上海财经大学 数学分析 测试题 (大一)
- 格式:doc
- 大小:162.50 KB
- 文档页数:3
大一上数学分析期末考试题及答案一、选择题(每题3分,共30分)1. 极限的定义是:如果对于任意的正数ε,都存在正整数N,使得当n>N时,都有|a_n - A| < ε,则称序列{a_n}的极限为A。
A. 正确B. 错误答案:A2. 函数f(x)=x^2在区间(-∞, +∞)上是单调递增的。
A. 正确B. 错误答案:B3. 函数f(x)=x^3在区间(-∞, +∞)上是单调递增的。
A. 正确B. 错误答案:A4. 函数f(x)=sin(x)在区间[0, π]上是单调递增的。
A. 正确B. 错误答案:B5. 函数f(x)=x^2在区间[0, +∞)上是单调递增的。
A. 正确B. 错误答案:A6. 函数f(x)=x^3在区间(-∞, +∞)上是单调递增的。
A. 正确B. 错误答案:A7. 函数f(x)=e^x在区间(-∞, +∞)上是单调递增的。
A. 正确B. 错误答案:A8. 函数f(x)=ln(x)在区间(0, +∞)上是单调递增的。
A. 正确B. 错误答案:A9. 函数f(x)=1/x在区间(0, +∞)上是单调递减的。
A. 正确B. 错误答案:B10. 函数f(x)=x^2在区间(-∞, 0)上是单调递减的。
A. 正确B. 错误答案:A二、填空题(每题4分,共20分)11. 极限lim(x→0) (sin(x)/x) = ________。
答案:112. 极限lim(x→+∞) (1/x) = ________。
答案:013. 极限lim(x→0) (1 - cos(x))/x^2 = ________。
答案:1/214. 函数f(x)=x^3在x=0处的导数为 ________。
答案:015. 函数f(x)=e^x在x=0处的导数为 ________。
答案:1三、计算题(每题10分,共40分)16. 计算极限lim(x→0) (tan(x) - sin(x))/x^3。
解:利用洛必达法则,对分子分母分别求导三次,得到极限为1/2。
上海财经大学《高等数学》习题一及解答在学习高等数学课程的过程中,不可避免地会遇到各种各样的习题。
习题的目的是帮助学生巩固所学的内容,提高解题能力和应用能力。
本文将介绍上海财经大学《高等数学》课程中的习题一及解答,旨在帮助学生更好地理解和掌握相关知识。
一、习题一1. 计算下列极限:lim(x→∞) (2x^2 + 3x - 1) / (4x^2 - x + 1)lim(x→0) sin3x / sin2x2. 求函数f(x) = √(4x + 3) + √(x - 1) 的定义域和值域。
3. 设函数f(x) = √x,g(x) = x^2 + 1,求函数 h(x) = (f∘g)(x) 的表达式。
二、解答1. 对于第一题,我们可以将分子和分母都除以 x^2,得到:lim(x→∞) (2 + 3/x - 1/x^2) / (4 - 1/x + 1/x^2)当 x 趋向于正无穷时,分别以最高项的系数来比较三个项,得到极限为 2/4 = 1/2。
对于第二题,我们可以将 sin3x 和 sin2x 都展开为泰勒级数的形式,并截取最低阶的项,得到:lim(x→0) (3x - (1/6)x^3) / (2x - (1/6)x^3)当 x 趋向于 0 时,分别以最高项的系数来比较两个项,得到极限为3/2。
2. 对于函数f(x) = √(4x + 3) + √(x - 1),要使得函数有定义,需要满足以下两个条件:4x + 3 ≥ 0(根式内部不可小于0)x - 1 ≥ 0(根式内部不可小于0)解得x ≥ -3/4 和x ≥ 1。
因此,定义域为x ≥ 1。
对于值域,我们可以利用函数的图像进行分析。
函数f(x) = √(4x + 3) + √(x - 1) 是两个平方根函数之和,其中第一个平方根函数的图像为右移3/4单位,上移3单位的开口向上的抛物线;第二个平方根函数的图像为右移1单位,上移1单位的开口向上的抛物线。
《数学分析》考试题一、(满分10分,每小题2分)单项选择题:1、{n a }、{n b }和{n c }是三个数列,且存在N,∀ n>N 时有≤n a ≤n b n c ,则( )A. {n a }和{n b }都收敛时,{n c }收敛;B. {n a }和{n b }都发散时,{n c }发散;C. {n a }和{n b }都有界时,{n c }有界;D. {n b }有界时,{n a }和{n c }都有界;2、=)(x f ⎪⎪⎩⎪⎪⎨⎧>+=<,0 ,2.( ,0 ,0,,sin x x k x k x x kx 为常数)函数 )(x f 在 点00=x 必 ( )A.左连续;B. 右连续C. 连续D. 不连续 3、''f (0x )在点00=x 必 ( )A. x x f x x f x ∆-∆+→∆)()(lim 02020 ;B. '000)()(lim ⎪⎪⎭⎫ ⎝⎛∆-∆+→∆x x f x x f x ; C. '000)()(lim ⎪⎪⎭⎫ ⎝⎛∆-∆+→∆x x f x x f x ; D. x x f x x f x ∆-∆+→∆)()(lim 0'0'0 ; 4、设函数)(x f 在闭区间[b a ,]上连续,在开区间(b a ,)内可微,但≠)(a f )(b f 。
则 ( )A. ∈∃ξ(b a ,),使0)('=ξf ;B. ∈∃ξ(b a ,),使0)('≠ξf ;C. ∈∀x (b a ,),使0)('≠x f ;D.当)(b f >)(a f 时,对∈∀x (b a ,),有)('x f >0 ;5、设在区间Ⅰ上有⎰+=c x F dx x f )()(, ⎰+=c x G dx x g )()(。
则在Ⅰ上有( )A. ⎰=)()()()(x G x F dx x g x f ;B. c x G x F dx x g x f +=⎰)()()()( ;C. ⎰+=+c x G x F dx x F x g dx x G x f )()()]()()()([ ;D. c x G x F dx x G x g dx x F x f +=+⎰)()()]()()()([ ;二、(满分15分,每小题3分)填空题 :6、121323lim -+∞→⎪⎭⎫ ⎝⎛-+x x x x = ; 7、)sgn(cos )(x x f =。
上海财经大学数学分析1 上海财经大学数学分析:探讨数学的普遍知识上海财经大学的数学分析课程以及研究视角旨在详细讨论和探讨基础数学理论与知识之间的关联性。
它旨在建立学习者对数学这门学科的基本了解,培养学生逻辑思维系统,学习他们如何仔细思考、解决问题,以及理解数学方法的应用。
上海财经大学的数学分析课程着重从推理的角度出发,旨在以系统的方法将数学的语言、技巧与概念等各个元素连接起来,以达到解决数学问题的目的。
因此,本课程的重点是在学习的过程中大量使用推理技巧,熟练掌握数学概念和表达方式,制定出实用而严谨的方法,从而获得更高水平的数学基础。
数学分析课程还需要学生使用数学方法,深入了解数学知识和规律。
通过引导学生把数学思维运用到问题解决中,从而使学生熟悉和掌握手册计算、数据分析、数学模型解析等数学解决方法。
学生在学习中灵活应用数学知识,系统认知各种数学技能,也能够在学习中发现更多有趣关于数学概念的发现,同时丰富自己的学习经验,这也是数学分析课程带给学习者的更多收获之一。
2 上海财经大学数学分析课程著重实践上海财经大学的数学分析课程,倡导实践思维,重视实际应用。
教师在教学中以增强学习者的实践技能为核心,以落实学习的质量和实践的有效技能为工作目标,以独立课后工作为场景,使学生在实践中学习、学以致用,逐步形成对数学问题的完整的解决能力。
此外,教师通过课堂教学、现场作业、小组研究等活动,在学生完成本阶段数学课程目标的基础上,让学生更深入地思考数学知识,熟悉数学概念,并尝试用数学工具观察和解释现象。
学生在作业中学会提出问题、应用解题技巧,练习验证数学理论,加强数学知识综合把握能力,形成数学思维惯性。
这种在课堂中进行教学,但又能实现多种学习方式的学习体系,既可以教众的学习者,又可以进一步提升个人的数学能力。
可以说,上海财经大学的数学分析课程通过引导学生理解和掌握基础数学理论和知识,培养学习者系统梳理数学知识,尝试灵活运用数学方法以及实践思维,实现更好的数学学习,是学习数学的最佳方式。
诚实考试吾心不虚 ,公平竞争方显实力, 考试失败尚有机会 ,考试舞弊前功尽弃。
上海财经大学《时间序列分析》课程考试卷课程代码 课程序号20 —20 学年第一学期姓名 学号 班级一、填空题(每小题2分,共计20分)1. 设时间序列{}t X ,当__________________________序列{}t X 为严平稳。
2. AR(p)模型为_____________________________,其中自回归参数为______________。
3. ARMA(p,q)模型_________________________________,其中模型参数为____________________。
4. 设时间序列{}t X ,则其一阶差分为_________________________。
5. 一阶自回归模型AR(1)所对应的特征方程为_______________________。
6. 对于一阶自回归模型AR(1),其特征根为_________,平稳域是_______________________。
7. 对于一阶自回归模型MA(1),其自相关函数为______________________。
8. 对于二阶自回归模型AR(2):1122t t t t X X X φφε--=++,其模型所满足的Yule-Walker方程是___________________________。
9. 设时间序列{}t X 为来自ARMA(p,q)模型:1111t t p tp t t q t q X X Xφφεθεθε----=++++++L L ,则预测方差为___________________。
10. 设时间序列{}t X 为来自GARCH(p, q)模型,则其模型结构可写为_____________。
二、(20分)设{}t X 是二阶移动平均模型MA(2),即满足t t t-2X εθε=+,其中{}t ε是白噪声序列,并且()()2t 0,t E Var εεσ==……………………………………………………………装订线…………………………………………………2(1) 当1θ=0.8时,试求{}t X 的自协方差函数和自相关函数。
