(完整版)《高等数学(下册)》第八章练习题及答案
- 格式:doc
- 大小:236.66 KB
- 文档页数:6
习题8.11.判定下列平面点集D 中哪些是开集、闭集、区域、有界集、无界集?并指出集合的边界.(1){}(,)0,0x y x y ≠≠;(2){}2(,)2x y y x <-;(3){}2222(,)12)9x y x y x y +≥-+≤且(.(4){}22(,)14x y x y <+≤;解 (1)集合是开集,无界集; 边界为{(,)0x y x =或0}y =,但不是区域.(2)集合是开集,区域,无界集;边界为2{(,)2}x y y x =-. (3)集合是闭集,闭区域,有界集;边界为2222{(,)1}{(,)(2)9}x y x y x y x y +=-+=(4)集合既非开集,又非闭集,是有界集;边界为2222{(,)1}{(,)4}x y x yx y x y +=+=.2.设(,)2f x y xy =,证明:2(,)(,)f txty t f x y =.证明略.3.设y f x ⎛⎫=⎪⎝⎭(0)x >,求()f x . 解 ()f x =. 4.求下列各函数的定义域:(1)2222x y z x y +=-; (2)ln()arcsin y zy x x =-+;(3)z =; (4)u =.解 (1)定义域为{}(,)x y y x ≠±; (2)定义域为{}(,),(0)x y x y x x <≤-<;习题8-1(3)图(3)定义域为2222(,)1x y x y a b ⎧⎫+≤⎨⎬⎩⎭; (4)定义域为{}22222(,,)0,0x y z x y z x y +-≥+≠;5.求下列各极限:(1)22(,)(0,1)lim x y x xy y x y→+++; (2)(,)1limx y xy →; (3)(,)(0,0)lim x y → (4)(,)(0,3)tan()lim x y xy x→; (5)1(,)(0,2)lim (1)xx y xy →+; (6)22(,)(,)lim()x y x y x y e --→+∞+∞+.解:(1)1;(2)0;(3)1/2;(4)3;(5)2e ;(6)0. 6. 讨论二元函数222222,0,(,)0,0.xyx y x yf x y x y ⎧+≠⎪+=⎨⎪+=⎩当(,)(0,0)P x y O →时极限是否存在.解 此二重极限(,)(0,0)lim (,)x y f x y →不存在.7.证明下列极限不存在:(1)2222(,)(0,0)lim x y x y x y →-+.证明略.8.用二重极限定义证明:(,)lim0x y →=.证 略. 9. 求(,)(1,0)ln(e )limy x y x →+.解(,)lim (1,0)ln 2y x y f →==.10.指出下列函数在何处间断: (1)22ln()z x y =+; (2)221z y x =-.解(1)函数在(0,0)处无定义,故该点为函数22ln()z x y =+的间断点; (2)两条直线,y x y x ==-上的点均为函数221z y x=-的间断点. 11. 讨论二元函数2222422,0,(,)0,0.xy x y x y f x y x y ⎧+≠⎪+=⎨⎪+=⎩在点(0,0)O 是否连续.解:可以证明,当(,)(0,0)P x y O →时极限不存在,所以,(,)f x y 在点(0,0)O 不连续.习题8.2解答1.设(,)z f x y =在00(,)x y 处的偏导数分别为00(,)x f x y A =,00(,)y f x y B =,问下列极限是什么?(1)00000(,)(,)limh f x h y f x y h →+-; (2)00000(,)(,)lim h f x y f x y h h→--;(3)00000(,2)(,)lim h f x y h f x y h →+-; (4)00000(,)(,)lim h f x h y f x h y h→+--.解 (1)A;(2)B ;(3)2B;(4)2A. 2.求下列函数的一阶偏导数: (1)2x z x y =-; (2)lnsin x z y=; (3)sin ex yz =; (4)22x y z xy+=;(5)222ln()z x x y =+; (6)z = (7)(1)yz xy =+; (8)arctan()zu x y =- 解(1)212,z z x x x y y y∂∂=-=∂∂;(2)12sin 2z x x y y ∂=∂,22sin2z x xy y y ∂=-∂; (3)sin sin x y z e y x ∂=∂,sin cos x y zxe y y∂=∂; (4)21z y x y x∂=-∂,21z x y x y ∂=-∂;(5)3222222ln()z x x x y x x y ∂=++∂+,2222z x y y x y∂=∂+; (6)z x ∂=∂,z y ∂=∂; (7)21(1)y z y xy x -∂=+∂,z y ∂∂ (1)ln(1)1y xy xy xy xy ⎡⎤=+++⎢⎥+⎣⎦; (8)12()1()z z u z x y x x y -∂-=∂+-, 12()1()z z u z x y y x y -∂-=-∂+-, 2()ln()1()z zu x y x y z x y ∂--=∂+-; (9)zx u y ⎛⎫= ⎪⎝⎭;1z u z x x y y -⎛⎫∂= ⎪∂⎝⎭,z u z x yy y ⎛⎫∂=- ⎪∂⎝⎭,ln zu x xy y y⎛⎫∂=⋅ ⎪∂⎝⎭. (10)sec()z xy =;tan()sec()z y xy xy x ∂=∂,tan()sec()zx xy xy y∂=∂ 3. 设23(,)f x y x y =,求(,)x f x y ,(,)y f x y ,(1,1)x f ,(2,2)y f . 解:33(1,1)2112x f =⋅⋅=,22(2,2)32248y f =⋅⋅=.4. 设2222(,)()ln()arctan e x y y f x y x y x y x +⎛⎫=-++ ⎪⎝⎭,求(1,0)x f .解 2111d d(1,0)(,0)(ln )(2ln )1d d x x x x f f x x x x x x x x ======+=.若用(1,0)(1,0)(,)x f f x y x∂=∂,也可求(1,0)x f ,但较麻烦.5.设2(,)(f x y x y =+-(,1)x f x . 解:(,1)()1x f x x '==.6.设2(,)cos xt yf x y etdt -=⎰,求(,)x f x y ,(,)y f x y .解 2(,)cos x x f x y ex -=,2(,)cos y y f x y e y -=-.7.22,88x y z x ⎧+=⎪⎨⎪=⎩在点(8,4,10)处的切线与y 轴正向所成的倾角是多少? 解 倾角4πα=.8.求下列函数的全微分: (1)2222x yu x y-=+; (2)2222()e x y xyz x y +=+;(3)sin e 2yz yu x =++; (4)ey xz -=;(5)yz x =; (6)222ln()u x y z =++.解 (1)()22224u xy x x y ∂=∂+,()22224u x yy x y ∂=∂+,()2224d ()xy u ydx xdy x y =-++. (2)224422x y xyz x y e x xx y +⎛⎫∂-=+ ⎪∂⎝⎭, 224422x y xyz y x e y y xy +⎛⎫∂-=+ ⎪∂⎝⎭, dz )d d y x x y =-;(3)解 因为1u x ∂=∂,1cos e 22yz u y z y ∂=+∂,e yz uy z ∂=∂, 所以 1d d cos e d e d 22yz yz y u x z y y z ⎛⎫=+++ ⎪⎝⎭.(4)d z 21e ()yxxdy ydx x-=--;(5)1,ln y y u uyx x x x y-∂∂==∂∂,1dz d ln d y yz u u dx dy yx x x x y x y -∂∂=+=+∂∂. (6)d u 2222(d d d )x x y y z z x y z=++++; 9.求下列函数的全微分:(1)2sin z x y =在点1,4π⎛⎫⎪⎝⎭处的全微分;(2)2arcsinxz y=在点 (1,1) 处的全微分. 解 (1)d z x y =+. (2))22232222d ()d 2d 6x y x y dx xdy z x y y y ======-=-. 10.求函数22xyz x y=-当2x =,1y =,0.01x ∆=,0.03y ∆=时的全微分和全增量,并求两者之差.解 ()()()2332222(,)(2,1)0.01,0.030.25d 0.0277779x y x y x y y x+x +xy yz x y =∆=∆=--∆∆==≈-, 全增量为()()()()2222(,)(2,1)0.010.030.028252x y x y x x y y xy z x y x x y y =∆=∆=⎡⎤+∆+∆∆=-≈⎢⎥-+∆-+∆⎢⎥⎣⎦, 全增量与全微分之差为d 0.0282520.0277770.000475z z ∆-≈-=.11.计算 3.02(1.99) 的近似值.(取ln2=0.693)解 设函数 (,)yf x y x =.显然,就是要求函数值(1.99,3.02)f .取 2,3,0.01,0.02x y x y ==∆=∆= ,故 (1.99,3.02)8120.01 5.5440.0f ≈+⨯+⨯≈.习题8.3解答1.求函数z =(1,2)处沿从点(1,2)到点(2,2的方向的方向导数.解(1,2)12z l ∂=+=∂2.求函数2tan()z x y =在点(1,)4π处沿与x 轴正向夹角为60的方向的方向导数. 解(1,)41222z l πππ∂=⋅+=∂3.求函数222(,,)f x y z x y z =++沿着点(1,1,1)A 到点(2,0,1)B 的方向导数.解2220)f z x y l ∂=⋅=-∂. 4.设函数r ,求r 沿从原点O 至任意点(,)P x y 的方向导数. 解cos cos 1r x y x x y yl r r r r r rαβ∂=+=⋅+⋅=∂. 5. 求函数222(1)2(1)3(2)6u x y z =-+++--在点(2,0,1)处沿向量(1,2,2)--的方向导数. 解(2,0,1)12224(6)2333u l ∂⎛⎫⎛⎫=⋅+⋅-+-⋅-= ⎪ ⎪∂⎝⎭⎝⎭.6.求函数222u x y z =++在曲线x t =,2y t =,3z t =上点(1,1,1)处,沿曲线在该点的切线正方向(对应于t 增大的方向)的方向导数. 解(1,1,1)222u ∂=+=∂T7. 求函数221z x y =+在点(1,1)处的梯度.解 11(1,1)22z =--grad i j .8. 求函数2sin u x y z =在任意点(,,)x y z 处的梯度. 解 22(,,)2sin sin cos u x y z xy z x z x y z =++grad i j k .9.求函数u xy yz zx =++在点(1,2,3)处的梯度. 解 (1,2,3)(1,2,3)(1,2,3)(1,2,3)543u u uu x y z ∂∂∂=∂∂∂grad i +j +k =i +j +k .10.一个徙步旅行者爬山,已知山的高度满足函数22100023z x y =--,当他在点(1,1,995)处时,为了尽可能快地升高,他应沿什么方向移动?解 (1,1)(1,2,3)(1,1)46z z z x y ∂∂=--∂∂grad i +j =i j 由梯度的意义可知,沿梯度(4,6)--方向能尽快地升高.11.设u ,v 都是x ,y ,z 的函数,u ,v 的各偏导数都存在且连续,证明: (1)()u v u v +=+grad grad grad ; (2)()uv v u u v =+grad grad grad ; (3)2()2u u u =grad grad .证 (1)()u v +grad u v =+grad grad ;(2)()uv grad v u u v =+grad grad (3)2()2.u u u =grad grad .习题8.4解答1.设tan 2cos ex yu -=,2x t =,3y t =,求d d u t. 解 3tan22cos 2232e (sec 23sin )t t t t t -=+.2. 设(,,)2z f x y t xy t ==+,sin x t =,cos y t =,求d d z t. 解 3. 3.设221z u v =+,cos u x y =,sin v x y =,求z x ∂∂,zy∂∂.解z x ∂∂2232222(cos sin )(cos sin )y y x y y =-+, z y ∂∂32222(cos sin sin cos )0(cos sin )x y y x y y x y y =-+=+.4.设z v =,而2u x y =-,y v x =,求z x ∂∂,z y∂∂.解zx ∂∂=z y ∂=∂. 5. 设(,,)ln(sin tan )u f x y z y x z ==+,ex yz -=,求z x ∂∂,zy∂∂. 解 u x ∂∂2cos e sec e sin tan ex y x yx yy x y x ---+=+, u y ∂∂2sin e sec e sin tane x y x yx yx y x ----=+. 6.设222sin()u x y z =++,x r s t =++,y rs st tr =++,z rst =,求u r ∂∂,us∂∂,u t∂∂. 解u r∂∂222222()()cos ()()()r s t rs st tr s t rs t r s t rs st tr rst ⎡⎤⎡⎤=+++++++++++++⎣⎦⎣⎦, u s∂∂222222()()cos ()()()r s t rs st tr r t r st r s t rs st tr rst ⎡⎤⎡⎤=+++++++++++++⎣⎦⎣⎦, ut∂∂222222()()cos ()()()r s t rs st tr r s r s t r s t rs st tr rst ⎡⎤⎡⎤=+++++++++++++⎣⎦⎣⎦. 7.求下列函数的一阶偏导数(其中f 具有一阶连续偏导数): (1)22(,)x z f x y e =-; (2),x y u f y z ⎛⎫=⎪⎝⎭; (3)32(,,)u f x x y xyz =; (4)(ln )u f xy =. 解(1)122x z xf e f x ∂''=+∂,12zyf y∂'=-∂; (2)1f u x y '∂=∂,1221u x f f y y z∂''=-+∂,22u y f z z ∂'=-∂; (3)212332u x f xyf yzf x ∂'''=++∂,223u x f xzf y∂''=+∂,3u xyf z ∂'=∂; (4)11(ln ),(ln )u u f xy f xy x x y y∂∂''==∂∂. 8.设()z xy xF u =+,而yu x=,()F u 为可导函数,证明: z zxy z xy x y∂∂+=+∂∂. 证 略.9.设[cos()]z y x y ϕ=-,试证:z z zx y y∂∂+=∂∂. 证略. 10.设,kz y u x F x x ⎛⎫=⎪⎝⎭,且函数,z y F x x ⎛⎫⎪⎝⎭具有一阶连续偏导数,试证: u u uxy z ku x y z∂∂∂++=∂∂∂.证略.11.设sin (sin sin )z y f x y =+-,试证:sec sec 1z zxy x y∂∂+=∂∂. 证略.习题8.5解答1.验证方程22194x y +=在点(0,2)的某邻域内能唯一确定一个有连续导数,且当0x =时2y =的隐函数()y f x =,并求这函数的一阶导数与二阶导数在0x =处的值.解:0;-2/9. 2.设2e 0xyx y -=,求d d y x. 解 2d 2e .d exyxy y xy y x x x -=- 3.设arctanx y =dxdy. 解:x y y x+-. 4 验证方程224x y z ++=在点(1,1,2)-的某一邻域内能唯一确定一个连续且具有连续偏导数的函数(,)z f x y =;求z x ∂∂,z y∂∂, 在1,1x y ==-处的值. 解(1,1)2zx -∂=-∂,(1,1)2z y -∂=∂. 5.设方程222(,)0F x y z x y z +-++=确定了函数(,)z z x y =,其中F 存在偏导函数,求z x ∂∂,zy∂∂. 解 121222F xF z x F zF ''+∂=∂''-,121222F yF z y F zF ''+∂=∂''-. 6.证明题:(1).设由方程(,,)0F x y z =分别可确定具有连续偏导数的函数(,)x x y z =,(,)y y x z =,(,)z z x y =,证明:1x y zy z x∂∂∂⋅⋅=-∂∂∂.(2).设x yexy +=,验证222223[(1)(1)](1)d y y x y dx x x -+-=--. 证略.7.求由方程xyz (,)z z x y =在点(1,0,1)-处的全微分d z .解 222222222222()()d d d ()()yz x y z x xz x y z yz x y xy x y z z xy x y z z++++++=--++++++,(1,0,1)d d 3d z x y -=--. 8.求由下列方程组所确定的函数的导数或偏导数:(1)设22222,43636,z x y x y z ⎧=+⎪⎨++=⎪⎩求d d y x ,d d z x ; (2)设0,1,xu yv yu xv -=⎧⎨+=⎩求u x ∂∂,u y ∂∂,v x ∂∂,vy∂∂;(3)设sin ,cos ,uux e u v y e u v ⎧=+⎪⎨=-⎪⎩求u x ∂∂,u y ∂∂,v x ∂∂,vy ∂∂. 解 (1)2136d 72(721)d 7244(181)xx z yxz x x z x D yz y y z ------+===++. 224d 283d 724362y xy x z xy xy xx D yz y z ---+===++. (2)22u xv yu y x y∂-=∂+,22v xu yvy x y ∂+=-∂+. (3)1cos 1(,)1sin 0sin (,)(sin cos )1uu v u F G vu v x J x v J e v v -∂∂=-=-=-∂∂-+, 0cos 1(,)1cos 1sin (,)(sin cos )1uu v u F G vu v y J y v J e v v -∂∂-=-=-=-∂∂-+, sin 11(,)1cos (,)[(sin cos )1]cos 0u uu ue v v F G v e x J u x J u e v v e v --∂∂-=-=-=∂∂-+-+, sin 01(,)1sin (,)[(sin cos )1]cos 1u uu ue v v F G v e x J u x J u e v v e v --∂∂+=-=-=∂∂-+-+. 习题8.6解答1. 求2sin (2)z x y =+的二阶偏导数.解 2sin(2)cos(2)sin(24)zx y x y x y x ∂=++=+∂,2sin(2)cos(2)22sin(24)zx y x y x y y∂=++⋅=+∂,22[sin(24)]2cos(24)z x y x y x x ∂∂=+=+∂∂,2[sin(24)]4cos(24)z x y x y x y y∂∂=+=+∂∂∂, 2[2sin(24)]4cos(24)z x y x y y x x∂∂=+=+∂∂∂, 22[2sin(24)]8cos(24)z x y x y y y∂∂=+=+∂∂. 这里的两个二阶混合偏导数是相等的.2.求下列函数的二阶偏函数:(1)已知33sin sin z x y y x =+,求2z x y ∂∂∂; (2)已知ln xz y =,求2z x y∂∂∂;(3)已知ln(z x =+,求22z x ∂∂和2zx y∂∂∂;(4)arctan y z x =,求22z x ∂∂、22z y ∂∂、2z x y ∂∂∂和2zy x∂∂∂.解(1)233sin cos z x y y x x ∂=+∂,2223cos 3cos z x y y x x y∂=+∂∂; (2)ln ln x z y y x x∂=∂, 2ln 11(1ln ln )x z y x y x y x-∂=+∂∂; (3)z x ∂=∂ ()232222z xxxy∂-=∂+,()23222z yx yxy∂-=∂∂+;(4)22z y x x y ∂=-∂+,22z x y x y∂=∂+, ()222222z xy x x y ∂=∂+,()222222z xyy x y ∂-=∂+,()222222z y x x y x y ∂-=∂∂+,()222222z y x y x x y ∂-=∂∂+. 3.验证: (1)2esin kn ty nx -=满足22y y k t x∂∂=∂∂;(2)r =2222222r r r x y z r∂∂∂++=∂∂∂.(3)lnz =22z x ∂∂+22zy∂∂=0.证 略.4.求下列函数的二阶偏导数22z x ∂∂,2z x y ∂∂∂,22zy∂∂(其中f 具有二阶连续偏导数):(1)(,)z f xy y =; (2)22()z f x y =+; (3)22(,)z f x y xy =; (4)(sin ,cos ,)x y z f x y e +=.解 (1)22112z y f x∂''=∂, 211112z z f xyf yf x y y x ∂∂∂⎛⎫'''''==++ ⎪∂∂∂∂⎝⎭,2211122222zx f xf f y∂''''''=++∂. (2)22224z f x f x ∂'''=+∂,24z xyf x y ∂''=∂∂,22224z f y f y∂'''=+∂.(3)2432221112222244z yf y f xy f x y f x∂'''''''=+++∂ 232231211122222252zyf xf xy f x y f x yf x y∂''''''''=++++∂∂ 2223411112222244zxf x y f x yf x f y∂'''''''=+++∂ (4)()222311113332sin cos 2cos x y x y x y z e f xf xf e xf e f x+++∂''''''''=-+++∂()22312133233cos sin cos sin x y x y x y x y ze f x yf e xf e yf e f x y ++++∂'''''''''=-+-+∂∂ ()222322223332cos sin 2sin x y x y x y ze f yf yf e yf e f y+++∂''''''''=-+-+∂5. 设333z xyz a -=,求22zx∂∂.解 232232()z xy z x z xy ∂=-∂-.6.设(,)z z x y =是由方程2cos sin 0z x z y --=所确定的隐函数,求2(0,1)zx y∂∂∂.解2(0,1)0z x y∂=∂∂.7.设x y u yf xg y x ⎛⎫⎛⎫=+⎪ ⎪⎝⎭⎝⎭,其中函数,f g 具有二阶连续导数,试证:2220u ux y x x y∂∂+=∂∂∂.证明略.习题8.7解答1.求下列曲线在指定点处的切线方程和法平面方程:(1)在4πθ=的对应点处; (2)11x t =+,11t y t+=-,2z t =在t=0的对应点处; (3)2226x y z ++=,0x y z ++=在点(1,2,1)-处;(4)2222100,100,x y y z ⎧+-=⎪⎨+-=⎪⎩在点(1,1,3)处. 解 (1)切线方程为 44z b bπ-==. 法平面方程为 240bz b π--+=.cos sin x a y a z b θθθ===(2)切线方程为 110120x y z ---==-, 即210x y z +-== .法平面方程为 (1)2(1)0x y --+-=, 即 210x y --= . (3) 切线方程为121101x y z -+-==-, 法平面方程为1(1)0(2)(1)(1)0x y z ⋅-+⋅++--=,2.在曲线x t =,212y t =,3z t =上求一点,使此点的切线平行于平面230x y z -+-=.解 所求点为111(,,)288或111,,3927⎛⎫--⎪⎝⎭. 3.求下列曲面在指定点处的切平面和法线方程: (1)22z x xy y =++在点(1,1,3)M 处; (2)22ln(12)z x y =++在点(1,1,ln 4)处;(3)ln()z xy = 在点()2,,3e e 处..解(1)切平面方程为3330x y z +--=. 法线方程为113331x y z ---==-. (2)切平面方程为 2234ln 20x y z +--+=. 法线方程为 12ln 2122y z x ---==-. (3)切平面方程为220ex y e z e +-+=.4.求曲面2222x y z ++=上平行于平面40x y z +-=的切平面方程.解 切平面方程为 1213x y --=,或1213x y --=-. 5.证明:曲面(,)0F x az y bz --=上任意点处的切平面与直线x yz a b==平行(a ,b 为常数,函数(,)F u v 可微). 证 略.6.求旋转椭球面222316x y z ++=上点(1,2,3)--处的切平面与xOy 面的夹角的余弦. 解 1212cos θ⋅===n n n n . 7.证明曲面3xyz a =(0a >,为常数)的任一切平面与三个坐标面所围成的四面体的体积为常数.证 33331333962a a a V a yz xz xy =⋅⋅⋅=.习题8.8解答1.设0a >,求函数33(,)3f x y axy x y =--的极值.解 极大值3(,)f a a a =.2.求函数22(,)(6)(4)f x y x x y y =--的极值. 解 22(,)(6)(4)f x y x x y y =--的极大值为(3,2)36f =.3. 将一宽为24cm 的长方形铁皮的两边折起,做成一个断面为等腰梯形的水槽(如图),问怎样能使此水槽的断面面积达到最大?问题的目标函数(即需要求最值的函数)1(,)[(242)(2422cos )]sin 2(242cos )sin .A x x x x x x x x θθθθθ=-+-+=-+ 问题是求二元函数(,)A x θ在区域(,)012,02D x x θθπ⎧⎫=<<<≤⎨⎬⎩⎭内的最大值.当8x =厘米,3θπ=时断面面积(,)A x θ达到最大值. 4.求函数221z x y =++在指定条件30x y +-=下的条件极值. 解 本题属条件极值问题,易将它化为无条件极值问题.