电路与模拟电子技术基础(第2版)-习题解答-第8章习题解答
- 格式:doc
- 大小:5.65 MB
- 文档页数:7
《电路分析基础》各章习题参考答案第1章习题参考答案1-1 (1) 50W;(2) 300 V、25V,200V、75 V;(3) R2=12.5Ω,R3=100Ω,R4=37.5Ω1-2 V A=8.5V,V m=6.5V,V B=0.5V,V C=−12V,V D=−19V,V p=−21.5V,U AB=8V,U BC=12.5,U DA=−27.5V1-3 电源(产生功率):A、B元件;负载(吸收功率):C、D元件;电路满足功率平衡条件。
1-4 (1) V A=100V,V B=99V,V C=97V,V D=7V,V E=5V,V F=1V,U AF=99V,U CE=92V,U BE=94V,U BF=98V,U CA=−3 V;(2) V C=90V,V B=92V,V A=93V,V E=−2V,V F=−6V,V G=−7V,U AF=99V,U CE=92V,U BE=94V,U BF=98V,U CA=−3 V1-5 I≈0.18A ,6度,2.7元1-6 I=4A,I1=11A,I2=19A1-7 (a) U=6V,(b) U=24 V,(c) R=5Ω,(d) I=23.5A1-8 (1) i6=−1A;(2) u4=10V,u6=3 V;(3) P1=−2W发出,P2 =6W吸收,P3 =16W吸收,P4=−10W发出,P5=−7W发出,P6=−3W发出1-9 I=1A,U S=134V,R≈7.8Ω1-10 S断开:U AB=−4.8V,U AO=−12V,U BO=−7.2V;S闭合:U AB=−12V,U AO=−12V,U BO=0V 1-11 支路3,节点2,网孔2,回路31-12 节点电流方程:(A) I1 +I3−I6=0,(B)I6−I5−I7=0,(C)I5 +I4−I3=0回路电压方程:①I6 R6+ U S5 +I5 R5−U S3 +I3 R3=0,②−I5 R5−U S5+ I7R7−U S4=0,③−I3 R3+ U S3 + U S4 + I1 R2+ I1 R1=01-13 U AB=11V,I2=0.5A,I3=4.5A,R3≈2.4Ω1-14 V A=60V,V C=140V,V D=90V,U AC=−80V,U AD=−30V,U CD=50V1-15I1=−2A,I2=3A,I3=−5A,I4=7A,I5=2A第2章习题参考答案2-1 2.4 Ω,5 A2-2 (1) 4 V,2 V,1 V;(2) 40 mA,20 mA,10 mA2-3 1.5 Ω,2 A,1/3 A2-4 6 Ω,36 Ω2-5 2 A,1 A2-6 1 A2-7 2 A2-8 1 A2-9 I1 = −1.4 A,I2 = 1.6 A,I3 = 0.2 A2-10 I1 = 0 A,I2 = −3 A,P1 = 0 W,P2 = −18 W2-11 I1 = −1 mA,I2 = −2 mA,E3 = 10 V2-12 I1 = 6 A,I2 = −3 A,I3 = 3 A2-13 I1 =2 A,I2 = 1A,I3 = 1 A,I4 =2 A,I5 = 1 A2-14 V a = 12 V ,I1 = −1 A,I2 = 2 A2-15 V a = 6 V,I1 = 1.5 A,I2 = −1 A,I3 = 0.5 A2-16 V a = 15 V,I1 = −1 A,I2 = 2 A,I3 = 3 A2-17 I1 = −1 A,I2 = 2 A2-18 I1 = 1.5 A,I2 = −1 A,I3 = 0.5 A2-19 I1 = 0.8 A,I2 = −0.75 A,I3 = 2 A,I4 = −2.75 A,I5 = 1.55 A2-20 I3 = 0.5 A2-21 U0 = 2 V,R0 = 4 Ω,I0 = 0.1 A2-22 I5 = −1 A2-23 (1) I5 = 0 A,U ab = 0 V;(2) I5 = 1 A,U ab = 11 V2-24 I L = 2 A2-25 I S =11 A,R0 = 2 Ω2-26 18 Ω,−2 Ω,12 Ω2-27 U=5 V2-28 I =1 A2-29 U=5 V2-30 I =1 A2-31 10 V,180 Ω2-32 U0 = 9 V,R0 = 6 Ω,U=15 V第3章习题参考答案3-1 50Hz,314rad/s,0.02s,141V,100V,120°3-2 200V,141.4V3-3 u=14.1sin (314t−60°) V3-4 (1) ψu1−ψu=120°;(2) ψ1=−90°,ψ2=−210°,ψu1−ψu2=120°(不变)3-5 (1)150290VU=∠︒,25020VU=︒;(2) u3ωt+45°)V,u4ωt+135°)V3-6 (1) i1=14.1 sin (ωt+72°)A;(2) u2=300 sin (ωt-60°)V3-7 错误:(1) ,(3),(4),(5)3-8 (1) R;(2) L;(3) C;(4) R3-9 i=2.82 sin (10t−30°) A,Q≈40 var3-10 u=44.9sin (314t−135°) V,Q=3.18 var3-11 (1) I=20A;(2) P=4.4kW3-12 (1)I≈1.4A, 1.430AI≈∠-︒;(3)Q≈308 var,P=0W;(4) i≈0.98 sin (628t−30°) A3-13 (1)I=9.67A,9.67150AI=∠︒,i=13.7 sin (314t+150°) A;(3)Q=2127.4 var,P=0W;(4)I C=0A3-14 (1)C =20.3μF ;(2) I L =0.25A ,I C =16A第4章 习题参考答案4-1 (a) 536.87Z =∠︒Ω,0.236.87S Y =∠-︒;(b) 45Z =-︒Ω,45S Y =︒ 4-2 Y =(0.06-j0.08) S ,R ≈16.67 Ω,X L =12.5 Ω,L ≈0.04 H 4-3 R 600V U =∠︒,L 8090V U =∠︒,S 10053.13V U =∠︒ 4-4 2036.87I =∠-︒4-545Z =︒Ω,10A I =∠︒,R 1000V U =∠︒,L 12590V U =∠︒,C 2590V U =∠-︒ 4-645S Y =︒,420V U =∠︒,R 20A I =∠︒,L 0.2290A I =∠-︒,C 1.2290A I =∠︒4-7 10245A I =∠︒,S 10090V U =∠︒ 4-8 (a) 30 V ;(b) 2.24 A 4-9 (a) 10 V ;(b) 10 A 4-10 (a) 10 V ;(b) 10 V 4-11 U =14.1 V4-12 U L1 =15 V ,U C2 =8 V ,U S =15.65 V4-13 U X1 =100 V ,U 2 =600 V ,X 1=10 Ω,X 2=20 Ω,X 3=30 Ω4-14 45Z =︒Ω,245A I =∠-︒,120A I =∠︒,2290A I =∠-︒,ab 0V U =4-15 (1)A I =,RC Z =,Z =Ω;(2)10R =Ω,C 10X =Ω 4-16 P = 774.4 W ,Q = 580.8 var ,S = 968 V·A 4-17 I 1 = 5 A ,I 2 = 4 A4-18 I 1 = 1 A ,I 2 = 2 A ,526.565A I =∠︒,26.565V A 44.72S =∠-︒⋅4-19 10Z =Ω,190A I =∠︒,R252135V U =∠︒,10W P = 4-20 ω0 =5×106 rad/s ,ρ = 1000 Ω,Q = 100,I = 2 mA ,U R =20 mV ,U L = U C = 2 V 4-21 ω0 =104 rad/s ,ρ = 100 Ω,Q = 100,U = 10 V ,I R = 1 mA ,I L = I C = 100 mA 4-22 L 1 = 1 H ,L 2 ≈ 0.33 H第5章 习题参考答案5-3 M = 35.5 mH5-4 ω01 =1000 rad/s ,ω02 =2236 rad/s 5-5 Z 1 = j31.4 Ω,Z 2 = j6.28 Ω 5-6 Z r = 3+7.5 Ω 5-7 M = 130 mH 5-8 2245A I =∠︒ 5-9 U 1 = 44.8 V5-10 M 12 = 20 mH ,I 1 = 4 A 5-11 U 2 = 220 V ,I 1 = 4 A 5-12 n = 1.95-13 N 2 = 254匝,N 3 = 72匝 5-14 n = 10,P 2 = 31.25 mW第6章 习题参考答案6-1 (1) A 相灯泡电压为零,B 、C 相各位为220V6-3 I L = I p = 4.4 A ,U p = 220 V ,U L = 380 V ,P = 2.3 kW 6-4 (2) I p = 7.62 A ,I L = 13.2 A6-5 A 、C 相各为2.2A ,B 相为3.8A 6-6 U L = 404 V6-7 A N 20247U ''=∠-︒V6-8 cos φ = 0.961,Q = 5.75 kvar 6-9 33.428.4Z =∠︒Ω6-10 (1) I p = 11.26 A ,Z = 19.53∠42.3° Ω; (2) I p = I l = 11.26 A ,P = 5.5 kW 6-11 U l = 391 