1. 计算下列对弧长的曲线积分 1)⎰+Lds y x )(,其中L 为连接(1,0)及(0,1)两点的直线段;[解] 连接(1,0)及(0,1)两点的直线段方程为1,01x y x =-≤≤,于是⎰+Lds y x )(2101[(1')]y x x dx ++=-⎰201(1)2dx =+-=⎰2)⎰Lxds ,其中L 为由直线y x =及抛物线2y x =所围成的区域的整个边界; [解] 直线y x =与抛物线2y x =的交点为(0,0), (1,1). 设1L 为直线y x =从(1,1)到(0,0)一段, 2L 为抛物线2y x =从(0,0)到(1,1)一段, 于是12L L Lxds xds xds=+⎰⎰⎰112201114dx x dx=+++⎰⎰21=+51)212. 3)⎰+Ly x ds e22 , 其中L 为圆周222 x y a +=, 直线y x =及x 轴在第一象限所围成的扇形的整个边界;[解] L 由线段:0(0)a OA y x ≤≤=, 圆弧:AB cos ,sin (0)2t y a t x a t π=≤≤=和线段:OB y x = (02)x π≤≤组成.221ax y x a OAe dx e +==-⎰⎰;222240()()sin cos x y ABee a a d t tt π+=-+⎰⎰404a a ae dt ae ππ==⎰;2222211x y xOBeedx +=+⎰1a e =-,于是上海财经大学《高等数学》习题十及解答2242412a a a x y a Leds e a e a a e e ππ+⎛⎫=-++-=+- ⎪⎝⎭⎰. 4)⎰++L ds zy x 2221, 其中L 为曲线cos ,sin ,t t tx e t y e t z e ===上相应于t 从0变到2的这段弧; [解] 因ds ==t dt =,所以⎰++L ds zy x 22212202222cos sin 1t t t t dt e t e t e =++⎰202t e dt -=⎰2(1)2e -=-. 5)⎰Lds y2, 其中L 为摆线的一拱()()sin 1cos (02)x a t t y a t t π=-=-≤≤,;[解] 因为ds ===,所以22202(1)cos Ly ds a t π=-⎰⎰52230c (os 1)t dt π=-⎰325220sin 22t dt π⎛⎫= ⎪⎝⎭⎰ 3205si 216n u a udu t π=⎰3423233a =⋅⋅325615a =.6)⎰+Lds y z 222, 其中L 为2222 x y z a ++=与x y =相交的圆周;[解] 因为在曲线L 上的点满足2222y z a +=,而且2222x y z a ++=与x y =相交的圆周L 的周长为2a π,所以⎰+Lds y z 222Lads =⎰22a π=.2.计算下列对坐标的曲线积分:1)⎰+Lxdy ydx , 其中L 是圆周cos sin x R t y R t ==,上对应t 从0到/2π的一段弧;[解] 20sin (sin )cos co [s ]Lt R t R ydx xd R t t d R y t π⋅-+⋅+=⎰⎰202cos 20td Rt π==⎰.2)⎰+--+Ly x dy y x dx y x 22)()( , 其中L 是圆周()2220x y a a +=> (按逆时针方向绕行); [解] L 的参数方程为cos x t a =, sin y t a =, t 从0变到2π. 于是⎰+--+Ly x dy y x dx y x 22)()(221[(cos sin )(sin )(cos sin )cos ]a t t a t a t t a t dt a π+⋅---⋅=⎰2221()2a dt a ππ=-=-⎰.3)⎰-+Lydz zdy dx x 2,其中L 是曲线cos sin x kt ya t y a t ==,,上对应的t 从0到π的一段弧; [解]222co []s (sin )cos (cos )x dx zd t t a t a y ydz k k a d t a t t πΓ⋅-+-=⋅⋅+-⎰⎰2203()k t a dt π=-⎰33213k a ππ=-. 4)⎰-+++Ldz y x ydy xdx )1( ,其中L 是从点(1,1,1)到点(234),,的一段直线; [解] 直线L 的参数方程为:1x t =+,12y t =+,13z t =+,t 从0变到1. 于是⎰-+++Ldz y x ydy xdx )1(1[(1)1(12)2(1121)3]t t t t dt =+⋅++⋅++++-⋅⎰1(614)t dt =+⎰13=.5)⎰---L dy xy y dx xy x)2()2(22, 其中L 是抛物线2y x =上从点(11)-,到点(11),的一段弧;[解]⎰---L dy xy y dx xy x)2()2(22112242(2)(2)2x x x x x x x dx -⎡⎤=-⋅+-⋅⋅⎣⎦⎰ 421531(242)x x x x dx -=--+⎰104211442()5x x dx =-+=-⎰.6) ⎰Lxyzdz , 其中L :2221x y z ++=与y x =相交的圆,其方向按曲线依次经过1,2,7,8卦限.[解] 曲线L 可表示为:11cos ,cos ,sin 22t t z t x y ===(02t π≤≤), 于是 201122cos cos sin cos Lxyzdz t t t tdt π⋅⋅⎡⎤=⋅⎢⎥⎣⎦⎰⎰ 230(1cos co 2)s t td π=--⎰4201cos 8|t π=-0=. 3. 计算:(1)⎰++-Ldy y x dx x xy ,)()2(22其中L 分别是由抛物线2y x =和2y x =所围成的区域的正向边界曲线,即该区域在该方向的左边.解法一 先按曲线积分的计算公式直接计算. 记21:L y x =, x 从0变到1; 2:L x y =, y 从1变到0. 于是22(2)()Lxy x dx x y dy -++⎰ 122222(2)()(2)()L L xy x dx x y dy xy x dx x y dy =-+++-++⎰⎰1324342201[(2)()2][(2)2()]x x x x x dx y y y y y dy =-++⋅+-⋅++⎰⎰532542101(22)(242)x x x dx y y y dy =+++-++⎰⎰717615=-130=. 解法二 应用格林公式计算. 令22P xy x =-, 2Q x y =+,2P x y ∂=∂, 2Q x y∂=∂, 于是 22(2)()L xy x dx x y dy -++⎰D Q P dxdy x y ⎛⎫∂∂=- ⎪∂∂⎝⎭⎰⎰ (12)Dx dxdy =-⎰⎰210(12)x xx dx dy =-⎰⎰21(12)()x x x dx =--⎰13122230(22)x x x x dx =--+⎰130=. (2)⎰-+-Ldy xy y dx xy x)2()(232,其中L 分别是四个顶点分别为(0,0)、(2,0)、(2,2)和(0,2)的正方形区域的正向边界.解法一 L 由有向线段OA 、AB 、BC 和CO 组成.322228()(2)3OA x xy dx y xy dy x dx -+-==⎰⎰;2232028()(2)(4)83AB x xy dx y xy dy y y dy -+-=-=-⎰⎰; 0222238()(2)(8)163BC x xy dx y xy dy x x dx -+-=-=-⎰⎰;2023228()(2)3CO x xy dx y xy dy y dy -+-==-⎰⎰,于是⎰-+-Ldy xy y dx xy x )2()(23288888163333⎛⎫⎛⎫⎛⎫=+-+-+- ⎪ ⎪ ⎪⎝⎭⎝⎭⎝⎭8=. 解法二 应用格林公式计算. 令232(,),(,)2P x y x Q x y xy y xy =-=-, 显然,22,3Q Py xy x y∂∂=-=-∂∂, 因此有⎰-+-Ldy xy y dx xy x )2()(232D Q P dxdy x y ⎛⎫∂∂=- ⎪∂∂⎝⎭⎰⎰ 2(23)Dy xy dxdy =-+⎰⎰222(23)dx y xy dy =-+⎰⎰2(84)x dx =-⎰8=.4. 计算曲线积分⎰+-L y x xdy ydx )(222,其中L 为圆周()2212,x y L -+=的方向为逆时针方向. [解] 在L 所围的区域内的点(0,0)处, 函数(,)P x y 、(,)Q x y 均无意义. 现取r 为适当小的正数, 使圆周l (取逆时针向): cos x t r =, sin y t r =(t 从0变到2π)位于L 所围的区域内,则在由L 和l -所围成的复连通区域D 上,可应用格林公式,在D 上,22222()Q x y P x x y y∂-∂==∂+∂, 于是由格林公式得⎰+-L y x xdyydx )(2222202()D l ydx xdy Q P dxdy x y x y -⎛⎫-∂∂+=-= ⎪+∂∂⎝⎭⎰⎰⎰, 从而22222()2()Llydx xdyydx xdy x y x y --=++⎰⎰2202222sin co 2s r t r t dt r π--=⎰2012dt ππ=-=-⎰.5. 证明下列曲线积分在xOy 平面上与路径无关,并计算积分值.1)⎰-++)2,2()1,1(;)()(dy y x dx y x2)⎰-+-)4,3()2,1(2232;)36()6(dy xy y x dx y xy 3)⎰-++-)1,2()0,1(324.)4()32(dy xy x dx yxy[解] 1)1=∂∂=∂∂xQ y P ,积分与路径无关.⎰-++)2,2()1,1()()(dy y x dx y x =⎰212xdx =3.2)2312y xy xQ y P -=∂∂=∂∂,积分与路径无关.⎰-+-)4,3()2,1(2232)36()6(dy xy y x dx y xy =⎰⎰-+-31422)954()824(dy y y dx x =236. 3)342y x xQy P -=∂∂=∂∂,积分与路径无关.⎰-++-)1,2()0,1(324)4()32(dy xy x dx y xy =⎰⎰-+1321)84(3dy y dx =5. 6. 计算曲面积分⎰⎰∑+dS y x )(22, 其中∑分别为如下: 1) 抛物面22y x z +=及平面1=z 所围成的区域的整个边界; 2) 锥面()2223yx z +=被平面0z =和平面3z =所截得的部分.