土力学_卢廷浩__第二版_课后习题答案
- 格式:pdf
- 大小:4.59 MB
- 文档页数:36
2-1 2-22-3 2-3 2-4 2-5 2-6 2-7卢沿浩土力学课后答案土体的应力,按引起的原因分为自重应力和附加应力两种;按土体中土骨架和土中孔隙(水、气)的应力承担作用原理或应力传递方式可分为有效应力和孔隙应(压)力。
有效应力是指由土骨架传递(或承担)的应力。
孔隙应力是指由土中孔隙流体水和气体传递(或承担)的应力。
自重应力是指由土体自身重量所产生的应力。
附加应力是指由外荷(静的或动的)引起的土中应力。
自重应力是指由土体自身重量所产生的应力。
由静水位产生的孔隙水应力称为静孔隙水应力。
土体自重应力应由该点单位面积上土柱的有效重量来计算,如果存在地下水,且水位与地表齐平或高于地表,则自重应力计算时应采用浮重度,地下水位以下的土体中还存在静孔隙水应力。
附加应力是指由外荷(静的或动的)弓I起的土中应力。
空间问题有三个附加应力分量,平面问题有两个附加应力分量。
计算地基附加应力时,假定地基土是各向同性的、均匀的、线性变形体,而且在深度和水平方向上都是无限的。
实际工程中对于柔性较大(刚度较小)能适应地基变形的基础可以视为柔性基础。
对于一些刚度很大不能适应地基变形的基础可视为刚性基础。
柔性基础底面压力的分布和大小完全与其上的荷载分布于大小相同;刚性基础下的基底压力分布随上部荷载的大小、基础的埋深和土的性质而异。
基地中心下竖向附加应力最大,向边缘处附加应力将减小,在基底面积范围之外某点下依然有附加应力。
如果该基础相邻处有另外的荷载,也会对本基础下的地基产生附加应力。
在计算地基附加应力时,假定地基土是各向同性的、均质的、线性变形体,而且在深度的水平方向上都是无限的,这些条件不一定同时满足,因而会产生误差,所以计算结果会经常与地基中实际的附加应力不一致。
有效应力是指由土骨架传递(或承担)的应力。
孔隙应力是指由土中孔隙流体水和气体传递(或承担)的应力。
静孔隙水应力:U0 r w h w2-1 2-2习题2解:根据图中所给资料, 各土层交界面上的自重应力分别计算如下:cz1 1h1 18.5 2 37kPa1cz21hi 2h237 18 1cz2 1h1 2 h2'2h2' 55cz3 10 2 h2'2 h2 ' '3 h3cz4 1h1 2 h2 '2 h2' '3 h3的最大:静孔隙;水应力为U0 r w h w解:CZ0 055kPa(20 10) 1 65kPa 65 (19 10) 3 92kPa'小10 6F v PG c Ad 2106 20 6 3基底压力:P max F v基底静压力:P minP n92 (19.5 10) 2 111kPa60kPa1 2466 kN6 0.3 178.1kPa6 )95.9k PaP min r0d 95.9 17 1.0 78.9kPaP t P max①求O点处竖向附加应力P min 178.195.9 82.2kPa由:m% %.5zo1 4K s P n 42 n %0.25 78.9由: m0.5 n zb%.5 078.9k Pa%5 0 K t1 0 K t2 0.2500K s 0.2500v〉zo2由:m2K t1 萝% %.5 zo42K S4号0.25z0②求A 点下 z03由:zA1由:zA2 P tzo32K t2¥22%%.582 2 —20.55k Pa 2 z04 120k Pa 0.25 空 20.55kPa K S 40.2500z01z024m 处竖向附加应力 罗 4 九5 42 0.1036 % 2K s P n m %2K t P tJ% o.252 0.0695 'zb %.5 2.778.9 16.35k PaK s0.1036n % % o.6782.2 11.4258 kPaK t0.0695zA2 16.35 11.4258 27.78k Pa③ 求B 点下4m 处竖向附加应力由:m%zB1 2 KS Pn zAzA1% 1n % % 1.332 0.1412 78.922.28k PaK s0.1412zB2KS 号由:m %0.1412 zB3zB2KP