深圳各中学历年录取分数线
- 格式:xls
- 大小:41.50 KB
- 文档页数:10
深圳市龙岗区、、初一网上报名录取分数深圳市龙岗区近三年初一网上报名录取分数序预录取学校2017年录取分数线2016年录取分数线2015年录取分数线1直属实验学校(公办)(初中部)第二志愿90(社保月数119)60第三志愿642福安学校(公办)(初中部)非直升生源67.9(社保月数86)非直升生源68.3非直升生源623平安里学校(公办)(初中部)非直升生源68第二志愿62.5604新亚洲学校(公办)(初中部)第二志愿63.960605兰著学校(公办)(初中部)非直升生源67.363.1(住房材料使用租赁凭证)606外国语学校(公办)(初中部)非直升生源76(租赁备案时间2017-03-26)69.673(独生子女)7龙城初级中学(公办)71(租赁备案时间2017-03-15)第二志愿7068.68深圳中学龙岗初级中学(公办)76(租赁备案时间2017-03-13)61609天誉实验学校(政府资助)(初中部)第三志愿66.2统筹分数62.710华南师范大学附属大运学校初中部(政府资助)第二志愿65第四志愿61.211布吉街道布吉中学(公办)68.666.8(惠州户籍)67.712布吉街道可园学校(初中部)76.5(租赁备案时间2016-10-18)70(非独生子女、社保工伤险127月)70(非深户籍、社保工伤险113个月)13布吉街道贤义外国语学校(初中部)88(社保月数87)(扩班前估>100分)86.5第二志愿70(社保工伤险112个月)14布吉街道龙岭初级中学90(社保月数121)70(独生子女、社保工伤险112月)15吉华街道吉华中海怡翠学校(初中部)76(租赁备案时间2017-03-08)70(非独生子女、社保工伤险184月)第二志愿7016吉华街道甘李学校(初中部)第二志愿67.3第二志愿62.4(社保工伤险36月)第三志愿6017坂田街道坂田街道万科城学校(初中部)第二志愿65.8(社保月数65)非直升生源65.5(住房材料使用租赁凭证)非直升生源65.118坂田街道深大师院坂田学校(公办)(初中部)非直升生源61.9第三志愿66.519坂田街道科技城外国语学校(公办)(初中部)68.268.767.120坂田街道新城学校(初中部)非直升生源70(社保月数120)第二志愿67.6第二志愿63.221南湾街道南湾街道沙湾中学(公办)68.866.265.522南湾街道南湾学校(初中部)非直升生源90(社保月数183)(扩班前估>90分)非直升生源105(住房备案时间2003-11-10)非直升生源7023南湾街道石芽岭学校(初中部)非直升生源72第二志愿70(非独生子女、社保工伤险119月)第三志愿63.924南湾街道沙塘布学校(初中部)第二志愿66.8(社保月数75)25平湖街道平湖中学(公办)6765.9(住房材料使用租赁凭证)61.626平湖街道信德学校(公办)(初中部)非直升生源65第二志愿64.827平湖街道外国语学校(初中部)非直升生源68.9第二志愿65.128平湖实验学校(公办)(初中部)6867.6(独生子女)6029横岗街道横岗中学(公办)64.3(社保月数55)63.3(社保工伤险45月)6230横岗街道梧桐学校(初中部)非直升生源92第二志愿63.1第四志愿66.131横岗街道中心学校(初中部)非直升生源70(独生子女,社保月数137)非直升生源70(非独生子女、社保工伤险124月)非直升生源67.732横岗街道六约学校(初中部)非直升生源88(社保月数92)非直升生源66.3非直升生源64.933园山街道园山街道保安学校(初中部)非直升生源70(社保月数126,租赁凭证)非直升生源69.8(独生子女)非直升生源66.534园山街道吉溪初级中学(公办)606035龙岗街道龙岗中学(公办)65.863.6(住房材料使用租赁凭证)61.636龙岗街道南联学校(初中部)非直升生源70(社保月数242)非直升生源70(非独生子女、社保工伤险126月)非直升生源67.937龙岗街道新梓学校(初中部)非直升生源70非直升生源66.4第二志愿60.338宝龙宝龙街道宝龙学校(初中部)非直升生源87.3非直升生源67.5(住房材料使用租赁凭证)第二志愿60.439龙城龙城街道天成学校(公办)62.9第三志愿66.140坪地街道坪地中学(公办)61.86041坪地兰陵学校(初中部)60非直升生源62.242龙城高级中学教育集团东兴外国语学校(初中部)60。
**深圳市2008年高中阶段学校第一批录取标准
**深圳市2009年高中阶段学校第一批录取标准
**深圳市2010年高中阶段学校第一批录取标准
说明:
1.公办普高录取的考生五科文化课单科等级均为C+以上(含C+)。
2.深圳外国语学校、罗湖外国语学校、南山外国语学校录取的考生英语单科等级B以上(含B),其余四科文化课单科等级均为C+以上(含C+)。
3.招生范围中:A类——本市户籍户口考生;C类——虽持有我市居住证(暂住证)但享受市政府政策照顾人员的子女;D类——指除A、C类以外其他考生。
深圳市2011年高中阶段学校第一批录取标准
注:每班50人。
学校2016201520深户非深户深户非深户深户深圳实验学校439441440441深圳中学439441439440深圳外国语学校436439437438深圳高级中学434434434434红岭中学431432431432宝安中学428432429433深大附中425428427428育才中学426425427427翠园中学423426424425深圳市第二高级中学417421421421深圳实验学校(中学部)415412418410深圳市第二实验中学415419417419宝安区新安中学410423414425龙岗区龙城高级中学414426412423深圳科学高中411420411417南山南头中学406418411418罗湖外国语学校393410409409华侨城中学403412405410宝安区第一外国语中学398417401420深圳市第三高级中学396411400410耀华实验中学(普高班)398398399399深圳第二外国语391412398410石岩公学(公办班)395395395395福田中学382407393407松岗中学391417391422深圳市盐田高级中学389409390407北大附中南山分校386386389389深圳市第一职业学校(高中班)392392388388宝安西乡中学379414387416华中师范大学龙岗附属中学388415386413福田外国语高级中学375405385405深圳市第七高级中学369404383408深圳美术学校380380377377梅林中学367401376402龙岗区平冈中学372413373415罗湖区滨河中学371393367399深圳市明珠中学374374366366光明新区高级中学359402362402观澜中学352414355416龙岗区布吉高级中学353403353402福景外国语(普高班)368368347347坪山高级中学345406341403龙华中学335398340403宝安沙井中学329400336404光明中学323396334397龙岗区横岗高级中学336401334400平湖外国语323397328397龙岗区布吉中学316393320392石岩公学(民办班)359359313313深证市第三高级中学(出国班)300380309384南山中加学校332332304304富源中学329329296296沪教院福田实验学校(普高班)327327288288北大附中(国际班)280280280280福景外国语(国际班)280280280280清华实验学校280280280280石岩公学(国际班)280280280280菁华中英文实验学校305305280280龙岗区东升学校309309280280龙岗区建文中学280280280280沪教院福田实验学校(中加班)280280280280沪教院福田实验学校(欧美班)280280280280耀华实验中学(国际班)280280280280明德实验学校366387368386北师大南山附属学校中学部407409409409南山外国语学校滨海中学422423422415桃源居中澳实验学校(普高)330330332332桃源居中澳实验学校(国际)280280280280深圳东方英文书院2982982802801420132012非深户深户非深户深户非深户。