V6-12 A t 53.13)A i ω=-︒B t 173.13)A i ω=-︒C t 66.87)A i ω=+︒6-13 U V = 160 V6-14 (1) 负载以三角形方式接入三相电源(2) AB 3.8215A I =-︒,BC 3.82135A I =-︒,CA 3.82105A I =︒A 3.8645A I =∠-︒,B 3.86165A I =∠-︒,C 3.8675A I =∠︒6-15 L = 110 mH ,C = 91.9 mF第7章 习题参考答案7-1 P = 240 W ,Q = 360 var 7-2 P = 10.84 W7-3 (1)() 4.7sin(100)3sin3A i t t t ωω=+︒+ (2) I ≈3.94 A ,U ≈58.84 V ,P ≈93.02 W7-4 m12π()sin(arctan )V 2MU L u t t zRωωω=+-,z =7-5 直流电源中有交流,交流电源中无直流7-6 U 1=54.3 V ,R = 1 Ω,L = 11.4 mH ;约为8%,(L ’ = 12.33 mH )7-7 使总阻抗或总导纳为实数(虚部为0)的条件为12X R R R ==7-8 19.39μF C =,275.13μF C = 7-9 L 1 = 1 H ,L 2 = 66.7 mH 7-10 C 1 = 10 μF ,C 2 = 1.25 μF第8章 习题参考答案8-6 i L (0+)=1.5mA ,u L (0+)=−15V8-7 i 1(0+)=4A ,i 2(0+)=1A ,u L (0+)=2V ,i 1(∞)=3A ,i 2(∞)=0,u L (∞)=0 8-8 i 1(0+)=75mA ,i 2(0+)=75mA ,i 3(0+)=0,u L1(0+)=0,u L2(0+)=2.25V8-9 6110C ()2e Ati t -⨯= 8-10 4L ()6e V t u t -=8-11 6110C ()10(1e )V t u t -⨯=-,6110C ()5e A t i t -⨯= *8-12 500C ()115e sin(86660)V t u t -=+︒ 8-13 10L ()12e V t u t -=,10L ()2(1e )A t i t -=- 8-14 21R S ()eV t R Cu t U -=-,3R S (3)e V u U τ-=-8-15 (1) τ=0.1s ,(2) 10C ()10e V t u t -=,(3) t =0.1s 8-16 510C ()109e V t u t -=-8-17 10L ()5e A t i t -=8-18 (a)00()1()1(2)f t t t t t =---;(b)00000()1()1()[1()1(2)]1()21()1(2)f t t t t t t t t t t t t t =------=-⨯-+- 8-19 0.50.5(1)C ()[5(1e )1()5(1e )1(-1)]V t t u t t t ---=--- 8-20 u o 为三角波,峰值为±0.05V*8-21 临界阻尼R ,欠阻尼R ,过阻尼R *8-22 12666L ()[(1e )1()(1e)1(1)2(1e)1(2)]t t ti t t t t -----=-+-----。
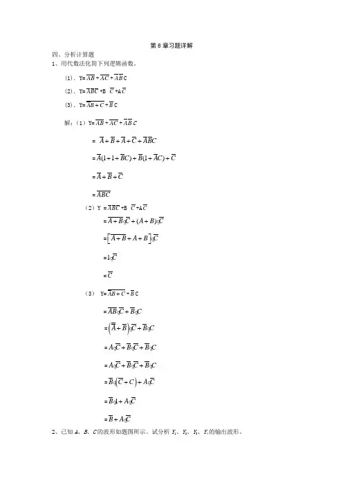
第8章组合数字电路习题解答【8-1】分析图8-1所示电路的逻辑功能,写出输出的逻辑表达式,列出真值表,说明其逻辑功能。
A B &&&&&&&CY图8-1 题8-1电路图解:(0,3,5,6)Y ABC ABC ABC ABC m A B C=+++==⊕⊕∑真值表见表8.1表8.1Y C B A 10001000010011100101110111111000根据真值表可以判断该电路是三变量异或非电路。
【8-2】逻辑电路如图8-2所示:1.写出输出S 、C 、P 、L 的逻辑函数表达式;2.当取S 和C 作为电路的输出时,此电路的逻辑功能是什么?=1&&1&&11&1XYZSC P L图8-2 题8-2电路图解:1.S=X Y Z ⊕⊕C =()X Y Z YZ XY XZ YZ ⊕+=++ P =Y Z ⊕ L =YZ2.当取S 和C 作为电路的输出时,此电路为全加器。
【8-3】 图8-3为由三个全加器构成的电路,试写出其输出F 1,F 2,F 3,F 4的表达式。