条件30x y +-=可以表示成3y x =-,代入221z x y =++,则问题化为求22(3)1z x x =+-+的极大值.32x =为极小值点,极小值为2233111222z ⎛⎫⎛⎫=++= ⎪ ⎪⎝⎭⎝⎭.5. 求函数u xyz =在附加条件1111(0,0,0,0)x y z a x y z a++=>>>> (1) 下的极值.解 作拉格朗日函数.1111(,,)()L x y z xyz x y z aλ=+++-.故(3,3,3)a a a 是函数u xyz =在条件(1)下唯一的驻点.极值为327a . 6.求周长为定值2a 的矩形面积的最大值.解 设矩形长、宽分别为x ,y ,则其面积为S xy =,且满足条件:222x y a x y a +=⇔+=,构造拉格朗日函数(,)()L x y xy x y a λ=-+- .最大值为2(,)224a a a S =.7. 要用铁板做一个体积为常数V 的有盖长方体水箱.问水箱各边的尺寸为多少时,用料能最省.解 设水箱的长、宽、高分别为x ,y ,z ,则问题是求表面积函数2()S xy yz zx =++在约束条件xyz V =下的最小值(0x >,0y >,0z >).构造拉格朗日函数(,,)2()()L x y z xy yz zx xyz V λ=+++-,(,,)x y z =是唯一可能的最值点,因此它就是所求的最小值点.8. 求表面积为2k 而体积为最大的长方体的体积.解 设长方体的三条棱长分别为,,x y z ,则问题求函数,(0,0,0)V xyz x y z =>>>在满足条件条件2(,,)2()0x y z xy yz xz k ϕ=++-= (2)下的最大值.作拉格朗日函数2(,,)[2()]L x y z xyz xy yz xz k λ=-++-,)是函数V xyz =在条件(2)下唯一的驻点. 此点就是所求的最大值点.即表面积为2k的长方体的体积体积为最大,最大的体积3V =.9.在直线20,27y x z +=⎧⎨+=⎩上找一点,使它到点(0,1,1)-的距离最短,并求最短距离.解 设所求的点为(,,)x y z ,则此点到点(0,1,1)-的距离为u =作拉格朗日函数222(,,)(1)(1)(2)(27)L x y z x y z y x z λμ=+++-++++-,1,2,3,x y z =⎧⎪=-⎨⎪=⎩由于驻点惟一,根据问题本身可知,距离的最小值必定存在,最短距离为=第8章复习题A 解答1.选择题:考虑二元函数(,)f x y 的下面4条性质: (1)(,)f x y 在点00(,)x y 处连续;(2)(,)f x y 在点00(,)x y 处的两个偏导数连续; (3)(,)f x y 在点00(,)x y 处可微;(4)(,)f x y 在点00(,)x y 处的两个偏导数存在.若P Q ⇒表示可由性质P 推出性质Q ,则有( ).(A ). (2)(3)(1)⇒⇒; (B ). (3)(2)(1)⇒⇒; (C ). (3)(4)(1)⇒⇒; (B) . (3)(1)(4)⇒⇒.答案:A.2.在“充分”、“必要”和“充分必要”三者中选择一个正确的填入下列空格内: (1)(,)f x y 在点(,)x y 可微分是(,)f x y 在该点连续的 条件,(,)f x y 在点(,)x y 连续是(,)f x y 在该点可微分的 条件.(2)(,)z f x y =在点(,)x y 的偏导数z x ∂∂及zy∂∂存在是(,)f x y 在该点可微分的 条件.(,)z f x y =在点(,)x y 可微分是函数在该点的偏导数z x ∂∂及z y∂∂存在的 条件.(3)(,)z f x y =的偏导数z x ∂∂及z y∂∂在点(,)x y 存在且连续是(,)f x y 在该点可微分的 条件.(4)函数(,)z f x y =的两个二阶混合偏导数2z x y ∂∂∂及2zy x∂∂∂在区域D 内连续是这两个二阶混合偏导数在D 内相等的 条件.答案:(1)充分,必要;(2)必要,充分;(3)充分;(4)充分; 3. 设(,,(,),(,))0F x y u x y v x y ≡, (,,(,),(,))0G x y u x y v x y ≡, 将上式两边对x 求偏导,得0,0.x u v x u v u v F F F x x u v G G G x x ∂∂⎧++=⎪⎪∂∂⎨∂∂⎪++=⎪∂∂⎩ 可以求得:u x ∂∂= ; vx∂∂= .答案:x vx v u v u v F F G G u F F x G G --∂=∂,u xu xu v u vF FG G v F F x G G --∂=∂. 4.设3223(,)f x y x y x x y xy y +-=+--,求(,)f x y .解 2(,)f x y x y =. 5. 求下列极限问题:5-1.(,)(2,0)sin()lim x y xy y →;5-2.2(,)limy x y →;5-3.(,)(0,0)limx y xy e→+.解5-1. 2; 5-2.解10ln 2y x y →→=.5-3.解 1/2..6.讨论函数2(,)x f x y xy x y =+-当(,)(0,0)x y →时的极限存在性.解2(,)(0,0)lim x y x xy x y→+-不存在. 7.讨论下面函数的连续性:2tan(),0,(,),0.x y y f x y yx y ⎧≠⎪=⎨⎪=⎩解 函数处处连续.8.设(,)ln 2y f x y x x ⎛⎫=+⎪⎝⎭,求(1,0)x f ,(1,0)y f . 10(1,0)110212x f ⎛⎫=⋅-= ⎪⎝⎭+,111(1,0)02212y f =⋅=+ 9.求下列函数的一阶偏导数: 9-1.ln tanx z y=;9-2.u = 9-3.e xyz =; 9-4 zy u x ⎛⎫= ⎪⎝⎭;9-5.(1)xz xy =+;解 9-1.21cot sec z x x x y y y∂=∂, 22cot sec z x x x y y y y∂=-∂;9-2.u x ∂=∂,u y ∂=∂;u z ∂=∂. 9-3.xy xy z e y ye x ∂=⋅=∂,xy xy ze x xe y∂=⋅=∂; 9-4 1z u z y x x x -∂⎛⎫= ⎪∂⎝⎭,zu z y y x x ∂⎛⎫=- ⎪∂⎝⎭,ln zu x xz y y⎛⎫∂=⋅ ⎪∂⎝⎭.10.设yxz xy xe =+,证明z zx y xy z x y∂∂+=+∂∂. 解略.11.求下列函数的偏导数11-1.求函数2ln()z x y =+的二阶偏导数.11-2.设e sin u z v =,u xy =,v x y =+,求zx ∂∂,z y∂∂. 11-3.设222(,,)e x y z u f x y z ++==,2sin z y x =,求ux∂∂,u y ∂∂.解 11-1. 21z x x y ∂=∂+,()22221z x x y ∂=-∂+,22z yy x y∂=∂+, 222222()()z x y y x y ∂-=∂+,2222()z yx y x y ∂=-∂∂+; 11-2.e sin e cos 1u u z z u z vv y v x u x v x∂∂∂∂∂=+=⋅+⋅∂∂∂∂∂ e [sin()cos()]xy y x y x y =+++, e sin e cos 1u u z z u z v v x v y u y v y ∂∂∂∂∂=+=⋅+⋅∂∂∂∂∂e [sin()cos()]xy x x y x y =+++; 11-3.zx∂∂ 2242sin 42e (cos sin )x y y xx y x x ++=+,zy∂∂2242sin 222e (12sin )x y y xy y x ++=+.12.求下列函数的全微分:12-1.22ln(1)z x y =++在1x =,2y =处的全微分;12-2.设(,)z z x y =是由方程222z x y z ye ++=所确定的隐函数,求dz ; 12-3.设y z x u x y z =,求du . 解 12-1.因为d z =221(2d 2d )1x x y y x y +++所以 12112d (2d 4d )d d 633x y z x y x y ===+=+. 12-2.由2d 2d 2d d d zzx x y y z z e y ye z ++=+,得 22d d d 22zzz x y e z x y ye z ye z-=+--; 12-3.由ln ln ln ln u y x z y x z =++知,d u ln d ln d ln d y z x y z x x y z z x x y y z x y z ⎡⎤⎛⎫⎛⎫⎛⎫=+++++⎢⎥ ⎪ ⎪ ⎪⎝⎭⎝⎭⎝⎭⎣⎦. 13. 设2,,x s f x xyz y ⎛⎫= ⎪⎝⎭,求s x ∂∂,s y ∂∂,sz ∂∂.解 令2u x =,xv y=,, w xyz = 则函数关系示意图如图8.4-5,于是12u v ws s u s v s w xf f yzf x u x v x w x y∂∂∂∂∂∂∂'''=++=++∂∂∂∂∂∂∂, 2v ws s v s w xf xzf y v y w y y∂∂∂∂∂''=+=-+∂∂∂∂∂, ws s wxyf z w z∂∂∂'==∂∂∂. 其中u f ',v f ',wf '分别表示函数对第一、第二、第三个中间变量求偏导数. 14. 设222,x z f x xy y y ⎛⎫=-- ⎪⎝⎭且f 具有一阶连续偏导数,求zx ∂∂与z y ∂∂.解1212()z x y f f x y ∂''=-+∂,1222()z x x y f f y y ⎡⎤∂''=-++⎢⎥∂⎣⎦.其中1f ',2f '分别表示函数对第一、第二个中间变量求偏导数.15.设x y u yf xg y x ⎛⎫⎛⎫=+ ⎪ ⎪⎝⎭⎝⎭,其中函数,f g 具有二阶连续导数,求222u u x y x x y ∂∂+∂∂∂.解 2220.u ux y x x y∂∂+=∂∂∂16.求空间曲线2x t =,1y t =-,3z t =在(1,0,1)处的切线与法平面. 解 切线方程为11213x y z --==-. 法平面方程为2(1)3(1)0x y z --+-=,即 2350x y z -+-=.17. 求曲面222327x y z +-=在点(3,1,1)处的切平面方程和法线方程. 解 切平面方程为9(3)(1)(1)0x y z -+---=,即 9270x y z +--=.法线方程为311911x y z ---==-. 18. 设从x 轴的正向到l 的转角为θ,求函数22u x xy y =-+在点(1,1)M 处沿l 方向的方向导数(1,1)ul∂∂,并问θ取何值时,方向导数(1,1)u l∂∂:(1)具有最大值;(2)具有最小值;(3)等于零.解 故(1)当π4θ=时,u l ∂∂(2)当5π4θ=时,u l∂∂取得最小值图8.4-5(3)当3π4θ=或7π4θ=时,0.ul∂=∂ 19.在已知的圆锥内嵌入一个长方体,如何选择其长、宽、高,使它的体积最大. 解 设圆锥的底半径为R ,高为h ,以底面圆心为坐标原点,底面圆心到顶点射线方向为z 轴正方向,建立坐标系,则圆锥的表面方程为z h -=, 长方体的体积则为224.V x y z xyz =⨯⨯=3x y R==,13z h =,此时,2max 827V R h =. 20.求函数22221x y z ab ⎛⎫=-+ ⎪⎝⎭在点处沿曲线22221x y a b +=在这点的内法线方向的方向导数.解z l a b ⎛⎫⎛⎫∂=--=∂⎝⎝.第8章复习题B 解答1.求极限222(,)(,)limx x y xy x y →+∞+∞⎛⎫ ⎪+⎝⎭. 解222(,)(,)lim0x x y xy x y →+∞+∞⎛⎫= ⎪+⎝⎭. 2.设2242424,0,(,)0,0.xy x y x y f x y x y ⎧+≠⎪+=⎨⎪+=⎩试证明函数(,)f x y 在(0,0)处偏导数存在,但不连续. 证 略.3.设22220,(,)0,0.x y f x y x y +≠=+=⎩试证明(,)f x y 在(0,0)处连续且偏导数存在,但不可微分. 证 略.4.设arctanxz y=,x u v =+,y u v =-,求z u ∂∂,z v ∂∂,并验证:22z z u vu v u v∂∂-+=∂∂+. 解 略.5.设222(,,)f x y z xy yz zx =++,求(0,0,1xx f ,(1,0,2)xz f ,(0,1,0)yz f -及(2,0,1)zzx f .解 (0,0,1)2xx f =,(2,0,1)4xy f =,(1,0,2)2xz f =,(0,1,0)0yz f -=,(2,0,1)0zz f =.6.设arcsin(0)xz y y=>,求dz.解21d d d x z x y y y ⎫=-⎪⎭7.设yzu x =,求du. 解 ()1d dl n d l n dyz u x yz x xz x y xyx z -=++ 8.设arctany x =,求d d yx. 解d d y x yx x y+=- 9.设0ze xyz -=,求22zx∂∂.解 ()223223222z z z z y ze xy z y z e x e xy ∂--=∂- 10.设(,)f x y 具有连续偏导数,且当0x ≠时有2(,)1f x x =,2(,)x f x x x '=,求2(,)y f x x '.解 21(,)2y f x x '=-.11.设,sin ,sin u v x y u x v y +=+⎧⎪⎨=⎪⎩确定函数(,)u u x y =,(,)v v x y =,求d u ,d v .解 ()s i nc o s (s i n c o s )c o s c o sv x v d x u x v d y du x v y u +--=+,()c o s s i n (s i n c o s )c o s c o sy u v d x u y u d y dv x v y u -++=+.12.(0a >,为常数)上任何点处的切平面在各坐标轴上截距之和为a .提示:设(,,)F x y z =13.求函数u x y z =++在球面2221x y z ++=上点000(,,)x y z 处,沿球面在该点的外法线方向的方向导数. 解000(,,)x y z ul ∂=∂14.在椭球面2222221x y z ++=上求一点,使得函数222(,,)f x y z x y z =++沿着点(1,1,1)A 到点(2,0,1)B 的方向导数具有最大值.解 点11,,022⎛⎫- ⎪⎝⎭15.证明:函数(1)cos yyz e x ye =+-有无穷多个极大值,但无极小值.第八章测试题一解答(1小时30分)一、填空题:(12分,每小题6分)1-1.设函数(,)z z x y =由方程232x z z e y -=+确定,则3z z x y ∂∂+∂∂= . 2; 1-2.函数z 在点(0,0)O 处沿l =e i 方向的方向导数(0,0)f l∂∂= ,而偏导数(0,0)zx ∂∂ . 答案:1;不存在. 二、选择题:(15分,每小题5分)2-1. (,)f x y 在点00(,)x y 连续是(,)f x y 在该点可微分的 条件. B. A.充分; B.必要; C. 充分必要; D.非充分且非必要.2-2. 下面叙述正确的是 . C.A. 函数(,)z f x y =在区域D 内的两个二阶混合偏导数2z x y ∂∂∂及2zy x∂∂∂存在,则这两个二阶混合偏导数在D 内相等;B. (,)z f x y =在点(,)x y 可微分是(,)f x y 在该点连续的充分必要条件;C. (,)z f x y =在点(,)x y 的偏导数z x ∂∂及z y∂∂存在是(,)f x y 在该点可微分的必要条件;D. (,)z f x y =在点(,)x y 的偏导数z x ∂∂及z y∂∂存在是(,)f x y 在该点可微分的充分条件.2-3.函数22,(,)(0,0)(,)0,(,)(0,0)xyx y x y f x y x y ⎧≠⎪+=⎨⎪=⎩在在点(0,0)处( ). A .A .不连续、偏导数存在; B.连续且偏导数存在;C. 连续、偏导数不存在;D.不连续、偏导数不存在. 三、计算题:(56分每小题8分)3-1.讨论下列极限:(,)(0,0)limx y x yx y →+-;解 极限不存在.3-2.设(,)(f x y x y =+-(,1)x f x . (,1)()1x f x x '==.3-3.求全微分:2222s t u s t +=-()()()22222222222444d d d (d d )st s tstu s t t s s t ststst=-+=-----3-4.设arccos()z u v =-,而34u x =,3v x =,求d d zx. 解2314x -=3-5.设(,)z z x y =是由方程2cos sin 0z x z y --=所确定的隐函数,求2zx y∂∂∂.解 232(sin cos )z xy x y z x z ∂=-∂∂+3-6.求曲面arctan y z x =在点1,1,4π⎛⎫ ⎪⎝⎭处的切平面方程. 解 切平面方程为202x y z π-+-=. 法线方程为 114112z x y π---==-. 3-7.求函数22ln()z x y =+在点(1,1)处沿与x 轴正向夹角为60的方向的方向导数. 解(1,2)11112222z l ∂=⋅+⋅=+∂. 四.在平面0x z +=上求一点,使它到点(1,1,1)A 和(2,3,1)B -的距离平方和最小(用拉格朗日乘数法)(10分).解 设所求点为(,,)x y z ,则此点到点(1,1,1)A 和(2,3,1)B -的距离平方和为222222(1)(1)(1)(2)(3)(1)u x y z x y z =-+-+-+-+-++3,42,34x y z ⎧=⎪⎪=⎨⎪⎪=-⎩由于驻点惟一,根据问题本身可知,距离平方和最小的点必定存在,故所求点为33,2,44⎛⎫- ⎪⎝⎭.五. (7分) 设x y u yf xg y x ⎛⎫⎛⎫=+⎪ ⎪⎝⎭⎝⎭,其中函数,f g 具有二阶连续导数,试证:2220u ux y x x y∂∂+=∂∂∂.证明略.第八章测试题二解答1.求函数z =的定义域.解 22{(,)|2}D x y x x y x =≤+<. 2.设xz xy y=+,其中()x t ϕ=,()y t ψ=均可微,求d d z t .解2d d d 1d d d z z x z y x y x t x t y t y y ϕψ⎛⎫⎛⎫∂∂''=⋅+⋅=++- ⎪ ⎪∂∂⎝⎭⎝⎭. 3. 设函数()y y x =由(cos )(sin )1y xx y +=确定,求d d yx. 解 (cos )tan (sin )ln sin (cos )ln cos (sin )cot y x y xx y x y yy x x y x y-'=+. 4.设(,)u v ϕ具有连续偏导数,证明由方程(,)0cx az cy bz ϕ--=所确定的函数(,)z f x y =满足z zab c x y∂∂+=∂∂. 证 略.5.求函数u xyz =在点(1,1,1)沿方向(cos ,cos ,cos )l αβγ=的方向导数,u grad 的值,及u grad 的方向余弦.解 u ==grad ,u grad的三个方向余弦为cos α=,cos β=,cos γ=.6.求螺旋线cos ,sin ,x a y a z b θθθ=⎧⎪=⎨⎪=⎩在点(,0,0)a 处的切线及法平面方程.解 切线方程为0x a y za b-==, 即 ,0.x a by az =⎧⎨-=⎩法平面方程为 (0)(0)0a y b z -+-=, 即 0ay bz +=.7. 4.求曲面2222321x y z ++=上平行于平面460x y z ++=的切平面方程. 解 切平面方程为 21462x y z ++=±.。
习题8−11. 判定下列平面点集中哪些是开集、闭集、区域、有界集、无界集?并分别指出它们的聚点所成的点集(称为导集)和边界.(1){(x , y )|x ≠0, y ≠0};解 开集, 无界集, 导集为R 2, 边界为{(x , y )|x =0或y =0}.(2){(x , y )|1<x 2+y 2≤4};解 既非开集, 又非闭集, 有界集, 导集为{(x , y )|1≤x 2+y 2≤4},边界为{(x , y )|x 2+y 2=1或x 2+y 2=4}.(3){(x , y )|y >x 2};解 开集, 区域, 无界集, 导集为{(x , y )| y ≥x 2}, 边界为{(x , y )| y =x 2}.(4){(x , y )|x 2+(y −1)2≥1}∩{(x , y )|x 2+(y −2)2≤4}.解 闭集, 有界集, 导集与集合本身相同,边界为{(x , y )|x 2+(y −1)2=1}∪{(x , y )|x 2+(y −2)2=4}.2. 已知函数yx xy y x y x f tan ),(22−+=, 试求f (tx , ty ). 解 )(tan )()()()(),(22tytx ty tx ty tx ty tx f ⋅⋅−+= ),(tan 2222y x f t y x xy y x t =⎟⎠⎞⎜⎝⎛−+=. 3. 试证函数F (x , y )=ln x ⋅ln y 满足关系式:F (xy , uv )=F (x , u )+F (x , v )+F (y , u )+F (y , v ).证明 F (xy , uv )=ln((x , y )⋅ln(uv )=(ln x +ln y )(ln u +ln v )=ln x ⋅ln u +ln x ⋅ln v +ln y ⋅ln u +ln y ⋅ln v=F (x , u )+F (x , v )+F (y , u )+F (y , v ).4. 已知函数f (u , v , w )=u w +w u +v , 试求f (x +y , x −y , xy ).解 f (x +y , x −y , xy )=(x +y )xy +(xy )(x +y )+(x −y )=(x +y )xy +(xy )2x .5. 求下列各函数的定义域:(1)z =ln(y 2−2x +1);高等数学下册第八章习题解答解 要使函数有意义, 必须y 2−2x +1>0,故函数的定义域为D ={(x , y )|y 2−2x +1>0}.(2)yx y x z −++=11; 解 要使函数有意义, 必须x +y >0, x −y >0,故函数的定义域为D ={(x , y )|x +y >0, x −y >0}.(3)y x z −=;解 要使函数有意义, 必须y ≥0,0≥−y x 即y x ≥, 于是有x ≥0且x 2≥y , 故函数定义域为D ={(x , y )| x ≥0, y ≥0, x 2≥y }.(4)221)ln(yx x x y z −−+−=; 解 要使函数有意义, 必须y −x >0, x ≥0, 1−x 2−y 2>0,故函数的定义域为D ={(x , y )| y −x >0, x ≥0, x 2+y 2<1}.(5)222222221rz y x z y x R u −+++−−−=(R >r >0); 解 要使函数有意义, 必须R 2−x 2−y 2−z 2≥0且x 2+y 2+z 2−r 2>0, 故函数的定义域为D ={(x , y , z )| r 2<x 2+y 2+z 2≤R 2}.(6)22arccos yx z u +=. 解 要使函数有意义, 必须x 2+y 2≠0, 且1||22≤+y x z 即z 2≤x 2+y 2, 故函数定义域为D ={(x , y , z )|z 2≤x 2+y 2, x 2+y 2≠0}.6. 求下列各极限:(1)22)1,0(),(1limy x xy y x +−→; 解110011lim 22)1,0(),(=+−=+−→y x xy y x .(2)22)0,1(),()ln(lim yx e x y y x ++→; 解 2ln 01)1ln()ln(lim 22022)0,1(),(=++=++→e y x e x y y x . (3)xy y x 42lim)0,0(),(+−→; 解 xy y x 42lim)0,0(),(+−→)42()42)(42(lim )0,0(),(+++++−=→xy xy xy xy y x 41)42(1lim)0,0(),(−=++−=→xy y x . (4)11lim )0,0(),(−+→xy xy y x ; 解 11lim )0,0(),(−+→xy xy y x )11)(11()11(lim )0,0(),(−+++++=→xy xy xy xy y x 2)11lim )11(lim )0,0(),()0,0(),(=++=++=→→xy xy xy xy y x y x . (5)y xy y x )sin(lim )0,2(),(→; 解 y xy y x )sin(lim )0,2(),(→221sin lim )0,2(),(=⋅=⋅=→x xyxy y x . (6)22)()cos(1lim 2222)0,0(),(yx y x e y x y x ++−→. 解 22221lim )cos(1lim )()cos(1lim )0,0(),(2222)0,0(),(2222)0,0(),(y x y x y x y x y x e y x y x e y x y x →→→⋅++−=++− 01sin lim cos 1lim 00==−=→→t t t t t . 7. 证明下列极限不存在:(1)y x y x y x −+→)0,0(),(lim; 证明 如果动点p (x , y )沿y =0趋向(0, 0),则 1lim lim00)0,0(),(==−+→=→x x y x y x x y y x ; 如果动点p (x , y )沿x =0趋向(0, 0),则 1lim lim00)0,0(),(−=−=−+→=→y y y x y x y x y x . 因此, 极限y x y x y x −+→)0,0(),(lim不存在. (2)22222)0,0(),()(lim y x y x y x y x −+→. 证明 如果动点p (x , y )沿y =x 趋于(0, 0),则 1lim )(lim 44022222 )0,0(),(==−+→=→x x y x y x y x x xy y x ; 如果动点p (x , y )沿y =2x 趋向(0, 0),则 044lim )(lim 2440222222 )0,0(),(=+=−+→=→x x x y x y x y x x xy y x . 因此, 极限22222)0,0(),()(lim y x y x y x y x −+→不存在. 8. 函数xy x y z 2222−+=在何处间断? 解 因为当y 2−2x =0时, 函数无意义,所以在y 2−2x =0处, 函数x y x y z 2222−+=间断. 9. 证明0lim 22)0,0(),(=+→yx xy y x .证明 因为22||||2222222222y x yx y x y x xy y x xy +=++≤+=+, 所以 02lim ||lim 022)0,0(),(22)0,0(),(=+≤+≤→→y x yx xy y x y x . 因此 0lim 22)0,0(),(=+→yx xy y x . 