8310101831012283101028310123831010383101048310124831010583101258310106831010783101268310108831010983101278310110831011183101128310113深圳市20标准学校代码831011483101158310129831011683101178310130831011883101198310131831012083101218310132 8310133 8310401 8310402 8310414 8310403 8310404 8310415 8310405 8310406 831041683104078310417831040983104108310411 8310412 8310413 8310301 8310302 8310309 8310303 8310304 8310310 8310305 8310311 8310306 8310307 8310308 8310501 8310502 8310513 8310503 83105048310514831050683105158310507831050883105168310509 8310517 8310510 8310511 8310512 8310801 8310802 8310803 8310601 8310602 8310620 8310603 8310604 8310621 8310605 8310606 8310622831060783106238310609831061083106248310611831061283106258310613831061483106158310616831062683106178310618831061983107018310702831072783107038310704831072883107058310706831070783107088310730831070983107108310731831071183107128310732831071383107148310733831071583107168310901831090283109058310903831090483109068310201831020283102038311001 8311002 8311005 8311003 8311004 8311006 8310418 8310419注:a类指具有深大附中(择校)606面向全市招收acd类考生深圳市第二实验学校(一)573*面向全市招收ac类考生深圳市第二实验学校(二)603面向全市招收d类考生深圳市第二实验学校(择校)580面向全市招收acd类考生深圳市第二高级中学(一)580*面向全市招收ac类考生深圳市第二高级中学(二)604*面向全市招收d类考生深圳市第二高级中学(择校)570面向全市招收acd类考生深圳市第二外国语学校(一)527面向全市招收ac类考生深圳市第二外国语学校(二)572面向全市招收d类考生深圳市第二外国语学校(择校)548面向全市招收acd类考生深圳科学高中(一)556面向全市招收ac类考生深圳科学高中(二)588面向全市招收d类考生深圳科学高中(择校)560面向全市招收acd类考生深圳市第一职业技术学校(综合高中试验班)2474*面向全市招收acd类考生福田区红岭中学(一)630*面向全市招收ac类考生福田区红岭中学(二)664*面向全市招收d类考生福田区红岭中学(择校)629面向全市招收acd类考生福田区福田中学(一)517*面向全市招收ac类考生福田区福田中学(二)580面向全市招收d类考生福田区福田中学(择校)543面向全市招收acd类考生福田区梅林中学(一)488*面向全市招收ac类考生福田区梅林中学(二)552面向全市招收d类考生福田区梅林中学(择校)532面向全市招收acd类考生福田外国语高级中学(一)492*面向全市招收ac类考生16202018221712福田外国语高级中学(二)549*面向全市招收d类考生福田外国语高级中学(择校)531面向全市招收acd类考生深圳市福景外国语学校(普高班)6469面向全市招收acd类考生深圳市福景外国语学校(中加出国班)2400面向全市招收acd类考生深圳市沪教院福田实验学校(普高班)8423*面向全市招收acd类考生深圳市沪教院福田实验学校(中加国际课程实验班)2400面向全市招收acd类考生深圳市沪教院福田实验学校(欧美国际课程实验班)2400面向全市招收acd类考生罗湖区翠园中学(一)598面向全市招收ac类考生罗湖区翠园中学(二)631*面向全市招收d类考生罗湖区翠园中学(择校)600面向全市招收acd类考生罗湖区滨河中学(一)471*面向全市招收ac类考生罗湖区滨河中学(二)540面向全市招收d类考生罗湖区滨河中学(择校)520面向全市招收acd类考生罗湖区罗湖外语学校561面向全市招收acd类考生罗湖区罗湖外语学校(择校)543面向全市招收acd类考生深圳市美术学校(普高)6508面向全市招收acd类考生深圳市明珠学校8488*面向全市招收acd类考生深圳菁华中英文实验中学6400面向全市招收acd类考生南山区南头中学(一)555面向全市招收ac类考生南山区南头中学(二)594面向全市招收d类考生南山区南头中学(择校)562*面向全市招收acd类考生南山区育才中学(一)606面向全市招收ac类考生南山区育才中学(二)637面向全市招收d类考生南山区育才中学(择校)600面向全市招收acd类考生121612141710南山区华侨城中学(一)534*面向全市招收ac类考生南山区华侨城中学(二)575*面向全市招收d类考生南山区华侨城中学(择校)548面向全市招收acd类考生南山区北师大南山附属学校(一)543面向全市招收ac类考生南山区北师大南山附属学校(二)562面向全市招收d类考生南山区北师大南山附属学校(择校)547面向全市招收acd类考生南山区南山外国语学校(集团)滨海中学596面向全市招收ac类考生南山区南山外国语学校(集团)滨海中学(择校)588*面向全市招收acd类考生北大附中深圳南山分校(普高班)4515*面向全市招收acd类考生北大附中深圳南山分校(国际课程实验班)4400面向全市招收acd类考生深圳(南山)中加学校10434面向全市招收acd类考生深圳市盐田高级中学(一)499面向全市招收ac类考生深圳市盐田高级中学(二)562面向全市招收d类考生深圳市盐田高级中学(择校)542面向全市招收acd类考生宝安区宝安中学(一)616面向全市招收ac类考生宝安区宝安中学(二)671面向全市招收d类考生宝安区宝安中学(择校)621面向全市招收acd类考生宝安区第一外国语学校(一)529*面向全市招收ac类考生宝安区第一外国语学校(二)604面向全市招收d类考生宝安区第一外国语学校(择校)573*面向全市招收acd类考生