高数重积分测试题
- 格式:doc
- 大小:167.50 KB
- 文档页数:4
第九章重积分A1、填空题1)交换下列二次积分的积分次序(1)______________________________________________ (2)______________________________________________ (3)_______________________________________________ (4)___________________________________________ (5)______________________________________________ (6)________________________________________2)积分的值等于__________________________________3)设,试利用二重积分的性质估计的值则。
4)设区域是有轴、轴与直线所围成,根据二重积分的性质,试比较积分与的大小________________________________5)设,则积分___________________________________________6)已知是由所围,按先后再的积分次序将化为累次积分,则7)设是由球面与锥面的围面,则三重积分在球面坐标系下的三次积分表达式为2、把下列积分化为极坐标形式,并计算积分值1)2)3、利用极坐标计算下列各题1),其中是由圆周及坐标轴所围成的在第一象限内的闭区域.2),其中是由圆周及坐标轴所围成的在第一象限的闭区域.3),其中是由圆周及直线所围成的在第一象限的闭区域.4、选用适当的坐标计算下列各题1),其中是直线及曲线所围成的闭区域.2),其中是顶点分别为和的梯形闭区域.3),其中是圆周所围成的闭区域.4),其中是圆环形闭区域.5、设平面薄片所占的闭区域由螺线上一段弧与直线所围成,它的面密度为,求这薄片的质量(图9-5).6、求平面,,,以及球心在原点、半径为的上半球面所围成的在第一卦限内的立体的体积(图9-6).7、设平面薄片所占的闭区域由直线,和轴所围成,它的面密度,求该薄片的质量.8、计算由四个平面,,,所围成的柱体被平面及截得的立体的体积.9、求由平面,,所围成的柱体被平面及抛物面截得的立体的体积.10、计算以面上的圆周围成的闭区域为底,而以曲面为顶的曲顶柱体的体积.11、化三重积分为三次积分,其中积分区域分别是1)由双曲抛物面及平面所围成的闭区域.2)由曲面及所围成的闭区域.12、设有一物体,占有空间闭区域,在点处的密度为,计算该物体的质量.13、计算,其中是由曲面,与平面和所围成的闭区域.14、计算,其中为球面及三个坐标面所围成的在第一卦限内的闭区域.15、算,其中是由锥面与平面所围成的闭区域.16、利用柱面坐标计算三重积分,其中是由曲面及所围成的闭区域.17、利用球面坐标计算三重积分,其中是由球面所围成的闭区域.18、选用适当的坐标计算下列三重积分1),其中为柱面及平面,,所围成的在第一卦限内的闭区域.2),其中是两个球和的公共部分.3),其中是由曲面及平面所围成的闭区域.4),其中闭区域由不等式,所确定.19、利用三重积分计算下列由曲面所围成的立体的体积1)及.2)及(含有轴的部分).20、球心在原点、半径为的球体,在其上任意一点的密度大小与这点到球心的距离成正比,求这球体的的质量.21、求球面含在圆柱面内部的那部分面积.22、求锥面被柱面所割下部分的曲面面积.23、求由抛物线及直线所围成的均匀薄片(面密度为常数)对于直线的转动惯量.24、设薄片所占的闭区域如下,求均匀薄片的质心是半椭圆形闭区域.25、设平面薄片所占的闭区域由抛物线及直线所围成,它在点处的面密度,求该薄片的质心.25、利用三重积分计算下列由曲面所围立体的质心(设密度)1),2),,26、求半径为高为的均匀圆柱体对于过中心而平行于母线的轴的转动惯量(设密度).B1、根据二重积分的性质,比较下列积分的大小1)与,其中积分区域是由圆周所围成.2)与,其中是三角形闭区域,三顶点分别为,.2、计算下列二重积分1),其中2),其中是由直线,及所围成的闭区域3),,其中3、化二重积分为而次积分(分别列出对两个变量先后次序不同的两个二次积分),其中积分区域1)由轴及半圆周所围成的闭区域2)环形闭区域4、求由曲面及所围成的立体的体积.5、计算,其中为平面,,,所围成的四面体.6、计算下列三重积分1),其中是两个球:和的公共部分.2),其中是由球面所围成的闭区域.3),其中是由平面上曲线绕轴旋转而成的曲面与平面所围成的闭区域.7、设球体占有闭区域,它在内部各点处的密度的大小等于该点到坐标原点的距离的平方,试求这球体的球心.8、一均匀物体(密度为常量)占有的闭区域由曲面和平面,所围成1)求物体的体积;2)求物体的质心;3)求物体关于轴的转动.C1、利用二重积分的性质,估计积分,其中是由圆周所围成.2、用二重积分计算立体的体积,其中由平面,,,和所围成.3、计算二重积分,其中是由直线,以及曲线所围成的平面区域.4、设在积分域上连续,更换二次积分的积分次序.5、计算二重积分,其中积分区域是由和确定.6、求二重积分的值,其中是由直线,及围成的平面区域.7、计算,其中由曲面及围成.8、计算,其中是由曲面与平面及所围成的闭区域.9、设有一半径为的球体,是此球表面上的一个定点,球体上任一点的密度与该点到的距离的平方成正比(比例常数),求球体的重心的位置.10、设有一高度为(为时间)的雪堆在融化过程中,其侧面满足方程(设长度单位为cm,时间单位为h),已知体积减少的速率与侧面积成正比例(比例系数),问高度为130(cm)的雪堆全部融化需多少时间?第九章重积分答案习题答案(A)1、填空题1)①②③④⑤⑥2)3)4)5)6)7)2、1)2)3、1)2)3)4、1)2)3)4)5、6、7、8、9、10、11、1)2)12、13、14、15、16、17、18、1)2)3)4)19、1)2)20、21、22、23、24、25、,26、27、(为圆柱体的质量)(B)1、 1)2)2、1)2)3)3、1),2)4、5、; 6、1)2)3); 7、8、1)2)3)(C)1、解:令,关键是求在上的最大值和最小值,在内部,,,因此在内部无驻点,最值点一定在边界上取得,作由方程组解得驻点为,,比较可得最小值,最大值为,而的面积为,由估值定理得。
⾼数重修试题⼀(1)设k j i b k j i a 42,253++=-+=,问λ和µ有什么的关系,能使得b aµλ+与z 轴垂直?(2)已知k i OA 3+=,k j OB 3+=,求OAB ?的⾯积。
(3)已知23,3,2,1,,3A a bB a b a b a b π=+=-===求,BA B prj A ?(4)设向经,522k j i M O ++=从点)1,2,1(P 出发,向M O 作垂线PQ ,求向量Q P和长度。
(5)分别画出223yx z +-=,2211y x z ---=⽅程所表⽰的曲⾯。
(6)求上半球2220yx a z --≤≤与圆柱体)0(22>≤+a axy x 的公共部分在xoy 坐标⾯上的投影。
(7)求两平⾯012=+-+z y x 和012=-++-z y x ⾓平分⾯的⽅程。
42012=--+=--+z y x z y x 的直(8)求过点)1,2,1(-,并且平⾏直线线⽅程。
(9)求直线211232-+=-=+z y x 与平⾯08332=-++z y x 的交点和夹⾓。
(10)求点)0,2,1(-在平⾯012=+-+z y x 上的投影。