证明 因为2||22y x xy +≤, 故22||22222222y x yx y x y x xy +=++=+. 对于任意给定的ε>0, 取δ=2ε, 当δ<+<220y x 时恒有εδ=<+≤−+22|0|2222y x yx xy , 所以0lim 22)0,0(),(=+→yx xy y x . 10. 设F (x , y )=f (x ), f (x )在x 0处连续, 证明: 对任意y 0∈R , F (x , y )在(x 0, y 0)处连续.证明 由题设知, f (x )在x 0处连续, 故对于任意给定的ε>0, 取δ>0, 当|x −x 0|<δ时, 有|f (x )−f (x 0)|<ε.作(x 0, y 0)的邻域U ((x 0, y 0), δ), 显然当(x , y )∈U ((x 0, y 0), δ)时, |x −x 0|<δ, 从而 |F (x , y )−F (x 0, y 0)|=|f (x )−f (x 0)|<ε,所以F (x , y )在点(x 0, y 0)处连续.又因为y 0是任意的, 所以对任意y 0∈R , F (x , y )在(x 0, y 0)处连续.习题8−21. 求下列函数的偏导数:(1) z =x 3y −y 3x ;解 323y y x xz −=∂∂, 233xy x y z −=∂∂. (2)uvv u s 22+=; 解 21)(u v v u v v u u u s −=+∂∂=∂∂, 21)(v u u u v v u v v s −=+∂∂=∂∂. (3))ln(xy z =;解 x y x y x x x z 1ln ln 121)ln ln (⋅+⋅=+∂∂=∂∂)ln(21xy x =. 同理)ln(21xy y y z =∂∂. (4) z =sin(xy )+cos 2(xy );解 y xy xy y xy xz ⋅−⋅+⋅=∂∂)]sin([)cos(2)cos()]2sin()[cos(xy xy y −= 根据对称性可知)]2sin()[cos(xy xy x yz −=∂∂. (5)yx z tan ln =; 解 y x y y y x yxx z 2csc 21sec tan 12=⋅⋅=∂∂, y x y x y x y x yx y z 2csc 2sec tan 1222−=−⋅⋅=∂∂. (6) z =(1+xy )y ;解 121)1()1(−−+=⋅+=∂∂y y xy y y xy y xz , ]1)1[ln()1ln()1ln(xyx y xy e e y y z xy y xy y +⋅++=∂∂=∂∂++]1)1[ln()1(xy xy xy xy y ++++=. (7)z yx u =;解 )1(−=∂∂z y x zy x u , x x zz x x y u z yz y ln 11ln ⋅=⋅=∂∂, x x zy z y x x z u z y z y ln )(ln 22⋅−=−=∂∂. (8) u =arctan(x −y )z ;解 z z y x y x z x u 21)(1)(−+−=∂∂−, z z y x y x z y u 21)(1)(−+−−=∂∂−, z z y x y x y x z u 2)(1)ln()(−+−−=∂∂. 2. 设gl T π2=, 试证0=∂∂+∂∂g T g l T l . 解 因为l g l T ⋅⋅=∂∂1π, g g g l gT 121(223⋅−=⋅−⋅=∂∂−ππ, 所以 0=⋅−⋅=∂∂+∂∂gl g l g T g l T l ππ. 3. 设)11(y x e z +−=, 求证z yz y x z x 222=∂∂+∂∂. 解 因为211(1xe x z y x ⋅=∂∂+−, 2)11(1y e y z y x ⋅=∂∂+−, 所以 z e e y z y x z x y x y x 2)11()11(22=+=∂∂+∂∂+−+− 4. 设yx y x y x f arcsin )1(),(−+=, 求. )1 ,(x f x解 因为x x x x f =−+=1arcsin )11()1 ,(, 所以1)1 ,()1 ,(==x f dxd x f x . 5. 曲线⎪⎩⎪⎨⎧=+=4422y y x z 在点(2, 4, 5)处的切线与正向x 轴所成的倾角是多少? 解 242x x x z ==∂∂, αtan 1)5,4,2(==∂∂xz , 故4πα=. 6. 求下列函数的22x z ∂∂, 22y z ∂∂, yx z ∂∂∂2. (1) z =x 4+y 4−4x 2y 2;解 2384xy x x z −=∂∂, 2222812y x xz −=∂∂; y x y y z 2384−=∂∂, 2222812x y yz −=∂∂; xy y x y yy x z 16)84(232−=−∂∂=∂∂∂. (2)x y z arctan=; 解 22222)(11y x y x y xy x z +−=−⋅+=∂∂, 22222)(2y x xy x z +=∂∂; 2222)1(11y x x x xy y z +=⋅+=∂∂, 22222)(2y x xy y z +−=∂∂; 22222222222222)()(2)()(y x x y y x y y x y x y y y x z +−=+−+−=+−∂∂=∂∂∂. (3) z =y x .解 y y x z x ln =∂∂, y y xzx 222ln =∂∂; 1−=∂∂x xy y z , 222)1(−−=∂∂x y x x y z ;)1ln (1ln )ln (112+=⋅+=∂∂=∂∂∂−−y x y yy y xy y y y y x z x x x x . 7. 设f (x , y , z )=xy 2+yz 2+zx 2, 求f xx (0, 0, 1), f xz (1, 0, 2), f yz (0, −1, 0)及f zzx (2, 0, 1). 解 因为f x =y 2+2xz , f xx =2z , f xz =2x ,f y =2xy +z 2, f yz =2z ,f z =2yz +x 2, f zz =2y , f zzx =0,所以 f xx (0, 0, 1)=2, f xz (1, 0, 2)=2,f yz (0, −1, 0)=0, f zzx (2, 0, 1)=0.8. 设z =x ln(xy ), 求y x z ∂∂∂23及23y x z ∂∂∂. 解 1)ln()ln(+=⋅+=∂∂xy xyy x xy x z , x xy y x z 122==∂∂, 023∂∂∂yx z , y xy x y x z 12==∂∂∂, 2231y y x z −=∂∂∂. 9. 验证:(1)满足nx e y tkn sin 2−=22xy k t y ∂∂=∂∂; 证明 因为nx e kn kn nx e ty t kn t kn sin )(sin 2222⋅−=−⋅⋅=∂∂−−, nx ne x y t kn cos 2−=∂∂, nx e n xy t kn sin 2222−−=∂∂, nx e kn xy k t kn sin 222−−=∂∂, 所以22x y k t y ∂∂=∂∂. (2)222z y x r ++=满足rz r y r x r 2222222=∂∂+∂∂+∂∂.证明 r x z y x x x r =++=∂∂222, 322222r x r r x r x r x r −=∂∂−=∂∂, 由对称性知32222ry r y r −=∂∂, 32222r z r z r −=∂∂, 因此 322322322222222rz r r y r r x r z r y r x r −+−+−=∂∂+∂∂+∂∂ r r r r r z y x r 23)(332232222=−=++−=.习题8−31. 求下列函数的全微分:(1)yx xy z +=; 解 dy y z dx x z dz ∂∂+∂∂=dy yxx dx y y )()1(2−++=. (2)x ye z =;解 xdy e x dx e x y dy y z dx x z dz y x y 12+−=∂∂+∂∂=. (3) 22yx y z +=; 解 因为2/3222322)()(21y x xy y x y x z +−=+−=∂∂−, 2/3222222222)(y x x y x y x y y y x z +=++⋅−+=∂, 所以 dy y x x dx y x xy dz 2/32222/322)()(+++−=)()(2/322xdy ydx y x x −+−=. (4)u =x yz .解 因为1−⋅=∂∂yz x yz x u , x zx y u yz ln =∂∂, x yx zu yz ln =∂∂, 所以xdz yx xdy zx dx yzx du yz yz yz ln ln 1++=− 2. 求函数z =ln(1+x 2+y 2)当x =1, y =2时的全微分.解 因为2212y x x x z ++=∂∂, 2212y x y y z ++=∂∂, 3121=∂∂==y x x z, 3221=∂∂==y x y z,所以 dy dx dz y x 323121⋅+===. 3. 求函数xy z =当x =2, y =1, Δx =0.1, Δy =−0.2时的全增量和全微分. 解 因为x y x x y y z −Δ+Δ+=Δ, y x x xy dz Δ+Δ−=12, 所以, 当x =2, y =1, Δx =0.1, Δy =−0.2时,119.0211.02)2.0(1−=−+−+=Δz , 125.0)2.0(211.041−=−+×−=dz . 4. 求函数z =e xy 当x =1, y =1, Δx =0.15, Δy =0.1时的全微分.解 因为y xe x ye y yz x x z dz xy xy Δ+Δ=Δ∂∂+Δ∂∂= 所以, 当x =1, y =1, Δx =0.15, Δy =0.1时,e e e dz 25.01.015.0=⋅+⋅=*5. 计算33)97.1()102(+的近似值.解 设33y x z +=, 由于y y z x x z y x y y x x Δ∂∂+Δ∂∂++≈Δ++Δ+3333)()(332233233y x y y x x y x +Δ+Δ++=, 所以取x =1, y =2, Δx =0.02, Δy =−0.03可得95.2212)03.0(2302.0321)97.1()02.1(32333=+−⋅⋅+⋅++≈+.*6. 计算(1.97)1.05的近似值(ln2=0.693).解 设z =x y , 由于y yz x x z x x x y y y Δ∂∂+Δ∂∂+≈Δ+Δ+)(y x x x yx x y y y Δ+Δ+=−ln 1, 所以取x =2, y =1, Δx =−0.03, Δy =0.05可得(1.97)1.05≈2−0.03+2ln2⋅0.05+1.97+0.0693 ≈2.093.*7. 已知边长为x =6m 与y =8m 的矩形, 如果x 边增加5cn 而y 边减少10cm ,问这个矩形的对角线的近似变化怎样?解 矩形的对角线为22y x z +=,)(122y y x x yx y dy dz x dx dz dz z Δ+Δ+=Δ+Δ=≈Δ, 当x =6, y =8, Δx =0.05, Δy =−0.1时,05.0)1.0805.0686122−=⋅−⋅+≈Δz . 这个矩形的对角线大约减少5cm .*8. 设有一无盖圆柱形容器, 容器的壁与底的厚度均为0.1cm , 内高为20cm ,内半径为4厘米, 求容器外壳体积的近似值.解 圆柱体的体积公式为V =πR 2h ,ΔV ≈dV =2πRh ΔR +πR 2Δh ,当R =4, h =20, ΔR =Δh =0.1时,ΔV ≈2×3.14×4×20×0.1+3.14×42×0.1≈55.3(cm 3)这个容器外壳的体积大约是55.3cm 3.*9. 设有直角三角形, 测得其两腰的长分别为7±0.1cm 和24±0.1cm , 试求利用上述二值来计算斜边长度时的绝对误差.解 设两直角边的长度分别为x 和y , 则斜边的长度为22y x z +=.||||||||||||y y z x x z dz z Δ⋅∂∂+Δ⋅∂∂≤≈Δ|)|||(122y y x x yx Δ+Δ+=. 令x =7, y =24, |Δx |≤0.1, |Δy |≤0.1, 则得斜边长度z 的绝对误差约为124.0)1.0241.07(247122=⋅+⋅+=z δcm . *10. 测得一块三角形土地的两边长分别为63±0.1m 和78±0.1m ,这两边的夹角为60°±1°, 试求三角形面积的近似值, 并求其绝对误差和相对误差.解 设三角形的两边长为x 和y , 它们的夹角z , 为则三角形面积为z xy s sin 21=. zdz xy zdy x zdx y dS cos 21sin 21sin 21++=||cos 21||sin 21||sin 21||||dz z xy dy z x dx z y dS S ++≤≈Δ. 令x =63, y =78, 3π=z , |dx |=0.1, |dy |=0.1, 180π=dz , 则 55.2718021278631.0232631.023278=×××+××+××≈πδs , 82.21273sin 786321=⋅⋅⋅=πS , %29.182.212755.27==S s δ, 所以三角形面积的近似值为2127.82m 2, 绝对误差为27.55 m 2, 相对误差为1.29%.*11. 利用全微分证明: 两数之和的绝对误差等于它们各自的绝对误差之和. 证明 设u =x +y , 则||||||||||||y x y x y yu x x u du u Δ+Δ≤Δ+Δ=Δ∂∂+Δ∂∂=≈Δ. 所以两数之和的绝对误差|Δu |等于它们各自的绝对误差|Δx |与|Δy |的和.*12. 利用全微分证明: 乘积的相对误差等于各因子的相对误差之和; 商的相对误差等于被除数及除数的相对误差之和.证明 设u =xy , yx v =, 则Δu ≈du =ydx +xdy , 2y xdy ydx dv v −=≈Δ, 由此可得相对误差;ydy x dx xy xdy ydx u du u u +=+=≈Δy y x x y dy x dx Δ+Δ=+≤; y dy x dx yx y xdy ydx v dv v v −=⋅−==Δ2y y x x y dy x dx Δ+Δ=+≤.习题8−41. 设z =u 2−v 2, 而u =x +y , v =x −y , 求x z ∂∂, yz ∂∂. 解 xv v z x u u z x z ∂∂⋅∂∂+∂∂⋅∂∂=∂∂=2u ⋅1+2v ⋅1=2(u +v )=4x , yv v z y u u z y z ∂∂⋅∂∂+∂∂⋅∂∂=∂∂=2u ⋅1+2v ⋅(−1)=2(u −v )=4y . 2. 设z =u 2ln v , 而yx u =, v =3x −2y , 求x z ∂∂, y z ∂∂. 解 xv v z x u u z x z ∂∂⋅∂∂+∂∂⋅∂∂=∂∂ 31ln 22⋅+⋅=v u y v u 222)23(3)23ln(2yy x x y x y x −+−=, yv v z y u u z y z ∂∂⋅∂∂+∂∂⋅∂∂=∂∂ )2()(ln 222−+−⋅=v u y x v u 2232)23(2)23ln(2y y x x y x y x −−−−=. 3. 设z =e x −2y , 而x =sin t , y =t 3, 求dtdz . 解 dtdy y z dt dx x z dt dz ⋅∂∂+⋅∂∂=2223)2(cos t e t e y x y x ⋅−⋅+=−− .)6(cos )6(cos 22sin 223t t e t t e t t y x −=−=−− 4. 设z =arcsin(x − y ), 而x +3t , y =4t 3, 求dtdz . 解 dt dy y z dt dx x z dt dz ⋅∂∂+⋅∂∂=22212)(113)(11t y x y x −−−+⋅−−= 232)43(1)41(3t t t −−−=. 5. 设z =arctan(xy ), 而y =e x , 求dxdz . 解 dx dy y z x z dx dz ⋅∂∂+∂∂=xx x e x x e e y x x y x y 2222221)1(11++=⋅+++=.6. 设1)(2+−=a z y e u ax , 而y =a sin x , z =cos x , 求dx du . 解 dxdz dz u dx dy y u x u dx du ⋅∂+⋅∂∂+∂∂= )sin (1cos 11)(222x a e x a a e a z y ae ax ax ax −⋅+−⋅+++−= )sin cos cos sin (122x x a x a x a a e ax ++−+=x e ax sin =. 7. 设y x z arctan =, 而x =u +v , y =u −v , 验证22v u v uv z u z +−=∂∂+∂∂. 证明 )()(vy y z v x x z u y y z u x x z v z u z ∂∂⋅∂∂+∂∂⋅∂∂+∂∂⋅∂∂+∂∂⋅∂∂=∂∂+∂∂ )()(111)(11222y x y x y y x −⋅++⋅+=)1()()(111)(11222−⋅−⋅++⋅++y x yx y y x 22222v u v u y x y +−=+=. 8. 求下列函数的一阶偏导数(其中f 具有一阶连续偏导数):(1) u =f (x 2−y 2, e xy );解 将两个中间变量按顺序编为1, 2号,2122212)()(f ye f x xe f x y x f x u xy xy ′+′=∂∂⋅′+∂−∂⋅′=∂∂, 212)2212)((f xe f y ye f y y x f y u xy xy ′+′−=∂∂⋅′+∂−∂⋅′=∂∂. (2) ,(zy y x f u =; 解 1211)()(f yz y x f y x x f x u ′=∂∂⋅′+∂∂⋅′=∂∂, )()(21z y y f y x y f y u ∂∂⋅′+∂∂′=∂∂2121f z f yx′+′−=,)()(21z y z f z x z f z u ∂∂⋅′+∂∂′=∂∂22f z y ′−=. (3) u =f (x , xy , xyz ).解 yz f y f f xu ⋅′+⋅′+⋅′=∂∂3211321f yz f y f ′+′+′=, 3232f xz f x xz f x f yu ′+′=⋅′+⋅′=∂∂, 33f xy xy f zu ′=⋅′=∂∂. 9. 设z =xy +xF (u ), 而xy u =, F (u )为可导函数, 证明xy z y z y x z x +=∂∂+∂∂⋅. 证明 y z y x z x ∂∂⋅+∂∂⋅)([])()([yu u F x x y x u u F x u F y x ∂∂′+⋅+∂∂′++= )]([)]()([u F x y u F xy u F y x ′+⋅+′−+= =xy +xF (u )+xy =z +xy .10. 设)(22y x f y z −=, 其中f (u )为可导函数, 验证211y zy z y x z x =∂∂+∂∂.证明 ()()u f f xy u f x f y x z 2222′−=⋅′⋅−=∂∂, ()()u f f y u f u f y f y u f y z 2222)(1)2()(′−+=−⋅′⋅−=∂∂, 所以 )(11221122u f y u f f y u f f y y z y x z x ⋅+′+′−=∂∂⋅+∂∂⋅211y z zy y =⋅. 11. 设z =f (x 2+y 2), 其中f 具有二阶导数, 求22xz ∂∂, y x z ∂∂∂2, 22y z ∂∂. 解 令u =x 2+y 2, 则z =f (u ),f x xu u f x z ′=∂∂′=∂∂2)(, f y y u u f y z ′=∂∂′=∂∂2)(, f x f x u f x f xz ′′+′=∂∂⋅′′+′=∂∂2224222,f xy yu f x y x z ′′=∂∂⋅′′=∂∂∂422, f y f y u f y f y z ′′+′=∂∂⋅′′+′=∂∂422222. 12. 求下列函数的22x z ∂∂,y x z ∂∂∂2,22y z ∂∂(其中f 具有二阶连续偏导数): (1) z =f (xy , y );解 令u =xy , v =y , 则z =f (u , v ).u f y vf y u f x v v f x u u f x z ∂∂=⋅∂∂+⋅∂∂=∂∂⋅∂∂+∂∂⋅∂∂=∂∂0, vf u f x v f x u f y v v f y u u f y z ∂∂+∂∂=⋅∂∂+⋅∂∂=∂∂⋅∂∂+∂∂⋅∂∂=∂∂1. 因为f (u , v )是u 和v 的函数, 所以u f ∂∂和v f ∂∂也是u 和v 的函数, 从而u f ∂∂和vf ∂∂是以u 和v 为中间变量的x 和y 的函数.)()()(22u f x y uf y x x z x x z ∂∂∂∂=∂∂∂∂=∂∂∂∂=∂∂ 222222222)0()(u f y v u f y u f y x v v u f x u u f y ∂∂=⋅∂∂∂+⋅∂∂=∂∂⋅∂∂∂+∂∂⋅∂∂=, )(1)()(2uf y y u f u f y y x z y y x z ∂∂∂∂+∂∂⋅=∂∂∂∂=∂∂∂∂=∂∂∂ )(222yv v u f y u u f y u f ∂∂⋅∂∂∂+∂∂⋅∂∂+∂∂= v u f y uf xy u f v u f x u f y u f ∂∂∂+∂∂+∂∂=⋅∂∂∂+⋅∂∂+∂∂=222222)1(, )()()()(22v f y u f y x vf u f x y y z y y z ∂∂∂∂+∂∂∂∂=∂∂+∂∂∂∂=∂∂∂∂=∂∂ yv v f y u u v f y v v u f y u u f x ∂∂⋅∂∂+∂∂⋅∂∂∂+∂∂⋅∂∂∂+∂∂⋅∂∂=222222)( 1)1(222222⋅∂∂+⋅∂∂∂+⋅∂∂∂+⋅∂∂=vf x u v f v u f x u f x2222222v f v u f x u f x ∂∂+∂∂∂+∂∂=. (2)) ,(yx x f z =; 解 令u =x , yx v =, 则z =f (u , v ). v f y u f x v v f dx du u f x z ∂∂⋅+∂∂=∂∂⋅∂∂+⋅∂∂=∂∂1, vf y xdy dv v f y z ∂∂⋅−=⋅∂∂=∂∂2. 因为f (u , v )是u 和v 的函数, 所以u f ∂∂和v f ∂∂也是u 和v 的函数, 从而u f ∂∂和vf ∂∂是以u 和v 为中间变量的x 和y 的函数. )(1)()1()(22vf x y u f x v f y u f x x z x x z ∂∂∂∂⋅+∂∂∂∂=∂∂⋅+∂∂∂∂=∂∂∂∂=∂∂ )(1)(222222xv v f dx du u v f y x v v u f dx du u f ∂∂⋅∂∂+⋅∂∂∂+∂∂⋅∂∂∂+⋅∂∂= 22222212v f y v u f y u f ∂∂⋅+∂∂∂⋅+∂∂=, 1()(2vf y u f y x z y y x z ∂∂⋅+∂∂∂∂=∂∂∂∂=∂∂∂)(1)1()(v f y y v f y dy d u f y ∂∂∂∂⋅+∂∂⋅+∂∂∂∂= yv v f y v f y y v v u f ∂∂⋅∂∂⋅+∂∂⋅−∂∂⋅∂∂∂=22211 221v f y x v f y v u f y x ∂∂⋅−∂∂⋅−∂∂∂⋅−= ()()(2222vf y y x v f y x y y z y y z ∂∂∂∂⋅−∂∂⋅−∂∂=∂∂∂∂=∂∂22423222322vf y x v f y x y v v f y x v f y x ∂∂⋅+∂∂⋅=∂∂⋅∂∂⋅−∂∂⋅=. (3) z =f (xy 2, x 2y );解 z x =f 1′⋅y 2+f 2′⋅2xy =y 2f 1′+2xyf 2′,z y =f 1′⋅2xy +f 2′⋅x 2=2xyf 1′+x 2f 2′;z xx =y 2[f 11′′⋅y 2+f 12′′⋅2xy ]+2yf 2′′+2xy [f 21′′⋅y 2+f 22′′⋅2xy ] =y 4f 11′′+2xy 3f 12′′+2yf 2′′+2xy 3f 21′′+4x 2y 2 f 22′′=y 4f 11′′+4xy 3f 12′′+2yf 2′′+4x 2y 2 f 22′′,z xy =2y f 1′+y 2[f 11′′⋅2xy +f 12′′⋅x 2]+2xf 2′+2xy [f 21′′⋅2xy +f 22′′⋅x 2] =2y f 1′+2xy 3f 11′′+x 2y 2 f 12′′+2xf 2′+4x 2y 2f 21′′+2x 3yf 22′′ =2y f 1′+2xy 3f 11′′+5x 2y 2 f 12′′+2xf 2′+2x 3yf 22′′,z yy =2xf 1′+2xy [f 11′′⋅2xy +f 12′′⋅x 2]+x 2[f 21′′⋅2xy +f 22′′⋅x 2] =2xf 1′+4x 2y 2f 11′′+2x 3y f 12′′+2x 3yf 21′′+x 4f 22′′=2xf 1′+4x 2y 2f 11′′+4x 3y f 12′′+x 4f 22′′.(4) z =f (sin x , cos y , e x +y ).解 z x =f 1′⋅cos x + f 3′⋅e x +y =cos x f 1′+e x +y f 3′,z y =f 2′⋅(−sin y )+ f 3′⋅e x +y =−sin y f 2′+e x +y f 3′,z xx =−sin x f 1′+cos x ⋅(f 11′′⋅cos x + f 13′′⋅e x +y )+e x +y f 3′+e x +y (f 31′′⋅cos x + f 33′′⋅e x +y ) =−sin x f 1′+cos 2x f 11′′+e x +y cos x f 13′′+e x +y f 3′+e x +y cos x f 31′′+e 2(x +y ) f 33′′ =−sin x f 1′+cos 2x f 11′′+2e x +y cos x f 13′′+e x +y f 3′+e 2(x +y ) f 33′′, z xy =cos x [f 12′′⋅(−sin y )+ f 13′′⋅e x +y ]+e x +y f 3′+e x +y [f 32′′⋅(−sin y )+ f 33′′⋅e x +y ] =−sin y cos x f 12′′+e x +y cos x f 13′+e x +y f 3′−e x +y sin y f 32′+e 2(x +y )f 33′ =−sin y cos x f 12′′+e x +y cos x f 13′′+e x +y f 3′−e x +y sin y f 32′′+e 2(x +y )f 33′′, z yy =−cos y f 2′−sin y [f 22′′⋅(−sin y )+ f 23′′⋅e x +y ]+e x +y f 3′+e x +y [f 32′′⋅(−sin y )+ f 33′′⋅e x +y ] =−cos y f 2′+sin 2y f 22′′−e x +y sin y f 23′′+e x +y f 3′−e x +y sin y f 32′′+ f 33′′⋅e 2(x +y ) =−cos y f 2′+sin 2y f 22′′−2e x +y sin y f 23′′+e x +y f 3′+f 33′′⋅e 2(x +y ).13. 