宝安区新安中学(一)560面向全市招收ac类考生宝安区新安中学(二)621*面向全市招收d类考生宝安区新安中学(择校)581*面向全市招收acd类考生宝安区西乡中学(一)506面向全市招收ac类考生155412201316宝安区西乡中学(二)607面向全市招收d类考生宝安区西乡中学(择校)572面向全市招收acd类考生宝安区沙井中学(一)444面向全市招收ac类考生宝安区沙井中学(二)562面向全市招收d类考生宝安区沙井中学(择校)536面向全市招收acd类考生宝安区松岗中学(本地班)(一)514面向全市招收ac类考生宝安区松岗中学(本地班)(二)609面向全市招收d类考生宝安区松岗中学(本地班)(择校)588面向全市招收acd类考生深圳清华实验学校(公办班)1545*面向全市招收acd类考生深圳清华实验学校(民办班)8435面向全市招收acd类考生深圳清华实验学校(国际班)3400面向全市招收acd类考生深圳市石岩公学(公办班)542面向全市招收acd类考生深圳市石岩公学(公办班)(择校)524*面向全市招收acd类考生深圳市石岩公学(民办班)8421面向全市招收acd类考生深圳东方英文书院14400面向全市招收acd类考生深圳市富源学校7414面向全市招收acd类考生龙岗区龙城高级中学(一)557面向全市招收ac类考生龙岗区龙城高级中学(二)642面向全市招收d类考生龙岗区龙城高级中学(择校)614面向全市招收acd类考生龙岗区平冈中学(一)490面向全市招收ac类考生龙岗区平冈中学(二)613*面向全市招收d类考生龙岗区平冈中学(择校)586面向全市招收acd类考生龙岗区布吉高级中学(一)457*面向全市招收ac类考生龙岗区布吉高级中学(二)566面向全市招收d类考生201264191919龙岗区布吉高级中学(择校)540*面向全市招收acd类考生龙岗区布吉中学(一)424*面向全市招收ac类考生龙岗区布吉中学(二)540面向全市招收d类考生龙岗区布吉中学(择校)527*面向全市招收acd类考生龙岗区横岗高级中学(一)441*面向全市招收ac类考生龙岗区横岗高级中学(二)556面向全市招收d类考生龙岗区横岗高级中学(择校)535*面向全市招收acd类考生深圳市平湖外国语学校(一)428面向全市招收ac类考生深圳市平湖外国语学校(二)547面向全市招收d类考生深圳市平湖外国语学校(择校)532*面向全市招收acd类考生华中师范大学龙岗附属中学(一)489*面向全市招收ac类考生华中师范大学龙岗附属中学(二)595面向全市招收d类考生华中师范大学龙岗附属中学(择校)570*面向全市招收acd类考生龙岗区东升学校20400面向全市招收acd类考生龙岗区建文中学20400面向全市招收acd类考生光明新区高级中学(一)469面向全市招收ac类考生光明新区高级中学(二)554*面向全市招收d类考生光明新区高级中学(择校)533面向全市招收acd类考生光明新区光明中学(一)457*面向全市招收ac类考生光明新区光明中学(二)552面向全市招收d类考生光明新区光明中学(择校)532面向全市招收acd类考生坪山高级中学(一)456面向全市招收ac类考生坪山高级中学(二)564面向全市招收d类考生坪山高级中学(择校)540面向全市招收acd类考生1819814816287龙华新区龙华中学(一)454面向全市招收ac类考生龙华新区龙华中学(二)576面向全市招收d类考生龙华新区龙华中学(择校)561面向全市招收acd类考生龙华新区观澜中学(一)459*面向全市招收ac类考生龙华新区观澜中学(二)604*面向全市招收d类考生龙华新区观澜中学(择校)584*面向全市招收acd类考生深圳市耀华实验学校(普高班)2486面向全市招收acd类考生深圳市耀华实验学校(国际课程实验班)4400面向全市招收acd类考生78指具有深圳户籍户口的考生;c类指享受市政府优惠政策人。
深圳市2020年录取分数线第一批以下是深圳市2015-2020年高中学校第一批录取标准(深户公办类):2015年,共有42所学校参与了录取标准。
其中,___(一)、___(一)、___(一)、___(高中部)(一)、___(一)、___(一)、___(一)、___(集团)高级中学(一)、___(一)、___(一)、___(一)、___(一)、___(一)、___(一)、___(一)、___(一)、___(一)、___(一)、___(东校区)(一)、___(___)(一)、___(一)、___(一)、___(一)、___(一)、___(一)、___(一)、___(一)和___(一)的录取标准未发生变化。
___(公办班)ACD类和___(公办班)ACD类的录取标准也未发生变化。
___(国内高考班)(一)增加了1个班。
删除了明显有问题的段落,同时对原文进行了简单的改写以使其更容易阅读。
2020年中考录取分数线已经公布。
___整理了各学校的分数线,以下是部分学校的信息:___,共有20个班级,总分435分;___,共有19个班级,总分430分;___,共有18个班级,总分427分;___,共有17个班级,总分432分;___,共有16个班级,总分423分;___,共有15个班级,总分420分;___,共有14个班级,总分418分;___,共有13个班级,总分415分;___,共有12个班级,总分417分;___,共有11个班级,总分411分;___,共有10个班级,总分414分;___,共有9个班级,总分407分;___,共有8个班级,总分406分;___,共有7个班级,总分405分;___,共有6个班级,总分407分;___,共有5个班级,总分402分;___,共有4个班级,总分398分。
以上数据是根据2015年至2019年的分数线统计得出的。
2020年的分数线可能会有所不同。
以下是深圳市2015-2020年高中学校第一批录取标准(民办类)的数据,其中包括每所学校的代码、名称和班数,以及每年的总分情况。
深圳市2021年中考第一批录取分数线深圳市2021年中考第一批录取分数线深圳市2021年高中阶段学校第一批录取标准8310122深圳中学(择校)面向全市招收ac类考生面向全市招收acd类考生面向全市招收ac类考生面向全市招收acd类考生面向全市招收ac类考生面向全市招收d类考生面向全市招收acd类考生面向全市招收ac类考生面向全市招收acd类考生面向全市招收ac类考生面向全市招收d类考生面向全市招收acd类考生面向全市招收ac类考生面向全市招收d类考生面向全市招8310101 深圳中学8310102 深圳实验学校(高中部)8310123 深圳实验学校(高中部,择校) 6948310103 深圳实验学校(中学部)(一) 5788310104 深圳实验学校(中学部)(二)8310124 深圳实验学校(中学部,择校) 5548310105 深圳外国语学校8310125 深圳外国语学校(择校) 6778310106 深圳市高级中学(一) 647*8310107 深圳市高级中学(二)8310126 深圳市高级中学(择校) 6348310108深圳市第三高级中学(国内高考班)(一)深圳市第三高级中学(国内高考班)(二)深圳市第三高级中学(国内高8310109 8310127578* 549*考班)(择校)生面向全市招收ac类考生8310110深圳市第三高级中学(国家留学基金委基地学校出国班)(一)深圳市第三高级中学(国家留学基金委基地学校出国班)(二)深大附中(一)8310111 555面向全市招收d类考生面向全市招收ac类考生面向全市招收d类考生面向全市招收acd类考生面向全市招收ac类考生面向全市招收d类考生面向全市招收acd类考生面向全市招收ac类考生面向全市招收d类考生面向全市招收acd类考生面向全市招收ac类考生面向全市招收d类考生面向全市招收acd类考生面向全市招收ac类考生8310112 