(11)求点)1,3,2(在直线322217+=+=+z y x 上的投影。
4201=-+-=+-+z y x z y x 的距离。
(12)求点)2,1,3(-P 到直线(13)求直线22x y z=??=?绕z 轴旋转⼀周的曲⾯⽅程并画出它的⼤致图形。
(14)求过直线026x y x y z +=??-+=?且切于球⾯2229x y z ++=的平⾯⽅程。
(15)设122112:,:112211x y z x y z L L -++-====--(1)判断12,L L 是否相交,若相交求出交点P 和相交平⾯π;(2)在平⾯π上求⼀过P 点直线L ,且L 与1L 和2L 的夹⾓相同。
⼆:(1)求1)sin(1lim)0,0(),(--→xy xy y x 。
重积分测试题一、填空题1.222x y R σ+≤=⎰⎰ ; 2.1(1)x y x y d σ+≤++=⎰⎰ ;3. 将二重积分(,)D f x y d σ⎰⎰化为二次积分 (两种次序都写出来),其中D为,0,y x y y ===在第一象限所围成的封闭区域;4. 改变积分次序2120(,)y y dy f x y dx -=⎰⎰ ; 5. 将二重积分(,)Df x y d σ⎰⎰转化为极坐标系下的两次单积分 ,其中D为0,y y ==6. 将三重积分(,,)f x y z d v Ω⎰⎰⎰化为三次积分 ,其中Ω为22z x y =+,1,0,0,0x y y x z +====所围成的封闭区域;7. 将三重积分(,,)f x y z dv Ω⎰⎰⎰化为柱面坐标系下的三次积分 ,其中Ω为22z x y =+,z =所围成的封闭区域.二、计算题1. 计算二重积分D xydxdy ⎰⎰,其中D 是由,1,3y x xy x ===所围成的区域; 2. 计算二重积分Dx ydxdy -⎰⎰,其中D :221,0,0x y x y +≤≥≥; 3.计算二次积分110x y dx dy ⎰; 4. 计算三重积分3z dv Ω⎰⎰⎰,其中Ω:2221,x y z z ++≤≥ 5.计算三重积分Ω⎰⎰⎰,其中Ω是由柱面y =及平面0, (0),0z z a a y ==>=所围成的区域.三、应用题 求旋转抛物面22z x y =+与上半球面z =所围成的立体体积及表面积.一、填空题1.323R π; 2. 2 ; 3.1000(,)(,)x f x y dy f x y dy +⎰ 及0(,)y f x y dx ; 4.1220010(,)(,)x dx f x y dy dx f x y dy -+⎰⎰⎰; 5.2cos 200(cos ,sin )d f d πθθρθρθρρ⎰⎰; 6.2211000(,,)x x y dx dy f x y z dz -+⎰⎰⎰;7. 22100(cos ,sin ,)d d f z dz πρθρρρθρθ⎰⎰二、计算题1. 110ln 32- ;2. 21)3 ;3. 12 ;4. 116π ; 5. 289a 三、应用题V =; 121)1)6A A A π=+=+。
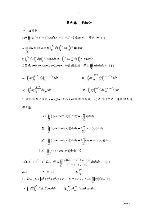
第九章 重积分一、选择题1.I=222222(),:1x y z dv x y z Ω++Ω++=⎰⎰⎰球面部, 那么I= [ C ]A.⎰⎰⎰ΩΩ=dv 的体积B.⎰⎰⎰142020sin dr r d d θϕθππ C.⎰⎰⎰104020sin dr r d d ϕϕθππ D. ⎰⎰⎰14020sin dr r d d θϕθππ 2.Ω是x=0, y=0, z=0, x+2y+z=1所围闭区域,那么⎰⎰⎰Ω=xdxdydz [ B ]A.⎰⎰⎰---y x x dz x dy dx 21021010 B.⎰⎰⎰---y x xdz x dy dx 21021010 C.⎰⎰⎰-10210210dz x dx dy yD.⎰⎰⎰---y x y dz x dx dy 21021010 3. 设区域D 由直线,y x y x ==-和1x =所围闭区域,1D 是D 位于第一象限的局部,那么[B ]〔A 〕()()1cos d d 2d d DD xy x xy x y xy x y +=⎰⎰⎰⎰〔B 〕()()()1cos d d 2cos d d DD xy x xy x y x xy x y +=⎰⎰⎰⎰〔C 〕()()1cos d d 2(cos())d d DD xy x xy x y xy x xy x y +=+⎰⎰⎰⎰〔D 〕()()cos d d 0Dxy x xy x y +=⎰⎰4.Ω:1222≤++z y x ,那么⎰⎰⎰Ω=++++++dxdydz z y x z y x z 1)1ln(222222 [ C ]A. 1B. πC. 0D.34π5.222{(,),0}D x y x y a y =+≤≥,其中0a >,那么Dxy d σ=⎰⎰ D A.220sin cos a d r dr πθθθ⎰⎰ B.300sin cos ad r dr πθθθ⎰⎰C.3(sin cos )ad r dr πθθθ-⎰⎰ D.320sin cos ad r dr πθθθ⎰⎰-302sin cos ad r dr ππθθθ⎰⎰6.设,010,()()0,a x a f x g x ≤≤⎧>==⎨⎩其余,D 为全平面,那么()()D f x g y x dxdy -=⎰⎰ CA.aB.212a C.2a D.+∞7.积分cos 20(cos ,sin )d f r r rdr πθθθθ⎰⎰可写为 DA.100(,)dy f x y dx ⎰B.100(,)dy f x y dx ⎰ B.11(,)dx f x y dy ⎰⎰D.10(,)dx f x y dy ⎰8.交换二次积分22(,)x dx f x y dy ⎰⎰的积分顺序为〔 A 〕.(A) 420(,)dy f x y dx ⎰(B)400(,)dy f x y dx ⎰ (C)242(,)xdy f x y dx ⎰⎰(D)402(,)dy f x y dx ⎰9.设平面区域D 由140,0,,1x y x y x y ==+=+=围成,假设31[ln()],DI x y dxdy =+⎰⎰32(),DI x y dxdy =+⎰⎰33[sin()],DI x y dxdy =+⎰⎰ 那么123,,I I I 的大小顺序为〔 C 〕.(A) 123I I I << (B) 321I I I << (C) 132I I I << (D) 312I I I << 10.221x y ≤+≤⎰⎰的值 〔 B 〕.(A) 大于零 (B) 小于零 (C) 0 (D) 不能确定 11.设积分区域D 由||,||(0)x a y a a ==>围成,那么Dxydxdy =⎰⎰〔 C 〕.(A)1 (B) 14 (C) 0 (D) A, B, C 都不对12.221x y ≤+≤⎰⎰的值 〔 B 〕.(A) 大于零 (B) 小于零 (C) 0 (D) 不能确定 13.把二次积分2210x y dx dy +⎰化为极坐标形式的二次积分〔B 〕.(A)221r d re dr πθ⎰⎰ (B)2221rd re dr ππθ-⎰⎰(C)2221r d e dr ππθ-⎰⎰ (D) 221r d e dr πθ⎰⎰14.设积分区域D 是由直线y=x,y=0,x=1围成,那么有⎰⎰=Ddxdy 〔A 〕〔A 〕⎰⎰x dydx 01〔B 〕⎰⎰ydxdy 01〔C 〕⎰⎰01xdydx 〔D 〕⎰⎰yxdxdy 115.