[解] 1) ∑由1∑和2∑组成,其中1∑为平面1=z 上被圆周221+=x y 所围的部分;2∑为抛物面22y x z +=(01)≤≤z . 在1∑上,=dS dxdy ; 在2∑上,==dS .⎰⎰∑+dS y x)(22=2222222211(()+≤+≤+++⎰⎰⎰⎰y x y x x y x y dxdy=⎰⎰⎰⎰++12201222041rdr r d rdr r r d ππθθ=⎪⎪⎭⎫⎝⎛+151535425π;2)由题设,∑的方程为=z ,因此=dS= 2=dxdy . 又由()2223yx z +=和3=z 消去z 得223+=xy , 故∑在xOy 面上的投影区域xy D 为223≤+x y , 于是⎰⎰∑+dS y x )(2222=()2+⋅⎰⎰xyD x ydxdy 230=2πθ⎰d dr (极坐标变换)9π=.7. 计算下列对面积的曲面积分:1) ⎰⎰∑++dS y x z )342(, 其中∑为平面1432=++zy x 在第一卦限中的部分; 2)⎰⎰∑+--dS z x x xy )22(2, 其中Σ为平面132=++z y x 在第一卦限中的部分; [解] 1) 在∑上,2344z x y =--. ∑在xOy 面上的投影区域xy D 为x 轴、y 轴和直线123x y+=围成的三角形闭区域. 因此⎰⎰∑++dS y x z )342(4442233xy D x y x y ⎡⎛⎫=--++ ⎪⎢⎝⎭⎣⎰⎰433xyxyD Ddxdy dxdy =⋅=⋅⎰⎰⎰⎰1232⎛⎫=⋅⋅= ⎪⎝⎭. 2) 在∑上,123z x y =--. ∑在xOy 面上的投影区域为由x 轴、y 轴和直线231x y +=所围成的三角形闭区域. 因此⎰⎰∑+--dS z x xxy )22(2222[22(123)]1(2)(3)xyD xy x x x y dxdy =--+--+-+-⎰⎰214(22133)Dzxy x x y dxdy =⋅-+--⎰⎰11(12)2302014(13223)x dx x x xy y dxdy -=⋅--+-⎰⎰()()12222011114(132)(12)1212396x x x x x x dx ⎡⎤=⋅---+---⎢⎥⎣⎦⎰14108=.8. 计算下列对坐标的曲面积分:1)ydxdz xdydz zdxdy ++⎰⎰∑, 其中Σ为柱面122=+y x被平面z=0和z=3所截得在第一卦限中的部分的前侧;[解] 由于柱面122=+y x 在xOy 面上的投影为零,因此0zdxdy ∑=⎰⎰. 又{(,)|01,03}xy y z y z D ≤≤≤≤=, {(,)|01,03}zx x z x z D ≤≤≤≤=, 如图. 因∑取前侧,所以ydxdz xdydz zdxdy ++⎰⎰∑xdydz ydzdx ∑∑=+⎰⎰⎰⎰2211yzzxD D y dydz x dzdx =-+-⎰⎰⎰⎰313120211dz y dy dz x dx =-+-⎰⎰⎰⎰21arcsin 123122y y y ⎡⎤=⋅-+⎢⎥⎣⎦ 32π=. 2) ⎰⎰∑++yzdxdz yxdydz xzdxdy ,其中Σ为1,0,0,0=++===z y x z y x 所围成的空间区域的整个边界曲面的外侧.[解] 在坐标面0x =、0y =和0z =上,积分值均为零,因此只需计算在':1x y z ∑++=(取上侧)上的积分值, 如图所示.'(1)xyD xzdxdy x x y dxdy ∑=--⎰⎰⎰⎰110(1)xxdx x y dy -=--⎰⎰124=. 由被积函数和积分曲面关于积分变量的对称性,可得 '''124xydydz yzdzdx xzdxdy ∑∑∑===⎰⎰⎰⎰⎰⎰, 因此113248xzdydz yxdxdz yzdxdy ∑++=⋅=⎰⎰.9. 计算下列对坐标的曲面积分:1)⎰⎰∑++dxdy z dxdz y dydz x 222, 其中Σ为平面0,0,0===z y x ,a z a y a x ===,,所围成的空间 区域的整个边界曲面的外侧; 2)⎰⎰∑++-+dxdy z y xy dzdx z y x dydz xz)2()(222, 其中Σ为上半球体222a y x ≤+,0z ≤,2222z a x y ≤--的表面外侧.3)⎰⎰∑++zdxdy ydxdz xdydz , 其中Σ为介于0=z 与3=z 之间的圆柱体922≤+y x 的整个表面的外侧. [解] 1) 令()2,,P x y z x =, ()2,,Q x y z y =, ()2,,R x y z z =, 应用高斯公式可得⎰⎰∑++dxdy z dxdz y dydz x 222P Q R dxdydz x y z Ω⎛⎫∂∂∂=++ ⎪∂∂∂⎝⎭⎰⎰⎰ 2()x y z dxdydz Ω=++⎰⎰⎰6zdxdydz Ω=⎰⎰⎰(应用对称性)6aa adx dy zdz =⎰⎰⎰24632a a a a =⋅⋅⋅=. 2)⎰⎰∑++-+dxdy z y xy dzdx z y x dydz xz)2()(222()222z x y dxdydz Ω=++⎰⎰⎰22202sin ad d r dr r ππθϕϕ=⋅⎰⎰⎰(球面坐标)5521552a a ππ⋅⋅==. 3)⎰⎰∑++zdxdy ydxdz xdydz (111)dxdydz Ω=++⎰⎰⎰3dxdydz Ω=⎰⎰⎰233381ππ=⋅⋅=⋅.10.求散度及旋度1) ()()()k xy z j xz y i yz x A +++++=222; 2) ()()k xz j xy i e A xy 2cos cos ++=; 3) k xz j xy i y A ++=2.[解] 1)令2P x yz =+, 2Q y xz =+, 2R z xy =+,因此 div 222P Q R A x y z x y z∂∂∂=++=++∂∂∂. rot 222ij kij k A x y z x y z P QR x yzy xzz xy∂∂∂∂∂∂==∂∂∂∂∂∂+++0=. 2)div A =2sin()2sin()xyye x xy xz xz --,rot A =k xe xy y j xz z i xy)sin ()))sin((0()00(22--+--+-=k xe xy y j xz z xy)sin ()sin(22+-.3)div A =x x ++0=x 2,rot A =k y y j z i )2()0()00(-+-+-=k y j z--.11. 利用Gauss 公式计算下列曲面积分: (1)222x dydz y dzdx z dxdy ∑++⎰⎰,其中∑为平面0x =,0y =,0z =,x a =,y a =,z a =所围的立体的表面的外侧. (2)⎰⎰∑++-+dxdy z y xy dzdx z y x dydz xz)2()(2322,其中∑为上半球体222x y a +≤,0z ≤≤.(3)⎰⎰∑++xydxdy zxdzdx yzdydz ,其中∑是单位球面2221x y z ++=的外侧. (4)⎰⎰∑++dxdy z dzdx y dydz x 222,其中∑是锥面222x y z +=与平面z h =所围成的空间区域(0)z h ≤≤的表 面, 方向取外侧.[解] (1) (2)同第9大题中的1)2)两小题,故解答略去. 3)⎰⎰∑++xydxdy zxdzdx yzdydz =⎰⎰⎰Ω++dv )000(=0.4) ⎰⎰∑++dxdy z dzdx y dydz x 222=⎰⎰⎰Ω++dv z y x )222(=π24h . 12. 利用Gauss 公式计算椭球面2222221x y z a b c++=所围区域的体积. [解] 由Gauss 公式可得V =⎰⎰⎰Ω++dv )111(31=⎰⎰∑++zdxdy ydzdx xdydz 31, 又 ⎰⎰∑zdxdy =⎰⎰∑'--dxdy b y a x c 222212=dr r r abc d ⎰⎰⋅-1022012πθ=πabc 34. 由对称性可知⎰⎰∑xdydz =⎰⎰∑ydzdx =⎰⎰∑zdxdy =πabc 34. 于是V =⎰⎰∑++zdxdy ydzdx xdydz 31=πabc 34. 13. 设某种流体的速度为v xi y j zk =++, 求单位时间内流体流过曲面22:y x z ∑=+2(0)y h ≤≤的流量, 其中∑取左侧.[解] 所求的流量为 xdydz ydzdx zdxdy ∑Φ=++⎰⎰ =⎰⎰⎰Ω++dv )111(22203y h x z dydxdz +≤=⎰⎰⎰ =203h ydy π⎰=432h π.14. 应用Stokes 公式计算下列积分: (1) ⎰-+-++Ldz x y dy z x dx z y )()()2( 其中∑为平面1x y z ++=与各坐标面的交线, 取逆时针方向为正向. (2) ⎰-+-+-Ldz x y dy z x dx y z )()()(. 其中L 为以(,0,0)A a ,(0,,0)B a ,(0,0,)C a 为顶点的三角形沿ABCA 的方向.(3) ⎰Γ++zdz dy dx y x 32, 其中L 为圆: 2220x y a z ⎧+=⎨=⎩,且从z 轴正向看去取逆时针方向. (4) ⎰Γ-+xydz zxdy yzdx 3 其中L 是曲线224310x y y y z ⎧+=⎨-+=⎩,且从z 轴正向看去取逆时针方向.[解] (1) ⎰-+-++L dz x y dy z x dx z y )()()2(=⎰⎰∑-++++dxdy dxdz dydz )21()11()11(=⎰⎰⎰⎰⎰⎰∑∑∑-+zy x dxdy dxdz dydz 22=2315. 证明沿曲线AB 的曲线积分223(3)(4)2AB x y z dx x y dy xzdz -++-++⎰与积分路径无关, 只与起点A 和终点B 有关. 并求原函数. [证明] 令223P x y z =-+, 34Q x y =-+, 2R xz =. 因为 1-=∂∂=∂∂x Q y P ,0=∂∂=∂∂y R z Q ,z zP x R 2=∂∂=∂∂, 所以曲线积分223(3)(4)2AB x y z dx x y dy xzdz -++-++⎰与积分路径无关.原函数为:),,(z y x u =c y xz xy x +++-42316.计算222()()()L x yz dx y xz dy z xy dz -+-+-⎰. 其中L 为由点(,0,0)A a 至点(,0,)B a h 的螺线cos x a ϕ=,sin y a ϕ=,2h z ϕπ=(02ϕπ≤≤). [解] 令2P x yz =-, 2Q y xz =-, 2R z xy =-. 因为z x Q y P -=∂∂=∂∂,x y R z Q -=∂∂=∂∂,y zP x R -=∂∂=∂∂,所以曲线积分222()()()L x yz dx y xz dy z xy dz -+-+-⎰与积分路径无关. 一次,积分路径取点(,0,0)A a 至点(,0,)B a h 的直线段,于是可得222()()()L x yz dx y xz dy z xy dz -+-+-⎰=⎰-hdz z 02)0(=331h .。