6078310113 深大附中(二)8310128 深大附中(择校) 6068310114 深圳市第二实验学校(一) 573*8310115 深圳市第二实验学校(二)8310129 深圳市第二实验学校(择校) 5808310116 深圳市第二高级中学(一) 580*8310117 深圳市第二高级中学(二)8310130 深圳市第二高级中学(择校) 5708310118 深圳市第二外国语学校(一) 5278310119 深圳市第二外国语学校(二)8310131 深圳市第二外国语学校(择校) 5488310120 深圳科学高中(一) 18 5568310121 深圳科学高中(二) 588面向全市招收d类考生面向全市招收acd类考生面向全市招收acd类考生面向全市招收ac类考生面向全市招收d类考生面向全市招收acd类考生面向全市招收ac类考生面向全市招收d类考生面向全市招收acd类考生面向全市招收ac类考生面向全市招收d类考生面向全市招收acd类考生面向全市招收ac类考生面向全市招收d类考生面向全市招收acd类考生面向全市招收acd类考8310132 深圳科学高中(择校) 5608310133深圳市第一职业技术学校(综合高中试验班)8310401 福田区红岭中学(一) 630*8310402 福田区红岭中学(二)8310414 福田区红岭中学(择校) 6298310403 福田区福田中学(一) 517*8310404 福田区福田中学(二)8310415 福田区福田中学(择校) 5438310405 福田区梅林中学(一) 488*8310406 福田区梅林中学(二)8310416 福田区梅林中学(择校) 5328310407 福田外国语高级中学(一) 492*8310408 福田外国语高级中学(二)8310417 福田外国语高级中学(择校) 5318310409深圳市福景外国语学校(普高班)深圳市福景外国语学校(中加出国班)面向全市招收acd类考生面向全市招收acd类考生面向全市招收acd类考生面向全市招收acd类考生面向全市招收ac类考生面向全市招收d类考生面向全市招收acd类考生面向全市招收ac类考生面向全市招收d类考生面向全市招收acd类考生面向全市招收acd类考生面向全市招收acd类考生面向全市招收acd类考生面向全市招收acd类考8310410 2 4008310411深圳市沪教院福田实验学校(普高班)8310412深圳市沪教院福田实验学校(中加国际课程实验班)8310413深圳市沪教院福田实验学校(欧美国际课程实验班)8310301 罗湖区翠园中学(一) 5988310302 罗湖区翠园中学(二)8310309 罗湖区翠园中学(择校) 6008310303 罗湖区滨河中学(一) 471*8310304 罗湖区滨河中学(二)8310310 罗湖区滨河中学(择校) 5208310305 罗湖区罗湖外语学校8310311 罗湖区罗湖外语学校(择校) 5438310306 深圳市美术学校(普高) 6 5088310307 深圳市明珠学校 8 488*面向全市招收acd类考生面向全市招收ac类考生面向全市招收d类考生面向全市招收acd类考生面向全市招收ac类考生面向全市招收d类考生面向全市招收acd类考生面向全市招收ac类考生面向全市招收d类考生面向全市招收acd类考生面向全市招收ac类考生面向全市招收d类考生面向全市招收acd类考生面向全市招收ac类考生面向全市招收acd类考8310308 深圳菁华中英文实验中学 6 4008310501 南山区南头中学(一) 5558310502 南山区南头中学(二)8310513 南山区南头中学(择校) 562*8310503 南山区育才中学(一) 6068310504 南山区育才中学(二)8310514 南山区育才中学(择校) 6008310505 南山区华侨城中学(一) 534*8310506 南山区华侨城中学(二)8310515 南山区华侨城中学(择校) 5488310507南山区北师大南山附属学校(一)南山区北师大南山附属学校(二)南山区北师大南山附属学校(择校)南山区南山外国语学校(集团)滨海中学南山区南山外国语学校(集团)滨海中学(择校)83105088310516 5478310509 5968310517 588*8310510北大附中深圳南山分校(普高班)面向全市招收acd类考生面向全市招收acd类考生面向全市招收acd类考生面向全市招收ac类考生面向全市招收d类考生面向全市招收acd类考生面向全市招收ac类考生面向全市招收d类考生面向全市招收acd类考生面向全市招收ac类考生面向全市招收d类考生面向全市招收acd类考生面向全市招收ac类考生面向全市招收d类考生面向全市招收acd类考 8310511北大附中深圳南山分校(国际课程实验班)8310512 深圳(南山)中加学校 10 4348310801 深圳市盐田高级中学(一) 4998310802 深圳市盐田高级中学(二)8310803 深圳市盐田高级中学(择校) 5428310601 宝安区宝安中学(一) 6168310602 宝安区宝安中学(二)8310620 宝安区宝安中学(择校) 6218310603 宝安区第一外国语学校(一) 529*8310604 宝安区第一外国语学校(二)8310621 宝安区第一外国语学校(择校) 573*8310605 宝安区新安中学(一) 5608310606 宝安区新安中学(二)8310622 宝安区新安中学(择校) 581*8310607 宝安区西乡中学(一) 506面向全市招收ac类考生面向全市招收d类考生面向全市招收acd类考生面向全市招收ac类考生面向全市招收d类考生面向全市招收acd类考生面向全市招收ac类考生面向全市招收d类考生面向全市招收acd类考生面向全市招收acd类考生面向全市招收acd类考生面向全市招收acd类考生面向全市招收acd类考生面向全市招收acd类考生面向全市招收acd类考8310608 宝安区西乡中学(二)8310623 宝安区西乡中学(择校) 5728310609 宝安区沙井中学(一) 4448310610 宝安区沙井中学(二)8310624 宝安区沙井中学(择校) 5368310611 宝安区松岗中学(本地班)(一) 5148310612 宝安区松岗中学(本地班)(二)8310625宝安区松岗中学(本地班)(择校)8310613 深圳清华实验学校(公办班) 1 545*8310614 深圳清华实验学校(民办班) 8 4358310615 深圳清华实验学校(国际班) 3 4008310616 深圳市石岩公学(公办班)8310626深圳市石岩公学(公办班)(择校)8310617 深圳市石岩公学(民办班) 8 421生面向全市招收acd类考生面向全市招收acd类考生面向全市招收ac类考生面向全市招收d类考生面向全市招收acd类考生面向全市招收ac类考生面向全市招收d类考生面向全市招收acd类考生面向全市招收ac类考生面向全市招收d类考生面向全市招收acd类考生面向全市招收ac类考生面向全市招收d类考生面向全市招收acd类考生面向全市招收ac类考生8310618 深圳东方英文书院 14 4008310619 深圳市富源学校 7 4148310701 龙岗区龙城高级中学(一) 5578310702 龙岗区龙城高级中学(二)8310727 龙岗区龙城高级中学(择校) 6148310703 龙岗区平冈中学(一) 4908310704 龙岗区平冈中学(二)8310728 龙岗区平冈中学(择校) 5868310705 龙岗区布吉高级中学(一) 