设u =f (x , y )的所有二阶偏导数连续, 而3t s x −=, 3t s y +=, 证明2222)()()()(t u s u y u x u ∂∂+∂∂=∂∂+∂∂及22222222t u s u y u x u ∂∂+∂∂=∂∂+∂∂证明 因为y u x u s yy u s x x u s u ∂∂⋅+∂∂⋅=∂∂⋅∂∂+∂∂⋅∂∂=∂∂2321y u x u t yy u t x x u t u ∂∂⋅+∂∂⋅−=∂∂⋅∂∂+∂∂⋅∂∂=∂∂2123所以2222)2123()2321()()(y u x u y u x u t u s u ∂∂+∂∂−+∂∂+∂∂=∂∂+∂∂22)()(y u x u ∂∂+∂∂=. 又因为)2321()(2yu x u s s u s s u ∂∂⋅+∂∂⋅∂∂=∂∂∂∂=∂∂ (23)(212222s y y u s x x y u s y y x u s x x u ∂∂⋅∂∂+∂∂⋅∂∂∂+∂∂⋅∂∂∂+∂∂⋅∂∂= 2321(23)2321(212222y u x y u y x u x u ∂∂⋅+∂∂∂⋅+∂∂∂⋅+∂∂⋅= 222432341y u y x u x u ∂∂⋅+∂∂∂⋅+∂∂⋅=, )2123()(2yu x u t t u t t u∂∂⋅+∂∂⋅−∂∂=∂∂∂∂=∂∂ )(21)(232222t y y u t x x y u t y y x u t x x u ∂∂⋅∂∂+∂∂⋅∂∂∂+∂∂⋅∂∂∂+∂∂⋅∂∂−= )2123(21)2123(232222y u x y u y x u x u ∂∂⋅+∂∂∂⋅−+∂∂∂⋅+∂∂⋅−−=22222412343y uy x u x u ∂∂⋅+∂∂∂⋅−∂∂⋅=,所以 22222222y u x u t u s u ∂∂+∂∂=∂∂+∂∂.习题8−51. 设sin y +e x −xy 2=0, 求dxdy . 解 令F (x , y )=sin y +e x −xy 2, 则F x =e x −y 2, F y =cos y −2xy , xy y e y xy y y e F F dx dy xy x 2cos 2cos 222−−=−−−=−=.2. 设x y y x arctan ln 22=+, 求dxdy. 解 令xyy x y x F arctan ln ),(22−+=, 则22222222)()(11221y x y x xy x y y x x y x F x ++=−⋅+−+⋅+=,22222221)(11221yx x y x xy y x y y x F y +−=⋅+−+⋅+=,yx y x F F dx dyy x −+=−=. 3. 设022=−++xyz z y x , 求x z ∂∂及y z ∂∂.解 令xyz z y x z y x F 22),,(−++=, 则 xyz yz F x −=1, xyzxz F y −=2, xyz xyF z −=1,xy xyz xyz yz F F x z z x −−=−=∂∂, xy xyz xyz xz F F y zz y −−=−=∂∂2. 4. 设y z z x ln =, 求x z ∂∂及yz ∂∂, 解 令yz z x z y x F ln ),,(−=, 则z F x 1=, y yzyz F y 1)(12=−⋅−=, 2211z z x y y z z x F z +−=⋅−−=,所以 z x z F F x z z x +=−=∂∂, )(2z x y z F F y z z y +=−=∂∂.5. 设2sin(x +2y −3z )=x +2y −3z , 证明1=∂∂+∂∂yz x z证明 设F (x , y , z )=2sin(x +2y −3z )−x −2y +3z , 则 F x =2cos(x +2y −3z )−1,F y =2cos(x +2y −3z )⋅2−2=2F x , F z =2cos(x +2y −3z )⋅(−3)+3=−3F x ,313=−−=−=∂∂x x z x F F F F x z , 3232=−−=−=∂∂x x z y F F F F y z ,于是 13231=+=−−=∂∂+∂∂z z z x F FF F yz x z .6. 设x =x (y , z ), y =y (x , z ), z =z (x , y )都是由方程F (x , y , z )=0所确定的具有连续偏导数的函数, 证明1−=∂∂⋅∂∂⋅∂∂xz z yy x .解 因为x y F F y x −=∂∂, y z F F zy −=∂∂, z x F F x z−=∂∂,所以 1()()(−=−⋅−⋅−=∂∂⋅∂∂⋅∂∂z x y z x y F F F F F F xz z yy x .7. 设ϕ(u , v )具有连续偏导数, 证明由方程ϕ(cx −az , cy −bz )=0 所确定的函数z =f (x , y )满足c yz b x z a =∂∂+∂∂.证明 因为v u uv u u b a c b a c x z ϕϕϕϕϕϕ+=⋅−⋅−⋅−=∂∂,vu vv u v b a c b a c y z ϕϕϕϕϕϕ+=⋅−⋅−⋅−=∂∂,所以 c b a c b b a c a y z b x z a v u vv u u =+++⋅=∂∂+∂∂ϕϕϕϕϕϕ.8. 设e z−xyz =0, 求22x z ∂∂. 解 设F (x , y , z )=e z −xyz , 则F x =−yz , F z =e z −xy , xye yzF F x z z x −=−=∂∂,222)()()()(xy e y x z e yz xy e x z y x z x x z z z z −−∂∂−−∂∂=∂∂∂∂=∂∂ 222)()(xy e xye yzyze xy ye z y z z z −−−−+=32232)(22xy e e z y z xy ze y z zz −−−=. 9. 设z 3−3xyz =a 3, 求yx z ∂∂∂2. 解 令F (x , y , z )=z 3−3xyz −a 3, 则xy z yz xy z yz F F x z z x −=−−−=−=∂∂22333, xyz xz xy z xz F F y z z y −=−−−=−=∂∂22333, )()(22xyz yzy x z y y x z −∂∂=∂∂∂∂=∂∂∂222)()2())((xy z x y z z yz xy z yz y z −−∂∂−−∂∂+=22222)()2()()(xy z x xyz xz z yz xy z xy z xz y z −−−−−⋅−+=322224)()2(xy z y x xyz z z −−−=.10. 求由下列方程组所确定的函数的导数或偏导数:(1)设, 求⎩⎨⎧=+++=203222222z y x y x z dx dy , dx dz; 解 视y =y (x ), z =z (x ), 方程两边对x 求导得⎪⎩⎪⎨⎧=+++=064222dx dz z dx dy y x dx dy y x dx dz , 即⎪⎩⎪⎨⎧−=+−=−xdx dz z dxdy y xdx dz dx dy y 3222.解方程组得)13(2)16(++−=∂∂z y z x x y , 13+=z x dx dz.(2)设, 求⎩⎨⎧=++=++10222z y x z y x dz dx ,dz dy ;解 视x =x (z ), y =y (z ), 方程两边对z 求导得⎪⎩⎪⎨⎧=++=++022201z dz dy y dzdx x dz dy dz dx , 即⎪⎩⎪⎨⎧−=+−=+zdz dy y dz dx x dz dy dz dx 2221.解方程组得y x z y z x −−=∂∂, yx xz z y −−=∂∂. (3)设, 其中f , g 具有一阶连续偏导数, 求⎩⎨⎧−=+=),(),(2y v x u g v y v ux f u x u ∂∂,x v ∂∂; 解 视u =u (x , y ), v =v (x , y ), 方程两边对x 求偏导得⎪⎩⎪⎨⎧∂∂⋅′+−∂∂⋅′=∂∂∂∂⋅′+∂∂+⋅′=∂∂x v yv g x u g x v x v f x u x u f x u 21212)1()( , 即⎪⎩⎪⎨⎧′=∂∂⋅⋅−′+∂∂′′′−=∂∂⋅′+∂∂−′121121)12()1(g x v g yv x u g f u x v f x u f x . 解之得1221221)12)(1()12(g f g yv f x g f g yv f u x u ′′−−′−′′′−−′′−=∂∂, 1221111)12)(1()1(g f g yv f x f u f x g x v ′′−−′−′−′+′′=∂∂.(4)设, 求⎩⎨⎧−=+=v u e y v u e x u u cos sin x u ∂∂, y u ∂∂, x v ∂∂, y v ∂∂. 解 视u =u (x , y ), v =v (x , y ), 方程两边微分得, 即, ⎩⎨⎧+−=++=vdv u vdu du e dy vdv u vdu du e dx uu sin cos cos sin ⎩⎨⎧=+−=++dy vdv u du v e dxvdv u du v e u u sin )cos (cos )sin (从中解出du , dv 得dy v v e v dxv v e v du u u 1)cos (sin cos 1)cos (sin sin +−−++−=, v v e u e v dx v v e u e v dv u uu u ]1)cos (sin [sin ]1)cos (sin [cos +−+++−−=,从而1)cos (sin sin +−=∂∂v v e v x u u , 1)cos (sin cos +−−=∂∂v v e vy u u ,]1)cos (sin [cos +−−=∂∂v v e u e v x v u , ]1)cos (sin [sin +−+=∂∂v v e u e v y v u.11. 设y =f (x , t ), 而t 是由方程F (x , y , t )=0所确定的x , y 的函数, 其中f , F 都具有一阶连续偏导数, 试证明:tF y F t f x F t f t F x f dx dy ∂∂+∂∂⋅∂∂∂∂⋅∂∂−∂∂⋅∂∂=. 证明 由方程组可确定两个一元隐函数, 方⎩⎨⎧==0),,(),(t y x F t x f y ⎩⎨⎧==)()(x t t x y y 程两边对x 求导可得⎪⎩⎪⎨⎧=⋅∂∂+⋅∂∂+∂∂⋅∂∂+∂∂=0dxdt t F dx dy y F x F dxdt t f x f dx dy ,移项得⎪⎩⎪⎨⎧∂∂−=∂∂+⋅∂∂∂∂=⋅∂∂−x F dxdt t F dx dy y F x f dx dt t f dx dy ,在01≠∂∂⋅∂∂+∂∂=∂∂∂∂∂∂−=y F t f t F tF y F t fD 的条件下 yF t f t F x Ft f t F x f t Fx F t f x f D dx dy ∂∂⋅∂∂+∂∂∂∂⋅∂∂−∂∂⋅∂∂=∂∂∂∂−∂∂−∂∂⋅=1.习题8−61. 求曲线x =t −sin t , y =1−cos t , 2sin 4t z =在点)22 ,1 ,12 (−π处的切线及法平面方程.解 x ′(t )=1−cos t , y ′(t )=sin t , 2cos 2)(t t z =′. 因为点)22 ,1 ,12 (−π所对应的参数为2 π=t , 故在点)22 ,1 ,12 (−π处的切向量为)2 ,1 ,1(=T .因此在点)22 ,1 ,12(−π处, 切线方程为22211121−=−=−+z y x π, 法平面方程为0)22(2)1(1)12(1=−+−⋅++−⋅z y x π, 即422+=++πz y x .2. 求曲线t t x +=1, tt y +=1, z =t 2在对应于t =1的点处的切线及法平面方程. 解 2)1(1)(t t x +=′, 21)(t t y −=′, z ′(t )=2t .在t =1所对应的点处, 切向量)2 ,1 ,41(−=T , t =1所对应的点为)1 ,2 ,21(, 所以在t =1所对应的点处, 切线方程为21124121−=−−=−z y x , 即8142121−=−−=−z y x ; 法平面方程为0)1(2)2()21(41=−+−−−z y x , 即2x −8y +16z −1=0.3. 求曲线y 2=2mx , z 2=m −x 在点(x 0, y 0, z 0)处的切线及法平面方程. 解 设曲线的参数方程的参数为x , 将方程y 2=2mx 和z 2=m −x 的两边 对x 求导, 得m dx dyy22=, 12−=dxdz z , 所以y m dx dy=, z dx dz 21−=.曲线在点(x 0, y 0, z 0,)的切向量为)21,,1(00z y m −=T , 所求的切线方程为000211z z z y m y y x x −−=−=−, 法平面方程为0)(21)()(00000=−−−+−z z z y y y m x x . 4. 求曲线在点(1, 1, 1)处的切线及法平面方程.⎩⎨⎧=−+−=−++0453203222z y x x z y x 解 设曲线的参数方程的参数为x , 对x 求导得,⎪⎩⎪⎨⎧=+−=−++053203222dx dz dx dy dx dz z dx dy y x , 即⎪⎩⎪⎨⎧=−+−=+2533222dxdz dx dy x dx dz z dx dy y .解此方程组得z y z x dx dy 61015410−−−−=, z y y x dx dz 610946−−−+=. 因为169)1,1,1(=dx dy, 161)1,1,1(−=dx dz , 所以)161 ,169 ,1(=T . 所求切线方程为1611169111−−=−=−z y x , 即1191161−−=−=−z y x ; 法平面方程为0)1(161)1(169)1(=−−−+−z y x , 即16x +9y −z −24=0. 5. 求出曲线x =t , y =t 2, z =t 3上的点, 使在该点的切线平行于平面x +2y +z =4. 解 已知平面的法线向量为n =(1, 2, 1).因为x ′=1, y ′=2t , z ′=3t 2, 所以参数t 对应的点处的切向量为T =(1, 2t , 3t 2). 又因为切线与已知平面平行, 所以T ⋅n =0, 即1+4t +3t 2=0,解得t =−1, 31−=t . 于是所求点的坐标为(−1, 1, −1)和)271 ,91 ,31(−−. 6. 求曲面e z −z +xy =3在点(2,1,0)处的切平面及法线方程.解 令F (x , y , z )=e z −z +xy −3, 则n =(F x , F y , F z )|(2, 1, 0)=(y , x , e z −1)|(2, 1, 0)=(1, 2, 0),点(2,1, 0)处的切平面方程为1⋅(x −2)+2(y −1)+0⋅(z −0)=0, 即x +2y −4=0,法线方程为02112−=−=−z y x . 7. 求曲面ax 2+by 2+cz 2=1在点(x 0, y 0, z 0)处的切平面及法线方程.解 令F (x , y , z )=ax 2+by 2+cz 2−1, 则n =(F x , F y , F z )=(2ax , 2by , 2cz )=(ax , by , cz ).在点(x 0, y 0, z 0)处, 法向量为(ax 0, by 0, cz 0), 故切平面方程为ax 0(x −x 0)+by 0(y −y 0)+cz 0(z −z 0)=0,即 , 202020000cz by ax z cz y by x ax ++=++法线方程为00000cz z z by y y ax x x −=−=−.8. 求椭球面x 2+2y 2+z 2=1上平行于平面x −y +2z =0的切平面方程.解 设F (x , y , z )=x 2+2y 2+z 2−1, 则n =(F x , F y , F z )=(2x , 4y , 2z )=2(x , 2y , z ).已知切平面的法向量为(1, −1, 2). 因为已知平面与所求切平面平行, 所以2121z y x =−=, 即z x 21=, z y 41−=, 代入椭球面方程得1)4(2)2(222=+−+z z z , 解得1122±=z , 则1122±=x , 11221∓=y . 所以切点坐标为)1122,11221,112(±±∓. 所求切平面方程为0)1122(2)11221()112(=±+−±z y x ∓, 即 2112±=+−z y x . 9. 求旋转椭球面3x 2+y 2+z 2=16上点(−1, −2, 3)处的切平面与xOy 面的夹角的余弦.解 x O y 面的法向为n 1=(0, 0, 1).令F (x , y , z )=3x 2+y 2 +z 2−16, 则点(−1, −2, 3)处的法向量为n 2=(F x , F y , F z )|(−1, −2, 3)=(6x , 2y , 2z )|(−1, −2, 3)=(−6, −4, 6).点(−1, −2, 3)处的切平面与xOy 面的夹角的余弦为22364616||||cos 2222121=++⋅=⋅⋅=n n n n θ.10. 试证曲面a z y x =++(a >0)上任何点处的切平面在各坐标轴上的截距之和等于a .证明 设a z y x z y x F −++=),,(, 则)21,21,21(zy x =n . 在曲面上任取一点M (x 0, y 0, z 0), 则在点M 处的切平面方程为0)(1)(1)(1000000=−+−+−z z z y y y x x x , 即 a z y x z z y y x x =++=++000000. 化为截距式, 得1000=++az z ay y ax x , 所以截距之和为a z y x a az ay ax =++=++)(000000.习题8−71. 求函数z =x 2+y 2在点(1, 2)处沿从点(1, 2)到点)32 ,2(+的方向的方向导数 解 因为从点(1, 2)到点)32 ,2(+的向量为)3 ,1(=l , 故)cos ,(cos 23 ,21(||βα===l l e l . 又因为22)2,1()2,1(==∂∂x x z , 42)2,1()2,1(==∂∂y y z , 故所求方向导数为321234212cos cos +=⋅+⋅=∂∂+∂∂=∂∂βαy z x z l z . 2. 求函数z =ln(x +y )在抛物线y 2=4x 上点(1, 2)处, 沿这抛物线在该点处偏向x 轴正向的切线方向的方向导数.解 方程y 2=4x 两边对x 求导得2yy ′=4, 解得yy 2=′. 在抛物线y 2=4x 上点(1, 2)处, 切线的斜率为y ′(1)=1, 切向量为l =(1, 1), 单位切向量为)cos ,(cos )21 ,21(βα==l e . 又因为31 1)2,1()2,1(=+=∂∂y x x z , 31 1)2,1()2,1(=+=∂∂y x y z , 故所求方向导数为3221312131cos cos =⋅+⋅=∂∂+∂∂=∂∂βαy z x z l z . 3. 求函数)(12222b y a x z +−=在点)2,2(b a 处沿曲线12222=+b y a x 在这点的内法线方向的方向导数.解 令1),(2222−+=b y a x y x F , 则22a x F x =, 22b y F y =. 从而点(x , y )处的法向量为)2 ,2() ,(22by a xF F y x ±=±=n . 在)2,2(b a 处的内法向量为 )2 ,2()2 ,2()2,2(22b a b y a x b a −=−=n , 单位内法向量为)cos ,(cos ,(2222βα=+−+−=b a a b a b n e . 又因为a a x x zb a b a 222,2(2)2,2(−=−=∂∂, bb y y z b a b a 222,2(2)2,2(−=−=∂∂, 所以 222222222cos cos b a abb a a b b a b a y z x z n z +=+⋅++⋅=∂∂+∂∂=∂∂βα. 4. 求函数u =xy 2+z 3−xyz 在点(1, 1, 2)处沿方向角为3 πα=, 4 πβ=, 3 πγ=的方向的方向导数.解 因为方向向量为)21 ,22 ,21()cos ,cos ,(cos ==γβαl , 又因为 1)()2,1,1(2)2,1,1(−=−=∂∂yz y x u, 0)2()2,1,1()2,1,1(=−=∂∂xz xy y u , 11)3()2,1,1(2)2,1,1(=−=∂∂xy z z u , 所以 5211122021)1(cos cos cos =⋅+⋅+⋅−=∂∂+∂∂+∂∂=∂∂γβαz u y u x u l u .5. 求函数u =xyz 在点(5,1,2)处沿从点(5, 1, 2)到点(9, 4, 14)的方向的方向导数.解 因为l =(9−5, 4−1, 14−2)=(4, 3, 12), )1312 ,133 ,134(||==l l e l , 并且 2)2,1,5()2,1,5(==∂∂yz x u , 10)2,1,5()2,1,5(==∂∂xz y u , 5)2,1,5()2,1,5(==∂∂xy z u, 所以 139813125133101342cos cos cos =⋅+⋅+⋅=∂∂+∂∂+∂∂=∂∂γβαz u y u x u l u . 6. 求函数u =x 2+y 2+z 2在曲线x =t , y =t 2, z =t 3上点(1, 1, 1)处, 沿曲线在该点的切线正方向(对应于t 增大的方向)的方向导.解 曲线x =t , y =t 2, z =t 3上点(1, 1, 1)对应的参数为t =1, 在点(1, 1, 1)的切线正向为)3 ,2 ,1()3 ,2 ,1(12===t t t l , )143,142,141(||==l l e l , 又 22)1,1,1()1,1,1(==∂∂x x u , 22)1,1,1()1,1,1(==∂∂y y u , 22)1,1,1()1,1,1(==∂∂z z u, 所以 1412143214221412cos cos cos )1,1,1(=⋅+⋅+⋅=∂∂+∂∂+∂∂=∂∂γβαz u y u x u l u . 7. 求函数u =x +y +z 在球面x 2+y 2+z 2=1上点(x 0, y 0, z 0)处, 沿球面在该点的外法线方向的方向导数.解 令F (x , y , z )=x 2+y 2+z 2−1, 则球面x 2+y 2+z 2=1在点(x 0, y 0, z 0)处的外法向量为)2 ,2 ,2() , ,(000),,(000z y x F F F z y x z y x ==n , )cos ,cos ,(cos ) , ,(||000γβα===z y x n n n e , 又 1=∂∂=∂∂=∂∂zu y u x u , 所以 000000111cos cos cos z y x z y x zu y u x u n u ++=⋅+⋅+⋅=∂∂+∂∂+∂∂=∂∂γβα. 8. 设f (x , y , z )=x 2+2y 2+3z 2+xy +3x −2y −6z , 求grad f (0, 0, 0)及grad f (1, 1, 1).。
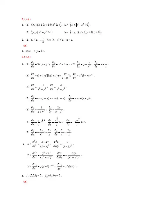