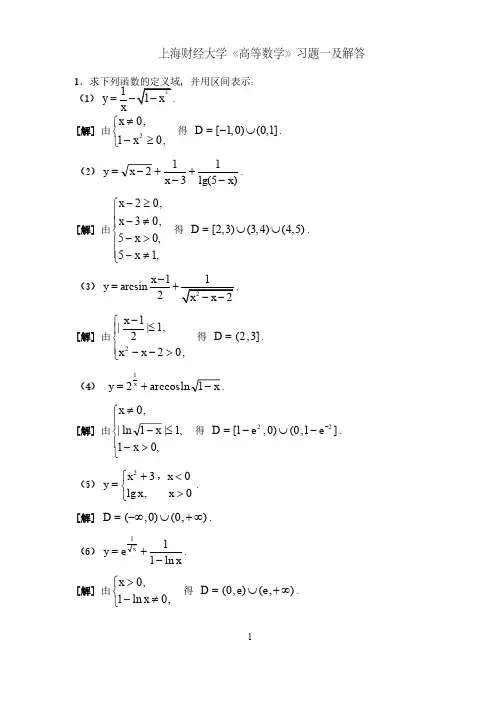
11(1)1y x =[解] 由⎩⎨⎧≥-≠,01,02x x 得 =D [1,0)(0,1]-⋃. (2))5lg(1312x x x y -+-+-=. [解] 由⎪⎪⎩⎪⎪⎨⎧≠->-≠-≥-,15,05,03,02x x x x 得 =D [2,3)(3,4)(4,5)⋃⋃.(3)1arcsin2x y -=.[解] 由⎪⎩⎪⎨⎧>--≤-,02,1|21|2x x x 得 =D ]3,2(.(4) x y x-+=1ln arccos 21.[解] 由⎪⎩⎪⎨⎧>-≤-≠,01,1|1ln |,0x x x 得 =D ]1,0()0,1[22--⋃-e e .(5)⎩⎨⎧><+=0,lg 032x x x x y ,.[解] =D ),0()0,(∞+⋃-∞.(6)xey xln 111-+=.[解] 由⎩⎨⎧≠->,0ln 1,0x x 得 =D ),(),0(∞+⋃e e .上海财经大学《高等数学》习题一及解答22.已知)(x f y =的定义域是]1,0[,求下列函数的定义域: (1))4(-x f .[解] 因为)(x f , 10≤≤x ,故)4(-x f , 140≤-≤x ,得54≤≤x ,即 =D [4,5].(2))(lg x f .[解] 因为)(x f , 10≤≤x ,故)(lg x f , 1lg 0≤≤x ,得101≤≤x ,即 =D [1,10].(3))(sin x f .[解] 因为)(x f , 10≤≤x ,故)(sin x f , 1sin 0≤≤x ,得ππ)12(2+≤≤k x k ,( ,2,1,0±±=k ), 即 =D [2,(21)](0,1,2,)k k k ππ+=±±.3. (1)设x x x f +-=11)(,求)1(+x f 与)1(x f . [解] 2)1(1)1(1)1(+-=+++-=+x xx x x f ; 111111)1(+-=+-=x x xx xf . (2)设221)1(x x x x f +=+, 求)1(-x f . [解] 由于2)1()1(2-+=+xx x x f , 故122)1()1(22--=--=-x x x x f . (3)设421)1(xx x x f +=-,求)(x f . [解] 由于2)1(111)1(222+-=+=-xx x xxx f , 故21)(2+=x x f .(4)设222(1)ln 2x f x x -=-,且[()]ln f x x ϕ=,求)(x ϕ.3[解] 由于1)1(1)1(ln )1(222---+=-x x x f , 得x x x x f ln 1)(1)(ln )]([=+-=ϕϕϕ,故11)(-+=x x x ϕ. 4.讨论下列函数的奇偶性:(1)x xxx f cos sin )(+=. [解] 由于)cos()sin()(x x x x f -+--=-)(cos sin x f x xx=+=, 故)(x f 为偶函数.(2)x x x x f tan 1)(2+-=.[解] 由于)tan(1)()(2x x x x f -+---=-)(tan 12x f x x x -=---=, 故)(x f 为奇函数.(3))1()(x x x f -=.[解] 由于)()1()](1[)(x f x x x x x f ≠+-=---=-,)()(x f x f -≠-, 故)(x f 为非奇非偶函数.(4) )1ln()(2x x x f -+=.[解] 由于=--+-=-)](1)(ln[)(2x x x f =++)1ln(2x x xx -+11ln2)()1ln(2x f x x -=-+-=,故)(x f 为奇函数.5.已知)(x f 是以2为周期的周期函数,且在]2,0[上有2)(x x f =,求)(x f 在]6,0[ 上的表达式.[解] 由于)4()2()(+=+=x f x f x f ,所以)()2()4(x f x f x f =-=-, 当]2,0[∈x 时,]4,2[2∈-x ,]6,4[4∈-x ;故 ⎪⎩⎪⎨⎧≤<-≤<-≤≤=64,)4(42,)2(20,)(222x x x x x x x f .46. 求下列函数的反函数: (1)x y -=9.[解] 由于x y -=9,得29y x -=,故反函数为)0(,92≥-=x x y .(2)122+=x xy .[解] 由于122+=x x y ,得y y x -=12,即y y x -=1log 2,故反函数为x xy -=1log 2.(3)⎩⎨⎧-=21xx y ,)0()0(≥<x x . [解] 由0<x 时,1-=x y ,得1+=y x ,即1+=x y , 由0≥x 时,2x y =,得y x =,即x y =,故反函数为⎩⎨⎧≥-<+=0,1,1)(x x x x x f .(4)2xx e e y --=.[解] 由于2x x e e y --=,得012)(2=--x x ye e ,即12+±=y y e x (负值舍去),故反函数为)1ln(2++=x x y .7. 指出下列各函数是由哪些基本初等函数复合而成: (1)x y 2sin ln =.[解] x y 2sin ln =,由u y ln =,及2v u =,和x v sin =复合而成.(2)xy cos 5=.[解] xy cos5=,由uy 5=,及v u cos =,和x v =复合而成.(3)xe y 1arctan =.[解] xe y 1arctan =,由u y arctan =,及ve u =,和xv 1=复合而成.5(4)x y ln cos 2=.[解] x y ln cos 2=,由2u y =,及v u cos =,和x v ln =复合而成.8.(1)设⎪⎩⎪⎨⎧≥+<-=1||,11||,1)(22x x x x x f ,求))((x f f .[解] 由于⎪⎩⎪⎨⎧≥+<-=1|)(|,1)]([1|)(|,)]([1))((22x f x f x f x f x f f ,当1||0<<x 时,11|)(|2<-=x x f ,||]1[1)]([1))((222x x x f x f f =--=-=,当1||=x 时,2)(=x f ,51)]([))((2=+=x f x f f 当0=x 时,1)(=x f ,21)]([))((2=+=x f x f f , 当1||>x 时,11|)(|2>+=x x f ,221)1(1)]([))((24222++=++=+=x x x x f x f f ,所以⎪⎩⎪⎨⎧≥++=<<=1||,220,21||0,||))((24x x x x x x x f f .(2)设⎩⎨⎧≥<+=0,10,1)(x x x x f ,求))((x f f . [解] 由于⎩⎨⎧≥<+=0)(,10)(,)(1))((x f x f x f x f f ,当1-<x 时,01)(<+=x x f , x x f x f f +=+=2)(1))((, 当01<≤-x 时,01)(≥+=x x f , 1))((=x f f , 当0≥x 时,01)(>=x f ,1))((=x f f , 所以⎩⎨⎧-≥-<+=1,11,2))((x x x x f f .6(3)设2||)(x x x f +=,⎩⎨⎧≥<=0,0,)(2x x x x x g ,求))((x g f . [解] 由于2|)(|)())((x g x g x g f +=,当0<x 时,0)(<=x x g , 02))((=-=xx x g f , 当0≥x 时,0)(2≥=x x g ,2222))((x x x x g f =+=,所以⎩⎨⎧≥<=0,0,0))((2x x x x g f .9. 分别讨论函数)sin lg(x a y -=,当 2=a , 21=a , 2-=a 时 ,是否为复 合函数?如果是复合函数,写出它的定义域. [解] 由于u y lg =,其定义域 ),0(+∞=y D ;当2=a 时,函数x a u sin -=的值域 ]3,1[=u f ,Φ≠⋂u y f D , 故)sin 2lg(x y -=是复合函数, 由0sin 2>-x ,得定义域),(∞+-∞;当21=a 时,函数x a u sin -=的值域 ]23,21[-=u f ,Φ≠⋂u y f D ,)sin 21lg(x y -=是复合函数,由0sin 21>-x ,得定义域)62,22[ππππ+-k k ,)(Z k ∈; 当2-=a 时,函数x a u sin -=的值域]1,3[--=u f ,Φ=⋂u y f D ,)sin 21lg(x y -=不构成复合函数.10.某化肥厂日产量最多为m 吨,已知固定成本为a 元,每多生产1吨化肥,成本增 k 元.若每吨化肥的售价为p 元,试写出利润与产量的函数关系式.[解] 设日产量为x 吨,则成本函数kx a x C +=)(,([0,])x m ∈,7收益函数px x R =)(,([0,])x m ∈,利润函数a x k p x C x R x L --=-=)()()()(,([0,])x m ∈.11.生产某种产品,固定成本为2(万元),每多生产1(百台),成本增加1(万元), 已知需求函数为=Q 20-4p (其中p 表示产品的价格,Q 表示需求量),假设产销平衡.试写出(1)成本函数;(2)收益函数;(3)利润函数. [解] 成本函数Q Q C +=2)(, 收益函数2415)(Q Q pQ Q R -==, 利润函数2441)()()(2-+-=-=Q Q Q C Q R Q L . 12.某商场以每件a 元的价格出售某种商品,若顾客一次购买50件以上,则超出50 件以上的以每件0.8a 元的优惠价出售,试将一次成交的销售收入表示成销售量x 的函数.[解] ⎩⎨⎧>-+≤<=50,)50(8.050500,)(x x a a x ax x R .13.