457*8310706 龙岗区布吉高级中学(二)8310729 龙岗区布吉高级中学(择校) 540*8310707 龙岗区布吉中学(一) 424*8310708 龙岗区布吉中学(二)8310730 龙岗区布吉中学(择校) 527*8310709 龙岗区横岗高级中学(一) 14 441*8310710 龙岗区横岗高级中学(二) 556面向全市招收d类考生面向全市招收acd类考生面向全市招收ac类考生面向全市招收d类考生面向全市招收acd类考生面向全市招收ac类考生面向全市招收d类考生面向全市招收acd类考生面向全市招收acd类考生面向全市招收acd类考生面向全市招收ac类考生面向全市招收d类考生面向全市招收acd类考生面向全市招收ac类考生面向全市招收d类考生面向全市招收acd类考 8310731 龙岗区横岗高级中学(择校) 535*8310711 深圳市平湖外国语学校(一) 4288310712 深圳市平湖外国语学校(二)8310732 深圳市平湖外国语学校(择校) 532*8310713华中师范大学龙岗附属中学(一)华中师范大学龙岗附属中学(二)华中师范大学龙岗附属中学(择校)83107148310733 570*8310715 龙岗区东升学校 20 4008310716 龙岗区建文中学 20 4008310901 光明新区高级中学(一) 4698310902 光明新区高级中学(二)8310905 光明新区高级中学(择校) 5338310903 光明新区光明中学(一) 457*8310904 光明新区光明中学(二) 7 5528310906 光明新区光明中学(择校) 5328310201坪山高级中学(一)面向全市招收ac类考生面向全市招收d类考生面向全市招收acd类考生面向全市招收ac类考生面向全市招收d类考生面向全市招收acd类考生面向全市招收ac类考生面向全市招收d类考生面向全市招收acd类考生面向全市招收acd类考生面向全市招收acd类考8310202 坪山高级中学(二)8310203 坪山高级中学(择校) 5408311001 龙华新区龙华中学(一) 4548311002 龙华新区龙华中学(二)8311005 龙华新区龙华中学(择校) 5618311003 龙华新区观澜中学(一) 459*8311004 龙华新区观澜中学(二)8311006 龙华新区观澜中学(择校) 584*8310418 深圳市耀华实验学校(普高班) 2 4868310419深圳市耀华实验学校(国际课程实验班)注:a类指具有深圳户籍户口的考生;c类指享受市政府优惠政策人员的子女;d类指除a、c类考生外,符合参加统一划线录取条件的考生。
深圳市2021年中考第一批录取分数线深圳市2021年中考第一批录取分数线深圳市2021年高中阶段学校第一批录取标准8310122深圳中学(择校)面向全市招收ac类考生面向全市招收acd类考生面向全市招收ac类考生面向全市招收acd类考生面向全市招收ac类考生面向全市招收d类考生面向全市招收acd类考生面向全市招收ac类考生面向全市招收acd类考生面向全市招收ac类考生面向全市招收d类考生面向全市招收acd类考生面向全市招收ac类考生面向全市招收d类考生面向全市招8310101 深圳中学8310102 深圳实验学校(高中部)8310123 深圳实验学校(高中部,择校) 6948310103 深圳实验学校(中学部)(一) 5788310104 深圳实验学校(中学部)(二)8310124 深圳实验学校(中学部,择校) 5548310105 深圳外国语学校8310125 深圳外国语学校(择校) 6778310106 深圳市高级中学(一) 647*8310107 深圳市高级中学(二)8310126 深圳市高级中学(择校) 6348310108深圳市第三高级中学(国内高考班)(一)深圳市第三高级中学(国内高考班)(二)深圳市第三高级中学(国内高8310109 8310127578* 549*考班)(择校)生面向全市招收ac类考生8310110深圳市第三高级中学(国家留学基金委基地学校出国班)(一)深圳市第三高级中学(国家留学基金委基地学校出国班)(二)深大附中(一)8310111 555面向全市招收d类考生面向全市招收ac类考生面向全市招收d类考生面向全市招收acd类考生面向全市招收ac类考生面向全市招收d类考生面向全市招收acd类考生面向全市招收ac类考生面向全市招收d类考生面向全市招收acd类考生面向全市招收ac类考生面向全市招收d类考生面向全市招收acd类考生面向全市招收ac类考生8310112 6078310113 深大附中(二)8310128 深大附中(择校) 6068310114 深圳市第二实验学校(一) 573*8310115 深圳市第二实验学校(二)8310129 深圳市第二实验学校(择校) 5808310116 深圳市第二高级中学(一) 580*8310117 深圳市第二高级中学(二)8310130 深圳市第二高级中学(择校) 5708310118 深圳市第二外国语学校(一) 5278310119 深圳市第二外国语学校(二)8310131 深圳市第二外国语学校(择校) 5488310120 深圳科学高中(一) 18 5568310121 深圳科学高中(二) 588面向全市招收d类考生面向全市招收acd类考生面向全市招收acd类考生面向全市招收ac类考生面向全市招收d类考生面向全市招收acd类考生面向全市招收ac类考生面向全市招收d类考生面向全市招收acd类考生面向全市招收ac类考生面向全市招收d类考生面向全市招收acd类考生面向全市招收ac类考生面向全市招收d类考生面向全市招收acd类考生面向全市招收acd类考8310132 深圳科学高中(择校) 5608310133深圳市第一职业技术学校(综合高中试验班)8310401 福田区红岭中学(一) 630*8310402 福田区红岭中学(二)8310414 福田区红岭中学(择校) 6298310403 福田区福田中学(一) 517*8310404 福田区福田中学(二)8310415 福田区福田中学(择校) 5438310405 福田区梅林中学(一) 488*8310406 福田区梅林中学(二)8310416 福田区梅林中学(择校) 5328310407 福田外国语高级中学(一) 492*8310408 福田外国语高级中学(二)8310417 福田外国语高级中学(择校) 5318310409深圳市福景外国语学校(普高班)深圳市福景外国语学校(中加出国班)面向全市招收acd类考生面向全市招收acd类考生面向全市招收acd类考生面向全市招收acd类考生面向全市招收ac类考生面向全市招收d类考生面向全市招收acd类考生面向全市招收ac类考生面向全市招收d类考生面向全市招收acd类考生面向全市招收acd类考生面向全市招收acd类考生面向全市招收acd类考生面向全市招收acd类考8310410 2 4008310411深圳市沪教院福田实验学校(普高班)8310412深圳市沪教院福田实验学校(中加国际课程实验班)8310413深圳市沪教院福田实验学校(欧美国际课程实验班)8310301 罗湖区翠园中学(一) 5988310302 罗湖区翠园中学(二)8310309 罗湖区翠园中学(择校) 6008310303 罗湖区滨河中学(一) 471*8310304 罗湖区滨河中学(二)8310310 罗湖区滨河中学(择校) 5208310305 罗湖区罗湖外语学校8310311 罗湖区罗湖外语学校(择校) 5438310306 深圳市美术学校(普高) 6 5088310307 深圳市明珠学校 8 