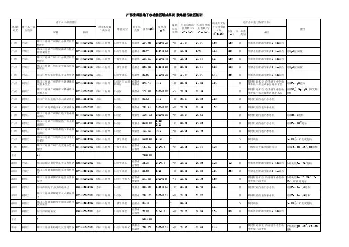
广东省城市饮用水水源保护区划分成果表
- 格式:doc
- 大小:1.19 MB
- 文档页数:21
广东省地表水环境功能区划2011年1月广东省地表水环境功能区划为了贯彻《中华人民共和国水污染防治法》,从流域、区域范围内协调水资源的开发利用,依法和科学地管理水环境、控制水污染、保护水资源,促进社会经济可持续发展,按照《地表水环境质量标准(GB3838-2002)》,在全省范围内对主要江河、湖库划分地表水环境功能区。
一、功能区划分的范围对以下地表水体划分环境功能区:全省所有流域面积大于100平方公里的河流以及小于100平方公里的重要河流;所有中型以上水库、重要的小型水库以及主要城市湖泊。
二、功能区划的基本原则地表水环境功能区划分的基本原则是确保社会经济可持续发展战略的实施。
划分水环境功能区的具体原则是:1.考虑水体现状、规划的使用功能和水环境质量的现状;2.优先保护集中式饮用水源地;3.适应流域内经济和城镇发展规划的要求;4.水体环境功能区的划定,一般不低于水体现有的水质等级;5.兼顾上、下游地区利益;6.水体环境功能区划分的下端约束条件与《广东省近岸海域环境功能区划》(粤府办〔1999〕68号)相衔接;7.保证按省政府的要求跨行政区边界水质达标交接;8.水库的水环境质量一般要求达到地面水环境质量标准Ⅱ类,特殊情况不低于Ⅲ类;9.城市河段内河涌一般要求不低于Ⅴ类;三、功能区的分类环境保护部门依据《地表水环境质量标准(GB3838-2002)》,实施水域分类管理。
结合水域使用功能要求,地表水环境功能区分为五类:Ⅰ类水环境质量功能区,主要适用于源头水、国家自然保护区;Ⅱ类水环境质量功能区,主要适用于集中式生活饮用水地表水源地一级保护区、珍稀水生生物栖息地、鱼虾产卵场、仔稚幼鱼的索饵场等;Ⅲ类水环境质量功能区,主要适用于集中式生活饮用水地表水源地二级保护区、鱼虾类越冬场、洄游通道、水产养殖区等渔业水域及游泳区;Ⅳ类水环境质量功能区,主要适用于一般工业用水区及人体非直接接触的娱乐用水区;Ⅴ类水环境质量功能区,主要适用于农业用水区及一般景观要求水域。
广州市水环境功能区区划广州市政府为控制水污染,保护和改善江河湖泊等地面水水质,按照不同功能的水域执行不同的标准值,实施高功能水体高标准保护,低功能水体低标准保护的要求,以利于水资源综合开发、合理利用、积极保护、促进经济和社会发展,特制定本区划。
一、制定区划的依据制定广州市水环境功能区区划的主要依据是:《中华人民共和国水污染防治法》第十二条;《广州市饮用水源污染防治条例》第十八条、第十九条、第二十四条、第三十条;《饮用水源保护区污染防治管理规定》第三条、第四条、第七条、第八条、第九和第十条;《地面水环境质量标准GB3838-88》。
同时还依据:广州市和各区、县(含番禺市,以下同)的经济和社会发展规划;广州市水环境现状,以及水环境保护和合理开发利用与地方经济和社会发展要求相衔接的需要;国家“七五”科技攻关项目《广州河段水环境背景特征和水污染综合防治规划》的研究成果;河流水文特征、水体自净能力和自净规律、各区域对饮用水源的影响程度。
二、江河水环境功能区区划(一)功能区分类根据各河段水体的使用功能,广州市江河水环境功能区划分为饮用水源功能区和综合用水区两大类型。
饮用水源功能区,是指由县级和县级以上人民政府划定的集中式供水水厂饮用水水源一级保护区、二级保护区、准保护区和规划中的新饮用水源污染控制区范围内的水体。
综合用水区包括河流上游水源涵养区,港口航运用水区和工农业用水区。