t心- P t 2 0.058582 2—5.80k Pa 2 n% % 82.2 1.33 K t10.0585 K t2 0.0826zB2-3 解: 2-4 解: ①求自重应力zM 1 A K t2zB10.0826 282.2zB2zB3zB42.39kPa 3.39k Pa 33.86k Pa'h 2 19 (20 9.8) 1 86.19k Pa 86.19 (18.5 9.8) 3112.26kPa 地基土内各点承受土自重引起的自重应力,一般情况下, 压缩稳定,但是,当建筑物通过其基础将荷载传给地基之后, 种附加应力会导致地基土体的变形。
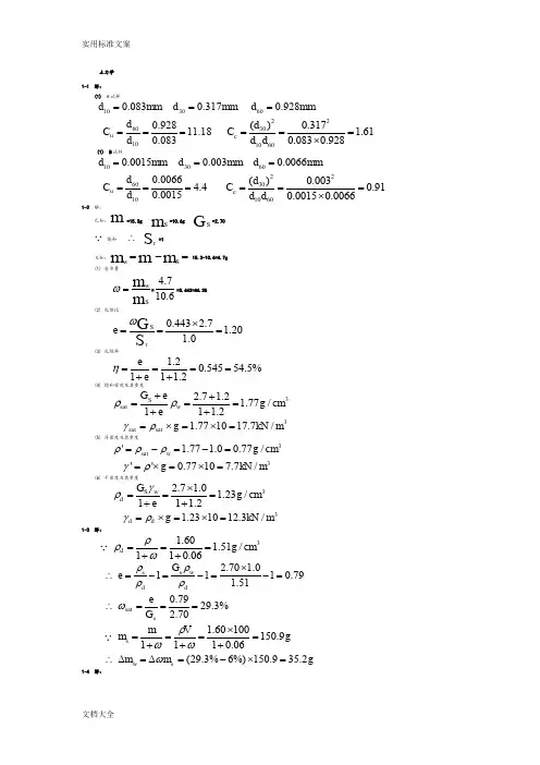
1土力学1-1 解: (1) A 试样d 100.083mm d 300.317mm毁竺811.18 d 10 0.083(1) B 试样d 100.0015mm d 300.003mmC uC cd 60 0.928mm(d 30)20.3172c^o d eo 0.083 0.9281.61C ud 60d 100.0066 4.4 0.0015C cd 60 0.0066mm(d 30)20.0032d 10d 60 0.0015 0.00660.911-2 解:已知: Q 饱和又知:m , 含水量 m =15.3gm s=10.6gS r =1G S=2.7°m m s15.3-10.6=4.7g (1)m w = 4.7 m s=0.443=44.3% 10.6孔隙比e 仝Sr1.201.0孔隙率e1 e 12 0.545 54.5%1 1.2饱和密度及其重度G s esatw 1 e2.7 1.2 (5)sat sat浮密度及其重度1.21.77 1.77g / cm 310 17.7kN/m 3 0.77g / cm 3' 'g 0.77 107.7kN /m 3干密度及其重度G S w 2.7「°31.23g / cmsat w1.77 1.0 e 1 1.2d g 1.23 1012.3kN/m 31-3 解:1.601.51g/cm 31 0.06G s wsat Q m s0.79G s 2.70m s1-4 解:m wm sm wm sm w1-5 解:(1)e01込卫1 0.7929.3%1.511.60 1001 0.06(29.3% 6%)m m s150.9g150.9 35.2gm s m s10000.16gm s 940g1 0.060.16 940 150g1.771 0.098G S w 11.61g/ 3cm2712 11.610.68e0 satG s 磴25.2% 2.7D re0 0.94 0.680.54e max e min 0.94 0.461/3 D r 2/3该砂土层处于中密状态。
土力学1-1 解:(1) A 试样100.083d mm = 300.317d mm = 600.928d mm =60100.92811.180.083u d C d === 22301060()0.317 1.610.0830.928c d C d d ===⨯(1) B 试样100.0015d mm = 300.003d mm = 600.0066d mm =60100.0066 4.40.0015u d C d === 22301060()0.0030.910.00150.0066c d C d d ===⨯1-2 解:已知:m =15.3g S m =10.6g S G =2.70饱和 ∴rS =1又知:wSm m m =-= 15.3-10.6=4.7g(1) 含水量 w Smmω==4.710.6=0.443=44.3% (2) 孔隙比 0.4432.71.201.0Sre G Sω⨯=== (3) 孔隙率1.20.54554.5%111.2e e η====++ (4) 饱和密度及其重度32.71.21.77/111.2S s a t wG e g cm e ρρ++===++ 31.771017.7/s a t s a t g k N m γρ=⨯=⨯= (5) 浮密度及其重度3' 1.77 1.00.77/s