设D 由1,2,===y x y x y 围成,那么⎰⎰=D dxdy 〔B 〕〔A 〕21〔B 〕41〔C 〕1 〔D 〕2316.根据二重积分的几何意义,以下不等式中正确的选项是( B ); (A) D x D,0d )1(⎰⎰>-σ:x ≤1,y ≤1;(B) D x D,0d )1(⎰⎰>+σ:x ≤1,y ≤1;(C)D y x D,0d )(22⎰⎰>--σ:22y x +≤1;(D) D y x D,0d )ln(22⎰⎰>-σ:x +y ≤1 17.=+⎰⎰y x y x Dd d 22( C ),其中D :1≤22y x +≤4;(A)2π4201d d r r θ⎰⎰; (B)2π41d d r r θ⎰⎰;(C)2π2201d d r r θ⎰⎰; (D)2π201d d r r θ⎰⎰18. 二重积分⎰⎰=≤≤≤≤1010y x xydxdy 〔C 〕〔A 〕1 〔B 〕21〔C 〕41〔D 〕219.dxdy y x y x ⎰⎰≤++132222的值等于〔 A 〕A.π43; B.π76; C.π56; D.π23 20.二重积分⎰⎰=≤≤≤≤1010y x xydxdy 〔C 〕〔A 〕1 〔B 〕21〔C 〕41〔D 〕221. 设D 是区域(){}()π8 ,|,22222=⎰⎰+≤+dxdy y x a y xy x D又有,那么a=〔B 〕〔A 〕1 〔B 〕2 〔C 〕4 〔D 〕822. 假设D 是平面区域(){}e y x y x ≤≤≤≤1 ,10|,,那么二重积分=⎰⎰dxdy y xD 〔B 〕〔A 〕2e 〔B 〕21〔C 〕e 〔D 〕123. 设D 由1,2,===y x y x y 围成,那么⎰⎰=D dxdy 〔B 〕〔A 〕21〔B 〕41〔C 〕1 〔D 〕23二、填空题 1.变换积分次序(,)f x y dx =1(,)(,)f x y dy f x y dy +2.比较大小:其中D 是以(0,0),(1,1),(1,1)-为顶点的三角形22()Dx y dxdy -⎰⎰< D3.变换积分次序2142(,)ydy f x y dx -=⎰⎰1411(,)(,)dx f x y dy dx f x y dy +⎰⎰⎰4.交换二次积分的积分次序()2211,x dx f x y dy ⎰⎰=()421,dy f x y dx ⎰5. 交换dx e dy yx ⎰⎰112的积分次序后的积分式为2100xx dx dy e ⎰⎰,其积分值为()112e - 6、交换二次积分的积分次序后,)(1010y x ,f dx x⎰⎰-dy=⎰⎰-1010),(ydx y x f dy7、交换二次积分的次序⎰⎰-=ax ax xdy y x f dx 022),(0(,)a ya dy f x y dx ⎰⎰三、计算与证明1. 计算⎰⎰Ddxdy xy 2, 其中D 是抛物线2y =2x 与直线x=21所围闭区域解:⎰⎰Ddxdy xy 2=⎰⎰--11212122y dx xy dy=⎰--1162)8181(dy y y=2112.计算I=⎰⎰+Ddxdy y x 22sin , D={(x, y)22224ππ≤+≤y x }解:令x=rcos θ, y=rsin θ那么I=⎰⎰πππθ220sin rdr r d=26π-3.设G(x)在10≤≤x 上有连续的)(''x G , 求I=dxdy y x xyG D⎰⎰+)(22'', 其中D 为122≤+y x 的第一象限局部解:在极坐标下计算积分,D={(r,θ)20,10πθ≤≤≤≤r }I=θθθ⎰⎰Drdrd r G r )(cos sin 2''2=⎰⎰202''13)(cos sin πθθθdr r G r d=dr r G r )(212''103⎰ =du u G u )(41''1⎰ =)]1(0)1([41'G G G -+)( 4.xy dxdy Ω⎰⎰,其中Ω是以a 为半径,坐标原点为圆心的圆。
高数重积分测试题 Prepared on 22 November 2020高数测试题七(重积分部分)答案一、 选择题(每小题5分,共25分)1、交换积分00(,)(a ydy f x y dx a ⎰⎰为常数)的次序后得( B ) A 00(,)y a dx f x y dy ⎰⎰ B 0(,)a ax dx f x y dy ⎰⎰ C 00(,)a x dx f x y dy ⎰⎰ C 00(,)a ydx f x y dy ⎰⎰ 2、设2222222()()x y z t F t f x y z dv ++≤=++⎰⎰⎰,其中 f 为连续函数,(0)f '存在,而(0)0,(0)1f f '==,则50()limt F t t →=( B ) A π B 45π C 35π D 25π 3、球面22224x y z a ++=与柱面222x y ax +=所围成立体体积(含在柱内部分)为( C )A 2cos 2004a d πθθ⎰⎰B 2cos 2008a d πθθ⎰⎰C 2cos 2004a d πθθ⎰⎰D 2cos 202a d πθπθ-⎰⎰4、设D 是xy 平面上以点(1,1),(1,1),(1,1)---为顶点的三角形区域,1D 是D 在第一象限的部分,则(cos sin )Dxy x y d σ+⎰⎰=( A )A 12cos sin D x yd σ⎰⎰B 12D xyd σ⎰⎰C 1(cos sin )D xy x y d σ+⎰⎰ D 05、设2222222222sin()1arctan 0(,)02x y x y x y x y f x y x y π⎧++≠⎪⎪++=⎨⎪+=⎪⎩ , 区域22:(0)D x y εε+≤>,则01lim (,)D f x y d εσπε+→⎰⎰=( A ) A 2π B π C 0 D ∞二、填空题(每小题5分,共25分)1、设(,,)I f x y z dxdydz Ω=⎰⎰⎰,积分区域:0z z y Ω≤≥≥所确定,则I 在柱面坐标系下的三次积分为1200(cos ,sin ,)d rdr f r r z dz πθθθ⎰⎰2、设D 是由3,(0)y x y x x ==>所围成的平面区域,则 sin D x d xσ⎰⎰= 32(cos1sin1)-+ 3、二次积分2220y x dx e dy -⎰⎰= 41(1)2e -- 4、设D 是由11,22x y -≤≤-≤≤围成的平面区域,则3(2)Dx y dxdy +⎰⎰= 05、设Ω是由球面2221x y z ++=所围成的闭区域,则222222ln(1)1z x y z dxdydz x y z Ω++++++⎰⎰⎰= 0 三、计算题1、(6分)计算 222:(0)Dxy dxdy D x y a a +≤>⎰⎰解:由对称性知3、(6分)计算D ,其中D 为 221x y +≤的第一象限部分 解:原式=220(2)48d t r πππθπ==-⎰⎰⎰ 4、(8分)22224:9Dx y dxdy D x y +-+≤⎰⎰解:5、(6分)计算Ω,其中 Ω为2216,4,0x y y z z +=+==所围成的区域 解:原式=244sin 0005123r d rdr rdz πθπθ-=⎰⎰⎰6、(8分)计算22222222:,2(0)z dv x y z a x y z az a ΩΩ++≤++≤>⎰⎰⎰解: 1222220222222202[][]59(2)()480z z a a a D D a a a z dv z d dz z d dz z az z dz z a z dz σσπππΩ=+=-+-=⎰⎰⎰⎰⎰⎰⎰⎰⎰⎰⎰。