(二)饮用水源功能区各饮用水源保护区和新饮用水源污染控制区的水域具体范围如下:1.西村水厂饮用水源一级保护区西村水厂的硬颈海吸水点周围半径二百米及卫生河(含硬颈海引河)。
2.石门水厂饮用水源一级保护区石门水厂吸水点周围半径二百米。
3.江村水厂饮用水源一级保护区江村水厂吸水点周围半径二百米。
4.西村、石门、江村水厂饮用水源二级保护区流溪河从李溪坝至鸦岗的流溪河与白坭河汇合处,三十三点四公里;白坭河从五和的新街河与白坭河汇合处至鸦岗的流溪河与白坭河汇合处,十一公里;西航道从鸦岗的流溪河与白坭河汇合处至白鹅潭,十八公里;前航道从白鹅潭至广州大桥下水面,七点八公里;后航道从白鹅潭至海珠涌西口对开水面一公里。
广东省水功能区划广东省水利厅二〇〇七年六月前言水功能区是指根据流域或区域的水资源条件和水环境状况,结合水资源开发利用现状和经济社会发展对水量、水质的需求及水体的自然净化能力,在江河湖库划定的具有相应使用功能,并且主导功能和水质管理目标明确的水域。
经批准的水功能区划是核定水域的纳污能力,提出限制排污总量意见,将水质管理目标落实到具体水域和入河污染源的主要依据;是加强水资源调度,维持江河合理流量和湖泊、水库的合理水位,维护水体的自然净化能力,强化陆域污染源管理,优化产业布局,科学确定和实施污染物排放总量控制的主要依据;是明晰水权的重要依据之一。
水功能区划是水资源规划的重要基础,也是我省水资源管理及水资源保护的一项重要的基础工作。
根据《中华人民共和国水法》第三十二、三十三和三十四条规定,按照2002年水利部和国家计委联合发出的《关于开展全国水资源综合规划编制工作的通知》(水规计[2002]83号),以及广东省计委和省水利厅联合发出的《关于开展广东省水资源综合规划编制工作的通知》(粤计农[2002]903号),要求各省对已批准的水功能区划进行复核和调整,并在水资源综合规划技术大纲和技术细则中明确了水功能区复核和调整的原则和方法。
据此,省水利厅委托省水文局,重新复核广东省水功能区划的成果。
《广东省水功能区划》是由省水文局在《广东省水资源保护规划》有关水功能区划成果基础上,通过野外勘查,广泛搜集基本资料、充分利用全省水资源开发利用和保护工作多年成果,按照全国统一的复核程序和方法,经详细论证编制而成,前后历时四年。
区划范围为地表水部分。
由国家确定的重要江河湖泊水功能一级区划分别是由珠江水利委员会、长江水利委员会会同我省划定的;跨省河流省界河段水功能区划是经流域机构协调,同周边相邻省水行政主管部门商定后划分的。
《广东省水功能区划》复核过程中,得到了珠江水利委员会的指导,省水利厅组织多次讨论会,邀请有关专家对《广东省水功能区划》进行多次研究讨论,并将修改后的《广东省水功能区划》向省环保、省农业厅、省海洋与渔业局及各地市水利(水务)局等有关部门征求意见。
广州市饮用水源保护区区划
广东省人民政府2011年5月27日批复(粤府函〔2011〕162号),同意广州市饮用水源保护区区划调整方案。
现将调整后的《广州市饮用水源保护区区划》予以公布。
本区划实施后将代替1993年颁布的《广州市饮用水源保护区、饮用水源保护范围和新饮用水源污染控制区区划》(穗府环字〔1993〕10号)和2003年颁布的《广州市番禺区沙湾水道饮用水地表水源保护区划定方案》(粤府函〔2003〕66号)。
广州市环境保护局
二O一一年七月二十二日
广州市饮用水源保护区区划(现用饮用水源)。