某运输公司规定货物的吨公里运价为:不超过a 公里,每公里k 元,超过a 公里, 超出部分为每公里k 54元,试求运价m 与里程s 之间的函数关系式. [解] ⎪⎩⎪⎨⎧>-+≤≤=a s a s k ak a s ks m ,)(540,. 14. 用数列极限的定义验证: (1) 21121lim=++∞→n n n .[解] 0>∀ε,要使ε<+=-++)12(21|21121|n n n 成立,即2141->εn , 取]2141[-=εN , 可见,,0>∀ε]2141[-=∃εN ,当N n >时,有ε<-++|21121|n n 成立,8所以 21121lim=++∞→n n n .(2) 0)1(lim =-+∞→n n n . [解] 0>∀ε,要使ε<<++=-+nnn n n 2111|1|成立,即241ε>n , 取]41[2ε=N , 可见,,0>∀ε]41[2ε=∃N ,当N n >时,有ε=<-+|1|n n 成立, 所以 0)1(lim =-+∞→n n n .(3) 11lim 2=+∞→nn n .[解] 0>∀ε,要使ε<<++=-+22221)1(1|11|nn n n n n 成立,即ε21>n ,取]21[ε=N ,可见,,0>∀ε]21[ε=∃N ,当N n >时,有ε<-+|11|2n n 成立, 所以 11lim 2=+∞→nn n .(4) 112lim 22=++-∞→n n n n .[解] 0>∀ε,要使ε<<+++=-++-n n n n n n n 213|112|222成立,即ε1>n ,取]2[ε=N ,可见,,0>∀ε]2[ε=∃N ,当N n >时,有ε<-++-|112|22n n n 成立, 所以 112lim 22=++-∞→n n n n .15. 求)21(lim k k k n nnn n +++∞→ .(k 为常数)9[解] 由于2121lim21lim )21(lim -∞→-∞→∞→=+=+++k n k n kk k n n n n n n n n ⎪⎪⎩⎪⎪⎨⎧>=<∞=2,02,212,k k k .16.(1)设141151312-+++=n x n ,求n n x ∞→lim . [解] 由于141151312-+++=n x n )12)(12(1531311+-++⨯+⨯=n n )]121121()5131()311[(21+--++-+-=n n )1211(21+--=n ,所以=+-=∞→∞→)1211(lim 21lim n x n n n 21.(2)设nn nn n x n ++++++=2222211 ,求n n x ∞→lim . [解] 由于n n nn n x n ++++++=2222211 )1(2)1(112112222++=++++++≤n n n n n n n , n n nn n x n ++++++=2222211 )(2)1(212222n n n n n n n nn n n ++=++++++≥ , 而21)1(2)1(lim2=++∞→n n n n ,21)(2)1(lim 2=++∞→n n n n n ,由夹逼定理,所以=++++++=∞→∞→)2211(lim lim 222nn nn n x n n n 21. 17. 利用数列极限存在准则(夹逼定理)证明: (1) 111lim =+∞→nn . [解] 由于n n 11111+<+<,而11lim =∞→n ,1)11(lim =+∞→nn ,由夹逼定理,所以111lim =+∞→n n .(2) 3)321(lim 1=++∞→nn n n .10[解] 由于n nnnnn nn33)33()321()3(3111=⋅<++<=,而33lim =∞→n ,333lim =⋅∞→n n ,由夹逼定理,所以3)321(lim 1=++∞→nnn n .18. 设数列{}n a,证明:n n a ∞→lim 存在,并求此极限值.[解]先证明lim n n a →∞存在:(1)显然{}n a 单调增加,即1+<n n a a 成立; (2)再证明数列{}n a 有界.因为221<=a ,22222212=+<+=+=a a , ,故2<n a ,即数列{}n a 有上界.由单调有界数列必有极限,得n n a ∞→lim 存在,不妨设lim n n a A →∞=,下面求出A .由于12-+=n n a a ,两边取极限得A A +=2,即022=--A A ,解得2=A ,或1-=A .根据收敛数列的保号性的推论可知A 大于零,所以lim 2n n a →∞=.19. 设11=x ,12-=n n x x ,证明:n n x ∞→lim 存在,并求此极限值.[解]先证明n n x ∞→lim 存在:(1)用数学归纳法证明数列}{n x 单调增加. 11=x ,2212==x x ,显然21x x <; 假设k k x x <-1成立,于是02211<-=--+k k k k x x x x ,即1+<k k x x 成立;故数列}{n x 单调增加,即1+<n n x x 成立; (2)再证明数列}{n x 有界.因为211<=x ,222212=⋅<=x x , ,故2<n x ,即数列}{n x 有上界.由单调有界数列必有极限,得n n x ∞→lim 存在,不妨设A x n n =∞→lim ,下面求出A .11由于12-=n n x x ,两边取极限得A A ⋅=2,即022=-A A ,解得2=A ,或0=A .根据收敛数列的保号性的推论可知A 大于零,所以2lim =∞→n n x .20. 设nnn x x x f +=∞→1lim )((0>x ),求)(x f .[解] 由于=+=∞→n n n x x x f 1lim )(⎪⎪⎩⎪⎪⎨⎧>=<<1,11,2110,0x x x . 21. 用函数极限的定义验证: (1) 0sin lim=+∞→xx x .[解] 0ε∀> ,要使ε<≤xx x 1|sin |,即21ε>x ,取21ε=M ,可见,0>∀ε,21ε=∃M ,当M x >时,有ε<|sin |xx 成立,所以 0sin lim=+∞→xx x .(2) 313lim212x x x →∞+=+.[解] 0ε∀> ,要使ε<-<+=-++)1||2(21|)12(|21|231213|x x x x , 即)121(21||+>εx ,取11(1)22M ε=+, 可见,0>∀ε,∃11(1)22M ε=+ ,当M x >||时,有ε<-++|231213|x x 成立, 所以 313lim212x x x →∞+=+.(3)3lim(31)8x x →-=.12[解] 0ε∀> ,要使ε<-=--|3|3|8)13(|x x ,取3εδ=,可见,0>∀ε,3εδ=∃ ,当δ<-<|3|0x 时,有ε<--|8)13(|x 成立,所以 3lim(31)8x x →-=.(4)21241lim221=+--→x x x . [解] 本题1241)(2+-=x x x f 在21-=x 处没有定义,但不影响函数在该点极限存在.0ε∀> ,要使ε<--=+=+=-+-|)21(|2|21|2|12||21241|2x x x x x ,取2εδ=,可见,0>∀ε,2εδ=∃ ,当δ<--<|)21(|0x 时,有ε<-+-|21241|2x x 成立,所以 21241lim221=+--→x x x . 22. 设1|1|)(--=x x x f ,求)(lim 1x f x →.[解] 本题⎩⎨⎧><-=1,11,1)(x x x f ,在1=x 处左右两侧)(x f 的表达式不同,故求1=x 处的极限,需考虑左右极限.而1)1(lim )(lim 11-=-=--→→x x x f ,11lim )(lim 11==++→→x x x f , ≠-→)(lim 1x f x )(lim 1x f x +→, 所以)(lim 1x f x →不存在.23. 设2()121x e f x x x ⎧⎪=+⎨⎪+⎩,1100≥<<≤x x x ,求(1))(lim 0x f x →;(2))(lim 1x f x →;(3)2lim ()x f x →.[解] 本题在0=x 和1=x 处左右两侧)(x f 的表达式不同,故求0=x 和1=x 处的极限,需考虑左右极限.而1lim )(lim 0==--→→x x x e x f ,1)1(lim )(lim 2=+=++→→x x f x x ,=-→)(lim 1x f x 1)(lim 1=+→x f x ,13所以1)(lim 0=→x f x .又2)1(lim )(lim 211=+=--→→x x f x x ,3)12(lim )(lim 11=+=++→→x x f x x ,≠-→)(lim 1x f x )(lim 1x f x +→, 所以)(lim 1x f x →不存在.2lim ()x f x →5)12(lim 2=+=→x x .24. 1111)(-+=x ex f ,求)(lim 1x f x →.[解] 本题)(x f 中含有特殊函数11-x e,故求1=x 处的极限,需考虑左右极限.由于0lim 111=-→-x x e ,∞=-→+111lim x x e ;所以111lim )(lim 1111=+=-→→--x x x ex f ,011lim )(lim 1111=+=-→→++x x x ex f ,得≠-→)(lim 1x f x )(lim 1x f x +→,故)(lim 1x f x →不存在. 25. 利用函数极限存在准则(夹逼定理)证明: (1) 11lim 0=+→n x x .[解] 由于求0→x 的极限,故可设11<<-x .当0>x 时,有x x n +<+<111;当0<x 时,有111<+<+n x x , 而11lim 0=→x ,1)1(lim 0=+→x x ,由夹逼定理,所以11lim 0=+→n x x .(2) 1]1[lim 0=+→xx x . [解] 由于求+→0x 的极限, 又x x x 1]1[11≤<-,当0>x 时,有1]1[)11(≤<-xx x x , 而1)1(lim )11(lim 00=-=-++→→x x x x x ,11lim 0=+→x ,由夹逼定理,所以1]1[lim 0=+→xx x .1426. 计算下列极限:(1)220()lim h x h x h→+-.[解] 原式 h h x hx h x h h 2)2(lim )(lim022000=+=-+=→→. (2)4x →. [解] 原式 4)2(lim 24lim4400=+=--=→→x x x x x .