华工高数作业册答案第8章
- 格式:pdf
- 大小:252.48 KB
- 文档页数:20
第七章 多元函数微分学作业1 多元函数1.填空题(1)已知函数22,y f x y x y x ⎛⎫+=- ⎪⎝⎭,则(),f x y =()()22211x y y -+; (2)49arcsin2222-+++=y x y x z 的定义域是(){}22,49x y x y ≤+≤; (3))]ln(ln[x y x z -=的定义域是(){}(){},,0,1,0,1x y x y x x y x x y x >>+⋃<<≤+;(4)函数⎪⎩⎪⎨⎧=≠=0,0,sin ),(x y x x xyy x f 的连续范围是 全平面 ;(5)函数2222y x z y x+=-在22y x =处间断.2.求下列极限(1)00x y →→;解:000016x t t y →→→→===-(2)22()lim (ex y x y x y -+→+∞→+∞+).解:3y x =22()2()lim (e lim (e 2x y x y x y x x y y x y x y xe ye -+-+--→+∞→+∞→+∞→+∞⎡⎤+=+-⎣⎦)) 由于1lim e lim lim 0tt t t t t t t e e-→+∞→+∞→+∞===,2222lim e lim lim lim 0tt t t t t t t t t t e e e -→+∞→+∞→+∞→+∞====,故22()2()lim (elim (e 20x y x y x yx x y y x y x y xe ye -+-+--→+∞→+∞→+∞→+∞⎡⎤+=+-=⎣⎦)) 3.讨论极限26300lim y x yx y x +→→是否存在.解:沿着曲线()()3,,0,0y kx x y =→,有336626262000lim lim 1x x y kx x y kx kx y x k x k →→=→==+++因k 而异,从而极限26300lim y x yx y x +→→不存在4.证明⎪⎩⎪⎨⎧=+≠++=0,00,2),(222222y x y x y x xyy x f 在点)0,0(分别对于每个自变量x 或y都连续,但作为二元函数在点)0,0(却不连续.解:由于(,0)0,(0,)0,f x f y ≡≡从而可知在点)0,0(分别对于每个自变量x 或y 都连续,但沿着曲线()(),,0,0y kx x y =→,有2222222000222lim lim 1x x y kx xy kx kx y x k x k →→=→==+++因k 而异, 从而极限()0lim ,x y f x y →→不存在,故作为二元函数在点)0,0(却不连续.作业2 偏导数1.填空题(1)设22),(y x y x y x f +-+=,则=)4,3(x f 25; (2)(3)设(),ln 2y f x y x x ⎛⎫=+⎪⎝⎭,则1x y f y==∂=∂12; (3)设2sin x u xz y =+,则42ux y z∂=∂∂∂ 0 ;(4)曲线22:44x y z y ⎧+=⎪Γ⎨⎪=⎩在点()2,4,5处的切线与Ox 轴正向的倾角是4π. 2.设2e xyu =, 证明 02=∂∂+∂∂yu y x u x. 证:因为222312,xxy yu ux e e x y y y∂∂-==∂∂ 所以222223221222220x x x xy y y y u u x x x x y xe ye e e x y y y y y ∂∂--+=+=+=∂∂3. 设xyz ln =,求22x z ∂∂,yx z∂∂∂2.解:ln ln x yz e⋅=,从而222ln ln ln ln ln ln ln 222ln ln ln ln ln ,,x y x y x y x z y z y y y y e e e y x x x x x x ⋅⋅⋅∂∂--⎛⎫=⋅=⋅+⋅= ⎪∂∂⎝⎭2ln ln ln ln ln ln ln 11ln ln 1x y x y x z y x y x e e y x y x y x y xy⋅⋅∂⋅+=⋅⋅+⋅⋅=∂∂4.设y x z u arctan =, 证明 0222222=∂∂+∂∂+∂∂zuy u x u . 解:因为()()2222222222211022,1uyz u yz x xyzz xy x y x x x y x y y ∂∂-⋅-=⋅⋅===∂+∂⎛⎫+++ ⎪⎝⎭()()2222222222221022,1u x xz u xz y xyzz yy x y y x x y x y y ∂--∂-⋅=⋅⋅==-=∂+∂⎛⎫+++ ⎪⎝⎭22arctan ,0,u x uz y x∂∂==∂∂ 所以()()2222222222222200u u u xyz xyzx y z x y x y ∂∂∂-++=++=∂∂∂++ 5.设函数()()2221sin ,0,0,x x y x f x y xx ⎧+≠⎪=⎨⎪=⎩.(1)试求(),f x y 的偏导函数; 解:当()()()3222221110,,42sin cos x x f x y x xyx x y xx x-≠=+++⋅()21,2sin y f x y x y x =,()()()322211,42sin cos x f x y x xy x y x x=+-+当()()()()222001sin 0,0,0,0,lim lim 00x x x x x y f x y f y x x f y x x→→+--≠===-()()()000,0,000,lim lim 0y y y f y y f y f y y y ∆→→+∆--===∆-∆,()()()322211,42sin cos x f x y x xy x y x x=+-+(2)考察偏导函数在()0,3点处是否连续.()()200331lim ,lim 2sin00,3y y x x y y f x y x y f x→→→→===,故(),y f x y 在()0,3点处连续, ()()()3222003311lim ,lim 42sin cos x x x y y f x y x xy x y x x →→→→⎡⎤=+-+⎢⎥⎣⎦不存在,从而(),x f x y 在()0,3点处不连续作业3 全微分及其应用1.填空题(1)),(y x f z =在点),(00y x 处偏导数存在是),(y x f z =在该点可微的必要 条件;(2)函数23z x y =在点()2,1-处,当0.02,0.01x y ∆=∆=-时有全增量z ∆=0.2040402004-,全微分d z =0.20-;(3)设),(y x f z =在点),(00y x 处的全增量为z ∆,全微分为dz ,则),(y x f 在点),(00y x 处的全增量与全微分的关系式是()z dz o dz ∆=+;(4)22yx x u +=在点)1,0(处的d u =dx ;(5)xy u cos )(ln =,则d u =cos cos (ln )ln ln sin ln x x y y xdx dy y y ⎡⎤-⋅+⎢⎥⎣⎦; (6)zyx u )(=,则d u =()ln zx z z x dx dy dz y x y y ⎛⎫-+⎪⎝⎭;(7)2221zy x u ++=,则d u = ()()3222212x y z -++ .2.证明:(),f x y =在点()0,0处连续,()0,0x f 与()0,0y f 存在,但在()0,0处不可微.证:由于(0,)0,(,0)0,f y f x ==从而(0,0)0,(0,0)0.y x f f ==但是limlimx x y y ∆→∆→∆→∆→=不存在,从而在()0,0处不可微.3.设函数()()222222221sin ,0,0,0x y x y x y f x y x y ⎧++≠⎪+=⎨⎪+=⎩试证:(1)函数(),f x y 在点()0,0处是可微的;证:因为 ()()()()22001sin0,00,00,0limlim 0,0,000x y x x x f x f x f f x x →→--====-- 又()()()()()22221sinlimlim0x x y y x y x y ∆→∆→∆→∆→∆+∆∆+∆==所以函数(),f x y 在点()0,0处是可微的(2)函数(),x f x y 在点()0,0处不连续.证:当()222222221210,,2sincos x x x y f x y x x y x y x y+≠=-+++ ()2222220000121lim ,lim 2sin cos x x x y y x f x y x x y x y x y ∆→∆→∆→∆→⎛⎫=- ⎪+++⎝⎭不存在, 故(),x f x y 在点()0,0处不连续作业4 多元复合函数的求导法则1.填空题(1)设2ln ,,32yz u v u v y x x===-,则 z x ∂=∂()()223222ln 3232y y y x x x y x ----; (2)设22,cos ,sin z x y xy x u v y u v =-==,则zv∂=∂()333sin cos sin 2sin sin 2cos u v v v v v v +--; (3)设()22,zu x y z x y =-=+,则u x ∂=∂()()222ln z x y x y x x y x y ⎡⎤+--+⎢⎥-⎣⎦;(4)设2sin z x y x ==,则dd zx =2x . 2.求下列函数的偏导数(1)设,,x y u f y z ⎛⎫=⎪⎝⎭其中f 具有一阶连续偏导数,求,u x ∂∂u y ∂∂和uz ∂∂; 解:111,f u f x y y ∂=⋅=∂121222222211,u x x u y yf f f f f f y y z y z z z z∂--∂--=⋅+⋅=+=⋅=∂∂ (2)设(),,,u f x y z =()(),,,z y t t y x ϕψ==,其中,,f ϕψ均可微,求u x ∂∂和uy∂∂. 解:因为1231212,,du f dx f dy f dz dz dy dt dt dy dx ϕϕψψ=++=+=+ 从而()1231212du f dx f dy f dy dy dx ϕϕψψ=++++⎡⎤⎣⎦()()1322231321f f dx f f f ϕψϕϕψ=+++++所以1322231321,u u f f f f f x yϕψϕϕψ∂∂=+=++∂∂ 3.验证下列各式(1)设()22yz f x y =-,其中()f u 可微,则211z z z x x y y y ∂∂+=∂∂; 证:因为222212,z xyf z y f x f y f f ''∂-∂==+∂∂ 所以222211121121z z z xyf y f zx x y y x x f y f f yf y ''⎛⎫∂∂∂-+=++== ⎪∂∂∂⎝⎭ (2)设()23y z xy x ϕ=+,其中ϕ可微,则220z zx xy y x y ∂∂-+=∂∂. 证:因为()()222,33z y z y y xy x xy x x y xϕϕ∂∂''=-+=+∂∂ 所以22z z x xy y x y ∂∂-+=∂∂()()2222233y y x y xy xy x xy y x x ϕϕ⎛⎫⎛⎫''-+-++ ⎪ ⎪⎝⎭⎝⎭()()22222033y y x y xy y x y xy y ϕϕ''=-+--+=4.设22,,y z xf x x ⎛⎫= ⎪⎝⎭其中函数f 具有二阶连续偏导数,求2z x y ∂∂∂. 解:因为221212222,z y y f x f f f xf f x x x ⎛⎫∂-=++⋅=+- ⎪∂⎝⎭所以22212212222222222z y y y y y y f xf f f xf f f x y y x x x x x x⎡⎤∂∂=+-=+⋅--⋅⎢⎥∂∂∂⎣⎦ 31222224y yf f x=-4.设)()(xy x x y u ψϕ+=其中函数ψϕ,具有二阶连续偏导数,试证:022222222=∂∂+∂∂∂+∂∂y u y y x u xy x u x . 证:因为222223432,u y y u y y y x x x x x x x ϕψψϕϕψ∂-∂'''''''=+-=++∂∂222322211,,u y y u u x y x x x y x y x xϕψϕϕψϕψ''''∂∂∂'''''''=---=+=+∂∂∂∂ 从而左边222234323222120y y y y y x xy y x x x x x x x x ϕψϕϕψϕϕψ''''⎛⎫⎛⎫⎛⎫''''''''''=+++---++= ⎪ ⎪ ⎪⎝⎭⎝⎭⎝⎭作业5 隐函数求导法1.填空题(1)已知3330x y xy +-=,则d d y x =22x yx y--; (2)已知20x y z ++-=,则x y ∂=∂(3)已知xzz y =,则d z =2ln ln z dy yz zdxxy yz y--;(4)已知222cos cos cos 1x y z ++=,则d z =sin 2sin 2sin 2xdx ydyz+-;(5)已知(),z f xz z y =-,其中f 具有一阶连续偏导数,则d z =12121zf dx f dyxf f ---.2.设(),0,F y z xy yz ++=其中F 具有二阶连续偏导数,求22zx∂∂.解:212120,yF z z z F F y y x x x F yF -∂∂∂⎛⎫+⋅+=⇒= ⎪∂∂∂+⎝⎭ ()()[]()22122122122221212x x x F z F y yz F yF F F yF F z y y x x F yF F yF '⋅+++-+⎡⎤⎛⎫∂∂⎣⎦=-=- ⎪∂∂++⎝⎭()()()()()2222112111222212221231212y F F F yF F F yF y F F F F F yF F yF -+++⎡⎤-⎣⎦=+++3.求由方程组222222320z x yx y z ⎧=+⎪⎨++=⎪⎩所确定的()y x 及()z x 的导数d d y x 及d d z x .解:由已知()2222222602460dz xdx ydydz xdx ydy xdx dz xdx zdz xdx ydy zdz -=⎧=+⎧⎪⇒⎨⎨+-+=++=⎪⎩⎩()()22606,132623220xdx z dz dz x dy x xy dx z dx y yz xdx ydy z xdx ydy -++=⎧+⎪⇒⇒==-⎨+++++=⎪⎩4.设函数()z f u =,又方程()()d xy u u P t t ϕ=+⎰确定u 是,x y 的函数,其中()f u 与()u ϕ均可微;()(),P t u ϕ'连续,且()1u ϕ'≠. 试证:()()0z zP y P x x y∂∂+=∂∂. 证:因为()(),z u z uf u f u x x y y∂∂∂∂''=⋅=⋅∂∂∂∂, ()()()(),1P x u u uu P x x x x u ϕϕ∂∂∂'=⋅+='∂∂∂- ()()()(),1P y u u uu P y y y y u ϕϕ-∂∂∂'=⋅-='∂∂∂- ()()()()()()()()()()011P x P y z zP y P x P y f u P x f u x y u u ϕϕ-∂∂''+=+=''∂∂-- 5.设函数()f u 具有二阶连续偏导数,而()e sin xz f y =满足方程22222e xz z z x y∂∂+=∂∂,求()f u . 解:因为()()()()222sin ,sin sin x xx z z f u e y f u e y f u e y x x∂∂''''==+∂∂ ()()()()222cos ,cos (sin )x x x z z f u e y f u e y f u e y y y∂∂''''==+-∂∂()()222222()e ,()0x x z zf u e f u f u f u x y∂∂''''+==⇒-=∂∂ 特征方程为()2121210,1,1,u u r r r f u c e c e --===-=+作业6 方向导数与梯度1.填空题(1)在梯度向量的方向上,函数的变化率 最大 ; (2)函数在给定点的方向导数的最大值就是梯度的 模 ; (3)函数2249z x y =+在点()2,1的梯度为grad z ={16,18};(4)函数xyz u =在点)1,1,1(处沿方向}cos ,cos ,{cos γβα=l的方向导数是cos cos cos αβγ++,且函数u 在该点的梯度是{1,1,1};(5)函数e cos()xu yz =在点)0,0,0(处沿方向}2,1,2{-=l的方向导数是23; (6)函数)ln(22z y x u ++=在点)1,0,1(A 处沿A 指向点)2,2,3(-B 方向的方向导数是12. 2.求222z y x u -+=在点)0,0,(a A 及点)0,,0(a B 处的梯度间的夹角.解:{}2,2,2{2,0,0}AAgradux y z a =-={}2,2,2{0,2,0}B Bgradu x y z a =-=夹角余弦为cos 02A B A Bgradu gradu gradu gradu πϕϕ⋅==⇒=⋅3.求二元函数22z x xy y =-+在点()1,1-沿方向{}2,1l =的方向导数及梯度,并指出z 在该点沿那个方向减少得最快沿那个方向z 的值不变 解:(){}(){}1,11,12,23,3gradz x y y x --=--=-25l ⎧=⎨⎩,{3,3}5zl ∂=-⋅=-∂z 在该点沿梯度相反方向,即方向减少得最快;沿与梯度垂直的那个方向,即±方向z 的值不变 4.设x轴正向到l 得转角为α,求函数()22220,0,x y f x y x y +>=+=⎩在点()0,0处沿着方向l 的方向导数.解:{}cos ,sin ,cos l αααα===由于该函数在点()0,0处不可微,从而不能用公式,只能由定义得出沿着方向l 的方向导数:()()00,0,0lim x y f x y f fl ρρρ→→→→-∂===∂1cos sin sin 22ααα==作业7 偏导数的几何应用1.填空题(1)已知曲面224z x y =--上点P 的切平面平行于平面221x y z ++=,则点P的坐标是(1,1,2);(2)曲面e 23zz xy -+=在点()1,2,0处的切平面方程是24x y +=;(3)由曲线223212x y z ⎧+=⎨=⎩绕y轴旋转一周所得到的旋转曲面在点(M处的指向内侧的单位法向量为0,⎧⎪⎨⎪⎩; (4)曲面2222321x y z ++=在点()1,2,2-处的法线方程是122146x y y -+-==-; (5)已知曲线23,,x t y t z t ===上点P 的切线平行于平面24x y z ++=,则点P的坐标是()1,1,1--或111,,3927⎛⎫--⎪⎝⎭. 2.求曲线22sin ,sin cos ,cos x t y t t z t ===在对应于的点π4t =处的切线和法平面方程.解:切点为{}224111,,,2sin cos ,cos sin ,2cos sin {1,0,1}222T t t t t t tπ⎛⎫=--=- ⎪⎝⎭,从而切线为11110222,11012x z x y z y +-=⎧---⎪==⎨-=⎪⎩, 法平面为110,022x z x z ⎛⎫---=-= ⎪⎝⎭3.求两个圆柱面的交线22221:1x y x z ⎧+=⎪Γ⎨+=⎪⎩在点M 处的切线和法平面的方程.解:1{2,2,0}|//{1,1,0}M n x y =,2{2,0,2}|//{1,0,1}M n x z ={}{}1,1,01,0,1{1,1,1}T =⨯=--==,法平面为0x y z --+= 4.求曲面()22210ax by cz abc ++=≠在点()000,,x y z 处的切平面及法线的方程. 解:000000{2,2,2}//{,,}n ax by cz ax by cz =切平面为0001ax x by y cz z ++=,法线为000000x x y y z z ax by cz ---== 5.求函数22221x y z a b ⎛⎫=-+ ⎪⎝⎭在点M 处沿曲线22221x y a b +=在此点的外法线方向的方向导数.解:2222,,MM x y gradza b a b ⎧⎪⎧⎫=--=--⎨⎬⎨⎩⎭⎪⎪⎩⎭2222,M x y n a b a b ⎧⎫==⎨⎬⎩⎭⎪⎪⎩⎭指向外侧为此点的外法线方向,方向导数为(2a z n gradz n n∂=⋅=-∂6.证明:曲面y z xf x ⎛⎫=⎪⎝⎭在任意点处的切平面都通过原点,其中f 具有连续导数. 证:设切点为()000,,x y z ,则000000000000,,1,y y y y y n f f f z x f x x x x x ⎧⎫⎛⎫⎛⎫⎛⎫⎛⎫⎪⎪''=--=⎨⎬⎪ ⎪ ⎪⎪⎪⎪⎝⎭⎝⎭⎝⎭⎝⎭⎩⎭ 切平面为()()()000000000000y y y y f f x x f y y z z x x x x ⎡⎤⎛⎫⎛⎫⎛⎫''--+---=⎢⎥ ⎪ ⎪ ⎪⎝⎭⎝⎭⎝⎭⎣⎦令0x y z ===,得左边等于右边,从而原点在任意点处的切平面上,也即任意点处的切平面都通过原点。