第八章习题解答(2) 节8.4部分习题解答1、设22v uv u z ++= y x v y x u -=+=,,求x z ∂∂,yz ∂∂ 解:v u u z +=∂∂2 v u vz 2+=∂∂ 1=∂∂x u ,1=∂∂x v ;1=∂∂y u ,1-=∂∂yv 所以x z ∂∂⋅∂∂=u z +∂∂x u ⋅∂∂v z =∂∂xvx v u v u v u 6)(3)2()2(=+=+++y z ∂∂⋅∂∂=u z +∂∂y u ⋅∂∂v z =∂∂yv y v u v u v u 2)2()2(=-=+-+ 2、设v u z ln 2= y x v yxu 23,-==,求x z ∂∂,y z ∂∂解:v u u zln 2=∂∂ vu v z 2=∂∂ y x u 1=∂∂,3=∂∂x v ;2yx y u -=∂∂,2-=∂∂y v所以 x z ∂∂⋅∂∂=u z +∂∂x u ⋅∂∂v z =∂∂x v )23(3)23l n (23ln 21222y x y x y x y x v u v u y -+-=+y z ∂∂⋅∂∂=u z +∂∂y u ⋅∂∂v z =∂∂y v )23(2)23l n (22ln 2223222y x y x y x y x v u v u y x ----=-- 3、设v e z uln = 22222,2y x v y x u -=-=,求x z ∂∂,yz∂∂ 解:v e u z uln =∂∂ ve v z u =∂∂ x x u 4=∂∂,x x v 2=∂∂;y y u 2-=∂∂,y yv 4-=∂∂ 所以x z ∂∂⋅∂∂=u z +∂∂x u ⋅∂∂v z =∂∂xv]21)2ln(2[22ln 42222222yx y x xe v e x v xe y x u u-+-=+-y z ∂∂⋅∂∂=u z +∂∂y u ⋅∂∂v z =∂∂yv ]22)2ln(2[24ln 2222222yx y x ye v e y v ye y x u u-+--=--- 4、设y x e z 2-= 3,sin t y t x ==,求 dtdz解:y x e x z 2-=∂∂ y x e yz 22--=∂∂,t dt dx cos =,23t dt dy =, 所以dt dz ⋅∂∂=x z +dt dx ⋅∂∂y z =dtdy223c o s t te y x +-)2(2y x e --=)6(c o s 22s i n 3t t e t t -- 5、设)arcsin(y x z -= 34,3t y t x ==,求 dtdz 解:2)(11y x x z --=∂∂ 2)(11y x y z ---=∂∂,t dt dx 3=,212t dt dy =, 所以 dt dz ⋅∂∂=x z +dt dx ⋅∂∂y z =dtdy=---22)(1123y x t 232)43(1123t t t ---6、设)23tan(22y x t z -+= t y tx ==,1,求dtdz 解:2sec 4x x z =∂∂)23(22y x t -+ 2s e c 2y yz -=∂∂)23(22y x t -+, 2sec 3=dt dz )23(22y x t -+;21t dt dx -=,tdt dy 21=, 1=dt dt 所以t dz ∂⋅∂∂=x z +dt dx ⋅∂∂y z =∂∂+t z dt dy 2s e c )23(22y x t -+]3212)1(14[2+--tt t t 2sec =)22(2t t +)42(3t -⋅ 7、设1)(2+-=a z y e u ax xz x a y cos ,sin ==,求 dx du解:=∂∂x u 1)(2+-a z y ae ax ,=∂∂y u12+a ae ax ,-=∂∂z u 12+a ae ax x dx dy cos =;x dxdzsin -=,所以 dx du ⋅∂∂=x u ⋅∂∂+y u =⋅∂∂+dx dzz u dx dy ]s i n c o s )c o s s i n ([12x x a x x a a a e ax ++-+ x e ax sin =8、设222z y xe u ++= x y z sin 2=,求x u ∂∂,yu∂∂ 解:x x u 2=∂∂222z y x e ++⋅ y yu2=∂∂222z y x e ++⋅,z z u 2=∂∂222z y x e ++⋅ x y x z cos 2=∂∂,x y yz sin 2=∂∂; 所以:x u ∂∂=∂∂⋅∂∂+∂∂⋅+∂∂=xzz u y u x u 0]cos 22[2222x zy x e z y x +++ =+=++]cos sin 22[22sin 2422x xy y x e xy y x]2sin 2[4sin 2422x y x e xy y x+=++y u ∂∂=∂∂⋅∂∂+∂∂+⋅∂∂=yz z u y u x u 0]sin 222[222x y z y e z y x ⋅+++ =⋅+=++]sin 2sin 22[2sin 2422x y x y y e xy y x]sin 21[222sin 2422x y ye xy y x+++9、设)cos(22y x y x z +++= v y v u x arcsin ,=+=,求vu zu z ∂∂∂∂∂2, 解:)sin(2y x x x z +-=∂∂,)sin(2y x y yz +-=∂∂ 1=∂∂u x ,1=∂∂v x ,0=∂∂u y211vv y -=∂∂所以)a r c s i n s i n ()(2)s i n (2v v u v u y x x uz++-+=+-=∂∂)111)(arcsin cos(222vv v u v u z -+++-=∂∂∂ 10、设,arctan y xz =v u y v u x -=+=,验证:22vu v u v z u z +-=∂∂+∂∂ 证明:22yx yx z +=∂∂,22y x x y z +-=∂∂,1=∂∂u x ,1=∂∂v x ,11=∂∂u y ,1-=∂∂v y所以)(122x y y x u z -+=∂∂22v u v +-=,)(122x y yx v z ++=∂∂22v u u += 故有 左边=+-=∂∂+∂∂=22vu vu v z u z 右边 11、设f 具有连续的一阶偏导数,求下列函数的一阶偏导数 (1)、)34,23(y x y x f z -+=解:设y x v y x u 34,23-=+=,于是有3=∂∂x u ,2=∂∂y u ,4=∂∂x v ,3-=∂∂yv2143f f x z +=∂∂ =∂∂yz2133f f - (2)、),(22xy e y x f z -= 解:设xy e v y x u =-=,22,于是有x x u 2=∂∂,y y u 2-=∂∂,xy ye x v =∂∂,xu xe yv=∂∂ =∂∂x z 212f ye xf xy + 212f xe yf yzxy +-=∂∂ (3)、)32,ln (y x x y f z +=解:设y x v x y u 32,ln +==,于是有x y x u =∂∂,x y u ln =∂∂,2=∂∂x v ,3=∂∂yv212f f x y x z +=∂∂ 213ln f xf yz+=∂∂ (4)、),(yxx y f z = 解:设y x v x y u ==,,于是有2x y x u -=∂∂,x y u 1=∂∂,y x v 1=∂∂,2yx y v -=∂∂ 2121f y f xy x z +-=∂∂2211f y x f x y z -=∂∂ (5)、),,(y x y x x f z -+=解:设y x v y x u -=+=,,于是有1=∂∂x u ,1=∂∂x v ,1=∂∂y u ,1-=∂∂yv321f f f x z ++=∂∂ 32f f yz -=∂∂ (6)、),,(x y z xy x f u =解:设xyz t xy s ==,,于是有y x s =∂∂,yz x t =∂∂,x y s =∂∂,zx yt=∂∂ 0=∂∂z x ,0=∂∂z s xy zt=∂∂ 321yzf yf f x u ++=∂∂ 32z x f xf yu+=∂∂ 3xyf z u =∂∂ 12、设)(u f 具有连续的导数,)(xyxf xy z += 验证:z xy yz y x z x+=∂∂+∂∂ 验证:)])(()([2xy x y f x x y f y x x z x-'++=∂∂)()(x y f y x y xf xy '-+= ='+=∂∂)])(([xyx y f x x y y z y)(x y f y xy '+左边==+=+=∂∂+∂∂z xy xyxf xy y z y x z x)(2右边 13、设)(22y x f z +=,)(u f 具有二阶连续的导数,求,,222y x z x z ∂∂∂∂∂,22y z∂∂ 解:设22y x u +=有1f u z=∂∂ 1122f u z =∂∂ x x u 2=∂∂ 222=∂∂x u 0=∂∂∂y x u y y u2=∂∂ 222=∂∂yu 12xf x z =∂∂ x xf f x z 22211122+=∂∂112142f x f += 11112422xyf y xf yx z ==∂∂∂ 12yf y z=∂∂ 11212242f y f yz +=∂∂ 14、设f 具有二阶连续的导数,求,,222y x z x z ∂∂∂∂∂,22yz∂∂(1)、),(xy y x f z += 解:设xy v y x u =+=,有1f u z =∂∂ 1122f u z =∂∂ 122f v u z =∂∂∂ 2f v z =∂∂ 2222f v z =∂∂ 1=∂∂x u 022=∂∂x u 02=∂∂∂y x u 1=∂∂y u 022=∂∂y u y x v =∂∂ 022=∂∂x v 12=∂∂∂y x v x y v =∂∂ 022=∂∂yv 于是有:22222)(xv v z x u u z z v y u x z ∂∂∂∂+∂∂∂∂+∂∂+∂∂=∂∂22212112f y yf f ++=y x vv z y x u u z z v x u v y u y x z ∂∂∂∂∂+∂∂∂∂∂+∂∂+∂∂∂∂+∂∂=∂∂∂222))((2221211)(f xyf f y x f ++++= 22222)(y vv z y u u z z v x u yz ∂∂∂∂+∂∂∂∂+∂∂+∂∂=∂∂22212112f x xf f ++= (2)、),(yxxy f z =解:设yx v xy u ==, 有1f u z =∂∂ 1122f u z =∂∂ 122f v u z =∂∂∂ 2f v z=∂∂ 2222f v z =∂∂ y x u =∂∂ 022=∂∂x u 12=∂∂∂y x u x y u =∂∂ 022=∂∂yu y x v 1=∂∂ 022=∂∂x v221yy x v -=∂∂∂ 2y x y v -=∂∂ 3222y x y v =∂∂ 于是有:22222)1(x v v z x u u z z v y u y x z ∂∂∂∂+∂∂∂∂+∂∂+∂∂=∂∂2221211212f y f f y ++=yx vv z y x u u z z v y x u x v y u y y x z ∂∂∂∂∂+∂∂∂∂∂+∂∂-∂∂∂∂+∂∂=∂∂∂2222))(1(221223111f y f f y x xyf -+-+=222222)(y v v z y u u z z v y x u x y z ∂∂∂∂+∂∂∂∂+∂∂-∂∂=∂∂232242122211222f y x f y x f y x f x ++-=。
高等数学课后习题及参考答案(第八章)习题8-11. 判定下列平面点集中哪些是开集、闭集、区域、有界集、无界集?并分别指出它们的聚点所成的点集(称为导集)和边界. (1){(x , y )|x ≠0, y ≠0};解 开集, 无界集, 导集为R 2, 边界为 {(x , y )|x =0或y =0}. (2){(x , y )|1<x 2+y 2≤4};解 既非开集, 又非闭集, 有界集, 导集为 {(x , y )|1≤x 2+y 2≤4}, 边界为 {(x , y )|x 2+y 2=1或x 2+y 2=4}. (3){(x , y )|y >x 2}; 解 开集, 区域, 无界集, 导集为 {(x , y )| y ≥x 2}, 边界为 {(x , y )| y =x 2}.(4){(x , y )|x 2+(y -1)2≥1}⋂{(x , y )|x 2+(y -2)2≤4}. 解 闭集, 有界集, 导集与集合本身相同, 边界为 {(x , y )|x 2+(y -1)2=1}⋃{(x , y )|x 2+(y -2)2=4}.2. 已知函数yx xy y x y x f tan ),(22-+=, 试求f (tx , ty ).解 )(tan )()()()(),(22ty tx ty tx ty tx ty tx f ⋅⋅-+=),()tan (2222y x f t y x xy y x t =-+=.3. 试证函数F (x , y )=ln x ⋅ln y 满足关系式:F (xy , uv )=F (x , u )+F (x , v )+F (y , u )+F (y , v ).证明 F (xy , uv )=ln((x , y )⋅ln(uv )=(ln x +ln y )(ln u +ln v )=ln x ⋅ln u +ln x ⋅ln v +ln y ⋅ln u +ln y ⋅ln v =F (x , u )+F (x , v )+F (y , u )+F (y , v ). 4. 已知函数f (u , v , w )=u w +w u +v , 试求f (x +y , x -y , xy ). 解 f (x +y , x -y , xy )=(x +y )xy +(xy )(x +y )+(x -y )=(x +y )xy +(xy )2x .5. 求下列各函数的定义域: (1)z =ln(y 2-2x +1); 解 要使函数有意义, 必须 y 2-2x +1>0, 故函数的定义域为D ={(x , y )|y 2-2x +1>0}. (2)y x y x z -++=11;解 要使函数有意义, 必须 x +y >0, x -y >0, 故函数的定义域为D ={(x , y )|x +y >0, x -y >0}.(3)y x z -=;解 要使函数有意义, 必须 y ≥0,0≥-y x 即y x ≥, 于是有 x ≥0且x 2≥y , 故函数定义域为D ={(x , y )| x ≥0, y ≥0, x 2≥y }. (4)221)ln(yx x x y z --+-=; 解 要使函数有意义, 必须 y -x >0, x ≥0, 1-x 2-y 2>0, 故函数的定义域为D ={(x , y )| y -x >0, x ≥0, x 2+y 2<1}.(5)222222221r z y x z y x R u -+++---=(R >r >0); 解 要使函数有意义, 必须R 2-x 2-y 2-z 2≥0且x 2+y 2+z 2-r 2>0, 故函数的定义域为D ={(x , y , z )| r 2<x 2+y 2+z 2≤R 2}. (6)22arccos y x z u +=.解 要使函数有意义, 必须 x 2+y 2≠0, 且1||22≤+y x z 即z 2≤x 2+y 2, 故函数定义域为D ={(x , y , z )|z 2≤x 2+y 2, x 2+y 2≠0}.6. 求下列各极限: (1)22)1,0(),(1lim y x xyy x +-→;解110011lim22)1,0(),(=+-=+-→y x xy y x .(2)22)0,1(),()ln(lim yx e x y y x ++→; 解 2ln 01)1ln()ln(lim 22022)0,1(),(=++=++→e y x e x y yx . (3)xyxy y x 42lim )0,0(),(+-→; 解xy xy y x 42lim)0,0(),(+-→)42()42)(42(lim )0,0(),(+++++-=→xy xy xy xy y x 41)42(1lim )0,0(),(-=++-=→xy y x .(4)11lim )0,0(),(-+→xy xyy x ;解11lim)0,0(),(-+→xy xyy x )11)(11()11(lim)0,0(),(-+++++=→xy xy xy xy y x 2)11lim )11(lim )0,0(),()0,0(),(=++=++=→→xy xyxy xy y x y x . (5)yxy y x )sin(lim)0,2(),(→;解 y xy y x )sin(lim )0,2(),(→221sin lim )0,2(),(=⋅=⋅=→x xy xyy x .(6)22)()cos(1lim 2222)0,0(),(yx y x e y x y x ++-→. 解 2222)()(21lim )()cos(1lim 22222)0,0(),(2222)0,0(),(yx y x y x y x e y x y x e y x y x ++=++-→→ 0lim 212222)0,0(),(=+=→y x y x e y x (用等价无穷小代换). 7. 证明下列极限不存在: (1)yx yx y x -+→)0,0(),(lim;证明 如果动点p (x , y )沿y =0趋向(0, 0), 则1lim lim00 )0,0(),(==-+→=→x x y x yx x y y x ;如果动点p (x , y )沿x =0趋向(0, 0), 则1lim lim00 )0,0(),(-=-=-+→=→y yy x y x y x y x .因此, 极限yx yx y x -+→)0,0(),(lim不存在.(2)22222)0,0(),()(lim y x y x y x y x -+→. 证明 如果动点p (x , y )沿y =x 趋于(0, 0), 则1lim )(lim 44022222 )0,0(),(==-+→=→x x y x y x y x x xy y x ;如果动点p (x , y )沿y =2x 趋向(0, 0), 则044lim )(lim 2440222222 )0,0(),(=+=-+→=→x x x y x y x y x x xy y x .因此, 极限22222)0,0(),()(lim y x y x y x y x -+→不存在.8. 函数xy xy z 2222-+=在何处间断?解 因为当y 2-2x =0时, 函数无意义, 所以在y 2 -2x =0处, 函数xy x y z 2222-+=间断.9. 证明0lim 22)0,0(),(=+→yx xyy x . 证明 因为22||||2222222222y x yx y x y x xy y x xy +=++≤+=+,所以 02lim ||lim 022)0,0(),(22)0,0(),(=+≤+≤→→y x y x xyy x y x .因此 0lim22)0,0(),(=+→yx xyy x . 方法二:证明 因为2||22y x xy +≤, 故22||22222222y x y x y x y x xy +=++=+. 对于任意给定的ε>0, 取δ=2ε, 当δ<+<220y x 时恒有εδ=<+≤-+22|0|2222y x y x xy,所以 0lim22)0,0(),(=+→yx xyy x .10. 设F (x , y )=f (x ), f (x )在x 0处连续, 证明: 对任意y 0∈R , F (x , y )在(x 0, y 0)处连续.证明 由题设知, f (x )在x 0处连续, 故对于任意给定的ε>0, 取δ>0, 当|x -x 0|<δ时, 有|f (x )-f (x 0)|<ε.作(x 0, y 0)的邻域U ((x 0, y 0), δ), 显然当(x , y )∈U ((x 0, y 0), δ)时, |x -x 0|<δ, 从而|F (x , y )-F (x 0, y 0)|=|f (x )-f (x 0)|<ε, 所以F (x , y )在点(x 0, y 0)处连续.又因为y 0是任意的, 所以对任意y 0∈R , F (x , y )在(x 0, y 0)处连续.习题8-21. 求下列函数的偏导数: (1) z =x 3y -y 3x ; 解 323y y x xz -=∂∂,233xy x y z -=∂∂.(2)uvvu s 22+=;解 21)(uv v u v v u u u s -=+∂∂=∂∂,21)(vu u u v v u v v s -=+∂∂=∂∂.(3))ln(xy z =;解 x y x y x x x z 1ln ln 121)ln ln (⋅+⋅=+∂∂=∂∂)ln(21xy x =. 同理 )ln(21xy y y z =∂∂.(4) z =sin(xy )+cos 2(xy );解 y xy xy y xy xz ⋅-⋅+⋅=∂∂)]sin([)cos(2)cos()]2sin()[cos(xy xy y -=根据对称性可知)]2sin()[cos(xy xy x yz -=∂∂.(5)yx z tan ln =;解 yx y y y x yx x z 2csc 21sec tan 12=⋅⋅=∂∂,yx y x y x y x yx y z 2csc 2sec tan 1222-=-⋅⋅=∂∂. (6) z =(1+xy )y ;解 121)1()1(--+=⋅+=∂∂y y xy y y xy y xz ,]1)1[ln()1ln()1ln(xyx y xy e e y y z xy y xy y +⋅++=∂∂=∂∂++]1)1[ln()1(xy xyxy xy y ++++=.(7)zy x u =;解 )1(-=∂∂z y x zy x u ,x x zz x x y u z yz y ln 11ln ⋅=⋅=∂∂,x x zy z y x x z u z yz y ln )(ln 22⋅-=-=∂∂.(8) u =arctan(x -y )z ;解 zz y x y x z x u 21)(1)(-+-=∂∂-, zz y x y x z y u 21)(1)(-+--=∂∂-, zz y x y x y x z u 2)(1)ln()(-+--=∂∂. 2. 设g l T π2=, 试证0=∂∂+∂∂g T g l T l .解 因为lg l T ⋅⋅=∂∂1π,gg g l g T 1)21(223⋅-=⋅-⋅=∂∂-ππ, 所以 0=⋅-⋅=∂∂+∂∂g l g l g T g l T l ππ. 3. 设)11(yx ez +-=, 求证z yz y x z x 222=∂∂+∂∂.解 因为2)11(1x ex z yx ⋅=∂∂+-, 2)11(1y e yz y x ⋅=∂∂+-, 所以 z eeyz y x z x yx yx 2)11()11(22=+=∂∂+∂∂+-+-4. 设y x y x y x f arcsin )1(),(-+=, 求)1 ,(x f x .解 因为x x x x f =-+=1arcsin )11()1 ,(,所以 1)1 ,()1 ,(==x f dx d x f x .5. 曲线⎪⎩⎪⎨⎧=+=4422y y x z 在点(2, 4, 5)处的切线与正向x 轴所成的倾角是多少? 解 因为242x x x z ==∂∂,αtan 1)5,4,2(==∂∂xz ,故 4πα=.6. 求下列函数的22x z ∂∂, 22y z ∂∂, yx z ∂∂∂2. (1) z =x 4+y 4-4x 2y 2;解 2384xy x xz -=∂∂, 2222812y x x z -=∂∂; y x y yz 2384-=∂∂, 2222812x y y z -=∂∂;xy y x y yy x z 16)84(232-=-∂∂=∂∂∂. (2)xyz arctan =;解 22222)(11y x y x y xy x z +-=-⋅+=∂∂,22222)(2y x xy x z +=∂∂; 2222)1(11y x x x xy yz +=⋅+=∂∂, 22222)(2y x xy y z +-=∂∂;22222222222222)()(2)()(y x x y y x y y x y x y y y x z +-=+-+-=+-∂∂=∂∂∂. (3) z =y x .解 y y xz xln =∂∂, y y x z x 222ln =∂∂; 1-=∂∂x xy yz , 222)1(--=∂∂x y x x y z ;)1ln (1ln )ln (112+=⋅+=∂∂=∂∂∂--y x y yy y xy y y y y x z x x x x . 7. 设f (x , y , z )=xy 2+yz 2+zx 2, 求f xx (0, 0, 1), f xz (1, 0, 2), f yz (0, -1, 0)及f zzx (2, 0, 1). 解 因为f x =y 2+2xz , f xx =2z , f xz =2x , f y =2xy +z 2, f yz =2z ,f z =2yz +x 2, f zz =2y , f zzx =0, 所以 f xx (0, 0, 1)=2, f xz (1, 0, 2)=2, f yz (0, -1, 0)=0, f zzx (2, 0, 1)=0.8. 设z =x ln(xy ), 求y x z ∂∂∂23及23y x z ∂∂∂. 解 1)ln()ln(+=⋅+=∂∂xy xyyx xy x z ,x xy y x z 122==∂∂, 023=∂∂∂y x z ,y xy x y x z 12==∂∂∂, 2231y y x z -=∂∂∂. 9. 验证:(1)nx e y tkn sin 2-=满足22xy k t y ∂∂=∂∂;证明 因为nx e kn kn nx e t y t kn t kn sin )(sin 2222⋅-=-⋅⋅=∂∂--, nx ne x y tkn cos 2-=∂∂, nx e n x y t kn sin 2222--=∂∂, nx e kn xy k t kn sin 2222--=∂∂,所以 22xyk t y ∂∂=∂∂.(2)222z y x r ++=满足rz r y r x r 2222222=∂∂+∂∂+∂∂. 证明 r x z y x x x r =++=∂∂222, 322222r x r r x r x r xr -=∂∂-=∂∂, 由对称性知32222ry r y r -=∂∂, 32222r z r z r -=∂∂,因此 322322322222222rz r r y r r x r z r y r x r -+-+-=∂∂+∂∂+∂∂ rr r r r z y x r 23)(332232222=-=++-=. 习题8-31. 求下列函数的全微分: (1)yx xy z +=;解 dy y z dx x z dz ∂∂+∂∂=dy y x x dx y y )()1(2-++=.(2)xy e z =;解 xdy e x dx e x y dy y z dx x z dz y x y 12+-=∂∂+∂∂=.(3) 22yx y z +=;解 因为2/3222322)()(21y x xy y x y x z +-=+-=∂∂-, 2/3222222222)(y x x y x y x yy y x y z +=++⋅-+=∂∂, 所以 dy y x x dx y x xy dz 2/32222/322)()(+++-=)()(2/322xdy ydx y x x -+-=.(4)u =x yz . 解 因为1-⋅=∂∂yz x yz x u , x zx yu yz ln =∂∂, x yx z u yz ln =∂∂,所以 xdz yx xdy zx dx yzx du yz yz yz ln ln 1++=-.2. 求函数z =ln(1+x 2+y 2)当x =1, y =2时的全微分. 解 因为2212y x x x z ++=∂∂, 2212y x y y z ++=∂∂, 3121=∂∂==y x xz, 3221=∂∂==y x y z , 所以 dy dx dz y x 323121⋅+===.3. 求函数xyz =当x =2, y =1, ∆x =0.1, ∆y =-0.2时的全增量和全微分. 解 因为xy x x y y z -∆+∆+=∆, y x x x ydz ∆+∆-=12,所以, 当x =2, y =1, ∆x =0.1, ∆y =-0.2时,119.0211.02)2.0(1-=-+-+=∆z , 125.0)2.0(211.041-=-⨯+⨯-=dz .4. 求函数z =e xy 当x =1, y =1, ∆x =0.15, ∆y =0.1时的全微分. 解 因为y xe x ye y yz x x z dz xy xy ∆+∆=∆∂∂+∆∂∂=所以, 当x =1, y =1, ∆x =0.15, ∆y =0.1时, e e e dz 25.01.015.0=⋅+⋅=.*5. 计算33)97.1()102(+的近似值. 解 设33y x z +=, 由于y yz x x z y x y y x x ∆∂∂+∆∂∂++≈∆++∆+3333)()(332233233y x y y x x y x +∆+∆++=, 所以取x =1, y =2, ∆x =0.02, ∆y =-0.03可得95.2212)03.0(2302.0321)97.1()02.1(32333=+-⋅⋅+⋅++≈+. *6. 计算(1.97)1.05的近似值(ln2=0.693). 解 设z =x y , 由于y yz x x z x x x y y y ∆∂∂+∆∂∂+≈∆+∆+)(y x x x yx x y y y ∆+∆+=-ln 1,所以取x =2, y =1, ∆x =-0.03, ∆y =0.05可得(1.97)1.05≈2-0.03+2ln2⋅0.05+1.97+0.0693 ≈2.093.*7. 已知边长为x =6m 与y =8m 的矩形, 如果x 边增加5cm 而y 边减少10cm ,问这个矩形的对角线的近似变化怎样?