(3)32lim3x x →--.[解] 令t x =+35,则53-=t x ,原式 121221lim 82lim220032=++=--=→→t t t t t t .(4)2111lim(1)222nn →∞++++. [解] 原式 2211)211(1lim1=--⋅=+∞→n n . (5)))1(1321211(lim +++⋅+⋅∞→n n n .[解] 原式 1)111(lim )]111()3121()211[(lim =+-=+-+-+-=∞→∞→n n n n n .(6))21(lim 222nnn n n +++∞→ . [解] 原式 212)1(lim 2=+=∞→n nn n .15(7)221lim 21x x x x →∞--+.[解] 原式 212lim 22==∞→∞∞x x x .(8)232lim 35x x xx x →∞+-+.[解] 原式 0lim 32==∞→∞∞xx x .(9)n .[解] 原式 12lim22lim=+=++=∞→∞∞∞→nn n nn n n n .(10)3113lim()11x x x →---. [解] 原式 11)2(lim 12lim2100321-=+++-=--+=→→∞-∞xx x x x x x x . (11))121(lim 0xx x xx ---+→.[解] 原式 111lim )1(lim 00=--=--=++→→∞-∞x x x x x x .(12))2(lim 22++-∞→x x x x .[解] 令t x -=,则原式 )2(lim 22+-=+∞→t t t t ,再令ut 1=,16原式 12112lim 211lim 2000220-=++-=+-=++→→∞-∞uu u u u . 27. 若0)11(lim 2=--++∞→b ax x x x ,求b a ,求的值.[解] 由左边01)1()()1(lim 2=+-++--=∞→x b x b a x a x ,得⎩⎨⎧=+=-001b a a ,故1=a ,1-=b .28. 计算下列极限: (1)x x x cot lim 0→.[解] 原式 xxx x sin cos lim00→∞⋅=1)cos sin (lim 00=⋅=→x x x x . (2)xxx 3arcsin 2lim 0→.[解] 令t x =arcsin ,则t x sin =,原式 t t t sin 32lim0→=32=. (3)xx x x 2sin 3553lim 2++∞→.[解] 令t x =2,则t x 2=,原式 56)sin 310512(lim 00=⋅++=→∞⋅t t t t t .(4)n nn x 2sin 2lim ∞→,(x 为不等于零的常数).[解]原式 x xx x nnn =⋅=∞→∞⋅)22sin (lim 0. (5)xxx -→ππsin lim .[解]原式 1)sin(lim0=--=→xx x πππ.17(6)xx x cos 1lim 0-+→.[解]原式 2sin 2lim 2xx x +→=2sin2lim 0xx x +→=22sin 2lim 20==+→x xx .(7)xx xx x 3sin 2sin lim 0+-→.[解]原式 x x x x x 3sin 12sin 1lim00+-=→4133sin 3122sin 21lim 0-=+-=→xx x x x . (8)01lim sin x x→-.[解]原式 )111sin (lim 00++⋅=→x x x x 21=. (9)xx x 20)1(lim -→.[解]原式 =-=→∞xx x 201)1(lim 2210})](1{[(lim ---→=-+e x xx .(10)12)21(lim -∞→-xx x.[解]原式 ])21()21[(lim 121-∞→--+=∞x x xx 1112})21(])21{[(lim ----∞→=--+=e xx xx . (11)21lim()xx x x→∞+. [解]原式 x x x 21)11[(lim +=∞→∞22])11[(lim e xx x =+=∞→.18(12)xx x sec 22)cos 1(lim +→π.[解]原式 2cos 121])cos 1[(lim x x x +=→∞π2e =.(13)xxx xe 10)1(lim +→.[解]原式 e xe xxe xe xx =+=→∞])1[(lim 101.(14)确定c ,使9)(lim =-+∞→xx cx c x . [解]左边 c cx cxcc x x e cx c2221])21[(lim =-+=--∞→∞, 故92=c e ,得3ln =c .(15)[]lim ln(1)ln x x x x →+∞+-.[解]左边 1ln )11ln(lim )1ln(lim 10==+=+=+∞→+∞→∞⋅∞e xx x x x x x . (16)nn n n )11(lim 2++∞→. [解]原式 =++=∞→∞n n n n )11(lim 21nn n n n )1111(lim 2+--++∞→ n n n n n n))11)1(21(lim 2++++-+=∞→1)11)(1(22)11)(1(222]))11)1(21[(lim -++++--++++∞→=++++-+=e n n n nnn n n nnn n n n .29. 当0→x 时,确定无穷小a x a -+3)0(>a 对于x 的阶数.19[解]因为 aa x a x a x a x x 211lim lim 30330=++=-+→→; 所以,当0→x 时,无穷小a x a -+3)0(>a 是x 的3阶无穷小.30. 若当0→x 时,112-+ax 与x 2sin 为等价无穷小量,求a 的值.[解]因为当0→x 时,112-+ax ~ 22ax ,x 2sin ~ 2x ,故122lim sin 11lim 220220===-+→→a x ax xax x x ,所以,2=a . 31. 计算下列极限:(1)xx x x 1sin 1lim 32+∞→.[解]因为当∞→x 时,01→x ,故132+x x ~ x 1,x 1sin ~ x 1, 所以01lim 1sin 1lim 232==+∞→∞→xx x x x x .(2)21sin)4(lim 22--→x x x . [解]因为当2→x 时,0)4(lim 22=-→x x ,而∞→-21x ,但1|21sin |≤-x ,所以021sin )4(lim 22=--→x x x .(3)201coslimsin x x x x →. [解]因为当0→x 时,x sin ~ x ,0lim sin lim 2020==→→xx x x x x20而∞→x 1,但1|1cos |≤x, 所以0sin 1coslim20=→x x x x .(4)xx xx x sin sin 2lim -+∞→.[解]因为当∞→x 时,01lim=∞→x x ,但1|sin |≤x , 故0)sin 1(lim sin lim ==∞→∞→x x x x x x ,所以=-+∞→x x x x x sin sin 2lim 2sin 1sin 2lim=-+∞→x xx x x . 或[解] 原式22lim ==∞→∞∞x xx . (5)3231lim 1sin x x x x→∞-.[解]因为当∞→x 时,01→x ,21sin x ~ 21x, 所以,原式33lim 13lim==-=∞→∞∞∞→x xxx x x .(6))sin 1(sin lim x x x -++∞→.[解] 原式21sin 21cos2lim xx x x x -+++=+∞→)1(21sin 21cos 2lim x x x x x ++++=+∞→,当+∞→x 时,0)1(21sinlim =+++∞→x x x ,1|21cos|≤++xx ,所以,0)sin 1(sin lim =-++∞→x x x .(7)axa x ax 2tan2sinlim π-→. [解] 令t a x =-2,则a t x +=2,原式 πππa at t a t t t t -=-=-=→→00lim tansin lim .21(8))1sin 1)(11(tan sin lim32-+-+-→x x xx x .[解] 原式)1sin 1)(11()cos 11(sin lim 320-+-+-⋅=→x x x x xxx x x x x cos )1sin 1)(11()cos 1(sin lim32-+-+-⋅-=→,因为当0→x 时,1132-+x ~ 32x ,1sin 1-+x ~ 2sin x ~ 2x,x cos 1-~ 22x , 所以,原式3cos 232lim 220-=⋅⋅⋅-=→xxx xx x . 32.讨论下列函数在指定点处的连续性: (1)⎩⎨⎧≥-<=-1,21,)(1x x x e x f x ,在1=x 处.[解] 因为1)2()1(1=-==x x f ,1lim )(lim 111==-→→--x x x e x f , 1)2(lim )(lim 11=-=++→→x x f x x , 即==-→)(lim )1(1x f f x )(lim 1x f x +→, 所以,)(x f 在点1=x 处连续.(2)⎪⎩⎪⎨⎧=≠=0,00,1sin )(2x x xx x f , 在0x =处. [解] 因为0)0(=f ,又当0→x 时,∞→x 1,而0lim 20=→x x ,1|1sin |≤x,所以,01sin lim )(lim 200==→→x x x f x x ,即)(lim )0(0x f f x →=,所以,)(x f 在点0=x 处连续.22(3)⎪⎩⎪⎨⎧=≠=-0,00,)(1x x e x f x,在0=x 处.[解] 因为0)0(=f ,∞==-→→--xx x e x f 10lim )(lim , 0lim )(lim 1==-→→++xx x e x f ,即≠=+→)(lim )0(0x f f x)(lim 0x f x -→, 所以,)(x f 在点0=x 处不连续.(4) )1()1(21lim )(--∞→++=x n x n n e e x x x f ,在1=x 处.