重积分练习一. 填空1.⎰⎰12),(xx dy y x f dx 交换积分次序后为_________________.2.用柱面坐标系化三重积分为三次积分________________),,(=⎰⎰⎰Ωdv z y x f其中2,1,1:22===+Ωz z y x 围成. 3. (化为柱面坐标中的三次积分)__________________),,(22222211111111==⎰⎰⎰--+-------dz z y x f dydxI y x y x x x (化为柱面坐标中的三次积分) 二.选择题1. =+⎰⎰-dy y x dxx x243221( ).A. ⎰⎰302πθrdr d . B.⎰⎰232ππθrdr d C.⎰⎰3022πθdr r d . D.⎰⎰2322ππθdr r d2.若区域D 由1)1(22=+-y x 所围,则⎰⎰Ddxdy y x f ),(化成累次积分为 ( )A.⎰⎰πθθθθ0cos 20)sin ,cos (rdr r r f d . B. ⎰⎰-ππθθθθcos 20)sin ,cos (rdr r r f dC.⎰⎰20cos 20)sin ,cos (2πθθθθrdr r r f d D. ⎰⎰-22cos 20)sin ,cos (ππθθθθrdr r r f d三.计算1.. 计算⎰⎰-+=+-⋅+22)(4122222x a a xady y x a y x dx2. 计算⎰⎰-Ddxdy y x ||,其中D 是由2,0,1,0====y y x x 所围成的区域.3. 求由x e z y 222-=+与平面1,0==x x 所围立体体积.4.D 由直线x y y x ===,2,4所围成,求⎰⎰--Dxdxdy x e 22.5.计算⎰⎰-=Dd y x I σ||,其中0,0,1:22≥≥≤+y x y x D .6.计算⎰⎰⎰Ω+dV z x )(,其中22221,:y x z y x z --=+=Ω所围的空间区域.四.应用题。
历年高数试卷积分题Prepared on 21 November 2021历年积分考题1. dxx x ⎰-+112312.dx xp ⎰+∞121收敛 P=----3. ==⎰⎰dx x xf A dx x f )(,)(412124. dxe e x x⎰+15. ⎰+21x x dx6. ⎰+dxx x )1ln(7. dxe x ⎰-+3118. dx x ⎰∞+-124)1(19.==⎰''0,sin y dt t t y x10.)(x f 在),(∞-∞上周期函数T, ⎰+=Ta a dt t f 3)( ⎰+Ta adtt f 2)(11.=+=⎰⎰dx x x f c e x dx x f x)(,)(2 12. dxx x ⎰-++11113. f 连续,证明=⎰dx xx f 101.0)(dxxx f ⎰101.0)1( 14.dxxx ⎰--+2121251115.='=⎰-dx x x f e x f x )(ln ,)( 16.下列积分收敛的 。
dx x x D x x C dx xx B dx x x A e e e e⎰⎰⎰⎰+∞+∞+∞+∞2ln 1)(ln 1)(ln 1)(ln )(17.⎰='=xee f tdt x x f )(,ln )(218.dxxx x ⎰+319.=⎰+xdx e x 2cos 2sin 1 20.[]='+⎰dx e x f x x f )(1)(121.F 在[]连续,1)(〈x f ,证明:⎰=-xdt t f x 01)(2在()上有且仅有一根。
22.已知f 的一个原函数(1+sinx )lnx, 则⎰=dx x f )(。
23.若F ’(x )=f(x), 则⎰=dx x f d )( 。
dxx F B dxx f C x F B x f A )()()()()()()()(24.=-⎰→32limx dte x xt x25.⎰=''=dx f x xe f x,26.dxxe x ⎰+∞-027.若f 连续且⎰=914)(dt t f ,求=⎰dx x f x)1(1911228.f 在[a, b]连续,(a, b)可导,且⎰-=baa fb f dx x f )()()(,证存在一点),,(b a ∈ξ使)()(ξξf f ='。
《高等数学Ⅰ》练习题系 专业 班 姓名 学号 08060122436.1 二重积分(1)一.选择题1.设积分区域D 是4122≤+≤y x ,则⎰⎰Ddxdy = [ B ](A )π (B )3π (C )4π (D )15π 2.设积分区域D 是1≤+y x ,则⎰⎰Ddxdy = [ B ](A )1 (B )2 (C )4 (D )8 3.设平面区域D 由1,21=+=+y x y x 与两坐标轴所围成,若⎰⎰+=Ddxdy y x I 91)][ln(, ⎰⎰+=Ddxdy y x I 92)(,⎰⎰+=Ddxdy y x I 93)][sin(,则它们之间的大小顺序为: [ C ](A )321I I I ≤≤ (B )123I I I ≤≤ (C)231I I I ≤≤ (D)213I I I ≤≤ 4.设区域D 是由两坐标轴及直线1=+y x 围成的三角形区域,则⎰⎰Dxydxdy = [ D ](A )41 (B )81 (C )121 (D )241二.填空题1.设区域D 是20,10≤≤≤≤y x ,估计积分的值 2 ⎰⎰≤++≤Ddxdy y x )1( 82.设⎰⎰≤+++=10||||22sin cos 100y x yx d I σ,则I 的取值范围是 ≤≤I 23.120xdx xy dy ⎰⎰= 三.计算题1.设区域D 由11≤≤-x ,11≤≤-y 所确定,求 ⎰⎰-Ddxdy x y xy )(解:原式=111221112()03----==⎰⎰⎰dx xy x y dy xdx2.设D 是由直线2=x ,x y =及双曲线1=xy 所围成的平面区域,求⎰⎰Ddxdy yx 22解:由题意知112;⎧⎫=≤≤≤≤⎨⎬⎩⎭D x y x x,于是原式=222312119()4=-=⎰⎰⎰xxx dx dy x x dx y3.设区域D 由x y x y ==22,所围成,求σd y xD)(2⎰⎰+.解; 由题意知{}x y x x D ≤≤≤≤=2;10,于是原式=2511242333)()22140+=+-=⎰⎰x x dx x y dy x x dx《高等数学Ⅰ》练习题系 专业 班 姓名 学号6.1 二重积分(2)一.选择题1.设区域D 是顶点为)0,0(O 、)1,10(A 、)1,1(B 的三角形,则⎰⎰-Ddxdy y xy 2= [ C ](A )3 (B )5 (C )6 (D )10 2.设),(y x f 是连续函数,则0(,)a xdx f x y dy ⎰⎰= [ B ](A )00(,)a ydy f x y dx ⎰⎰ (B )0(,)aaydy f x y dx ⎰⎰(C )(,)ay ady f x y dx ⎰⎰ (D )0(,)a ady f x y dx ⎰⎰3.二次积分220(,)x dx f x y dy ⎰⎰的另一种积分次序是 [ A ](A)420(,)dy f x y dx ⎰ (B)40(,)dy f x y dx ⎰ (C )242(,)xdy f x y dx ⎰⎰ (D)402(,)dy f x y dx ⎰⎰4.