a t w g c m ρρρ=-=-= 3''0.77107.7/g k N m γρ=⨯=⨯= (6) 干密度及其重度32.71.01.23/111.2S w d G g cm e γρ⨯===++ 31.231012.3/d d g kN m γρ=⨯=⨯= 1-3 解:31.601.51/110.06d g cm ρρω===++ ∴ 2.70 1.01110.791.51s s w d d G e ρρρρ⨯=-=-=-=∴ 0.7929.3%2.70sat s e G ω=== 1.60100150.91110.06s m V m g ρωω⨯====+++ ∴ (29.3%6%)150.935.2w s m m g ω∆=∆=-⨯= 1-4 解:w Sm mω=w Sm m m =-sSm m mω=-∴ 1000940110.06s m m g ω===++ 0.16ω∆= ∴ 0.1694015w s m m g ω∆=∆=⨯= 1-5 解:(1) 31.771.61/110.098d g cm w ρρ===++∴ 0 2.7 1.01110.681.61s s w d d G e ρρρρ⨯=-=-=-=(2) 00.6825.2%2.7sat s e G ω===(3) max 0max min 0.940.680.540.940.46r e e D e e --===--1/32/3r D <<∴ 该砂土层处于中密状态。
土力学 1-1 解: (1) A 试样100.083d mm = 300.317d mm = 600.928d mm =60100.92811.180.083ud C d === 22301060()0.317 1.610.0830.928c d C d d ===⨯ (1) B 试样100.0015d mm = 300.003d mm = 600.0066d mm =60100.0066 4.40.0015ud C d === 22301060()0.0030.910.00150.0066c d C d d ===⨯ 1-2 解: 已知:m=15.3gSm =10.6gSG =2.70饱和∴rS=1又知:w Sm m m =-=15.3-10.6=4.7g(1) 含水量w Sm m ω==4.710.6=0.443=44.3%(2) 孔隙比0.443 2.7 1.201.0Sre G Sω⨯===(3) 孔隙率1.20.54554.5%11 1.2e e η====++(4) 饱和密度及其重度32.7 1.21.77/11 1.2S sat w G e g cm e ρρ++===++31.771017.7/satsat g kN m γρ=⨯=⨯=(5) 浮密度及其重度3' 1.77 1.00.77/sat w g cm ρρρ=-=-=3''0.77107.7/g kN m γρ=⨯=⨯=(6) 干密度及其重度32.7 1.01.23/11 1.2S w d G g cm e γρ⨯===++31.231012.3/d d g kN m γρ=⨯=⨯=1-3 解:31.601.51/110.06d g cm ρρω===++∴ 2.70 1.01110.791.51s s w d d G e ρρρρ⨯=-=-=-=∴ 0.7929.3%2.70sat s e G ω===1.60100150.91110.06sm V m g ρωω⨯====+++ ∴ (29.3%6%)150.935.2w s m m g ω∆=∆=-⨯=1-4 解:w Sm m ω= w S m m m =-sSm mmω=-∴ 1000940110.06s m m g ω===++0.16ω∆= ∴ 0.16940150w s m m g ω∆=∆=⨯=1-5 解:(1)31.771.61/110.098d g cm w ρρ===++∴ 02.7 1.01110.681.61s s w d d G e ρρρρ⨯=-=-=-= (2) 00.6825.2%2.7sats e G ω=== (3) max 0max min 0.940.680.540.940.46re e D e e --===-- 1/32/3rD <<∴ 该砂土层处于中密状态。