第八章 空间解析几何与向量代数§8.1向量及其线性运算 1.填空题(1)点)1,1,1(关于xoy 面对称的点为()1,1,1(-),关于yoz 面对称的点为()1,1,1(-),关于xoz 面对称的点为()1,1,1(-).(2)点)2,1,2(-关于x 轴对称的点为()2,1,2(-),关于y 轴对称的点为()2,1,2(---),关于z 轴对称的点为()2,1,2(-),关于坐标原点对称的点为()2,1,2(--).2. 已知两点)1,1,1(1M 和)1,2,2(2M ,计算向量21M M 的模、方向余弦和方向角.解:因为)0,1,1(21=M M ,故2||21=M M ,方向余弦为22cos =α,22cos =β,0cos =γ,方向角为4πα=,4πβ=, 2πγ=.3. 在yoz 平面上,求与)1,1,1(A 、)2,1,2(B 、)3,3,3(C 等距离的点. 解:设该点为),,0(z y ,则222222)3()3(9)2()1(4)1()1(1-+-+=-+-+=-+-+z y z y z y ,即⎪⎩⎪⎨⎧-+-+=-+-+-+=-+222222)3()3(9)2()1(4)2(4)1(1z y z y z z ,解得⎩⎨⎧==33y z ,则该点为)3,3,0(.4. 求平行于向量k j i a 432-+=的单位向量的分解式.解:所求的向量有两个,一个与a 同向,一个与a 反向. 因为29)4(32||222=-++=a ,所以)432(291k j i e a -+±=.5.设k j i m 22-+=,k j i n ++=2,求向量n m a +=4在各坐标轴上的投影及分向量.解:因为k j i k j i k j i n m a 796)2()22(44-+=+++-+=+=, 所以在x 轴上的投影为6=x a ,分向量为i i a x 6=,y 轴上的投影为9=y a ,分向量为j j a y 9=,z 轴上的投影为7-=z a ,分向量为k k a z 7-=.6. 在yOz 平面上,求与)1,2,1(A 、)0,1,2(B 和)1,1,1(-C 等距离的点.解:设所求的点为),,0(z y P ,由||||||CM BM AM ==可得⎪⎩⎪⎨⎧-+++=+-++-+=-+-+222222222222)1()1(1)1(2)1(2)1()2(1z y z y zy z y ,解之得21=y ,0=z 故所求的点为)0,21,0(.7. 已知点)6,2,1(-B 且向量在x 轴、y 轴和z 轴上的投影分别为1,4,4-,求点A 的坐标.解:设点A 的坐标为),,(z y x ,由题意可知)1,4,4()6,2,1(-=----z y x ,则5,6,5=-==z y x ,即点A 的坐标为)5,6,5(-.8.试用向量法证明:三角形各边依次以同比分之,则三个分点所成的三角形必与原三角形有相同的重心.证明:若),,(111z y x A 、),,(222z y x B 、),,(333z y x C 是一个FGH ∆的三个顶点,设三角形的重心为E,则),,(31)(31321321321z z z y y y x x x C B A E ++++++=++=设ABC ∆的同比nm之分点分别为F 、G 、H ,分点的坐标为),,(212121mn mz nz m n my ny m n mx nx F ++++++),,(323232mn mz nz m n my ny m n mx nx G ++++++),,(131313mn mz nz m n my ny m n mx nx H ++++++则三角形FGH ∆的重心为,()(31133221mn mx nx m n mx nx m n mx nx H G F ++++++++=++),133221133221m n mz nz m n mz nz m n mz nz m n my ny m n my ny m n my ny ++++++++++++++++),,(31321321321z z z y y y x x x ++++++=. 所以三个分点所成的三角形必与原三角形有相同的重心. §8.2 数量积 向量积 1.若3),(,4||,3||π===Λb a b a ,求b ac 23-=的模.解:b b b a a b a a b a b a c 22233233)23()23(||2⋅+⋅-⋅-⋅=-⋅-=73443cos431239||412||92222=⨯+⨯⨯⨯-⨯=+⋅-=πb b a a所以73||=c .2.已知||||b a b a -=+,证明:0=⋅b a .证明:由||||b a b a -=+,可得22||||b a b a -=+,可知)()()()(b a b a b a b a -⋅-=+⋅+,展开可得b a b a b a b a ⋅-+=⋅++2||||2||||2222,即04=⋅b a ,故0=⋅b a .3.已知20||,18||,10||=+==b a b a ,求||b a -. 解:因为b a b a b a b a b a b a ⋅++=⋅++=+⋅+=+=23241002||||)()(||400222所以242-=⋅b a ,)()(||b a b a b a -⋅-=-b a b a ⋅-+=2||||227824324100=++=.4.已知)4,2,1(=a ,)3,3,3(-=b ,求a 与b 的夹角及a 在b 上的投影.解:934)3(231=⨯+-⨯+⨯=⋅b a ,7799916419cos =++⋅++=θ,77arccos=θ. 因为a jb b a b Pr ||=⋅,所以3339Pr ==a jb .5.已知a ,b ,c 为单位向量,且满足0=++c b a ,计算a c c b b a ⋅+⋅+⋅.解:因为0)()(=++⋅++c b a c b a ,所以0222||||||222=⋅+⋅+⋅+++a c c b b a c b a ,而1||||||222===c b a ,所以23-=⋅+⋅+⋅a c c b b a . 6.求与k j i b k j i a 32,2-+=++=都垂直的单位向量. 解:kj i k j i k j i b a c 357122132113112312121-+-=+---=-=⨯=而83)3(5)7(||222=-++-=c ,所以)3,5,7(831--±=c e .7.设)(8,186,5b a b a b a -=+-=+=,试证A 、B 、D 三点共线.证明:只需证明//.因为b a b a 2)5(2102=+=+=+=,所以//.8.已知)3,2,1(-=a ,=b )0,,2(m ,)9,3,9(-=c (1)确定m 的值,使得b a +与c 平行.(2)确定m 的值,使得b a -与c 垂直.解:(1)要使b a +与c 平行,只需0=⨯+c b a )(,因为b a +)3,2,3(-=m ,而c b a ⨯+)()99,0,99(32m m m j --=--=,所以当1=m 时b a +与c 平行.(2)要使b a -与c 垂直,只需0)(=⋅-c b a ,因为b a -)3,2,1(---=m ,而c b a ⋅-)(24327639)9,3,9()3,2,1(+=+++-=-⋅---=m m m ,所以当8-=m 时,b a -与c 垂直. §8.3 曲面及其方程 1.填空题(1)将xOz 坐标面上的抛物线x z 42=绕x 轴旋转一周,所生成的旋转曲面的方程为(x y z 422=+),绕z 轴旋转一周,所生成的旋转曲面的方程为(2224y x z +=).(2)以点)2,3,2(-为球心,且通过坐标原点的球面方程为(17)2()3()2(222=-+++-z y x ).(3)将xOy 坐标面的圆422=+y x 绕x 轴旋转一周,所生成的旋转曲面的方程为(4222=++z y x ).2.求与点)1,2,1(A 与点)2,0,1(B 之比为2:1的动点的轨迹,并注明它是什么曲面.解:设动点为),,(z y x P ,由于2:1||:||=PB PA ,所以222222)2()0()1()1()2()1(2-+-+-=-+-+-z y x z y x ,解之,可得194166333222=+---++z y x z y x ,即920)32()38()1(222=-+-+-z y x ,所以所求的动点的轨迹为以点)32,38,1(为心,半径为352的球面. 3.求与点)3,1,2(和点)4,2,4(等距离的动点的轨迹. 解:设动点为),,(z y x P ,由题意知222222)4()2()4()3()1()2(-+-+-=-+-+-z y x z y x ,整理得0112=-++z y x .4. 写出下列曲面的名称,并画出相应的图形. (1)259916222-=--z y x . 解:该曲面为单叶双曲面. (2)259916222=--z y x . 解:该曲面为双叶双曲面.(3)1254222=++z y x . 解:该曲面为旋转椭球面. (4)x y x 922=-. 解:该曲面为双曲柱面. (5)x z y 922=+. 解:该曲面为椭圆抛物面.(6)0)3()2()1(4222=---+-z y x . 解:该曲面为椭圆锥面.§8.4 空间曲线及其方程 1. 填空题(1)二元一次方程组⎩⎨⎧-=+=3412x y x y 在平面解析几何中表示的图形是(两相交直线的交点)5,2();它在空间解析几何中表示的图形是(两平面的交线,平行于z 轴且过点)0,5,2().(2)旋转抛物面)20(22≤≤+=z y x z 在xOy 面上的投影为(⎩⎨⎧=+=222z y x z ),在x O z 面上的投影为(22≤≤z x ),在yOz 面上的投影为(22≤≤z y ).2.求球面4222=++z y x 与平面1=+z x 的交线在xOy 面上的投影方程.解:将x z -=1代入4222=++z y x ,得4)1(222=-++x y x ,因此投影方程为⎩⎨⎧=+-=322022y x x z . 3.分别求母线平行于x 轴、y 轴及z 轴且通过曲线⎪⎩⎪⎨⎧=+-=++0242222222z y x z y x 的柱面方程.解:在⎪⎩⎪⎨⎧=+-=++0242222222z y x z y x 中消去x 得4322=-z y ,即为母线平行于x 轴且通过曲线的柱面方程.在⎪⎩⎪⎨⎧=+-=++0242222222z y x z y x 中消去y 得45322=+z x ,即为母线平行于y 轴且通过曲线的柱面方程.在⎪⎩⎪⎨⎧=+-=++0242222222z y x z y x 中消去z 得8522=+y x ,即为母线平行于z 轴且通过曲线的柱面方程.4.将下列曲线的一般方程化为参数方程:(1)⎩⎨⎧-==++-14)1(222x y z y x .解:将1-=x y 代入4)1(222=++-z y x 得4)1(222=+-z x ,即14)2()1(222=+-z x . 令θcos 21=-x ,θsin 2=z ,所求的参数方程为 ⎪⎪⎩⎪⎪⎨⎧==+=θθθsin 2cos 2cos 21z y x . (2)⎪⎩⎪⎨⎧=+=++4922222z x z y x . 解:做变换⎩⎨⎧==θθsin 2cos 2z x ,将其带入方程9222=++z y x ,即得52=y . 所以参数方程为⎪⎩⎪⎨⎧=±==θθsin 25cos 2z y x (πθ20≤≤).5.求螺旋线⎪⎩⎪⎨⎧===θθθ3sin 2cos 2z y x 在三个坐标面上的投影曲线的直角坐标方程.解:螺旋线在xOy 面上的投影为⎪⎩⎪⎨⎧===0sin 2cos 2z y x θθ,直角坐标方程为⎩⎨⎧==+0422z y x . 螺旋线在yOz 面上的投影为⎪⎩⎪⎨⎧===03sin 2x z y θθ,直角坐标方程为⎪⎩⎪⎨⎧==03sin2x z y .螺旋线在zOx 面上的投影为⎪⎩⎪⎨⎧===03cos 2y z x θθ,直角坐标方程为⎪⎩⎪⎨⎧==03cos2y z x . 6.画出下列方程所表示的曲线:(1)⎩⎨⎧==++1164222z z y x .(2)⎪⎩⎪⎨⎧=-+=+1)2(2222y x y z x . (3)⎪⎩⎪⎨⎧==-4116422y z x .§8.5 平面及其方程 1. 填空题(1)一平面过点)4,1,1(-且平行于向量)1,1,2(-=a 和)1,0,1(=b ,平面的点法式方程为(0)4()1(3)1(=+----z y x ),平面的一般方程为(023=---z y x ),平面的截距式方程(12232=-+-+z y x ),平面的一个单位法向量为()1,3,1(1111-). (2)设直线L 的方程为⎩⎨⎧=+++=+++0022221111D z C y B x A D z C y B x A ,当(021==D D )时,直线L 过原点;当(021==A A )且(01≠D 或02≠D 有一个成立)时,直线L 平行于x 轴但不与x 轴相交;当(2121D D B B =)时,直线L 与y 轴相交;当(02121====D D C C )时,直线L 与z 轴重合. 2.求过三点)1,1,1(-,)3,1,3(-和)2,1,0(的平面方程. 解:由平面的三点式方程知,所求的平面方程为131313121212111z z y y x x z z y y x x z z y y x x ---------121110131113111-+---+--+-=z y x 121422111---+-=z y x =0,即0735=-++z y x . 3.求过点)1,1,1(-且垂直于两平面02=-+z y x 和052=+-z y x 的平面方程.解:该平面的法向量为k j i kj i37521211--=--,平面的方程为0)1(3)1(7)1(=--+--z y x ,即0537=---z y x .4.求点)1,2,1(到平面01022=-++z y x 的距离.解:点),,(0000z y x P =到平面0=+++D Cz By Ax 的距离公式是222000||CB A D Cz By ax d +++++=,因此点)1,2,1(到平面01022=-++z y x 的距离为1221|10122211|222=++-⨯+⨯+⨯=d .5.求平面052=-+-z y x 与各坐标面的夹角的余弦.解:所给平面的法向量为)1,2,1(-=n ,设该平面与xOy 面、yOz 面和zOx 面的夹角为z θ、x θ和y θ,于是=z θcos ||||n k n ⋅611)2(1|110201|222=+-+⨯+⨯-⨯=, =x θcos ||||n i n ⋅611)2(1|010211|222=+-+⨯+⨯-⨯=, =y θcos ||||n j n ⋅621)2(1|011201|222=+-+⨯+⨯-⨯=. 6.求过点)5,4,1(-且在三个坐标轴上的截距相等的平面的方程.解:设所求平面的方程为1=++aya y a x ,由于点)5,4,1(-在平面上,则1541=+-+aa a ,2=a ,所求方程为02=-++z y x . 7.分别按下列条件求平面方程:(1)平行于yOz 平面且经过点)2,3,2(--;(2)通过y 轴和点)1,1,2(-;(3)求平行于x 轴,且经过两点)2,1,2(-和)1,0,4(-的平面方程. 解:(1)yOz 平面的法向量是)0,0,1(=n ,可作为所求平面的法向量,因此所求平面的方程为0)2(0)3(0)2(1=+⋅++⋅+-⋅z y x ,即2=x . (2)所求平面的法向量即垂直于y 轴又垂直于向量)1,1,2(-=n ,所以所求平面的法向量为k i k j i201112+-=-,因此所求平面的方程为0)1(2)1(0)2(1=-⋅++⋅+-⋅-z y x ,即02=-z x .(3)由于所求平面平行于x 轴,故设所求平面方程为0=++D Cz By . 将点)2,1,2(-和)1,0,4(-分别代入0=++D Cz By 得02=+-D C B 及0=+-D C ,解得D C =及D B =. 因此所得方程为0=++D Dz Dy ,即01=++z y . §8.6 空间直线及其方程 1. 填空题(1)直线421zy x =-=和平面442=+-z z x 的关系是(平面与直线互相垂直).(2)过点)0,1,1(-且与直线321123-+=-=-z y x 平行的直线的方程是(31121-=+=-zy x ). (3)直线182511+=--=-z y x 与直线⎩⎨⎧=+=-326z y y x 的夹角为(3π). 2.化直线⎩⎨⎧=++=+-522z y x z y x 为对称式方程和参数方程.解:直线的方向向量为k j i k j in n s 3211211121++-=-=⨯=. 取10=x ,代入直线方程可得10=y ,20=z . 所以直线的对称式方程为321121-=-=--z y x . 令t z y x =-=-=--321121,所给直线的参数方程为⎪⎩⎪⎨⎧+=+=-=tz t y t x 32121. 3.求过点)3,0,2(且与直线⎩⎨⎧-=-+=+-1253742z y x z y x 垂直的平面方程.解:直线的方向向量可作为所求平面的法向量,即21n n n ⨯=)11,14,16(253421-=--=kj i .所求平面的方程为0)3(11)0(14)2(16=-+-+--z y x ,即01111416=+--z y x .4. 求直线⎩⎨⎧=---=-+-01023z y x z y x 与直线⎩⎨⎧=-+=+-+01202z y z y x 夹角的余弦.解:因为两直线的方向向量为k j i kjin 2241111311++=---=,k j i kjin +-=-=232101112,设两直线的夹角为θ,则422151)2(3224|122234|cos 222222=+-+++⨯+⨯-⨯=θ. 5. 求点)5,1,2(P 在直线:L13111-=-=-zy x 上的投影. 解:过)5,1,2(P 作垂直于已知直线L 的平面∏,则其法向量)1,3,1(-=n ,于是平面的方程为0)5()1(3)2(=---+-z y x ,即03=-+z y x .将已知直线的参数方程⎪⎩⎪⎨⎧-=+=+=tz t y tx 311代入03=-+z y x ,可得114-=t ,因此点)5,1,2(P 在直线L 上的投影即为平面∏与直线L 的交点)114,111,117(-. 6. 求直线:L ⎩⎨⎧=---=+-083032z y x z y x 在平面:∏12=+-z y x 上的投影直线的方程.解:设所给直线L 的平面束方程为0)83(32=---++-z y x z y x λ,即08)1()3()32(=--++-+λλλλz y x ,其中λ为待定常数,要使该平面与已知平面∏垂直,则有0)1()3()32(2=-++++λλλ,解得34-=λ,将其代入08)1()3()32(=--++-+λλλλz y x ,可得32756=-+z y x ,因此直线L 在平面∏上的投影直线方程为⎩⎨⎧=+-=-+1232756z y x z y x . 7.确定λ的值,使直线:L ⎩⎨⎧=-+=-+02012z x y x 与平面1:=-+∏z y x λ平行,并求直线L 与平面∏之间的距离.解:直线L 的方向向量n k j i kj i--==2101012,要使直线L 与平面∏平行,只要0=⋅s n (其中=s )1,,1(-λ为平面∏的法向量),即0121=+-λ,解得1=λ. 令10=x ,代入直线L 的方程可得10-=y ,10=z ,直线L与平面∏之间的距离332)1(11|1)1(11111|222=-++--⨯+⨯-⨯=d . 8.求通过直线⎩⎨⎧=-++=-+-02201:z y x z y x L 的两个互相垂直的平面,其中一个平面平行于直线111121-=-+=-z y x . 解:设平面束方程为0)22(1=-+++-+-z y x z y x λ,即012)1()1()12(=--++-++λλλλz y x ,=n )1,1,12(+-+λλλ.设平行于直线111121-=-+=-z y x 的平面为1∏,由0)1()1(2)12(=++--+λλλ,可知1-=λ,令10=x ,代入直线L 的方程,可得000==z y 平面1∏的方程为02)1(=---y x ,即012=-+y x . 