A iB iC i-1S i C iA iB iC S i C iA iB iC i-1S i C iX YZ12F 3F 4i-1图8-3 题8-3电路图解:F 1=X Y Z ⊕⊕ 2()F X Y Z =⊕⋅3F XY Z =⊕ 4F XYZ =【8-4】图8-4为集成4位全加器74LS283和或非门构成的电路,已知输入DCBA 为BCD8421码,写出B 2 B 1的表达式,并列表说明输出''''A B C D 为何种编码?A 3A 2A 1A 0S 3 S 2S 1 S 0C 0C 4D' C' B' A'74LS283D C B AB 3 B 2B 1B 041>1>1>图8-4 题8-4电路图解:21B B D B A D C D CB CA ==++++=++若输入DCBA 为BCD8421码,列表可知D 'C 'B 'A '为BCD2421码。
电路与电子学基本第二版第八章答案8.1解:理想集成运放工作在线性区与非线性区的共同点:(1)开环放大被数A od =∞,(2)开环差模输入电阻r id =∞,(3)开环输入电阻r o =0, (4)输入偏置电流I 1B =I 2B =0,(5)失调电压U o 、失调电流I o 以及它们的温漂均为零, (6)共模抑制比K CMR =∞, (7)-3dB 带宽f H =∞, (8)无干扰、噪声。
当理想集成运放工作在线性区时还具有以下特性:(1)同相输入电流与反相输入电流I +,I -均为零;(2)差模输入电压U +=U -=0。
8.2解:集成运放应用于信号运算时工作在线性区 8.3解:同相与反相比例运算电路比较如下:反相比例运算电路 同相比例运算电路 反馈类型 电压并联负反馈 电压串联负反馈 输入信号 加在反相输入端 加在同相输入端 输入电阻 不高 大共模输入电压 U +=U -=0,虚地 U +=U -= U i ,虚短 K CMR 要求低 要求高输入与输出 反相 同相8.4解:(1)“虚地”实质是共模输入电压很小,接近于0(2)因为“虚地”并不是真正的直接接地,而且是存在微弱的电位的 (3)在要求共模输入电压很小接近于0的情况下才能引进“虚地”的概念8.5解:(1)b (2)e (3)a (4)c (5)d 8.6解:A 1与A 3虚短,A 2虚地;A 1构成同相比例电路,A 2构成反相比例电路,A 3构成同相比例电路,所以U o =-6U i 8.7解:电压放大倍数A u =io U U =1R Rf-=-3,输入电阻为R 1=10K Ω,平衡电阻R ’=R 1//R f =7.5 K Ω8.8解:取各电阻关系为:1R Rf=5,2R Rf=0.5,3R Rf=5;R ’=R 1//R 2//R 3//R f =f R 212。
电路图如下:-U i1 -U i2 U o -U i3改为:8.8解:取各电阻关系为:1R Rf=5,2R Rf=0.5,3R Rf=5;R ’=R 1//R 2//R 3//R f =2/23Rf 。
第8章 习题解答1.答:整流二极管反向电阻不够大,将有较大的反向电流,使整流输出电压减小。
2. 解: 半波整流电路的变压器二次侧电压为10V ,负裁电阻R L =500Ω 半波整流电路流过二极管的电流平均值。
mA R U I L O 95001045.045.02=⨯== 3. 解: 单相桥式整流电路变压器二次侧电压为20V ,每个二极管承受的最高反向电压为U RM =√2U 2=28.3V4. 解:如图8-19所示电路中,已知R L =80Ω,直流电压表○V 的读数为110V , 则(1)直流电流表的○A 读数图8-19 题4图I =U R L =11080=1.375A (2)最大电流I m =U m R L =π11080=4.32A (3) 交流电压表○V1的读数U 2=U 0.45=1100.45=244V变压器二次侧电流的有效值I 2=1.57I O =1.57×1.375=2.16A5. 解:在图8-20所示的单相半被整流电路中,已知变压器二次侧电压的有效值U =30V 。
负载电阻R L =l00Ω。
则i o+o图8-20 题5图(1)U O=0.45U=0.45×30=13.5VI O=U OR L=13.5100=135mA(2)U=30(1+0.1)=33VU RM=√2U=√2×33=46.7 6. 解:若采用桥式整流电路,计算上题。
(1)U O=0.9U=0.9×30=27VI O=U OR L=27100=270mA(2)U=30(1+0.1)=33VU RM=√2U=√2×33=46.77.答:单相桥式整流电路中的—只二极管的正负极接反,将使二极管和变压器烧坏。
8.答:单相桥式整流电路中,一只整流管坏,如果相当于开路的情况,整流电路成为半波整流电路,输出直流电压减半,纹波幅度加大。
单相桥式整流电路中,一只整流管坏,如果相当于短路的情况,将使二极管和变压器烧坏。
第8章习题详解四、分析计算题1、用代数法化简下列逻辑函数。