设f 是连续函数,而D :122≤+y x 且0>y ,则dx dy y x f D)(22⎰⎰+= [ A ](A )10()rf r dr π⎰ (B )1()f r dr π⎰ (C )21()rf r dr π⎰ (D )21()f r dr π⎰二.填空题 1.改换积分的次序12201(,)(,)x x dx f x y dy dx f x y dy -+⎰⎰⎰⎰=2.改换积分的次序212(,)xdx f x y dy -⎰⎰=3.化二次积分为极坐标的二次积分101(,)xdx f x y dy -⎰=⎰⎰+1c o ss i n 120)s i n ,c o s (θθπθθθdr r r rf d三.计算题 1.求222y xdx e dy -⎰⎰解:因为2y e -在简单区域{}02,2=≤≤≤≤D x x y 连续,所以原式=2222401(1)2---==-⎰⎰⎰y y y edy dx yedy e2.设区域D 由y 轴与曲线y x cos =(22ππ≤≤-y )所围成,求⎰⎰Dydxdy x22sin 3解:由题意,积分区域,0cos 22ππ⎧⎫=-≤≤≤≤⎨⎬⎩⎭D y x y ,所以原式=cos 222322022sin 3sin cos ππππ--=⎰⎰⎰yydy x dx y ydy22202sin (1sin )sin π=⋅-⎰y y d y 415=3.设积分区域D 为122≤+y x ,求⎰⎰-+Ddxdy xy y x )(22解:令c o s,s i n θθ==x r y r 则积分区域{}02,01θπ=≤≤≤≤D r于是原式=2122000112(sin cos )(sin 2)383πππθθθθθ-=-=⎰⎰⎰d r r r dr d4.设区域D 是由22224ππ≤+≤y x 所围成,求dxdy y x D⎰⎰+22sin解:令cos ,sin ,θθ==x r y r 则积分区域{}02,2θπππ=≤≤≤≤D r 于是原式=⎰⎰220sin d r rdr πππθ=⋅-+22(cos sin )|r r r πππ=-26π《高等数学Ⅰ》练习题系 专业 班 姓名 学号6.3 三 重 积 分(1)一.选择题1.设区域2222|),,{(R z y x z y x ≤++=Ω,}0≥z ,22221|),,{(R z y x z y x ≤++=Ω,}0,0,0≥≥≥z y x ,则等式成立的是 [ C ](A )⎰⎰⎰⎰⎰⎰ΩΩ=14xdv xdv (B )⎰⎰⎰⎰⎰⎰ΩΩ=14ydv ydv(C )⎰⎰⎰⎰⎰⎰ΩΩ=14zdv zdv (D )⎰⎰⎰⎰⎰⎰ΩΩ=14xyzdv xyzdv2.若三重积分⎰⎰⎰Ω=328πdxdydz ,积分区域Ω为 [ C ] (A )4122≤+≤y x ,380≤≤z (B )422≤+y x ,380≤≤z (C )41222≤++≤z y x (D )4222≤++z y x 二.计算题 1.计算⎰⎰⎰Ωdv z xy32,其中Ω是由曲面xy z =与平面x y =,1=x 和0=z 所围成的闭区域.解:由题意,积分区域{}01,0,0x y x z xy Ω=≤≤≤≤≤≤,则原式=1231364xxydx dy xy z dz =⎰⎰⎰ 2.计算⎰⎰⎰Ω+dv y x )(22,其中Ω是由曲面z y x 222=+及平面2=z 所围成的闭区域. 解:由题意,利用柱坐标变换cos sin x r y r z z θθ=⎧⎪=⎨⎪=⎩可得积分区域2r ⎧⎫则原式=2222302163r d r dr dz πθπ=⎰⎰⎰ 3.计算⎰⎰⎰Ωzdv ,其中闭区域Ω是由不等式2222)(a a z y x ≤-++,222z y x ≤+所确定. 解:由题意,利用柱坐标变换cos sin x r y r z z θθ=⎧⎪=⎨⎪=⎩可得积分区域{02,0,Ω=≤≤≤≤≤≤r a r z a θπ,则原式=42076=⎰⎰⎰aa ra d rdr πθπ《高等数学Ⅰ》练习题系 专业 班 姓名 学号6.3 三 重 积 分(2)1.求由曲面226y x z --=及22y x z +=所围成的立体的体积.解:由题意,利用柱坐标变换cos sin x r y r z z θθ=⎧⎪=⎨⎪=⎩可得积分区域{}202,02,6r r z r θπΩ=≤≤≤≤≤≤-,则所求立体的体积22260323r rV dv d rdr dz ππθ-Ω===⎰⎰⎰⎰⎰⎰2.求锥面22y x z +=被柱面x z 22=所割下部分的曲面面积.解:锥面22y x z +=被柱面x z 22=所割下部分的曲面在xy 平面上的投影{}22(,);(1)1,,xy x y x y x y R σ=-+=∈于是所求曲面面积2cos 202S d πθπσθ-==⎰⎰⎰⎰2202d πθθ==⎰3.设平面薄片所占的闭区域D 由抛物线2x y =及直线x y =所围成,它在点),(y x 处的面密度y x y x 2),(=μ,求该薄片的质心。
第九章 重积分(A)1.填空题(1) 设()y x y x P 2,=,()23,y x y x Q =,定义于:D 10<<x ,10<<y ,则()σd y x P D⎰⎰, ()⎰⎰Dd y x Q σ,(2) 设曲顶柱体的顶面是()y x f z ,=,()D y x ∈,,侧面是母线平行于z 轴,准线为D的边界线的柱面,则此曲顶柱体的体积用重积分可表示为=V 。
(3) 在极坐标系中,面积元素为 。
2.利用二重积分的性质,比较下列积分大小(1) ()⎰⎰+Dd y x σ2与()⎰⎰+Dd y x σ3,其中积分区域D 由x 轴,y 轴以及直线1=+y x 所 围成。
(2) ()⎰⎰+D d y x σ2与()⎰⎰+Dd y x σ3,其中积分区域D 是由圆周()()21222=-+-y x 所围成。
3.利用二重积分性质,估计积分()⎰⎰++=Dd y x I σ92222的值,其中D 是圆形闭区域422≤+y x 。
4.交换积分()⎰⎰--a ax ax xa dy y x f dx 2222,的积分次序。
5.交换积分()⎰⎰-2120,ydx y x f dy 的积分次序。
6.交换二次积分()⎰⎰+-aa y y a y x f dy 022,的积分次序。
7.计算()⎰⎰+Dd y x σ23,其中D 是由两坐标轴及直线2=+y x 所围成的闭区域。
8.计算()⎰⎰+Dd y x x σcos ,其中D 是顶点分别为()0,0,()0,π和()ππ,的三角形区域。
9.计算()⎰⎰+Dyd x σsin 1,其中D 是顶点分别为()0,0,()0,1,()2,1和()1,0的梯形闭区域。
10.计算二重积分⎰⎰Ddxdy ,其中区域D 由曲线21x y -=与12-=x y 围成。
11.计算二重积分⎰⎰Dd xy σ2,其中D 是由圆周422=+y x 及y 轴所围成的右半闭区域。