设垂直于平面1∏的平面为2∏,由0)1(2)12(=-++λλ,可得41=λ,平面2∏的方程为04543)1(23=+--z y x ,即06536=-+-z y x . 第八章 空间解析几何与向量代数综合练习 1.填空题:(1)已知1||=a ,2||=b ,且a 与b 夹角为3πθ=,则=-||b a (3).(2)若向量)1,2,1(-=a ,=b ),,3(μλ-平行,则=),(μλ()3,6(-). (3)已知向量的模为10,且与x 轴的夹角为6π,与y 轴的夹角为3π,与z 轴的夹角为锐角,则=() 0 5, , 3(5).(4)曲线⎪⎩⎪⎨⎧===θθθb z a y a x sin cos (a 、b 为常数)在xOy 平面上投影曲线是(⎩⎨⎧==+0222z a y x ).(5)xOy 平面上曲线16422=-y x 绕x 轴旋转一周所得旋转曲面方程是(16)(4222=+-z y x ).(6)直线z z y y x x 111-=-=-与平面0=+++D Cz By Ax 的夹角θ 的正弦=θsin (222222CB A pn m pC nB mA ++++++).(7)方程y z x =-22所表示的曲面名称为(双曲抛物面).(8)与两直线⎪⎩⎪⎨⎧+=+-==tz t y x 122及112212-=-=+z y x 都平行,且过原点的平面方程是(0=+-z y x ).(9)已知动点),,(z y x P 到yOz 平面的距离与点P 到点)2,1,1(-的距离相等,则点P 的轨迹方程为(012)2()1(22=++-+-x z y ).(10)与两平面012=--+z y x 和032=+-+z y x 等距离的平面方程为(012=+-+z y x ).2. 设k i a -=,k j i b ++=,求向量c ,使得b c a =⨯成立,这样的c有多少个,求其中长度最短的c .解:设=c ),,(z y x ,则 c a⨯y x z y zy kj ++-=-=)(10,则1,1-=+=x z y ,因此这样的c )1,1,(x x --=,有无穷个.由于||c 23)21(2)1(1222++=--++=x x x ,因此,当21-=x 时, 即c )21,1,21(--=长度最短. 3. 已知点)0,1,1(A 和点)2,1,0(B ,试在x 轴上求一点C ,使得ABC ∆的面积最小.解:设)0,0,(x C ,则)2,0,1(-=,)0,1,1(--=x,k j x i x AC AB +-+=---=⨯)1(221101,故A B C ∆的面积为1)]1(2[221||2122+-+=⨯=x S ,显然,当1=x 时,ABC ∆的面积最小,为25,所求点为)0,0,1(.4. 求曲线⎪⎩⎪⎨⎧+==+-2222242yx z z y x 在各坐标平面上的投影曲线方程.解:在xOy 平面投影为⎩⎨⎧==-04222z y x ;在yOz 平面投影为⎩⎨⎧==-043222x y z ;在zOx 平面投影为⎩⎨⎧==-04322y z x . 5.求原点关于平面:∏0=+++D Cz By Ax 的对称点的坐标.解:过原点作垂直于平面0=+++D Cz By Ax 的直线,该直线的方向向量等于平面∏的法向量),,(C B A ,所求直线的对称式方程为C z B y A x ==,即⎪⎩⎪⎨⎧===Ctz Bt y Atx 为其参数方程. 将此参数方程代入平面∏,有0)(222=+++D t C B A ,解得222C B A Dt ++-=,即直线与平面的交点为),,(222222222CB A CDC B A BD C B A AD ++-++-++-. 设所求的对称点为),,(000z y x ,则222020C B A AD x ++-=+,222020CB A BDy ++-=+,222020C B A CDz ++-=+,即所求的对称点为)2,2,2(222222222CB A CDC B A BD C B A AD ++-++-++-. 6.求直线11111:--==-z y x L 在平面012:=-+-∏z y x 上的投影直线绕x 轴线转一周所成曲面的方程.解:过L 作垂直于平面∏的平面0∏,所求的直线L 在平面∏上的投影就是平面∏和0∏的交线. 平面0∏的法向量为:k j i kj in 232111210--=--=,则过点),,(101的平面0∏的方程为: 0)1(23)1(=----z y x ,即0123=+--z y x . 所以投影线为⎩⎨⎧=+--=-+-0123012z y x z y x . 将投影线表示为以x 为参数的形式:⎪⎩⎪⎨⎧--==)12(212x z x y ,则绕x 轴的旋转面的方程为2222)]12(21[)2(--+=+xx z y ,即0416*******=+---z y x x .7.求球心在直线11212--==-z y x 上,且过点)1,2,1(-和点)1,2,1(--的球面方程.解:设球心为),,(z y x ,则222222)1()2()1()1()2()1(-++++=++-+-z y x z y x ,即02=-+z y x .又因为球心在直线上,直线的参数方程为⎪⎩⎪⎨⎧-==+=t z t y t x 122,将直线的参数方程代入02=-+z y x ,可得61-=t ,球心坐标为)67,31,611(-,所求球面方程为665)67()31()611(222=-+++-z y x .8.已知两条直线的方程是142211:1--=+=-z y x L ,10122:2zy x L =-=-,求过1L 且平行于2L 的平面方程. 解:因为所求平面过1L ,所以点)4,2,1(-在平面上. 由于平面的法向量垂直于两直线的方向向量,因此平面的法向量为k j i k j i43212121--=-.因此所求平面的方程为0)4(4)2(3)1(2=--+--z y x ,即08432=+--z y x .9. 在过直线⎩⎨⎧=++=+++0201z y x z y x 的所有平面中,求和原点距离最大的平面.解:设平面束方程为0)2(1=++++++z y x z y x λ,即01)1()1()12(=++++++z y x λλλ,平面与原点的距离为31)32(61)1()1()12(|10)1(0)1(0)12(|2222++=++++++⨯++⨯++⨯+=λλλλλλλd要使平面与原点的距离最大,只要32-=λ,即该平面方程为03=---z y x .10. 设两个平面的方程为052=---z y x 和062=--+z y x (1)求两个平面的夹角. (2)求两个平面的角平分面方程. (3)求通过两个平面的交线,且和yOz 坐标面垂直的平面方程. 解:(1)两个平面的法向量为)1,1,2(1--=n 和)2,1,1(2-=n ,设两个平面的夹角为θ,则21)2(111)1(2|)2()1(1112|||||||cos 2222222121=-+++-+-⨯-+⨯-⨯=⋅=n n n n θ,所以3πθ=.(2)因为角平分面上任意一点),,(z y x 到两个平面的距离相等,由点到平面的距离公式,可得222222)2(11|62|)1()1(2|52|-++--+=-+-+---z y x z y x ,即)62(52--+±=---z y x z y x ,所求的角平分面方程为12=+-z y x 或1133=-z x .(3)设通过两个平面的交线的平面方程为)62(52=--++---z y x z y x λ,即0)65)12()1()2(=--+--++λλλλz y x ,由于该平面垂直于yOz 坐标面,所以00)12(0)1(1)2(=⋅+-⋅-+⋅+λλλ,可得2-=λ,因此所求的平面方程为0733=--z y . 11. 求直线321zy x =-=绕z 轴旋转所得旋转曲面的方程. 解:由于空间曲线⎪⎩⎪⎨⎧===)()()(t z z t y y t x x )(+∞<<-∞t 绕z 轴旋转所得旋转曲面的方程为⎩⎨⎧=+=+)()()(2222t z z t y t x y x )(+∞<<-∞t ,消去参数t 即可. 此直线的参数方程为 ⎪⎩⎪⎨⎧=-==t z t y t x 32,故该直线绕z 轴旋转所得旋转曲面的方程为⎩⎨⎧=-+=+tz t t y x 3)2()(2222,消去参数t ,旋转曲面的方程为22295z y x =+. 12. 画出下列各曲面所围立体的图形:(1)0,0,0,12643====++z y x z y x . (2)2,222=+=z y x z . (3)22224,y x z y x z --=+=. (4)2222,2y x z y x z +=--=.(5)222y x z +=,22x z -=. (6)2x y =,0=z ,y z =,1=y .。
习 题 8-11.设有一个面薄板(不计其厚度),占有xOy 面上的闭区域D ,薄板上分布有面密度为(,)x y μμ=的电荷,且(,)x y μ在D 上连续,试用二重积分表达该板上的全部电荷Q .解 用一组曲线将D 分成n 个小闭区域i σ∆,其面积也记为(1,2,,)i i n σ∆= .任取一点(,)i i i ξησ∈∆,则i σ∆上分布的电量(,)i i i Q μξησ∆≈∆.通过求和、取极限,便得到该板上的全部电荷为1lim (,)(,)d ,ni i i i DQ x y λμξησμσ→==∆=∑⎰⎰其中1max{i i nλσ≤≤=∆的直径}.2. 设12231()d D I x y σ=+⎰⎰其中1{(,)11,22}D x y x y =-≤≤-≤≤;又22232()d D I x y σ=+⎰⎰其中2{(,)01,02}D x y x y =≤≤≤≤.试利用二重积分的几何意义说明1I 与2I 之间的关系.解 由二重积分的几何意义知,1I 表示底为1D 、顶为曲面223()z x y =+的曲顶柱体1Ω的体积;2I 表示底为2D 、顶为曲面223()z x y =+的曲顶柱体2Ω的体积.由于位于1D 上方的曲面223()z x y =+关于yOz 面和zOx 面均对称,故yOz 面和zOx 面将1Ω分成四个等积的部分,其中位于第一卦限的部分即为2Ω.由此可知124I I =.3. 利用二重积分定义证明: (1) d ()DD σσσ=⎰⎰其中为的面积;(2) (,)d (,)d ()DDkf x y k f x y k σσ=⎰⎰⎰⎰其中为常数;(3)12(,)d (,)d (,)d ,DD D f x y f x y f x y σσσ=+⎰⎰⎰⎰⎰⎰其中12D D D= ,1D 、2D 为两个无公共内点的闭区域.证 (1) 由于被积函数(,)1f x y ≡,故由二重积分定义得11d lim (,)lim lim .nniiii i i Df λλλσξησσσσ→→→===∆=∆==∑∑⎰⎰(2) 011(,)d lim (,)lim (,)(,)d .nni i i i i i i i DDkf x y kf k f k f x y λλσξησξησσ→→===∆=∆=∑∑⎰⎰⎰⎰(3) 因为函数(,)f x y 在闭区域D 上可积,故不论把D 怎样分割,积分和的极限总是不变的,因此在分割D 时,可以使1D 和2D 的公共边界永远是一条分割线。
高等数学课后习题答案第八章1第八章习题解答节8.1部分习题解答 5、求极限(1)、101011l i m 2201=+-=+-→→yx xy y x (2)、xy y x y x 1sin)(lim 0+→→。
由y x xyy x +≤+≤1sin )(0,而0)(lim 00=+→→y x y x 所以01sin)(lim 00=+→→xyy x y x (3)、2ln 214)02ln()sin ln(lim2202=++=++→→y x y x y x (4)、=+-→→xy xy y x 42lim 041421)42(lim 00-=+-=++-→→xy xy xy y x (5)、110c o s 1c o s l i m000==++→→e y x y e x y x (6)、=++-→→xy y x ey x y x )()cos(1lim22220=++→→xy y x ey x y x )()(21sin 2lim 222220 )(21)(21sin lim 222200y x y x y x ++→→0101)(21sin lim 2200=?=+?→→xy y x e y x 6、证明下列极限不存在(1)、yx yx y x -+→→00l i m 证明:取路径0=x 有=-+→→y x y x y x 00lim1lim0-=-→=yyy x 取路径0=y 有=-+→→y x y x y x 00lim1lim 00=→=xx x y ,所以y x yx y x -+→→00lim 不存在(2)、xy x x y x -+→→2220l i m证明:取路径x y =有xy x x y x -+→→22200lim x x x y x -=→→2202lim 0142lim 00=-=→→x x y x 取路径x y =有x y x x y x -+→→2220 0lim 1lim 220==→→x x y x ,所以xy x x y x -+→→22200lim 不存在。
第八章习题解答(2) 节8.4部分习题解答1、设22v uv u z ++= y x v y x u -=+=,,求x z ∂∂,yz ∂∂ 解:v u u z +=∂∂2 v u vz 2+=∂∂ 1=∂∂x u ,1=∂∂x v ;1=∂∂y u ,1-=∂∂yv 所以x z ∂∂⋅∂∂=u z +∂∂x u ⋅∂∂v z =∂∂xvx v u v u v u 6)(3)2()2(=+=+++y z ∂∂⋅∂∂=u z +∂∂y u ⋅∂∂v z =∂∂yv y v u v u v u 2)2()2(=-=+-+ 2、设v u z ln 2= y x v yxu 23,-==,求x z ∂∂,y z ∂∂解:v u u zln 2=∂∂ vu v z 2=∂∂ y x u 1=∂∂,3=∂∂x v ;2yx y u -=∂∂,2-=∂∂y v所以 x z ∂∂⋅∂∂=u z +∂∂x u ⋅∂∂v z =∂∂x v )23(3)23l n (23ln 21222y x y x y x y x v u v u y -+-=+y z ∂∂⋅∂∂=u z +∂∂y u ⋅∂∂v z =∂∂y v )23(2)23l n (22ln 2223222y x y x y x y x v u v u y x ----=-- 3、设v e z uln = 22222,2y x v y x u -=-=,求x z ∂∂,yz∂∂ 解:v e u z uln =∂∂ ve v z u =∂∂ x x u 4=∂∂,x x v 2=∂∂;y y u 2-=∂∂,y yv 4-=∂∂ 所以x z ∂∂⋅∂∂=u z +∂∂x u ⋅∂∂v z =∂∂xv]21)2ln(2[22ln 42222222yx y x xe v e x v xe y x u u-+-=+-y z ∂∂⋅∂∂=u z +∂∂y u ⋅∂∂v z =∂∂yv ]22)2ln(2[24ln 2222222yx y x ye v e y v ye y x u u-+--=--- 4、设y x e z 2-= 3,sin t y t x ==,求 dtdz解:y x e x z 2-=∂∂ y x e yz 22--=∂∂,t dt dx cos =,23t dt dy =, 所以dt dz ⋅∂∂=x z +dt dx ⋅∂∂y z =dtdy223c o s t te y x +-)2(2y x e --=)6(c o s 22s i n 3t t e t t -- 5、设)arcsin(y x z -= 34,3t y t x ==,求 dtdz 解:2)(11y x x z --=∂∂ 2)(11y x y z ---=∂∂,t dt dx 3=,212t dt dy =, 所以 dt dz ⋅∂∂=x z +dt dx ⋅∂∂y z =dtdy=---22)(1123y x t 232)43(1123t t t ---6、设)23tan(22y x t z -+= t y tx ==,1,求dtdz 解:2sec 4x x z =∂∂)23(22y x t -+ 2s e c 2y yz -=∂∂)23(22y x t -+, 2sec 3=dt dz )23(22y x t -+;21t dt dx -=,tdt dy 21=, 1=dt dt 所以t dz ∂⋅∂∂=x z +dt dx ⋅∂∂y z =∂∂+t z dt dy 2s e c )23(22y x t -+]3212)1(14[2+--tt t t 2sec =)22(2t t +)42(3t -⋅ 7、设1)(2+-=a z y e u ax xz x a y cos ,sin ==,求 dx du解:=∂∂x u 1)(2+-a z y ae ax ,=∂∂y u12+a ae ax ,-=∂∂z u 12+a ae ax x dx dy cos =;x dxdzsin -=,所以 dx du ⋅∂∂=x u ⋅∂∂+y u =⋅∂∂+dx dzz u dx dy ]s i n c o s )c o s s i n ([12x x a x x a a a e ax ++-+ x e ax sin =8、设222z y xe u ++= x y z sin 2=,求x u ∂∂,yu∂∂ 解:x x u 2=∂∂222z y x e ++⋅ y yu2=∂∂222z y x e ++⋅,z z u 2=∂∂222z y x e ++⋅ x y x z cos 2=∂∂,x y yz sin 2=∂∂; 所以:x u ∂∂=∂∂⋅∂∂+∂∂⋅+∂∂=xzz u y u x u 0]cos 22[2222x zy x e z y x +++ =+=++]cos sin 22[22sin 2422x xy y x e xy y x]2sin 2[4sin 2422x y x e xy y x+=++y u ∂∂=∂∂⋅∂∂+∂∂+⋅∂∂=yz z u y u x u 0]sin 222[222x y z y e z y x ⋅+++ =⋅+=++]sin 2sin 22[2sin 2422x y x y y e xy y x]sin 21[222sin 2422x y ye xy y x+++9、设)cos(22y x y x z +++= v y v u x arcsin ,=+=,求vu zu z ∂∂∂∂∂2, 解:)sin(2y x x x z +-=∂∂,)sin(2y x y yz +-=∂∂ 1=∂∂u x ,1=∂∂v x ,0=∂∂u y211vv y -=∂∂所以)a r c s i n s i n ()(2)s i n (2v v u v u y x x uz++-+=+-=∂∂)111)(arcsin cos(222vv v u v u z -+++-=∂∂∂ 10、设,arctan y xz =v u y v u x -=+=,验证:22vu v u v z u z +-=∂∂+∂∂ 证明:22yx yx z +=∂∂,22y x x y z +-=∂∂,1=∂∂u x ,1=∂∂v x ,11=∂∂u y ,1-=∂∂v y所以)(122x y y x u z -+=∂∂22v u v +-=,)(122x y yx v z ++=∂∂22v u u += 故有 左边=+-=∂∂+∂∂=22vu vu v z u z 右边 11、设f 具有连续的一阶偏导数,求下列函数的一阶偏导数 (1)、)34,23(y x y x f z -+=解:设y x v y x u 34,23-=+=,于是有3=∂∂x u ,2=∂∂y u ,4=∂∂x v ,3-=∂∂yv2143f f x z +=∂∂ =∂∂yz2133f f - (2)、),(22xy e y x f z -= 解:设xy e v y x u =-=,22,于是有x x u 2=∂∂,y y u 2-=∂∂,xy ye x v =∂∂,xu xe yv=∂∂ =∂∂x z 212f ye xf xy + 212f xe yf yzxy +-=∂∂ (3)、)32,ln (y x x y f z +=解:设y x v x y u 32,ln +==,于是有x y x u =∂∂,x y u ln =∂∂,2=∂∂x v ,3=∂∂yv212f f x y x z +=∂∂ 213ln f xf yz+=∂∂ (4)、),(yxx y f z = 解:设y x v x y u ==,,于是有2x