(1).Y=AB +AC +AB C(2).Y=ABC +B C +A C (3).Y=AB C ++B C解:(1)Y=AB +AC +AB C= A B A C ABC ++++ =(11)(1)A BC B AC C +++++ =A B C ++ =ABC(2)Y =ABC +B C +A C=()A B C A B C +++gg =A B A B C ⎡⎤+++⎣⎦g=1C g=C(3) Y=AB C ++B C=AB C B C +gg =()A B C B C ++g g=A C B C B C ++gg g =A C B C B C ++gg g =()B C C A C ++g g=1B A C +g g =B A C +g2、已知A 、B 、C 的波形如题图所示。
试分析Y 1、Y 2、Y3、Y 4的输出波形。
解:Y1=ABCY2=A B C ++Y3=A B C g g Y4=A B C ++3、分析题图8.2所示逻辑图的功能。
(1)写出函数Y 的逻辑表达式;(2)将函数Y 化为最简逻辑“与或”表达式式; (3)列出真值表。
解: Y=A B A A B B +++++ =()()A B A A B B ++++g =()()AB A AB B ++g =()()A B A B ++g=AB AB + 同或逻辑---相同为1,不同为0A B Y0 0 1 0 1 0 1 0 0 1114、分析题图8.3所示电路的逻辑功能。
(1)写出与电路对应的输出函数的表达式,并变换成与或式; (2)列出真值表。
解:Y=AB AB + 异或逻辑---相同为0,不同为1A B Y0 0 0 011图8.2AB≥≥≥≥Y1&≥1&A BY5、设计一多数表决电路。
要求A、B、C三人中只要有半数以上同意,则表决就能通过。
但A 还具有否决权,即只要A 不同意,即使多数人意见也不能通过(要求用最少的与非门实现)。
20XX年复习资料大学复习资料专业:班级:科目老师:日期:第1章直流电路习题解答1.1 在图1.1所示电路中,(1)选d 为参考点,求a V 、b V 和c V ;(2)选c 为参考点,求a V 、b V 和d V 。
图1.1 习题1.1电路图解 (1) 当选d 为参考点时, V 3ad a ==u VV 112cd bc bd b =-=+==u u u V ;V 1cd c -==u V (2) 当选c 为参考点时, 4V 13dc ad a =+=+=u u VV 2bc b ==u V ;V 1dc d ==u V1.2 求图1.2中各元件的功率,并指出每个元件起电源作用还是负载作用。
图1.2 习题1.2电路图解 W 5.45.131=⨯=P (吸收); W 5.15.032=⨯=P (吸收) W 15353-=⨯-=P (产生);W 5154=⨯=P (吸收); W 4225=⨯=P (吸收)元件1、2、4和5起负载作用,元件3起电源作用。
1.3 求图1.3中的电流I 、电压U 及电压源和电流源的功率。
图1.3 习题1.3电路图解 A 2=I ;V 13335=+-=I I U电流源功率:W 2621-=⋅-=U P (产生),即电流源产生功率6W 2。
电压源功率:W 632-=⋅-=I P (产生),即电压源产生功率W 6。
1.4 求图1.4电路中的电流1I 、2I 及3I 。
图1.4 习题1.4电路图解 A 1231=-=IA 1322-=-=I由1R 、2R 和3R 构成的闭合面求得:A 1223=+=I I 1.5 试求图1.5所示电路的ab U 。
图1.5 习题1.5电路图解 V 8.13966518ab -=⨯+++⨯-=U 1.6求图1.6所示电路的a 点电位和b 点电位。
图1.6 习题1.6电路图解 V 4126b =⨯-=VV 13b a =+-=V V1.7 求图1.7中的I 及S U 。
《电路与模拟电子技术基础 习题及实验指导答案 第二版》第1章 直流电路一、填 空 题1.4.1 与之联接的外电路;1.4.2 1-n ,)1(--n b ;1.4.3 不变;1.4.4 21W ,负载;1.4.5 Ω1.65A , ;1.4.6 1A 3A , ; 1.4.7 3213212)(3)23(R R R R R R R +++=; 1.4.8 1A ;1.4.9 Ω4.0,A 5.12;1.4.10 电压控制电压源、电压控制电流源、电流控制电压源、电流控制电流源;1.4.11 3A ;1.4.12 3A ;1.4.13 Ω2;1.4.14 15V ,Ω5.4;1.4.15 V 6S =U 。
二、单 项 选 择 题1.4.16 C ; 1.4.17 B ; 1.4.18 D ; 1.4.19 A ;1.4.20 A ; 1.4.21 C ; 1.4.22 B ; 1.4.23 D 。
