ih r t r t r t r t t mψψψψψ**∂⎡⎤=∇-∇⎣⎦∂ ()()()(),,,,2ihr t r t r t r t mψψψψ**⎡⎤=∇•∇-∇⎣⎦ (5) 若令()()()()(),,,,,2ih J r t r t r t r t r t mψψψψ**⎡⎤=∇-∇⎣⎦ (6) 有()(),,0w r t J r t t∂+∇•=∂ (7) 此即概率(粒子数)守恒的微分表达式。
2.若线性谐振子处于第一激发态()2211exp 2x C x α⎛⎫ψ=- ⎪⎝⎭求其坐标取值概率密度最大的位置,其中实常数0α>。
解答:欲求取值概率必须先将波函数归一化,由波函数的归一化条件可知()()222221exp 1x dx Cx x dx ψα∞∞-∞-∞=-=⎰⎰(1)利用积分公示())2221121!!exp 2n n n n x x dx αα∞++--=⎰ (2) 可以得到归一化常数为C = (3)坐标的取值概率密度为 ()()()322221exp w x x x x ψα==- (4)由坐标概率密度取极值的条件())()3232222exp 0d w x x x x dx αα=--= (5) 知()w x 有五个极值点,它们分别是 10,,x α=±±∞(6)为了确定极大值,需要计算()w x 的二阶导数()()()232222322226222exp d w x x x x x x dx αααα⎤=----⎦)()32244222104exp x x x ααα=-+- (7)于是有()23200x d w x dx ==> 取极小值 (8)()220x d w x dx =±∞= 取极小值 (9)()23120x d w x dx α=±=< 取极大值 (10)最后得到坐标概率密度的最大值为2111w x x ψαα⎛⎫⎛⎫=±==±= ⎪ ⎪⎝⎭⎝⎭(11)3.半壁无限高势垒的位势为()()()()000x v x x a v x a ∞<⎧⎪=≤≤⎨⎪>⎩求粒子能量E 在00E v <<范围内的解。
1. 你认为Bohr 的量子理论有哪些成功之处?有哪些不成功的地方?试举一例说明。
(简述波尔的原子理论,为什么说玻尔的原子理论是半经典半量子的?)答:Bohr 理论中核心的思想有两条:一是原子具有能量不连续的定态的概念;二是两个定态之间的量子跃迁的概念及频率条件。
首先,Bohr 的量子理论虽然能成功的说明氢原子光谱的规律性,但对于复杂原子光谱,甚至对于氦原子光谱,Bohr 理论就遇到了极大的困难(这里有些困难是人们尚未认识到电子的自旋问题),对于光谱学中的谱线的相对强度这个问题,在Bohr 理论中虽然借助于对应原理得到了一些有价值的结果,但不能提供系统解决它的办法;其次,Bohr 理论只能处理简单的周期运动,而不能处理非束缚态问题,例如:散射;再其次,从理论体系上来看,Bohr 理论提出的原子能量不连续概念和角动量量子化条件等,与经典力学不相容的,多少带有人为的性质,并未从根本上解决不连续性的本质。
2. 什么是光电效应?光电效应有什么规律?爱因斯坦是如何解释光电效应的?答:当一定频率的光照射到金属上时,有大量电子从金属表面逸出的现象称为光电效应;光电效应的规律:a.对于一定的金属材料做成的电极,有一个确定的临界频率0υ,当照射光频率0υυ<时,无论光的强度有多大,不会观测到光电子从电极上逸出;b.每个光电子的能量只与照射光的频率有关,而与光强无关;c.当入射光频率0υυ>时,不管光多微弱,只要光一照,几乎立刻910s -≈观测到光电子。
爱因斯坦认为:(1)电磁波能量被集中在光子身上,而不是象波那样散布在空间中,所以电子可以集中地、一次性地吸收光子能量,所以对应弛豫时间应很短,是瞬间完成的。
(2)所有同频率光子具有相同能量,光强则对应于光子的数目,光强越大,光子数目越多,所以遏止电压与光强无关,饱和电流与光强成正比。
(3)光子能量与其频率成正比,频率越高,对应光子能量越大,所以光电效应也容易发生,光子能量小于逸出功时,则无法激发光电子。
3.简述量子力学中的态叠加原理,它反映了什么?答:对于一般情况,如果1ψ和2ψ是体系的可能状态,那么它们的线性叠加:1122c c ψψψ=+(12c c ,是复数)也是这个体系的一个可能状态。