y x u -=∂∂,x y u 1=∂∂,y x v 1=∂∂,2yx y v -=∂∂ 2121f y f xy x z +-=∂∂2211f y x f x y z -=∂∂ (5)、),,(y x y x x f z -+=解:设y x v y x u -=+=,,于是有1=∂∂x u ,1=∂∂x v ,1=∂∂y u ,1-=∂∂yv321f f f x z ++=∂∂ 32f f yz -=∂∂ (6)、),,(x y z xy x f u =解:设xyz t xy s ==,,于是有y x s =∂∂,yz x t =∂∂,x y s =∂∂,zx yt=∂∂ 0=∂∂z x ,0=∂∂z s xy zt=∂∂ 321yzf yf f x u ++=∂∂ 32z x f xf yu+=∂∂ 3xyf z u =∂∂ 12、设)(u f 具有连续的导数,)(xyxf xy z += 验证:z xy yz y x z x+=∂∂+∂∂ 验证:)])(()([2xy x y f x x y f y x x z x-'++=∂∂)()(x y f y x y xf xy '-+= ='+=∂∂)])(([xyx y f x x y y z y)(x y f y xy '+左边==+=+=∂∂+∂∂z xy xyxf xy y z y x z x)(2右边 13、设)(22y x f z +=,)(u f 具有二阶连续的导数,求,,222y x z x z ∂∂∂∂∂,22y z∂∂ 解:设22y x u +=有1f u z=∂∂ 1122f u z =∂∂ x x u 2=∂∂ 222=∂∂x u 0=∂∂∂y x u y y u2=∂∂ 222=∂∂yu 12xf x z =∂∂ x xf f x z 22211122+=∂∂112142f x f += 11112422xyf y xf yx z ==∂∂∂ 12yf y z=∂∂ 11212242f y f yz +=∂∂ 14、设f 具有二阶连续的导数,求,,222y x z x z ∂∂∂∂∂,22yz∂∂(1)、),(xy y x f z += 解:设xy v y x u =+=,有1f u z =∂∂ 1122f u z =∂∂ 122f v u z =∂∂∂ 2f v z =∂∂ 2222f v z =∂∂ 1=∂∂x u 022=∂∂x u 02=∂∂∂y x u 1=∂∂y u 022=∂∂y u y x v =∂∂ 022=∂∂x v 12=∂∂∂y x v x y v =∂∂ 022=∂∂yv 于是有:22222)(xv v z x u u z z v y u x z ∂∂∂∂+∂∂∂∂+∂∂+∂∂=∂∂22212112f y yf f ++=y x vv z y x u u z z v x u v y u y x z ∂∂∂∂∂+∂∂∂∂∂+∂∂+∂∂∂∂+∂∂=∂∂∂222))((2221211)(f xyf f y x f ++++= 22222)(y vv z y u u z z v x u yz ∂∂∂∂+∂∂∂∂+∂∂+∂∂=∂∂22212112f x xf f ++= (2)、),(yxxy f z =解:设yx v xy u ==, 有1f u z =∂∂ 1122f u z =∂∂ 122f v u z =∂∂∂ 2f v z=∂∂ 2222f v z =∂∂ y x u =∂∂ 022=∂∂x u 12=∂∂∂y x u x y u =∂∂ 022=∂∂yu y x v 1=∂∂ 022=∂∂x v221yy x v -=∂∂∂ 2y x y v -=∂∂ 3222y x y v =∂∂ 于是有:22222)1(x v v z x u u z z v y u y x z ∂∂∂∂+∂∂∂∂+∂∂+∂∂=∂∂2221211212f y f f y ++=yx vv z y x u u z z v y x u x v y u y y x z ∂∂∂∂∂+∂∂∂∂∂+∂∂-∂∂∂∂+∂∂=∂∂∂2222))(1(221223111f y f f y x xyf -+-+=222222)(y v v z y u u z z v y x u x y z ∂∂∂∂+∂∂∂∂+∂∂-∂∂=∂∂232242122211222f y x f y x f y x f x ++-=。
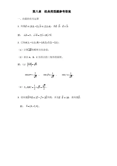
第八章 经典类型题参考答案一、向量的有关运算1. 向量a ⃗=(3,5,−2),b ⃗⃗=(2,1,4),求a ⃗⋅b ⃗⃗,a ⃗×b⃗⃗。
解: 3a b =,2216-7.a b i j k ⨯=-2. 已知A(1,−1,1),B(−1,0,2),C(2,−2,1)。
(1)计算AB ⃗⃗⃗⃗⃗⃗的模和方向余弦;(2)求以A ,B ,C 为顶点的三角形的面积。
解:(1)6AB =,cos =α , cos β= , cos γ=(2)122S ABC ==。
3. 设向量b ⃗⃗和a ⃗=2i ⃗−j ⃗+2k ⃗⃗共线,并且a ⃗⋅b⃗⃗=18。
求向量b ⃗⃗。
解: ()4,2,4b =-。
()()()4.02.235.43612232530.1.3113751a b c a b c a b b c c a a b b c c a a b a b a b a b a b a b S x y z π++=⋅+⋅+⋅⋅+⋅+⋅=-==++-+=+=--+-已知,, 都是单位向量,且满足,求解:已知,,向量和的夹角为,求();()求,为邻边的平行四边形的面积.解:二、求直线和平面方程求过点,,且与平面()()20311.3752.432510325325.43113.23442311056423410114x y z x z x y z x y z x y z L x y z x y z =--+==--=---=-+--==---+==++-=---==-垂直的直线方程.解:直线方程为求平行于平面和的交线且过点,,的直线方程.解:直线的方程为:求过点M ,,且垂直于直线:以及平行于直线的直线方程.解:直线的方程为。
4. 求过点(4,−1,3)且与直线x−32=y 1=z−15垂直的平面方程。
解:方程为2(x −4)+(y +1)+5(z −3)=0,即2x+y+5z-22=0。
5. 求过点P (2,0,−3)且与直线247035210x y z x y z -+-=⎧⎨+-+=⎩垂直的平面方程。
高等数学课后习题及参考答案(第八章)习题8-11. 判定下列平面点集中哪些是开集、闭集、区域、有界集、无界集?并分别指出它们的聚点所成的点集(称为导集)和边界. (1){(x , y )|x ≠0, y ≠0};解 开集, 无界集, 导集为R 2, 边界为 {(x , y )|x =0或y =0}. (2){(x , y )|1<x 2+y 2≤4};解 既非开集, 又非闭集, 有界集, 导集为 {(x , y )|1≤x 2+y 2≤4}, 边界为 {(x , y )|x 2+y 2=1或x 2+y 2=4}. (3){(x , y )|y >x 2}; 解 开集, 区域, 无界集, 导集为 {(x , y )| y ≥x 2}, 边界为 {(x , y )| y =x 2}.(4){(x , y )|x 2+(y -1)2≥1}⋂{(x , y )|x 2+(y -2)2≤4}. 解 闭集, 有界集, 导集与集合本身相同, 边界为 {(x , y )|x 2+(y -1)2=1}⋃{(x , y )|x 2+(y -2)2=4}.2. 已知函数yx xy y x y x f tan ),(22-+=, 试求f (tx , ty ).解 )(tan )()()()(),(22ty tx ty tx ty tx ty tx f ⋅⋅-+=),()tan (2222y x f t y x xy y x t =-+=.3. 试证函数F (x , y )=ln x ⋅ln y 满足关系式:F (xy , uv )=F (x , u )+F (x , v )+F (y , u )+F (y , v ).证明 F (xy , uv )=ln((x , y )⋅ln(uv )=(ln x +ln y )(ln u +ln v )=ln x ⋅ln u +ln x ⋅ln v +ln y ⋅ln u +ln y ⋅ln v =F (x , u )+F (x , v )+F (y , u )+F (y , v ). 4. 已知函数f (u , v , w )=u w +w u +v , 试求f (x +y , x -y , xy ). 解 f (x +y , x -y , xy )=(x +y )xy +(xy )(x +y )+(x -y )=(x +y )xy +(xy )2x .5. 求下列各函数的定义域: (1)z =ln(y 2-2x +1); 解 要使函数有意义, 必须 y 2-2x +1>0, 故函数的定义域为D ={(x , y )|y 2-2x +1>0}. (2)y x y x z -++=11;解 要使函数有意义, 必须 x +y >0, x -y >0, 故函数的定义域为D ={(x , y )|x +y >0, x -y >0}.(3)y x z -=;解 要使函数有意义, 必须 y ≥0,0≥-y x 即y x ≥, 于是有 x ≥0且x 2≥y , 故函数定义域为D ={(x , y )| x ≥0, y ≥0, x 2≥y }. (4)221)ln(yx x x y z --+-=; 解 要使函数有意义, 必须 y -x >0, x ≥0, 1-x 2-y 2>0, 故函数的定义域为D ={(x , y )| y -x >0, x ≥0, x 2+y 2<1}.(5)222222221r z y x z y x R u -+++---=(R >r >0); 解 要使函数有意义, 必须R 2-x 2-y 2-z 2≥0且x 2+y 2+z 2-r 2>0, 故函数的定义域为D ={(x , y , z )| r 2<x 2+y 2+z 2≤R 2}. (6)22arccos y x z u +=.解 要使函数有意义, 必须 x 2+y 2≠0, 且1||22≤+y x z 即z 2≤x 2+y 2, 故函数定义域为D ={(x , y , z )|z 2≤x 2+y 2, x 2+y 2≠0}.6. 求下列各极限: (1)22)1,0(),(1lim y x xyy x +-→;解110011lim22)1,0(),(=+-=+-→y x xy y x .(2)22)0,1(),()ln(lim yx e x y y x ++→; 解 2ln 01)1ln()ln(lim 22022)0,1(),(=++=++→e y x e x y yx . (3)xyxy y x 42lim )0,0(),(+-→; 解xy xy y x 42lim)0,0(),(+-→)42()42)(42(lim )0,0(),(+++++-=→xy xy xy xy y x 41)42(1lim )0,0(),(-=++-=→xy y x .(4)11lim )0,0(),(-+→xy xyy x ;解11lim)0,0(),(-+→xy xyy x )11)(11()11(lim)0,0(),(-+++++=→xy xy xy xy y x 2)11lim )11(lim )0,0(),()0,0(),(=++=++=→→xy xyxy xy y x y x . (5)yxy y x )sin(lim)0,2(),(→;解 y xy y x )sin(lim )0,2(),(→221sin lim )0,2(),(=⋅=⋅=→x xy xyy x .(6)22)()cos(1lim 2222)0,0(),(yx y x e y x y x ++-→. 解 2222)()(21lim )()cos(1lim 22222)0,0(),(2222)0,0(),(yx y x y x y x e y x y x e y x y x ++=++-→→ 0lim 212222)0,0(),(=+=→y x y x e y x (用等价无穷小代换). 7. 证明下列极限不存在: (1)yx yx y x -+→)0,0(),(lim;证明 如果动点p (x , y )沿y =0趋向(0, 0), 则1lim lim00 )0,0(),(==-+→=→x x y x yx x y y x ;如果动点p (x , y )沿x =0趋向(0, 0), 则1lim lim00 )0,0(),(-=-=-+→=→y yy x y x y x y x .因此, 极限yx yx y x -+→)0,0(),(lim不存在.(2)22222)0,0(),()(lim y x y x y x y x -+→. 证明 如果动点p (x , y )沿y =x 趋于(0, 0), 则1lim )(lim 44022222 )0,0(),(==-+→=→x x y x y x y x x xy y x ;如果动点p (x , y )沿y =2x 趋向(0, 0), 则044lim )(lim 2440222222 )0,0(),(=+=-+→=→x x x y x y x y x x xy y x .因此, 极限22222)0,0(),()(lim y x y x y x y x -+→不存在.8. 函数xy xy z 2222-+=在何处间断?解 因为当y 2-2x =0时, 函数无意义, 所以在y 2 -2x =0处, 函数xy x y z 2222-+=间断.9. 证明0lim 22)0,0(),(=+→yx xyy x . 证明 因为22||||2222222222y x yx y x y x xy y x xy +=++≤+=+,所以 02lim ||lim 022)0,0(),(22)0,0(),(=+≤+≤→→y x y x xyy x y x .因此 0lim22)0,0(),(=+→yx xyy x . 方法二:证明 因为2||22y x xy +≤, 故22||22222222y x y x y x y x xy +=++=+. 对于任意给定的ε>0, 取δ=2ε, 当δ<+<220y x 时恒有εδ=<+≤-+22|0|2222y x y x xy,所以 0lim22)0,0(),(=+→yx xyy x .10. 设F (x , y )=f (x ), f (x )在x 0处连续, 证明: 对任意y 0∈R , F (x , y )在(x 0, y 0)处连续.证明 由题设知, f (x )在x 0处连续, 故对于任意给定的ε>0, 取δ>0, 当|x -x 0|<δ时, 有|f (x )-f (x 0)|<ε.作(x 0, y 0)的邻域U ((x 0, y 0), δ), 显然当(x , y )∈U ((x 0, y 0), δ)时, |x -x 0|<δ, 从而|F (x , y )-F (x 0, y 0)|=|f (x )-f (x 0)|<ε, 所以F (x , y )在点(x 0, y 0)处连续.又因为y 0是任意的, 所以对任意y 0∈R , F (x , y )在(x 0, y 0)处连续.习题8-21. 求下列函数的偏导数: (1) z =x 3y -y 3x ; 解 323y y x xz -=∂∂,233xy x y z -=∂∂.(2)uvvu s 22+=;解 21)(uv v u v v u u u s -=+∂∂=∂∂,21)(vu u u v v u v v s -=+∂∂=∂∂.(3))ln(xy z =;解 x y x y x x x z 1ln ln 121)ln ln (⋅+⋅=+∂∂=∂∂)ln(21xy x =. 同理 )ln(21xy y y z =∂∂.(4) z =sin(xy )+cos 2(xy );解 y xy xy y xy xz ⋅-⋅+⋅=∂∂)]sin([)cos(2)cos()]2sin()[cos(xy xy y -=根据对称性可知)]2sin()[cos(xy xy x yz -=∂∂.(5)yx z tan ln =;解 yx y y y x yx x z 2csc 21sec tan 12=⋅⋅=∂∂,yx y x y x y x yx y z 2csc 2sec tan 1222-=-⋅⋅=∂∂. (6) z =(1+xy )y ;解 121)1()1(--+=⋅+=∂∂y y xy y y xy y xz ,]1)1[ln()1ln()1ln(xyx y xy e e y y z xy y xy y +⋅++=∂∂=∂∂++]1)1[ln()1(xy xyxy xy y ++++=.(7)zy x u =;解 )1(-=∂∂z y x zy x u ,x x zz x x y u z yz y ln 11ln ⋅=⋅=∂∂,x x zy z y x x z u z yz y ln )(ln 22⋅-=-=∂∂.(8) u =arctan(x -y )z ;解 zz y x y x z x u 21)(1)(-+-=∂∂-, zz y x y x z y u 21)(1)(-+--=∂∂-, zz y x y x y x z u 2)(1)ln()(-+--=∂∂. 2. 设g l T π2=, 试证0=∂∂+∂∂g T g l T l .解 因为lg l T ⋅⋅=∂∂1π,gg g l g T 1)21(223⋅-=⋅-⋅=∂∂-ππ, 所以 0=⋅-⋅=∂∂+∂∂g l g l g T g l T l ππ. 3. 设)11(yx ez +-=, 求证z yz y x z x 222=∂∂+∂∂.解 因为2)11(1x ex z yx ⋅=∂∂+-, 2)11(1y e yz y x ⋅=∂∂+-, 所以 z eeyz y x z x yx yx 2)11()11(22=+=∂∂+∂∂+-+-4. 设y x y x y x f arcsin )1(),(-+=, 求)1 ,(x f x .解 因为x x x x f =-+=1arcsin )11()1 ,(,所以 1)1 ,()1 ,(==x f dx d x f x .5. 曲线⎪⎩⎪⎨⎧=+=4422y y x z 在点(2, 4, 5)处的切线与正向x 轴所成的倾角是多少? 解 因为242x x x z ==∂∂,αtan 1)5,4,2(==∂∂xz ,故 4πα=.6. 求下列函数的22x z ∂∂, 22y z ∂∂, yx z ∂∂∂2. (1) z =x 4+y 4-4x 2y 2;解 2384xy x xz -=∂∂, 2222812y x x z -=∂∂; y x y yz 2384-=∂∂, 2222812x y y z -=∂∂;xy y x y yy x z 16)84(232-=-∂∂=∂∂∂. (2)xyz arctan =;解 22222)(11y x y x y xy x z +-=-⋅+=∂∂,22222)(2y x xy x z +=∂∂; 2222)1(11y x x x xy yz +=⋅+=∂∂, 22222)(2y x xy y z +-=∂∂;22222222222222)()(2)()(y x x y y x y y x y x y y y x z +-=+-+-=+-∂∂=∂∂∂. (3) z =y x .解 y y xz xln =∂∂, y y x z x 222ln =∂∂; 1-=∂∂x xy yz , 222)1(--=∂∂x y x x y z ;)1ln (1ln )ln (112+=⋅+=∂∂=∂∂∂--y x y yy y xy y y y y x z x x x x . 7. 设f (x , y , z )=xy 2+yz 2+zx 2, 求f xx (0, 0, 1), f xz (1, 0, 2), f yz (0, -1, 0)及f zzx (2, 0, 1). 解 因为f x =y 2+2xz , f xx =2z , f xz =2x , f y =2xy +z 2, f yz =2z ,f z =2yz +x 2, f zz =2y , f zzx =0, 所以 f xx (0, 0, 1)=2, f xz (1, 0, 2)=2, f yz (0, -1, 0)=0, f zzx (2, 0, 1)=0.8. 设z =x ln(xy ), 求y x z ∂∂∂23及23y x z ∂∂∂. 解 1)ln()ln(+=⋅+=∂∂xy xyyx xy x z ,x xy y x z 122==∂∂, 023=∂∂∂y x z ,y xy x y x z 12==∂∂∂, 2231y y x z -=∂∂∂. 9. 