第6章 重积分练习题习题6.11.设xoy 平面上的一块平面薄片D,薄片上分布有密度为),(y x u 的电荷,且),(y x u 在D上连续,请给出薄片上电荷Q 的二重积分表达式.2.由平面1342=++z y x ,0=x , 0=y ,0=z 围成的四面体的体积为V ,试用二重积分表示V .3.由二重积分的几何意义计算⎰⎰--Dd y x R σ222,222:R y x D ≤+.4.⎰⎰=Dd y x f I σ),(.y y x D 2:22≤+,写出I 的累次积分式.5.交换下列累次积分的积分顺序: ⑴⎰⎰--aax a dy y x f dx 220),(. ⑵⎰⎰⎰⎰-+31301020),(),(yydx y x f dy dx y x f dy .6.计算下列二重积分: ⑴⎰⎰+Dyx d eσ23.2||,2||:≤≤y x D .⑵⎰⎰+Dd y x σ)(22.1||||:≤+y x D .⑶⎰⎰+D dxdy yx 221.10,10:≤≤≤≤y x D . ⑷⎰⎰--D dxdy y x )2(21.2,:x y x y D ==.7.运用极坐标变换计算下列二重积分: ⑴⎰⎰+Ddxdy y x 22.1:22≤+y x D .⑵⎰⎰+Ddxdy y x )(22.y y x D 6:22≤+. ⑶⎰⎰++Dd y x σ)1ln(22.4:22≤+y x D ,0≥x ,0≥y .8.现有一平面薄片,占有xy 平面上的区域D ,在点),(y x 处的面密度为),(y x u ,且),(y x u 在D 上连续,求该平面薄片的重心表达式.9.学习(或复习)物体转动惯量的相关物理知识.探究均匀薄片转动惯量的二重积分表达式,然后计算斜边长为a 的等腰直角梯形关于一直角边的转动惯量.习题6.21.在直角坐标系中计算下列三重积分: ⑴dxdydz z xy V42⎰⎰⎰.31,20,10:≤≤≤≤≤≤z y x V .⑵dxdydz z y x V⎰⎰⎰++)sin(.V 由平面0=x ,0=y ,0=z ,2π=++z y x 围成.2.在柱面坐标系下计算三重积分dxdydz y xV⎰⎰⎰+)(22,其中V 由旋转抛物面)(2122y x z +=及平面2=z 所围成的立体.3.在球面坐标系中计算三重积分dxdydz zy x z y x V⎰⎰⎰++++222222cos ,222224:ππ≤++≤z y x V .4.运用三重积分求半径为R 的球体的体积.5.运用三重积分求球面z z y x 2222=++和锥面(以z 轴为轴,顶角为︒90)所围部分的体积.6.求曲面z z y x 8)(2222=++围成部分的体积.习题6.31.求球面16222=++z y x 被平面1=z 和2=z 所夹部分的面积.2.一段铁丝刚好围成三角形ABC ,其中)0,0(A 、)0,1(B 、)1,0(C ,三边上点),(y x 处的线密度为y x +,求这段铁丝的质量.3.求⎰τzds ,τ为圆锥螺线⎪⎩⎪⎨⎧===t z t t y t t x sin cos .4.求ds y x ⎰+τ22,其中τ为圆周x y x 222=+.5.计算⎰+Lxdy ydx ,其中L 是由点)0,1(沿上半圆122=+y x 到)0,1(-.6.)0,0(A , )1,1(B 在抛物线2x y =上,一质点从A 移动到B 沿上.在点),(y x 处所受的力F 等于该点到原点的距离,且指向原点,求力F 所作的功半圆.7.利用格林公式计算:dy y xdx y x )()(222+++⎰τ,τ为区域10≤≤x ,x y x ≤≤2的正向边界曲线.8.计算ydx x dy xy22-⎰τ,其中τ为圆周122=+y x .9.计算球面的质量m ,已知球半径为1,球面上各点密度等于这点到铅直直径的距离. 10.计算⎰⎰++SdS z y x )(.4:222=++z y x S ,0≥z . 11.计算⎰⎰SzdS .S 是平面1=++z y x 在第一卦限部分.12.计算⎰⎰++Szdxdy ydxdz xdydz .S 为球面1222=++z y x的外表面.13.用高斯公式计算上面第12题.复习题六一、判断题(正确的打“√”,错误的打“×”)1.若0),(≥y x f ,则⎰⎰Ddxdy y x f ),(的几何意义是以区域D 为底、曲面),(y x f z =为曲顶的曲顶柱体的体积. ( )2.若设}11,10|),{(≤≤-≤≤=y x y x D ,则0≥⎰⎰dxdy xe Dxy . ( )3.若设D 是由1=+y x 、1=-y x 和0=y 所围成的区域,则有=⎰⎰dxdy xy Ddy xy dx x x⎰⎰--1011. ( )4.⎰⎰⎰⎰=11ln 0),(),(eee xy dx y x f dy dy y x f dx .( ) 5.若设L 是围成区域D 的边界曲线,则dy y x Q dx y x P L ),(),(+⎰σd yQx P D)(∂∂-∂∂=⎰⎰. ( ) 二、填空题1.设}2||,1|||),{(≤≤=y x y x D ,则⎰⎰=Ddxdy .2.设}14|),{(22≤+=y x y x D ,则⎰⎰=Ddxdy .3.设}|),{(222R y x y x D ≤+=,由重积分的几何意义得⎰⎰=--Dd y x R σ222.4.若dr r r f r d dy y x f dx aa x a ⎰⎰⎰⎰--=0)sin ,cos (),(22θθθβα,则=),(βα.5.设L 为椭圆14922=+y x 的正向边界,=+⎰L ydy xdx cos 3 . 三、选择题1.若D 是由kx y =)0(>k ,0=y 和1=x 围成的三角形区域,且⎰⎰=Ddxdy xy 1512,则=k ( )A .1B .354 C .3151 D .352 2.将极坐标系下的二次积分dr r r f r d I ⎰⎰=θπθθθsin 20)sin ,cos (化为直角坐标系下的二次积分,则=I ( )A .⎰⎰--+--11111122),(y y dx y x f dy B .⎰⎰---202222),(x x x x dy y x f dx C .⎰⎰----112222),(y y y y dx y x f dy D .⎰⎰--+--11111122),(x x dy y x f dx3.二次积分⎰⎰2142),(x dy y x f dx 交换积分次序为 ( )A .⎰⎰2014),(y dx y x f dy B .⎰⎰2040),(ydx y x f dyC .⎰⎰140),(ydx y x f dy D .⎰⎰1024),(ydx y x f dy4.若D 是由2x y =和2y x =所围成的区域,L 为区域D 的正向边界,则⎰-L dx y dy x 222131= ( ) A .143B .91C .41D .52415.若L 是围成平面内一闭区域D 的正向边界曲线,则曲线积分⎰+Lxy dy x dx xe 2可化为二重积分 ( )A .⎰⎰-Dxy d x e x σ)2(2 B .⎰⎰-Dxy d e x x σ)2(2C .⎰⎰+Dxy xy d e x e σ)(2 D .⎰⎰-Dxy xy d e x e σ)(2四、解答题1.区域D 是由抛物线y x =,直线0=x 和0223=+-y x 围成,计算⎰⎰Dxdxdy 的值2.设}|),{(222π≤+=y x y x D ,求二重积分⎰⎰+Ddxdy y x 22sin3.计算dy y e dx y y e x Lx )1cos ()sin (-+-⎰,其中L是圆周x y x 422=+,且正向为逆时针方向4.求半径为R ,高为H )(R H <的球冠面积5.求两个底面半径相等的直交圆柱面222R y x =+与222R z x =+所围成的立体的体积。