488*面向全市招收acd类考生面向全市招收ac类考生面向全市招收d类考生面向全市招收acd类考生面向全市招收ac类考生面向全市招收d类考生面向全市招收acd类考生面向全市招收ac类考生面向全市招收d类考生面向全市招收acd类考生面向全市招收ac类考生面向全市招收d类考生面向全市招收acd类考生面向全市招收ac类考生面向全市招收acd类考8310308 深圳菁华中英文实验中学 6 4008310501 南山区南头中学(一) 5558310502 南山区南头中学(二)8310513 南山区南头中学(择校) 562*8310503 南山区育才中学(一) 6068310504 南山区育才中学(二)8310514 南山区育才中学(择校) 6008310505 南山区华侨城中学(一) 534*8310506 南山区华侨城中学(二)8310515 南山区华侨城中学(择校) 5488310507南山区北师大南山附属学校(一)南山区北师大南山附属学校(二)南山区北师大南山附属学校(择校)南山区南山外国语学校(集团)滨海中学南山区南山外国语学校(集团)滨海中学(择校)83105088310516 5478310509 5968310517 588*8310510北大附中深圳南山分校(普高班)面向全市招收acd类考生面向全市招收acd类考生面向全市招收acd类考生面向全市招收ac类考生面向全市招收d类考生面向全市招收acd类考生面向全市招收ac类考生面向全市招收d类考生面向全市招收acd类考生面向全市招收ac类考生面向全市招收d类考生面向全市招收acd类考生面向全市招收ac类考生面向全市招收d类考生面向全市招收acd类考 8310511北大附中深圳南山分校(国际课程实验班)8310512 深圳(南山)中加学校 10 4348310801 深圳市盐田高级中学(一) 4998310802 深圳市盐田高级中学(二)8310803 深圳市盐田高级中学(择校) 5428310601 宝安区宝安中学(一) 6168310602 宝安区宝安中学(二)8310620 宝安区宝安中学(择校) 6218310603 宝安区第一外国语学校(一) 529*8310604 宝安区第一外国语学校(二)8310621 宝安区第一外国语学校(择校) 573*8310605 宝安区新安中学(一) 5608310606 宝安区新安中学(二)8310622 宝安区新安中学(择校) 581*8310607 宝安区西乡中学(一) 506面向全市招收ac类考生面向全市招收d类考生面向全市招收acd类考生面向全市招收ac类考生面向全市招收d类考生面向全市招收acd类考生面向全市招收ac类考生面向全市招收d类考生面向全市招收acd类考生面向全市招收acd类考生面向全市招收acd类考生面向全市招收acd类考生面向全市招收acd类考生面向全市招收acd类考生面向全市招收acd类考8310608 宝安区西乡中学(二)8310623 宝安区西乡中学(择校) 5728310609 宝安区沙井中学(一) 4448310610 宝安区沙井中学(二)8310624 宝安区沙井中学(择校) 5368310611 宝安区松岗中学(本地班)(一) 5148310612 宝安区松岗中学(本地班)(二)8310625宝安区松岗中学(本地班)(择校)8310613 深圳清华实验学校(公办班) 1 545*8310614 深圳清华实验学校(民办班) 8 4358310615 深圳清华实验学校(国际班) 3 4008310616 深圳市石岩公学(公办班)8310626深圳市石岩公学(公办班)(择校)8310617 深圳市石岩公学(民办班) 8 421生面向全市招收acd类考生面向全市招收acd类考生面向全市招收ac类考生面向全市招收d类考生面向全市招收acd类考生面向全市招收ac类考生面向全市招收d类考生面向全市招收acd类考生面向全市招收ac类考生面向全市招收d类考生面向全市招收acd类考生面向全市招收ac类考生面向全市招收d类考生面向全市招收acd类考生面向全市招收ac类考生8310618 深圳东方英文书院 14 4008310619 深圳市富源学校 7 4148310701 龙岗区龙城高级中学(一) 5578310702 龙岗区龙城高级中学(二)8310727 龙岗区龙城高级中学(择校) 6148310703 龙岗区平冈中学(一) 4908310704 龙岗区平冈中学(二)8310728 龙岗区平冈中学(择校) 5868310705 龙岗区布吉高级中学(一) 457*8310706 龙岗区布吉高级中学(二)8310729 龙岗区布吉高级中学(择校) 540*8310707 龙岗区布吉中学(一) 424*8310708 龙岗区布吉中学(二)8310730 龙岗区布吉中学(择校) 527*8310709 龙岗区横岗高级中学(一) 14 441*8310710 龙岗区横岗高级中学(二) 556面向全市招收d类考生面向全市招收acd类考生面向全市招收ac类考生面向全市招收d类考生面向全市招收acd类考生面向全市招收ac类考生面向全市招收d类考生面向全市招收acd类考生面向全市招收acd类考生面向全市招收acd类考生面向全市招收ac类考生面向全市招收d类考生面向全市招收acd类考生面向全市招收ac类考生面向全市招收d类考生面向全市招收acd类考 8310731 龙岗区横岗高级中学(择校) 535*8310711 深圳市平湖外国语学校(一) 4288310712 深圳市平湖外国语学校(二)8310732 深圳市平湖外国语学校(择校) 532*8310713华中师范大学龙岗附属中学(一)华中师范大学龙岗附属中学(二)华中师范大学龙岗附属中学(择校)83107148310733 570*8310715 龙岗区东升学校 20 4008310716 龙岗区建文中学 20 4008310901 光明新区高级中学(一) 4698310902 光明新区高级中学(二)8310905 光明新区高级中学(择校) 5338310903 光明新区光明中学(一) 457*8310904 光明新区光明中学(二) 7 5528310906 光明新区光明中学(择校) 5328310201坪山高级中学(一)面向全市招收ac类考生面向全市招收d类考生面向全市招收acd类考生面向全市招收ac类考生面向全市招收d类考生面向全市招收acd类考生面向全市招收ac类考生面向全市招收d类考生面向全市招收acd类考生面向全市招收acd类考生面向全市招收acd类考8310202 坪山高级中学(二)8310203 坪山高级中学(择校) 5408311001 龙华新区龙华中学(一) 4548311002 龙华新区龙华中学(二)8311005 龙华新区龙华中学(择校) 5618311003 龙华新区观澜中学(一) 459*8311004 龙华新区观澜中学(二)8311006 龙华新区观澜中学(择校) 584*8310418 深圳市耀华实验学校(普高班) 2 4868310419深圳市耀华实验学校(国际课程实验班)注:a类指具有深圳户籍户口的考生;c类指享受市政府优惠政策人员的子女;d类指除a、c类考生外,符合参加统一划线录取条件的考生。
深圳市2015-2020年高中学校第一批录取标准(深户公办类)
深圳市2015-2020年高中学校第一批录取标准(民办类)
深圳市2015-2020年高中学校第一批录取标准(非深户公办类)
深圳户口:2020年中考最低公办高中录取线为354,平均分约75分。
最高分学校433分,平均分约为94.2分。
非深圳户口:2020年最低公办高中录取线为394,平均分约85.7分
深圳户口:以2020年为例2021年新中考的高中最低分数线约为457分。
最高分深圳中学约为575分。
非深圳户口:2021年新中考的最低公办高中分数约为523分