解 矩形的对角线为22y x z +=,)(122y y x x yx y dy dz x dx dz dz z ∆+∆+=∆+∆=≈∆,当x =6, y =8, ∆x =0.05, ∆y =-0.1时,05.0)1.0805.06(86122-=⋅-⋅+≈∆z .这个矩形的对角线大约减少5cm .*8. 设有一无盖圆柱形容器, 容器的壁与底的厚度均为0.1cm , 内高为20cm ,内半径为4厘米, 求容器外壳体积的近似值.解 圆柱体的体积公式为V =πR 2h , ∆V ≈dV =2πRh ∆R +πR 2∆h , 当R =4, h =20, ∆R =∆h =0.1时,∆V ≈2⨯3.14⨯4⨯20⨯0.1+3.14⨯42⨯0.1≈55.3(cm 3), 这个容器外壳的体积大约是55.3cm 3.*9. 设有直角三角形, 测得其两腰的长分别为7±0.1cm 和24±0.1cm , 试求利用上述二值来计算斜边长度时的绝对误差. 解 设两直角边的长度分别为x 和y , 则斜边的长度为22y x z +=.||||||||||||y y z x x z dz z ∆⋅∂∂+∆⋅∂∂≤≈∆|)|||(122y y x x y x ∆+∆+=.令x =7, y =24, |∆x |≤0.1, |∆y |≤0.1, 则得斜边长度z 的绝对误差约为124.0)1.0241.07(247122=⋅+⋅+=z δcm .*10. 测得一块三角形土地的两边长分别为63±0.1m 和78±0.1m ,这两边的夹角为60︒±1︒, 试求三角形面积的近似值, 并求其绝对误差和相对误差.解 设三角形的两边长为x 和y , 它们的夹角z , 为则三角形面积为z xy s sin 21=.zdz xy zdy x zdx y dS cos 21sin 21sin 21++=||cos 21||sin 21||sin 21||||dz z xy dy z x dx z y dS S ++≤≈∆.令x =63, y =78, 3π=z , |dx |=0.1, |dy |=0.1, 180π=dz , 则55.2718021278631.0232631.023278=⨯⨯⨯+⨯⨯+⨯⨯≈πδs ,82.21273sin 786321=⋅⋅⋅=πS ,%29.182.212755.27==S s δ,所以三角形面积的近似值为2127.82m 2, 绝对误差为27.55m 2, 相对误差为1.29%.*11. 利用全微分证明: 两数之和的绝对误差等于它们各自的绝对误差之和.证明 设u =x +y , 则||||||||||||y x y x y yu x x u du u ∆+∆≤∆+∆=∆∂∂+∆∂∂=≈∆.所以两数之和的绝对误差|∆u |等于它们各自的绝对误差|∆x |与|∆y |的和.*12. 利用全微分证明: 乘积的相对误差等于各因子的相对误差之和; 商的相对误差等于被除数及除数的相对误差之和. 证明 设u =xy , y x v =, 则∆u ≈du =ydx +xdy ,2yxdyydx dv v -=≈∆, 由此可得相对误差;||||||||y dy x dx xy xdy ydx u du u u +=+=≈∆||||||||yyx x y dy x dx ∆+∆=+≤;||||||||2y dy x dx yxy xdy ydx v dv v v -=⋅-==∆||||||||y yx x y dy x dx ∆+∆=+≤.习题8-41. 设z =u 2-v 2, 而u =x +y , v =x -y , 求x z ∂∂, y z ∂∂.解 xv v z x u u z x z ∂∂⋅∂∂+∂∂⋅∂∂=∂∂=2u ⋅1+2v ⋅1=2(u +v )=4x ,y v v z y u u z y z ∂∂⋅∂∂+∂∂⋅∂∂=∂∂=2u ⋅1+2v ⋅(-1)=2(u -v )=4y .2. 设z =u 2ln v , 而y x u =, v =3x -2y , 求x z ∂∂, y z ∂∂.解 xv v z x u u z x z ∂∂⋅∂∂+∂∂⋅∂∂=∂∂31ln 22⋅+⋅=v u y v u 222)23(3)23ln(2y y x x y x y x -+-=, yv v z y u u z y z ∂∂⋅∂∂+∂∂⋅∂∂=∂∂)2()(ln 222-+-⋅=v u y x v u 2232)23(2)23ln(2y y x x y x y x ----=. 3. 设z =e x -2y , 而x =sin t , y =t 3, 求dtdz .解 dt dyy z dt dx x z dt dz ⋅∂∂+⋅∂∂=2223)2(cos t e t e y x y x ⋅-⋅+=--)6(cos )6(cos 22sin 223t t e t t e t t y x -=-=--.4. 设z =arcsin(x - y ), 而x +3t , y =4t 3, 求dtdz .解 dt dy y z dt dx x z dt dz ⋅∂∂+⋅∂∂=22212)(113)(11t y x y x ⋅---+⋅--= 232)43(1)41(3t t t ---=. 5. 设z =arctan(xy ), 而y =e x , 求dxdz .解 dx dy y z x z dx dz ⋅∂∂+∂∂=x xxe x x e e y x x y x y 2222221)1(11++=⋅+++=.6. 设1)(2+-=a z y e u ax , 而y =a sin x , z =cos x , 求dxdu .解 dxdz dz u dx dyy u x u dx du ⋅∂+⋅∂∂+∂∂=)sin (1cos 11)(222x a e x a a e a z y ae ax ax ax -⋅+-⋅+++-= )sin cos cos sin (122x x a x a x a a e ax ++-+=x e ax sin =. 7. 设yx z arctan =, 而x =u +v , y =u -v , 验证22v u v uv z u z +-=∂∂+∂∂. 证明)()(vy y z v x x z u y y z u x x z v z u z ∂∂⋅∂∂+∂∂⋅∂∂+∂∂⋅∂∂+∂∂⋅∂∂=∂∂+∂∂)()(111)(11222y x yx y y x -⋅++⋅+=)1()()(111)(11222-⋅-⋅++⋅++y x yx y y x22222v u v u y x y +-=+=. 8. 求下列函数的一阶偏导数(其中f 具有一阶连续偏导数): (1) u =f (x 2-y 2, e xy );解 将两个中间变量按顺序编为1, 2号, 2122212)()(f ye f x xe f x y x f x u xy xy '+'=∂∂⋅'+∂-∂⋅'=∂∂, 212)2212)((f xe f y y e f y y x f y u xy xy '+'-=∂∂⋅'+∂-∂⋅'=∂∂.(2)) ,(zyy x f u =;解1211)()(f yz y x f y x x f x u '=∂∂⋅'+∂∂⋅'=∂∂, )()(21z yy f y x y f y u ∂∂⋅'+∂∂'=∂∂2121f z f y x '+'-=,)()(21z y z f z x z f z u ∂∂⋅'+∂∂'=∂∂22f zy'⋅-=.(3) u =f (x , xy , xyz ).解 yz f y f f x u ⋅'+⋅'+⋅'=∂∂3211321f yz f y f '+'+'=,3232f xz f x xz f x f y u '+'=⋅'+⋅'=∂∂,33f xy xy f zu '=⋅'=∂∂.9. 设z =xy +xF (u ), 而xyu =, F (u )为可导函数, 证明xy z yz y x z x +=∂∂+∂∂⋅. 证明 y z y x z x ∂∂⋅+∂∂⋅])([])()([y u u F x x y x u u F x u F y x ∂∂'+⋅+∂∂'++=)]([)]()([u F x y u F xyu F y x '+⋅+'-+==xy +xF (u )+xy =z +xy .10. 设)(22y x f yz -=, 其中f (u )为可导函数, 验证211y z y z y x z x =∂∂+∂∂.证明 ()()u f f xy u f x f y x z 2222'-=⋅'⋅-=∂∂, ()()u f f y u f u f y f y u f y z 2222)(1)2()('-+=-⋅'⋅-=∂∂, 所以 )(11221122u f y u f f y u f f y y z y x z x ⋅+'+'-=∂∂⋅+∂∂⋅211yz zy y =⋅. 11. 设z =f (x 2+y 2), 其中f 具有二阶导数, 求22x z ∂∂, y x z ∂∂∂2, 22yz ∂∂. 解 令u =x 2+y 2, 则z =f (u ), f x xu u f x z '=∂∂'=∂∂2)(,f y yu u f y z '=∂∂'=∂∂2)(,f x f x u f x f x z ''+'=∂∂⋅''+'=∂∂2224222,f xy yu f x y x z ''=∂∂⋅''=∂∂∂422, f y f yu f y f y z ''+'=∂∂⋅''+'=∂∂422222. 12. 求下列函数的22x z ∂∂,y x z ∂∂∂2,22y z ∂∂(其中f 具有二阶连续偏导数):(1) z =f (xy , y );解 令u =xy , v =y , 则z =f (u , v ).ufy v f y u f x v v f x u u f x z ∂∂=⋅∂∂+⋅∂∂=∂∂⋅∂∂+∂∂⋅∂∂=∂∂0,vfu f x v f x u f y v v f y u u f y z ∂∂+∂∂=⋅∂∂+⋅∂∂=∂∂⋅∂∂+∂∂⋅∂∂=∂∂1.因为f (u , v )是u 和v 的函数, 所以u f∂∂和vf ∂∂也是u 和v 的函数, 从而u f∂∂和vf ∂∂是以u 和v 为中间变量的x 和y 的函数. )()()(22uf x y u f y x x z x x z ∂∂∂∂=∂∂∂∂=∂∂∂∂=∂∂222222222)0()(u f y v u f y u f y x v v u f x u u f y ∂∂=⋅∂∂∂+⋅∂∂=∂∂⋅∂∂∂+∂∂⋅∂∂=,)(1)()(2uf y y u f u f y y x z y y x z ∂∂∂∂+∂∂⋅=∂∂∂∂=∂∂∂∂=∂∂∂ )(222yvv u f y u u f y u f ∂∂⋅∂∂∂+∂∂⋅∂∂+∂∂=v u fy u f xy u f v u f x u f y u f ∂∂∂+∂∂+∂∂=⋅∂∂∂+⋅∂∂+∂∂=222222)1(,)()()()(22vf y u f y x v f u f x y y z y y z∂∂∂∂+∂∂∂∂=∂∂+∂∂∂∂=∂∂∂∂=∂∂ y vv f y u u v f y v v u f y u u f x ∂∂⋅∂∂+∂∂⋅∂∂∂+∂∂⋅∂∂∂+∂∂⋅∂∂=222222)(1)1(222222⋅∂∂+⋅∂∂∂+⋅∂∂∂+⋅∂∂=v fx u v f v u f x u f x 2222222vf v u f x u f x ∂∂+∂∂∂+∂∂=. (2)) ,(yx x f z =;解 令u =x ,yx v =, 则z =f (u , v ).v fy u f x v v f dx du u f x z ∂∂⋅+∂∂=∂∂⋅∂∂+⋅∂∂=∂∂1,vfy x dy dv v f y z ∂∂⋅-=⋅∂∂=∂∂2.因为f (u , v )是u 和v 的函数, 所以u f∂∂和vf ∂∂也是u 和v 的函数, 从而u f∂∂和v f ∂∂是以u 和v 为中间变量的x 和y 的函数. )(1)()1()(22vf x y u f x v f y u f x x z x x z ∂∂∂∂⋅+∂∂∂∂=∂∂⋅+∂∂∂∂=∂∂∂∂=∂∂ )(1)(222222xvv f dx du u v f y x v v u f dx du u f ∂∂⋅∂∂+⋅∂∂∂+∂∂⋅∂∂∂+⋅∂∂=22222212vfy v u f y u f ∂∂⋅+∂∂∂⋅+∂∂=,)1()(2vf y u f y x z y y x z ∂∂⋅+∂∂∂∂=∂∂∂∂=∂∂∂ )(1)1()(vfy y v f y dy d u f y ∂∂∂∂⋅+∂∂⋅+∂∂∂∂=y vv f y v f y y v v u f ∂∂⋅∂∂⋅+∂∂⋅-∂∂⋅∂∂∂=222112232221v f y x v f y v u f y x ∂∂⋅-∂∂⋅-∂∂∂⋅-= )()()(2222vf y y x v f y x y y z y y z ∂∂∂∂⋅-∂∂⋅-∂∂=∂∂∂∂=∂∂ 22423222322v f y x v f y x y v v f y x v f y x ∂∂⋅+∂∂⋅=∂∂⋅∂∂⋅-∂∂⋅=. (3) z =f (xy 2, x 2y );解 z x =f 1'⋅y 2+f 2'⋅2xy =y 2f 1'+2xyf 2',z y=f1'⋅2xy+f2'⋅x2=2xyf1'+x2f2';z xx=y2[f11''⋅y2+f12''⋅2xy]+2yf2''+2xy[f21''⋅y2+f22''⋅2xy]=y4f11''+2xy3f12''+2yf2''+2xy3f21''+4x2y2 f22''=y4f11''+4xy3f12''+2yf2''+4x2y2 f22'',z xy=2y f1'+y2[f11''⋅2xy+f12''⋅x2]+2xf2'+2xy[f21''⋅2xy+f22''⋅x2]=2y f1'+2xy3f11''+x2y2f12''+2xf2'+4x2y2f21''+2x3yf22''=2y f1'+2xy3f11''+5x2y2f12''+2xf2'+2x3yf22'',z yy=2xf1'+2xy[f11''⋅2xy+f12''⋅x2]+x2[f21''⋅2xy+f22''⋅x2]=2xf1'+4x2y2f11''+2x3y f12''+2x3yf21''+x4f22''=2xf1'+4x2y2f11''+4x3y f12''+x4f22''.(4) z=f(sin x, cos y,e x+y).解z x=f1'⋅cos x+ f3'⋅e x+y=cos x f1'+e x+y f3',z y=f2'⋅(-sin y)+ f3'⋅e x+y=-sin y f2'+e x+y f3',z xx=-sin x f1'+cos x⋅(f11''⋅cos x+ f13''⋅e x+y)+e x+y f3'+e x+y(f31''⋅cos x+ f33''⋅e x+y)=-sin x f1'+cos2x f11''+e x+y cos x f13''+e x+y f3'+e x+y cos x f31''+e2(x+y) f33''=-sin x f1'+cos2x f11''+2e x+y cos x f13''+e x+y f3'+e2(x+y) f33'', z xy=cos x[f12''⋅(-sin y)+ f13''⋅e x+y]+e x+y f3'+e x+y [f32''⋅(-sin y)+ f33''⋅e x+y]=-sin y cos x f12''+e x+y cos x f13'+e x+y f3'-e x+y sin y f32'+e2(x+y)f33'=-sin y cos x f12''+e x+y cos x f13''+e x+y f3'-e x+y sin y f32''+e2(x+y)f33'',z yy=-cos y f2'-sin y[f22''⋅(-sin y)+ f23''⋅e x+y]+e x+y f3'+e x+y[f32''⋅(-sin y)+ f33''⋅e x+y]=-cos y f 2'+sin 2y f 22''-e x +y sin y f 23'' +e x +y f 3'-e x +y sin y f 32''+ f 33''⋅e 2(x +y )=-cos y f 2'+sin 2y f 22''-2e x +y sin y f 23''+e x +y f 3'+f 33''⋅e 2(x +y ). 13. 设u =f (x , y )的所有二阶偏导数连续, 而23t s x -=,23ts y +=, 证明2222)()()()(tu s u y u x u ∂∂+∂∂=∂∂+∂∂及22222222t u s u y u x u ∂∂+∂∂=∂∂+∂∂.证明 因为y u x u s yy u s x x u s u ∂∂⋅+∂∂⋅=∂∂⋅∂∂+∂∂⋅∂∂=∂∂2321yu x u t yy u t x x u t u ∂∂⋅+∂∂⋅-=∂∂⋅∂∂+∂∂⋅∂∂=∂∂2123所以2222)2123()2321()()(y u x u y u x u t u s u ∂∂+∂∂-+∂∂+∂∂=∂∂+∂∂22)()(yu x u ∂∂+∂∂=.又因为)2321()(22yu x u s s u s s u∂∂⋅+∂∂⋅∂∂=∂∂∂∂=∂∂ )(23)(21222222s y y u s x x y u s y y x u s x x u ∂∂⋅∂∂+∂∂⋅∂∂∂+∂∂⋅∂∂∂+∂∂⋅∂∂= )2321(23)2321(21222222yu x y u y x u x u ∂∂⋅+∂∂∂⋅+∂∂∂⋅+∂∂⋅=22222432341y u y x u x u ∂∂⋅+∂∂∂⋅+∂∂⋅=, )2123()(22yu x u t t u t t u ∂∂⋅+∂∂⋅-∂∂=∂∂∂∂=∂∂ )(21)(23222222t y y u t x x y u t y y x u t x x u ∂∂⋅∂∂+∂∂⋅∂∂∂+∂∂⋅∂∂∂+∂∂⋅∂∂-= )2123(21)2123(23222222y u x y u y x u x u ∂∂⋅+∂∂∂⋅-+∂∂∂⋅+∂∂⋅--= 22222412343yu y x u x u ∂∂⋅+∂∂∂⋅-∂∂⋅=, 所以 22222222yu x u t u s u ∂∂+∂∂=∂∂+∂∂. 习题8-51. 设sin y +e x-xy 2=0, 求dxdy.解 令F (x , y )=sin y +e x -xy 2, 则F x =e x -y 2, F y =cos y -2xy , xy y e y xy y y e F F dx dy xy x 2cos 2cos 222--=---=-=. 2. 设xy y x arctan ln 22=+, 求dx dy.解 令xy y x y x F arctan ln ),(22-+=, 则22222222)()(11221y x y x x y xy y x x y x F x ++=-⋅+-+⋅+=, 22222221)(11221yx x y x xy y x y y x F y +-=⋅+-+⋅+=, y x y x F F dx dyy x -+=-=. 3. 设022=-++xyz z y x , 求x z ∂∂及y z ∂∂.解 令xyz z y x z y x F 22),,(-++=, 则 xyz yz F x -=1, xyzxz F y -=2, xyz xyF z -=1, xy xyz xyz yz F F x z z x --=-=∂∂, xy xyz xyz xz F F y z z y --=-=∂∂2. 4. 设y z z x ln =, 求x z ∂∂及y z ∂∂,解 令yz z x z y x F ln ),,(-=, 则 z F x 1=, y y z y z F y 1)(12=-⋅-=, 2211z z x y yz z x F z +-=⋅--=, 所以 z x z F F x z z x +=-=∂∂, )(2z x y z F F yz z y +=-=∂∂.5. 设2sin(x +2y -3z )=x +2y -3z , 证明1=∂∂+∂∂y z x z证明 设F (x , y , z )=2sin(x +2y -3z )-x -2y +3z , 则F x =2cos(x +2y -3z )-1, F y =2cos(x +2y -3z )⋅2-2=2F x ,F z =2cos(x +2y -3z )⋅(-3)+3=-3F x ,313=--=-=∂∂x x z x F F F F x z ,3232=--=-=∂∂x x z y F F F F y z , 于是 13231=+=--=∂∂+∂∂z z z x F FF F y z x z .6. 设x =x (y , z ), y =y (x , z ), z =z (x , y )都是由方程F (x , y , z )=0所确定的具有连续偏导数的函数, 证明1-=∂∂⋅∂∂⋅∂∂x z z yy x .解 因为x y F F y x -=∂∂, y z F F z y -=∂∂, zx F F x z -=∂∂, 所以 1)()()(-=-⋅-⋅-=∂∂⋅∂∂⋅∂∂zx y z x y F F F F F F x z z y y x . 7. 设ϕ(u , v )具有连续偏导数, 证明由方程ϕ(cx -az , cy -bz )=0 所确定的函数z =f (x , y )满足 c y z b x z a =∂∂+∂∂.证明 因为vu u v u u b a c b a c x z ϕϕϕϕϕϕ+=⋅-⋅-⋅-=∂∂,vu vv u v b a c b a c y z ϕϕϕϕϕϕ+=⋅-⋅-⋅-=∂∂,所以 c b a c b b a c a y z b x z a vu v v u u =+++⋅=∂∂+∂∂ϕϕϕϕϕϕ.8. 设e z-xyz =0, 求22x z ∂∂. 解 设F (x , y , z )=e z -xyz , 则F x =-yz , F z =e z-xy , xye yz F F x z zz x -=-=∂∂, 222)()()()(xy e y x z e yz xy e x z y x z x x z z z z --∂∂--∂∂=∂∂∂∂=∂∂ 222)()(xy e xye yzyze xy ye z y zz z z ----+=32232)(22xy e e z y z xy ze y z zz ---=. 9. 设z 3-3xyz =a 3, 求yx z ∂∂∂2. 解 令F (x , y , z )=z 3-3xyz -a 3, 则 xy z yzxy z yz F F x z z x -=---=-=∂∂22333,xyz xz xy z xz F F y z z y -=---=-=∂∂22333, )()(22xyz yz y x z y y x z -∂∂=∂∂∂∂=∂∂∂ 222)()2())((xy z x yz z yz xy z y z y z --∂∂--∂∂+=22222)()2()()(xy z x xyz xz z yz xy z xy z xz yz -----⋅-+=322224)()2(xy z y x xyz z z ---=. 10. 求由下列方程组所确定的函数的导数或偏导数: (1)设⎩⎨⎧=+++=203222222z y x y x z , 求dx dy , dx dz ; 解 视y =y (x ), z =z (x ), 方程两边对x 求导得 ⎪⎩⎪⎨⎧=+++=064222dx dz z dx dy y x dx dy y x dx dz , 即⎪⎩⎪⎨⎧-=+-=-xdx dzz dxdy y x dx dz dx dy y 3222.解方程组得 )13(2)16(++-=∂∂z y z x x y , 13+=z x dx dz.(2)设⎩⎨⎧=++=++10222z y x z y x , 求dz dx ,dz dy ; 解 视x =x (z ), y =y (z ), 方程两边对z 求导得 ⎪⎩⎪⎨⎧=++=++022201z dz dy y dz dx x dz dy dz dx , 即⎪⎩⎪⎨⎧-=+-=+zdz dy y dzdxx dz dy dz dx 2221.解方程组得y x z y z x --=∂∂, yx xz z y --=∂∂.(3)设⎩⎨⎧-=+=),(),(2y v x u g v y v ux f u , 其中f , g 具有一阶连续偏导数, 求x u ∂∂,xv ∂∂; 解 视u =u (x , y ), v =v (x , y ), 方程两边对x 求偏导得⎪⎩⎪⎨⎧∂∂⋅'+-∂∂⋅'=∂∂∂∂⋅'+∂∂+⋅'=∂∂x v yv g x u g xv x vf x u x u f x u 21212)1()( , 即 ⎪⎩⎪⎨⎧'=∂∂⋅⋅-'+∂∂'''-=∂∂⋅'+∂∂-'121121)12()1(g x v g yv xu g f u x v f x u f x . 解之得1221221)12)(1()12(g f g yv f x g f g yv f u x u ''--'-'''--''-=∂∂, 1221111)12)(1()1(g f g yv f x f u f x g x v ''--'-'-'+''=∂∂.(4)设⎩⎨⎧-=+=vu e y v u e x u u cos sin , 求x u ∂∂, y u ∂∂, x v ∂∂, y v ∂∂. 解 视u =u (x , y ), v =v (x , y ), 方程两边微分得⎩⎨⎧+-=++=vdv u vdu du e dy vdv u vdu du e dx u u sin cos cos sin , 即 ⎩⎨⎧=+-=++dy vdv u du v e dx vdv u du v e u u sin )cos (cos )sin (, 从中解出du , dv 得dy v v e v dx v v e v du u u 1)cos (sin cos 1)cos (sin sin +--++-=, dy v v e u e v dx v v e u e v dv u u u u ]1)cos (sin [sin ]1)cos (sin [cos +-+++--=, 从而 1)cos (sin sin +-=∂∂v v e v x u u , 1)cos (sin cos +--=∂∂v v e v y u u , ]1)cos (sin [cos +--=∂∂v v e u e v x v u u , ]1)cos (sin [sin +-+=∂∂v v e u e v y v u u . 11. 设y =f (x , t ), 而t 是由方程F (x , y , t )=0所确定的x , y 的函数, 其中f , F 都具有一阶连续偏导数, 试证明:tFy F t f x F t f t F x f dx dy ∂∂+∂∂⋅∂∂∂∂⋅∂∂-∂∂⋅∂∂=. 证明 由方程组⎩⎨⎧==0),,(),(t y x F t x f y 可确定两个一元隐函数⎩⎨⎧==)()(x t t x y y , 方程两边对x 求导可得 ⎪⎩⎪⎨⎧=⋅∂∂+⋅∂∂+∂∂⋅∂∂+∂∂=0dxdt t F dx dy y F x F dx dt t f x f dx dy , 移项得 ⎪⎩⎪⎨⎧∂∂-=∂∂+⋅∂∂∂∂=⋅∂∂-x F dxdt t F dx dy y F x f dx dt t f dx dy ,在01≠∂∂⋅∂∂+∂∂=∂∂∂∂∂∂-=y F t f t F t F y F t fD 的条件下 yF t f t F x F t f t F x f t F x F t f x f D dx dy ∂∂⋅∂∂+∂∂∂∂⋅∂∂-∂∂⋅∂∂=∂∂∂∂-∂∂-∂∂⋅=1.