第2章一阶动态电路的暂态分析一、填 空 题2.4.1 短路,开路;2.4.2 零输入响应;2.4.3 短路,开路;2.4.4 电容电压,电感电流;2.4.5 越慢;2.4.6 换路瞬间;2.4.7 三角波;2.4.8 s 05.0,k Ω25; 2.4.9 C R R R R 3232+; 2.4.10 mA 1,V 2。
二、单 项 选 择 题2.4.11 B ; 2.4.12 D ; 2.4.13 B ;2.4.14 D ; 2.4.15 B ; 2.4.16 C 。
第3章 正弦稳态电路的分析一、填 空 题3.4.1 ︒300.02s A 10, , ; 3.4.2 V )13.532sin(25)(︒+=t t u ;3.4.3 容性, A 44;3.4.4 10V ,2V3.4.5 相同;3.4.6 V 30,20V ;3.4.7 A 44,W 7744;3.4.8 A 5;3.4.9 减小、不变、提高;3.4.10 F 7.87μ;3.4.11 20kVA ,12kvar -;3.4.12 不变、增加、减少;3.4.13 电阻性,电容性; 3.4.14 LC π21,阻抗,电流;3.4.15 1rad/s ,4;3.4.16 Ω10;3.4.17 P L U U =,P L 3I I =,︒-30; 3.4.18 P L 3U U =,P L I I =,超前。
模拟电路第二版习题册答案模拟电路第二版习题册答案模拟电路是电子工程中的重要学科之一,它研究的是电子信号的传输、处理和控制。
在学习模拟电路的过程中,习题册是非常重要的辅助材料。
本文将为大家提供模拟电路第二版习题册的答案,帮助大家更好地理解和掌握相关知识。
第一章:基础电路理论1. 电流和电压的关系是通过欧姆定律来描述的,即I=V/R,其中I表示电流,V 表示电压,R表示电阻。
根据题目给出的电流和电压值,可以计算出电阻的数值。
2. 串联电路中的电阻相加,即R=R1+R2+R3+...,并联电路中的电阻求倒数后相加再取倒数,即1/R=1/R1+1/R2+1/R3+...3. 电路中的功率可以通过P=VI来计算,其中P表示功率,V表示电压,I表示电流。
根据题目给出的电流和电压值,可以计算出功率的数值。
第二章:放大电路1. 放大电路中常用的放大器有共射放大器、共基放大器和共集放大器。
根据题目给出的电路图,可以分析出放大器的工作方式和参数。
2. 放大电路中的增益可以通过A=Vout/Vin来计算,其中A表示增益,Vout表示输出电压,Vin表示输入电压。
根据题目给出的输入和输出电压值,可以计算出增益的数值。
3. 放大电路中的频率响应可以通过Bode图来描述,其中包括幅频特性和相频特性。
根据题目给出的电路参数,可以绘制出对应的Bode图,并进行相应的分析。
第三章:运算放大器1. 运算放大器是一种非常重要的电子元件,它可以用来放大和处理电压信号。
根据题目给出的电路图,可以分析出运算放大器的工作方式和参数。
2. 运算放大器中的输入电阻可以通过Rin=Vcm/Iin来计算,其中Rin表示输入电阻,Vcm表示共模电压,Iin表示输入电流。
根据题目给出的参数,可以计算出输入电阻的数值。
3. 运算放大器中的输出电阻可以通过Rout=Vout/Iout来计算,其中Rout表示输出电阻,Vout表示输出电压,Iout表示输出电流。
习 题 1010.1 振荡电路与放大电路有何异同点。
振荡电路和放大电路都是能量转换装置。
振荡电路是在无外输入信号作用时,电路自动地将直流能量转换为交流能量;放大电路是在有外输入信号控制下,实现能量的转换。
10.2 正弦波振荡器振荡条件是什么?负反馈放大电路产生自激的条件是什么?两者有何不同,为什么?。
正弦波振荡电路的振荡条件为1=∙∙F A ,电路为正反馈时,产生自激的条件。
负反馈放大电路的自激条件为1-=∙∙F A ,电路为负反馈时,产生自激的条件。
10.3 根据选频网络的不同,正弦波振荡器可分为哪几类? 各有什么特点?正弦波振荡电路可分为RC 正弦波振荡器,LC 正弦波振荡器和石英晶体振荡器。
RC 正弦波振荡器通常产生低频正弦信号,LC 正弦波振荡器常用来产生高频正弦信号,石英晶体振荡器产生的正弦波频率稳定性很高。
10.4 正弦波信号产生电路一般由几个部分组成,各部分作用是什么?正弦波振荡电路通常由四个部分组成,分别为:放大电路、选频网络、正反馈网络和稳幅网络。
放大电路实现能量转换的控制,选频网络决定电路的振荡频率,正反馈网络引入正反馈,使反馈信号等于输入信号,稳幅网络使电路输出信号幅度稳定。
10.5 当产生20Hz ~20KHz 的正弦波时,应选用什么类型的振荡器。
当产生100MHz 的正弦波时,应选用什么类型的振荡器。
当要求产生频率稳定度很高的正弦波时,应选用什么类型的振荡器。
产生20Hz~20KHz 的正弦波时,应选用RC 正弦波振荡器。
产生100MHz 的正弦波时,应选用LC 正弦波振荡器。
当要求产生频率稳定度很高的正弦波时,应选用石英晶体振荡器。