验证:(1)nx e y tkn sin 2-=满足22xy k t y ∂∂=∂∂;证明 因为nx e kn kn nx e t y t kn t kn sin )(sin 2222⋅-=-⋅⋅=∂∂--, nx ne x y tkn cos 2-=∂∂, nx e n x y t kn sin 2222--=∂∂, nx e kn xy k t kn sin 2222--=∂∂,所以 22xyk t y ∂∂=∂∂.(2)222z y x r ++=满足rz r y r x r 2222222=∂∂+∂∂+∂∂. 证明 r x z y x x x r =++=∂∂222, 322222r x r r x r x r xr -=∂∂-=∂∂, 由对称性知32222ry r y r -=∂∂, 32222r z r z r -=∂∂,因此 322322322222222rz r r y r r x r z r y r x r -+-+-=∂∂+∂∂+∂∂ rr r r r z y x r 23)(332232222=-=++-=. 习题8-31. 求下列函数的全微分: (1)yx xy z +=;解 dy y z dx x z dz ∂∂+∂∂=dy y x x dx y y )()1(2-++=.(2)xy e z =;解 xdy e x dx e x y dy y z dx x z dz y x y 12+-=∂∂+∂∂=.(3) 22yx y z +=;解 因为2/3222322)()(21y x xy y x y x z +-=+-=∂∂-, 2/3222222222)(y x x y x y x yy y x y z +=++⋅-+=∂∂, 所以 dy y x x dx y x xy dz 2/32222/322)()(+++-=)()(2/322xdy ydx y x x -+-=.(4)u =x yz . 解 因为1-⋅=∂∂yz x yz x u , x zx yu yz ln =∂∂, x yx z u yz ln =∂∂,所以 xdz yx xdy zx dx yzx du yz yz yz ln ln 1++=-.2. 求函数z =ln(1+x 2+y 2)当x =1, y =2时的全微分. 解 因为2212y x x x z ++=∂∂, 2212y x y y z ++=∂∂, 3121=∂∂==y x xz, 3221=∂∂==y x y z , 所以 dy dx dz y x 323121⋅+===.3. 求函数xyz =当x =2, y =1, ∆x =0.1, ∆y =-0.2时的全增量和全微分. 解 因为xy x x y y z -∆+∆+=∆, y x x x ydz ∆+∆-=12,所以, 当x =2, y =1, ∆x =0.1, ∆y =-0.2时,119.0211.02)2.0(1-=-+-+=∆z , 125.0)2.0(211.041-=-⨯+⨯-=dz .4. 求函数z =e xy 当x =1, y =1, ∆x =0.15, ∆y =0.1时的全微分. 解 因为y xe x ye y yz x x z dz xy xy ∆+∆=∆∂∂+∆∂∂=所以, 当x =1, y =1, ∆x =0.15, ∆y =0.1时, e e e dz 25.01.015.0=⋅+⋅=.*5. 计算33)97.1()102(+的近似值. 解 设33y x z +=, 由于y yz x x z y x y y x x ∆∂∂+∆∂∂++≈∆++∆+3333)()(332233233y x y y x x y x +∆+∆++=, 所以取x =1, y =2, ∆x =0.02, ∆y =-0.03可得95.2212)03.0(2302.0321)97.1()02.1(32333=+-⋅⋅+⋅++≈+. *6. 计算(1.97)1.05的近似值(ln2=0.693). 解 设z =x y , 由于y yz x x z x x x y y y ∆∂∂+∆∂∂+≈∆+∆+)(y x x x yx x y y y ∆+∆+=-ln 1,所以取x =2, y =1, ∆x =-0.03, ∆y =0.05可得(1.97)1.05≈2-0.03+2ln2⋅0.05+1.97+0.0693 ≈2.093.*7. 已知边长为x =6m 与y =8m 的矩形, 如果x 边增加5cm 而y 边减少10cm ,问这个矩形的对角线的近似变化怎样?解 矩形的对角线为22y x z +=,)(122y y x x yx y dy dz x dx dz dz z ∆+∆+=∆+∆=≈∆,当x =6, y =8, ∆x =0.05, ∆y =-0.1时,05.0)1.0805.06(86122-=⋅-⋅+≈∆z .这个矩形的对角线大约减少5cm .*8. 设有一无盖圆柱形容器, 容器的壁与底的厚度均为0.1cm , 内高为20cm ,内半径为4厘米, 求容器外壳体积的近似值.解 圆柱体的体积公式为V =πR 2h , ∆V ≈dV =2πRh ∆R +πR 2∆h , 当R =4, h =20, ∆R =∆h =0.1时,∆V ≈2⨯3.14⨯4⨯20⨯0.1+3.14⨯42⨯0.1≈55.3(cm 3), 这个容器外壳的体积大约是55.3cm 3.*9. 设有直角三角形, 测得其两腰的长分别为7±0.1cm 和24±0.1cm , 试求利用上述二值来计算斜边长度时的绝对误差. 解 设两直角边的长度分别为x 和y , 则斜边的长度为22y x z +=.||||||||||||y y z x x z dz z ∆⋅∂∂+∆⋅∂∂≤≈∆|)|||(122y y x x y x ∆+∆+=.令x =7, y =24, |∆x |≤0.1, |∆y |≤0.1, 则得斜边长度z 的绝对误差约为124.0)1.0241.07(247122=⋅+⋅+=z δcm .*10. 测得一块三角形土地的两边长分别为63±0.1m 和78±0.1m ,这两边的夹角为60︒±1︒, 试求三角形面积的近似值, 并求其绝对误差和相对误差.解 设三角形的两边长为x 和y , 它们的夹角z , 为则三角形面积为z xy s sin 21=.zdz xy zdy x zdx y dS cos 21sin 21sin 21++=||cos 21||sin 21||sin 21||||dz z xy dy z x dx z y dS S ++≤≈∆.令x =63, y =78, 3π=z , |dx |=0.1, |dy |=0.1, 180π=dz , 则55.2718021278631.0232631.023278=⨯⨯⨯+⨯⨯+⨯⨯≈πδs ,82.21273sin 786321=⋅⋅⋅=πS ,%29.182.212755.27==S s δ,所以三角形面积的近似值为2127.82m 2, 绝对误差为27.55m 2, 相对误差为1.29%.*11. 利用全微分证明: 两数之和的绝对误差等于它们各自的绝对误差之和.证明 设u =x +y , 则||||||||||||y x y x y yu x x u du u ∆+∆≤∆+∆=∆∂∂+∆∂∂=≈∆.所以两数之和的绝对误差|∆u |等于它们各自的绝对误差|∆x |与|∆y |的和.*12. 利用全微分证明: 乘积的相对误差等于各因子的相对误差之和; 商的相对误差等于被除数及除数的相对误差之和. 证明 设u =xy , y x v =, 则∆u ≈du =ydx +xdy ,2yxdyydx dv v -=≈∆, 由此可得相对误差;||||||||y dy x dx xy xdy ydx u du u u +=+=≈∆||||||||yyx x y dy x dx ∆+∆=+≤;||||||||2y dy x dx yxy xdy ydx v dv v v -=⋅-==∆||||||||y yx x y dy x dx ∆+∆=+≤.习题8-41. 设z =u 2-v 2, 而u =x +y , v =x -y , 求x z ∂∂, y z ∂∂.解 xv v z x u u z x z ∂∂⋅∂∂+∂∂⋅∂∂=∂∂=2u ⋅1+2v ⋅1=2(u +v )=4x ,y v v z y u u z y z ∂∂⋅∂∂+∂∂⋅∂∂=∂∂=2u ⋅1+2v ⋅(-1)=2(u -v )=4y .2. 设z =u 2ln v , 而y x u =, v =3x -2y , 求x z ∂∂, y z ∂∂.解 xv v z x u u z x z ∂∂⋅∂∂+∂∂⋅∂∂=∂∂31ln 22⋅+⋅=v u y v u 222)23(3)23ln(2y y x x y x y x -+-=, yv v z y u u z y z ∂∂⋅∂∂+∂∂⋅∂∂=∂∂)2()(ln 222-+-⋅=v u y x v u 2232)23(2)23ln(2y y x x y x y x ----=. 3. 设z =e x -2y , 而x =sin t , y =t 3, 求dtdz .解 dt dyy z dt dx x z dt dz ⋅∂∂+⋅∂∂=2223)2(cos t e t e y x y x ⋅-⋅+=--)6(cos )6(cos 22sin 223t t e t t e t t y x -=-=--.4. 设z =arcsin(x - y ), 而x +3t , y =4t 3, 求dtdz .解 dt dy y z dt dx x z dt dz ⋅∂∂+⋅∂∂=22212)(113)(11t y x y x ⋅---+⋅--= 232)43(1)41(3t t t ---=. 5. 设z =arctan(xy ), 而y =e x , 求dxdz .解 dx dy y z x z dx dz ⋅∂∂+∂∂=x xxe x x e e y x x y x y 2222221)1(11++=⋅+++=.6. 设1)(2+-=a z y e u ax , 而y =a sin x , z =cos x , 求dxdu .解 dxdz dz u dx dyy u x u dx du ⋅∂+⋅∂∂+∂∂=)sin (1cos 11)(222x a e x a a e a z y ae ax ax ax -⋅+-⋅+++-= )sin cos cos sin (122x x a x a x a a e ax ++-+=x e ax sin =. 7. 设yx z arctan =, 而x =u +v , y =u -v , 验证22v u v uv z u z +-=∂∂+∂∂. 证明)()(vy y z v x x z u y y z u x x z v z u z ∂∂⋅∂∂+∂∂⋅∂∂+∂∂⋅∂∂+∂∂⋅∂∂=∂∂+∂∂)()(111)(11222y x yx y y x -⋅++⋅+=)1()()(111)(11222-⋅-⋅++⋅++y x yx y y x22222v u v u y x y +-=+=. 8. 求下列函数的一阶偏导数(其中f 具有一阶连续偏导数): (1) u =f (x 2-y 2, e xy );解 将两个中间变量按顺序编为1, 2号, 2122212)()(f ye f x xe f x y x f x u xy xy '+'=∂∂⋅'+∂-∂⋅'=∂∂, 212)2212)((f xe f y y e f y y x f y u xy xy '+'-=∂∂⋅'+∂-∂⋅'=∂∂.(2)) ,(zyy x f u =;解1211)()(f yz y x f y x x f x u '=∂∂⋅'+∂∂⋅'=∂∂, )()(21z yy f y x y f y u ∂∂⋅'+∂∂'=∂∂2121f z f y x '+'-=,)()(21z y z f z x z f z u ∂∂⋅'+∂∂'=∂∂22f zy'⋅-=.(3) u =f (x , xy , xyz ).解 yz f y f f x u ⋅'+⋅'+⋅'=∂∂3211321f yz f y f '+'+'=,3232f xz f x xz f x f y u '+'=⋅'+⋅'=∂∂,33f xy xy f zu '=⋅'=∂∂.9. 设z =xy +xF (u ), 而xyu =, F (u )为可导函数, 证明xy z yz y x z x +=∂∂+∂∂⋅. 证明 y z y x z x ∂∂⋅+∂∂⋅])([])()([y u u F x x y x u u F x u F y x ∂∂'+⋅+∂∂'++=)]([)]()([u F x y u F xyu F y x '+⋅+'-+==xy +xF (u )+xy =z +xy .10. 设)(22y x f yz -=, 其中f (u )为可导函数, 验证211y z y z y x z x =∂∂+∂∂.证明 ()()u f f xy u f x f y x z 2222'-=⋅'⋅-=∂∂, ()()u f f y u f u f y f y u f y z 2222)(1)2()('-+=-⋅'⋅-=∂∂, 所以 )(11221122u f y u f f y u f f y y z y x z x ⋅+'+'-=∂∂⋅+∂∂⋅211yz zy y =⋅. 11. 设z =f (x 2+y 2), 其中f 具有二阶导数, 求22x z ∂∂, y x z ∂∂∂2, 22yz ∂∂. 解 令u =x 2+y 2, 则z =f (u ), f x xu u f x z '=∂∂'=∂∂2)(,f y yu u f y z '=∂∂'=∂∂2)(,f x f x u f x f x z ''+'=∂∂⋅''+'=∂∂2224222,f xy yu f x y x z ''=∂∂⋅''=∂∂∂422, f y f yu f y f y z ''+'=∂∂⋅''+'=∂∂422222. 12. 求下列函数的22x z ∂∂,y x z ∂∂∂2,22y z ∂∂(其中f 具有二阶连续偏导数):(1) z =f (xy , y );解 令u =xy , v =y , 则z =f (u , v ).ufy v f y u f x v v f x u u f x z ∂∂=⋅∂∂+⋅∂∂=∂∂⋅∂∂+∂∂⋅∂∂=∂∂0,vfu f x v f x u f y v v f y u u f y z ∂∂+∂∂=⋅∂∂+⋅∂∂=∂∂⋅∂∂+∂∂⋅∂∂=∂∂1.因为f (u , v )是u 和v 的函数, 所以u f∂∂和vf ∂∂也是u 和v 的函数, 从而u f∂∂和vf ∂∂是以u 和v 为中间变量的x 和y 的函数. )()()(22uf x y u f y x x z x x z ∂∂∂∂=∂∂∂∂=∂∂∂∂=∂∂222222222)0()(u f y v u f y u f y x v v u f x u u f y ∂∂=⋅∂∂∂+⋅∂∂=∂∂⋅∂∂∂+∂∂⋅∂∂=,)(1)()(2uf y y u f u f y y x z y y x z ∂∂∂∂+∂∂⋅=∂∂∂∂=∂∂∂∂=∂∂∂ )(222yvv u f y u u f y u f ∂∂⋅∂∂∂+∂∂⋅∂∂+∂∂=v u fy u f xy u f v u f x u f y u f ∂∂∂+∂∂+∂∂=⋅∂∂∂+⋅∂∂+∂∂=222222)1(,)()()()(22vf y u f y x v f u f x y y z y y z∂∂∂∂+∂∂∂∂=∂∂+∂∂∂∂=∂∂∂∂=∂∂ y vv f y u u v f y v v u f y u u f x ∂∂⋅∂∂+∂∂⋅∂∂∂+∂∂⋅∂∂∂+∂∂⋅∂∂=222222)(1)1(222222⋅∂∂+⋅∂∂∂+⋅∂∂∂+⋅∂∂=v fx u v f v u f x u f x 2222222vf v u f x u f x ∂∂+∂∂∂+∂∂=. (2)) ,(yx x f z =;解 令u =x ,yx v =, 则z =f (u , v ).v fy u f x v v f dx du u f x z ∂∂⋅+∂∂=∂∂⋅∂∂+⋅∂∂=∂∂1,vfy x dy dv v f y z ∂∂⋅-=⋅∂∂=∂∂2.因为f (u , v )是u 和v 的函数, 所以u f∂∂和vf ∂∂也是u 和v 的函数, 从而u f∂∂和v f ∂∂是以u 和v 为中间变量的x 和y 的函数. )(1)()1()(22vf x y u f x v f y u f x x z x x z ∂∂∂∂⋅+∂∂∂∂=∂∂⋅+∂∂∂∂=∂∂∂∂=∂∂ )(1)(222222xvv f dx du u v f y x v v u f dx du u f ∂∂⋅∂∂+⋅∂∂∂+∂∂⋅∂∂∂+⋅∂∂=22222212vfy v u f y u f ∂∂⋅+∂∂∂⋅+∂∂=,)1()(2vf y u f y x z y y x z ∂∂⋅+∂∂∂∂=∂∂∂∂=∂∂∂ )(1)1()(vfy y v f y dy d u f y ∂∂∂∂⋅+∂∂⋅+∂∂∂∂=y vv f y v f y y v v u f ∂∂⋅∂∂⋅+∂∂⋅-∂∂⋅∂∂∂=222112232221v f y x v f y v u f y x ∂∂⋅-∂∂⋅-∂∂∂⋅-= )()()(2222vf y y x v f y x y y z y y z ∂∂∂∂⋅-∂∂⋅-∂∂=∂∂∂∂=∂∂ 22423222322v f y x v f y x y v v f y x v f y x ∂∂⋅+∂∂⋅=∂∂⋅∂∂⋅-∂∂⋅=. (3) z =f (xy 2, x 2y );解 z x =f 1'⋅y 2+f 2'⋅2xy =y 2f 1'+2xyf 2',z y=f1'⋅2xy+f2'⋅x2=2xyf1'+x2f2';z xx=y2[f11''⋅y2+f12''⋅2xy]+2yf2''+2xy[f21''⋅y2+f22''⋅2xy]=y4f11''+2xy3f12''+2yf2''+2xy3f21''+4x2y2 f22''=y4f11''+4xy3f12''+2yf2''+4x2y2 f22'',z xy=2y f1'+y2[f11''⋅2xy+f12''⋅x2]+2xf2'+2xy[f21''⋅2xy+f22''⋅x2]=2y f1'+2xy3f11''+x2y2f12''+2xf2'+4x2y2f21''+2x3yf22''=2y f1'+2xy3f11''+5x2y2f12''+2xf2'+2x3yf22'',z yy=2xf1'+2xy[f11''⋅2xy+f12''⋅x2]+x2[f21''⋅2xy+f22''⋅x2]=2xf1'+4x2y2f11''+2x3y f12''+2x3yf21''+x4f22''=2xf1'+4x2y2f11''+4x3y f12''+x4f22''.(4) z=f(sin x, cos y,e x+y).解z x=f1'⋅cos x+ f3'⋅e x+y=cos x f1'+e x+y f3',z y=f2'⋅(-sin y)+ f3'⋅e x+y=-sin y f2'+e x+y f3',z xx=-sin x f1'+cos x⋅(f11''⋅cos x+ f13''⋅e x+y)+e x+y f3'+e x+y(f31''⋅cos x+ f33''⋅e x+y)=-sin x f1'+cos2x f11''+e x+y cos x f13''+e x+y f3'+e x+y cos x f31''+e2(x+y) f33''=-sin x f1'+cos2x f11''+2e x+y cos x f13''+e x+y f3'+e2(x+y) f33'', z xy=cos x[f12''⋅(-sin y)+ f13''⋅e x+y]+e x+y f3'+e x+y [f32''⋅(-sin y)+ f33''⋅e x+y]=-sin y cos x f12''+e x+y cos x f13'+e x+y f3'-e x+y sin y f32'+e2(x+y)f33'=-sin y cos x f12''+e x+y cos x f13''+e x+y f3'-e x+y sin y f32''+e2(x+y)f33'',z yy=-cos y f2'-sin y[f22''⋅(-sin y)+ f23''⋅e x+y]+e x+y f3'+e x+y[f32''⋅(-sin y)+ f33''⋅e x+y]=-cos y f 2'+sin 2y f 22''-e x +y sin y f 23'' +e x +y f 3'-e x +y sin y f 32''+ f 33''⋅e 2(x +y )=-cos y f 2'+sin 2y f 22''-2e x +y sin y f 23''+e x +y f 3'+f 33''⋅e 2(x +y ). 13. 设u =f (x , y )的所有二阶偏导数连续, 而23t s x -=,23ts y +=, 证明2222)()()()(tu s u y u x u ∂∂+∂∂=∂∂+∂∂及22222222t u s u y u x u ∂∂+∂∂=∂∂+∂∂.