土力学1-1 解:(1) A 试样100.083d mm = 300.317d mm = 600.928d mm =60100.92811.180.083u d C d === 22301060()0.317 1.610.0830.928c d C d d ===⨯ (1) B 试样100.0015d mm = 300.003d mm = 600.0066d mm =60100.0066 4.40.0015u d C d === 22301060()0.0030.910.00150.0066c d C d d ===⨯ 1-2 解:已知:m =15.3g S m =10.6g S G =2.70饱和 ∴r S =1又知:wSm m m =-= 15.3-10.6=4.7g(1) 含水量 w Smmω==4.710.6=0.443=44.3% (2) 孔隙比 0.443 2.71.201.0Sre G Sω⨯=== (3) 孔隙率1.20.54554.5%11 1.2e e η====++ (4) 饱和密度及其重度32.7 1.21.77/11 1.2S s a t wG e g cm e ρρ++===++ 31.771017.7/s a t s a t g k N m γρ=⨯=⨯= (5) 浮密度及其重度3'1.771.00.77/s a t w g c m ρρρ=-=-= 3''0.77107.7/g k N m γρ=⨯=⨯= (6) 干密度及其重度32.7 1.01.23/11 1.2S w d G g cm e γρ⨯===++ 31.231012.3/d d g kN m γρ=⨯=⨯= 1-3 解:31.601.51/110.06d g cm ρρω===++ ∴ 2.70 1.01110.791.51s s w d d G e ρρρρ⨯=-=-=-=∴ 0.7929.3%2.70sat s e G ω=== 1.60100150.91110.06s m V m g ρωω⨯====+++∴ (29.3%6%)150.935.2w s m m g ω∆=∆=-⨯=1-4 解:w Sm mω=w Sm m m =-sSm m mω=-∴ 1000940110.06s m m g ω===++0.16ω∆= ∴ 0.16940150w s m m g ω∆=∆=⨯= 1-5 解:(1)31.771.61/110.098d g cm w ρρ===++∴ 0 2.7 1.01110.681.61s s w d d G e ρρρρ⨯=-=-=-= (2) 00.6825.2%2.7sat s e G ω=== (3) max 0max min 0.940.680.540.940.46r e e D e e --===-- 1/32/3r D <<∴ 该砂土层处于中密状态。
土力学课后习题与答案思考题11-1 什么叫土?土是怎样形成的?粗粒土和细粒土的组成有何不同?1-2 什么叫残积土?什么叫运积土?他们各有什么特征?1-3 何谓土的级配?土的粒径分布曲线是怎样绘制的?为什么粒径分布曲线用半对数坐标?1-4 何谓土的结构?土的结构有哪几种类型?它们各有什么特征?1-5 土的粒径分布曲线的特征可以用哪两个系数来表示?它们定义又如何?1-6 如何利用土的粒径分布曲线来判断土的级配的好坏?1-7 什么是吸着水?具有哪些特征?1-8 什么叫自由水?自由水可以分为哪两种?1-9 什么叫重力水?它有哪些特征?1-10 土中的气体以哪几种形式存在?它们对土的工程性质有何影响?1-11 什么叫的物理性质指标 是怎样定义的?其中哪三个是基本指标?1-12 什么叫砂土的相对密实度?有何用途?1-13 何谓粘性土的稠度?粘性土随着含水率的不同可分为几种状态?各有何特性?1-14 何谓塑性指数和液性指数?有何用途?1-15 何谓土的压实性?土压实的目的是什么?1-16 土的压实性与哪些因素有关?何谓土的最大干密度和最优含水率?1-17 土的工程分类的目的是什么?1-18 什么是粗粒土?什么叫细粒土? 