习题8-61. 求曲线x =t -sin t , y =1-cos t , 2sin 4t z =在点)22 ,1 ,12 (-π处的切线及法平面方程.解 x '(t )=1-cos t , y '(t )=sin t , 2cos 2)(t t z ='. 因为点)22 ,1 ,12 (-π所对应的参数为2π=t , 故在点)22 ,1 ,12(-π处的切向量为)2 ,1 ,1(=T . 因此在点)22 ,1 ,12(-π处, 切线方程为 22211121-=-=-+z y x π, 法平面方程为0)22(2)1(1)12(1=-+-⋅++-⋅z y x π, 即422+=++πz y x .2. 求曲线t t x +=1, tt y +=1, z =t 2在对应于t =1的点处的切线及法平面方程.解 2)1(1)(t t x +=', 21)(t t y -=', z '(t )=2t . 在t =1所对应的点处, 切向量)2 ,1 ,41(-=T , t =1所对应的点为)1 ,2 ,21(, 所以在t =1所对应的点处, 切线方程为 21124121-=--=-z y x , 即8142121-=--=-z y x ; 法平面方程为0)1(2)2()21(41=-+---z y x , 即2x -8y +16z -1=0. 3. 求曲线y 2=2mx , z 2=m -x 在点(x 0, y 0, z 0)处的切线及法平面方程.解 设曲线的参数方程的参数为x , 将方程y 2=2mx 和z 2=m -x 的两边对x 求导, 得m dx dy y 22=, 12-=dxdz z , 所以y m dx dy =, z dxdz 21-=. 曲线在点(x 0, y 0, z 0,)的切向量为)21,,1(00z y m -=T , 所求的切线方程为0000211z z z y m y y x x --=-=-, 法平面方程为0)(21)()(00000=---+-z z z y y y m x x . 4. 求曲线⎩⎨⎧=-+-=-++0453203222z y x x z y x 在点(1, 1, 1)处的切线及法平面方程.解 设曲线的参数方程的参数为x , 对x 求导得,⎪⎩⎪⎨⎧=+-=-++053203222dx dz dx dy dx dz z dx dy y x , 即⎪⎩⎪⎨⎧=-+-=+2533222dxdz dx dy x dx dz z dx dy y . 解此方程组得z y z x dx dy 61015410----=, zy y x dx dz 610946---+=. 因为169)1,1,1(=dx dy , 161)1,1,1(-=dx dz , 所以)161 ,169 ,1(=T . 所求切线方程为1611169111--=-=-z y x , 即1191161--=-=-z y x ; 法平面方程为0)1(161)1(169)1(=---+-z y x , 即16x +9y -z -24=0. 5. 求出曲线x =t , y =t 2, z =t 3上的点, 使在该点的切线平行于平面x +2y +z =4.解 已知平面的法线向量为n =(1, 2, 1).因为x '=1, y '=2t , z '=3t 2, 所以参数t 对应的点处的切向量为T =(1, 2t , 3t 2). 又因为切线与已知平面平行, 所以T ⋅n =0, 即1+4t +3t 2=0,解得t =-1, 31-=t . 于是所求点的坐标为(-1, 1, -1)和)271 ,91 ,31(--. 6. 求曲面e z -z +xy =3在点(2,1,0)处的切平面及法线方程. 解 令F (x , y , z )=e z -z +xy -3, 则n =(F x , F y , F z )|(2, 1, 0)=(y , x , e z -1)|(2, 1, 0)=(1, 2, 0),点(2,1, 0)处的切平面方程为1⋅(x -2)+2(y -1)+0⋅(z -0)=0, 即x +2y -4=0,法线方程为02112-=-=-z y x . 7. 求曲面ax 2+by 2+cz 2=1在点(x 0, y 0, z 0)处的切平面及法线方程.解 令F (x , y , z )=ax 2+by 2+cz 2-1, 则n =(F x , F y , F z )=(2ax , 2by , 2cz )=(ax , by , cz ).在点(x 0, y 0, z 0)处, 法向量为(ax 0, by 0, cz 0), 故切平面方程为 ax 0(x -x 0)+by 0(y -y 0)+cz 0(z -z 0)=0,即 202020000cz by ax z cz y by x ax ++=++,法线方程为00000cz z z by y y ax x x -=-=-.8. 求椭球面x 2+2y 2+z 2=1上平行于平面x -y +2z =0的切平面方程.解 设F (x , y , z )=x 2+2y 2+z 2-1, 则n =(F x , F y , F z )=(2x , 4y , 2z )=2(x , 2y , z ).已知切平面的法向量为(1, -1, 2). 因为已知平面与所求切平面平行, 所以2121z y x =-=, 即z x 21=, z y 41-=, 代入椭球面方程得1)4(2)2(222=+-+z z z ,解得1122±=z , 则1122±=x , 11221 =y . 所以切点坐标为)1122,11221,112(±± . 所求切平面方程为0)1122(2)11221()112(=±+-±z y x , 即 2112±=+-z y x . 9. 求旋转椭球面3x 2+y 2+z 2=16上点(-1, -2, 3)处的切平面与xOy 面的夹角的余弦.解 x O y 面的法向为n 1=(0, 0, 1).令F (x , y , z )=3x 2+y 2 +z 2-16, 则点(-1, -2, 3)处的法向量为 n 2=(F x , F y , F z )|(-1, -2, 3)=(6x , 2y , 2z )|(-1, -2, 3)=(-6, -4, 6). 点(-1, -2, 3)处的切平面与xOy 面的夹角的余弦为22364616||||cos 2222121=++⋅=⋅⋅=n n n n θ.10. 试证曲面a z y x =++(a >0)上任何点处的切平面在各坐标轴上的截距之和等于a .证明 设a z y x z y x F -++=),,(, 则)21,21,21(zy x =n . 在曲面上任取一点M (x 0, y 0, z 0), 则在点M 处的切平面方程为0)(1)(1)(1000000=-+-+-z z z y y y x x x , 即 a z y x z z y y x x =++=++000000. 化为截距式, 得1000=++az z ay y ax x , 所以截距之和为a z y x a az ay ax =++=++)(000000.习题8-71. 求函数z =x 2+y 2在点(1, 2)处沿从点(1, 2)到点)32 ,2(+的方向的方向导数.解 因为从点(1, 2)到点)32 ,2(+的向量为)3 ,1(=l , 故 )cos ,(cos )23 ,21(||βα===l l e l . 又因为22)2,1()2,1(==∂∂x x z , 42)2,1()2,1(==∂∂y y z , 故所求方向导数为321234212cos cos +=⋅+⋅=∂∂+∂∂=∂∂βαy z x z l z . 2. 求函数z =ln(x +y )在抛物线y 2=4x 上点(1, 2)处, 沿这抛物线在该点处偏向x 轴正向的切线方向的方向导数.解 方程y 2=4x 两边对x 求导得2yy '=4, 解得y y 2='.。
习 题 8-11.设有一个面薄板(不计其厚度),占有xOy 面上的闭区域D ,薄板上分布有面密度为(,)x y μμ=的电荷,且(,)x y μ在D 上连续,试用二重积分表达该板上的全部电荷Q .解 用一组曲线将D 分成n 个小闭区域i σ∆,其面积也记为(1,2,,)i i n σ∆= .任取一点(,)i i i ξησ∈∆,则i σ∆上分布的电量(,)i i i Q μξησ∆≈∆.通过求和、取极限,便得到该板上的全部电荷为1lim (,)(,)d ,ni i i i DQ x y λμξησμσ→==∆=∑⎰⎰其中1max{i i nλσ≤≤=∆的直径}.2. 设12231()d D I x y σ=+⎰⎰其中1{(,)11,22}D x y x y =-≤≤-≤≤;又22232()d D I x y σ=+⎰⎰其中2{(,)01,02}D x y x y =≤≤≤≤.试利用二重积分的几何意义说明1I 与2I 之间的关系.解 由二重积分的几何意义知,1I 表示底为1D 、顶为曲面223()z x y =+的曲顶柱体1Ω的体积;2I 表示底为2D 、顶为曲面223()z x y =+的曲顶柱体2Ω的体积.由于位于1D 上方的曲面223()z x y =+关于yOz 面和zOx 面均对称,故yOz 面和zOx 面将1Ω分成四个等积的部分,其中位于第一卦限的部分即为2Ω.由此可知124I I =.3. 利用二重积分定义证明: (1) d ()DD σσσ=⎰⎰其中为的面积;(2) (,)d (,)d ()DDkf x y k f x y k σσ=⎰⎰⎰⎰其中为常数;(3)12(,)d (,)d (,)d ,DD D f x y f x y f x y σσσ=+⎰⎰⎰⎰⎰⎰其中12D D D= ,1D 、2D 为两个无公共内点的闭区域.证 (1) 由于被积函数(,)1f x y ≡,故由二重积分定义得11d lim (,)lim lim .nniiii i i Df λλλσξησσσσ→→→===∆=∆==∑∑⎰⎰(2) 011(,)d lim (,)lim (,)(,)d .nni i i i i i i i DDkf x y kf k f k f x y λλσξησξησσ→→===∆=∆=∑∑⎰⎰⎰⎰(3) 因为函数(,)f x y 在闭区域D 上可积,故不论把D 怎样分割,积分和的极限总是不变的,因此在分割D 时,可以使1D 和2D 的公共边界永远是一条分割线。
(完整word版)高数答案(下)习题册答案第六版下册同济大学数学系编高数答案(下)习题册答案第六版下册同济大学数学系编第八章多元函数的微分法及其应用§ 1 多元函数概念一、设f(x,y)x2y2,(x,y)x2y2,求:f[(x,y),y2]. 答案:f((x,y),y2)(x2y2)2y4x42x2y22y4二、求下列函数的定义域:x2(1y)221、f(x,y){(x,y)|y x1}; 221x yy2、z arcsin {(x,y)|y x,x0}; x三、求下列极限:x2siny 1、lim (0)2(x,y)(0,0)2x y2、y(1)3x (e6) (x,y)(,2)xlimx2y四、证明极限lim不存在. 2(x,y)(0,0)4x y证明:当沿着x轴趋于(0,0)时,极限为零,当沿着y x趋于(0,0)时,极限为二者不相等,所以极限不存在21, 21,(x,y)(0,0)xysin22五、证明函数f(x,y)在整个xoy面上连续。
x y0,(x,y)(0,0)证明:当(x,y)(0,0)时,f(x,y)为初等函数,连续。
当(x,y)(0,0)时,1xysi0f(0,0),所以函数在(0,0)也连续。
所以函数(x,ylim)(0,0)22x y在整个xoy面上连续。
六、设z x y2f(x y)且当y=0时z x2,求f(x)及z的表达式. 解:f(x)=x2x,z x22y22xy y§ 2 偏导数y z z xy z 1、设z=xy xex ,验证x y x yzy z z z y ex ex,x ex,x y xy xy xex xy z 证明:xx y x yyyyyz x2y212、求空间曲线:在点(,,1)处切线与y轴正向夹角() 1y224 2x23、设f(x,y)xy(y1)arcsin, 求fx(x,1) ( 1) y4、设u x, 求zzy u u u ,,y x zzz uz u1y uzy12xylnx xlnx x 解:,y zy xyy 2u2u2u2 5、设u x y z,证明: x2y2z2u6、判断下面的函数在(0,0) 处是否连续?是否可导(偏导)?说明理由222122xsin,x y022f(x,y)x y220,x y0100 limf(x,y)0f(0,0) 连续;fx(0,0)lim fy(0,0)limsi2 不存在,0 x0y0x0y0xy07、设函数f(x,y)在点(a,b)处的偏导数存在,求limx0f(a x,b)f(a x,b) x(2fx(a,b))§ 3 全微分1、单选题(1)二元函数f(x,y)在点(x,y)处连续是它在该点处偏导数存在的__________(A) 必要条件而非充分条件(B)充分条件而非必要条件(C)充分必要条件(2)对于二元函数f(x,y),下列有关偏导数与全微分关系中正确的是___(A) 偏导数不连续,则全微分必不存在(C)全微分存在,则偏导数必连续(D)全微分存在,而偏导数不一定存在2、求下列函数的全微分:yyy11)z ex dz ex(2dx dy) xx22 2)z sin(xy) 解:dz cos(xy)(y2dx2xydy)yz11y 3)u x 解:du xdx xzlnxdy2xzlnxdz zzzyzyyy3、设z ycos(x2y),求dz(0,)4解:dz ysin(x2y)dx(cos(x2y)2ysin(x2y))dy dz|(0,4)=4dx2dy4、设f(x,y,z)z1(2dx4dy5dz) 求:df(1,2,1)2225x y122(x y)sin5、讨论函数f(x,y)x2y20,,(x,y)(0,0)(x,y)(0,0)在(0,0)点处的连续性、偏导数、可微性1(x2y2)sin0f(0,0) 所以f(x,y)在(0,0)点处连续。
习题全解-第八章 多元函数微积分习题 8-11.在y 轴上求与点)7,3,1(-A 和点)5,7,5(-B 等距离的点。
解 设y 轴上有点)0,,0(y P 与A 和B 点等距离。
则PA ==PB ==由PA PB =得2=y即在y 轴上与点)7,3,1(-A 和点)5,7,5(-B 等距离的点为)0,2,0( 2.指出下列平面的特点,并画出草图:(1) 230x y -+=; (2) 350x -=; (3) 0x z -=; (4) 20x y +=; (5)0x y z --=; (6) 0z =. 解(1)方程中,0=C 平面平行于z 轴。
(2方程中,0==C B 平面平行于yoz 平面。
(3)方程中,0==D B 平面过y 轴。
(4)方程中,0==D C 平面过z 轴。
(5)方程中,0=D 平面过坐标原点。
(6)方程中,0===D B A 平面重合于xoy 平面。
3.指出下列方程所表示的曲面,并画出草图:(1) 2221x y z ++=; (2) 2240x y x +-=(3) 22194x y +=; (4) 2z y =; (5) 22244936x y z ++=; (6) 22214z x y +-=;(7) z =; (8) z =. 解 (1)表示球心在原点,半径为1的球面(2)表示母线平行于z 轴的圆柱面(3)表示母线平行于z 轴的椭圆柱面(4)表示母线平行于x 轴的抛物柱面(5)表示旋转椭球面(6)表示单叶双曲面(7)表示球心在坐标原点,半径为2的上半个球面(8)表示圆锥面4.写出下列旋转面的方程:(1) zOx 面上的直线2z x =分别绕x 轴、z 轴旋转而成的旋转面; (2) yOz 面上的抛物线23y z =绕z 轴旋转而成的旋转面; (3) yOz 面上的圆224y z +=绕y 轴旋转而成的旋转面; (4) xOy 面上的椭圆2244x y +=绕x 轴旋转而成的旋转面.解 (1)绕x 轴旋转:0)(4222=+-z y x ;绕y 轴旋转:0)(4222=+-y x z(2)0322=-+z y x (3)4222=++z y x(4)44222=++)(z y x 5.画出下列曲面所围立体的图形:(1)旋转抛物面228z x y =--与xOy 平面; (2)旋转抛物面22z x y =+与平面4z =; (3)圆柱面2216x y +=与平面4,0y z z +== (4)曲面22y x z +=与222y x z --=解 (1)(2)(3)(4)习题8-21.已知函数22),(xy y x y x f -=,试求)sin ,cos (y x y x f 解 22)sin (cos sin )cos ()sin ,cos (y x y x y x y x y x y x f -= y x y x y x y x 2222sin cos sin cos ⋅-⋅= )sin (cos sin cos 3y y y y x -= 2.已知函数vu vwu w v u f ++=),,(,试求),,(xy y x y x f -+解 x yx xy y x xy y x y x f 2)(),,(++=-+-3.求下列函数的定义域: (1))4ln(12222y x y x z --+-+=解 要使函数有意义,须使 ⎪⎩⎪⎨⎧>--≥-+04012222y x y x解得2214x y ≤+<所以函数的定义域为{}41),(22<+≤y x y x(2)x yy x f arcsin),(=解 要使函数有意义,须使⎪⎩⎪⎨⎧≠≤≤-011x x y解得0>x 时,x y x ≤≤-;0<x 时,x y x -≤≤所以函数的定义域为{}x y x x y x ≤≤->,0),(⋃{}x y x x y x -≤≤<,0),((3)yx z -=解 要使函数有意义,须使⎪⎩⎪⎨⎧≥≥-0y y x 解得yx y x ≥≥≥2,0,0所以函数的定义域为{}y x y x y x ≥≥≥2,0,0),((4)2229z y x u ---=解 要使函数有意义,须使09222≥---z y x解得9222≤++z y x所以函数的定义域为{}9),(222≤++z y x y x4.下列函数在哪些点间断?(1)2132--+=x y x z解 当2=x 时,函数间断所以函数有一条间断线为{}2),(=x y x(2)44y x e z xy+=解 当,0==y x 时,函数间断所以函数间断点为)0,0(习题8-31.求下列函数的偏导数和全微分 (1)123+-=xy y x z解 223y y x x z -=∂∂ xy x y z23-=∂∂ dy xy x dx y y x dz )2()3(322-+-=(2))ln(xy x z =解 1)ln()ln(+=+=∂∂xy xyy x xy x z y xxy x x y z ==∂∂ dy y x dx xy dz ++=)1(ln(3)xy yx z +-=1解 22222)1(1)1(1)1()1)(()1()(xy y xy y xy xy xy xy y x xy y x x z ++=++-+=+'+--+'-=∂∂2222)1(1)1()()1()1()1)(()1()(xy x xy x y x xy xy xy y x xy y x y z ++-=+--+-=+'+--+'-=∂∂ dy xy x dx xy y dz 2222)1(1)1(1++-++=(4)22arcsin y x z +=解 2222222212211y x y x x y x x y x x z +--=+⋅--=∂∂ 2222222212211y x y x y y x y y x y z +--=+⋅--=∂∂ dy yx y x y dx y x y x x dz 2222222211+--++--= (5)32sin xz x y u +=解 32cos z x y x u +=∂∂ x y usin =∂∂ 26xz z u =∂∂dz xz xdy dx z x y du 236sin )2cos (+++=(6)zxy u )1(-=解 ðuðx=−yz(1−xy)z−1ðuðy=−xz(1−xy)z−1ðuðz =(1−xy)z ⋅ln(1−xy)()()()dz xy xy dy xy xz dx xy yz du zz z --+----=--1ln 11)1(112.设函数)2(),(sin y x e y x f x +=,求)1,0(x f '和)1,0(y f '解 因为xx x e y x x e f sin sin )2(cos ++=' 所以3)1,0(='x f因为)2(sin +='x e f x y 所以2)1,0(='y f3.设222),,(zx yz xy z y x f ++=,求)1,2,0(x f ',)2,0,1(xzf '',)0,1,0(-''yzf ,)1,0,2(zzxf '''。
第八章 多元函数的微分法及其应用§ 1 多元函数概念一、设]),,([:,),(,),(22222y y x f y x y x y x y x f ϕϕ求-=+=.二、求下列函数的定义域:1、2221)1(),(yx y x y x f ---= };1|),{(22≠+x y y x 2、xyz arcsin= };0,|),{(≠≤x x y y x 三、求下列极限:1、222)0,0(),(sin lim y x yx y x +→ (0) 2、x y x x y3)2,(),()1(lim+∞→ (6e )四、证明极限 242)0,0(),(lim y x yx y x +→不存在. 证明:当沿着x 轴趋于(0,0)时,极限为零,当沿着2x y =趋于(0,0)时,极限为21, 二者不相等,所以极限不存在五、证明函数⎪⎩⎪⎨⎧=≠+=)0,0(),(,0)0,0(),(,1sin ),(22y x y x y x xy y x f 在整个xoy 面上连续。
证明:当)0,0(),(≠y x 时,为初等函数,连续),(y x f 。
当)0,0(),(=y x 时,)0,0(01sin lim 22)0,0(),(f yx xy y x ==+→,所以函数在(0,0)也连续。
所以函数42244222222)()),,((y y x x y y x y y x f +-=+-=ϕ答案:在整个xoy 面上连续。
六、设)(2y x f y x z +++=且当y=0时2x z =,求f(x)及z 的表达式. 解:f(x)=x x -2,z y xy y x -++=2222§ 2 偏导数1、设z=xy xe xy + ,验证 z x y +=∂∂+∂∂yz y x z x证明:x yx yx ye x ,e x y e y +=∂∂-+=∂∂y z x z ,∴z xy xe xy xy x y+=++=∂∂+∂∂yzy x z x2、求空间曲线⎪⎩⎪⎨⎧=+=Γ21:22y y x z 在点(1,21,23)处切线与y 轴正向夹角(4π) 3、设yxy xy y x f arcsin)1(),(2-+=, 求)1,(x f x ( 1) 4、设yzx u =, 求x u ∂∂ ,y u ∂∂ ,zu ∂∂解:1-=∂∂y zx y z x u ,x x yz y u y zln 2-=∂∂ x x y z u y zln 1=∂∂ 5、设222z y x u ++=,证明 : u zu y u x u 2222222=∂∂+∂∂+∂∂6、判断下面的函数在(0,0) 处是否连续是否可导(偏导)说明理由⎪⎩⎪⎨⎧≠+≠++=0,00,1sin ),(222222y x y x yx x y x f )0,0(0),(lim 00f y x f y x ==→→ 连续; 201sin lim )0,0(x f x x →= 不存在, 0000lim)0,0(0=--=→y f y y 7、设函数 f(x,y)在点(a,b )处的偏导数存在,求 xb x a f b x a f x ),(),(lim--+→(2f x (a,b)) § 3 全微分 1、单选题(1)二元函数f(x,y)在点(x,y)处连续是它在该点处偏导数存在的 __________(A) 必要条件而非充分条件 (B )充分条件而非必要条件 (C )充分必要条件 (D )既非充分又非必要条件 (2)对于二元函数f(x,y),下列有关偏导数与全微分关系中正确的是___ (A) 偏导数不连续,则全微分必不存在 (B )偏导数连续,则全微分必存在 (C )全微分存在,则偏导数必连续 (D )全微分存在,而偏导数不一定存在2、求下列函数的全微分:1)xy e z = )1(2dy x dx x y edz xy +-=2))sin(2xy z = 解:)2()cos(22xydy dx y xy dz +=3)zyx u = 解:xdz x zyxdy x z dx x z y du z yz yz yln ln 121-+=-3、设)2cos(y x y z -=, 求)4,0(πdz解:dy y x y y x dx y x y dz ))2sin(2)2(cos()2sin(-+-+--= ∴)4,0(|πdz =dy dx 24ππ-4、设22),,(yx zz y x f += 求:)1,2,1(df )542(251dz dy dx +--5、讨论函数⎪⎩⎪⎨⎧=≠++=)0,0(),(,0)0,0(),(,1sin )(),(2222y x y x yx y x y x f 在(0,0)点处的连续性 、偏导数、 可微性 解:)0,0(01sin)(lim2222)0,0(),(f yx y x y x ==++→ 所以),(y x f 在(0,0)点处连续。
i.判断下列平面点集哪些是开集、闭集、区域、冇界集、无界集?并分别指出它们的聚点集和边界:⑴{g)|20};⑵{(心)| 1<X2+/<4};⑷{(x,y) I (x - I)2 + b G} U {(w) I(X + I)2 + 尸5 1}.解:(1)开集、无界集,聚点集:R2,边界:{(x,y)|尸0}.(2)既非开集乂非闭集,有界集,聚点集:{(x』)|l Wx\y2w4},边界:{(x,叨F+b=l} U {(x』)| xV=4}.(3)开集、区域、无界集,聚点集:{(x』)[yWF}, 边界:{(¥』)|尸<}.(4)闭集、有界集,聚点集即是其木身,边界:{(X^)|(X-1)24-/=1 } U {(x,y)|(x4-l)2+y=l}.2.己知f (x,y)= x2+y~-xy tan —,试求f(tx,ty).y解:f(tx,ty) = (tx)2 + (ty)2-tx-tytan— = t2f(x,y).3•已知/(u,v,w)= w u + 卜严' ,试求f(x + y,x-y,xy).解:Xx+y, x-y, xy)=(巧严+(砂严’心'=(x+)泸'+(初)4•求下列各函数的定义域:(l)z= ln(y2-2x+l);(4) w = —j= 4- —j= + —j=;yjx y]y yjzz - \n(y一x) +u = arccos解:(l)n = {(x,y)|/-2x + l>0}.(2)Z) = {(x,jO|x + y〉0,x-y >0}.(3)D = {(x,y)\4x-y2>0,\-x2-y2>0,x2+y2 ^0}.(4) D = {(x』,z) | x > 0,y > 0,z > 0}.(5) D = {(x,y)ix>0,y> 0, x2 > y}.(6)Z) = {(x』)| y-x > 0,x > 0,x2+y2 < 1}.⑺D = {(x,y,z)|/ + 尸工0,兀? + 尹2 _么2 J。