证明 因为y u x u s yy u s x x u s u ∂∂⋅+∂∂⋅=∂∂⋅∂∂+∂∂⋅∂∂=∂∂2321yu x u t yy u t x x u t u ∂∂⋅+∂∂⋅-=∂∂⋅∂∂+∂∂⋅∂∂=∂∂2123所以2222)2123()2321()()(y u x u y u x u t u s u ∂∂+∂∂-+∂∂+∂∂=∂∂+∂∂22)()(yu x u ∂∂+∂∂=.又因为)2321()(22yu x u s s u s s u∂∂⋅+∂∂⋅∂∂=∂∂∂∂=∂∂ )(23)(21222222s y y u s x x y u s y y x u s x x u ∂∂⋅∂∂+∂∂⋅∂∂∂+∂∂⋅∂∂∂+∂∂⋅∂∂= )2321(23)2321(21222222yu x y u y x u x u ∂∂⋅+∂∂∂⋅+∂∂∂⋅+∂∂⋅=22222432341y u y x u x u ∂∂⋅+∂∂∂⋅+∂∂⋅=, )2123()(22yu x u t t u t t u ∂∂⋅+∂∂⋅-∂∂=∂∂∂∂=∂∂ )(21)(23222222t y y u t x x y u t y y x u t x x u ∂∂⋅∂∂+∂∂⋅∂∂∂+∂∂⋅∂∂∂+∂∂⋅∂∂-= )2123(21)2123(23222222y u x y u y x u x u ∂∂⋅+∂∂∂⋅-+∂∂∂⋅+∂∂⋅--= 22222412343yu y x u x u ∂∂⋅+∂∂∂⋅-∂∂⋅=, 所以 22222222yu x u t u s u ∂∂+∂∂=∂∂+∂∂. 习题8-51. 设sin y +e x-xy 2=0, 求dxdy.解 令F (x , y )=sin y +e x -xy 2, 则F x =e x -y 2, F y =cos y -2xy , xy y e y xy y y e F F dx dy xy x 2cos 2cos 222--=---=-=. 2. 设xy y x arctan ln 22=+, 求dx dy.解 令xy y x y x F arctan ln ),(22-+=, 则22222222)()(11221y x y x x y xy y x x y x F x ++=-⋅+-+⋅+=, 22222221)(11221yx x y x xy y x y y x F y +-=⋅+-+⋅+=, y x y x F F dx dyy x -+=-=. 3. 设022=-++xyz z y x , 求x z ∂∂及y z ∂∂.解 令xyz z y x z y x F 22),,(-++=, 则 xyz yz F x -=1, xyzxz F y -=2, xyz xyF z -=1, xy xyz xyz yz F F x z z x --=-=∂∂, xy xyz xyz xz F F y z z y --=-=∂∂2. 4. 设y z z x ln =, 求x z ∂∂及y z ∂∂,解 令yz z x z y x F ln ),,(-=, 则 z F x 1=, y y z y z F y 1)(12=-⋅-=, 2211z z x y yz z x F z +-=⋅--=, 所以 z x z F F x z z x +=-=∂∂, )(2z x y z F F yz z y +=-=∂∂.5. 设2sin(x +2y -3z )=x +2y -3z , 证明1=∂∂+∂∂y z x z证明 设F (x , y , z )=2sin(x +2y -3z )-x -2y +3z , 则F x =2cos(x +2y -3z )-1, F y =2cos(x +2y -3z )⋅2-2=2F x ,F z =2cos(x +2y -3z )⋅(-3)+3=-3F x ,313=--=-=∂∂x x z x F F F F x z ,3232=--=-=∂∂x x z y F F F F y z , 于是 13231=+=--=∂∂+∂∂z z z x F FF F y z x z .6. 设x =x (y , z ), y =y (x , z ), z =z (x , y )都是由方程F (x , y , z )=0所确定的具有连续偏导数的函数, 证明1-=∂∂⋅∂∂⋅∂∂x z z yy x .解 因为x y F F y x -=∂∂, y z F F z y -=∂∂, zx F F x z -=∂∂, 所以 1)()()(-=-⋅-⋅-=∂∂⋅∂∂⋅∂∂zx y z x y F F F F F F x z z y y x . 7. 设ϕ(u , v )具有连续偏导数, 证明由方程ϕ(cx -az , cy -bz )=0 所确定的函数z =f (x , y )满足 c y z b x z a =∂∂+∂∂.证明 因为vu u v u u b a c b a c x z ϕϕϕϕϕϕ+=⋅-⋅-⋅-=∂∂,vu vv u v b a c b a c y z ϕϕϕϕϕϕ+=⋅-⋅-⋅-=∂∂,所以 c b a c b b a c a y z b x z a vu v v u u =+++⋅=∂∂+∂∂ϕϕϕϕϕϕ.8. 设e z-xyz =0, 求22x z ∂∂. 解 设F (x , y , z )=e z -xyz , 则F x =-yz , F z =e z-xy , xye yz F F x z zz x -=-=∂∂, 222)()()()(xy e y x z e yz xy e x z y x z x x z z z z --∂∂--∂∂=∂∂∂∂=∂∂ 222)()(xy e xye yzyze xy ye z y zz z z ----+=32232)(22xy e e z y z xy ze y z zz ---=. 9. 设z 3-3xyz =a 3, 求yx z ∂∂∂2. 解 令F (x , y , z )=z 3-3xyz -a 3, 则 xy z yzxy z yz F F x z z x -=---=-=∂∂22333,xyz xz xy z xz F F y z z y -=---=-=∂∂22333, )()(22xyz yz y x z y y x z -∂∂=∂∂∂∂=∂∂∂ 222)()2())((xy z x yz z yz xy z y z y z --∂∂--∂∂+=22222)()2()()(xy z x xyz xz z yz xy z xy z xz yz -----⋅-+=322224)()2(xy z y x xyz z z ---=. 10. 求由下列方程组所确定的函数的导数或偏导数: (1)设⎩⎨⎧=+++=203222222z y x y x z , 求dx dy , dx dz ; 解 视y =y (x ), z =z (x ), 方程两边对x 求导得 ⎪⎩⎪⎨⎧=+++=064222dx dz z dx dy y x dx dy y x dx dz , 即⎪⎩⎪⎨⎧-=+-=-xdx dzz dxdy y x dx dz dx dy y 3222.解方程组得 )13(2)16(++-=∂∂z y z x x y , 13+=z x dx dz.(2)设⎩⎨⎧=++=++10222z y x z y x , 求dz dx ,dz dy ; 解 视x =x (z ), y =y (z ), 方程两边对z 求导得 ⎪⎩⎪⎨⎧=++=++022201z dz dy y dz dx x dz dy dz dx , 即⎪⎩⎪⎨⎧-=+-=+zdz dy y dzdxx dz dy dz dx 2221.解方程组得y x z y z x --=∂∂, yx xz z y --=∂∂.(3)设⎩⎨⎧-=+=),(),(2y v x u g v y v ux f u , 其中f , g 具有一阶连续偏导数, 求x u ∂∂,xv ∂∂; 解 视u =u (x , y ), v =v (x , y ), 方程两边对x 求偏导得⎪⎩⎪⎨⎧∂∂⋅'+-∂∂⋅'=∂∂∂∂⋅'+∂∂+⋅'=∂∂x v yv g x u g xv x vf x u x u f x u 21212)1()( , 即 ⎪⎩⎪⎨⎧'=∂∂⋅⋅-'+∂∂'''-=∂∂⋅'+∂∂-'121121)12()1(g x v g yv xu g f u x v f x u f x . 解之得1221221)12)(1()12(g f g yv f x g f g yv f u x u ''--'-'''--''-=∂∂, 1221111)12)(1()1(g f g yv f x f u f x g x v ''--'-'-'+''=∂∂.(4)设⎩⎨⎧-=+=vu e y v u e x u u cos sin , 求x u ∂∂, y u ∂∂, x v ∂∂, y v ∂∂. 解 视u =u (x , y ), v =v (x , y ), 方程两边微分得⎩⎨⎧+-=++=vdv u vdu du e dy vdv u vdu du e dx u u sin cos cos sin , 即 ⎩⎨⎧=+-=++dy vdv u du v e dx vdv u du v e u u sin )cos (cos )sin (, 从中解出du , dv 得dy v v e v dx v v e v du u u 1)cos (sin cos 1)cos (sin sin +--++-=, dy v v e u e v dx v v e u e v dv u u u u ]1)cos (sin [sin ]1)cos (sin [cos +-+++--=, 从而 1)cos (sin sin +-=∂∂v v e v x u u , 1)cos (sin cos +--=∂∂v v e v y u u , ]1)cos (sin [cos +--=∂∂v v e u e v x v u u , ]1)cos (sin [sin +-+=∂∂v v e u e v y v u u . 11. 设y =f (x , t ), 而t 是由方程F (x , y , t )=0所确定的x , y 的函数, 其中f , F 都具有一阶连续偏导数, 试证明:tFy F t f x F t f t F x f dx dy ∂∂+∂∂⋅∂∂∂∂⋅∂∂-∂∂⋅∂∂=. 证明 由方程组⎩⎨⎧==0),,(),(t y x F t x f y 可确定两个一元隐函数⎩⎨⎧==)()(x t t x y y , 方程两边对x 求导可得 ⎪⎩⎪⎨⎧=⋅∂∂+⋅∂∂+∂∂⋅∂∂+∂∂=0dxdt t F dx dy y F x F dx dt t f x f dx dy , 移项得 ⎪⎩⎪⎨⎧∂∂-=∂∂+⋅∂∂∂∂=⋅∂∂-x F dxdt t F dx dy y F x f dx dt t f dx dy ,在01≠∂∂⋅∂∂+∂∂=∂∂∂∂∂∂-=y F t f t F t F y F t fD 的条件下 yF t f t F x F t f t F x f t F x F t f x f D dx dy ∂∂⋅∂∂+∂∂∂∂⋅∂∂-∂∂⋅∂∂=∂∂∂∂-∂∂-∂∂⋅=1.习题8-61. 求曲线x =t -sin t , y =1-cos t , 2sin 4t z =在点)22 ,1 ,12 (-π处的切线及法平面方程.解 x '(t )=1-cos t , y '(t )=sin t , 2cos 2)(t t z ='. 因为点)22 ,1 ,12 (-π所对应的参数为2π=t , 故在点)22 ,1 ,12(-π处的切向量为)2 ,1 ,1(=T . 因此在点)22 ,1 ,12(-π处, 切线方程为 22211121-=-=-+z y x π, 法平面方程为0)22(2)1(1)12(1=-+-⋅++-⋅z y x π, 即422+=++πz y x .2. 求曲线t t x +=1, tt y +=1, z =t 2在对应于t =1的点处的切线及法平面方程.解 2)1(1)(t t x +=', 21)(t t y -=', z '(t )=2t . 在t =1所对应的点处, 切向量)2 ,1 ,41(-=T , t =1所对应的点为)1 ,2 ,21(, 所以在t =1所对应的点处, 切线方程为 21124121-=--=-z y x , 即8142121-=--=-z y x ; 法平面方程为0)1(2)2()21(41=-+---z y x , 即2x -8y +16z -1=0. 3. 求曲线y 2=2mx , z 2=m -x 在点(x 0, y 0, z 0)处的切线及法平面方程.解 设曲线的参数方程的参数为x , 将方程y 2=2mx 和z 2=m -x 的两边对x 求导, 得m dx dy y 22=, 12-=dxdz z , 所以y m dx dy =, z dxdz 21-=. 曲线在点(x 0, y 0, z 0,)的切向量为)21,,1(00z y m -=T , 所求的切线方程为0000211z z z y m y y x x --=-=-, 法平面方程为0)(21)()(00000=---+-z z z y y y m x x . 4. 求曲线⎩⎨⎧=-+-=-++0453203222z y x x z y x 在点(1, 1, 1)处的切线及法平面方程.解 设曲线的参数方程的参数为x , 对x 求导得,⎪⎩⎪⎨⎧=+-=-++053203222dx dz dx dy dx dz z dx dy y x , 即⎪⎩⎪⎨⎧=-+-=+2533222dxdz dx dy x dx dz z dx dy y . 解此方程组得z y z x dx dy 61015410----=, zy y x dx dz 610946---+=. 因为169)1,1,1(=dx dy , 161)1,1,1(-=dx dz , 所以)161 ,169 ,1(=T . 所求切线方程为1611169111--=-=-z y x , 即1191161--=-=-z y x ; 法平面方程为0)1(161)1(169)1(=---+-z y x , 即16x +9y -z -24=0. 5. 求出曲线x =t , y =t 2, z =t 3上的点, 使在该点的切线平行于平面x +2y +z =4.解 已知平面的法线向量为n =(1, 2, 1).因为x '=1, y '=2t , z '=3t 2, 所以参数t 对应的点处的切向量为T =(1, 2t , 3t 2). 又因为切线与已知平面平行, 所以T ⋅n =0, 即1+4t +3t 2=0,解得t =-1, 31-=t . 于是所求点的坐标为(-1, 1, -1)和)271 ,91 ,31(--. 6. 求曲面e z -z +xy =3在点(2,1,0)处的切平面及法线方程. 解 令F (x , y , z )=e z -z +xy -3, 则n =(F x , F y , F z )|(2, 1, 0)=(y , x , e z -1)|(2, 1, 0)=(1, 2, 0),点(2,1, 0)处的切平面方程为1⋅(x -2)+2(y -1)+0⋅(z -0)=0, 即x +2y -4=0,法线方程为02112-=-=-z y x . 7. 求曲面ax 2+by 2+cz 2=1在点(x 0, y 0, z 0)处的切平面及法线方程.解 令F (x , y , z )=ax 2+by 2+cz 2-1, 则n =(F x , F y , F z )=(2ax , 2by , 2cz )=(ax , by , cz ).在点(x 0, y 0, z 0)处, 法向量为(ax 0, by 0, cz 0), 故切平面方程为 ax 0(x -x 0)+by 0(y -y 0)+cz 0(z -z 0)=0,即 202020000cz by ax z cz y by x ax ++=++,法线方程为00000cz z z by y y ax x x -=-=-.8. 求椭球面x 2+2y 2+z 2=1上平行于平面x -y +2z =0的切平面方程.解 设F (x , y , z )=x 2+2y 2+z 2-1, 则n =(F x , F y , F z )=(2x , 4y , 2z )=2(x , 2y , z ).已知切平面的法向量为(1, -1, 2). 因为已知平面与所求切平面平行, 所以2121z y x =-=, 即z x 21=, z y 41-=, 代入椭球面方程得1)4(2)2(222=+-+z z z ,解得1122±=z , 则1122±=x , 11221 =y . 所以切点坐标为)1122,11221,112(±± . 所求切平面方程为0)1122(2)11221()112(=±+-±z y x , 即 2112±=+-z y x . 9. 求旋转椭球面3x 2+y 2+z 2=16上点(-1, -2, 3)处的切平面与xOy 面的夹角的余弦.解 x O y 面的法向为n 1=(0, 0, 1).令F (x , y , z )=3x 2+y 2 +z 2-16, 则点(-1, -2, 3)处的法向量为 n 2=(F x , F y , F z )|(-1, -2, 3)=(6x , 2y , 2z )|(-1, -2, 3)=(-6, -4, 6). 点(-1, -2, 3)处的切平面与xOy 面的夹角的余弦为22364616||||cos 2222121=++⋅=⋅⋅=n n n n θ.10. 试证曲面a z y x =++(a >0)上任何点处的切平面在各坐标轴上的截距之和等于a .证明 设a z y x z y x F -++=),,(, 则)21,21,21(zy x =n . 在曲面上任取一点M (x 0, y 0, z 0), 则在点M 处的切平面方程为0)(1)(1)(1000000=-+-+-z z z y y y x x x , 即 a z y x z z y y x x =++=++000000. 化为截距式, 得1000=++az z ay y ax x , 所以截距之和为a z y x a az ay ax =++=++)(000000.习题8-71. 求函数z =x 2+y 2在点(1, 2)处沿从点(1, 2)到点)32 ,2(+的方向的方向导数.解 因为从点(1, 2)到点)32 ,2(+的向量为)3 ,1(=l , 故 )cos ,(cos )23 ,21(||βα===l l e l . 又因为22)2,1()2,1(==∂∂x x z , 42)2,1()2,1(==∂∂y y z , 故所求方向导数为321234212cos cos +=⋅+⋅=∂∂+∂∂=∂∂βαy z x z l z . 2. 求函数z =ln(x +y )在抛物线y 2=4x 上点(1, 2)处, 沿这抛物线在该点处偏向x 轴正向的切线方向的方向导数.解 方程y 2=4x 两边对x 求导得2yy '=4, 解得y y 2='.。
高等数学院系_______学号________班级_______姓名__________得分______题 号 选择题 填空题 计算题 证明题 其它题型总 分题 分 20 20 20 20 20 核分人 得 分 复查人一、选择题(共 20 小题,20 分)1、C2、(B)3、C4、A5、答:C 10分6、B7、(A)8、(C)9、(C) 10、C 11、B 12、(C) 13、C 14、D 15、(A) 16、C17、答:(B) 18、C 19、A 20、(D)二、填空题(共 20 小题,20 分)1、f z x y z x y(,ln ,)(ln )= 10分2、[]1222z xyyz x dx xz y dy --+-()() 10分 3、04、x y +≥110分5、2210x y z +++=6、(2,1)7、-48、答:-ln 2 10分 9、答:arctan14=π。
10分10、-16xy (10分) 11、1312、122y yx -13、[]sinh()sin()(d d )xy xy y x x y -+ (10分)14、15215、x x 242-(10分)16、π4(10分)17、3018、答:e e2。
10分 19、答:y 轴上的所有点。