东莞市地表水功能区划成果表(河流) 附表1-1 东莞市地表水功能区划成果表(河流) 长度单位:(km)功能区范围序备注河流一级功能区名称二级功能区名称区划功能号起止长度太圆泵站以下1 东江干流东深供水水源地保护区惠阳潼湖 12 国定 500m 太圆泵站以下2 东江干流东江干流石龙开发利用区东江干流石龙饮用农业用水区石龙桥 35 饮用、农用国定 500m3 东江北干流东江北干流开发利用区东江北干流新塘饮用渔业用水区东莞石龙东莞大盛 42 饮用.渔业国定 4 东江南支流东江南支流开发利用区东江南支流万江饮用农业用水区东莞石龙东莞万江 15 饮用.农用国定 5 东莞水道东莞水道开发利用区东莞水道桂枝洲工业农业用水区东莞万江东莞桂枝洲 18 工用.农用国定 6 厚街水道厚街水道开发利用区厚街水道企山头工业农业用水区东莞万江东莞企山头 18 工用.农用国定 7 潢涌河潢涌河开发利用区潢涌河工业农业用水区东莞潢涌东莞卢村北 8 工用.农用补充 8 中堂水道中堂水道开发利用区中堂水道中堂饮用农业用水区东莞鹤田厦东莞糖厂 13 饮用.农用国定 9 18 倒运海水道倒运海水道开发利用区倒运海水道工业农业用水区东莞斗朗东莞角尾村工业、农用国定 10 洪屋涡水道洪屋涡水道开发利用区洪屋涡水道沙田工业用水区东莞望牛墩东莞沙田 21 工用国定 11 19 赤滘口河赤滘口河开发利用区赤滘口工业农业用水区东莞正丫村东莞金鳌沙工用.农用补充12 大汾水大汾水开发利用区大汾水工业农业用水区东莞永太村东莞蒲鱼洲 16 工用.农用补充 13 12 麻涌水道麻涌水道开发利用区麻涌水道麻涌工业农业用水区东莞华阳东莞西贝沙工用.农用国定 14 东引运河东引运河开发利用区东引运河工业农业用水区东莞建塘虎门 102 工用.农用省定 15 30 虎门水道虎门水道开发利用区虎门水道渔业农业用水区东江口舢板洲渔业.农用国定16 虎门水道虎门水道缓冲区舢板洲东莞市边界 10 补充 17 64 石马河石马河开发利用区石马河景观用水区东莞桥头镇雁田水库景观调整 18 雁田水雁田水开发利用区雁田水农业用水区入境处塘厦镇 35 农用补充 19 观澜水观澜水开发利用区观澜水农业用水区入境处塘厦镇 8 农用补充 20 潼湖水潼湖水开发利用区潼湖水农业用水区入境处石马河 12 农用补充 21 寒溪水寒溪水开发利用区寒溪水农业用水区黄牛埔水库主坝下横田 40 农用补充 22 松木山水松木山水开发利用区松木山水农业用水区松木山水库主坝下入寒溪水河口 9 农用补充 23 黄沙水黄沙水开发利用区黄沙水农业用水区同沙水库主坝下入寒溪水河口 18 农用补充 24 仁和水仁和水开发利用区仁和水农业用水区 16 农用补充25 茅洲河茅洲河开发利用区茅洲河农业用水区 48 农用补充。
广东省饮用水水源地基础环境调查及评估工作方案广东省环境保护局2008年5月1目录第一章项目背景 (3)第二章项目基本情况 (4)2.1 指导思想 (4)2.2 总体目标 (4)2.3 调查基准年 (4)2.4 调查范围 (4)2.5 调查与评估内容 (5)第三章总体思路和技术路线 (5)3.1. 总体思路 (5)3.2. 技术路线 (6)第四章任务分解和工作内容 (8)4.1专题一:饮用水水源地环境状况调查与评估 (8)4.2专题二:饮用水水源地环境管理对策 (9)第五章组织方式及预期成果 (11)5.1进度安排 (11)5.2组织方式 (12)5.3预期成果 (12)2第一章项目背景《国家环境保护“十一五”规划》(国发[2007]37号)明确要求,围绕实现“十一五”规划确定的主要污染物排放控制目标,把污染防治作为重中之重,把保障城乡人民饮水安全作为首要任务。
2006年以来,在国家环境保护部的统一部署下,广东省开展了44个县级以上城市(含县级市)集中式饮用水水源地环境基础状况的调查评估工作,编制完成了《广东省城市饮用水水源地环境保护规划(讨论稿)》。