这就是量子力学中的态叠加原理。
态叠加原理的含义表示当粒子处于态1ψ和2ψ的线性叠加态ψ时,粒子是既处于态1ψ,又处于态2ψ。
它反映了微观粒子的波粒二象性矛盾的统一。
量子力学中这种态的叠加导致在叠加态下观测结果的不确定性。
4. 什么是定态?定态有什么性质?答:体系处于某个波函数()()[]exp r t r iEt ψψ=-,所描写的状态时,能量具有确定值。
这种状态称为定态。
定态的性质:(1)粒子在空间中的概率密度及概率流密度不随时间变化;(2)任何力学量(不显含时间)的平均值不随时间变化;(3)任何力学量(不显含时间)取各种可能测量值的概率分布也不随时间变化。
5. 简述力学量与力学量算符的关系?答:算符是指作用在一个波函数上得出另一个函数的运算符号。
量子力学中采用算符来表示微观粒子的力学量。
如果量子力学中的力学量F 在经典力学中有相应的力学量,则表示这个力学量的算符ˆF 由经典表示式F (r,p )中将p 换为算符ˆp 而得出的,即:ˆˆˆˆˆF F F =∇(r,p )=(r,-i )。
量子力学中的一个基本假定:如果算符ˆF表示力学量F ,那么当体系处于ˆF的本征态φ时,力学量F 有确定值,这个值就是ˆF 在φ中的本征值。
6.经典波和量子力学中的几率波有什么本质区别?答:1)经典波描述某物理量在空间分布的周期性变化,而几率波描述微观粒子某力学量的几率分布;(2)经典波的波幅增大一倍,相应波动能量为原来的四倍,变成另一状态,而微观粒子在空间出现的几率只决定于波函数在空间各点的相对强度,几率波的波幅增大一倍不影响粒子在空间出现的几率,即将波函数乘上一个常数,所描述的粒子状态并不改变;7. 能量的本征态的叠加一定还是能量本征态。
答:不一定,如果1ψ,2ψ对应的能量本征值相等,则2211ψψψc c +=还是能量的本征态,否则,如果1ψ,2ψ对应的能量本征值不相等,则2211ψψψc c +=不是能量的本征态8.什么是表象?不同表象之间的变换是一种什么变换?在不同表象中不变的量有哪些? 答:量子力学中态和力学量的具体表示方式称为表象。
不同表象之间的变换是一种幺正变换。
在不同表象中不变的量有:算符的本征值,矩阵的迹即矩阵对角元素的和。
9. 简述量子力学的五个基本假设。
答:(1)微观体系的状态被一个波函数完全描述,从这个波函数可以得出体系的所有性质。
波函数一般应满足连续性、有限性和单值性三个条件;(2)力学量用厄密算符表示。
如果在经典力学中有相应的力学量,则在量子力学中表示这个力学量的算符,由经典表示中的将动量p 换为算符i -∇得出。
表示力学量的算符具有组成完全系的本征函数。
(3)将体系的状态波函数ψ用算符ˆF 的本征函数展开ˆˆm m m F F λλϕλϕϕλϕ==(,):m m mc cd λλψϕϕλ=+∑⎰,则在ψ态中测量力学量F 得到结果为m λ的几率为2m c ,得到结果在d λλλ+范围内的几率是2c d λλ;(4)体系的状态波函数满足薛定谔方程:ˆi H t ψψ∂=∂,ˆH 是体系的哈密顿算符。
(5)在全同粒子组成的体系中,两全同粒子相互调换不改变体系的状态(全同性原理)。
10.波函数归一化的含义是什么?归一化随时间变化吗? 答:粒子既不产生也不湮灭。
根据波函数的统计解释,在任何时刻,粒子一定在空间出现,所以在整个空间中发现粒子是必然事件,概率论中认为必然事件的概率等于1。
因而粒子在整个空间中出现的概率即2ψ对整个空间的积分应该等于1.即()2,,,1x y z t d ψτ=⎰式中积分表示对整个空间积分。
这个条件我们称为归一化条件。
满足归一化条件的波函数称为归一化波函数。
波函数一旦归一化,归一化常数将不随时间变化。
11.量子化是不是量子力学特有的效应?经典物理中是否有量子化现象?答: 所谓量子化,就是指某个力学量可取数值具有离散谱。
一般来说,这不是量子力学的特有效应。
经典物理中,例如声音中的泛音,无线电中的谐波都是频率具有离散谱。
经典波在束缚态形成驻波时,频率也是量子化的,但经典波的频率量子化并不对应能量量子化。
有时量子化用了专指能量量子化,在这种意义上它就是量子力学特有的效应。