[解] 因为⎪⎩⎪⎨⎧<=>=++=--∞→1,1,11,1lim)(2)1()1(2x x x x x e e x x x f x n x n n , 而 1)1(=f ,1lim )(lim 11==--→→x x f x x , 1lim )(lim 211==++→→x x f x x , 即==-→)(lim )1(1x f f x )(lim 1x f x +→, 所以,)(x f 在点1=x 处连续.33. 确定k 的值,使)(x f 在0=x 处连续:(1)⎪⎩⎪⎨⎧=≠⋅=0,,1cos sin )(x k x xx x f . [解] 因为k f =)0(, 又当0→x 时,∞→x 1,而0sin lim 0=→x x ,1|1cos |≤x ,23故01cossin lim )(lim 0==→→xx x f x x , 所以,当0=k 时,有)0()(lim 0f x f x =→,即)(x f 在点0=x 处连续.(2) ⎪⎩⎪⎨⎧=≠<<--=0,0,2121,)31ln()(2x k x x x x f x . [解] 因为k f =)0(,又∞=-=→→120)31ln(lim )(lim xx x x x f 6ln })]3(1ln{[(lim 66310-==-+---→e x xx ,所以,当6-=k 时,有)0()(lim 0f x f x =→,即)(x f 在点0=x 处连续.(3) ⎪⎩⎪⎨⎧=≠-+-+=0,,1111)(3x k x x x x f .[解] 因为k f =)0(,又=-+-+=→→1111lim )(lim 30x x x f x x 3223lim 0=→x x x , 所以,当32=k 时,有)0()(lim 0f x f x =→,即)(x f 在点0=x 处连续.34. 指出下列函数的连续区间: (1)241)(xx f -=.[解] 因为)(x f 是初等函数,它的定义区间就是连续区间, 所以,连续区间即为 )2,2(-.(2)⎪⎩⎪⎨⎧≥-<<-+--=0,301,112)(sin x e x x x x x f x .[解] 因为)(x f 是分段函数,24当01<<-x 时,xx x +--112是连续的;当0>x 时,3sin -x e 也是连续的,因此只须考察分段点0=x 处的连续性;由于2)3()0(0sin -=-==x x e f ,xx xx f x x +--=--→→112lim )(lim 02)11(lim 0-=++--=-→x x x , 2)3(lim )(lim sin 0-=-=++→→xx x e x f , 即==+→)(lim )0(0x f f x)(lim 0x f x -→, 故)(x f 在点0=x 处连续,所以,连续区间即为 ),1(∞-.(3)⎪⎪⎩⎪⎪⎨⎧≤<--≤≤<≤-=32,2)2sin(21,110,11)(x x x x x x x f . [解] 因为)(x f 是分段函数,当10<<x 时,11-x 是连续的;当21<<x 时,1是连续的, 当32<<x 时,2)2sin(--x x 也是连续的,因此只须考察分段点1=x 及2=x 处的连续性;由于 1)1(=f ,∞=-=--→→11lim )(lim 11x x f x x , 11lim )(lim 11==++→→x x x f ,25即≠=+→)(lim )0(0x f f x)(lim 0x f x -→, 故)(x f 在点1=x 处不连续;而 1)2(=f ,11lim )(lim 22==--→→x x x f , 12)2sin(lim )(lim 22=--=++→→x x x f x x ,即==+→)(lim )2(2x f f x)(lim 2x f x -→, 故)(x f 在点2=x 处连续; 又)0(111lim )(lim 0f x x f x x =-=-=++→→,)3(1sin 2)2sin(lim )(lim 33f x x x f x x ==--=--→→,所以,连续区间即为 [0,1),[1,3].35. 设1lim )(2212+++=-∞→n n n x bxax x x f 为连续函数,试求a 和b 的值. [解] ⎪⎪⎪⎪⎩⎪⎪⎪⎪⎨⎧-<>-=--=++<<-+=11,11,211,2111,)(2x x xx b a x b a x bx ax x f 或 ,因为)(x f 为连续函数,所以)(x f 在1=x 及1-=x 处连续;由于 21)1(++=b a f , b a bx ax x f x x +=+=--→→)(lim )(lim 211, 11lim )(lim 11==++→→xx f x x ,26即==+→)(lim )1(1x f f x )(lim 1x f x -→,得1=+b a ; 而 21)1(--=-b a f , 11lim )(lim 11-==---→-→xx f x x , b a bx ax x f x x -=+=++-→-→)(lim )(lim 211,即==-+-→)(lim )1(1x f f x )(lim 1x f x --→,得1-=-b a ; 所以,0=a ,1=b .36.指出下列函数的间断点,并指明其类型 (1)xx xx f -=2sin )(. [解] 因为)(x f 是初等函数,定义域为),1()1,0()0,(+∞-∞ ,在0x =,1=x 处孤立无定义.在0=x 处,因为1)1(sin lim)(lim 0-=-=→→x x xx f x x ,所以,0=x 是第一类可去间断点.在1=x 处,因为∞=-=→→)1(sin lim)(lim 11x x xx f x x ,所以,1=x 是第二类无穷间断点.(2)⎪⎪⎩⎪⎪⎨⎧≠>-=<-=1,0,1sin 0,00),1ln(1)(x x x x x x x x x f .[解] 因为)(x f 是它是分段函数, 其定义域为),1()1,(+∞-∞ ,0x =为分段点,1=x 处孤立无定义.当0<x 时,)1ln(1x x -是连续的;当1,0≠>x x 时,1sin -x x也是连续的,因此只须考察分段点0=x 处的性质.27由于 1ln )1ln(1lim )(lim 100-==-=-→→--e x xx f x x ,01sin lim )(lim 00=-=++→→x xx f x x , 可见, 0x =处左右极限都存在但不相等,所以0=x 是)(x f 的第一类跳跃间断点.在1=x 处,因为∞=-=→→1sin lim )(lim 11x xx f x x , 所以,1=x 是第二类无穷间断点.(3)⎪⎪⎩⎪⎪⎨⎧=≠+-=0,10,1212)(11x x x f x x . [解] 因为)(x f 是它是分段函数, 0x =为分段点, 当0≠x 时,121211+-xx是连续的,因此只须考察分段点0=x 处的性质.又)(x f 含特殊函数x12,故0x =处极限应该考虑左、右极限.由于 11212lim 110-=+--→xxx ,11212lim 110=+-+→xxx ,可见, 0x =处左右极限都存在但不相等,所以0=x 是)(x f 的第一类跳跃间断点.(4)11()1x xf x e-=-.[解] 因为)(x f 是初等函数,定义域为),1()1,0()0,(+∞-∞ ,在0x =,1=x 处孤立无定义.在0=x 处,因为∞=-=-→→111lim)(lim x x x x ex f ,所以,0=x 是第二类无穷间断点.在1=x 处,由于28111lim )(lim 111=-=-→→--x xx x ex f ,011lim )(lim 111=-=-→→++x xx x ex f ,可见, 1=x 处左右极限都存在但不相等,所以1=x 是)(x f 的第一类跳跃间断点.37. 试确定a 和b 的值,使)1)(()(---=x a x be xf x 有无穷间断点0=x 和可去间断点1=x .[解] 因为)(x f 是初等函数,定义域为a x ≠及1≠x ,在a x =,1=x 处孤立无定义. 由于0=x 为无穷间断点,)1)((lim)(lim 00---=→→x a x be xf x x x ∞=, 故0=a .又由于1=x 为可去间断点,)1)((lim )(lim 11---=→→x a x b e x f x x x )1(lim1--=→x x be x x , 上式应为型,即0)(lim 1=-→b e x x ,故e b =.38. 设)(x f 对一切21,x x 满足)()()(2121x f x f x x f +=+,并且)(x f 在0=x 处连续,证明函数)(x f 在任意点0x 处连续.[解] 由于)(x f 对一切21,x x 满足)()()(2121x f x f x x f +=+,将021==x x 代入上式,有)0(2)0(f f =,即0)0(=f ,因为)(x f 在0=x 处连续,所以0)0()(lim 0==→f x f x ,又=∆→∆y x 0lim =-∆+→∆)]()([lim 000x f x x f x 0)(lim 0=∆→∆x f x ,所以,函数)(x f 在任意点0x 处连续39. 设)(x f 在闭区间],[b a 上连续,b x x x a n <<<<< 21,则在],[1n x x 上至少存在一点ξ,使得nx f x f x f f n )()()()(21+++=ξ.[解]由于)(x f 在],[b a 上连续,且b x x x a n <<<<< 21,故)(x f 在],[1n x x 上连续.由最值定理可知,在],[1n x x 上)(x f 有最大值M 与最小值m ,即得1()m f x M ≤≤,29M x f m n ≤≤)(,于是,可得M nx f x f x f m n ≤+++≤)()()(21 ;由介值定理可知,)(x f 在],[1n x x 上至少存在一点ξ,使得nx f x f x f f n )()()()(21+++=ξ.40.设2)(-=xe xf ,试证:在)2,0(内至少有一点ξ,使得ξξ=)(f .[解]令x e x x f x F x--=-=2)()(,由于)(x F 为初等函数,显然在]2,0[上连续,且01)0()0(<-==f F ,042)2()2(2>-=-=e f F .由零值定理可知,)2,0(内至少有一点ξ,使得0)(=ξF ,即ξξ=)(f . 41.试证:方程0sin =--b x a x (其中b a ,为正常数)至少有一个不超过b a +的正根.[解]令b x a x x f --=sin )(,由于)(x f 为初等函数,显然在],0[b a +上连续,且0)0(<-=b f ,0)]sin(1[)(≥+-=+b a a b a f .