为切实贯彻落实党的十七大关于建设生态文明战略思想的总体要求,重点解决危害人民群众健康和影响可持续发展的突出环境问题,全面推动饮用水水源地环境保护工作,确保《国家环境保护“十一五”规划》中关于饮用水安全保障目标的实现,国家环境保护部下发了《关于印发〈全国饮用水水源地基础环境调查及评估工作方案〉的通知》(环办〔2008〕28号),要求对县级政府所在地城镇集中式饮用水水源地的环境状况进行广泛深入的调查和评估,进一步摸清底数,针对不同区域、不同类型的饮用水水源地研究环境对策,提高广大人民群众的饮水安全保障水平。
第二章项目基本情况2.1指导思想深入贯彻落实党的十七大精神,按照建设生态文明、加强生态环境保护、提高可持续发展能力的要求,以科学发展观为统领,以《国务院关于落实科学发展观加强环境保护的决定》和《国家环境保护“十一五”规划》为指导,科学调查与综合评估全省饮用水水源地基础环境状况,保质保量,把调查评估与推进水源地环境管理相结合;把调查成果与水源地污染防治相结合,为经济又好又快发展提供全面准确的水源地基础环境信息。
广东省河流水功能二级区划成果表
广东省河流水功能二级区划成果表
广东省河流水功能二级区划成果表
广东省河流水功能二级区划成果表
广东省河流水功能二级区划成果表
广东省河流水功能二级区划成果表
广东省河流水功能二级区划成果表
广东省河流水功能二级区划成果表
广东省河流水功能二级区划成果表
广东省河流水功能二级区划成果表
广东省河流水功能二级区划成果表
广东省河流水功能二级区划成果表
广东省河流水功能二级区划成果表
广东省河流水功能二级区划成果表。
附表佛山市饮用水源保护区一览表序号保护区名称水域范围陆域范围保护区划分依据文件级别备注1 沙口水厂饮用水源保护区一级保护区:取水口上游1000米、下游500米之间的水域(含滩涂地)及流入上述范围的支涌。
二级保护区:从一级保护区周边算起,上游2000m、下游1500m的水域(含滩涂地)及流入上述范围的支涌。
准保护区:潭洲水道南庄紫洞至顺德北滘林头桥河段内除一、二级保护区外,其余河段的水域(含滩涂地)及流入上述范围的支涌。
一级保护区:相应于一级保护区水域两岸河堤面中心线向陆纵深50m的陆域。
二级保护区:相应于二级保护区水域两岸河堤面中心线向陆纵深100m的陆域和一级保护区陆域边界外延至100m的陆域。
准保护区:相应于准保护区水域两岸堤外坡脚向陆纵深100m的陆域。
粤府函[2010]75号省级2 南庄紫洞水厂水源保护区一级保护区:潭洲水道南庄紫洞水厂吸水点上游1000m(含北江干流)、下游500m(含顺德水道)之间的水域(含滩涂地)及流入上述范围的支涌。
二级保护区:从一级保护区周边算起,上游2000m、下游1500m的水域(含滩涂地)及流入上述范围的支涌。
准保护区:潭洲水道南庄紫洞至顺德北滘林头桥河段内除一、二级保护区外,其余河段的水域(含滩涂地)及流入上述范围的支涌。
一级保护区:相应于一级保护区水域两岸河堤面中心线向陆纵深50m的陆域。
二级保护区:相应于二级保护区水域两岸河堤面中心线向陆纵深100m的陆域和一级保护区陆域边界外延至100m的陆域。
准保护区:相应于准保护区水域两岸堤外坡脚向陆纵深100m的陆域。
粤府函[2010]75号省级序号保护区名称水域范围陆域范围保护区划分依据文件级别备注3石湾水厂、乐从水厂、桂城水厂饮用水源保护区一级保护区:北江支流东平水道紫洞至五斗桥河段,水厂吸水点上下游各1000米的水域(含滩涂地)以及流入上述范围支涌。
二级保护区:北江支流东平水道紫洞至五斗桥河段,除一级保护区外其余河段(含滩涂地)及流入上述范围的支涌。