10分20、2(10分)三、计算题(共 20 小题,20 分)1、z x x (,)arctan 02=d d (,)x z x x x0214=+ (8分)∂∂z xx y ===101(10分)2、ln ln u yz x =(4分)d d ln d ln d u u yzxx z x y y x z =++ (8分) []d d ln (d d )u x yz x x x z y y z yz =++-1(10分)3、由z f u =()可得,∂∂∂∂∂∂∂∂z x f u ux z y f u uy='='()() (3分)在方程u u p t t yx=+⎰ϕ()()d 两边分别对x , y 求偏导数,得∂∂ϕ∂∂∂∂ϕ∂∂u x u uxp x u y u uyp y =+=-''()()()() 所以∂∂ϕ∂∂ϕu x p x x u y p y x =-=--()()()()''11 (8分)p y z x p x z y()()∂∂∂∂+=0(10分)4、{}n =±-=±=±=35435212452,,,cos ,cos ,cos αβγ(4分)∂∂∂∂ux x y u yx(,,)(,,)(,,)(,,)()0110110110112870=-+==-=∂∂u z(,,)0111=所以⎥⎦⎤⎢⎣⎡⎪⎭⎫ ⎝⎛-⨯+⨯+⨯±=∂∂25412102537n u =±1752 (10分) 5、由⎪⎩⎪⎨⎧=+-==-+=03306332x y z y x z yx ,得D 内驻点(1,1)且 z (,)1112=- 3分在边界x =0上,()z y y 1232302=-+≤≤'=-≤==-z y z z 111300323,(),() 在边界x =2上,z y y y 22326102=-+-≤≤()'=-+≥=-=z y z z 2223600125,(),()在边界y =0上,()z x x x 336302=-+≤≤'=-=z x 32360 得驻点x =2()z z z 33303212342(),(),==-=-在边界y =2上,)20(334≤≤-=x x z'=≥=-=z x z z 4244300325,(),()8分比较后可知,函数z 在点(,)02处取最小值z (,)023=- 在点(,)22处取最大值z (,)225=。
第七章 多元函数微分学作业1 多元函数1.填空题(1)已知函数22,y f x y x y x ⎛⎫+=- ⎪⎝⎭,则(),f x y =()()22211x y y -+; (2)49arcsin2222-+++=y x y x z 的定义域是(){}22,49x y x y ≤+≤; (3))]ln(ln[x y x z -=的定义域是(){}(){},,0,1,0,1x y x y x x y x x y x >>+⋃<<≤+;(4)函数⎪⎩⎪⎨⎧=≠=0,0,sin ),(x y x x xyy x f 的连续范围是 全平面 ;(5)函数2222y x z y x+=-在22y x =处间断.2.求下列极限`(1)00x y →→;解:000031lim 6x t t y t →→→→===-(2)22()lim (ex y x y x y -+→+∞→+∞+).解:3y x =22()2()lim (e lim (e 2x y x y x yx x y y x y x y xe ye -+-+--→+∞→+∞→+∞→+∞⎡⎤+=+-⎣⎦)) 由于1lim e lim lim 0tt t t t t t t e e-→+∞→+∞→+∞===,2222lim e lim lim lim 0tt t t t t t t t t t e e e -→+∞→+∞→+∞→+∞====,故22()2()lim (elim (e 20x y x y x y x x y y x y x y xe ye -+-+--→+∞→+∞→+∞→+∞⎡⎤+=+-=⎣⎦)) 3.讨论极限26300lim y x yx y x +→→是否存在.解:沿着曲线()()3,,0,0y kx x y =→,有336626262000lim lim 1x x y kx x y kx kx y x k x k →→=→==+++因k 而异,从而极限26300lim y x yx y x +→→不存在 !4.证明⎪⎩⎪⎨⎧=+≠++=0,00,2),(222222y x y x y x xyy x f 在点)0,0(分别对于每个自变量x 或y都连续,但作为二元函数在点)0,0(却不连续.解:由于(,0)0,(0,)0,f x f y ≡≡从而可知在点)0,0(分别对于每个自变量x 或y 都连续,但沿着曲线()(),,0,0y kx x y =→,有2222222000222lim lim 1x x y kx xy kx kx y x k x k →→=→==+++因k 而异, 从而极限()0lim ,x y f x y →→不存在,故作为二元函数在点)0,0(却不连续.;作业2 偏导数1.填空题(1)设22),(y x y x y x f +-+=,则=)4,3(x f 25; (2)(3)设(),ln 2y f x y x x ⎛⎫=+⎪⎝⎭,则1x y f y==∂=∂12; (3)设2sin x u xz y =+,则42ux y z∂=∂∂∂ 0 ;(4)曲线22:44x y z y ⎧+=⎪Γ⎨⎪=⎩在点()2,4,5处的切线与Ox 轴正向的倾角是4π. ¥2.设2exy u =, 证明 02=∂∂+∂∂yu y x u x.证:因为222312,xxy yu ux e e x y y y ∂∂-==∂∂ 所以222223*********x x x xy y y y u u x x x x y xe ye e e x y y y y y∂∂--+=+=+=∂∂3. 设xyz ln =,求22x z ∂∂,yx z∂∂∂2.解:ln ln x yz e⋅=,从而222ln ln ln ln ln ln ln 222ln ln ln ln ln ,,x y x y x y x z y z y y y y e e e y x x x x x x ⋅⋅⋅∂∂--⎛⎫=⋅=⋅+⋅= ⎪∂∂⎝⎭—2ln ln ln ln ln ln ln 11ln ln 1x y x y x z y x y x e e y x y x y x y xy⋅⋅∂⋅+=⋅⋅+⋅⋅=∂∂4.设y x z u arctan =, 证明 0222222=∂∂+∂∂+∂∂zuy u x u . 解:因为()()2222222222211022,1uyz u yz x xyzz xy x y x x x y x y y ∂∂-⋅-=⋅⋅===∂+∂⎛⎫+++ ⎪⎝⎭()()2222222222221022,1u x xz u xz y xyzz yy x y y x x y x y y ∂--∂-⋅=⋅⋅==-=∂+∂⎛⎫+++ ⎪⎝⎭22arctan ,0,u x uz y x∂∂==∂∂ 所以()()2222222222222200u u u xyz xyzx y z x y x y ∂∂∂-++=++=∂∂∂++ 5.设函数()()2221sin ,0,0,x x y x f x y xx ⎧+≠⎪=⎨⎪=⎩.(1)试求(),f x y 的偏导函数; 解:当()()()3222221110,,42sin cos x x f x y x xyx x y xx x-≠=+++⋅()21,2sin y f x y x y x =,()()()322211,42sin cos x f x y x xy x y x x=+-+(当()()()()222001sin 0,0,0,0,lim lim 00x x x x x y f x y f y x x f y x x→→+--≠===-()()()000,0,000,limlim 00y y y f y y f y f y y y ∆→→+∆--===∆-∆,()()()322211,42sin cos x f x y x xy x y x x=+-+(2)考察偏导函数在()0,3点处是否连续.()()200331lim ,lim 2sin00,3y y x x y y f x y x y f x→→→→===,故(),y f x y 在()0,3点处连续, ()()()3222003311lim ,lim 42sin cos x x x y y f x y x xy x y x x →→→→⎡⎤=+-+⎢⎥⎣⎦不存在,从而(),x f x y 在()0,3点处不连续作业3 全微分及其应用1.填空题(1)),(y x f z =在点),(00y x 处偏导数存在是),(y x f z =在该点可微的必要 条件;(2)函数23z x y =在点()2,1-处,当0.02,0.01x y ∆=∆=-时有全增量)z ∆=0.2040402004-,全微分d z =0.20-;(3)设),(y x f z =在点),(00y x 处的全增量为z ∆,全微分为dz ,则),(y x f 在点),(00y x 处的全增量与全微分的关系式是()z dz o dz ∆=+;(4)22yx x u +=在点)1,0(处的d u =dx ;(5)xy u cos )(ln =,则d u =cos cos (ln )ln ln sin ln x x y y xdx dy y y ⎡⎤-⋅+⎢⎥⎣⎦; (6)zyx u )(=,则d u =()ln z x z z x dx dy dz y x y y ⎛⎫-+⎪⎝⎭;(7)2221zy x u ++=,则d u = ()()3222212x y z -++ .2.证明:(),f x y =在点()0,0处连续,()0,0x f 与()0,0y f 存在,但在()0,0处不可微.证:由于(0,)0,(,0)0,f y f x ==从而(0,0)0,(0,0)0.y x f f ==但是limlimx x y y ∆→∆→∆→∆→=不存在,从而在()0,0处不可微.;3.设函数()()222222221sin ,0,0,0x y x y x y f x y x y ⎧++≠⎪+=⎨⎪+=⎩试证:(1)函数(),f x y 在点()0,0处是可微的;证:因为 ()()()()2201sin0,00,00,0limlim 0,0,000x y x x x f x f x f f x x →→--====--又()()()22221sinlimlim0x x y y x y x y ∆→∆→∆→∆→∆+∆∆+∆==)所以函数(),f x y 在点()0,0处是可微的(2)函数(),x f x y 在点()0,0处不连续.证:当()222222221210,,2sincos x x x y f x y x x y x y x y +≠=-+++()2222220000121lim ,lim 2sin cos x x x y y x f x y x x y x y x y ∆→∆→∆→∆→⎛⎫=- ⎪+++⎝⎭不存在, 故(),x f x y 在点()0,0处不连续作业4 多元复合函数的求导法则1.填空题(1)设2ln ,,32yz u v u v y x x===-,则 z x ∂=∂()()223222ln 3232y y y x x x y x ----; |(2)设22,cos ,sin z x y xy x u v y u v =-==,则zv∂=∂()333sin cos sin 2sin sin 2cos u v v v v v v +--; (3)设()22,zu x y z x y =-=+,则u x ∂=∂()()222ln z x y x y x x y x y ⎡⎤+--+⎢⎥-⎣⎦;(4)设2sin z x y x ==,则dd zx =2x . 2.求下列函数的偏导数(1)设,,x y u f y z ⎛⎫=⎪⎝⎭其中f 具有一阶连续偏导数,求,u x ∂∂u y ∂∂和uz ∂∂; 解:111,f u f x y y ∂=⋅=∂121222222211,u x x u y yf f f f f f y y z y z z z z∂--∂--=⋅+⋅=+=⋅=∂∂ (2)设(),,,u f x y z =()(),,,z y t t y x ϕψ==,其中,,f ϕψ均可微,求u x ∂∂和uy∂∂. 解:因为1231212,,du f dx f dy f dz dz dy dt dt dy dx ϕϕψψ=++=+=+ 从而()1231212du f dx f dy f dy dy dx ϕϕψψ=++++⎡⎤⎣⎦~()()1322231321f f dx f f f ϕψϕϕψ=+++++所以1322231321,u u f f f f f x yϕψϕϕψ∂∂=+=++∂∂ 3.验证下列各式 (1)设()22yz f x y =-,其中()f u 可微,则211z z z x x y y y ∂∂+=∂∂; 证:因为222212,z xyf z y f x f y f f''∂-∂==+∂∂ 所以222211121121z z z xyf y f zx x y y x x f y f f yf y''⎛⎫∂∂∂-+=++== ⎪∂∂∂⎝⎭ (2)设()23y z xy x ϕ=+,其中ϕ可微,则220z zx xy y x y ∂∂-+=∂∂. 证:因为()()222,33z y z y y xy x xy x x y xϕϕ∂∂''=-+=+∂∂ 所以22z z x xy y x y ∂∂-+=∂∂()()2222233y y x y xy xy x xy y x x ϕϕ⎛⎫⎛⎫''-+-++ ⎪ ⎪⎝⎭⎝⎭()()22222033y y x y xy y x y xy y ϕϕ''=-+--+=-4.设22,,y z xf x x ⎛⎫= ⎪⎝⎭其中函数f 具有二阶连续偏导数,求2z x y ∂∂∂.解:因为221212222,z y y f x f f f xf f x x x ⎛⎫∂-=++⋅=+- ⎪∂⎝⎭所以22212212222222222z y y y y y y f xf f f xf f f x y y x x x x x x⎡⎤∂∂=+-=+⋅--⋅⎢⎥∂∂∂⎣⎦ 31222224y yf f x=-4.设)()(xy x x y u ψϕ+=其中函数ψϕ,具有二阶连续偏导数,试证:022222222=∂∂+∂∂∂+∂∂y u y y x u xy x u x . 证:因为222223432,u y y u y y y x x x x x x x ϕψψϕϕψ∂-∂'''''''=+-=++∂∂222322211,,u y y u u x y x x x y x y x xϕψϕϕψϕψ''''∂∂∂'''''''=---=+=+∂∂∂∂ 从而左边222234323222120y y y y y x xy y x x x x x x x x ϕψϕϕψϕϕψ''''⎛⎫⎛⎫⎛⎫''''''''''=+++---++= ⎪ ⎪ ⎪⎝⎭⎝⎭⎝⎭作业5 隐函数求导法1.填空题*(1)已知3330x y xy +-=,则d d y x =22x yx y --;(2)已知20x y z ++-=,则x y ∂=∂(3)已知xzz y =,则d z =2ln ln z dy yz zdxxy yz y--;(4)已知222cos cos cos 1x y z ++=,则d z =sin 2sin 2sin 2xdx ydyz+-;(5)已知(),z f xz z y =-,其中f 具有一阶连续偏导数,则d z =12121zf dx f dyxf f ---.2.设(),0,F y z xy yz ++=其中F 具有二阶连续偏导数,求22zx∂∂.解:212120,yF z z z F F y y x x x F yF -∂∂∂⎛⎫+⋅+=⇒= ⎪∂∂∂+⎝⎭ ()()[]()22122122122221212x x x F z F y yz F yF F F yF F z y y x x F yF F yF '⋅+++-+⎡⎤⎛⎫∂∂⎣⎦=-=- ⎪∂∂++⎝⎭()()()()()2222112111222212221231212y F F F yF F F yF y F F F F F yF F yF -+++⎡⎤-⎣⎦=+++3.求由方程组222222320z x yx y z ⎧=+⎪⎨++=⎪⎩所确定的()y x 及()z x 的导数d d y x 及d d z x .$解:由已知()2222222602460dz xdx ydy dz xdx ydy xdx dz xdx zdz xdx ydy zdz -=⎧=+⎧⎪⇒⎨⎨+-+=++=⎪⎩⎩ ()()22606,132623220xdx z dz dz x dy x xy dx z dxy yz xdx ydy z xdx ydy -++=⎧+⎪⇒⇒==-⎨+++++=⎪⎩4.设函数()z f u =,又方程()()d xy u u P t t ϕ=+⎰确定u 是,x y 的函数,其中()f u 与()u ϕ均可微;()(),P t u ϕ'连续,且()1u ϕ'≠. 试证:()()0z zP y P x x y∂∂+=∂∂. 证:因为()(),z u z uf u f u x x y y∂∂∂∂''=⋅=⋅∂∂∂∂, ()()()(),1P x u u u u P x x x x u ϕϕ∂∂∂'=⋅+='∂∂∂- ()()()(),1P y u u uu P y y y y u ϕϕ-∂∂∂'=⋅-='∂∂∂- ()()()()()()()()()()011P x P y z zP y P x P y f u P x f u x y u u ϕϕ-∂∂''+=+=''∂∂--5.设函数()f u 具有二阶连续偏导数,而()e sin x zf y =满足方程22222e x z zz x y∂∂+=∂∂,求()f u . 】解:因为()()()()222sin ,sin sin x xx z z f u e y f u e y f u e y x x∂∂''''==+∂∂()()()()222cos ,cos (sin )x xx z z f u e y f u e y f u e y y y∂∂''''==+-∂∂()()222222()e ,()0x x z zf u e f u f u f u x y∂∂''''+==⇒-=∂∂ 特征方程为()2121210,1,1,u u r r r f u c e c e --===-=+作业6 方向导数与梯度1.填空题(1)在梯度向量的方向上,函数的变化率 最大 ; (2)函数在给定点的方向导数的最大值就是梯度的 模 ; (3)函数2249z x y =+在点()2,1的梯度为grad z ={16,18};(4)函数xyz u =在点)1,1,1(处沿方向}cos ,cos ,{cos γβα=l的方向导数是@cos cos cos αβγ++,且函数u 在该点的梯度是{1,1,1};(5)函数e cos()xu yz =在点)0,0,0(处沿方向}2,1,2{-=l 的方向导数是23;(6)函数)ln(22z y x u ++=在点)1,0,1(A 处沿A 指向点)2,2,3(-B 方向的方向导数是12. 2.求222z y x u -+=在点)0,0,(a A 及点)0,,0(a B 处的梯度间的夹角.解:{}2,2,2{2,0,0}AAgradux y z a =-={}2,2,2{0,2,0}B Bgradu x y z a =-=夹角余弦为cos 02A B A Bgradu gradu gradu gradu πϕϕ⋅==⇒=⋅3.求二元函数22z x xy y =-+在点()1,1-沿方向{}2,1l =的方向导数及梯度,并指出z 在该点沿那个方向减少得最快沿那个方向z 的值不变解:(){}(){}1,11,12,23,3gradz x y y x --=--=-5l =⎨⎩,{3,3}zl∂=-⋅=∂ )z 在该点沿梯度相反方向,即方向减少得最快;沿与梯度垂直的那个方向,即±方向z 的值不变 4.设x轴正向到l 得转角为α,求函数()22220,0,x y f x y x y +>=+=⎩在点()0,0处沿着方向l 的方向导数.解:{}cos ,sin ,cos l αααα===由于该函数在点()0,0处不可微,从而不能用公式,只能由定义得出沿着方向l 的方向导数:()()00,0,0lim x y f x y f fl ρρρ→→→→-∂===∂1cos sin sin 22ααα==作业7 偏导数的几何应用1.填空题(1)已知曲面224z x y =--上点P 的切平面平行于平面221x y z ++=,则点P的坐标是(1,1,2); !(2)曲面e 23zz xy -+=在点()1,2,0处的切平面方程是24x y +=;(3)由曲线223212x y z ⎧+=⎨=⎩绕y轴旋转一周所得到的旋转曲面在点(M处的指向内侧的单位法向量为0,⎧⎪⎨⎪⎩; (4)曲面2222321x y z ++=在点()1,2,2-处的法线方程是122146x y y -+-==-; (5)已知曲线23,,x t y t z t ===上点P 的切线平行于平面24x y z ++=,则点P的坐标是()1,1,1--或111,,3927⎛⎫--⎪⎝⎭. 2.求曲线22sin ,sin cos ,cos x t y t t z t ===在对应于的点π4t =处的切线和法平面方程.解:切点为{}224111,,,2sin cos ,cos sin ,2cos sin {1,0,1}222T t t t t t tπ⎛⎫=--=- ⎪⎝⎭,从而切线为11110222,11012x z x y z y +-=⎧---⎪==⎨-=⎪⎩,法平面为110,022x z x z ⎛⎫---=-= ⎪⎝⎭3.求两个圆柱面的交线22221:1x y x z ⎧+=⎪Γ⎨+=⎪⎩在点M 处的切线和法平面的方程.解:1{2,2,0}|//{1,1,0}M n x y =,2{2,0,2}|//{1,0,1}M n x z =&{}{}1,1,01,0,1{1,1,1}T =⨯=--==,法平面为0x y z --+= 4.求曲面()22210ax by cz abc ++=≠在点()000,,x y z 处的切平面及法线的方程. 解:000000{2,2,2}//{,,}n ax by cz ax by cz =切平面为0001ax x by y cz z ++=,法线为000000x x y y z z ax by cz ---== 5.求函数22221x y z ab ⎛⎫=-+ ⎪⎝⎭在点M 处沿曲线22221x y a b +=在此点的外法线方向的方向导数.解:2222,,MM x y gradza b a b ⎧⎪⎧⎫=--=--⎨⎬⎨⎩⎭⎪⎪⎩⎭2222,M x y n a b a b ⎧⎫==⎨⎬⎩⎭⎪⎪⎩⎭指向外侧为此点的外法线方向,方向导数为(2a z ngradz n n ∂=⋅=-∂6.证明:曲面y z xf x ⎛⎫=⎪⎝⎭在任意点处的切平面都通过原点,其中f 具有连续导数. —证:设切点为()000,,x y z ,则000000000000,,1,y y y y y n f f f z x f x x x x x ⎧⎫⎛⎫⎛⎫⎛⎫⎛⎫⎪⎪''=--=⎨⎬ ⎪ ⎪ ⎪ ⎪⎪⎪⎝⎭⎝⎭⎝⎭⎝⎭⎩⎭切平面为()()()000000000000y y y y f f x x f y y z z x x x x ⎡⎤⎛⎫⎛⎫⎛⎫''--+---=⎢⎥ ⎪ ⎪ ⎪⎝⎭⎝⎭⎝⎭⎣⎦令0x y z ===,得左边等于右边,从而原点在任意点处的切平面上,也即任意点处的切平面都通过原点。