10.6 电路如图10.1所示,试用相位平衡条件判断哪个电路可能振荡,哪个不能振荡,并简述理由。
(a) 不能振荡,不满足正反馈条件;(b) 可能振荡,满足振荡条件。
图10.1 习题10.6电路图10.7 电路如图10.2所示:(1)保证电路振荡,求p R 的最小值;(2)求振荡频率的0f 的调节范围。
习 题题8.1 在题图8.1所示的电路中,晶体管T 的50=β,V 7.0BE =U ,()V 5.0sat CE =U ,0CEO =I ,电容1C 对交流可视作短路。
①计算电路可能达到的最大不失真输出功率omax P 。
②此时b R 应调节到什么值? ③此时电路的效率η是多少?题图8.1解:① 最大不失真输出功率:()[]2sat CE CC cem U V U −= ,∴=⋅=cm cem o 21I U P ()()=−⋅=⋅L 2sat CE CC L 2cem 42121R U V R U ()W 07.2845.012212≈⨯−⋅。
② =CQ I ()=−Lsat CE CC 2R U V A 71875.0825.11=⨯, 7.0CQb BE BQ b CC +⋅=+⋅=βI R U I R V ,()=−=βCQCC b 7.0I V R Ω≈⨯78671875.0503.11。
③ =⋅=CQ CC V I V P W 625.871875.012=⨯,24.0625.807.2V o ===P P η。
题8.2 在题图8.2所示的电路中,已知i u 为正弦电压,Ω=16L R ,要求最大输出功率为10W 。
试在晶体管的饱和压降可以忽略不计的条件下,求出下列各值:①正、负电源CC V 的最小值(取整数);②根据CC V 的最小值,得出晶体管的CM I 、BR(CEO)U 的最小值;③当输出功率最大(10W )时,电源的供给功率; ④每个管子的CM P 的最小值;⑤当输出功率最大时的输入电压有效值。
题图8.2 解:① L 2CC omax 2R V P =,162102CC ⨯=V ,≈CC V V 18。
② =>L CC CM R V I A 125.11618=,()=>CC CEO BR 2V U V 36。
③ =≈L 2CC 2R V P V πW 89.12161822=⨯⨯π。
第8章 滤波电路及放大电路的频率响应
习 题 8
8.1 设运放为理想器件。
在下列几种情况下,他们分别属于哪种类型的滤波电路(低通、高通、带通、带阻)?并定性画出其幅频特性。
(1)理想情况下,当0f =和f →∞时的电压增益相等,且不为零; (2)直流电压增益就是它的通带电压增益;
(3)理想情况下,当f →∞时的电压增益就是它的通带电压增益; (4)在0f =和f →∞时,电压增益都等于零。
解:(1)带阻 (2)低通 (3)高通 (4)带通
V
A (2)理理理理
(3)理理理理
(4)理理理理
(1)理理理理
H
A A A A V
A V
A V
A
8.2 在下列各种情况下,应分别采用哪种类型(低通、高通、带通、带阻)的滤波电路。
(1)希望抑制50Hz 交流电源的干扰; (2)希望抑制500Hz 以下的信号; (3)有用信号频率低于500Hz ; (4)有用信号频率为500 Hz 。
解:(1)带阻 (2)高通 (3)低通(4)带通
8.3 一个具有一阶低通特性的电压放大器,它的直流电压增益为60dB ,3dB 频率为1000Hz 。
分别求频率为100Hz ,10KHz ,100KHz 和1MHz 时的增益。
解:H Z o 100H ,60dB f A ==,其幅频特性如图所示
3dB
-20dB/理
理理理
20
40
60
f/Hz
Z
v 20lg /dB
A •
⎢⎢(a)理理理理
u 100Hz,60dB f A ==
u H
10KHz,6020lg
40,40dB f
f A f =-== u H
100KHz,6020lg
20,20dB f
f A f =-== u H
10MHz,6020lg
0,0dB f
f A f =-== 8.4 电路如图8.1所示的,图中C=0.1μF ,R=5K Ω。
(1)确定其截止频率;
(2)画出幅频响应的渐进线和-3dB 点。
图8.1 习题8.4电路图
解:L 36
11
318.3(Hz)225100.110
f RC ππ--=
==⨯⨯⨯⨯
L L L
L L v 20lg /dB
A •
⎢⎢
8.5 设A 为理想运放,试推导出图8.3所示电路的电压放大倍数,并说明这是一种什么类型的滤波电路。
解:o u L
i 111111f
U R A f U R j j RC j Rc ωω====++-&&&,L 12f RC π=,是高通电路 8.6 设A 为理想运放,试推导出图8.4所示电路的电压放大倍数,并说明这是一种什么类型的滤波电路。
U i
.