题目部分, (卷面共有 100 题 ,分 ,各大题标有题量和总分 ) 一、选择 (16 小题 ,共分 )(2 分 )[1]2(3 分 )[2] 二重积分xydxdy (此中 D : 0≤ y ≤ x ,0≤ x ≤ 1)的值为D1111 ( A )( B )( C )( D ) 61224答 ()(3 分 )[3] 若地区D 为 0≤ y ≤ x 2,| x| ≤ 2,则xy 2 dxdy=D(A )0;( B )32( C )64( D ) 25633(3 分 )[4] 设D 1 是由ox 轴, oy轴及直线答 (x+y=1 所圈成的有界闭域, )f 是地区D :| x|+| y| ≤ 1 上的连续函数,则二重积分f ( x 2, y 2 ) dxdy __________f ( x 2 , y 2 )dxdyDD 1(A )2( B )4( C )8(D )12答 ()(3 分 )[5] 设 f(x,y)是连续函数,则二次积分0 1 x 21dxf ( x, y) dyx 11 y 12 y 21(A)dy1 f ( x, y)dxdyf (x, y)dx0 11(B)1 y 1dy1 f ( x, y)dx1 y 12y 2 1(C)dy 1 f ( x, y)dxdy f (x, y)dx1 1(D)2y 21dy1 f (x, y)dx答 ()x y dxdy(3 分 )[6] 设函数 f(x,y)在地区 D :y2≤- x,y ≥ x 2 上连续,则二重积分f可( , )D化累次积分为x 2f (x, y)dy0 x 2(A)dxx (B)dx f ( x, y)dy11 x1 y 21 y2 (C)dyf ( x, y)dx(D)dyf ( x, y)dxyy答( )13 y 2f ( x, y)dx 可互换积分序次为(3 分 )[7] 设 f(x,y)为连续函数,则二次积分dy1 2y21dx2 x3 3 x 2(A)f ( x, y)dydxf (x, y)dy0 0112x 21 3 dx3 x 2(B) 2dxf (x, y)dy 1 dxf (x, y)dy 2 f ( x, y)dy21 3 x 2(C)dx2 x (D) 2d3 2cos 0sin 2()f ( x, y)dyf (r cos , r sin )rdr答(3 分 )[8] 设 f(x,y)为连续函数,则积分1 x 22 2 xdxf (x,y)dydxf ( x, y)dy1可互换积分序次为1 y2 2 y(A)dyf (x,y)dx dy0 f ( x, y)dx0 0 1(B)1 x 22 2 xdy f ( x,y)dxdy0 f (x, y)dx0 0 11 2 y(C)dyf ( x,y)dxy12 x(D)dyx 2 f ( x,y)dx答 ()(4 分 )[9] 若地区 D(x 1) 2 +y 2≤ 1,则二重积分fx y dxdy 化成累次积分为为 -( , )D2cos2cos(A)dF (r , )dr(C) 2d2cos F (r , )dr2此中 F(r,θ )=f(r cos θ,rsin θ)r.(B)dF (r , )dr0 (D) 2 2d2cos F (r , )dr答 ( )(3 分 )[10] 若地区 D 为 x 2+y 2≤ 2x ,则二重积分(x y) x 2y 2 dxdy 化成累次积分为D2d2cossin ) 2r cos rdr(A)(cos2(cossin )d2cos 3dr(B)r(C)22(cossin )d 2cosr 3dr(D) 22(cossin )d2cos r 3dr2答()(4 分)[11]设 I 1[ln( x y)]7 dxdyI, 2(xy) 7 dxdy,I 3sin 7(x y)dxdy此中D是DDD由 x=0,y=0, xy1I 1 , I 2, I 3 的大小次序是,x+y=1 所围成的地区,则2(A)I 1< I 2< I 3;(B)I 3< I 2< I 1;(C)I <I <I ;(D)I <I <I .132312答( )(5 分 )[12] 设 Idxdy,则 I 知足11cos 2x sin 2 yx y2I 2(B)2I3(A)3 1(C) D(D)1 I 0I2答 ( )(4 分 )[13] 设 xy1及 x+y=1 所围成的地区,则 I 1, I 2,此中 D 是由直线 x=0,y=0,2I 3 的大小次序为(A)I <I <I ;(B)I <I <I;32 112 3(C)I <I <I ;(D)I <I <I .1 32312答 ( )(3 分 )[14] 设有界闭域 D与 D 对于 oy 轴对称,且 D ∩D =,f(x,y)是定义在 D ∪D 上的连续函121212数,则二重积分f (x 2, y)dxdyD(A) 2f ( x 2 , y)dxdy(B) 4f ( x 2 , y)dxdyD 1D 2(C)4f (x 2 , y)dxdy(D) 1f ( x 2 , y)dxdyD 12D 2答 ()(3 分 )[15] 若地区 D 为| x| ≤1,| y| ≤ 1,则xe cos(xy) sin( xy)dxdyD (A) e;- 1(B) e ; (C) 0;(D)π.答 ( )(4 分 )[16] D: x2+y2≤ a2(a> 0),当 a=___________,a2x2y2 dxdy .D33(A)1(B)23331(C)4(D)2答 ()二、填空(6小 ,共分 )(4 分)[1] 函数 f(x,y)在有界地区 D 上有界,把 D 随意分红 n 个小地区σi(i=1,2,⋯,n),在每一个小地区σ i随意取一点(ξi,ηi),假如极限nlim f ( i , i ) i(此中入是σ i(i=1,2,⋯,n)的最大直径)存在,称此极限0 i1______________的二重分。
重积分练习题含答案第十章重积分练习结论1:如果积分区域D 关于y 对称,}0,),(),{(1≥∈=x D y x y x D 则=--=-=DD y x f y x f d y x f y x f y x f d y x f 1),(),(),(2),(),(0),(时当时当σσ结论2:如果积分区域D 关于x 轴对称,}0,),(),{(1≥∈=y D y x y x D 则=--=-=DD y x f y x f d y x f y x f y x f d y x f 1),(),(),(2),(),(0),(时当时当σσ结论3:如果积分区域D 关于坐标原点O 对称,则=---=--=DD y x f y x f d y x f y x f y x f d y x f 1),(),(),(2),(),(0),(时当时当σσ其中}0,),(),{(1≥∈=x D y x y x D结论4:如果积分区域D 关于直线=y x 对称,则=DDd x y f d y x f σσ),(),(练习11.求σ-=??d x y I D2,其中2y 0,1x 1:D ≤≤≤≤-2.证明??-=xab abady y b y f dy y f dx ))(()((f 连续)3. 设)(x f 在区间],[b a 上连续,且0)(>x f ,试证明? ->b aba ab dx x f dx x f 2)()(1)(4.计算[]??++Ddxdy y x yf x )(122,其中D 由3x y =,1=y ,1-=x 围成。
5.计算vdv y x I )(22,v 是由yOz 平面上曲线z y 2=绕z 轴旋转所得平面2=z ,8=z 所围区域。