思考题22-1 土中的应力按照其起因和传递方式分哪几种?怎么定义?2-2 何谓自重应力,何谓静孔隙水应力?计算自重应力应注意些什么?2-3 何谓附加应力,空间问题和平面问题各有几个附加应力分量?计算附加应力时对地基做了怎样的假定?2-4 什么叫柔性基础?什么叫刚性基础?这两种基础的基底压力有何不同?2-5 地基中竖向附加应力的分布有什么规律?相邻两基础下附加应力是否会彼此影响?2-6 附加应力的计算结果与地基中实际的附加应力能否一致,为什么?2-7 什么是有效应力?什么是孔隙应力?其中静孔隙应力如何计算?2-8 你能熟练掌握角度法和叠加原理的应用吗?会计算各种荷载条件下地基中任意点的竖向附加应力吗?思考题33-1 何谓达西定律,达西定律成立的条件有哪些?3-2 实验室内测定渗透系数的方法有几种?它们之间又什么不同?3-3 流网有什么特征?3-4 渗透变形有几种形式?各有什么特征?3-5 什么是临界水力梯度?如何对其进行计算?3-6 孔隙水应力在静水条件下和在稳定渗流作用下有什么不同?如何利用流网确定渗流作用的孔隙水压力。
《土力学》作业答案第一章1—1根据下列颗粒分析试验结果,作出级配曲线,算出Cu 及Cv 值,并判断其级配情况是否级配曲线见附图。
小于某直径之土重百分数%土粒直径以毫米计习题1-1 颗粒大小级配曲线由级配曲线查得:d 60=0.45,d 10=0.055,d 30=0.2;18.8055.045.01060===d d C u62.1055.045.02.026010230=⨯==d d d C cC u >5,1<C c <3;故,为级配良好的土。
1—2有A 、B 、C 三种土,各取500g ,颗粒大小分析结果如表:(2)确定不均匀系数Cu 及曲率系数Cv ,并由Cu 、Cv判断级配情况。
解:1001010.10.011E-3102030405060708090100土粒直径以毫米计小于某直径之土重百分数%习题1-2 颗粒大小级配曲线由级配曲线查得d 10、d 30、d 60,并计算C u 、C c :d 10 d 30 d 60 C u C c 级配情况 A 0.0125 0.045 0.12 9.6 1.35 良好 B 0.19 0.41 0.69 3.63 1.28 不良 C 0.1350.252.9021.480.16不良1—3某土样孔隙体积等于颗粒体积,求孔隙比e 为若干? 若Gs=2.66,求d=? 若孔隙为水所充满求其密度和含水量W 。
解:111===s v V V e ; 3/33.1266.2cm g V M s d ===ρ; 3/83.12166.2cm g V M M w s =+=+=ρ;%6.3766.21===s w M M ω。
1—4在某一层土中,用容积为72cm 3的环刀取样,经测定,土样质量129.1g ,烘干后质量121.5g ,土粒比重为2.70,问该土样的含水量、密度、饱和密度、浮密度、干密度各是多少?解:3457.25.121cm G M V s s s ===;3274572cm V V V s V =-=-=;%26.60626.05.1215.1211.129==-==s w M M ω; 3/79.1721.129cm g V M ===ρ; 3/06.2722715.121cm g V V M v w s sat =⨯+=+=ρρ;3/06.1724515.121'cm g V V M s w s =⨯-=-=ρρ;[或3/06.1106.2'cm g w sat =-=-=ρρρ];3/69.1725.121cm g V M s d ===ρ。