新中考分数分布如下:语文120分物理70分
数学100分化学50分
英语100分道德与法治50分
历史70分体育50分
总分数为610分满分。
2015-2020年中考第二批------技术学校类
备注:省一级公办普高录取的考生五科文化课单科等级均为C+以上(含C+),体育单科等级为C以上(含C)。
第一批录取学校中,省一级学校所录取的考生综合表现评价等级须在B以上(含B)
中考成绩相同的情况下,则按“同分比较原则”录取优先者,比较顺序如下:
(1)生物与地理(合卷)分数高的优先录取
(2)综合表现评价等级高的优先录取
(3)语、数、外三科总分高的优先录取。
深圳高中排名前三十名在选择高中的时候,好的高中可以给我们更好的学习环境,同时离大学也更近。
以下是深圳排名前30的高中名单。
1、深圳中学学校类型:公办2019年录取分数线:AC类439分,生物地理:99,D类439分,生物地理:90。
2、深圳实验学校学校类型:公办2019年录取分数线:AC类436分,生物地理:98,D类436分,生物地理:98。
3、深圳外国语学校学校类型:公办2019年录取分数线:AC类433分,生物地理:100,D类433分,生物地理:99。
4、深圳高级中学学校类型:公办2019年录取分数线:AC类432分,D类432分,生物地理:97。
5、红岭中学学校类型:公办2019年录取分数线:AC类428分,生物地理:99,D类429分,生物地理:95。
6、宝安中学学校类型:公办2019年录取分数线:AC类425分,生物地理:100,D类429分。
7、深大附中学校类型:公办2019年录取分数线:AC类424分,生物地理:97,D类425分,生物地理:94。
8、育才中学学校类型:公办2019年录取分数线:AC类423分,生物地理:92,D类424分,生物地理:99。
9、南山外国语学校(集团)高级中学学校类型:公办2019年录取分数线:AC类422分,生物地理:96,D类421分。
10、翠园中学学校类型:公办2019年录取分数线:AC类417分,生物地理:100,D类420分,生物地理:93。
11、深圳科学高中学校类型:公办2019年录取分数线:AC类419分,生物地理:94,D类421分,生物地理:95。
12、深圳第二高级中学学校类型:公办2019年录取分数线:AC类415分,生物地理:93,D类416分,生物地理:93。
13、北师大南山附属学校学校类型:公办2019年录取分数线:AC类411分,D类411分,生物地理:93。
14、深圳第二实验学校学校类型:公办2019年录取分数线:AC类413分,生物地理:96,D类415分,生物地理:93。
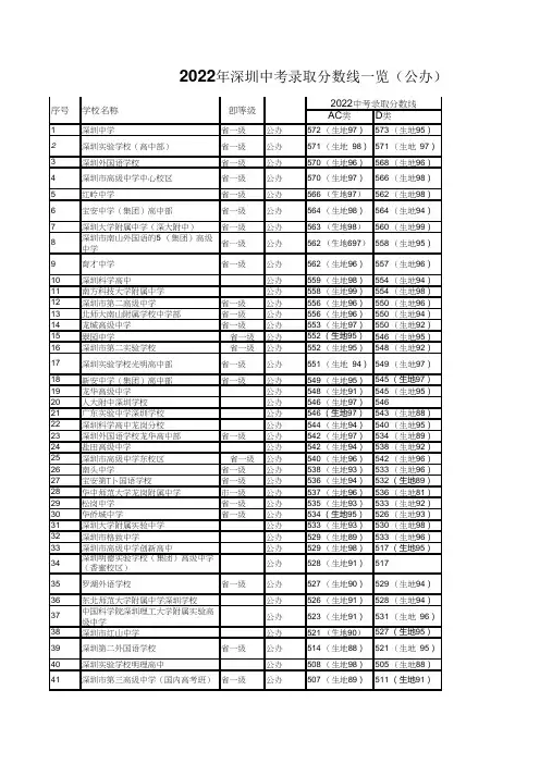
AC 类D 类1深圳中学省一级公办572 (生地97)573 (生地95)2深圳实验学校(高中部)省一级公办571 (生地 98)571 (生地 97)3深圳外国语学校省一级公办570 (生地96)568 (生地96)4深圳市高级中学中心校区省一级公办570 (生地97)566 (生地98)5红岭中学省一级公办566 (生地97)562 (生地98)6宝安中学(集团)高中部省一级公办564 (生地98)564 (生地94)7深圳大学附属中学(深大附中)省一级公办563 (生地98)560 (生地99)8深圳市南山外国语的5 (集团)高级中学省一级公办562 (生地697)558 (生地95)9育才中学省一级公办562 (生地96)557 (生地96)10深圳科学高中公办559 (生地98)554 (生地94)11南方科技大学附属中学公办558 (生地99)554 (生地98)12深圳市第二高级中学省一级公办556 (生地96)550 (生地96)13北师大南山附属学校中学部省一级公办556 (生地96)550 (生地94)14龙城高级中学省一级公办553 (生地97)550 (生地92)15翠园中学省一级公办552 (生地95)546 (生地95)16深圳市第二实验学校省一级公办552 (生地95)548 (生地92)17深圳实验学校光明高中部省一级公办551 (生地 94)549 (生地97)18新安中学(集团)高中部省一级公办549 (生地95)545 (生地97)19龙华高级中学公办548 (生地91)545 (生地95)20人大附中深圳学校公办546 (生地97)54621广东实验中学深圳学校公办546 (生地97)543 (生地88)22深圳科学高中龙岗分校公办544 (生地94)540 (生地95)23深圳外国语学校龙华高中部省一级公办542 (生地97)534 (生地89)24盐田高级中学公办542 (生地94)538 (生地92)25深圳市高级中学东校区省一级公办540 (生地96)542 (生地96)26南头中学省一级公办538 (生地93)533 (生地96)27宝安第T 卜国语学校省一级公办536 (生地94)532 (生地89)28华中师范大学龙岗附属中学市一级公办537 (生地96)536 (生地81)29松岗中学省一级公办535 (生地93)533 (生地92)30华侨城中学省一级公办534 (生地95)526 (生地93)31深圳大学附属实验中学公办533 (生地93)530 (生地98)32深圳市格致中学公办529 (生地89)533 (生地96)33深圳市高级中学创新高中公办529 (生地98)517 (生地95)34深圳明德实验学校(集团)高级中学(香蜜校区)公办528 (生地91)51735罗湖外语学校省一级公办527 (生地90)529 (生地94)36东北师范大学附属中学深圳学校公办526 (生地91)528 (生地94)37中国科学院深圳理工大学附属实验高级中学公办523 (生地91)531 (生地 96)38深圳市红山中学公办521 (生地90)527 (生地95)39深圳第二外国语学校省一级公办514 (生地88)521 (生地 95)40深圳实验学校明理高中公办508 (生地98)505 (生地88)41深圳市第三高级中学(国内高考班)省一级公办507 (生地89)511 (生地91)2022年深圳中考录取分数线一览(公办)2022中考录取分数线序号学校名称卽等级42深圳市高级中学理慧高中公办507 (生地93)512 (生地93)43福田中学省一级公办506510 (生地93)44深圳市龙津中学公办505 (生地94)522 (生地95)45福田区外国语高级中学省一级公办46深圳市石岩公学(公办班)省一级公办47深圳市第一职业技术学校(综合高中)公办48深圳市龙岗区实验高级中学公办495 (生地91)523 (生地96)49深圳市高级中学文博高中公办494 (生地84)513 (生地87)50罗湖高级中学省一级公办492 (生地79)508 (生地89)51深圳技术大学附属中学公办48951652西乡中学省一级公办488 (生地87)517 (生地85)53平冈中学省一级公办485 (生地94)522 (生地88)54深圳市盐港中学(综合高中)公办55深圳外国语学校弘知高中公办480 (生地89)502 (生地86)56深圳市燕川中学公办478516 (生地96)57光明区高级中学省一级公办476 (生地84)513 (生地84)58深圳市第七高级中学公办475 (生地85)508 (生地95)59观澜中学省一级公办472 (生地83)506 (生地94)60坪山高级中学省一级公办469 (生地85)506 (生地88)61深圳市福海中学公办466507 (生地84)62深圳市龙华外国语高级中学公办461 (生地 85)499 (生地93)63深圳外国语学校博雅高中公办461 (生地 96)488 (生地92)64深圳市聚龙科学中学公办458506 (生地97)65光明中学省一级公办457 (生地88)503 (生地94)66梅林中学省一级公办453 (生地83)499 (生地90)67布吉高级中学省一级公办452 (生地81)502 (生地86)68横岗高级中学省一级公办451 (生地91)503 (生地86)69深圳市第二高级中学深汕实验学校公办450 (生地75)504 (生地84)70沙井中学省一级公办449 (生地87)502 (生地84)71平湖外国语学校省一级公办449 (生地84)501 (生地 82)72龙华中学省一级公办447 (生地86)49673深圳市行知职业技术学校(综合高中)公办74深圳市艺术高中公办446 (生地80)496 (生地84)75布吉中学省一级公办442 (生地81)497 (生地92)76深圳明德实验学校(集团)高级中学(大鹏校区)公办438 (生地89)491 (生地91)77深圳市美术学校公办423500 (生地86)78深圳外国语学校致远高中公办399442 (生地87)79深圳实验学校崇文高中公办346477 (生地98)80深圳实验学校卓越高中公办345452 (生地82)81深圳市第三高级中学(国家留学基金委自费出国留学班)省一级公办345447 (生地83)485500 (生地95)497 (生地94)495 (生地93)AC 类D 类576 (生地96)578 (生地96)573 (生地97)573 (生地98)570 (生地98)569 (生地97)568 (生地100)570 (生地98)564 (生地97)566561 (生地 94)566560 (生地97)562 (生地95)558 (生地93)559 (生地95)557 (生地100)559 (生地94)553 (生地90)557 (生地97)546 (生地95)552 (生地95)548 (生地95)552 (生地94)542 (生地96)542 (生地92)539 (生地94)551 (±iffi94)545 (生地97)553 (生地96)540 (生地97)547531 (生地 95)546 (生地95)535 (生地98)545 (生地96)529 (生地87)538 (生地98)531 (生地97)544 (生地99)526 (生地91)536 (生地95)535 (生地99)535529 (生地92)537524 (生地95)538 (生地96)529 (生地97)540 (生地97)522 (生地89)537 (生地96)518535 (生地97)517536 (生地97)513 (生地89)535 (生地97)512 (生地94)528 (生地95)503526 (仙91)503 (生地76)530 (生地95)503 (生地83)522 (生地94)509 (生地97)531 (生地 98)485525 (生地93)496 (生地88)533 (生地99)496 (生地86)530 (生地91)503 (生地80)527 (生地98)497 (生地92)524 (生地89)(公办)2021中考录取分数线2022年开始招生2022年开始招生488 (生地92)521 (生地 95)494 (生地90)519 (生地93)512 (®t685)508 (生地92)2022年开始招生2022年开始招生479 (生地96)520 (生地91)484 (生地87)523 (生地89)494 (生地94)527 (生地98)485 (生地87)526 (生地93)2022年开始招生2022年开始招生2022年开始招生479 (生地96)524 (生地92)482 (生地84)522 (生地91)475 (生地86)521 (生地96)466 (生地85)518 (生地96)2022年开始招生2022年开始招生2022年开始招生2022年开始招生460 (生地83)515463 (生地91)513 (生地96)458 (生地87)515 (生地89)457 (生地87)515 (生地96)2022年开始招生456 (生地72)514 (生地90)454 (生地78)515 (生地84)453 (生地83)520 (生地91)2022年开始招生453 (生地86)511443507 (生地93)2022年开始招生500 (生地97)2022年开始招生2022年开始招生2022年开始招生371 (生地 76)。
2008-2011年深圳各中学中考录取分数线汇总学校2011201020092008深圳滨河中学505 515 520 521 详情深圳罗湖外语学校559 557 567 566 详情深圳明珠学校490 496 506 504 详情深圳菁华中英文实验中学452 465 473 485 详情深圳南头中学553 544 541 546 详情深圳育才中学594 581 580 592 详情深圳华侨城中学519 511 515 527 详情深圳北师大南山附属学校531 534 529 540 详情深圳南山外语学校578 568 564 566 详情北大附中深圳南山分校533 529 536 525 详情深圳中加学校473 471 / / 详情深圳宝安中学606 607 609 608 详情学校2011201020092008深圳宝安高级中学539 539 542 535 详情深圳中学659 657 654 669 详情深圳新安中学548 554 551 549 详情深圳实验学校553/664 559/666 详情深圳光明中学446 431 / / 详情深圳坪山高级中学451 446 / / 详情深圳西乡高级中学509 511 524 521 详情553/668555/669 深圳外国语学校 671 671 670 670 详情 深圳高级中学 636 636 634 641 详情 深大附中 604 600 598 594 详情 深圳第二实验学校563 562 / 541 详情 深圳第二高级中学 576 570 573 575 详情 深圳第二外国语学校 546 554 / / 详情 深圳第三高级中学 535 538 540 539 详情 深圳市红岭中学 617 616 614 618 详情 深圳福田中学 522 527 533 539 详情 深圳梅林中学 491502513517详情深圳福田外国语高级中学499 499 509 512 详情深圳福景外国语学校 477 484 472 / 详情 深圳沙头角中学 479 489 490 507 详情 深圳光明高级中学 486 400 412 400 详情 深圳翠园中学591588586591详情学校 2011 2010 2009 2008 深圳沙井中学 441 442 457 471 详情 深圳松岗中学 542 560 565 575 详情 深圳石岩公学 435 444 441 468 详情 深圳龙华中学 465 473 478 487 详情 深圳观澜中学 474 480 487 494 详情深圳富源学校454 428 426 418 详情深圳东方英文书院400 400 400 400 详情深圳清华实验学校464 451 666 / 详情深圳平冈中学499 503 510 513 详情深圳布吉中学400 411 442 442 详情深圳布吉高级中学425 441 466 474 详情深圳龙城高级中学540 545 550 550 详情深圳东升学校400 400 400 / 详情深圳龙岗区建文中学400 400 412 406 详情深圳第二高级技工学校416 434 434 400 详情深圳平湖外国语学校400 400 400 / 详情。