6. 设函数)(x f 连续,[]d v y x f zt F v++=)()(222,其中{}H z t yx z y x V ≤≤≤+=0,),,222(,试求dtdF 和2)(limtt F t →7. 求曲面221y x z ++=在点)3,1,1(0-M 的切平面与曲面22y x z +=所围立体的体积V8.设半径为R 的球面∑的球心在定球面)0(222>=++a a z y x 上,问当R 取何值时,∑在定球面内部的那部分1∑的面积最大?练习21.计算??Dxyd σ,其中区域D 是由抛物线12-=x y 及直线x y -=1所围成的区域-8272.计算??+Dyx d eσ,其中D 是由1≤+y x 所确定的区域 ??? ?-e e 13.计算??+Ddxdy y x )sin(,其中D 为正方形区域:ππ≤≤≤≤y x 0,0 )2(π4.更换积分次序① ??211),(x xdy y x f dx ② ??-π0sin sin2),(xx dy y x f dx5.计算由平面0,0,6===++y x z y x 及42=+y x 所围成的立体的体积 ??3646. 球体2222+x y z R +≤与Rz z y x 2222≤++的公共部分为一立体,求其体积3125R π7. 计算三重积分Ωzdxdydz ,其中Ω为由圆锥面的22yx z +=及平面1=z 所围成区域 ??4π8. 分别用柱面坐标、球面坐标和直角坐标计算三重积分Ω=zdv x I 2,其中Ω是由球面2222=++z y x 及圆锥面22y x z +=所围成(含z 轴部分) ??12π9. 求球面2222a z y x =++含在圆柱面ax y x =+2 2内部的那部分面积(0>a )))2(2(2-πa重积分练习一参考答案1.求σ-=d x y I D2,其中2y 0,1x 1:D ≤≤≤≤-解:如图,曲线2x y =把区域D 分为1D 和2D ,其中1x 1D 1≤≤-:,2x y 0≤≤;2y x,1x 1:D 22≤≤≤≤-σ-+σ-=σ-=d x y d y xd x y I 21D 2D 2D2()()??--=-?+-?=1122112221513xx dyx y dx dy y xdx2.证明??-=x ab abady y b y f dy y f dx ))(()((f 连续)证:左端=??xabady y f dx )(,??≤≤≤≤bx a x y a D ,作出积分域交换积分顺序,?? ≤≤≤≤by a b x y D左端==xab ady y f dx )(??by b adx y f dy )(?=-=b ady y b y f ))((右端,证毕!注:本题还可这样证明:令?--=t axat adx x t x f dy y f dx t F ))(()()(,证明0)(0)(=?='t F t F3.设)(x f 在区间],[b a 上连续,且0)(>x f ,试证明?->b abaa b dx x f dx x f 2)()(1)(证:设平面区域},),({b y a b x a y x D ≤≤≤≤=,D 关于直线x y =对称=∴b ab ab ady y f dx x f dx x f dx x f )(1)()(1)(222)()()()()(221)()()()(21)()()()(21)()()()(a b d x d y d x d yy f x f y f x f d x d y y f x f y f x f d x d y x f y f y f x f d x d y x f y f d x d y y f x f DDD DDD-==≥+=+==4.计算[]??++Ddxdy y x yf x )(122,其中D 由3x y =,1=y ,1-=x 围成。
高数测试题七(重积分部分)答案
一、选择题(每小题5分,共25分) 1、交换积分0
(,)(a
y
dy f x y dx a ⎰
⎰为常数)的次序后得( B )
A 00
(,)y
a
dx f x y dy ⎰⎰ B
0(,)a
a
x
dx f x y dy ⎰⎰
C
(,)a
x
dx f x y dy ⎰
⎰ C
(,)a
y
dx f x y dy ⎰
⎰
2、设2222
222()()x y z t F t f x y z d v ++≤=
++⎰⎰⎰
,其中 f 为连续函数,(0)f '存
在,而(0)0,(0)1f f '==,则5
0()
lim
t F t t →=( B )
A π
B 45π
C 35π
D 2
5
π
3、球面2
2
2
2
4x y z a ++=与柱面22
2x y ax +=所围成立体体积(含在柱
内部分)为( C )
A
2cos 20
04a d π
θ
θ⎰⎰ B
2cos 20
8a d π
θ
θ⎰⎰
C
2cos 20
4
a d π
θ
θ⎰
⎰
D
2cos 20
2
a d π
θ
πθ-⎰⎰
4、设D 是xy 平面上以点(1,1),(1,1),(1,1)---为顶点的三角形区域,1D 是D 在第一象限的部分,则(cos sin )D
xy x y d σ+⎰⎰=( A )
A 1
2
cos sin
D x yd σ⎰⎰ B 1
2D xyd σ⎰⎰ C 1
(cos sin )D xy x y d σ+⎰⎰ D 0
5、设22222222
22sin()1
arctan 0
(,)0
2
x y x y x y x y f x y x y π⎧++≠⎪⎪++=⎨
⎪+=⎪⎩ ,
区域22
:(0)D x y ε
ε+≤>,则0
1
lim (,)D
f x y d εσπε
+
→⎰⎰=( A )
A
2
π
B π
C 0
D ∞ 二、填空题(每小题5分,共25分) 1、 设(,,)I f x y z dxdydz Ω
=
⎰⎰⎰,积分区域
:0z z y Ω≤≥≥所确定,则I 在柱面坐标系下
的三次积分为
120
(cos ,sin ,)d rdr f r r z dz π
θθθ⎰
⎰
2、 设D 是由3
,(0)y x y x x ==>所围成的平面区域, 则
sin D
x
d x σ⎰⎰= 32(cos1sin1)-+ 3、二次积分
2
2
2
y x
dx e dy -⎰
⎰=
41
(1)2
e -- 4、 设D
是由11
,2x y -≤≤-≤≤围成的平面区域,则
3
(2)D
x
y d x d y +⎰⎰= 0
5、 设Ω是由球面2
2
2
1
x y z ++=所围成的闭区域,则222222ln(1)
1z x y z dxdydz x y z Ω
++++++⎰⎰⎰= 0 三、计算题 1、(6分)计算 222:(0)D xy dxdy
D x y a a +≤>⎰⎰
解:由对称性知
224
142()2
a
a
D
xy dxdy dx x a x dx a ==-=
⎰⎰
⎰⎰
3、(6分)计算
D
,其中D 为 221x y +≤的第一象限部分
解:原式
=
220
(2)48
d t r π
ππθπ==-⎰
⎰
⎰
4、(8分)
22224:9D
x y dxdy D x y +-+≤⎰⎰
解:
1
2
2
2222222
23
220
24(4)(4)41
(4)(4)2
D
D D x
y dxdy x y dxdy x y dxdy
d r rdr d r rdr π
π
θθπ+-=-+++-=-+-=⎰⎰⎰⎰⎰⎰⎰⎰⎰
⎰
5、(6
分)计算Ω
,其中 Ω为2216,4,0
x y y z z +=+==所围成的区域
解:原式=
24
4sin 0005123
r d rdr rdz π
θ
π
θ-=
⎰⎰⎰
6、(8分)计算22222222
:,2(0)z dv x y z a x y z az a Ω
Ω++≤++≤>⎰⎰⎰
解:
12
2
22
20
222
22220
2
[][]59(2)()480
z z
a
a
a D D a a
a z dv z d dz z d dz
z az z dz z a z dz σσπππΩ
=+=-+-=
⎰⎰⎰⎰⎰⎰⎰⎰⎰⎰⎰。