《土力学》课后习题答案土力学课后习题与答案思考题11-1 什么叫土?土是怎样形成的?粗粒土和细粒土的组成有何不同?1-2 什么叫残积土?什么叫运积土?他们各有什么特征?1-3 何谓土的级配?土的粒径分布曲线是怎样绘制的?为什么粒径分布曲线用半对数坐标?1-4 何谓土的结构?土的结构有哪几种类型?它们各有什么特征?1-5 土的粒径分布曲线的特征可以用哪两个系数来表示?它们定义又如何?1-6 如何利用土的粒径分布曲线来判断土的级配的好坏?1-7 什么是吸着水?具有哪些特征?1-8 什么叫自由水?自由水可以分为哪两种?1-9 什么叫重力水?它有哪些特征?1-10 土中的气体以哪几种形式存在?它们对土的工程性质有何影响?1-11 什么叫的物理性质指标是怎样定义的?其中哪三个是基本指标?1-12 什么叫砂土的相对密实度?有何用途?1-13 何谓粘性土的稠度?粘性土随着含水率的不同可分为几种状态?各有何特性?1-14 何谓塑性指数和液性指数?有何用途?1-15 何谓土的压实性?土压实的目的是什么?1-16 土的压实性与哪些因素有关?何谓土的最大干密度和最优含水率?1-17 土的工程分类的目的是什么?1-18 什么是粗粒土?什么叫细粒土?思考题22-1 土中的应力按照其起因和传递方式分哪几种?怎么定义?2-2 何谓自重应力,何谓静孔隙水应力?计算自重应力应注意些什么?2-3 何谓附加应力,空间问题和平面问题各有几个附加应力分量?计算附加应力时对地基做了怎样的假定?2-4 什么叫柔性基础?什么叫刚性基础?这两种基础的基底压力有何不同?2-5 地基中竖向附加应力的分布有什么规律?相邻两基础下附加应力是否会彼此影响?2-6 附加应力的计算结果与地基中实际的附加应力能否一致,为什么?2-7 什么是有效应力?什么是孔隙应力?其中静孔隙应力如何计算?2-8 你能熟练掌握角度法和叠加原理的应用吗?会计算各种荷载条件下地基中任意点的竖向附加应力吗?思考题33-1 何谓达西定律,达西定律成立的条件有哪些?3-2 实验室内测定渗透系数的方法有几种?它们之间又什么不同?3-3 流网有什么特征?3-4 渗透变形有几种形式?各有什么特征?3-5 什么是临界水力梯度?如何对其进行计算?3-6 孔隙水应力在静水条件下和在稳定渗流作用下有什么不同?如何利用流网确定渗流作用的孔隙水压力。
土力学课后习题与答案思考题11-1 什么叫土?土是怎样形成的?粗粒土和细粒土的组成有何不同?1-2 什么叫残积土?什么叫运积土?他们各有什么特征?1-3 何谓土的级配?土的粒径分布曲线是怎样绘制的?为什么粒径分布曲线用半对数坐标?1-4 何谓土的结构?土的结构有哪几种类型?它们各有什么特征?1-5 土的粒径分布曲线的特征可以用哪两个系数来表示?它们定义又如何?1-6 如何利用土的粒径分布曲线来判断土的级配的好坏?1-7 什么是吸着水?具有哪些特征?1-8 什么叫自由水?自由水可以分为哪两种?1-9 什么叫重力水?它有哪些特征?1-10 土中的气体以哪几种形式存在?它们对土的工程性质有何影响?1-11 什么叫的物理性质指标 是怎样定义的?其中哪三个是基本指标?1-12 什么叫砂土的相对密实度?有何用途?1-13 何谓粘性土的稠度?粘性土随着含水率的不同可分为几种状态?各有何特性?1-14 何谓塑性指数和液性指数?有何用途?1-15 何谓土的压实性?土压实的目的是什么?1-16 土的压实性与哪些因素有关?何谓土的最大干密度和最优含水率?1-17 土的工程分类的目的是什么?1-18 什么是粗粒土?什么叫细粒土? 思考题22-1 土中的应力按照其起因和传递方式分哪几种?怎么定义?2-2 何谓自重应力,何谓静孔隙水应力?计算自重应力应注意些什么?2-3 何谓附加应力,空间问题和平面问题各有几个附加应力分量?计算附加应力时对地基做了怎样的假定?2-4 什么叫柔性基础?什么叫刚性基础?这两种基础的基底压力有何不同?2-5 地基中竖向附加应力的分布有什么规律?相邻两基础下附加应力是否会彼此影响?2-6 附加应力的计算结果与地基中实际的附加应力能否一致,为什么?2-7 什么是有效应力?什么是孔隙应力?其中静孔隙应力如何计算?2-8 你能熟练掌握角度法和叠加原理的应用吗?会计算各种荷载条件下地基中任意点的竖向附加应力吗?思考题33-1 何谓达西定律,达西定律成立的条件有哪些?3-2 实验室内测定渗透系数的方法有几种?它们之间又什么不同?3-3 流网有什么特征?3-4 渗透变形有几种形式?各有什么特征?3-5 什么是临界水力梯度?如何对其进行计算?3-6 孔隙水应力在静水条件下和在稳定渗流作用下有什么不同?如何利用流网确定渗流作用的孔隙水压力。
第一章1-2 根据图1 -5 上四根粒径分布曲线,列表写出各土的各级粒组含量,估算②、③、④、土的Cu 及Cc 并评价其级配情况。