R
图8.2 习题8.5电路图 图8.3习题8.6电路图 解:o u i H
1
11111U j RC A f U j RC R j
j RC f ωωω====+++&&& H 1
2f RC
π=
一阶有源低通滤波电路
8.7 已知图8.2和图8.3所示电路的通带截止频率分别为100Hz 和100KHz 。
试用它们构成一个带通滤波器,并画出幅频特性。
解
R U i
.
f /Hz
A
8.8 电路如图8.1.10所示,要求H 1kHz,C=0.1μF f =,等效品质因数1Q =,试求该电路中的各电阻阻值约为多少。
解:H 1
1KHz 2f RC
π=
=所以36
H 1115.9k 22100.0110R f C ππ-===Ω⨯⨯⨯, 因为0113Q A =
=-,01
32A Q
=-=
故f
01
12R A R =+
=,所以f 1R R =,为使运放两输入端电阻对称,应有f 1//2 3.18k R R R =≈Ω,所以1R =f 6.36k R =Ω。
8.9 在低频段的小信号等效电路中,要考虑哪些电容,不需要考虑哪些电容?在高频段呢? 解:在低频段的小信号等效电路中要考虑耦合电容及旁路电容,不需要考虑晶体管的结电容;在高频段要考虑结电容,不需要考虑耦合电容和旁路电容。
8.10什么是晶体三极管的共射极截止频率?什么是晶体三极管的共基极截止频率?什么是晶体三极管的特征频率?三者之间的关系是什么样的?
解:βf 称为三极管的共射极截止频率,是使β&下降为0.7070β时的信号频率;f α
是α&下降为
0.7070α时的频率,即三极管的共基极截止频率;T f 是使β
&下降到1(即0dB )时的频率,称为三极管的特征频率。
三者之间的关系为:T 0βf f β≈,α0ββT (1)f f f f β=+≈+,βT αf f f <<<
8.11 放大电路频率响应的分析为什么可以分频段来进行?
解:由于影响放大电路频率响应的耦合电容、旁路电容以及晶体管的结电容在不同频段的影响不同,在中频段这些电容的影响都可以忽略;在低频时耦合电容和旁路电容的影响不能不考虑,结电容不起作用;而在高频区耦合电容和旁路电容的影响可以不计,但结电容的影响却要考虑,所以在分析放大电路的频率响应时可以分频段来进行。
8.12 已知某放大电路的电压放大倍数为u 62j (1j )(1j )
5010
f A f f
•
=
++。
(1)求解um L H ,,A f f •
; (2)画出波特图。
解:
vm u 666
um L H 2j 100,
50(1j )(1j )
(1)(1j )
5010
j 10
100,50Hz,10Hz,20lg 40dB
f A f f
f
f A f f A •
•
•
=
=
++++===⎢⎢=
8.13 已知某放大电路的波特图如图8.4所示,试写出电压放大倍数u A •
的表达式。
解:
3um L H um
u L 3H 100,20Hz,12010Hz 100
20
(1j )(1)
(1)(1)12010j f
A f f A A f f f
j
j f
f •
•
=-==⨯=
=-
+++-⨯
(f ϕ-180-27040-225-135
20
图8.4习题8.13电路图
8.14 阻容耦合放大器幅频特性如图8.5所示,问:
20 lgAv(dB)
f
6057
500H Z
30kH Z
图8.5习题8.14电路图
(1)给放大器输入i 5mV U =,5kHz f =的正弦信号时,输出电压o U 为多少? (2)给放大器输入i 3mV U =,30kHz f =的正弦信号时,输出电压o U 为多少? (3)求该放大器的通频带BW 。
解:(1)u 20lg 60dB A = um 1000A = um i 10005mV 5V o U A U ==⨯=
(2)30kHz f =,
u 20lg 57dB A =
u 707A ==& o u i 7073mV 2.121V U A U ==⨯= (3) 30kHz 500Hz 29.5kHz BW =-=
8.15 在手册上查得某晶体管在CQ 4mA I =,CEQ 6V V =时的参数为150β=,be 1k Ωr =,
T 350MHz f =, b'c 4pF C =,试求混合π型等效电路中的m g 、bb'r 、b'e r 、b'e C 、及βf 、αf 。
解:'CQ m T
4
153.85(ms)26
b e
I g r U β
=
=
=
=,T 'CQ 26150975()I 4b e U r β==⨯
=Ω ''25()bb be b e r r r =-=Ω,
''β11
,70(pF)22b e b e f C r C r f β
ππ=
==所以'b'e 70466(pF)b c C C C =-=-=,
T
β 2.33(MHz)f f β
=
=、α351.8(MHz)T f f f β=+=
8.16 设某三级放大器,各级放大电路的上限截止频率分别为H16KHz f =,H225KHz f =,
H350KHz f =,中频增益为100,试求该放大器的上限频率。
解:H H16KHz f f ≈=(H1f 小于其他1/4)。