第八章 空间解析几何与向量代数自测题A一、填空1. 已知空间三点(1,2,0)A 、(1,3,2)B -、(2,3,1)C ,则cos BAC ∠=AB 在AC上的投影为;三角形的面积ABC S ∆=2;同时垂直于向量AB 与AC的单位向量为1,4,3)±--. 2. xOy 面上的曲线2y x =绕y 轴旋转一周所得旋转曲面方程为22y x z =+.3. 在平面解析几何中2y x =表示抛物线_图形,在空间解析几何中表示_抛物柱面_图形.4. 球面0242222=++-++z y x z y x 的球心坐标为(1,2,1)--.5. 曲线22291x y z x z ⎧++=⎨+=⎩在xOy 面上的投影为22228x x y z ⎧-+=⎨=⎩.6.曲面z =被曲面2220x y x +-=所截下的部分在xOy 面上的投影为22200x x y z ⎧-+≤⎨=⎩.7. 过点A (3,0,1)-且与平面375120x y z -+-=平行的平面方程为37540x y z -+-=.8. 点A (3,0,1)-到平面2230x y z -+-=的距离为23. 9. 直线531123-=++=-z k y k x 与直线22531-+=+=-k z y x 相互垂直,则k =34. 二、解答题1. 求过点)2,1,4(1M ,)1,5,3(2--M ,且垂直于07326=++-z y x 的平面. 解:由已知可知,已知平面的法向量为0(6,2,3)n =-,取所求平面的法向量为120743(6,3,10)623ij kn M M n =⨯=--=--,所以所求平面方程为 6(4)3(1)10(2)0x y z -+---=,即631070x y z +--=.2. 求通过直线13213x y z +-==-与点A (3,0,1)的平面方程. 解:由已知可知,直线过点(0,1,3)P -,方向向量为(2,1,3)s =-,取所求平面的法向量 312(1,13,5)213ij kn PA s =⨯=-=---,所以所求平面方程为3135(1)0x y z ----=,即 13520x y z --+=.3. 求直线2432-=-=-z y x 与平面062=-++z y x 的交点及夹角余弦. 解:直线的参数是方程为2,3,42x t y t z t =+=+=+,代入平面方程得1t =-,所以交点坐标为(1,2,2),5sin |cos(,)|,cos 66s ns n s n ϕϕ⋅====. 4. 求过点A (3,0,1)且与直线13213x y z +-==-垂直相交的直线方程. 解:设垂足坐标为000(,,)P x y z ,则由已知条件得00013213x y z +-==-, 0002(3)3(1)0AP s x y z ⋅=--+-=,解得11339(,,)71414P --,取所求直线方向向量为AP ,所以所求直线的方程为3122132571414x y z --==--,即31441325x y z --==--. B1. 求点A (3,0,1)到直线13213x y z +-==-的距离; 解:由已知可知,直线过点(0,1,3)P -,方向向量为(2,1,3)s =-,所以19514AP s d s ⨯==. 2. 判定直线113:213x y z l +-==-与直线2152:342x y z l -++==-是否相交,如果相交,求出交点,如果异面,求出两条异面直线间的距离;解:由已知可知,直线1l 过点1(0,1,3)P -,方向向量为1(2,1,3)s =-,直线2l 过点1(1,5,2)P--,方向向量为2(3,4,2)s =-,因为1212145[ ]2131170342PP s s --=-=-≠-,所以两直线异面,距离 121212[ ]117390PP s s d s s ==⨯;3. 求点(1,1,3)A 关于平面0x y z ++=对称的点.解:过点(1,1,3)A 且与平面垂直的直线方程为点113x y z -=-=-,所以垂足为224(,,)333P --,设对称点为(,,)M x y z ,则2AM AP =,即555(1,1,3)2(,,)333x y z ---=---,所以771(,,)333M ---.4. 求直线2432-=-=-z y x 在平面062=-++z y x 上的投影直线及直线关于平面对称的直线方程;解:由已知可知,直线0l 的参数式方程为2,3,42x t y t z t =+=+=+,代入平面方程可得1t =-,所以交点为1(1,2,2)P ,过点(2,3,4)P 且与已知平面垂直的直线2l 方程为22,3,4x t y t z t =+=+=+,垂足为211319(,,)366P ,所以已知直线0l 在平面上的投影直线为122217366x y z ---==-,即12247x z y --=-=-, 设点(2,3,4)P 关于已知平面的对称点为3P ,则322PP PP =,解得3447(,,)333P -,所以已知直线关于平面对称的直线方程为122721333x y z ---==--,即12272x y z --==---. 5. 求直线1321x y z +==--绕z 轴旋转一周所得旋转曲面方程.解:设所求曲面上任一点(,,)P x y z 是由直线上的点1111(,,)P x y z 绕z 轴旋转得来,则22221111111,,321x y x y x y z z z ++=+===--,消去111,,x y z 得22252840x y z z +-+=.。
第八章习题解答(3)节8.5部分习题解答1、下列方程确定了)(x f y =,求dxdy,(1)、0sin 2=−+xy e y x 解:设=),(y x F 0sin 2=−+xy e y x ,2y e x F x −=∂∂;xy y yF2cos −=∂∂(2)、xyy x arctanln 22=+解:设=),(y x F xy y x arctanln 22−+,=−+−+=∂∂)()(112222x y x y y x x x F 22y x yx ++;=∂∂y F =+−+)1((11222x xy y x y 22y x xy +−;yx y x F F dx dy y x −+=−=(3)、xy y x =解:设x y y x y x F −=),(,)ln (1ln 1y x y x x y y yx x F y x y −=−=∂∂−)ln (1ln 1x x y x yxy x x y F y x y −=−=∂∂−;y x F F dx dy −=)ln ()ln (x x y x y y x y −−=(4)、1=+y e xy 解:设1),(−+=y e xy y x F ,y x F =∂∂y e x yF+=∂∂;y x F F dx dy −=ye x y +−=2、下列方程确定了),(y x f z =,求x z ∂∂yz ∂∂(1)、0=−xyz e z 解:设=),,(z y x F xyz e z −,yz F x −=zx F y −=xy e F z z −=;x z ∂∂z x F F −=xye yzz −=y z ∂∂z y F F −=xye zxz −=(2)、333a xyz z =−解:设=),,(z y x F 333a xyz z −−,yz F x 3−=zx F y 3−=xy z F z 332−=;x z ∂∂z x F F −=xyz yz−=2y z ∂∂z y F F −=xye zx−=2(3)、122=+−z e yz y x 解:设=),,(z y x F 122−+−z e yz y x ,xy F x 2=z x F y 22−=z z e y F +−=2;x z ∂∂z x F F −=ze y xy−=22y z∂∂z y F F −=ze y z x −−=222(4)、xyzz =sin 解:设=),,(z y x F xyz z −sin ,yz F x 2−=xz F y −=xy z F z −=cos ;x z ∂∂z x F F −=xyz yz −=cos 2y z ∂∂z y F F −=xyz xz−=cos 3、设z y x z y x 32)32sin(2−+=−+确定了),(y x f z =,验证:+∂∂x z 1=∂∂yz证明:设=),,(z y x F )32()32sin(2z y x z y x −+−−+,1)32cos(2−−+=z y x F x 2)32cos(4−−+=z y x F y 3)32cos(6+−+−=z y x F z ;x z ∂∂z x F F −=32=y z∂∂z y F F −=31=所以+∂∂x z 13132=+=∂∂y z 4、设),(),,(),,(y x z z x z y y z y x x ===都是由方程0),,(=z y x F 确定的函数,证明1−=∂∂⋅∂∂⋅∂∂xz z y y x 证明:1)1((3−=−=−−−=∂∂⋅∂∂⋅∂∂zx y z x y F F F F F F x zz y y x 5、函数),(v u ϕ具有连续的偏导数,验证方程0),(=−−bz cy az cx ϕ所确定的函数),(y x z z =满足+∂∂x z ac yzb =∂∂证明:设bz cy v az cx u −=−=,,则有c x u =∂∂,0=∂∂y u ,a z u −=∂∂,0=∂∂x v ,c yv =∂∂,b z v−=∂∂1ϕϕc x =2ϕϕc y =21ϕϕϕb a z −−=211ϕϕϕϕϕb a ca a x za z x +=−=∂∂212ϕϕϕϕϕb a cb b y zb z y +=−=∂∂于是+∂∂x z a=∂∂y zb ++211ϕϕϕb a ca =+212ϕϕϕb a cbc b a b a c =++2121)(ϕϕϕϕ6、设f 具有连续偏导数,方程),(y z xz f z −=确定了),(y x f z =,求,x z ∂∂yz∂∂解:设=),,(z y x F ),(y z xz f z −−,又设y z v xz u −==,,则有z x u =∂∂,0=∂∂y u ,x z u =∂∂,0=∂∂x v ,1−=∂∂yv ,1=∂∂z v1zf F x −=2f F y =211f xf F z −−=x z∂∂z x F F −=2111f xf zf −−=y z∂∂2121f xf f −−−=7、设f 具有连续偏导数,方程0),,(=+++z y x y x x f 确定了),(y x f z =,求,x z ∂∂yz∂∂解:设=),,(z y x F ),,(z y x y x x f +++,321f f f F x ++=32f f F y +=3f F z =x z∂∂z x F F −=3321f f f f ++−=y z∂∂321f f f +−=8、求由方程组所确定的函数的导数或偏导数(1)、⎩⎨⎧=+++=203222222z y x y x z 求,x y ∂∂,xz∂∂解:对等式两边同时求关于x 的偏导数得⎪⎩⎪⎨⎧=∂∂+∂∂+∂∂+=∂∂064222x zz x y y x x y y x x z就是⎪⎩⎪⎨⎧−=∂∂+∂∂=∂∂−∂∂xx y y x z z x x y y x z2322解得13)13(222321222+=+=−−−=∂∂z xz y xy y z y y x y x x z )13(2)16(2321321++−=−−=∂∂z y z x y z y x z x x y (2)、⎪⎩⎪⎨⎧=++=+221222z y x z y x 求,dz dx ,dz dy解:对等式两边同时求关于z 的偏导数得⎪⎩⎪⎨⎧−=+=+122dzdy dz dx z dz dy y dz dxx解得)(221122112y x y z y x y z dz dx −+=−=)(221122112y x x z y x zx dz dy −+−=−=(3)、⎩⎨⎧=−+=−+0033x yu v y xv u 求,x u ∂∂,x v ∂∂解:对等式两边同时求关于x 的偏导数得⎪⎩⎪⎨⎧=−∂∂+∂∂=+∂∂+∂∂0130322xu y x v v v x vx x u u 就是⎪⎩⎪⎨⎧=∂∂+∂∂−=∂∂+∂∂13322x v v x u y v x v x x uu 解得xy v u x v v yxu v xv x u−+−=−=∂∂223222933331xy v u yv u v yx u yv u x v −+=−=∂∂222222933313(4)、⎩⎨⎧=+=+u y v x v u y x sin sin 求,y u ∂∂,yv∂∂解:对等式两边同时求关于y 的偏导数得⎪⎪⎩⎪⎪⎨⎧∂∂+=∂∂∂∂+∂∂=y u uy u y v v x yv y u cos sin cos 1即⎪⎪⎩⎪⎪⎨⎧−=∂∂−∂∂=∂∂+∂∂u y v v x y u u y y vy u sin cos cos 1解得:u y v x u v x v x u y v x u y u cos cos sin cos cos cos 11cos sin 11+−=−−−=∂∂u y v x u y u vx u y u u y y v cos cos cos sin cos cos 11sin cos 11++=−−=∂∂习题8.6解答1、求下列曲线在指定点的切线和法平面(1)、曲线t t z t y t x +===1,,2在点21,1,1(解:2)1(1)(,2)(,1)(t t z t t y t x +=′=′=′,从而得在点21,1,1(的切线的方向向量为⎭⎬⎫⎩⎨⎧=→41,2,1s ,于是得切线方程为:1218141−=−=−z y x ;法平面方程为021()1(8)1(4=−+−+−z y x ,即0252168=−++z y x (2)、曲线2sin 4,cos 1,sin t z t y t t x =−=−=在2π=t 的对应点解:2cos 2)(,sin )(,cos 1)(tt z t t y t t x =′=′−=′,2π=t 的对应点是点)22,1,12(−π,该的切线的方向向量为{2,1,1=→s ,于是得切线方程为:22211121−=−=−+z y x π;法平面方程为0)22(2)1()2(=−+−+−+z y x π,即02422=−−++πz y x (3)、曲线t z t t y t x 22cos ,cos sin 3,sin 2===在4π=t 的对应点解:t t z t t y t t t t x 2sin )(,2cos 3)(,2sin 2cos sin 4)(−=′=′==′,4π=t 的对应点是点)21,23,1(,该的切线的方向向量为{}1,0,2−=→s ,于是得切线方程为:12102321−−=−=−z y x ;法平面方程为021()1(2=−−−z x ,即0232=−−z x (4)、曲线t z tty t t t x =−=+=,1,12在)01,1(解:tt z t t y t t t t t x 21)(,1)(,)1(2)1(2)1(2)(222=′−=′+=+−+=′,1=t 对应着)01,1(,该的切线的方向向量为{}1,2,22121,1,1−=⎭⎬⎫⎩⎨⎧−=→s ,于是得切线方程为:11221−=−=−z y x ;法平面方程为0)1(2)1(2=−+−−z y x ,即0322=−+−z y x (5)、曲线⎩⎨⎧=−+−=−++0453203222z y x x z y x 在点)1,1,1(解:设x z y x z y x F 3),,(222−++=,4532),,(−+−=z y x z y x G 32−=x F x ,y F y 2=z F z 2=于是{}2211−=→n 2=x G ,3−=y G 5=z G 于是{}5322−=→n 所以切线的方向向量{}191653222121−=−−=×=→→→→→→kj i n n s 于是得切线方程为:1191161−−=−=−z y x ;法平面方程为0)1()1(9)1(16=−−−+−z y x ,即024916=−−+z y x (6)、曲线⎩⎨⎧=+=+222222z x y x 在点)1,1,1(解:设2),,(22−+=y x z y x F ,2),,(22−+=z x z y x G x F x 2=,y F y 2=0=z F 于是{}01121=→n x G x 2=,0=y G z G z 2=于是{}10122=→n 所以切线的方向向量{}11110101121−−==×=→→→→→→k j i n n s 0是得切线方程为:111111−−=−−=−z y x ;法平面方程为0)1()1()1(=−−−−−z y x ,即01=+−−z y x 2、在曲线32,,t z y t x ===上求一点,使在该点的切线与平面102=++z y x 平行解:已知平面的法向为{}121=→n ,曲线的切线的方向{}2321t ts =→,由题设可知•→n 0=→s 即03412=++t t 解得31,121−=−=t t ,所求的点是)1,1,1(−−或者)271,91,31(−−3、求下列曲面在指定点的切平面和法线(1)、zxy z ln+=在点)1,1,1(解:zzxy z y x F −+=ln ),,(,1x F x =,1=y F ,11−−=zF z 切平面的法向为{}211−=→n ,切平面为0)1(2)1()1(=−−−+−z y x 即02=−+z y x 法线为211111−−=−=−z y x (2)、22y x z +=在点)5,1,2(解:zy x z y x F −+=22),,(,2x F x =,2y F y =,1−=z F 切平面的法向为{}124−=→n ,切平面为0)5()1(2)2(4=−−−+−z y x 即0524=−+y x 法线为152142−−=−=−z y x (3)、3=+−xy z e z 在点)0,1,2(解:=),.(z y x F 3−+−xy z e z ,y F x =,x F y =,1−=zz e F 切平面的法向为{}021=→n ,切平面为0)1(2)2(=−+−y x 即042=−+y x 法线为2112zy x =−=−5、在曲面xy z =上求一点,使在该点的法线垂直于平面093=+++z y x 平行解:所求法线的方向为{}131=→n 设=),.(z y x F zxy −,y F x =,x F y =,1−=z F 切平面的法向为{}1−=→x yn ,于是有向量{}131=→n {}1−=x y λ所以1131−==x y 得3,1,3=−=−=z y x ,所求的点是()313−−。