《高等数学(下册)》第八章练习题一、填空题1.________________ )sin(==dz xy z 则,设 2.设),cos(2y x z =,则=∂∂)2,1(πxz3.函数22)(6y x y x z ---=的极值点为4.设xy e z =,则=dz5.设y zln z x =,则=∂zxz 二、选择题)2 0( D. )0 2( C. )0 0( B. )2 2( A.) (33) ( 12233,,,,的极小值点为,函数、y x y x y x f --+=2、),(y x f 在点),(00y x 处偏导数),(),(0000y x f y x f y x''、存在是),(y x f 在该点连续的( ).(a)充分条件, (b)必要条件, (c)充要条件, (d)既非充分条件又非必要条件。
3、设)2ln(),(xy x y x f +=,则=())1,1(-'x f . (A ),31 (B ),31- (C ),65 (D ).65-三、计算题方程。
处的切线方程与法平面,,在点求曲线、)1 2 1(2 132⎩⎨⎧==x z x y 2、设),(y x z z =是由方程0),(=--z y z x F 确定的隐函数,F 具有一阶连续偏导数,且,0≠'+'v u F F 其中,,z y v z x u -=-=求.,yz x z ∂∂∂∂ 3、求曲面3222-=+-z xz y x 在点)1,2,1(处的切平面及法线方程。
4、设,222z y xe u ++=而y x z sin 2=,求xu ∂∂. 5、求曲线t z e y e x t t ===-,,,对应于0=t 点处的切线和法平面方程。
6、求函数)4(2y x y x z --=在闭域4,0,0≤+≥≥y x y x 上的最大值及最小值。
7、设2cos 2=z (y x 21-),求xz∂∂和y z ∂∂. 8、yf x f e y x f xy ∂∂∂∂=) ,( 3,,求设 9、的极大值或极小值求函数 3) ,( 22x y xy x y x f ++-=10、dz y x z xy v y x u v u x f z 的全微分对求复合函数设, ,,2),,,(=+== 11、yz x z xy x y z ∂∂∂∂=和求设 ),cos( 12、处的切平面和法线方程上点求曲面)1,2,1(823222--=+z xz y yz xyz f y z xy f y xz y x z z ∂∂++==求有连续的一阶偏导,所确定,其中由方程函数、 ),(sin ),( 13四、综合应用题1.在平面xoy 上求一点),(y x M ,使它到三条直线,,00==y x 01=++y x 的距离平方和为最小,并求其最小值。
练习题第八章 空间解析几何与向量代数(一). 向量a,b的运算1.设{}1,3,1-=a ,{}1,1,2-=b ,则与向量a ,b同时垂直的向量为( ).A . {}7,3,2-;B . {}7,3,2-; C. {}7,3,2--; D. {}7,3,2.2.设{}1,3,2-=a,{}3,1,1-=b ,则⨯-)(a b =a ( ).A . {}1,5,8--; B . {}1,5,8-;C. {}1,5,8-; D. {}1,5,8--.3.设a ,b ,c为非零向量,则下列结论中一定正确的是( ).A . 若c a b a ⋅=⋅,则c b =;B . 若c a b a⨯=⨯,则c b =;C. a b b a ⋅=⋅;D. a b b a ⨯=⨯.(二). 平面与直线4.(1)直线过点)3,2,0(-,且与平面014=++-z y x 垂直,则该直线的方程是(2)平面过点)2,0,1(-,且与直线331241-+=+=+z y x 垂直,则该平面的方程是 (3)设有直线⎩⎨⎧=+--=+++031020123:z y x z y x l 及平面0324:=-+-z y x π,则直线l 与π的关系5.(1)设曲面3222-+=y x z 上点P 处的切平面平行于平面0742=+++z y x ,则点P 的坐标是(2)设曲面222y x z -=上点P 处的法线于垂直平面0142=-+-z y x ,则点P 的坐标是A. 平行于πB. 在π上C. 垂直于πD. 与π斜交第九章 多元函数微分学(一). 求一、二阶偏导数6.x y y x z sin sin 33+=,则yx z ∂∂∂2= , =dz .(二). 求隐函数的全微分(提示:公式法,移项化为(,,)0F x y z =,计算,,x y z F F F 。
)11.设xy e z z=+,求dz 和yx z ∂∂∂2.解13.),(y x z z =由)(z y x z ϕ+=(0)(1≠'-z y ϕ,ϕ可导)所确定,求,z z x y∂∂∂∂ 解:14.设方程0),(2222=--y z x z f 确定了函数),(y x z z =,其中f 有连续偏导数,证明1=∂∂+∂∂yzy z x z x z . 证明:(三). 二元函数的极值点15.二元函数22242),(y x y x y x f ---=的驻点是( ).A .)1,1(--; B. )1,1(-; C. )1,1(-; D. )1,1(16.设0),(00=y x f x ,0),(00=y x f y ,则( ).A . 二元函数),(y x f 在),(00y x 处连续; B. 二元函数),(y x f 在),(00y x 处的全微分为零; C . ),(00y x 为二元函数),(y x f 的极值点;D.),(00y x 为二元函数),(y x f 的驻点.17.若xy z =,则下列结论中错误的是( ).A . 二元函数xy z =在)0,0(处连续; B. 0)0,0(=x f ,0)0,0(=y f ; C . 0)0,0(=dz ;D.)0,0(为二元函数),(y x f 的极值点.18.设二元函数),(y x f 可微,若),(00y x f 为),(y x f 的极值,则( ).A . ),(00y x f 必为),(0y x f 的极值;B. ),(00y x f 必为),(0y x f 的极值;C . 0),(00=y x f x ,0),(00=y x f y ;D. 以上结论都是正确的.* 某厂要用铁板做一个体积为2m 3的有盖长方体水箱,问当长、宽、高各取怎样的尺寸时, 才能使用料最省?第十章 重积分(一). 交换二次积分的积分次序(直角坐标)19.将二次积分换序:⎰⎰y y dx y x f dy 2),(10= .20.改变二次积分的积分次序:⎰⎰=10),(y ydx y x f dy ( ). A.⎰⎰x x dy y x f dx 2),(10; B. ⎰⎰201),(x dy y x f dx ; C.⎰⎰110),(xdy y x f dx ; D. ⎰⎰xdy y x f dx 01),(.21.设),(y x f 为连续函数,则=⎰⎰x dy y x f dx 010),(( ). A. ⎰⎰y dx y x f dy 010),(; B.⎰⎰110),(ydx y x f dy ;C.⎰⎰ydx y x f dy 110),(; D.⎰⎰110),(dx y x f dy .22.改变二次积分的积分次序:⎰⎰1102),(x dy y x f dx ( ). A.⎰⎰1002),(y dx y x f dy ; B. ⎰⎰110),(ydx y x f dy ;C.⎰⎰1102),(y dx y x f dy ; D. ⎰⎰ydx y x f dy 010),((二). 二重积分的计算(利用性质,利用对称性,直角坐标,极坐标) 23.设D :122≤+y x ,),(y x f 在D 上连续,且 σd y x f xy y x f D⎰⎰-+=),(1),(,则=⎰⎰σd y x f D),(24.设D :20,10≤≤≤≤y x ,),(y x f 在D 上连续,且 σd y x f xy y x f D⎰⎰+=),(),(,则=),(y x f .25.设Ω:10,10,10≤≤≤≤≤≤z y x ,则=⎰⎰⎰Ωdv z xy 3121 .26.设D :10,10≤≤≤≤y x ,则=+⎰⎰σd eyx D.(三). 三重积分的计算(柱面坐标,截面法)注:在用高斯公式计算第二类曲面积分中用到。
(A )椭圆抛物面 (B )椭球面、填空题、选择题1、 点M(4, 1,3)到y 轴的距离是_2、 平行于向量a { 1,2,1}的单位向量为3、过点0,2, 1且与平面x y 3z 4 0垂直的直线为x 9、设空间三直线的方程分别为L 1 :-1则必有(2 2 211、方程匚yJ 0所表示的曲面是3 3 5第八章典型习题(A) L 1//L 3 (B) L 1 L 2(C)L2L3(D) L 1 //L 210、设平面的一般式方程为Ax By CzB 0时, 该平面必((A)垂直于x 轴 (B)垂直于y 轴(C) 垂直于xoy 面(D) 平行于xoy 面4、曲线:z 10在xoz 面上的投影柱面方程是5、设直线 l 1:宁 宁七与l 2专孑三平行,则—6、已知a 2i j2k , b 3i 4j 5k ,则与3a b 平行的单位向量为( (A ){3,7,11}(B ){3, 7,11} ( C )——{3, 7,11}129(D )_V9{3,7,11}x 27、曲线zz 2 9在xoy 平面上投影曲线的方程为(x 25( B )x 20y 2z 29( C )x 2 y 2 58、设平面的一般式方程为Ax By Cz D 0时,该平面必((A)平行于y 轴(B)垂直于z 轴 (C)垂直于y 轴(D) 通过x 轴L 2:3 冷(C )旋转曲面(D )单叶双曲面二、解答题x 01、设一平面垂直于平面z 0,并通过从点P(1, 1,1)到直线的垂线,求该平面方y z 1 0程。
x 32、求过直线 2y 4 z 23且平行于直线 x 4 --一 ——的平面方程. 7 2 3、求过点 1,2,1 x v 2z且平行于直线 71 0的直线方程•x 2y z 1 02x y 2 04、已知平面 :y2x 2 0与直线L:,求通过L 且与垂直的平面方程3y 2z 2 05、求过球面x2 y 2 z 22X 2y 4Z 0的球心且与直线写 专 盘垂直的平面方程第九章典型习题、填空题、选择题xy z 0,求-z ;由方程e x y xyze z 确定了函数z z x, y ,求—z。
(完整版)⾼数同济第六版下⾼等数学2第⼋章解答习题8-1向量及其线性运算1.在yOz 平⾯上,求与三点(3,1,2)A 、(4,2,2)B --和(0,5,1)C 等距离的点。
2.设已知两点1(4,2,1)M 和2(3,0,2)M ,计算向量12M M u u u u u u r的模、⽅向余弦和⽅向⾓。
3. 设向量r r的模是4,它与u 轴的夹⾓是3π,求r r在u 轴上的投影。
4. 设358m i j k =++r r r r ,247n i j k =--r r r r 和54p i j k =+-r r r r ,求向量43a m n p =+-r r r r在 x 轴上的投影以及在y 轴上的分向量。
5. 从点()2,1,7A -沿向量8912a i j k =+-rr r r⽅向取长为34的线段AB ,求点B 的坐标。
解设点B 的坐标为(),,x y z ,则()2,1,7AB x y z =-+-u u u r,且AB a λ=u u u r ,即28,19,712x y z λλλ-=+=-=-, ()()()()()()222222342178912AB x y z λλλ==-+++-=++-u u u r从⽽2λ=,所以点B 的坐标为()18,17,17-习题8-2数量积向量积1. 设32a i j k =--r r r r,2b i j k =+-r r r r ,求(1)a b r r g 及a b ?r r ;(2)(2)3a b -r r g 及2a b ?r r ;(3)a r 、b r的夹⾓的余弦。
2.已知1(1,1,2)M -、2(3,3,1)M 和3(3,1,3)M ,求与12M M u u u u u u r 、23M M u u u u u u r 同时垂直的单位向量。
3.求向量(4,3,4)a =-r在向量(2,2,1)b =r 上的投影。
4. 已知3OA i k =+u u u r r r 、3OB j k =+u u u r rr ,求OAB ?的⾯积。
习 题 8-11.设有一个面薄板(不计其厚度),占有xOy 面上的闭区域D ,薄板上分布有面密度为(,)x y μμ=的电荷,且(,)x y μ在D 上连续,试用二重积分表达该板上的全部电荷Q .解 用一组曲线将D 分成n 个小闭区域i σ∆,其面积也记为(1,2,,)i i n σ∆=.任取一点(,)i i i ξησ∈∆,则i σ∆上分布的电量(,)i i i Q μξησ∆≈∆.通过求和、取极限,便得到该板上的全部电荷为1lim (,)(,)d ,ni i i i DQ x y λμξησμσ→==∆=∑⎰⎰其中1max{i i nλσ≤≤=∆的直径}.2. 设12231()d D I x y σ=+⎰⎰其中1{(,)11,22}D x y x y =-≤≤-≤≤;又22232()d D I x y σ=+⎰⎰其中2{(,)01,02}D x y x y =≤≤≤≤.试利用二重积分的几何意义说明1I 与2I 之间的关系.解 由二重积分的几何意义知,1I 表示底为1D 、顶为曲面223()z x y =+的曲顶柱体1Ω的体积;2I 表示底为2D 、顶为曲面223()z x y =+的曲顶柱体2Ω的体积.由于位于1D 上方的曲面223()z x y =+关于yOz 面和zOx 面均对称,故yOz 面和zOx 面将1Ω分成四个等积的部分,其中位于第一卦限的部分即为2Ω.由此可知124I I =.3. 利用二重积分定义证明: (1) d ()DD σσσ=⎰⎰其中为的面积;(2) (,)d (,)d ()DDkf x y k f x y k σσ=⎰⎰⎰⎰其中为常数;(3)12(,)d (,)d (,)d ,DD D f x y f x y f x y σσσ=+⎰⎰⎰⎰⎰⎰其中12D DD =,1D 、2D 为两个无公共内点的闭区域.证 (1) 由于被积函数(,)1f x y ≡,故由二重积分定义得11d lim (,)lim lim .nniiii i i Df λλλσξησσσσ→→→===∆=∆==∑∑⎰⎰(2) 011(,)d lim (,)lim (,)(,)d .nni i i i i i i i DDkf x y kf k f k f x y λλσξησξησσ→→===∆=∆=∑∑⎰⎰⎰⎰(3) 因为函数(,)f x y 在闭区域D 上可积,故不论把D 怎样分割,积分和的极限总是不变的,因此在分割D 时,可以使1D 和2D 的公共边界永远是一条分割线。
x一、填空题《高等数学(下册)》第八章练习题1.设z sin( x y),则dz2.设z cos( x 2y), ,则(1, )23.函数z 6( x y) x 2y 2的极值点为4.设z e xy,则dz5.设x ln z ,则z y zx二、选择题1、、 f ( 、y) x 3y 3 3 x 2 3 y2、( )A. (2、2)B. (0、0)C. (2、0)D. (0 、2)2、f ( x, y) 在点(x,y)处偏导数f x( x0 , y0 )、的( ).f y( x0 , y0 ) 存在是f ( x, y) 在该点连续(a)充分条件,(b)必要条件,(c)充要条件,(d)既非充分条件又非必要条件。
3、设f ( x, y) ln( xy) ,则f2 x(1,1 、.(A) 1、3三、计算题y 2 x2(B) 1、3(C)5、6(D) 5 .6、、z x 3、( 、、1 、、2、设z z( x, y) 是由方程F ( x z, y z) 0 确定的隐函数,F 具有一阶连续偏导数,且F F 0, 其中u x z, v y z, 求z , z .u v x y3、求曲面x2y2xz z2 3 在点(1,2,1) 处的切平面及法线方程。
4、设u e x2y2z2,而z x2sin y,求u.x5、求曲线x e t, y e t, z t ,对应于t 0 点处的切线和法平面方程。
6、求函数z x 2y(4 x y) 在闭域x 0, y 0, x y 4 上的最大值及最小值。
xx z ,7、设z 2 cos 2 ( x1y ),求z 和z.2 x y8、设f ( x, y) e xy3 ,求f f x y9、求函数 f ( x, y) x 2xy y 2 3 x 的极大值或极小值10、设z11、设z f ( x, u, v), u 2 x y, v xy 求复合函数z 对x, y的全微分dz ycos( xy), 求z 和zx x y12、求曲面x 2yz 3 y 2 2 xz 28z 上点1,2,1)处的切平面和法线方程13 函数z z( x, y 由方程xz sin y求zyf ( x y, z y 所定,其中f 有连续的一阶偏导,四、综合应用题1.在平面xoy 上求一点M、、、,使它到三条直线x 、y 、x y 1 0 的距离平方和为最小,并求其最小值。
《高等数学(下册)》第八章练习题一、填空题1.________________ )sin(==dz xy z 则,设 2.设),cos(2y x z =,则=∂∂)2,1(πxz3.函数22)(6y x y x z ---=的极值点为4.设xy e z =,则=dz5.设y zln z x =,则=∂zxz 二、选择题)2 0( D. )0 2( C. )0 0( B. )2 2( A.) (33) ( 12233,,,,的极小值点为,函数、y x y x y x f --+=2、),(y x f 在点),(00y x 处偏导数),(),(0000y x f y x f y x''、存在是),(y x f 在该点连续的( ).(a)充分条件, (b)必要条件, (c)充要条件, (d)既非充分条件又非必要条件。
3、设)2ln(),(xy x y x f +=,则=())1,1(-'x f . (A ),31 (B ),31- (C ),65 (D ).65-三、计算题方程。
处的切线方程与法平面,,在点求曲线、)1 2 1(2 132⎩⎨⎧==x z x y 2、设),(y x z z =是由方程0),(=--z y z x F 确定的隐函数,F 具有一阶连续偏导数,且,0≠'+'v u F F 其中,,z y v z x u -=-=求.,yz x z ∂∂∂∂ 3、求曲面3222-=+-z xz y x 在点)1,2,1(处的切平面及法线方程。
4、设,222z y xe u ++=而y x z sin 2=,求xu ∂∂. 5、求曲线t z e y e x t t ===-,,,对应于0=t 点处的切线和法平面方程。
6、求函数)4(2y x y x z --=在闭域4,0,0≤+≥≥y x y x 上的最大值及最小值。
7、设2cos 2=z (y x 21-),求xz∂∂和y z ∂∂. 8、yf x f e y x f xy ∂∂∂∂=) ,( 3,,求设 9、的极大值或极小值求函数 3) ,( 22x y xy x y x f ++-=10、dz y x z xy v y x u v u x f z 的全微分对求复合函数设, ,,2),,,(=+== 11、yz x z xy x y z ∂∂∂∂=和求设 ),cos( 12、处的切平面和法线方程上点求曲面)1,2,1(823222--=+z xz y yz xyz f y z xy f y xz y x z z ∂∂++==求有连续的一阶偏导,所确定,其中由方程函数、 ),(sin ),( 13四、综合应用题1.在平面xoy 上求一点),(y x M ,使它到三条直线,,00==y x 01=++y x 的距离平方和为最小,并求其最小值。
2.在曲面2242y x z ++=上求一点,使它到平面132=+-z y x 的距离最近。
五、证明题a yzc x z by x f z cz ay bz ax v u =∂∂+∂∂==--满足:,所确定的函数,证明由方程具有连续偏导,,设) (0) ( ) (.1φφ2.证明曲面)0(>=++a a z y x 上任一点处的切平面在三个坐标轴上的截距之和为常数。
《高等数学(下册)》第八章练习题答案一、填空题1.________________ )sin( ==dz xy z 则,设 2. )cos()21(2ππ-=∂∂=,则,设xz y x z3. 3) 3( )(622----=,的极值点为函数y x y x z4. )( xdy ydx e dz e z xy xy +==则,设5. ln zx zx z y z z x +=∂∂=则,设二、选择题)2 0( D. )0 2( C. )0 0( B. )2 2( A.) A ( 33) ( 12233,,,,的极小值点为,函数、y x y x y x f --+=. )( )( )( )( )() () ( ) () () ( 2000000条件既非充分条件又非必要充要条件,必要条件,充分条件,在该点连续的,是存在,、,处偏导数,在点,、d c b a d y x f y x f y x f y x y x f y x ''.65)( 65 )( 31)( 31 )( )B ()1 1( )2ln() ( 3--=-'+=D C B A f xyx y x f x ,,,,则,,设、三、计算题方程处的切线方程与法平面,,在点求曲线、)1 2 1( 2 132⎩⎨⎧==x z x y {}1234 0)1(3)2(41 3142113 4 1T 3 4 2=-++=-+-+--=-=-⇒=∴='='z y x z y x z y x x z x y 即法平面方程为切线方程为,,切向量,解: . 0 0) () (2yzx z z y v z x u F F F z y z x F y x z z v u ∂∂∂∂-=-=≠'+'=--=,求,,其中,且具有一阶连续偏导数,确定的隐函数,,是由方程,、设 ))(cos(xdy ydx xy +) () ( z y z x F z y x f --=,,,令解: ,,,则v u z v y u x F F f F f F f '-'-=''=''='v uu z x F F F f f x z'+''=''-=∂∂⇒v uv z y F F F f f y z'+''=''-=∂∂⇒0)()1( 0) (=∂∂-'+∂∂-'=--xzF x z F x z y z x F v u 求偏导得:两边对,或将 v u u F F F x z '+''=∂∂⇒ v uv F F F y z'+''=∂∂同理可求.)1 2 1(3 3222处的切平面及法线方程,,在点求曲面、-=+-z xz y x1142310643 0)1()2(4)1(3}1 4 3{ 2 2 2 3) ( 222--=--=-=+--=-------=-=-=+=+-+-=z y x z y x z y x n z x F y F z x F z xz y x z y x F z y x 法线方程即切平面方程,,故,,则,,解:令)sin 21(2)sin 21(2u422sin 2422222y x xe y z xe xy x y x z y x +=+=∂∂++++、.0 111115=+--=--=-z y x z y x 法平面方程:,、切线方程).0])4,0[(4]),4,0[(0]),4,0[(0(0 4)1,2(6min max 上都是最小值、在整个边界:最小值为、、最大值为∈=+∈=∈===y x y x x y y x z z).2sin( )2sin(27y x yzy x x z -=∂∂--=∂∂,、 .383323xy xy e xy yfe y xf =∂∂=∂∂、、 .3)1,2()1,2(9-=----极小值,、极小值点为f.) ()2( 210dy vfx u f dx v f y u f x f dy y z dx x z dz vfx u f y z v f y u f x f x z ∂∂+∂∂+∂∂+∂∂+∂∂=∂∂+∂∂=∴∂∂+∂∂=∂∂∂∂+∂∂+∂∂=∂∂、解:).sin()cos(1)sin()cos(1122xy y xy x y z xy x y xy xy x z -=∂∂--=∂∂、解:.14111261 0214116 12+=-=--=+--z y x z y x 法线方程为:、切平面方程为:.cos )1(cos ),(sin 13221212f x f f x y y z f y z f x y y z x y y z xy f y xz x f '-'+'+=∂∂−−−→−'+∂∂+'+=∂∂++=≠'时当求偏导,得:的两边直接对、解:由已知方程 四、综合应用题.01,0,0 ) ,( 1.并求其最小值平方和为最小,的距离,使它到三条直线平面上求一点在=++==y x y x y x M xoy41)41 41( )41 41()4141( 012 0122)1() (222=------⎩⎨⎧=+++==+++=++++=,,且最小值为,求点为由问题实际意义可得所,得唯一驻点由,为到三条直线距离平方和解:点f y x y f y x x f y x y x y x f M y x ).146,141,142( ).(2-答案:所求点是用拉格朗日乘数法做提示:这是条件极值,五、证明题a yzc x z by x f z cz ay bz ax v u =∂∂+∂∂==--满足,所确定的函数,证明由方程具有连续偏导,,设) (0) ( ) (.1φφ ac b ac ab y z c x z b c b a y z c b a F F x z c b F a F a F cz ay bz ax z y x F v u v u v u v v u u z x vu z v y u x =++=∂∂+∂∂⇒+=∂∂+=-=∂∂⇒--===--=φφφφφφφφφφφφφφφ ) () ( ,,,则,,,令证:下面同上同理导得:如果直接将方程两边求注:v u v vu u v uu c b a y zc b a x zx z c x z b a φφφφφφφφφ+=∂∂+=∂∂⇒=∂∂-∂∂-0.)0(.2截距之和为常数三个坐标轴上的上任一点处的切平面在证明曲面>=++a a z y xa z y x z y x =++000000 ) ( 则,,,设曲面上任一点为解: a z y x z y x F -++=) (,,令,zF yF xF z yx21 21 21 ='='=',,则}21 21 21{00z y x n ,,法向量为=⇒ 0)(21)(21)(21000000=-+-+-⇒z z z y y y x x x 切平面方程为00000 z x y x x a ++=⇒的截距分别为切平面在三个坐标轴上,00000z y y x y b ++= 00000z y z x z c ++=000000000222 z y z x y x z y x c b a +++++=++故截距和为结论成立, )(2000a z y x =++=。