当1)sin(≠+b a 时,0)]sin(1[)(>+-=+b a a b a f ,由零值定理可知,),0(b a +内至少有一点ξ,使得0)(=ξf ;当1)sin(=+b a 时,0)]sin(1[)(=+-=+b a a b a f ,即b a +=ξ,使得0)(=ξf ; 综上,ξ],0(b a +∈,使得0)(=ξf ,即方程0sin =--b x a x 至少有一个不超过b a +的正根.42. 设321,,a a a 均为正数,3210λλλ<<<,试证方程0332211=-+-+-λλλx a x a x a 有两个实根,并判定这两个根的范围. [解]由于332211λλλ-+-+-x a x a x a ))()(())(())(())((321213312321λλλλλλλλλ-----+--+--=x x x x x a x x a x x a .令))(())(())(()(213312321λλλλλλ--+--+--=x x a x x a x x a x F ,由于)(x F 为初等函数,显然)(x F 分别在],[21λλ及],[32λλ上连续,且 0))(()(312111>--=λλλλλa f , 0))(()(131222<--=λλλλλa f ,300))(()(231333>--=λλλλλa f ,)(x F 在],[21λλ上由零值定理可知,在),(21λλ内至少有一点1ξ,使得0)(1=ξF , )(x F 在],[32λλ上由零值定理可知,在),(32λλ内至少有一点2ξ,使得0)(2=ξF ;又)(x F 为二次多项式函数,至多有两个零点.综上,)(x F 有两个零点,他们分别在),(21λλ与),(32λλ内,即方程0332211=-+-+-λλλx a x a x a 有两个实根,分别在),(21λλ与),(32λλ内. 43. 设函数)(x f 在]1,0[上连续且非负,而0)1()0(==f f ,试证:对于)1,0(内的 任意实数l ,必存在一点)1,0(0∈x ,使得)()(00l x f x f +=. [解]令)()()(l x f x f x F +-=,由于)(x f 在]1,0[上连续,所以)(x F 在]1,0[l -上连续,且0)()()0()0(<-=-=l f l f f F ,0)1()1()1()1(>-=--=-l f f l f l F .由零值定理可知,⊂-)1,0(l )1,0(内至少有一点0x ,使得0)(0=x F , 即)()(00l x f x f +=.故对于)1,0(内的任意实数l ,必存在一点)1,0(0∈x ,使得)()(00l x f x f +=.。
一、填空题(每小题4分,共20分)1. 设()()()x f t y tf t f t '=⎧⎨'=-⎩,且()0f t ''≠,则dy dx = 2. 设21sin ,0()ln(1),0x x x f x x x ⎧<⎪⎪=⎨⎪+≥⎪⎩ ,则()f x '= 3.arctan x dx ⎰ = 4.41ln ex xdx ⎰ = 5. 幂级数21n nn n a b x n ∞=+∑(0,0a b >>)的收敛半径R =二、单项选择(每小题4分,共20分)1.与A a n n =∞→lim 不等价的一个命题是 【 】.A 0>∀ε,+∈∃N N ,对于所有满足N n >的+∈N n ,都有ε<-||A a n ;.B 0>∀ε,+∈∃N N ,对于所有满足N n >的+∈N n ,都有εn A a n <-||;.C 0>∀ε,+∈∃N N ,对于所有满足N n >的+∈N n ,都有2||ε<-A a n ;.D 0>∀ε,+∈∃N N ,对于所有满足N n >的+∈N n ,都有ε100||<-A a n .2.设)(x f 在点1=x 的某个邻域中有连续导数,并且2)1()(lim 31=-'→x x f x .则 【 】.A )1(f 是)(x f 的极小值;.B )1(f 是)(x f 的极大值;.C ))1(,1(f 是曲线)(x f y =的拐点;.D )1(f 不是)(x f 的极值;))1(,1(f 也不是曲线)(x f y =的拐点.3. 设()f x 为(,)-∞+∞上的连续偶函数, 20()(2)()xF x x t f t dt =-⎰, 则()F x 是【 】A . 偶函数 ; B. 既是奇函数也是偶函数;C. 非奇非偶函数;D. 奇函数 .三、计算题(每小题8分,共24分)1.计算定积分xdxyxdyIy⎰⎰=121sin2.过点()4,0作曲线y=的切线,求这条切线与x轴和y=所围城的面积,以及此图形绕x轴旋转一周的体积。
一.填空题(03152'=⨯')1.已知(),(),(),0,P A a P B b P A B c b ===≠ 则()____________P A B =。
2.袋中有4个白球,6个黑球。
从袋中不放回任取3个球,并记A 为“取到2个白球和1个黑球”的事件,则()____________P A =。
3则_________a =,X 的分布函数为_______________________。
4.已知连续型随机变量的分布函数为30,1()(1),111,x F x a x x x <-⎧⎪=+-≤<⎨⎪≥1⎩,则常数_____=a ,密度函数()__________________p x =。
5.设随机变量X 的密度函数为,0()0,x X e x p x x -⎧>=⎨≤0⎩,则随机变量21Y X =+的密度函数()_________________Y p y =。
6.设随机变量123,,X X X 相互独立,且)3.0,10(~1B X ,)2(~2P X ,)4,1(~3N X ,记12323Z X X X =+-,则_____________EZ =,______________DZ =。
7.设(,)X Y 的联合概率分布为已知(11)P X Y ===23,则________a =,X 的概率分布为_____________=。
8.设)5.0,16,9,0,1(~),(-N Y X 且,32X Y Z =+则______=EZ ,_______DZ =。
9.设EX μ=,)0(2>=σDX ,则利用切比雪夫不等式估计()≤≥-σμ5||X P _____。
10.贝努利大数定律:设m 是n 次独立试验中事件A 发生的次数,p A P =)(, (01)p <<,则对任意给定的0ε>,有__________________________。
《数学分析》考试题
一、(满分10分,每小题2分)单项选择题:
1、{n a }、{n b }和{n c }是三个数列,且存在N,∀ n>N 时有≤n a ≤n b n c ,
( )
A. {n a }和{n b }都收敛时,{n c }收敛;
B. {n a }和{n b }都发散时,{n c }发散;
C. {n a }和{n b }都有界时,{n c }有界;
D. {n b }有界时,{n a }和{n c }都有界;
2、=)(x f ⎪⎪⎩
⎪⎪⎨⎧>+=<,0 ,2.( ,0 ,0,
,sin x x k x k x x kx 为常数)
函数 )(x f 在 点00=x 必 ( )
A.左连续;
B. 右连续
C. 连续
D. 不连续 3、''f (0x )在点00=x 必 ( )
A. x x f x x f x ∆-∆+→∆)()(lim 02020 ;
B. '
000)()(lim ⎪⎪⎭
⎫ ⎝⎛∆-∆+→∆x x f x x f x ; C. '000)()(lim ⎪⎪⎭⎫ ⎝⎛∆-∆+→∆x x f x x f x ; D. x x f x x f x ∆-∆+→∆)()(lim 0'0'0 ; 4、设函数)(x f 在闭区间[b a ,]上连续,在开区间(b a ,)内可微,但≠)(a f )(b f 。
则 ( )
A. ∈∃ξ(b a ,),使0)('=ξf ;
B. ∈∃ξ(b a ,),使0)('≠ξf ;
C. ∈∀x (b a ,),使0)('≠x f ;
D.当)(b f >)(a f 时,对∈∀x (b a ,),有)('x f >0 ;
5、设在区间Ⅰ上有⎰+=c x F dx x f )()(, ⎰+=c x G dx x g )()(。
则在Ⅰ上有
( )
A. ⎰=)()()()(x G x F dx x g x f ;
B. c x G x F dx x g x f +=⎰)()()()( ;
C. ⎰+=+c x G x F dx x F x g dx x G x f )()()]()()()([ ;
D. c x G x F dx x G x g dx x F x f +=+⎰)()()]()()()([ ;
二、(满分15分,每小题3分)填空题 :
6、121323lim -+∞→⎪⎭
⎫ ⎝⎛-+x x x x = ; 7、)sgn(cos )(x x f =。
)(x f 在区间[ππ,-]上的全部间断点为 ;
8、)(x f =x 2sin , =)6()11(π
f ; 9、 函数)(x f 在R 内可导,且在(1,∞-)内递增,在(+∞,1)内递减,)()(x xe f x F =,)(x F 的单调递减区间为 ;
10、=+⎰dx x f x f x f )
(1)()(2' ; 三、(满分36分,每小题6分)计算题:
11、⎪⎭⎫ ⎝
⎛-→x x x 220sin 11lim ; 12、把函数2
x
x e e shx --=展开成具Peano 型余项的Maclaurin 公式 ; 13、dx e arctg e x x ⎰-+11 ;
14、x e x f =)(2,计算积分dx x x f ⎰
)( ; 15、⎰+--dx x x x 2
332 ; 16、斜边为定长c 的直角三角形绕其直角边旋转,求所得旋转体的最大体积 ;
四、(满分7分)验证题:
17、有“N -ε”定义验证数列极限3
225332lim 220=--+→n n n h ; 五、(满分32分,每小题8分)证明题:
18、设函数)(x f 和)(x g 都在区间Ⅰ上一致连续,证明函数)()(x g x f +在区间Ⅰ上一致连续;
19、设函数)(x f 在点0x 可导且0)(0'≠x f ,试证明:y ∆~0)(x x x df =,其中)()(00x f x x f y -∆+=∆ ;
20、设函数)(x f 在点a 具有连续的二阶导数,试证明:
)()(2)()(lim ''20a f h
a f h a f h a f h =--++→ ; 21、试证明:0<x <2
π时,有不等式 x sin >πx 2 .。