1-8 有一块体积为60 cm 3 的原状土样,重1.05 N, 烘干后0.85 N 。
已只土粒比重(相对密度)=2.67 。
求土的天然重度g 、天然含水量、干重度g d 、饱和重度g sat 、浮重度g ' 、孔隙比 e 及饱和度S r1-8 解:分析:由W 和V 可算得g ,由W s 和V 可算得g d ,加上G s ,共已知3 个指标,故题目可解。
(1-12)(1-14)注意:1 .使用国际单位制;2 .g w 为已知条件,g w =10kN/m3 ;3 .注意求解顺序,条件具备这先做;4 .注意各g 的取值范围。
1-9 根据式(1 — 12 )的推导方法用土的单元三相简图证明式(1 -14 )、(1 -15 )、(1 -17 )。
1-10 某工地在填土施工中所用土料的含水量为5% ,为便于夯实需在土料中加水,使其含水量增至15% ,试问每1000 kg 质量的土料应加多少水1-10 解:分析:加水前后M s 不变。
于是:加水前:( 1 )加水后:( 2 )由(1 )得:,代入(2 )得:注意:土料中包含了水和土颗粒,共为1000kg ,另外,。
1 -11 用某种土筑堤,土的含水量=15 %,土粒比重G s =2.67 。
分层夯实,每层先填0.5m ,其重度等g =16kN/ m 3 ,夯实达到饱和度=85% 后再填下一层,如夯实时水没有流失,求每层夯实后的厚度。
1-11 解:分析:压实前后W s 、V s 、w 不变,如设每层填土的土颗粒所占的高度为h s ,则压实前后h s 不变,于是有:( 1 )由题给关系,求出:代入(1 )式,得:1-12 某饱和土样重0.40N ,体积为21.5 cm 3 ,将其烘过一段时间后重为0.33 N ,体积缩至15.7 cm 3 ,饱和度=75% ,试求土样在烘烤前和烘烤的含水量及孔隙比和干重度。
土力学课后习题与答案思考题11-1 什么叫土?土是怎样形成的?粗粒土和细粒土的组成有何不同?1-2 什么叫残积土?什么叫运积土?他们各有什么特征?1-3 何谓土的级配?土的粒径分布曲线是怎样绘制的?为什么粒径分布曲线用半对数坐标?1-4 何谓土的结构?土的结构有哪几种类型?它们各有什么特征?1-5 土的粒径分布曲线的特征可以用哪两个系数来表示?它们定义又如何?1-6 如何利用土的粒径分布曲线来判断土的级配的好坏?1-7 什么是吸着水?具有哪些特征?1-8 什么叫自由水?自由水可以分为哪两种?1-9 什么叫重力水?它有哪些特征?1-10 土中的气体以哪几种形式存在?它们对土的工程性质有何影响?1-11 什么叫的物理性质指标 是怎样定义的?其中哪三个是基本指标?1-12 什么叫砂土的相对密实度?有何用途?1-13 何谓粘性土的稠度?粘性土随着含水率的不同可分为几种状态?各有何特性?1-14 何谓塑性指数和液性指数?有何用途?1-15 何谓土的压实性?土压实的目的是什么?1-16 土的压实性与哪些因素有关?何谓土的最大干密度和最优含水率?1-17 土的工程分类的目的是什么?1-18 什么是粗粒土?什么叫细粒土? 思考题22-1 土中的应力按照其起因和传递方式分哪几种?怎么定义?2-2 何谓自重应力,何谓静孔隙水应力?计算自重应力应注意些什么?2-3 何谓附加应力,空间问题和平面问题各有几个附加应力分量?计算附加应力时对地基做了怎样的假定?2-4 什么叫柔性基础?什么叫刚性基础?这两种基础的基底压力有何不同?2-5 地基中竖向附加应力的分布有什么规律?相邻两基础下附加应力是否会彼此影响?2-6 附加应力的计算结果与地基中实际的附加应力能否一致,为什么?2-7 什么是有效应力?什么是孔隙应力?其中静孔隙应力如何计算?2-8 你能熟练掌握角度法和叠加原理的应用吗?会计算各种荷载条件下地基中任意点的竖向附加应力吗?思考题33-1 何谓达西定律,达西定律成立的条件有哪些?3-2 实验室内测定渗透系数的方法有几种?它们之间又什么不同?3-3 流网有什么特征?3-4 渗透变形有几种形式?各有什么特征?3-5 什么是临界水力梯度?如何对其进行计算?3-6 孔隙水应力在静水条件下和在稳定渗流作用下有什么不同?如何利用流网确定渗流作用的孔隙水压力。