12.什么是算符的本征值和本征函数?它们有什么物理意义?答:含有算符ˆF 的方程ˆm m m F F ϕϕ=称为ˆF 的本质方程,m F 为ˆF 的一个本质值。
而mϕ则为ˆF 的属于本征值mF 的本征函数。
如果算符多代表一个力学量,上述概念的物理意义如下:当体系处于ˆF 的本征态m ϕ时,测量F 的数值时确定的,恒等于mF 。
当体系处于任意态时,单次测量F 的值必等于它的本征值之一。
13.算符运算与一般代数运算有什么异同之处?答:(1)相同点:都满足加法运算中的加法交换律和加法结合律。
(2)不同点:a.算符乘积一般不满足代数乘法运算的交换律,即ˆˆˆˆFG GF≠;b.算符乘积定义()()ˆˆˆˆˆˆFGE F G E ψψ⎡⎤=⎣⎦,运算次序由后至前,不能随意变换。
14.什么是束缚态和定态?束缚态是否必为定态?定态是否必为束缚态? 答:定态是概率密度和概率流密度不随时间变化的状态。
若势场恒定0U t∂=∂,则体系可以处于定态。
当粒子被外力(势场)束缚于特定的空间区域内,及在无穷处波函数等于零的态叫做束缚态。
束缚态是离散的。
例如一维谐振子就属于束缚定态,具有量子化能级。
但束缚态不一定是定态。
例如限制在一维箱子中的粒子,最一般的可能态是以一系列分立的定态叠加而成的波包。
这种叠加是没有确定值的非定态。
虽然一般情况下定态多属束缚态,当定态也可能有非束缚态。
15.(1)在量子力学中,能不能同时用粒子坐标和动量的确定值来描写粒子的量子状态?(2)将描写的体系量子状态波函数乘上一个常数后,所描写的体系量子状态是否改变?(3)归一化波函数是否可以含有任意相因子i e δ(δ是实常数)?(4)已知F 为一个算符,当F 满足如下的两式时,a. F F +=,b. 1F F -+=,问何为厄米算符,何为幺正算符?(5)证明厄米算符的本征值为实数。
量子力学中表示力学量的算符是不是都是厄米算符?答:(1)不能;因为在量子力学中,粒子具有波粒二象性,粒子的坐标和动量不可能同时具有确定值。
(2)不改变;根据Born 对波函数的统计解释,描写体系量子状态的波函数是概率波,由于粒子必定要在空间中的某一点出现,所以粒子在空间各点出现的概率总和等于1,因而粒子在空间各点出现概率只决定于波函数在空间各点的相对强度。
(3)可以;因为21i e δ=,如果2ψ对整个空间积分等于1,则2i e δψ对整个空间积分也等于1.即用任意相因子i e δ(δ是实常数)去乘以波函数,既不影响体系的量子状态,也不影响波函数的归一化。
(4)满足关系式a 的为厄密算符,满足关系式b 的为幺正算符;(5)证明:以λ表示F 的本征值,ψ表示所属的本征函数,则ˆFψλψ=因为F 是厄密算符,于是有dx dx λψψλψψ***=⎰⎰,由此可得λλ*=,即λ为实数。
16.薛定谔方程应该满足哪些条件?答:(1)它必须是波函数应满足的含有对时间微商的微分方程;(2)方程是线性的,即如果1ψ和2ψ都是方程的姐,那么1ψ和2ψ的线性叠加1122c c ψψψ=+也是方程的解,这是因为根据态叠加原理,如果1ψ和2ψ是体系的可能状态,那么它们的线性叠加:1122c c ψψψ=+(12c c ,是复数)也是这个体系的一个可能状态;(3)这个方程的系数不应该包含状态的参量,如动量、能量等,因为方程的系数如含有状态的参量,则方程只能被粒子的部分状态所满足,而不能被各种的状态所满足。
17. 量子力学中的力学量用什么算符表示?为什么?力学量算符在自身表象中的矩阵是什么形式?答:量子力学中表示力学量的算符都是厄密算符。
因为所有力学量的数值都是实数,既然表示力学量的算符的本征值是这个力学量的可能值,因而表示力学量的算符,它的本征值必须是实数。
力学量算符在自身表象中的矩阵是一个对角矩阵。
18.简述力学量算符的性质?答:(1)实数性:厄密算符的本征值和平均值皆为实数;(2)正交性:属于不同本征值的本征态彼此正交。
即m n mn d ϕϕτδ*=⎰;(3)完备性:力学量算符的本征态的全体构成一完备集,即()()n n n x c x ψϕ=∑。
19.在什么情况下两个算符相互对易?答:如果两个算符ˆF 和ˆG 有一组共同本征函数m ϕ,而且mϕ组成完全系,则算符ˆF 和ˆG 对易。